|
Класифікаційні
ознаки
|
Вид
інвестицій
|
|
1. За
об'єктами вкладення капіталу
|
а)
виробничі б) фінансові в) інтелектуальні
|
|
2. За
цілями застосування
|
а)
реінвестиції б) нетто-інвестиції
|
|
3. За
характером участі в інвестуванні
|
а)
прямі б) непрямі
|
|
4. За
періодом інвестування
|
а)
короткострокові б) довгострокові
|
|
5. За
формою власності інвестованого капіталу
|
а)
приватні б) державні
|
|
6. За
рівнем інвестиційного ризику
|
а)
безризикові б) низькоризикові в) середньоризикові г) високоризикові д)
спекулятивні
|
|
7. За
регіональним місцезнаходженням інвесторів
|
а)
національні б) іноземні
|
Крім того, розрізняють
валові та чисті інвестиції.
Валові інвестиції - це загальний
обсяг інвестування в певному періоді, що спрямоване на нове будівництво,
придбання засобів виробництва та приріст товарно-матеріальних засобів.
Чисті інвестиції - це сума валових
інвестицій без суми амортизаційних відрахувань у певному періоді.
Динаміка чистих
інвестицій характеризує економічний розвиток підприємства, галузі, держави.
Якщо сума чистих інвестицій від'ємна, тобто обсяг валових інвестицій менший від
суми амортизаційних відрахувань, це свідчить про зменшення обсягу випуску
продукції. Якщо ж сума валових інвестицій дорівнює нулю, це означає відсутність
економічного зростання, а якщо ця сума перевищує суму амортизаційних
відрахувань, це свідчить про розвиток економіки.
Відповідно до Положень
(стандартів) бухгалтерського обліку України інвестиції поділяють на фінансові
та капітальні. Під фінансовими інвестиціями розуміють активи, які
утримуються підприємством з метою збільшення прибутку за рахунок процентів,
дивідендів тощо, зростання вартості капіталу або отримання інших вигід для
інвестора. До фінансових інвестицій відносять: придбання акцій, облігацій,
депозитних сертифікатів, казначейських зобов'язань, інших цінних паперів [34,
237].
Під капітальними
інвестиціями розуміють усі витрати підприємства на придбання або створення
матеріальних і нематеріальних активів, що включаються до їх первісної вартості.
Заміна терміна
"реальні інвестиції" на термін "капітальні інвестиції"
(згідно з українським законодавством) є некоректною. Термін "капітальні
інвестиції" (або "капітальні вкладення") використовується, як
правило, стосовно інвестування капіталу в матеріальні види активів, передусім в
основні засоби. Згідно з чинним законодавством України цей термін характеризує
також "придбання нематеріальних активів, які підлягають амортизації".
Таке тлумачення капітальних інвестицій більшою мірою збігається з широко
використовуваним у світовій практиці терміном "реальні інвестиції",
тому необхідні відповідні зміни в чинному законодавстві України.
Ураховуючи класифікацію
інвестицій та напрями їх здійснення, розробляють інвестиційну політику
підприємства, що повинна відповідати таким вимогам:
підпорядкованості
довгострокової інвестиційної стратегії загальній і конкурентній стратегіям та
узгодженості з фінансовою стратегією підприємства;
оптимальності
співвідношень напрямів інвестування: капітальні інвестиції; інвестування в
оборотні кошти; фінансові інвестиції; інтелектуальні інвестиції;
альтернативності вибору
інвестиційної політики;
обґрунтування доцільності
інвестицій за допомогою як фінансових показників їх оцінки, так і неформальних
критеріїв.
1.3
Управління інвестиційною діяльністю
Поточний стан економіки
визначається діяльністю господарюючих суб'єктів, майбутній - обсягами
інвестицій у виробництво.
У результаті виготовлення
продукції та надання послуг зношуються основні фонди підприємств: будівлі,
споруди, машини, обладнання. Для їх відновлення нагромаджується амортизаційний
фонд. Сума обсягів амортизаційних фондів підприємств, нарахованих за певний
період часу, визначає обсяг коштів, необхідних для простого відновлення
зношених основних фондів. Основні фонди підприємств відновлюються у процесі
інвестиційної діяльності. Якщо обсяг інвестицій дорівнює обсягу амортизаційного
фонду, відбувається просте відновлення.
Розподіл валового
внутрішнього продукту (ВВП) на фонд споживання та фонд нагромадження є важливою
макроекономічною пропорцією національної економіки. Від того, яку частину ВВП
країна витрачає на створення матеріально-технічної та фінансової бази нових
виробництв товарів та послуг, залежать майбутні обсяги ВВП та відповідно
добробут населення. Реалізація фонду нагромадження - важлива частина
інвестиційної діяльності.
Суб'єктами інвестиційної
діяльності є інвестори, замовники, виконавці робіт, користувачі об'єктів
інвестиційної діяльності, а також постачальники, будь-які суб'єкти
підприємницької і фінансової діяльності - банківські, страхові і посередницькі
установи. Суб'єктами інвестиційної діяльності можуть бути фізичні та юридичні
особи (у тому числі іноземні), а також державні та міжнародні організації. Свої
відносини суб'єкти інвестиційної діяльності будують на основі договорів.
Основним суб'єктом інвестиційної діяльності є інвестор, який здійснює вкладення
власних, позичкових або залучених коштів у формі інвестицій [34, 238].
Інвесторами можуть бути:
) фізичні і юридичні
особи;
) об'єднання юридичних
осіб, які створені на основі договору про спільну діяльність і не мають статусу
юридичної особи;
) державні органи;
) органи місцевого
самоврядування;
) іноземні суб'єкти
підприємницької діяльності.
З урахуванням
спрямованості операційної діяльності, що здійснюється інвесторами, останніх
поділяють на індивідуальних та інституційних.
Індивідуальний інвестор -
це
фізична або юридична особа, яка інвестує кошти у розвиток свого підприємства. Інституційний
інвестор - це фінансовий посередник, що акумулює кошти індивідуальних
інвесторів і здійснює інвестиційну діяльність. Інституційними інвесторами є
інвестиційні компанії, інвестиційні фонди, які спеціалізуються на операціях з
цінними паперами.
Залежно від цілей інвестування,
які
ставлять перед собою інвестори, виділяються стратегічні і портфельні
інвестори. Якщо метою стратегічного інвестора під час здійснення
інвестиції є придбання контрольного пакета акцій або переважної частки
статутного капіталу іншого підприємства для реального управління ним, то портфельний
інвестор вкладає кошти в об'єкти інвестування з метою отримання поточного
доходу або приросту капіталу.
Усі інвестори мають рівні
права щодо здійснення інвестиційної діяльності у будь-якій формі: володіння, користування
і розпорядження об'єктами інвестування; визначення обсягів і напрямів
інвестицій; залучення на договірній, переважно конкурсній основі інших
суб'єктів інвестиційної діяльності; здійснення контролю за цільовим
використанням інвестованих коштів; об'єднання власних і залучених коштів із
коштами інших інвесторів для спільного інвестування [40, 156].
Суб'єктом інвестиційної
діяльності є також замовник. Замовниками можуть бути інвестори, а також
уповноважені інвестори, фізичні та юридичні особи, які здійснюють реалізацію
інвестиційних проектів і не втручаються у підприємницьку діяльність інших
суб'єктів інвестиційної діяльності, якщо інше не передбачено договором між
ними.
Підрядники як суб'єкти
інвестиційної діяльності - це фізичні і юридичні особи, які виконують роботи за
договором підряду і/або державним контрактом, що укладається із замовником.
Користувачами об'єктів
інвестиційної діяльності можуть бути інвестори, а також інші фізичні та
юридичні особи (у тому числі іноземні), державні органи й органи місцевого
самоуправління, іноземні держави, міждержавні об'єднання та організації, для
яких створюються об'єкти інвестиційної діяльності.
Суб'єкти інвестиційної
діяльності діють в інвестиційній сфері, яка включає:
сферу капітального
будівництва, де відбувається вкладення інвестицій в основні засоби виробничого
і невиробничого призначення. Ця сфера об'єднує діяльність
замовників-інвесторів, підрядників, проектувальників, постачальників обладнання
та інших суб'єктів інвестиційної діяльності;
інноваційну сферу, в якій
реалізуються науково-технічна продукція та інтелектуальний потенціал;
сферу обігу фінансового
капіталу, грошового, позичкового і фінансових зобов'язань у різних формах.
Об'єктом інвестиційної
діяльності є майно в різних формах, на яке витрачено інвестиції та яке
використовується для отримання прибутку: основні та обігові кошти, цінні
папери, науково-технічна продукція, інтелектуальні цінності, майнові права [40,
157].
Комплекс підприємств і
установ, продукція чи послуги яких сприяють реалізації інвестиційної
діяльності, становить інвестиційний комплекс країни. До нього належать:
підприємства будівельної
індустрії, промисловості будівельних матеріалів, машинобудування;
проектні організації та
установи;
фінансові посередники -
інвестиційні банки, компанії, фонди;
органи державного
управління, що регулюють діяльність суб'єктів інвестиційної діяльності;
інфраструктура фондового
ринку.
Весь національний дохід
країни поділяється на фонд споживання та фонд нагромадження. Останній є
узагальненим обсягом капітальних вкладень усіх підприємств за рік. Його частка
може становити 20-30% національного доходу. На частку державних коштів за
останні роки в Україні припадає лише п'ята частина капітальних вкладень, і
можливе подальше її зниження.
За формами відтворення
прямі інвестиції (капітальні вкладення) поділяються на такі види:
у нове будівництво -
створення нових підприємств (виробництв) на нових місцях за новими проектами;
на розширення виробництва
- уведення в дію нових основних фондів, подібних до діючих, для екстенсивного
збільшення обсягів виробництва на діючих об'єктах;
на реконструкцію -
оснащення діючих виробництв новою технологією та технікою за новими
комплексними проектами;
на технічне
переустаткування - для підвищення технічного рівня виробництва за рахунок
заміни старого обладнання на нове продуктивніше.
За складом і характером
витрат у прямих інвестиціях можна вирізнити їх технологічну структуру [40,
158]:
будівельні роботи;
монтажні роботи;
машини та обладнання;
проектні роботи.
Період типової реалізації
інвестицій поділяється на три частини:
) підготовка (проектні
роботи, організація фінансування, погодження, планування та
матеріально-технічне забезпечення початку робіт);
) реалізація - створення
нового матеріального об'єкта;
) експлуатація нового
виробництва, отримання прибутку, забезпечення окупності інвестицій, подальша
робота об'єкта.
За макроекономічне
сприяння інвестиційній діяльності відповідають органи державної влади країни. У
розпорядженні держави є важелі як прямої дії у вигляді централізованих
державних капіталовкладень в об'єкти загальнодержавного значення, розвиток
державного сектора економіки, так і непрямі засоби регулювання інвестиційного
середовища за рахунок бюджетної та грошово-кредитної політики.
Бюджетні важелі - це
встановлена державою система різних видів податків, що практично визначають
таку систему перерозподілу доходів підприємств і громадян країни, яку держава
вважає оптимальною для формування прибуткової частини бюджету та збереження у
підприємств і підприємців ринкових стимулів до роботи і отримання прибутків. З
бюджетом не можуть зрівнятися фінанси наймогутніших корпорацій. Витрати бюджету
є вагомим засобом формування сукупного попиту, а через нього - стимулювання
інвестицій взагалі та їх міжгалузевої структури. Навіть система соціальних
бюджетних програм (не кажучи вже про прямі бюджетні інвестиції в державний
сектор) впливає на структуру попиту, тому що соціальні виплати з бюджету
отримують люди, які мають витратити їх на ринку споживчих товарів, а це
стимулює виробництво та відповідні інвестиції для цього.
Грошово-кредитна політика
держави впливає на інвестиційні умови, регулюючи грошовий обіг і роботу
банківської системи, яка, по суті, репродукує збільшення коштів в економічній
системі. Основними інструментами грошово-кредитного регулювання є такі [12,
456]:
норми страхових резервів,
які зобов'язані мати комерційні банки й тим самим відволікати певну частину
своїх коштів від активного використання для кредитування та інвестування;
залікова ставка
Національного банку, за якою він продає кредитні ресурси комерційним банкам,
збільшуючи чи зменшуючи обсяги кредитних джерел для фінансування інвестицій;
операції з державними
цінними паперами на відкритому ринку.
