Статистическая оценка демографической ситуации в регионах ПФО
Введение
Социальная статистика представляет собой одно из важнейших
приложений статистического метода. Она дает количественную характеристику
структуры общества, жизни и деятельности людей, их взаимоотношений с
государством и правом, позволяет выявить и измерить основные закономерности в
поведении людей, в распределении благ между ними.
Правильное представление о демографической ситуации в регионе
позволяет принимать обоснованные решения при прогнозировании структуры и
динамики экономических и социальных процессов. Далеко не всегда эта взаимосвязь
четко осознается, так как демографические процессы протекают очень медленно. Но
по прошествии длительного времени они могут привести к необратимым
последствиям, требующими адекватных мер не только по приспособлению к ним, но и
по предотвращению на уровне как отдельных регионов, так и всей страны в целом.
Поэтому актуальность данной темы в современных условиях обусловлена
необходимостью анализа демографических данных для принятия обоснованных
экономических, социальных и политических решений.
Цель курсовой работы: дать статистическую оценку
демографической ситуации в регионах приволжского федерального округа для
возможного применения полученных расчетов на практике при разработке социальной
и экономической политики региона.
Для достижения данной будут решены следующие задачи:
. Рассмотреть теоретические вопросы, касающиеся
демографической статистики;
. Дать сравнительную характеристику естественного
движения регионов ПФО;
. Провести анализ механического движения в регионах
ПФО;
. Рассчитать перспективную численность населения
регионов ПФО.
Объектом изучения данной курсовой работы является Приволжский
федеральный округ, в частности его регионы.
Предметом изучения является демографическая ситуации.
Для решения поставленных задач будут использованы такие
статистические методы, как:
· метод массовых наблюдений;
· метод группировок;
· метод обобщающих показателей;
· графический метод и др.
В качестве источников информации будут использованы: научная
и учебная литература по демографической статистике, статистические данные,
представляемые федеральной службой государственной статистики.
1.
Демографическая статистика: основные показатели и методы исследования
Демографическая статистика (статистика населения) - область
статистики, занимающаяся приложением статистических методов к сбору, обработке,
изложению и анализу данных, характеризующих численность, состав, размещение и
движение населения той или иной страны, территории или отдельных его групп [1].
Также под демографической статистикой понимают совокупность числовых данных о
населении, а иногда и область практической деятельности по сбору и обработке
этих данных [2].
1.1 Демография
и методы её исследования
Объектами наблюдения в демографии являются не отдельные люди
и события, а сгруппированные по определенным правилам, однородные в некотором
отношении совокупности людей и событий [3]. Такие совокупности называются
статистическими фактами. Демография стремится установить и измерить объективно
существующие взаимосвязи между статистическими фактами, имеющими отношение к ее
предмету.
Демография в исследовании своего предмета - естественного
воспроизводства населения использует различные методы: статистические
исследования динамики, индексный, выборочный, балансовый и графический и др.
Также широко используется математическое моделирование, абстрактное
математическое моделирование, картографические методы [4]. В целом все
методы можно объединит по их характеру в три группы: статистические,
математические и социологические.
Внутри демографии стихийно выделяются такие отрасли, как:
) демографическая статистика - совокупность числовых
данных о населении, а иногда и область практической деятельности по сбору и
обработке этих данных [5]; ее частным предметом является изучение статистически
закономерностей воспроизводства населения. В задачу демографической статистики
входит разработка методов статистического наблюдения и измерения
демографических явлений и процессов, сбор и первичная обработка статистических
материалов о воспроизводстве населения.
) математическая демография [6], которая разрабатывает
и применяет математические методы для изучения взаимосвязей демографических
явлений и процессов, моделирования и прогнозирования. В числе демографических
моделей - вероятностные таблицы смертности, брачности, рождаемости, модели
стационарного и стабильного населения, имитационные модели демографических
процессов и т.п.
) историческая демография [7], которая изучает
состояние и динамику демографических процессов в истории стран и народов, а также
историю развития самой демографической науки.
) этническая демография [8], исследует этнические
особенности воспроизводства населения. Этнические особенности бытового уклада
жизни народов, обычаи, традиции, структура семейных отношений оказывают существенное
влияние на уровень рождаемости, на среднюю продолжительность жизни, состояние
здоровья.
) экономическая демография [9], исследует
экономические факторы воспроизводства населения. Под экономическими факторами
понимается вся совокупность экономических условий жизни общества, и влияние на
темы роста населения, уровень рождаемости, смертности, брачности и т.д.
) социологическая демография [10]; изучает влияние
социологических социально-психологических факторов на волевые, субъективные
действия людей в демографических процессах.
1.2
Статистические показатели демографии (общие и частные)
Статистический показатель - это количественная оценка
свойства изучаемого явления [11].
В демографической науке выделяют общие и частные
статистические показатели [12].
Общие статистические показатели
К общим статистическим показателям демографии относят такие
показатели численности как:
. Естественное движение населения - это изменение
численности населения в связи с процессами рождения и смерти.
∆ест = P - Y (1.1)
Где P - количество родившихся;
Y - количество умерших.
.1. Общий коэффициент рождаемости:

