Анализ устройства для измерения давления фундамента на грунт с точки зрения проявления основных законов развития технических систем

  • Вид работы:
    Курсовая работа (т)
  • Предмет:
    Другое
  • Язык:
    Русский
    ,
    Формат файла:
    MS Word
    780,3 Кб
  • Опубликовано:
    2012-10-21
Вы можете узнать стоимость помощи в написании студенческой работы.
Помощь в написании работы, которую точно примут!

Анализ устройства для измерения давления фундамента на грунт с точки зрения проявления основных законов развития технических систем

1.      Задание


.        Внимательно ознакомится с описанием изобретения, и уяснить принцип действия заявленного устройства, реализующего заявленный способ.

.        Изложить принцип действия устройства с приведением всех необходимых рисунков и графиков.

.        Проанализировать устроство с точки зрения проявления в них основных законов развития технических систем (ТС), а именно:.      закона полноты частей системы;

b.      закона энергетической и информационной проводимости ТС;.  закона согласования-рассогласования ТС;.        закона увеличения степени идеальности ТС;.         закона неравномерности развития ТС;.  закона повышения динамичности и управляемости ТС;.     закона развертывания и свертывания ТС;.       закона перехода ТС на микроуровень и использования полей.

.        Используя вышеперечисленные законы развития ТС, дать прогноз развития технической системы и синтезировать новые технические решения.

.        На основе анализа и синтеза выявить несколько технических противоречий в ТС, выбрать одно из них и разрешить его при помощи АРИЗа.

.        Построить вепольную структуру рассмотренной в п. 6 задачи, произвести синтез или разрушение веполей.

.        На основании решения, полученного в п. 5, составить учебную формулу изобретения.

.        Составить статическую модель технического противоречия при помощи катастрофы типа сборка.

.        Получить динамическую модель технического противоречия.

2. Принцип работы устройства

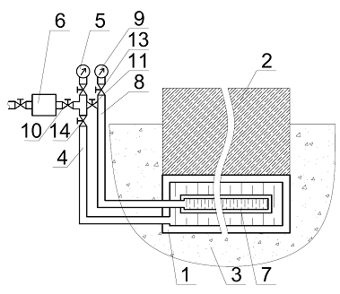
На рисунке 1 представлено устройство для измерения давления фундамента на грунт, согласно патенту №1273753.

Устройство для измерения давления фундамента на грунт состоит из упругоэластичной измерительной камеры 1, расположенной между фундаментом 2 и грунтом 3, соединенной посредством трубопровода 4 с манометром 5 избыточного давления и источником постоянного давления жидкости, например, гидравлическим прессом 6, недеформируемой, например. Стальной компенсационной камеры 7,соединенной посредством трубопровода 8 с манометром 9 и гидравлическим прессом 6, смонтированной в измерительной камере 1, вентилей 10, 11 и 12, перекрывающих трубопроводы, и вентилей 13 и 14, перекрывающих манометры.

Устройство работает следующим образом. Рабочая жидкость посредством гидравлического пресса 6 и открытых вентилей 10-12 через трубопроводы 4 и 8 нагнетается в камеры 1 и 7. После выравнивания давлений и температуры вентили 10 и 11 перекрываются. При изменении контактного давления грунта объем измерительной камеры 1 изменяется, что вызывает соответствующее изменение показание манометра 5. Давление же в компенсационной камере 7 изменяется только при изменении температуры в зоне измерений и фиксируется манометром 9. Изменение величины давления фундамента на грунт определяется как разность показаний манометров 5 и 9.

Рисунок 1

3. Анализ устройства по законам развития технических систем

 

.1 Закон полноты частей системы


Необходимым условием принципиальной жизнеспособности технической системы (ТС) является наличие и минимальная работоспособность основных частей системы. Таких основных частей четыре: двигатель (Дв), трансмиссия (Тр) или передача, рабочий орган (Ро), и орган управления (Оу).

Данная техническая система предназначена для измерения давления фундамента на грунт, следовательно, рабочим органом являются манометры, которые показывают изменение давления в камерах. Трансмиссией являются трубопроводы с жидкостью. В качестве источника энергии выберем фундамент, а в качестве двигателя выберем рабочую камеру.

Орган управления в данной системе отсутствует. Для условия полноты частей системы установим температурное устройство.