Встановлюючи вигідні
умови (у вигляді ціни чи дивідендів) для своїх цінних паперів, держава стимулює
їх купівлю юридичними та фізичними особами і цим зменшує кількість вільних
грошей, які можуть бути використані для кредитування інвестицій через
банківську систему. Погіршуючи ж цінові та дивідендні умови продажу своїх цінних
паперів, держава стимулює їх викуп у юридичних і фізичних осіб. У результаті
цього в останніх з'являються додаткові кошти, які через банківську систему або
безпосередньо використовуються для фінансування інвестицій.
Ринкова економіка
розвивається циклічно: періоди швидкого зростання й активного інвестування
змінюються економічними кризами, падінням темпів, а іноді й абсолютних рівнів
ВВП. Мета державного регулювання - вирівнювати такі циклічні тенденції,
гальмуючи надлишкову інвестиційну активність у періоди піднесення та штучно
стимулюючи інвестиції перед спадами виробництва.
Загальну схему важелів
державного регулювання умов інвестиційної діяльності показано на рисунку 1.2
[12, 458].
Рис. 1.2 Важелі
державного регулювання умов інвестиційної програми
Управління інвестиційною
діяльністю підприємства має кілька типових функцій, які визначаються метою
реалізації обраної стратегії. На рисунку 1.2 показано приблизну послідовність
функцій інвестиційного менеджменту.
Рис. 1.3 Функції
управління інвестиційною діяльністю
Інвестиційна стратегія
завжди пов'язана з поточним станом підприємства, його діючою технічною,
технологічною та фінансовою базою, здійснюваною фінансово-господарською
діяльністю. Стратегія дає відповіді на основні питання, що завжди стоять перед
дирекцією підприємства:
. Продовжувати чи
коригувати здійснювану діяльність?
. Якщо коригувати, то в
яких напрямках?
. В яких обсягах
продовжувати чи коригувати діяльність?
. Які це дасть результати
через рік, два, три?
. Які кошти для такого
розвитку потрібні, та де їх джерела?
Навіть коли приймається
рішення нічого не змінювати на підприємстві, то це так само стратегія, яка має
бути обґрунтована, досліджена та сформована.
Розробка стратегії є
спеціальним дослідженням із типовими процедурами (рис. 1.4) [32, 67].
Рис. 1.4 Формування
інвестиційної стратегії
Інвестиційною стратегією
вважають систему дібраних довгострокових цілей і засобів їх досягнення,
що реалізуються в інвестиційній діяльності підприємства.
Добирати інвестиційну
стратегію слід з огляду на ряд критеріїв, що визначають її доцільність:
узгодженість з
фінансовими ресурсами, які можуть бути спрямовані на інвестиції;
ефективність, тобто
узгодженість результатів і реальних витрат на їх досягнення;
визначеність за термінами
досягнення встановленої мети;
оптимальність поєднання
очікуваного досягнення потрібної прибутковості та можливих ризиків і
невизначеності майбутнього періоду;
узгодженість запланованих
інвестицій із загальноекономічними умовами зовнішнього для підприємства
середовища [32, 68].
При визначенні інвестиційної
привабливості окремої сфери діяльності потрібно враховувати комплекс
факторів, що становлять зовнішні умови інвестиційного проекту:
) важливість галузі -
значення продукції, її особливості, частка експорту, залежність від імпорту,
рівень забезпеченості внутрішніх потреб країни, частка галузі або конкретної
продукції у валовому внутрішньому продукті, основні споживачі продукції;
) характеристика
споживання продукції галузі, рівень конкуренції чи монопольності, особливості
ринку збуту, фактичні та потенційно можливі обсяги ринку, сталість галузі щодо
загального економічного спаду у країні;
) рівень державного
втручання в розвиток галузі - низький, посередній чи значний, включаючи
державні капітальні вкладення, податкові пільги, можливість прискореної
амортизації тощо;
) соціальна значущість
сфери діяльності - кількість робочих місць, регіональне розташування
виробництв, середня заробітна плата, діяльність профспілок, екологічна
небезпечність виробництва та продукції, статистика страйків і збитків від них;
) фінансові умови роботи
галузі - рівень загальної прибутковості, середня рентабельність, віддача на
вкладений капітал, оборотність активів, їх середня ліквідність.
Інвестиційна
привабливість або взагалі "економічний паспорт" окремого підприємства
може мати такий вигляд [32, 72]:
. Загальна характеристика
виробництва: характер технології; наявність сучасного устаткування, у тому
числі іноземного; екологічна шкідливість виробництва; складське господарство;
наявність власного транспорту; географічне розташування; наближеність до
транспортних комунікацій.
. Характеристика
технічної бази підприємства: технології; вартість основних фондів; коефіцієнт
зношеності.
. Номенклатура продукції,
що випускається: обсяг виробництва; експорт; імпорт сировини та матеріалів;
зв'язки з іншими підприємствами; постачальники та споживачі; оцінювання
стабільності збуту (попиту).
. Виробнича потужність,
можливість нарощування виробництва.
. Місце підприємства в
галузі, на ринку; рівень монопольності стану підприємства.
. Характеристика
дирекції; схеми управління; численність персоналу, його структура, заробітна
плата.
. Статутний фонд;
власники підприємства; номінал і ринкова ціна акції, розподіл пакета акцій.
. Структура витрат на
виробництво, у тому числі за основними видами продукції, їх рентабельність.
. Обсяг прибутку та його
використання за звітний період.
. Фінанси підприємства:
склад дебіторської та
кредиторської заборгованості; її аналіз за часом виникнення та характеристикою
боржників;
показники фінансової
стабільності та ліквідності;
аналіз платоспроможності;
оцінка прибутковості.
. Загальний висновок.
Найсуттєвішим фактором
інвестиційної діяльності є наявність фінансових ресурсів. Це перша умова
формування інвестиційних планів і водночас основне обмеження. З оцінювання
обсягів наявних ресурсів починається інвестиційне планування, і за цими
ресурсами перевіряється реальність уже розробленої інвестиційної стратегії.
Схему пошуку можливих джерел фінансування інвестицій показано на рисунку 1.5.
Рис. 1.5 Джерела
фінансування інвестицій
Конкретна структура
обраної інвестиційної діяльності втілюється в поняття інвестиційного портфеля,
тобто спеціально дібраного набору конкретних інвестиційних проектів, прийнятих
до реалізації.
На стадії аналізу та
розробки стратегії інвестиційний портфель є запланованим засобом досягнення
стратегічних цілей. На стадії реалізації кожного проекту поняття інвестиційного
портфеля визначає структуру інвестицій.
Інвестиційний портфель,
як і кожний проект, що входить до складу цього портфеля, формується виходячи з
цілого ряду критеріїв, які встановлює для себе інвестор: прибутковості;
терміновості; рівня ризику; відповідності фінансових ресурсів.
Формування інвестиційного
портфеля - завдання багатокритеріальне. Воно має вирішуватися для майбутнього
періоду, тому базується на прогнозах. Для цього завдання не існує чітко
окреслених методик вирішення, але є типові процедури, загальні рекомендації та
методи прогнозованих розрахунків [41, 278].
Наведемо основні критерії
формування інвестиційного портфеля.
Критерій прибутковості
відбивається в очікуваному збільшенні доходів за рахунок або зростання
вартості самого об'єкта інвестування (портфель зростання), або високих і
регулярних дивідендів на інвестований капітал (портфель доходу). Інвестиційний
портфель, що має мінімальний ризик втрати інвестованого капіталу, визначається
як консервативний, а в разі великих показників очікуваної прибутковості
інвестицій (і великого ризику) портфель називається "агресивним".
Критерій терміновості
досягнення інвестиційних цілей визначає вимоги інвестора до термінів
реалізації інвестицій (до початку експлуатації об'єкта); досягнення потрібної
прибутковості та окупності інвестицій; життя (експлуатації) об'єктів
інвестицій.
Ступінь ризику інвестиційного
проекту визначається показником вірогідності недосягнення потрібної
прибутковості або взагалі втрати інвестованих коштів.
До цього критерію слід
віднести й характеристику ліквідності проекту - можливість зворотного
процесу перетворення об'єкта інвестування (у різних формах) знову на кошти. При
цьому без втрат не обійтися. їх обсяг і час, потрібний для продажу об'єкта
інвестування, визначають рівень ліквідності інвестиційного проекту. Його можна
прогнозувати й керуватися ним під час формування інвестиційного портфеля.
Відповідність проекту
фінансовим ресурсам є критерієм вибору саме тих проектів, що
відповідають обсягам коштів, які є або мають бути залучені інвестором. Це
питання обсягів і розмірів інвестицій. Співвідношення власних і залучених
коштів може бути різним, але чим більшою є частка власного капіталу ініціатора
інвестиційного проекту (краще понад 50%), тим надійніший проект.
Наведені критерії важко
поєднати всі й одразу. Нижче ілюструються їх можливі поєднання, що визначають
найважливіші аспекти інвестиційного добору проектів (див. рис. 1.6) [41, 280].
Рис. 1.6. Формування
інвестиційного портфеля
Наведемо типову
послідовність дій з формування інвестиційного портфеля:
) розробка стратегії
інвестиційної діяльності;
) визначення складу та
типу інвестиційного портфеля;
) аналіз та попередній
добір інвестиційних проектів;
) остаточний добір
інвестиційних проектів;
) розрахунки та
обґрунтування ефективності сформованого портфеля;
) розробка
організаційного плану реалізації інвестиційного портфеля та технології
управління ним.
Слід детальніше
зупинитися на питаннях аналізу привабливості інвестиційних проектів. Третій і
четвертий пункти описаної технології мають такий зміст щодо аналізу та
експертизи проектів:
привабливість сфери
діяльності чи галузі, на яку орієнтований проект;
обсяг, структура, джерела
інвестицій та їх фінансове забезпечення;
показники ефективності
проекту, оцінювання його прибутковості, окупності, термінів реалізації;
детальність розробки
проекту та його забезпеченість технічною й технологічною документацією,
експертними висновками, уже укладеними чи підготовленими договорами з
підприємствами, від яких залежить постачання матеріалів, обладнання,
будівництво та монтаж, збут продукції;
рівень ризику, шляхи його
зниження, можливість виходу з проекту, його ліквідність;
аналіз ділових якостей
персоналу, який є ініціатором проекту чи має його реалізовувати.
У процесі управління
інвестиційною діяльністю слід виокремити такі етапи: підготовчий; реалізації
проекту; експлуатації об'єкта інвестицій. Останній можна поділити на етап
повернення інвестиційних коштів (повної окупності інвестованих коштів) та етап
отримання економічного ефекту від реалізації проекту. Повний перелік функцій
інвестиційного управління наведений в додатку 1.
Здійснення інвестиційної
діяльності передбачає відповідне управління цим процесом: прийняття рішень щодо
забезпечення ресурсами, їх раціонального використання, а також техніки та
технології виробництва, проблем якості, цін і збуту, досягнення запланованого
кінцевого фінансового результату.
Розділ
2. Особливості управління інвестиційною діяльністю на підприємстві ВАТ
"Гнідавський Цукровий завод"
2.1
Характеристика економічно-господарського стану ВАТ "Гнідавський цукровий
завод”
Історія заводу бере свій початок у 1955 році,
коли було розпочато будівництво. В 1958 році закінчено комплексне випробування
устаткування першої черги заводу на виробничу потужність 1500 тн переробки
буряків за добу. Було пропущено одну лінію технологічного потоку. 16 грудня
1958 року було одержано перший цукор. Надалі удосконалювались технологічні та
теплові схеми, механізовувались виробничі процеси. Вводились виробничі
потужності: в 1983 році - 4780 тн переробки буряків на добу, в 1986 році - 4900
тн. В 1982 році було розроблено технологічну схему переробки цукру-сирцю.
ВАТ "Гнідавський цукровий завод"
знаходиться на південній частині м. Луцька (Гнідава) на землях Баївської
(розміщені поля фільтрації вод III категорії), Боратинської (розміщені основні
виробничі потужності: бурякопункт, головний корпус, ТЕЦ, адмінкорпус) та
Гірко-Полонківської (розміщений комплекс очисних споруд І та II категорії,
станція перекачування вод, радіальні відстійники, градирні) селищних Рад
Луцького району.
З 16 лютого 1994 року з метою підвищення
ефективності використання державного майна та досягнення найбільших результатів
діяльності, Гнідавський цукровий завод - орендне підприємство. У ВАТ
"Гнідавський цукровий завод" перетворено в процесі приватизації в
1996 році.