(1.2)
где P - количество родившихся
S - численность населения
1.2. Общий коэффициент смертности:

(1.3)
где Y - количество умерших
S - численность населения
1.3. Общий коэффициент естественного прироста:

(1.4)
2. Показатели механического движения
.1. Миграция - это механическое перемещение населения по
территории страны или между странами.
∆мех= П - В, (1.5)
где П - число прибывших на данную территорию,
В-число выбывших с данной территории.
.2. Коэффициент механического прироста:

(1.6)
3. Общее движение населения.
.1. Общий прирост численности населения:

(1.7)
3.2. Коэффициент общего прироста:

(1.8)
Достоинства общих коэффициентов:
1. устраняют различия в численностях населения
(поскольку рассчитываются на 1000 жителей) и позволяют сравнивать уровни
демографических процессов различных по численности населения территорий;
. одним числом характеризуют состояние сложного
демографического явления или процесса, т.е. имеют обобщающий характер;
. для их расчета в официальных статистических
публикациях почти всегда имеются исходные данные;
. легко доступны пониманию и часто используются в
средствах массовой информации.
У общих коэффициентов есть недостаток, проистекающий из самой
их природы, который состоит в неоднородной структуре их знаменателя. При
использовании общих коэффициентов для изучения динамики демографических
процессов остается неизвестным - за счет каких факторов изменилась величина
коэффициента: то ли за счет изменения изучаемого процесса, то ли за счет
структуры населения.
Частные демографические показатели
Кроме общих показателей для характеристики естественного
движения населения существуют частные коэффициенты, отражающие внутренние
процессы, рождение, смерть.
. Показатели уровня рождаемости:
.1. Специальный коэффициент рождаемости (коэффициент
плодовитости женщин) представляет собой отношение числа родившихся живыми (за
год) к средней (среднегодовой) численности женщин в возрасте от 15 до 50 лет.

(1.9)
где N - число родившихся живыми;

- средняя численность женщин в возрасте от 15 до 50 лет.
Недостаток специального коэффициента в зависимости его величины от
особенностей возрастной структуры. Правда, уже от особенностей возрастной
структуры внутри женского контингента (от 15 до 50 лет), а не всего населения.
1.1. Возрастные коэффициенты рождаемости.
Возрастной коэффициент представляет собой отношение годового
числа родившихся у матерей возраста «x» к численности всех женщин этого
возраста:

(1.10)
где Фx -
возрастной коэффициент рождаемости;
Px - число родившихся у матерей возраста
«x»;
Жx - численность всех женщин этого возраста
Возрастные коэффициенты рассчитываются по однолетним и пятилетним
возрастным группам. Самые подробные - однолетние возрастные коэффициенты дают
наилучшие возможности для анализа состояния и динамики рождаемости.
1.2. Суммарный коэффициент рождаемости.
Суммарный коэффициент рождаемости является сводным, итоговым
показателем. Он показывает, сколько детей рожает в среднем одна женщина за свою
жизнь с 15 до 50 лет при условии, что на всем протяжении репродуктивного
периода жизни данного поколения возрастные коэффициенты рождаемости в каждой
возрастной группе остаются неизменными на уровне расчетного периода.

(1.11)
где n - длина возрастного интервала (при одинаковой длине
интервала).
Достоинства этого показателя:
- его величина не зависит от особенностей
возрастной структуры населения и женского репродуктивного контингента;
- этот показатель одним числом позволяет
оценить состояние уровня рождаемости с позиций обеспечения ею воспроизводства
населения.
. Показатели уровня смертности:
.1. Возрастные коэффициенты смертности.
Показатели рассчитываются раздельно для мужского и женского
полов и являются наилучшими для анализа состояния и тенденций уровня
смертности. Они рассчитываются по однолетним и пятилетним возрастным группам.