3.1.1 Решение 1

Новое, приведенное на рисунке 2, устройство включает в себя электронное устройство 2, рабочую камеру 1, трубопровод для их соединения и провод для вывода сигнала. Электронное устройство содержит в себе электронный манометр, электронный градусник и микроконтроллер. Рабочая жидкость, находящаяся в рабочей камере под давлением, взаимодействует с манометром, значение давления поступает в микроконтроллер. Данные с градусника так же поступают в микроконтроллер для внесения погрешности в показания давления, связанные с температурными изменениями давления. Окончательное значение сигнала поступает по проводу на необходимое устройство (дисплей, флешку и т. д.).

Такая система выигрывает в массово-габаритных характеристиках и финансовой части, за счет меньшего использования природных ресурсов.

Такие устройства могут быть подключены круглосуточно, а значение выведено на общий монитор, для постоянного контроля осадки фундаментов. Так же такое устройство может быть отключено от сети, а при необходимости, получения значений, энергия может быть подана на кратковременно, например с переносного аккумуляторного устройства.

Рисунок 2

3.1.2 Решение 2

Если устройство, описанное в решении 1, поместить в корпус 5 представленный на рисунке 3, это позволит устанавливать данные устройства уже под существующие фундаменты, используя маленькую траншею вырытую с одной из сторон фундамента.

Рисунок 3

 

3.2 Закон энергетической и информационной проводимости


Необходимым условием принципиальной жизнеспособности ТС является сквозной проход энергии и информации по всем частям технической системы. Для анализа ТС по этому закону построим линию сквозного прохода энергии через систему.

На рисунке 4 представлены линии сквозного прохода через систему, описанную в патенте. Внешними воздействие является поле давления и поле тепловое. Для связи между блоками используется поле давления.

Рисунок 4

К1 - измерительная камера;

К2 - недеформируемая камера;

РЖ - рабочая жидкость;

М1, М2 - манометры;

Д1 - датчик температуры;

ЦМ - цифровой манометр;- поле температуры;- поле давления.

На рисунке 5 представлены линии сквозного прохода через систему, описанную в решение 1. Внешними воздействие является поле давления и поле тепловое. Для передачи наряду с полем давление, в устройстве появляется информационное поле.

Рисунок 5

К1 - измерительная камера;

РЖ - рабочая жидкость;

ЭС - электронное устройство;- поле температуры;- поле давления;

U - информационное поле.

3.3 Закон согласования-рассогласования


Составляющие части технической системы должны быть согласованы или, наоборот, рассогласованы между собой по тем или иным параметрам.

3.3.1 Решение 3

За основу взято устройство, описанное в патенте. В новом устройстве предлагается разделить рабочую и недеформированную камеры, то есть сделать их отдельными элементами, для лучшей согласованности этих камер по температуре. Недеформированную камеру необходимо изготовить из более прочного материала, менее восприимчивому к внешним деформациям, с использование ребер жесткости. Таким образом, температуры в двух камерах будут одинаковы, за счет лучшего взаимодействия недеформированной камеры с окружающей средой. При резком перепаде температур, система получается более быстродейственной. Так же использую данную систему для фундамента большой площади, можно использовать только одну недеформированную камеру вместе с десятком рабочих камер.

3.3.2 Решение 4

Чуть изменив решение 3 можно получить новое решение. Предлогается монтировать недеформированную камеру в фундамент у его основания при строительстве. Таким образом камеру нет необходимости делать усиленной, так как на камеру будет оказываться постоянное давление, при той же температуре что и окружающего грунта.

 

3.3.3 Решение 5

В решении, рассмотренном в патенте, можно заменить рабочую жидкость на более теплопроводящую. Так же можно увеличить площадь недеформированной камеры, сделав камеру полой. Температура, в данном случае, будет согласовываться много быстрее.

3.4 Закон увеличения степени идеальности


В процессе своего развития степень идеальности увеличивается либо за счет увеличения выполняемых системой функций (полезных), либо за счет уменьшения факторов расплаты (либо за счет изменения того и другого одновременно).

Под увеличением степени идеальности И в ТРИЗ понимается рост отношения суммы выполняемых системой полезных функций Фп к сумме факторов расплаты Фр:


В решении 1 используется электронное устройство, в котором установлен градусник. Измерение температуры можно считать новой полезной функцией.