Юридична адреса: 43022, Волинська область, м.
Луцьк, вул. Ранкова, 1, тел. 78-44-19, 78-44-28 факс 8/0332/ 76-96-07
Форма власності - приватна, організаційно-правова
структура - ВАТ.
Вищий орган управління - загальні збори
акціонерів, зареєстрований та сплачений Статутний фонд підприємства 24135373,0
грн (96541492 шт. простих іменних акцій)
Перелік юридичних осіб, частка яких у статутному
фонді перевищує 5%:
Приватне мале підприємство "Арес"
(46,93% в статутному фонді); 45652 Волинська область, Луцький район, с. Не
свіч;
Приватне мале підприємство "Нортекс"
(38,67 % в статутному фонді); 45634 Волинська область Луцький район, с.
Боголюби.
Виробнича потужність 4900 тн переробки цукрових
буряків за добу, планова добова продуктивність - 4500 тн за добу.
Будівельна споруда складається з металевого
каркасу та цегляних стін: довжина 193,0 м. п., ширина - 33,38 м. п.; висота -
18,157 м. п. Площа забудови цукрового заводу розміщена поблизу р. Чорногузка.
Власні виробничі площі: головний корпус (площа
6060 кв. м) має наступні цехи та відділення - мийне, бурякопереробний цех,
продуктовий цех, сокоочисний цех; вапняно-газове відділення; склад цукру з пакувальним
відділенням; електроцех, лабораторія АіМ, цех залізничного та автомобільного
транспорту; жомова яма площею 15200 кв. м; насосна меляси та вагова з
резервуарним баком на 50 тн.; механічна майстерня; склад насіння; матеріальний
склад; сировинна лабораторія; ТЕЦ (котельня, машинний зал, ХВО); насосна
станція промводопостачання; поля фільтрації - 86 га.
Власні: склади зберігання цукру-піску - 5 шт.
секцій; склад для безтарного зберігання цукру-сирцю.
Будівлі мають під'їздні шляхи по автомобільних
дорогах та залізниці (відстань до станції Гнідава Львівської залізниці складає
5,4 км). Підприємство забезпечене (на виробничий період) власним електро-,
водо-, газо- та теплопостачанням.
Основною продукцією цукрового заводу є цукор,
отриманий в результаті переробки цукрових буряків. У 2003 році за останні 10
років було відновлено схему переробки цукру-сирцю. За призначенням готової
продукції цукровий завод відноситься як до групи "А", так як виробляє
продукцію що постачається як сировина для інших галузей харчової промисловості,
так і до групи "Б", продукція якого безпосередньо надходить до
споживача.
За період з 1958 по 2006 рік перероблено 17 554,7
тис. тн буряків та отримано з них 2 065 118 тн цукру.
Сьогодні ВАТ "Гнідавський цукровий
завод" - це потужне підприємство, що має широкі технологічні можливості в
області виробництва цукру та іншої допоміжної сировини.
Товариство має самостійний баланс, поточні
рахунки у банківських установах, круглу печатку із своїм найменуванням
українською мовою, штампи, печатки, фінансові бланки зі своєю назвою, фірмову
марку та торговий знак (знак обслуговування), які затверджуються Правлінням
Товариства, а також інші реквізити. Товариство відкриває в установах банків
рахунки в національній та іноземних валютах для розрахункових операцій за
місцем свого знаходження, так і за місцем знаходження своїх філій та
представництв. Товариство самостійно обирає банки для здійснення
кредитно-розрахункових операцій.
Метою господарської діяльності Товариства є
найбільш ефективне використання власного та іншого майна шляхом запровадження
сучасних технологій, форм організації виробництва, залучення інвестицій (в тому
числі іноземних) для насичення споживчого ринку, задоволення потреб населення в
продукції та отримання прибутку для наступного його розподілу відповідно до
рішення Загальних зборів акціонерів Товариства.
Господарська діяльність Товариства реалізується
шляхом здійснення фінансової, виробничої, торгівельної, орендної, лізингової,
інвестиційної, маркетингової, постачальницької, будівельної, науково-дослідної
діяльності, проектної, дилерської, експортно-імпортної, представницької,
благодійницької, культурно-освітньої та іншої діяльності, що відповідає меті
створення та подальшої діяльності Товариства.
Майно Товариства визначається як виробничі і
невиробничі фонди, речі, сукупність речей, гроші, цінні папери, нерухомість,
майнові права та інші цінності (включаючи матеріальні активи), які мають
вартісне значення, виробляються Товариством або використовуються у діяльності
Товариства, відображаються в балансі Товариства і належать до основних фондів,
оборотних засобів, коштів, товарів.
Інформація про основні засоби підприємства подана
в таблиці 2.1.
Таблиця 2.1.
Основні засоби (за залишковою вартістю)
|
Найменування
основних засобів
|
власні
основні засоби (тис. грн)
|
орендовані
основні засоби (тис. грн)
|
основні
засоби всього (тис. грн)
|
|
на
початок року
|
на
кінець року
|
на
початок року
|
на
кінець року
|
на
початок року
|
на
кінець року
|
|
1.
Виробничого призначення
|
26273,6
|
36012,7
|
0
|
0
|
26273,6
|
36012,7
|
|
-будівлі
та споруди
|
18922
|
18898,9
|
0
|
0
|
18922
|
18898,9
|
|
-машини
та обладнання
|
6293,7
|
15831,2
|
0
|
0
|
6293,7
|
15831,2
|
|
-транспортні
засоби
|
412,1
|
648,3
|
0
|
0
|
412,1
|
648,3
|
|
-інші
|
645,8
|
634,3
|
0
|
о,
|
645,8
|
634,3
|
|
2.
Невиробничого призначення
|
647,2
|
390,3
|
0
|
647,2
|
390,3
|
|
-будівлі
та споруди
|
498,3
|
273,9
|
0
|
0
|
498,3
|
273,9
|
|
-машини
та обладнай.
|
61,5
|
48,2
|
0
|
0
|
61,5
|
48,2
|
|
-транспотні
засоби
|
0
|
0
|
0
|
0
|
0
|
0
|
|
-інші
|
87,4
|
68,2
|
0
|
0
|
87,4
|
68,2
|
|
Всього
|
26920,8
|
36403,0
|
0
|
0
|
26920,8
|
36403,0
|
|
|
|
|
|
|
|
|
Джерелами формування майна у процесі господарської
діяльності Товариства є:
доходи, що отримані від господарської діяльності;
кредити (позики) банків та інших фінансових
установ;
доходи, що отримані від розміщення чи реалізації
цінних паперів;
надходження від діяльності залежних підприємств,
заснованих Товариством;
безоплатні та благодійні внески, пожертвування
юридичних осіб та громадян;
— інші джерела, не заборонені чинним
законодавством України.
Основні техніко-економічні показники діяльності
ВАТ "Гнідавський цукровий завод" за 2005-2007 рр. подано в таблиці
2.2.
Таблиця 2.2.
Основні техніко-економічні показники діяльності
підприємства
|
Показники
|
2005 р.
|
2006 р.
|
2007 р.
|
Відношення
звітного року у % до
|
|
|
|
|
базисного
|
минулого
|
|
Реалізація
продукції, тис. грн.
|
69034,3
|
103007,2
|
129092,7
|
187,0
|
125,3
|
|
Обсяг
продукції, виро-бленої у порівняльних оптових цінах, тис. грн.
|
80631,7
|
89420,8
|
109705,1
|
136,1
|
122,7
|
|
Середньорічна
вартість основних фондів, тис. грн.
|
42699,8
|
64911,7
|
77208,6
|
180,8
|
118,9
|
|
Середньорічна
вартість оборотних фондів, тис. грн.
|
10148,7
|
10344,3
|
10581,4
|
104,3
|
102,3
|
|
Чисельність
працюючих, чол.
|
642
|
665
|
648
|
100,9
|
97,4
|
З таблиці видно, що реалізація продукції у 2007
році порівняно з 2005 роком збільшилася на 87%, а порівняно з 2006 роком на
25,3 %.
Середньорічна вартість основних фондів у 2007
році порівняно з 2005 роком збільшилася на 36,1%, а порівняно з 2006 роком на
22,7 %.
Середньорічна вартість оборотних фондів у 2007
році порівняно з 2005 роком збільшилася на 4,3%, а порівняно з 2006 роком на
2,3 %.
Чисельність працюючих у 2007 році порівняно з
2005 роком збільшилася на 0,9%, а порівняно з 2006 роком зменшилася на 2,6%.
Склад та структуру товарної продукції ВАТ
"Гнідавський цукровий завод" за 2005-2007 рр. подано в таблиці 2.3.
Таблиця 2.3.
Склад та структура товарної продукції у фактичних
цінах реалізації
|
Види
продукції
|
2005 р.
|
2006 р.
|
2007 р.
|
|
|
Сума,
тис. грн
|
Струк-тура,%
|
Сума,
тис. грн
|
Струк-тура,%
|
Сума,
тис. грн
|
Струк-тура,%
|
|
Основне
вироб-ництво, в т. ч. цукор-пісок
|
44084,7
|
93,5
|
49543,6
|
90,7
|
56057,0
|
93,2
|
|
|
Допоміжне
ви-робництво, в т. ч. меляса жом сирий жом сухий вапно
|
765,0
842,6 641,6 242,0
|
1,6
1,8 1,4 0,5
|
1701,4 1323,6 907,1 290,4
|
3,1
2,4 1,7 0,5
|
1230,0 1313,5 823,2 337,5
|
2,0
2,1 1,3 0,6
|
|
|
Роботи
та послуги: фасовка цукру
|
595,5
|
1,2
|
877,4
|
1,6
|
906,3
|
1,4
|
|
|
Всього
по підприємству
|
47171,4
|
100
|
54643,6
|
100
|
60167,5
|
100
|
|
З таблиці видно, що виробництво товарної
продукції з кожним роком зростає. Проте, щодо виробництва цукру-піску, то
найбільше його було виготовлено в 2005 році (93,5%), дещо менше у 2006 р.
(90,7%), а у 2007 році виробництво знову зростає (93,2%).
Щодо допоміжного виробництва, то найбільшу частку
в ньому займає меляса. Проте, 2007 році допоміжне виробництво дещо скорочується
порівняно з 2006 роком.
Згідно технічного паспорту підприємства проектна
потужність ВАТ "Гнідавський цукровий завод" складає 4900 тон
переробки цукрових буряків за добу, а планова - 4500 тонн. Використання
технічної потужності за 2005-2008 pp. наведено в таблиці 2.4.
Таблиця 2.4.
Використання технічної потужності за 2005-2008
pp.
|
2005 р.
|
2006 р.
|
2007 р.
|
2008 р.
|
|
Проектна
потужність
|
4900
|
4900
|
4900
|
4900
|
|
Планова
переробка буряків за добу, тн
|
4500
|
4500
|
4500
|
5000
|
|
Фактична
переробка
|
4509
|
4362
|
4880
|
5200
|
|
Коефіцієнт
використання виробничої потужності
|
0,92
|
0,89
|
0,996
|
1,06
|
Низький коефіцієнт використання потужності за
2006 рік зумовлений поганою якістю сировини. Погодні умови не дали можливості
бурякам набратися біологічної стиглості. Показники вмісту інертних цукрів
перевищили допустимі у 5 разів, сировина псувалась та погано піддавалась
цукровилученню.
В 2006 році на ВАТ "Гнідавський цукровий
завод" була розпочата програма модернізації, мета якої - вихід заводу на
світові стандарти виробництва цукру як за якістю так і за економічними
показниками. На підприємстві встановлено нове обладнання: бурякорізки дискового
типу фірми Putsh (більш якісна бурякова стружка); нові центрифуги І продукту
фірми "India-Grupp", переобладнані центрифуги II і III продукту. На
період виробництва 2007 року проведено заміну парових камер вакуум-апаратів II
і III продуктів на нові парові камери типу "соти для меду" з
перемішуючими пристроями які міняють спосіб автоматичного регулювання
уварювання утфелю II продукту із застосуванням бріксометрів німецької фірми
PRO/m/tec. На випарній станції встановлені нові рівнеміри фірми Aplisens для
більш чіткого регулювання рівнів в корпусах. На III продукті встановлено
додаткова центрифуга безперервної дії. Фірмою IPRO виконано проект
реконструкції продуктового відділення який дозволить збільшити потужність
переробки буряків до 6,0 тис. тонн (коефіцієнт використання потужності при
цьому складе 1,22).
