Способы измерения площади пятна ржавчины

  • Вид работы:
    Реферат
  • Предмет:
    Другое
  • Язык:
    Русский
    ,
    Формат файла:
    MS Word
    126,06 Кб
  • Опубликовано:
    2012-09-19
Вы можете узнать стоимость помощи в написании студенческой работы.
Помощь в написании работы, которую точно примут!

Способы измерения площади пятна ржавчины















Реферат

Способы измерения площади пятна ржавчины


Введение

В данной работе рассматриваются различные способы измерения площадей пятен ржавчины. Существует множество различных методов для измерения площади ржавчины, но основная проблема в том, что все эти методы очень неточны и имеют высокую погрешность измерений.

Способы измерения площади пятна ржавчины

Способ №1

1-й способ измерения основан на применении палетки.

Палетка - прозрачная пленка, разделенная на одинаковые квадраты: это могут быть квадратные дециметры, квадратные сантиметры, квадратные миллиметры.

Алгоритм

. Наложить палетку на пятно.

. Сосчитать число а целых клеток внутри фигуры.

. Сосчитать число b клеток, входящих в фигуру частично.

. Сосчитать приближенное значение площади.» a + в: 2 (если число b нечетное, то увеличить или уменьшить его на 1).

Основным недостатком данного способа является неточность измерения площади пятна. Но для увеличения точности в качестве палетки можно использовать миллиметровую бумагу.

Способ №2: 2-й способ определения площади основан на определении длины и ширины пятна. Измерения проводятся при помощи линейки с миллиметровыми делениями. За длину d берётся наибольший диаметр пятна, за ширину h - диаметр, ему перпендикулярный. Площадь пятна вычисляется по формуле:


Эта формула даёт площадь эллипса, главные оси которого равны hud.

Поэтому результат будет удовлетворительным только для таких пятен,

которые имеют форму эллипса.

площадь S будет равна, где d есть истинный диаметр пятна

Способ №3

Пятно ржавчины разбивают на отдельные фигуры (квадрат, прямоугольник, ромб, параллелограмм, трапеция, четырёхугольник,

Прямоугольный треугольник, равнобедренный треугольник, равносторонний треугольник, произвольный треугольник, многоугольник, правильный шестиугольник, круг, сектор) и считают отдельно площадь каждой фигуры, затем складывают полученные площади.



Произвольный треугольник. a, b, c - стороны; a - основание; h - высота;, B, C - углы, противоположные сторонам a, b, c; p = (a + b + c) / 2.


Последнее выражение называется формулой Герона.

Многоугольник, площадь которого нужно определить, может быть разделён своими диагоналями на несколько треугольников. Многоугольник, описанный около круга (рис. 67), может быть разделён прямыми, идущими из центра круга к его вершинам. Тогда получаем:


В частности, эта формула справедлива для любого правильного многоугольника.

Правильный шестиугольник. a - сторона.


Круг. D - диаметр; r - радиус.


Сектор (рис. 68). r - радиус; n - величина центрального угла в градусах; l - длина дуги.


Сегмент (рис. 68). Площадь сегмента определяется как разность между площадями сектора AmBO и треугольника AOB. Кроме того, есть приближённая формула для площади сегмента:


где a = AB (рис. 68) - основание сегмента; h - его высота (h = r - OD). Относительная погрешность этой формулы: при AmB = 60 - около 1.5%; при AmB = 30° - ~ 0.3%.

П р и м е р. Вычислить площади сектора AmBO (рис. 68) и сегмента AmB при следующих данных: r = 10 см, n = 60°.

Р е ш е н и е. Площадь сектора:


Площадь правильного треугольника AOB:


Отсюда, площадь сегмента:

= S1 - S2 = 52.36 - 43.30 = 9.06 см 2.

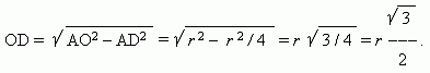
Заметим, что в правильном треугольнике AOB:

AB = AO = BO = r, AD = BD = r / 2, и поэтому высота OD

в соответствии с теоремой Пифагора равна:


Тогда, по приближённой формуле получим:


Способ №4

Метод «разбиения на строки»

В этом способе пятно разбивают на отдельные строки имеющие свою определенную площадь. И по количеству строк вместившихся на пятне ржавчины вычисляется общая площадь ржавчины. Этот метод легко поддается автоматизации и может быть использован в создании приборов способных определять площадь пятна.

Размерность площади и единицы измерения

S=L2

площадь ржавчина пятно палетка

Площадь может измеряться в м², см², мм² и т.д.

Но в системе [Си] площадь измеряется в м².

Заключение

Площадь пятна ржавчины можно вычислять множеством методов, но все они имеют большой недостаток - высокая погрешность измерения, поэтому стоит искать новые пути измерения площадей пятен и создавать приборы.

Список литературы

1) С.В. Симонович Геометрия базовый курс [Текст]: Учебник для вузов / под редакцией С.В. Симоновича - СПб: Питер, 2007 - 640 с. ISВN 5-94723-752-0

2)      А.В. Шипунова Площади фигур [Текст]: учебно - справочное пособие А.В. Шипунова - М. Астрель2006 - 320с ISBN 978-5-271-14122-5

)        Измерение площади пятна ржавчины / А.А. Кутин [и др.] // Вестник машиностроения. - 2005. - №7. - С. 71-74.

)        Турчанинов В.И. Метрология, стандартизация, сертификация и управление качеством в промышленности строительных материалов[Текст]: учебное пособие /В.И. Турчанинов, - Оренбург: ГОУ ОГУ, 2004 - 128С.

)        Кайнер Г.Б. Новые методы контроля параметров коррозии деталей и соединений [текст]/ Г.Б. Кайнер // Измерительная техника - 2006. - №6 - С. 66 - 69.

)        3, Пат.2091236 Российская Федерация, МПК7 В 32 В 15/01. Коррозийно-и износостойкая заготовка и способ ее изготовления и коррозийно- и износостойкие монеты и способ их изготовления [Электронный ресурс] /Мицихиро Ясуда, Майк Джон Харви Раско, Аллан Х.М. - №4895147/02; заявл. - 01.04.1991; ОПУБЛ, 27.09.1997. - Режим доступа: http://ru-patent.info/20/90-94/2091236.htm/.

Похожие работы на - Способы измерения площади пятна ржавчины

 

Не нашли материал для своей работы?
Поможем написать уникальную работу
Без плагиата!
Без нейросетей!