3.4.1 Решение 6

Взяв за основу решение, описанное в патенте, можно значительно упростить систему. Предлагается трубопровод связанный с рабочей камерой 1, и трубопровод связанный с недеформированной камерой, замкнуть. Рабочие жидкости 4 разделены перемычкой 3. В данном случае отпадает необходимость в манометрах. Схема устройства изображена на рисунке 5. Величина перемещения перемычки меняется в зависимости от величины давления в двух камерах.

Рисунок 6

 

3.5 Закон неравномерности развития


Для получения новых технических решений перечислим основные количественные признаки имеющегося устройства:

время измерения;

изменение температуры;

габариты устройства;

количество составных частей;

погрешность измерения.

Будем улучшать количественный признак

За основу возьмем решение 7. Для измерения разницы давлений, мы используем перегородку, но для того, чтобы устройство работало корректно, жидкости в трубах должны быть изолированы друг от друга. То есть перегородка должна быть герметична. Чем плотнее прилегает перегородка к стенкам трубы, тем герметичнее перегородка, но одновременно с этим больше сила трения между поверхностями перегородки и трубы. Если перегородка не плотно прилегает к стенкам трубы, то она свободно перемещается, но при этом нарушается свойство герметичности. Разрешим это противоречие по алгоритму решения изобретательских задач (АРИЗ).

3.6 Анализ задачи


Мини-задача. Дана техническая система для измерения изменения давления фундамента на грунт, состоящая из фундамента, грунта, измерительной камеры, недеформируемой камеры, трубопровода, рабочей жидкости, перегородки и шкалы.

Выбор конфликтующей пары: в качестве инструмента выберем перегородку, так как она больше всего подвергается изменению, в качестве изделия целесообразно выбрать трубопровод с рабочей жидкостью.

Граф-схема технического противоречия приведена на рисунке Ч.

Рисунок 7

Выбор главного производственного процесса. Выбираем ТП-2, так как для корректной работы устройства необходимо обеспечить герметичность.

Усиление конфликта. Перегородка настолько плотно прилегает, что рабочие жидкости слева и справа от перегородки абсолютно изолированы.

Модель мини-задачи. Дана техническая система для измерения разности давлений (изменения давления фундамента на грунт), состоящая из перегородки, очень плотно прилегающей к стенкам трубопровода, которая обеспечивает условие герметичности, но очень плохо перемещается.

Необходимо ввести X-элемент, который, не усложняя систему, должен не мешать перегородке перемещаться.

3.7 Анализ ресурсов модели


Определение оперативной зоны (ОЗ). В ОЗ будет входить перегородка и часть трубопровода с рабочей жидкостью, в которой она должна перемещаться.

Определение оперативного времени (ОВ):

,

где  - время до конфликта (подготовка эксперимента),  - время конфликта.

Определение вещественно-полевых ресурсов (ВПР)

Анализ ВПР проведем в виде таблице 1.

Таблица 1

Ресурсы

Вещества

Поля

Внутрисистемные: Перегородка Трубопровод  Рабочая жидкость

 материал форма

давление

Надсистемные: Грунт Измерительная камера Фундамент

состав плотность форма масса

давление сила тяжести

Внесистемные: Манометр

----//----

----//----

Дешевые: Вода Воздух Песок Пустота

  ----//---- 

----//----


На основе анализа таблицы 1 попробуем найти какие-нибудь решения.

Подставим в ОЗ в ОВ вместо перегородки столбик воды (некоторой жидкости). Вода без трения перемещается по трубе, и разделяет рабочие жидкости, сохраняя герметичность. Но возникает проблема: вода не должна перемешиваться с рабочей жидкостью.

Подставим в ОЗ в ОВ вместо перегородки столбик воздуха. Воздух так же не перемешивается с рабочей жидкостью. Возникает другая проблема: устойчивость столбика воздуха, то есть столбик должен сохранять форму и не "не всплывать", чтобы рабочие жидкости были изолированы в течение ОВ.

 

3.7.1 Решение 7

Для изоляции рабочих жидкостей можно использовать воздух. На рисунке Ч изображена схема с возможность использования воздуха.

Рисунок 8

3.8 Закон повышения динамичности и управляемости


В процессе своего развития ТС повышается способность ее к целенаправленным изменениям, обеспечивающим наилучшее приспособление к изменяющейся среде.

В решении 1 имеется приспособление к изменяющейся внешней среде: датчик температуры позволяет вносить поправку в измерение давления.