ВАТ "Гнідавський цукровий завод"
випускає традиційний білий цукор, який затарюється в поліпропіленові мішки
вагою 50 кг та розфасовується в пакети (вагою 1 кг поліпропіленовий та
паперовий пакети); природний цукор - нерафінований продукт, який містить
мікро-макро елементи, вітаміни В1 В2, амінокислоти, мінеральні солі, не містить
консервантів, ароматизаторів та барвників, зменшує рівень холестерину, збагачує
кров необхідними елементами (розфасовка - 1 кг поліпропіленовий пакет, 0,5 та
0,25 кг коробка). Випускаються крупне, дрібнокристалічний цукри, які
застосовують в кондитерській промисловості (пакети вагою 1 кг і коробки вагою
0,5 кг) та цукор желювальний, який містить яблучний пектин та лимонну кислоту і
скорочує приготування варення до 4 хв. (поліпропіленовий пакет вагою 1 кг),
пресований білий та природний цукри (коробки вагою 0,25; 0,5 та 1,0 кг); в
стіки вагою 5 грам розфасовується традиційний білий та природний цукор
(пакетики виготовлені з високоякісного ламінованого паперу пакуються в коробку
з мікрогофрокартону).
Цукор-пісок ВАТ "Гнідавський цукровий
завод" має ряд переваг в порівнянні з цукрами інших заводів: кольоровість,
кристалоструктура (автоматичні варщики утфелю уварюють однорідний кристалл
розміром до 0,8 мм), відсутність "муки" (цукрового пилу). Заради
високої якості продукції застосовуються сучасні інтенсифікатори технологічного
процесу, більш якісні артикули фільтрувальних тканин. На заводі відсутні
рекламації, продукція користується високим попитом у споживачів.
Фінансово-господарська діяльність Товариства
здійснюється відповідно з цілями, які затверджуються Загальними зборами
акціонерів Товариства.
Дані аналітичної таблиці в додатку 1 дозволили
нам зробити наступні висновки:
- власний капітал у 2007 р.
зріс в порівнянні з 2006 р. на 278,7 тис. грн., однак у 2005 р. зменшився на
67,1 тис. грн. Таке коливання відбулося за рахунок зростання чистого прибутку у
2007 р. на 50,3 тис. грн. і відповідно його зменшення у 2005 р. на 38,0 тис.
грн.;
- виручка від реалізації по
роках коливається: у 2007 році зросла на 4767,1 тис грн. порівняно з 2006
роком, а у 2005 знизилась на 20,4 тис. грн. порівняно з 2006 роком, причиною
чого було зниження обсягів випуску товарної продукції;
·
собівартість реалізованої продукції у 2005 та 2006 році зросла на
3568,4 тис грн. та на 209,4 тис. грн. відповідно, що є негативним так як обсяг
реалізації у 2006 р. знизився 20,4 тис. грн.;
·
валовий прибуток зріс у 2007 р. на 678,5 тис. грн., що відбулося
за рахунок зростання виручки від реалізації і знизився у 2005 р. на 226,4 тис.
грн. через зниження виручки і зростання собівартості продукції;
·
така ж ситуація спостерігається з чистим прибутком, який
збільшився у 2007 р. на 50,3 тис. грн., а у 2005 р. знизився на 38,0 тис. грн.;
·
чисельність працюючих збільшилося за рахунок зростання обсягу
випуску продукції;
·
фонд оплати праці збільшується у 2006 році на 28381,5 тис. грн.
порівняно з 2005 роком та у 2007 році на 46660 тис. грн. порівняно з 2006
роком, що також пов’язано із зростанням виручки від реалізації та чисельності
працюючих;
·
середньомісячна зарплата зросла у 2006 році на 131,1 тис грн.
порівняно з 2005 роком та у 2007 році на 215,9 тис. грн. порівняно з 2006 роком;
·
середньорічна вартість основних фондів значно зросла у 2006 році
на 185,95 тис. грн. порівняно з 2005 роком, а у 2007 році на 2,45 тис. грн.
порівняно з 2006 роком;
·
вартість оборотних коштів у 2006 році зросла на 167,6 тис. грн.
порівняно з 2005 роком за рахунок зростання величини виробничих запасів і
готової продукції відповідно на 56,7 тис. грн. і 212,2 тис. грн., а у 2007 році
- на 8,2 тис. грн. порівняно з 2006 роком через зростання виробничих запасів на
146,2 тис. грн., дебіторської заборгованості на 337,6 тис. грн., грошових
коштів на 0,8 тис. грн.;
·
дебіторська заборгованість знизилась у 2006 р. на 112,4 тис. грн.,
враховуючи те, що виручка від реалізації зросла можна говорити про те, що
збільшився приплив коштів від дебіторів, у 2007 р. спостерігається протилежна
ситуація - дебіторська заборгованість зросла на 336,0 тис. грн.;
·
кредиторська заборгованість знизилась у 2006 році на 85,5 тис.
грн. порівняно з 2005 роком, у 2007 році - на 116,0 тис. грн. порівняно з 2006
роком, що свідчить про покращення господарської діяльності підприємства.
Дані таблиці в додатку 2 дозволяють зробити
наступні аналітичні висновки. За аналізований період майно підприємства
збільшилося у 2006 році на 63,4 тис. грн. порівняно з 2005 роком і становить
2970,2 тис. грн., у 2007 році - на 650,3 тис. грн. порівняно з 2006 роком і
становить 3620,5 тис. грн. Така зміна зумовлена збільшенням оборотних активів у
2006 році на 167,7 тис. грн., у тому числі, запасів на 56,7 тис. грн., готової
продукції на 212,2 тис. грн., інших оборотних активів на 8,5 тис. грн., товарів
на 14,5 тис. грн., одночасно відбулось зменшення дебіторської заборгованості і
грошових коштів відповідно на 93,1 тис. грн. і 11,8 тис. грн. У 2007 р.
зростання майна підприємства на 650,3 тис. грн. стало можливим за рахунок
збільшення:
- необоротних активів на
2002,2 тис. грн.;
- оборотних активів на
447,3 тис. грн., в тому числі:
- виробничі запаси - на
146,2 тис. грн.;
- дебіторська
заборгованість за товари, роботи і послуги - на 337,6 тис. грн.;
- грошові кошти - на 0,8
тис. грн;
- інших оборотних активів
на 11,5 тис. грн.
Загалом за період, що аналізується вартість
оборотних активів постійно зростала (на 167,7 тис. грн. у 2006 р. і 447,3 тис.
грн. у 2007 р.), що може свідчити про розширення операційної діяльності
підприємства.
Аналіз динаміки пасиву балансу свідчить (додаток
3), що його основну частину складають позикові кошти, що є негативним явищем
оскільки підприємство залежить від зовнішніх джерел фінансування і має низьку
фінансову стійкість.
У 2006 р. зростання джерел майна відбулось за
рахунок збільшення власного капіталу на 278,7 тис. грн. та поточних зобов’язань
за розрахунками на 58,0 тис. грн. Натомість зменшились поточні зобов’язання на
295,3 тис. грн. за рахунок зниження короткострокових кредитів на 154,3 тис.
грн., кредиторської заборгованості за товари, роботи, послуги на 85,5 тис. грн.
та інших поточних зобов’язань на 33,5 тис. грн.
Зростання пасиву балансу у 2007 р. на 713,7 тис.
грн. стало можливим за рахунок збільшення поточних зобов’язань на 797,4 тис.
грн. (короткострокові позики зросли на 655,2 тис. грн., векселі видані - на
225,3 тис. грн.).
Позитивним є залучення довгострокових позик, якщо
вони будуть використовуватись в обороті підприємства.
Всі ці показники свідчать про те, що підвищення
собівартості одиниці продукції за 2005-2007 рр., перш за все зумовлене ростом
матеріальних затрат, а вже потім - ростом витрат на оплату праці і відрахувань.
Та незважаючи на це, аналізуючи дані таблиць,
можна зробити висновок про успішну діяльність підприємства - ріст виробництва
та прибутку.
2.2
Управління реальними інвестиціями на ВАТ "Гнідавський цукровий завод"
Провідну роль в
інвестиційній діяльності підприємства відіграють реальні інвестиції. Вони є
головною формою реалізації стратегії економічного розвитку підприємства.
За допомогою реальних
інвестицій відтворюються на простій і розширеній базі основні засоби
виробництва, тобто створюється матеріальний фундамент для підвищення
продуктивності живої праці через упровадження комплексної механізації та
автоматизації виробництва. Завдяки реальним інвестиціям упроваджуються
досконаліші форми суспільної організації виробництва: його спеціалізація,
кооперування і комбінування.
На рівні підприємства
управління інвестиційною діяльністю спрямоване на забезпечення реалізації
найефективніших напрямів вкладення капіталу. Управління інвестиціями охоплює
кілька етапів, основні з яких відображено на рис.2.1.
Рис.2.1 Процес
управління інвестиціями
Початковим етапом
управління інвестиціями на рівні підприємства є аналіз інвестиційного
клімату країни, що ґрунтується на вивченні таких прогнозів:
динаміки валового
внутрішнього продукту і обсягів виробництва продукції;
динаміки розподілу
валового внутрішнього продукту (накопичення і споживання);
розвитку приватизаційних
процесів;
законодавчого регулювання
державою інвестиційної діяльності;
розвитку окремих
інвестиційних ринків, особливостей грошового і фондового;
демографічної ситуації.
Висновки з проведеного
аналізу є основою наступного етапу - вибору конкретних напрямів
інвестиційної діяльності підприємства відповідно до стратегії його
економічного і фінансового розвитку. На цьому етапі підприємство обирає
галузеву спрямованість своєї інвестиційної діяльності, визначає інвестиційну привабливість
окремих галузей економіки - їх кон'юнктуру, динаміку і перспективи попиту на
продукцію цих галузей. Оцінювання інвестиційної привабливості галузей економіки
включає: визначення стадії життєвого циклу галузі; позиції галузі щодо її
ділового циклу; прогнозування перспектив розвитку галузі.
У процесі аналізу
оцінюють також циклічність галузі, порівнюючи динаміку її розвитку з
загальноекономічними тенденціями. На основі цієї оцінки передбачають зміни
загальноекономічної кон'юнктури.
Завершуючи оцінювання
інвестиційної привабливості галузей, з'ясовують:
динаміку розвитку галузі
в країні і світі;
умови конкуренції
(бар'єри в галузі, відносини між конкурентами, можливість появи
товарів-аналогів);
виробничий потенціал
виробників і платоспроможність покупців;
законодавство з
інвестицій.
Основним показником
інвестиційної привабливості галузей є рівень забезпечення прибутковості
активів, які використовуються.
Оцінка інвестиційної
привабливості галузей доповнюється оцінкою регіонів, оскільки продукція
підприємств тієї самої галузі, розміщених у різних регіонах, має різну
привабливість. Привабливість регіонів обумовлена їх місце розташуванням,
розвитком транспортної мережі, соціальними умовами; розвитком підприємницької
інфраструктури; природно-кліматичними умовами, наявністю ресурсів тощо.
Інвестиційна
привабливість регіонів України оцінюється за різними критеріями. Результати
оцінки регіону порівнюються з середніми показниками по Україні і на цій
підставі підприємство приймає управлінські рішення про вибір конкретних
напрямів інвестицій.
Наступним етапом
управління реальними інвестиціями є вибір конкретних об'єктів інвестування, який
починається з аналізу пропозицій на інвестиційному ринку, відбору окремих
інвестиційних проектів і фінансових інструментів, що відповідають основним
напрямам інвестиційної діяльності й економічної стратегії підприємства. Усі
відібрані об'єкти інвестування аналізуються з позиції їх економічної
ефективності.
За результатами цього
аналізу проводиться ранжування об'єктів за критерієм їх ефективності -
дохідності. Відбираються до реалізації ті об'єкти, які забезпечують найбільшу
ефективність.
Наступним етапом процесу
управління інвестиціями є визначення ліквідності інвестицій. У процесі
інвестиційної діяльності підприємства в результаті зміни інвестиційного клімату
за окремими об'єктами інвестування очікувана дохідність може значно знизитися.
Тому необхідно відстежувати ці зміни і своєчасно приймати рішення про вихід з
окремих програм інвестування і реінвестування капіталу. За кожним об'єктом
інвестування спочатку оцінюють ступінь ліквідності інвестицій і перевагу
віддають тим із них, які мають необхідний потенційний рівень ліквідності.