3.9 Закон развертывания и свертывания


Повышение идеальности ТС осуществляется путем развертывания - увеличения количества и качества выполняемых функций, приносящих пользу, но за счет увеличения сложности системы, и свертывания - упрощения системы при сохранении или увеличении количества и качества полезных функций.

Развертывание проявляется в решении 1, появляется новая функция - измерение температуры.

Свертывание проявляется в большей части решений, рассмотренных в этой работе. В приведенных решениях система упрощается, за счет, устранения манометров, трубопроводов или недеформированной камеры.

3.9 Закон перехода технической системы на микроуровень и использование полей

 

3.9.1 Решение 8

В новом решении, рабочая жидкость заменена на тензодатчики 3, закрепленные между двух пластин 2 связанных пружиной 4. Недеформируемая камера в данном случае не нужна. Под действием давления расстояния между пластинами меняется, а значит, резистивный элемент так же меняет свое сопротивление. Данное устройство будет обладать значительной чувствительностью, что поможет предсказывать будущие землетрясения.

Рисунок 9

3.9.2 Решение 9

Еще в одном решении, предлагается использовать в место манометров линейный дифференциальный трансформатор 3. Рабочая жидкость 1 под действие давления перемещает сердечник 2 внутри трансформатора, состоящего из центральной, первичной и двух вторичных обмоток цилиндрической формы. Первичная обмотка возбуждается источником переменного напряжения, наводя при этом во вторичных обмотках напряжения, которые меняются с изменением положения магнитного сердечника внутри сборки.

В этом законе мы использовали для получения новых решений механическое поле давления, электростатическое поле и магнитное поле.

Рисунок 10

4. Прогноз развития технической системы из описаний авторских свидетельств и синтезирование нового технического решения

Все рассмотренные элементы ТРИЗ использовались для поискового прогнозирования развития системы. Все полученные решения имеют функциональную направленность, общее направление развития исследуемой технической системы и конкретные технические решения. Все предложенные решения можно оформить в виде заявок на изобретения. Некоторые решения рассмотренные в данной работе требуют не существующих в мировой практике комплектующих, что является основанием и приведет к необходимости заказа на из разработку и производство. В результате невозможности выполнения в настоящий момент некоторых из решений, были предложены другие решения.

В результате прогноза выявились возможные направления развития датчиков измерения давления на грунт, в виде перспективных, в том числе принципиально новых решений. Авторские права на полученные решения могут быть защищены, например, в виде серии “зонтичных” патентов и патентного “забора”. Прогноз показал новые и перспективные направления развития техники, а так же сократит время на исследования и разработки.

Кроме того, прогноз позволил увидеть перспективу развития датчиков давления на грунт, что позволит заблаговременно разработать мероприятия по их внедрению, а, следовательно, подготовить оптимальный план развития этих видов техники и выделить необходимые на это средства. Данная работа позволит сэкономить не только время, но и материальные и людские ресурсы.

5. Техническое противоречие одной их систем, решение противоречия

Для получения новых технических решений перечислим основные количественные признаки имеющегося устройства:

время измерения;

изменение температуры;

габариты устройства;

количество составных частей;

погрешность измерения.

Будем улучшать второй признак: изменение температуры.

Для уменьшения пагубного влияния температуры на систему, ее необходимо теплоизолировать. Для этого поместим рабочую камеру в теплоизоляционный материал. Такой материал должен хорошо передавать нагрузки, то есть быть очень плотным, но одновременно с этим материал должен плохо предавать тепло, то есть быть максимально пористым. Чем материал пористей, тем ниже чувствительность системы у перепад температуры, что позволяет отказаться от некоторых частей системы, однако чувствительность такой системы будет очень низкой, так как материал под действие нагрузки будет сжиматься, выступая в роли демпфирующей прослойки. Разрешим это противоречие по алгоритму решения изобретательских задач (АРИЗ).

5.1 Анализ задачи


Мини-задача. Дана техническая система для измерения изменения давления фундамента на грунт, состоящая из фундамента, грунта, теплоизоляционного материала, измерительной камеры, трубопровода, рабочей жидкости, манометров.

Техническое противоречие: если теплоизоляционный материал очень пористый, то системы не чувствительная к изменениям температуры, но система так же становиться не чувствительная к изменению давления.

Выбор конфликтующей пары: в качестве инструмента выберем теплоизолирующий материал, так как он больше всего подвергается изменению, в качестве изделия целесообразно выбрать рабочую камеру.

Граф-схема технического противоречия приведена на рисунке Ч.

Рисунок 11

Усиление конфликта. Материала настолько плотный, что чувствительность системы абсолютная.

Модель мини-задачи. Дана техническая система для измерения разности давлений (изменения давления фундамента на грунт), состоящая из материала, очень плотного, который обеспечивает условие точности показаний, но очень плохо отводит температуру.

Необходимо ввести X-элемент, который, не усложняя систему, должен не пропускать большое количество тепла или холода.

5.2 Анализ ресурсов модели

Определение оперативной зоны (ОЗ). В ОЗ будет входить теплоизолирующий материал, грунт и рабочая камера.

Рисунок 12

5.3 Определение оперативного времени (ОВ)


,

где  - время до конфликта (подготовка эксперимента),  - время конфликта.

5.3.1 Решение 10

Так данные системы установлены под фундаментом, а низ фундаменты любых зданий находиться ниже глубины промерзания, температурные колебания будут не велики и температура всегда будет больше нуля.

В данной системе целесообразно использовать современные материалы использующие нанотехнологии. Один из материалов удовлетворяющий требованиям, описанным выше, является пеностекло. Данный материал является отличный теплоизоляционным материалом, а так же является самым прочным из всех теплоизоляционных материалов. Так же данный материал устойчив к физическим нагрузкам.

6. Вепольный анализ

На этом этапе работы для получения новых технических решений построим вепольную структуру. Произведем синтез и разрушение веполей.

 

.1 Синтез веполей


Синтез веполей будем проводить из следующего принципа: невепольные системы для повышения управляемости необходимо сделать вепольными.

Пусть В1 - рабочая жидкость, Пт - тепловое поле. На рисунке Ч а) изображена структура неполного веполя - постановка задачи, на рисунке Ч б) - полный веполь - ответ задачи.

Рисунок 13

Вредное действие теплового поля на рабочую жидкость - изменение давления жидкости. Необходимо отыскать такое вещество В2, которое вредное действие забирает на себя, тем самым компенсируя воздействие поля на вещество В1.

6.1.1 Решение 11

В данном решении, в системе, предается использовать определенную жидкость, которая при изменении температуры, будет слабо подвержена расширению. Для таких условий идеально подходит 25% раствор кальция хлорида. Коэффициент объемного расширении жидких веществ и водных растворов в зависимости от температуры, у данного раствора всего 0,35 при 0 єС и 0,39 при 20 єС. Для примера данный коэффициент у воды -0,06 при 0 єС и 0,21 при 20 єС.

6.2 Разрушение веполей


Для получения нового технического решения найдем в исходном устройстве вредное действие одного вещества на другое. “Разрушим” это действие введением третьего вещества.

Рисунок 14

Пусть В1 - грунт, В2 - рабочая жидкость, Пт - тепловое поле. Необходимо такое вещество В3, которое препятствовало бы передачи тепла от грунта рабочей жидкости.

Решение с использованием третьей жидкости приведено в решении Ч.

7. Учебная формула изобретения


Устройство для измерения давления фундамента на грунт, содержащее герметичную силовоспринимающую камеру, выполненную из упругоэластичного материала, заполненную рабочей жидкостью и размещенную на границе фундамента с грунтом, соединяющуюся, с манометр избыточного давления, трубопроводом с вентилями, подключенными к полости силовоспринимающей камеры, отличающееся тем, что, с целью повышения точности и надежности, силовоспринимающая камера помещена в теплоизоляционный материал.

8. Статическая модель технического противоречия на основе катастрофы типа сборка

устройство давление фундамент грунт

Возьмем противоречие из Решения Ч.

За основу возьмем решение 6. Техническое противоречие заключается в том, что для измерения разницы давлений, мы используем перегородку, но для того, чтобы устройство работало корректно, жидкости в трубах должны быть изолированы друг от друга. То есть перегородка должна быть герметична. Чем плотнее прилегает перегородка к стенкам трубы, тем герметичнее перегородка, но одновременно с этим больше сила трения между поверхностями перегородки и трубы. Если перегородка не плотно прилегает к стенкам трубы, то она свободно перемещается, но при этом нарушается свойство герметичности.