Важливим етапом
управління інвестиціями є визначення необхідного обсягу інвестиційних
ресурсів і пошук джерел їх формування. На цьому етапі прогнозується
загальна потреба підприємства в інвестиційних ресурсах, а на її основі
визначаються джерела їх формування. У разі нестачі власних фінансових коштів
приймається рішення про залучення позичкових коштів.
У результаті здійснення
вказаних заходів формується інвестиційний портфель. Він являє собою сукупність
інвестиційних програм, що реалізуються підприємством.
Завершальний етап
управління інвестиціями - управління інвестиційними ризиками. На цьому
етапі виявляються ризики, з якими може зіткнутися підприємство в процесі
реалізації кожного з об'єктів інвестування, і розробляються заходи щодо
мінімізації інвестиційних ризиків.
2.3
Формування портфеля фінансових інвестицій та оцінювання його ризику
Більшість індивідуальних
інвесторів зберігають власні кошти як частину портфеля, а не вкладають усі
гроші в одну компанію. Унаслідок цього ризик та дохідність окремих цінних
паперів необхідно проаналізувати щодо того, яким чином ці активи впливають на
ризик та дохідність портфеля, до якого вони входять. Наприклад, виявляється, що
актив, який має високий ступінь ризику, якщо розглядається ізольовано, може
виявитись абсолютно безризиковим як складова портфеля та за певного
співвідношення активів, що формують цей портфель. Тому, виходячи з того, що
ризик добре диверсифікованого портфеля може повністю змінити рішення, яке було
б прийняте за оцінювання загального ризику, вмінню аналізувати ризик у
контексті портфеля інвестицій надається першочергове значення в інвестиційному
менеджменті [12, 345].
Оцінюючи портфель та
доцільність операцій з активами, що до нього входять, оперують такими
показниками, як очікувана дохідність та ризик інвестиційного портфеля в цілому.
У табл.2.1 наведено
статистичні дані про дохідність фінансових інструментів А, В, С та
D за останні три роки (див. стовпчики 1-4). Проаналізуємо ризик цих
інструментів на підприємстві, а також можливих портфелів, якщо менеджер може
вибрати одну з трьох стратегій інвестування:
а) вибрати один із
фінансових інструментів;
б) сформувати портфель, у
якому 50 % буде становити актив А, а 50 % - актив С або D;
в) сформувати портфель, у
якому 50 % буде становити актив В, а 50 % - актив С або D.
Розрахуємо середню
дохідність, стандартне відхилення та коефіцієнт варіації цих активів та
можливих портфелів.
Таблиця 2.1.
Динаміка дохідності фінансових інструментів та
кількісні характеристики можливих інвестицій
|
Показники
|
Види
активів
|
Портфелі
50 % + 50 %
|
|
А
|
В
|
С
|
D
|
А +
С
|
A +
D
|
В +
С
|
В +
D
|
|
1
|
2
|
3
|
4
|
|
|
|
|
|
Дохідність
у році 1
|
7
|
13
|
12
|
18
|
9,5
|
12,5
|
12,5
|
15,5
|
|
Дохідність
у році 2
|
12
|
10
|
14
|
14
|
13
|
13
|
12
|
12
|
|
Дохідність
у році 3
|
13
|
9
|
18
|
12
|
15,5
|
12,5
|
13,5
|
10,5
|
|
Середня
дохідність, %
|
10,7
|
10,7
|
14,7
|
14,7
|
12,7
|
12,7
|
12,7
|
12,7
|
|
Стандартне
відхилення, %
|
3,22
|
2,08
|
3,06
|
3,06
|
3,014
|
0,292
|
0,765
|
2,566
|
|
Коефіцієнт
варіації (CV)
|
0,300
|
0, 194
|
0, 208
|
0, 208
|
0,237
|
0,023
|
0,060
|
0, 202
|
Розраховані значення
середньої дохідності, коефіцієнта варіації фінансових активів та можливих
портфелів подано в табл.2.1 Вихідні характеристики щодо портфельних інвестицій
знаходять за формулою середньої арифметичної зваженої. Проілюструємо принцип
розрахунку коефіцієнта варіації для активу А та можливого портфеля А
+ С.
Розрахунок стандартного
відхилення можна здійснити, використовуючи таку формулу:
де
= (7 + 12 + 13): 3 = 10,7 %;(
) =
=
[ (7-10,7) 2 + (12,0-10,7) 2 + (13 - 10,7) 2]
=
[ ( - 3,7) 2 +
+ (1,3) 2 + (2,3) 2] =
[13,69 + 1,69 + 5,29] =
= 10,335;
= 3,22 %.
=
=0,3;
= [ (9,5-12,7) 2 + (13-12,7) 2 + (15,5-12,7)
2] =
18,17 = 9,085;
= 3,014 %;
CVP =3,014: 12,7 = 0,237.
Отже, згідно з розрахованими значеннями стандартного
відхилення та коефіцієнта варіації у міру зростання ризику фінансові
інструменти упорядковуються таким чином:
актив В - найменш ризиковий;
актив С та D - більш ризиковані, ніж актив В;
актив А - найризиковіший.
З позиції портфельних інвестицій найменш ризиковий варіант,
коли інвестор усі свої кошти вкладає в портфель, у якому 50 % становить актив А
та 50 % - актив D (коефіцієнт варіації має найменше значення 0,023).
Звернімо увагу, незважаючи на те, що найризиковішим є актив А, саме він
входить до найменш ризикового портфеля.
Цікавим є також той факт, що два з можливих портфелі
забезпечують менший рівень ризику, ніж будь-який з активів, що цей портфель
формують.
Крім того, при формуванні портфелів з активами С або D (вони
мають однакові значення середньої дохідності й відрізняються лише послідовністю
значень дохідності за роками) необхідно надати перевагу включенню до них
активу, що має тенденцію зміни дохідності, протилежну базовому активу.
Розглянемо інший приклад, який дасть нам можливість
отримати краще уявлення про сутність оптимізації ризику та дохідності (активів)
при формуванні інвестиційного портфеля.
У табл. 2.2 наведено статистичні дані за останні чотири
роки про дохідність фінансових активів А, В, С та D, що
трактуються як однопродуктові портфелі. Розглядається доцільність комбінації
цих активів за схемою 50 % + 50 %; тобто слід розглянути можливі варіанти
формування портфелів із двох активів, причому 50 % портфеля має становити один
актив, 50 % - інший. Розрахуємо коефіцієнт кореляції та стандартне відхилення
отриманих портфелів.
Таблиця 2.2.
Динаміка дохідності фінансових активів
Актив Дохідність за роками,
% Середня дохідність, % Var Стандартне відхилення (
), %
|
|
|
1
|
2
|
3
|
4
|
|
|
|
|
А
|
10
|
9
|
13
|
14
|
11,5
|
5,667
|
2,3805
|
|
В
|
11
|
10
|
14
|
15
|
12,5
|
5,667
|
2,3805
|
|
С
|
14
|
15
|
11
|
10
|
12,5
|
5,667
|
2,3805
|
|
D
|
10
|
14
|
15
|
12,5
|
5,667
|
2,3805
|
Використання як ступеня
ризику стандартного відхилення (див. табл. 2.2) дає можливість дійти висновку,
що всі активи мають однакову ризиковість, і тому проблема полягає лише у
формуванні найбільш дохідного портфеля, оскільки актив А має найменшу
середню дохідність порівняно з іншими активами.
Об'єднання ризикових
активів у портфель може приводити до зниження ризику порівняно з ризиком,
властивим кожному з цих активів, взятих окремо. Однак результат залежить не
лише від ризиковості активів, що об'єднуються, а й від характеру взаємозв'язку
між їх дохідностями.
Якщо інвестор приймає
рішення в умовах визначеності, то визначити оптимальну комбінацію "ризик -
дохідність" досить легко: потрібно шукати оптимальний портфель акцій для
інвестора, не схильного до ризику, за допомогою математичного очікування та
дисперсії.
В табл. 2.3 наведено
статистичні дані про дохідність акцій ВАТ "Гнідавський цукровий
завод" та середню дохідність на ринку цінних паперів (індекс) за останні
10 років (див. також стовпчики І-IV додатку 8).
Таблиця 2.3.
Показники дохідності акцій ВАТ "Гнідавський
цукровий завод" та ринкової дохідності
|
Показники
|
Рік
|
|
1-й
|
2-й
|
3-й
|
4-й
|
5-й
|
6-й
|
7-й
|
8-й
|
9-й
|
10-й
|
|
Дохідність
акцій ВАТ, k1
|
0,314
|
-0,144
|
0,380
|
-0, 197
|
-0,249
|
0,262
|
-0,171
|
0,340
|
0,445
|
0,406
|
|
Ринковий
показник дохідності акцій, km
|
0,245
|
-0,083
|
0,284
|
-0,122
|
-0,162
|
0, 205
|
-0,109
|
0,258
|
0,336
|
0,310
|
|
Дохідність
безризико-вих цінних паперів, Zt
|
0,06
|
0,04
|
0,06
|
0,04
|
0,04
|
0,05
|
0,04
|
0,06
|
0,06
|
0,06
|
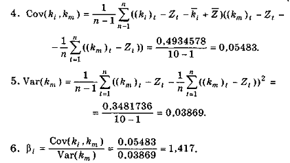
Використовуючи отримані результати проміжних розрахунків
необхідних показників (додаток Ж), поетапно обчислимо
-коефіцієнт.
.
=
= 0,1386 (у частках одиниці), або 13,86%.
.
=
= 0,1162 (у частках одиниці), або 11,62 %.
3.
Розраховані значення
- коефіцієнта свідчать, що акції компанії більш ризикові, ніж
ринок у цілому. Крім того, враховуючи те, що отримані коефіцієнти додатні,
динаміка ефективності акцій компанії буде відповідати динаміці ринкової
ефективності цінних паперів.
2.4
Оцінювання ефективності управління інвестиційним портфелем
Оцінювання ефективності
управління портфелем інвестицій є одним із найголовніших завдань інвестиційного
менеджера. У свою чергу оцінювання ефективності роботи інвестиційного інституту
як закладу, що управляє інвестиційним портфелем фінансових інструментів,
надзвичайно важливе для окремих інвесторів, оскільки аналіз та вибір цінних
паперів для портфеля потребують великої кількості цінних матеріальних ресурсів
і відволікають висококваліфікованих фахівців, а правильний вибір серед наявних
альтернативних можливостей розміщення коштів слід зробити швидко. Отже,
інвестори мають правильно визначити, чи доцільно інвестувати гроші в певний
портфель.
Припустимо, що фонд нашої
компанії розподіляється останні п'ять років між трьома інвестиційними
менеджерами А, В, С. Нам необхідно вирішити, чи поновлювати наші контракти з
менеджерами з управління портфелем цінних паперів. Отже, щоб прийняти рішення,
необхідно проаналізувати, як вони діяли.
За останні п'ять років
середньозважена дохідність (враховуючи дивіденди) окупного ринкового портфеля
(наприклад, індекс Stendart and Poor 500) становила 11,9 %. Середня номінальна
дохідність за державними казначейськими векселями - 6 %, стандартне відхилення
S&P 500 - 20,6 %.
Щорічну дохідність
портфелів цінних паперів та інші дані подано в табл. 2.4.
Таблиця 2.4.
Дані за портфелями цінних паперів
Інвестиційні менеджери та їх портфелі ЦП Середньорічна
дохідність
, %
Стандартне відхилення дохідності
|
, %
|
|
|
|
|
А
|
15,1
|
1,58
|
32,6
|
|
В
|
13,9
|
1,12
|
23,1
|
|
С
|
12,3
|
0,7
|
14,4
|
. Коефіцієнти Трейнора
для відповідних інвестиційних портфелів:
=
= 0,0576
=
= 0,0705
=
= 0,09
=
= 0,059
Отже, менеджер С показав найкращий результат.
. Коефіцієнт Шарпа:
=
= 0,279
=
= 0,342
=
= 0,438
=
= 0,286
Інвестиційний портфель менеджера С має найнижчу премію за
ризик на одиницю виміру загального ринкового ризику.
Коефіцієнти Дженсона:
A = 0,151 - 0,06 - 1,58 (0,119 - 0,06) = -
0,002;
DjKB = 0,139 - 0,06 - 1,12 (0,119 - 0,06) =
0,013;
DjKС = 0,123 - 0,06 - 0,7 (0,119 - 0,06)
= 0,022.
Отже, усі отримані за різними моделями коефіцієнти свідчать
про найвищу професійність в управлінні інвестиційним портфелем у менеджера С.