Для моделирования из таблицы канонических катастроф выбираем катастрофу типа «сборка», так как в модели имеется два состояния устойчивого равновесия ТП-1 и ТП-2.

Этой катастрофе соответствует потенциальная функция:

(x)=0,25·х4-0,5·λ·х2 -μ·х

За координату x выбираем диаметр перегородки. Применительно к нашей задаче потенциальная функция E(x) характеризует качество работы системы. Выбираем за эту величину относительную погрешность измерения (безразмерная величина). Допустим, у прототипа эта величина равна:

с=const=0.01.

Выберем исходный диаметр перегородки равный 17 мм. Запишем потенциальную функцию для нашей задачи с учетом того, что любая потенциальная функция определяется с точностью до константы с:

E(x)=[0.25·(x-17)4 - 0.5·λ·(x-17)2 - μ·(x-17)]·d + c

где d - коэффициент пропорциональности, выравнивающий размерности между x и Е(x). Действительно, размерность [x]=мм, а размерность Е(x) безразмерна. Отсюда размерность [d]=1/мм.

Тогда при x=2 см. получаем для прототипа E(x)=c=0.01.

Пусть Rm=15 мм - малый диаметр перегородки, Rb=20 мм. - большой диаметр перегородки. Тогда можно рассчитать мощность конфликта:

Rb-Rm=2·sqrt(λ) = 20 мм тогда λ=6,25 мм2.

Для усиления конфликта выбираем очень малое и очень большое число компонентов. Пусть Rbb = 25 мм - очень большой диаметр, Rmm = 10мм - очень маленький диаметр. Рассчитываем мощность:

Rbb-Rmm=15 мм тогда λ=56,25 ммІ.

Предположим, что для этой мощности конфликта находим решение задачи, т.е. Х-элемент. Найдем критическое значение параметра μ, задающего величину Х-элемента по формуле:


Допустим, что при решении задачи по АРИЗу выбирается очень малое число. Тогда знак параметра будет отрицательным, т.е. μ=-162,38 мм3.

Подставляем принятые значения в формулу для потенциальной функции, и находим коэффициент d:


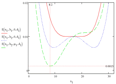
Откуда d=4.179·10-6 [1/ед]. Теперь можно построить графики потенциальной функции для всех трех случаев набора управляющих параметров представленных на рисунке 15. Как уже указано, применительно к этой задаче, это будут графики изменения относительной погрешности. Окончательное решение задачи моделирует график с λ=56,25 едІ и μ = -162,38 ед3. Из этого графика видно, что при таком выборе управляющих параметров λ и μ, а также масштабирующего коэффициента d, получаем относительную погрешность 0,002. Однако это не является минимальным значением, как следует из графика. Видно, что при выборе диаметра перегородки 8,2 мм получим минимальную погрешность 0,0013

Рисунок 15

9. Динамическая модель

Для выполнения работы, динамическую модель получаем исходя из статической модели. Найдем градиент потенциальной функции катастрофы типа «сборки».


где  - скорость изменения координаты x во времени,

- градиент или скорость изменения потенциальной функции по координате х,

СT - коэффициент пропорциональности, равный произведению двух коэффициентов C и T. Отсюда имеем динамическую модель в виде нелинейного дифференциального уравнения первого порядка для координаты x. Одномерная динамическая модель:


Для нашего примера статической модели запишем потенциальную функцию в общем виде

(x)=[0.25·(x-17)4 - 0.5·λ·(x-17)2 - μ·(x-17)]·d + c

Возьмем от нее производную по z, где для простоты моделирования принято z = x-17. Получим градиент:

.

Приравняем антиградиент производной dz/dt с коэффициентом пропорциональности СT :

,

здесь T рассматривается как постоянная времени психологической инерции решателя задачи. T неизвестна, принимается Т=1. Тогда текущее время решения задачи t будет в некоторых относительных единицах времени. Коэффициент С выбирается равным d и сокращается в левой и правой части.

Получается стандартное уравнение , где значения λ и μ выбираем равными значениям, полученным в статической модели.

Нелинейная часть модели представлена блоком , линейная часть, отражающая динамические свойства (инерционность мышления), представлена апериодическим звеном первого порядка. Управляющими параметрами являются коэффициент передачи K и входной сигнал f.