Отримані результати мають відповідну наочність, якщо за ними побудувати лінії
ринку цінних паперів та капітального ринку (рис.2.2).
Рис. 2.2 Лінія
капітального ринку та відповідні характеристики інвестиційних портфелів
Оскільки характеристики
інвестиційного портфеля менеджера А знаходяться під лінією, то він має і
найнижчу премію за ризик на одиницю виміру загального ризику. Відповідно
портфелі менеджерів В і С, що знаходяться над лінією, є ефективнішими, ніж
загальний ринок, причому портфель С ефективніший та краще пристосований до
ризику, ніж портфель В, (його відстань до лінії CML - більша).
Висновки
У курсовій роботі ми досліджували одну з
актуальних проблем сучасності - формування інвестиційного портфелю підприємства
та особливості управління різними видами інвестицій. Вивчення та аналіз
наукових джерел дали нам змогу зробити наступні висновки.
Інвестиції - це вкладення
капіталу в об'єкти підприємницької діяльності з метою забезпечення його
зростання у майбутньому періоді, а інвестиційна діяльність - це діяльність, що
пов'язана з придбанням і реалізацією необоротних активів, а також із
здійсненням фінансових інвестицій, які не є складовою еквівалентів грошових
коштів.
Здійснення інвестиційної
діяльності передбачає відповідне управління цим процесом: прийняття рішень щодо
забезпечення ресурсами, їх раціонального використання, а також техніки та
технології виробництва, проблем якості, цін і збуту, досягнення запланованого
кінцевого фінансового результату.
У процесі управління
інвестиційною діяльністю слід виокремити такі етапи: підготовчий; реалізації
проекту; експлуатації об'єкта інвестицій. Останній можна поділити на етап
повернення інвестиційних коштів (повної окупності інвестованих коштів) та етап
отримання економічного ефекту від реалізації проекту.
Конкретна структура
обраної інвестиційної діяльності втілюється в поняття інвестиційного портфеля,
тобто спеціально дібраного набору конкретних інвестиційних проектів, прийнятих
до реалізації.
Інвестиційний портфель
- цілеспрямовано сформована сукупність об'єктів реального, інтелектуального
та фінансового інвестування, призначена для реалізації інвестиційної політики
підприємства в майбутньому періоді.
Управління портфелем
потребує зваженого підходу і дає найкращі результати завдяки ретельному аналізу
потреб інвестора, а також прийнятних для включення в портфель інвестиційних
інструментів. При формуванні портфеля слід зважати на такі умови: необхідний
рівень поточного доходу, збереження й приріст капіталу, податкові аспекти,
ризик тощо.
Головною метою формування
інвестиційного портфеля є забезпечення реалізації основних напрямків
інвестиційної діяльності підприємства шляхом підбору найбільш дохідних і
безпечних об'єктів інвестування.
Більшість інвесторів
інвестують зазвичай кілька об'єктів реального або фінансового інвестування,
формуючи натомість сукупність активів (портфель). Цілеспрямований підбір таких
об'єктів розглядають як процес формування інвестиційного портфеля.
В сучасних умовах
найреальніше сформувати два види портфелів: портфель реальних інвестицій та
портфель фінансових інвестицій. При цьому можна досягнути однієї з трьох
альтернативних цілей: одержання високих прибутків, забезпечення приросту
капіталу та розширення сфери впливу. Дані цілі не можуть бути досягнуті
одночасно, оскільки в короткостроковому періоді суперечать одна одній. Проте
всі вони характеризуються необхідністю забезпечення високої ліквідності та
зниження інвестиційного ризику.
Проведений аналіз
управління інвестиційною діяльністю на ВАТ "Гнідавський цукровий
завод", дозволив зробити висновки, які можна сформулювати в такий спосіб:
. Ефективна безліч
містить ті портфелі, які, водночас, забезпечують і максимальну очікувану
прибутковість при фіксованому рівні ризику, і мінімальний ризик при заданому
рівні очікуваної прибутковості.
. Передбачається, що
інвестор вибирає оптимальний портфель із портфелів, що становлять ефективну
безліч.
. Диверсифікованість,
зазвичай, призводить до зменшення ризику, тому що стандартне відхилення
портфеля в загальному випадку буде менше, ніж середньозважені стандартні
відхилення цінних паперів, що входять у портфель.
. Відповідно до ринкової
моделі загальний ризик цінного папера складається з ринкового ризику й власного
ризику.
Проведені нами
дослідження дають підстави говорити, що навіть сьогодні інвестиційний клімат в
Україні є несприятливим, можливості інвесторів щодо формування збалансованого
високоприбуткового портфеля - обмежені. За такої кон'юнктури значного приросту
обсягів інвестування очікувати не доводиться. А це означає, що вже у найближчі
часи українські товаровиробники знову стануть перед проблемами неможливості
нарощення обсягів виробництва та прибутковості діяльності через запізнення з
реалізацією ефективних інвестиційних програм розвитку. Звичайно, при цьому
необхідно не забувати про спекулятивні можливості фондового ринку. Адже коли
фондовий ринок не пропонує прибуткових та надійних цінних паперів, настає час
діяти фондовим спекулянтам, що, звичайно, привнесе новий перерозподіл прав
власності в Україні, але не вплине на активізацію процесів її зростання.
В Україні здебільшого
формуються портфельні інвестиції, в результаті чого інвестори претендують
тільки на чисті доходи від акцій чи облігацій. В умовах, що склалися в Україні,
такі інвестиції не є привабливими і ефективними, але з їх допомогою і чиниться
фактично розкрадання і розпродаж державної власності. А саме на розв'язання
проблем розвитку пріоритетних галузей національної економіки мають
спрямовуватися інвестиції, а не на їх проїдання, що й має місце в Україні.
До причин, що заважають
залученню іноземних інвестицій в економіку України, слід віднести необізнаність
іноземних інвесторів зі станом і перспективами розвитку економіки України,
діяльності уряду.
Не сприяє надходженню
іноземних інвестицій в Україну і проблема наявності дефіциту державного бюджету
включно з дискусіями про його масштаби. На заваді інвестиціям - не так
недосконалість законодавства, як його часті, а ще більше - непередбачувані
зміни. Інвестор готовий приймати існуючі "правила гри", хоч би якими
недосконалими вони були, але постійно підлаштовуватися під законодавчі зміни,
що інколи суперечать законам, іноземним бізнесменам не до снаги.
Таким чином, об'єктивними
умовами розвитку інноваційних процесів в Україні є наявність пріоритетних
галузей національної економіки та необхідність їх фінансової підтримки. Щоб
саме ці галузі отримали поштовх до ефективного розвитку в
інноваційно-інвестиційній політиці, держава повинна різко змінити підходи до
залучення та використання іноземних інвестицій, а саме: строго наслідувати
визначені пріоритети у розвитку національної економіки; мати розгорнуті плани
напрямів та механізму публічного контролю за їх виконанням. Створити економічні
та правові основи до збільшення необхідних обсягів іноземних інвестицій, при
цьому орієнтуючись на формування не лише портфельних, а й прямих інвестицій,
які і є реальними капіталовкладеннями в підприємства, галузі, землю чи новітні
технологій впровадити персональну відповідальність високих урядовців за
термінами і напрямами використання іноземних інвестицій, а також широке
інформування про це громадськість.
Список
використаної літератури
1. Закон України "Про інвестиційну
діяльність" від 18 вересня 1991 р. № 1560-XII // Відомості Верховної Ради
України. - 1991. - № 47. - С.646.
. Закон України "Про підприємства в Україні"
від 27 березня 1991 р. № 887-XII // Відомості Верховної Ради України. - 1991. -
№ 24. - С.272.
. Закон України "Про пріоритетні напрями
інноваційної діяльності в Україні" від 16 січня 2003 р. № 433-IV //
Відомості Верховної Ради України. - 2003. - № 13. - С.93.
. Закон України "Про спеціальний режим
інвестиційної та інноваційної діяльності технологічних парків" від 16
липня 1999 р. № 991-XIV // Відомості Верховної Ради України. - 1999. - № 40. -
С.363.
. Положення (стандарт) бухгалтерського обліку 12
"Фінансові інвестиції": Затв. наказом Міністерства фінансів України
від 26 квітня 2000 р. № 91, зареєстрованим у Міністерстві юстиції України 17
травня 2000 р. за № 284/4505.
. Арєф'єва О.Б. Фінансовий менеджмент: Навч.
посіб. - К.: Вид-во європ. ун-ту, 2002.
. Балабанов И.Т. Основы финансового менеджмента.
- М.: Финансы и статистика, 1996. - 340 с.
. Бернар И., Колли Ж. - К. Толковый экономический
и финансовый словарь: В 2 т. - М.: Междунар. отношения, 1994. - Т.2.
. Бланк И.А. Основы финансового менеджмента. -
К.: Ника-центр, 1999.
. Бланк И.А. Инвестиционный менеджмент. - К.:
Ника-Центр, 2001.
. Бланк И.А. Словарь-справочник финансового
менеджера. - К.: Ника-Центр, 1998. - 474 с.
. Брігхем Є. Основи фінансового менеджменту. -
К.: Вазако; Молодь, 1997. - 699 с.
. Близнюк А. Підтримка серйозним інвесторам
гарантована // Економіст. - 2003. - № 3.
. Воробйов Ю.М. Теоретичні основи фінансового
капіталу підприємств // Фінанси України. - 2001. - № 7. - С.62.
. Гитман Л. Дж., Джонк М.Д. Основи інвестування:
Пер. з англ. - М.: Справа, 1997.
. Глазунов В.К. Финансовый анализ и оценка риска
реальных инвестиций. - М., 1997.
. Гойко А.Ф. Методи оцінки ефективності
інвестицій та пріоритетні напрямки їх реалізації. - К., 1999.
. Губський Б.В. Інвестиційні процеси в глобальному
середовищі. - К.: Наук, думка, 1998.
. Данілов О.Д., Івашина Г.М., Чумаченко О.Г.
Інвестування: Навч. посіб. - К., 2001. - 364 с
. Денисенко М. Проблеми удосконалення
організаційно-економічного механізму інвестування // Економіст. - 2002. - № 10.
- С.46.
. Инвестиции: Учебник / Под. ред.В. В. Ковалева,
В.В. Иванова, Лялина - М.: ООО ТК "Велби", 2003.
. Комаринсъкий П., Яремчук І.
Фінансово-інвестиційний аналіз. - К.: Українська енциклопедія ім. М.П. Бажана,
1996.
. Коссак В.М. Правові засади іноземного
інвестування в Україні. - Л.: Центр Європи, 1999.
. Крайник О.П., Клепикова 3.В. Фінансовий
менеджмент: Навч. посіб. - Л.: Державний університет "Львівська
політехніка"; К.: Дакор, 2000. - 260 с.
. Мойсеєнко І.П. Основи інвестування: Навч.
посіб. - Л.: МАУП, 2001. - 180 с.
. Мойсеєнко І.П. Інвестування: Навч. посіб. - К.:
Знання, 2006. - 490 с.
. Омелъченко А.В. Законодавство про іноземні
інвестиції в системі законодавства України // Право України. - 1996. - №8.
. Омельченко А.В. Інвестиційне право: Навч.
посіб. - К.: Атіка, 1999.
. Пересада А.А. Інвестиційний процес в Україні. -
К.: Лібра, 1998.
. Пересада А.А. Управління інвестиційним
процесом. - К.: Лібра. 2002.
. Титаренко Н. Теорії інвестицій: Підручник. -
К., 2000.
. Управление инвестициями: В 2 т. / В.В. Шеремет,
В.М. Павлюченко, В.Д. Шапиро. - М., 1998.
. Фабоцци Ф. Управление инвестициями: Пер. с
англ. - М.: ИНФРА-М, 2000. - (Университетский учебник).
. Федоренко В.Г., Діденко О.М., Бондаренко Є.В.,
Іткін О.Ф., Панько О.М., Анін В.І., Пінчук Ю.Б. Основи менеджменту / За
науковою ред. проф.В.Г. Федоренка - К.: Алерта, 2007. - 420 с.
. Финансовый менеджмент / Под ред.Г.Б. Поляка. -
М.: Финансы; ЮНИТИ, 1997.
. Финансовый менеджмент / Под ред. Н.Ф.
Самсонова. - М.: Финансы; ЮНИТИ, 1999.
. Финансовый менеджмент: руководство по технике
эффективного менеджмента. - М.: КАГАНА, 1998.