Динамическая система является моделью мышления. Находясь в некотором начальном состоянии по координате z, при определенном значении управляющих параметров K и f, она приходит в одно из двух устойчивых состояний равновесия. Каждое из состояний равновесия имитирует одно из двух технических противоречий, которое разрешается путем введения Х-элемента. Координата z имитирует изменение состояний инструмента в ходе решения изобретательской задачи в сознании изобретателя. Для рассмотренного примера это изменение числа компонентов. Параметры K и f динамической модели должны быть определены по полученным значениям λ и μ.

Приравнивая оператор дифференцирования нулю (s=0), получаем схему для состояния равновесия.

Запишем уравнения для состояния равновесия:


Подставляя значение u из первого уравнения во второе, получаем:


Сравнивая полученное уравнение с уравнением «сборки», замечаем, что:

.

Строим кривую катастроф :

 

или


Рассчитаем значения K и f. У нас λ=56,25, тогда К=1/(1-λ)=-0.018.

Найдем f=μK=2.939.

Вне острия система имеет одно, устойчивое состояние равновесия. Эта ситуация отражает уже решенную задачу.

Для моделирования при двух устойчивых состояниях равновесия необходимо найти область начальных условий на координату z, которые и устанавливаются на интегратор в схеме. В учебном пособии эта область определяется из уравнения:

.

Как видно, состояние равновесия зависит от входного сигнала f и коэффициента передачи K. Коэффициент K зависит только от λ, но значение μ должно быть по модулю меньше критического. Критическое значение для рассмотренного примера равно μкр=- 162.38. Выберем значение μ, равное половине от критического значения, т.е. μ=-81.19. Тогда новое значение f=μK=1,47.

Теперь можно найти границы области устойчивости. Подставим выбранные значения в формулу для определения устойчивости, приравняв правую часть нулю:

(1-3·z2-3·1,472+6·1,47·z)·(-0.018)-1=0

Находим корни, задающие границы устойчивости

z1=-2,861

z2=5.8

Наносим границы на фазовом портрете системы рисунок 16, который строится по уравнению

.

Приравнивая нулю производную, получаем уравнение для установившегося режима. Находим его корни

zs1=-0.034

zs2=9.607

zs3=-5.165

Второй и третий корни принадлежат к области устойчивости, т.е. являются точками устойчивого равновесия, а первый корень принадлежит к области неустойчивости, т.е. является точкой неустойчивого равновесия. Это видно из фазового портрета системы, где область неустойчивости определяется корнями z1,z2.

Рисунок 16

Подставляя найденные значения в схему моделирования, получаем модель в виде, представленном на рисунке 17. Удобнее всего моделировать процесс сразу же с двух разных начальных условий. Для этого набирается два абсолютно одинаковых канала, но с разными начальными условиями на интеграторы.

Рисунок 17

Выбираем начальные условия на интегратор из области притяжения одного из устойчивых корней, например, z(0)=-5 и из области притяжения другого корня, например, z(0)=9 и получаем переходный процесс представленный на рисунке 18.

Рисунок 18

Выводы

В настоящее время, изучение законов развития в научно-техническом творчестве находятся в процессе активного изучения. Развитие этих законов способствует в развитие науки и техники, внедрению в жизнь достижений научно-технического прогресса, способствует доказательству самых смелых теорий и выдвижению новых гипотез. Успехи в изучении этих законов дают дополнительные возможности в процессе развития творческих способностей каждого человека и общества в целом.

Продвижение законов развития на современном этапе в условиях непростой экономической и социальной обстановки особенно актуально и способно придать человечеству новые силы на пути развития технических систем.

Список литературы

1. Бушуев А.Б. Домашнее задание по курсу «Математическое моделирование процессов технического творчества. Методические указания, Санкт-Петербург 2009 г.

2.       Бушуев А.Б. Математическое моделирование процессов технического творчества. Учебное пособие. Санкт-Петербург 2010 г.

.        Конспект лекций Бушуева А. Б. 2011 г.

.        Автор перевода: Горшков Б.Л. Методы практического конструирования при нормировании сигналов с датчиков, по материалам семинара "Practical design techniques for sensor signal conditioning".

.        ГОСТ 23253-78 Методы полевых испытаний мерзлых грунтов.

Похожие работы на - Анализ устройства для измерения давления фундамента на грунт с точки зрения проявления основных законов развития технических систем

 

Не нашли материал для своей работы?
Поможем написать уникальную работу
Без плагиата!
Без нейросетей!