. Финансовый менеджмент: Теория и практика:
Учебник / Под ред.Е.С. Стояновой. - М.: Перспектива, 1996.
. Фінансовий менеджмент / За ред.А.М.
Поддерьогіна, Л.Д. Буряк, Н.Ю. Калач та ін. - К.: КНЕУ, 2001.
. Черваньов Д.М. Менеджмент інвестиційної
діяльності підприємств: Навч. посіб. - К.: Знання-Прес, 2003. - 622 с.
. Черваньов Д.М., Нейкова Л.І. Менеджмент
інноваційно-інвестиційного розвитку підприємств України. - К., 2000.
. Шим Д.К., Сигел Д.Г. Финансовый менеджмент. -
М.: Инфра-М, 1998. - 305 с.
. Шклярук С.Г. Портфельное инвестирование. Теория
и практика. - К., 2000.
Додатки
Додаток
1
Технологія управління
інвестиційною діяльністю
Додаток
2
Основні показники виробничо-господарської
діяльності за період 2005-2007 років
|
№ п/п
|
Назва
показника
|
Періоди
|
Абсолютне
відхилення
|
Відносне
відхилення
|
|
|
2005
|
2006
|
2007
|
2006-2005
|
2007-2006
|
2006/
2005
|
2007/
2006
|
|
1
|
2
|
3
|
4
|
5
|
6
|
7
|
8
|
9
|
|
1.
|
Власний
капітал, тис. грн.
|
941,7
|
1220,4
|
1153,3
|
278,7
|
67,1
|
1,29
|
0,94
|
|
2.
|
Обсяг
товарної продукції, тис. грн.
|
9656
|
15614,88
|
15589,38
|
5958,88
|
25,5
|
1,62
|
0,99
|
|
3.
|
Виручка
від реалізації валової продукції, тис. грн.
|
7724,8
|
12491,9
|
12471,5
|
4767,1
|
20,4
|
1,62
|
0,99
|
|
4.
|
Собівартість
реалізованої продукції, тис. грн.
|
5815,9
|
9384,3
|
9593,7
|
3568,4
|
209,4
|
1,61
|
1,02
|
|
5.
|
Валовий
прибуток, тис. грн.
|
347,1
|
1025,9
|
799,2
|
678,5
|
226,4
|
2,96
|
0,78
|
|
6.
|
Чистий
прибуток (збиток), тис. грн.
|
(114,9)
|
274,9
|
(120,0)
|
50,3
|
38,0
|
2,39
|
0,44
|
|
7.
|
Фонд
оплати праці, тис. грн.
|
58684,5
|
87066
|
133666
|
28381,5
|
46660
|
1,48
|
1,54
|
|
8.
|
Середньорічна
вартість основних засобів, тис. грн.
|
1803,4
|
1989,35
|
1991,8
|
185,95
|
2,45
|
1,10
|
1,00
|
|
9.
|
Вартість
оборотних коштів підприємства, тис. грн.
|
732,9
|
900,6
|
1347,3
|
167,6
|
446,7
|
1,23
|
1,50
|
|
10.
|
Продуктивність
праці, тис. грн. /чол.
|
37,3
|
59,5
|
58,8
|
22,2
|
-0,7
|
1,60
|
0,99
|
|
11
|
Рентабельність
власного капіталу, %
|
-
|
22,5
|
-
|
22,5
|
-
|
-
|
-
|
|
12
|
Рентабельність
основної діяльності, %
|
-
|
2,93
|
-
|
2,93
|
-
|
-
|
-
|
|
13
|
Рентабельність
підприємства, %
|
-
|
2,9
|
-
|
2,9
|
-
|
-
|
-
|
|
14
|
Дебіторська
заборго-ваність, тис. грн.
|
386,0
|
273,6
|
609,6
|
-112,4
|
336,0
|
0,71
|
2,23
|
|
15
|
Кредиторська
заборго-ваність, тис. грн.
|
455,9
|
370,4
|
254,4
|
-85,5
|
-116,0
|
0,81
|
0,69
|
Додаток
3
Горизонтальний та вертикальний аналіз активу
балансу на 2005-2007 рр.
|
№ п/п
|
Показник
|
2005
|
2006
|
2007
|
Абсолютне
відхилення, +/-
|
Відносне
відхилення, %
|
|
|
|
|
|
2006-
2005
|
2007-
2006
|
2006/
2005
|
2007/
2006
|
|
1
|
2
|
3
|
4
|
5
|
6
|
7
|
8
|
|
1.
|
1.
Необоротні активи
|
2162,4
|
2058,7
|
2258,7
|
-103,7
|
200,2
|
0,95
|
1,10
|
|
2.
|
2.
Оборотні активи
|
732,9
|
900,6
|
1347,9
|
167,7
|
447,7
|
1,23
|
1,50
|
|
3.
|
У тому
числі:
|
|
|
|
|
|
|
|
|
4.
|
-
виробничі запаси
|
154,6
|
211,3
|
357,5
|
56,7
|
146,2
|
1,37
|
1,69
|
|
5.
|
-
готова продукція
|
159,6
|
371,8
|
334,4
|
212,2
|
-37,4
|
2,33
|
0,90
|
|
- товари
|
-
|
14,5
|
3,9
|
14,5
|
-10,6
|
14,5
|
0,27
|
|
6.
|
-
дебіторська заборгованість за послуги
|
365,1
|
272,0
|
609,6
|
-93,1
|
337,6
|
0,75
|
2,24
|
|
7.
|
-
дебіторська заборгованість за розрахунками
|
20,9
|
1,6
|
-
|
-19,3
|
-1,6
|
0,08
|
-
|
|
8
|
- інші
оборотні активи
|
9,1
|
17,6
|
29,3
|
8,5
|
11,7
|
1,93
|
1,66
|
|
9.
|
-
грошові кошти та їх еквівалент
|
23,6
|
11,8
|
12,6
|
-11,8
|
0,8
|
0,50
|
0,53
|
|
10.
|
Витрати
майбутніх періодів
|
11,5
|
10,9
|
12,6
|
-0,6
|
1,7
|
0,95
|
1,16
|
Додаток
4.
Горизонтальний та вертикальний аналіз пасиву за
період 2005-2007 років
|
Показник
|
2005
|
2006
|
2007
|
Абсолютне
відхилення, +/-
|
Відносне
відхилення, %
|
|
|
|
|
2006-
2005
|
2007-
2006
|
2006/
2005
|
2007/
2006
|
|
1.
Власний капітал
|
941,7
|
1220,4
|
1153,3
|
278,7
|
-67,1
|
1,30
|
0,95
|
|
2.
Забезпечення наступних витрат і платежів
|
-
|
-
|
-
|
-
|
-
|
-
|
-
|
|
3.
Довгострокові зобов’язання
|
151,0
|
151,0
|
151,0
|
-
|
-
|
1,00
|
1,00
|
|
4.
Поточні зобов’язання
|
1814,1
|
1518,8
|
2316,2
|
-295,3
|
797,4
|
0,84
|
1,53
|
|
У тому
числі:
|
|
|
|
|
|
|
|
|
-
короткострокові кредити банку
|
749,1
|
594,8
|
1250,0
|
-154,3
|
655,2
|
0,79
|
2,10
|
|
-
поточна заборгованість за довгостроковими зобов’язаннями
|
-
|
-
|
-
|
-
|
-
|
-
|
-
|
|
-
векселі видані
|
226,8
|
226,8
|
452,1
|
-
|
225,3
|
1,00
|
1,99
|
|
-
кредиторська заборгованість за товари, роботи, послуги
|
455,9
|
370,4
|
254,4
|
-85,5
|
-116,0
|
0,81
|
0,69
|
|
-
поточні зобов’язання за розрахунками
|
331,6
|
389,6
|
359,7
|
58,0
|
-29,9
|
1,17
|
0,92
|
|
- інші
поточні зобов’язання
|
50,7
|
17,2
|
-
|
-33,5
|
-17,2
|
0,34
|
-
|
Баланс підприємства за 2007 рік Додаток 5.
|
АКТИВ
|
Код
рядка
|
На
початок звітного періоду
|
На
кінець звітного періоду
|
|
1
|
2
|
3
|
4
|
|
І.
Необоротні активи
|
|
|
|
|
Нематеріальні
активи:
|
|
|
|
|
Залишкова
вартість
|
010
|
291
|
342
|
|
Первісна
вартість
|
011
|
504
|
582
|
|
Знос
|
012
|
213
|
241
|
|
Незавершене
будівництво
|
020
|
58
|
20
|
|
Основні
засоби:
|
|
|
|
|
Залишкова
вартість
|
030
|
100030
|
114611
|
|
Первісна
вартість
|
031
|
171874
|
196814
|
|
Знос
|
032
|
71844
|
82203
|
|
Довгострокові
фінансові інвестиції:
|
|
|
|
|
які
обліковуються за методом участі в капіталі інших підприємств
|
040
|
27009
|
27376
|
|
інші
фінансові інвестиції
|
045
|
|
|
|
Довгострокова
дебіторська заборгованість
|
050
|
19
|
|
|
Інші
необоротні активи
|
070
|
|
|
|
Усього
за розділом І
|
080
|
127407
|
142349
|
|
II.
Оборотні активи
|
|
|
|
|
Запаси:
|
|
|
|
|
Виробничі
запаси
|
100
|
61746
|
46693
|
|
тварини
на вирощуванні та відгодівлі
|
110
|
|
|
|
Незавершене
виробництво
|
120
|
|
|
|
готова
продукція
|
130
|
21116
|
28633
|
|
Товари
|
140
|
|
|
|
Векселі
одержані
|
150
|
|
|
|
Дебіторська
заборгованість за товари, роботи, послуги:
|
|
|
|
|
чиста
реалізаційна вартість
|
160
|
4556
|
6346
|
|
Первісна
вартість
|
161
|
4921
|
6731
|
|
резерв
сумнівних боргів
|
162
|
365
|
385
|
|
Дебіторська
заборгованість за розрахунками:
|
|
|
|
|
з
бюджетом
|
170
|
2162
|
2424
|
|
за
виданими авансами
|
180
|
382
|
1238
|
|
з
нарахованих доходів
|
190
|
|
|
|
із
внутрішніх розрахунків
|
200
|
|
|
|
Інші
поточна дебіторська заборгованість
|
210
|
163
|
539
|
|
Поточні
фінансові інвестиції
|
220
|
|
|
|
Грошові
кошти та їх еквіваленти:
|
|
|
|
|
в
національній валюті
|
230
|
7906
|
31356
|
|
в
іноземній валюті
|
240
|
12
|
16
|
|
Інші
оборотні активи
|
250
|
|
|
|
Усього
за розділом II
|
260
|
98043
|
117245
|
|
Ш.
Витрати майбутніх періодів
|
270
|
13
|
11
|
|
Баланс
|
280
|
225463
|
259605
|
Баланс підприємства за 2007 рік
|
ПАСИВ
|
Код
рядка
|
На
початок звітного періоду
|
На
кінець звітного періоду
|
|
І.
Власний капітал
|
|
81039
|
81039
|
|
Статутний
капітал
|
300
|
|
|
|
Пайовий
капітал
|
310
|
|
|
|
Додатковий
вкладений капітал
|
320
|
|
|
|
Інший
додатковий капітал
|
330
|
13369
|
13369
|
|
Резервний
капітал
|
340
|
9618
|
12633
|
|
Нерозподілений
прибуток (непокритий збиток)
|
350
|
118878
|
151381
|
|
Неоплачений
капітал
|
360
|
|
|
|
Вилучений
капітал
|
370
|
(370)
|
(316)
|
|
Усього
за розділом І
|
380
|
222534
|
258106
|
|
ІІ.
Забезпечення наступних витрат і платежів
|
400
|
|
|
|
Інші
забезпечення
|
410
|
|
|
|
Цільове
фінансування
|
420
|
|
|
|
Усього
за розділом II
|
430
|
|
|
|
ІІІ.
Довгострокові зобов’язання
|
|
|
|
|
Довгострокові
кредити банків
|
440
|
|
|
|
Довгострокові
фінансові зобов’язання
|
450
|
|
|
|
Відстрочені
податкові зобов’язання
|
460
|
|
168
|
|
Інші
довгострокові зобов’язання
|
470
|
|
|
|
Усього
за розділом III
|
480
|
|
168
|
|
IV.
Поточні зобов’язання
|
|
|
|
|
Короткострокові
кредити банків
|
500
|
|
|
|
Поточна
заборгованість за довгостроковими зобов’язаннями
|
510
|
|
|
|
Векселі
видані
|
520
|
|
|
|
Кредиторська
заборгованість за товари, роботи, послуги
|
530
|
161
|
120
|
|
Поточні
зобов’язання за розрахунками:
|
|
|
|
|
з
одержаних авансів
|
540
|
19
|
11
|
|
з бюджетом
|
550
|
1611
|
607
|
|
з
позабюджетних платежів
|
560
|
12
|
|
|
зі
страхування
|
570
|
94
|
110
|
|
з
оплати праці
|
580
|
1007
|
432
|
|
з
учасниками
|
590
|
22
|
51
|
|
із
внутрішніх розрахунків
|
600
|
|
|
|
Інші
поточні зобов’язання
|
610
|
3
|
|
|
Усього
за розділом IV
|
620
|
2929
|
1331
|
|
V.
Доходи майбутніх періодів
|
630
|
|
|
|
Баланс
|
640
|
225463
|
259605
|
Додаток
6
ЗВІТ ПРО ФІНАНСОВІ РЕЗУЛЬТАТИ ЗА 2007 рік, тис.
грн
І. ФІНАНСОВІ РЕЗУЛЬТАТИ
|
Стаття
|
Код
рядка
|
За
звітний період
|
За
попередній період
|
|
1
|
2
|
3
|
4
|
|
Дохід
(виручка) від реалізації продукції (товарів, робіт, послуг)
|
010
|
889807
|
813255
|
|
Податок
на додану вартість
|
015
|
(148301)
|
(135542)
|
|
Акцизний
збір
|
020
|
|
|
|
025
|
|
|
|
Інші
вирахування з доходу
|
030
|
|
|
|
Чистий
дохід (виручка) від реалізації продукції (товарів, робіт, послуг)
|
035
|
741506
|
677713
|
|
Собівартість
реалізованої продукції (товарів, робіт, послуг)
|
040
|
(627145)
|
(568116)
|
|
Валовий:
|
|
|
|
|
Прибуток
|
050
|
114361
|
109597
|
|
збиток
|
055
|
|
|
|
Інші
операційні доходи
|
060
|
594
|
891
|
|
Адміністративні
витрати
|
070
|
(7910)
|
(6618)
|
|
Витрати
на збут
|
080
|
(8304)
|
(15530)
|
|
Інші
операційні витрати
|
090
|
(22179)
|
(20647)
|
|
Фінансові
результати від операційної діяльності:
|
|
|
|
|
Прибуток
|
100
|
76562
|
67693
|
|
збиток
|
105
|
|
|
|
Дохід
від участі в капіталі
|
ПО
|
|
|
|
Інші
фінансові доходи
|
120
|
925
|
442
|
|
Інші
доходи
|
130
|
350
|
373
|
|
Фінансові
витрати
|
140
|
|
|
|
Втрати
від участі в капіталі
|
150
|
|
|
|
Інші
витрати
|
160
|
(359)
|
(197)
|
|
Фінансові
результати від звичайної діяльності до оподаткування:
|
|
|
|
|
Прибуток
|
170
|
77478
|
68311
|
|
збиток
|
175
|
|
|
|
Податок
на прибуток від звичайної діяльності
|
180
|
(31036)
|
(28168)
|
|
Фінансові
результати від звичайної діяльності:
|
|
|
|
|
Прибуток
|
190
|
46442
|
40143
|
|
збиток
|
195
|
|
|
|
Надзвичайні:
|
|
|
|
|
доходи
|
200
|
|
|
|
витрати
|
205
|
|
|
|
Податки
з надзвичайного прибутку
|
210
|
|
|
|
Чистий:
|
|
|
|
|
Прибуток
|
220
|
46442
|
40143
|
|
збиток
|
225
|
|
|
. ЕЛЕМЕНТИ ОПЕРАЦІЙНИХ ВИТРАТ
|
Найменування
показника
|
Код
рядка
|
За
звітний період
|
За
попередній період
|
|
1
|
2
|
3
|
4
|
|
Матеріальні
витрати
|
230
|
243163
|
204152
|
|
Витрати
на оплату праці
|
240
|
43012
|
35307
|
|
Відрахування
на соціальні заходи
|
250
|
15307
|
12036
|
|
Амортизація
|
260
|
12089
|
7825
|
|
Інші
операційні витрати
|
270
|
6359
|
11903
|
|
Разом
|
280
|
319930
|
271223
|
|
III.
РОЗРАХУНОК ПОКАЗНИКІВ ПРИБУТКОВОСТІ АКЦІЙ
|
|
Назва
статті
|
Код
рядка
|
За
звітний період
|
За
попередній період
|
|
1
|
2
|
3
|
4
|
|
Середньорічна
кількість простих акцій
|
300
|
36158432
|
|
|
Скоригована
середньорічна кількість простих акцій
|
310
|
36158432
|
|
|
Чистий
прибуток, що припадає на одну просту акцію
|
320
|
0,13
|
|
|
Скоригований
чистий прибуток, що припадає на одну просту акцію
|
330
|
0,13
|
|
|
Дивіденди
на одну просту акцію
|
340
|
0,03
|
|
Додаток
7
Звіт про рух грошових
коштів за 2007 р.
Форма № 3 Код за ДКУД
|
Стаття
|
Код
рядка
|
За
звітний період
|
За
поперед- ній період
|
|
|
Над-
ходження
|
Вида-
ток
|
Над-
ходження
|
Вида-
ток
|
|
1
|
2
|
3
|
4
|
5
|
6
|
|
І. Рух
у результаті операційної діяльності
|
|
|
|
|
|
|
Прибуток
(збиток) від звичайної діяльності до оподаткування
|
010
|
696
|
-
|
580
|
-
|
|
Коригування
на:
|
|
|
|
|
|
|
амортизацію
необоротних активів
|
020
|
120
|
X
|
100
|
X
|
|
збільшення
(зменшення) забезпечень
|
030
|
-
|
-
|
|
|
|
збиток
(прибуток) від нереалізованих курсових різниць
|
040
|
-
|
-
|
|
|
|
збиток
(прибуток) від неопераційної діяльності
|
050
|
-
|
-
|
|
|
|
Витрати
на сплату відсотків
|
060
|
-
|
X
|
|
X
|
|
|
Прибуток
(збиток) від операційної діяльності до зміни в чистих оборотних активах
|
070
|
816
|
|
680
|
|
|
|
Зменшення
(збільшення):
|
|
|
|
|
|
|
|
оборотних
активів
|
080
|
72
|
(60)
|
60
|
(50)
|
|
|
витрат
майбутніх періодів
|
090
|
-
|
(156)
|
-
|
(130)
|
|
|
Збільшення
(зменшення):
|
|
|
|
|
|
|
|
поточних
зобов'язань
|
100
|
24
|
(108)
|
20
|
(90)
|
|
|
доходів
майбутніх періодів
|
110
|
-
|
-
|
-
|
|
|
|
Грошові
кошти від операційної діяльності
|
120
|
588
|
-
|
490
|
-
|
|
|
Сплачені:
|
|
|
|
|
|
|
|
відсотки
|
130
|
X
|
-
|
X
|
-
|
|
|
податок
на прибуток
|
140
|
X
|
(208,3)
|
X
|
(174)
|
|
|
Чистий
рух коштів до надзвичайних подій
|
150
|
379,2
|
-
|
316
|
-:
|
|
|
Рух
коштів від надзвичайних подій
|
160
|
-
|
-
|
-
|
-
|
|
|
Частий
рух коштів від операційної діяльності
|
379,2
|
-
|
716
|
-
|
|
|
1
|
2
|
3
|
4
|
5
|
6
|
|
|
ІІ. Рух
коштів у результаті інвестиційної діяльності
|
|
|
|
|
|
|
|
Реалізація:
|
|
|
|
|
|
|
|
фінансових
інвестицій
|
180
|
-
|
|
-
|
X
|
|
|
необоротних
активів
|
190
|
-
|
|
-
|
X
|
|
|
майнових
комплексів
|
200
|
-
|
|
-
|
X
|
|
|
Отримані:
|
|
|
-
|
|
|
|
|
відсотки
|
210
|
-
|
X
|
|
|
|
|
дивіденди
|
220
|
-
|
X
|
|
X
|
|
|
Інші
надходження
|
230
|
-
|
-
|
|
X
|
|
|
Придбання:
|
|
|
|
|
|
|
|
фінансових
інвестицій
|
240
|
X
|
(60)
|
|
|
|
|
необоротних
активів
|
250
|
X
|
(600)
|
|
|
|
|
майнових
комплексів
|
260
|
X
|
-
|
|
|
|
|
Інші
платежі
|
270
|
X
|
-
|
|
|
|
|
Чистий
рух коштів до | надзвичайних подій
|
280
|
-
|
660
|
|
|
|
|
Рух
коштів від надзви- чайних подій
|
290
|
-
|
|
|
|
|
|
Чистий
рух коштів від інвестиційної діяльності
|
300
|
-
|
660
|
|
|
|
|
Ш. Рух
коштів у результаті фінансової діяльності
|
|
|
|
|
|
|
|
Надходження
власного капіталу
|
310
|
-
|
-
|
|
X
|
|
|
Отримані
позики
|
320
|
-
|
-
|
|
X
|
|
|
Інші
надходження
|
330
|
-
|
-
|
|
X
|
|
|
Погашення
позик
|
340
|
X
|
-
|
X
|
|
|
|
Сплачені
дивіденди
|
350
|
X
|
(252,2)
|
Х
|
(207)
|
|
|
Інші
платежі
|
360
|
Х
|
-
|
Х
|
_
|
|
|
Чистий
рух коштів до надзвичайних подій
|
370
|
580,8
|
-
|
484
|
_
|
|
|
Рух
коштів від надзвичайних подій
|
380
|
|
|
|
_
|
|
|
Чистий
рух коштів від фінансової діяльності
|
390
|
580,8
|
|
484
|
_
|
|
|
Чистий
рух коштів за звітний період
|
400
|
300
|
|
250
|
_
|
|
|
Залишок
коштів на початок року
|
410
|
120
|
|
100
|
X
|
|
|
Вплив
зміни валютних курсів на залишок коштів
|
420
|
-
|
|
-
|
-
|
|
|
Залишок
коштів на кінець року
|
430
|
41
|
X
|
174
|
Х
|
|
Додаток
8
Вихідні статистичні дані
та принцип розрахунку проміжних показників
Рік, t Дохідність акції
компанії,
(у частках одиниці)
Ринковий показник дохідності акцій,
Дохідність без ризи-кових цінних паперів, Zt
|
Проміжні
розрахунки необхідних показників
|
|
|
|



)

)
|
 )
|
|
|
|
|
|
|
І
|
II
|
III
|
IV
|
|
|
|
|
|
|
1
|
0,314
|
0,245
|
0,06
|
0,1664
|
0,185
|
0,1198
|
0,01993472
|
0,01435204
|
|
2
|
-0,144
|
-0,083
|
0,04
|
-0,2716
|
-0,123
|
-0,1882
|
0,05111512
|
0,03541924
|
|
3
|
0,380
|
0,284
|
0,06
|
0,2324
|
0,224
|
0,1588
|
0,03690512
|
0,02521744
|
|
4
|
-0, 197
|
-0,122
|
0,04
|
-0,3246
|
-0,162
|
-0,2272
|
0,07374912
|
0,05161984
|
|
5
|
-0,249
|
-0,162
|
0,04
|
-0,3766
|
-0, 202
|
-0,2672
|
0,10062752
|
0,07139584
|
|
6
|
0,262
|
0, 205
|
0,05
|
0,1244
|
0,155
|
0,0898
|
0,01117112
|
0,00806404
|
|
7
|
-0,171
|
-0,109
|
0,04
|
-0,2986
|
-0,149
|
-0,2142
|
0,06396012
|
0,04588164
|
|
8
|
0,340
|
0,258
|
0,06
|
0, 1924
|
0, 198
|
0,1328
|
0,02555072
|
0,01763584
|
|
9
|
0,445
|
0,336
|
0,06
|
0,2974
|
0,276
|
0,2108
|
0,06269192
|
0,04443664
|
|
10
|
0,406
|
0,310
|
0,06
|
0,2584
|
0,25
|
0,1848
|
0,04775232
|
0,03415104
|
|
СУМА
1,386
|
1,162
|
0,51
|
|
0,652
|
|
0,4934578
|
0,3481736
|