(1.12)
где yx - возрастной коэффициент смертности;
Yx - число умерших в возрасте «x» в
календарный период (за год);
Sx - численность населения в возрасте «x» в
середине расчетного периода (среднегодовая).
2.2. Коэффициент детской смертности (до 1 года):

(1.13)
где Yp - число детей умерших до года,

- среднее число детей, родившихся в этом году.
Таким образом, в демографической статистике существует
довольно большое число общих и частных показателей, позволяющих провести
всесторонний анализ демографии объекта исследования (страны, региона, субъекта
округа).
В данной курсовой работе остановимся на расчете и анализе
общих демографических показателей, характеризующих естественное и механическое
движение населения регионов Приволжского федерального округа.
2.
Сравнительная характеристика естественного движения населения в регионах ПФО
2.1 Динамика
численности населения в регионах ПФО
- Приволжский Федеральный округ (ПФО)
включает в себя 14 регионов: республика Башкортостан,
- республика Марий Эл,
- республика Мордовия,
- республика Татарстан,
- Удмуртская республика,
- Чувашская республика,
- Пермский край,
- Кировская область,
- Нижегородская область, Оренбургская
область,
- Пензенская область,
- Самарская область,
- Саратовская область,
Численность населения регионов ПФО довольно сильно
варьируется: от 4 млн. в республике Башкортостан до 700 тыс. в республике Марий
Эл. Однозначно назвать причину такого сильного расхождения довольно трудно. Это
может быть вызвано различием размеров территорий, занимаемых регионами,
климатическими условиями, социально-экономическими условиями жизни и т.д.
Для оценки динамики численности населения за 2000-2009 гг.
воспользуемся базисным коэффициентом роста, который рассчитывается по формуле:

(2.1)
где yi - значение численности
в i-том году;
y1 -
значение численности в базисном году.
В большинстве регионов ПФО (11 из 14) наблюдается стойкая
тенденция снижения численности населения. Минимальное снижение к 2009 г.
зафиксировано в республике Татарстан, в которой численность составила 0,994 от
численности 2000 г. Максимальное снижение наблюдается в Кировской области,
здесь численность в 2009 г. составила лишь 0,902 от численности 2000 г. Следует
заметить, что значение базисного коэффициента роста варьируется в пределах от
0,902 до 0,994, и можно сделать вывод о схожести динамики численности регионов
Приволжского федерального округа.
Чтобы подтвердить данный вывод рассчитаем цепной коэффициент
роста.

(2.2)
где yi - значение численности
в i-том году;
yi-1 - значение численности в предшествующем году.
Вывод о сходности динамики численности регионов ПФО верен: линии
цепного коэффициента роста похожи друг на друга. Начиная с 2006 г.
прослеживается четкая динамика роста цепного коэффициента, что говорит о
замедлении темпов убыли населения.
Следует отметить, что цепной коэффициент принимает значения от
0,987 до 1,003. Т.е. разница между максимальным и минимальным значением
коэффициента составляет всего 0,016 - довольно малое значение.
Как исключение из общей массы выделяются 2 региона: Республика
Башкортостан, республика Татарстан, в которых с 2007-2008 гг. наблюдается
тенденция превышения численности населения по сравнению с предыдущим годом.
2.2
Сравнительный анализ рождаемости и смертности в динамике за 2000-2009 годы
Как говорилось выше, общий коэффициент рождаемости можно
рассчитать по формуле 1.2.
На основе данных приведенных в приложениях 1 и 2
рассчитывается общий коэффициент рождаемости.
Например, в республике Башкортостан в 2000 г. он составил:
Аналогично рассчитывается значение показателя за 2000-2009
годы по всем регионам Приволжского федерального округа.
Коэффициент рождаемости имеет схожую динамику по всем
регионам Приволжского федерального округа: падение с 2004 по 2006 гг., и рост с
2000 по 2004 гг., и с 2006 по 2009 гг. Поэтому логично предположить о влиянии
одних и тех же факторов на все регионы: изменение уровня среднедушевого дохода,
проводимой государством социальной политикой и т.д.
Проведем факторный анализ зависимости коэффициента
рождаемости от таких факторов, как: уровень занятости, численность населения на
1 врача, денежные доходы в расчете на душу населения, с целью сравнения их
влияния на данный коэффициент.
Факторный анализ будем проводить по следующему алгоритму:
) Составляем таблицу соответствия результативного
признака факторному;
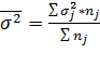
) Рассчитываем групповую дисперсию:

(2.1)
3)
Находим внутригрупповую дисперсию, характеризующую изменение результативного
признака под влиянием неучтенных факторов:

(2.2)
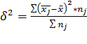
4) Ищем межгрупповую дисперсию, отражающую часть
изменения результативного признака под влиянием факторного:

(2.3)
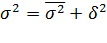
5) Рассчитываем общую дисперсию:

(2.4)
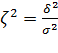
6) Степень зависимости между признаками определяется с
помощью коэффициента детерминации, который рассчитывается по формуле:

(2.5)
Коэффициент детерминации показывает, на сколько процентов результативный
признак зависит от факторного.
7) Заключительный этап - расчет эмпирического
корреляционного отношения:

(2.6)
Для расчета воспользуемся данными за 2002 г., 2005 г. и 2009 г.
Таблицы группировок регионов по факторным признакам: уровень
занятости, численность населения на 1 врача, денежные доходы в расчете на душу
населения, - в 2002 г., 2005 г., 2009 г. представлены в приложениях 16-24.
На основе полученных данных сравним уровни влияния перечисленных
факторных признаков на коэффициент рождаемости. Результаты представлены в
таблице.
Таблица 1. Влияние различных факторов на коэффициент рождаемости
|
Факторный
признак
|
2002
|
2005
|
20008
|
|
Коэффициент
детерминации
|
Коэффициент детерминации
|
Абсолютное
изменение к 2002 г.
|
Коэффициент
детерминации
|
Абсолютное
изменение к 2002 г.
|
|
Денежные доходы
в расчете на душу населения
|
6%
|
7%
|
+1%
|
19%
|
+13%
|
|
Уровень
занятости
|
3%
|
14%
|
+11%
|
15%
|
+12%
|
|
Численность
населения на 1 врача
|
8,98%
|
12%
|
+3,02%
|
9%
|
+0,2
|
Как видно из таблицы 4, уровень влияния представленных
факторов на коэффициент рождаемости растет по сравнению с 2002. Особенно яркий
рост наблюдается по фактору «денежные расчеты на душу населения», по которому
рост составил 13%.
В то же время, из данной таблицы видно, что учтенные факторы
занимают лишь 43% влияющих условий, поэтому можно сделать предположение о том,
что на коэффициент рождаемости оказывают влияние множество мелких факторов,
учесть которые практически не возможно в силу отсутствия статистических данных.
Этими факторами могут быть: влияние религиозных, общественных установок,
традиции, государственное стимулирование рождения детей и т.д.
Кроме коэффициента рождаемости в демографической статистике
существует другой немаловажный показатель - коэффициент смертности.
Для расчета общего коэффициента смертности воспользуемся
формулой 2.3, подставляя данные, приведенные в приложениях 1 и 12.
Например, в республике Башкортостан в 2000 г. он составил:
Аналогично рассчитаем значение показателя за 2000-2009 годы
по всем регионам приволжского федерального округа.
Коэффициент смертности в 2000-2009 гг. по регионам ПФО имеет
сходную динамику: период роста с 2000 по 2005, начиная с 2006 - снижение. Самые
высокие коэффициенты смертности в 2009 г. зафиксированы в нижегородской
области, а самые низкие в республике Татарстан.
Для сравнения динамики рождаемости и смертности рассчитаем
коэффициент жизнеспособности (Покровского):

(2.7)
Например, для республики Башкортостан в 2000 г. коэффициент
Покровского будет равен:
С математической точки зрения, коэффициент жизнеспособности
показывает, во сколько раз коэффициент рождаемости превышает коэффициент
смертности. Т.е. значение коэффициента равное 0,78 для республики Башкортостан
в 2000 г. говорит, что в 2000 г. коэффициент рождаемости составляет 78% от
коэффициента смертности.
Данные рассчитанные по остальным регионам ПФО сведем в таблицу 2 и
проанализируем полученные данные.
Таблица 2. Коэффициент Покровского регионов ПФО, 2000-2009 гг.
|
Наименование
региона
|
2000
|
2001
|
2002
|
2003
|
2004
|
2005
|
2006
|
2007
|
2008
|
2009
|
|
Республика
Башкортостан
|
0.78
|
0.78
|
0.79
|
0.78
|
0.79
|
0.76
|
0.82
|
0.93
|
0.98
|
1.05
|
|
Республика
Марий Эл
|
0.61
|
0.60
|
0.60
|
0.63
|
0.64
|
0.61
|
0.67
|
0.78
|
0.81
|
0.85
|
|
Республика
Мордовия
|
0.48
|
0.50
|
0.48
|
0.49
|
0.52
|
0.50
|
0.52
|
0.58
|
0.62
|
0.62
|
|
Республика
Татарстан
|
0.72
|
0.72
|
0.74
|
0.74
|
0.76
|
0.71
|
0.76
|
0.84
|
0.91
|
0.98
|
|
Удмуртская
Республика
|
0.74
|
0.73
|
0.72
|
0.73
|
0.76
|
0.72
|
0.79
|
0.90
|
0.95
|
1.05
|
|
Чувашская
Республика
|
0.66
|
0.64
|
0.65
|
0.66
|
0.70
|
0.66
|
0.70
|
0.80
|
0.81
|
0.92
|
|
Пермский
край
|
0.60
|
0.62
|
0.61
|
0.62
|
0.64
|
0.61
|
0.67
|
0.77
|
0.84
|
0.89
|
|
Кировская
область
|
0.48
|
0.49
|
0.47
|
0.47
|
0.51
|
0.49
|
0.55
|
0.63
|
0.66
|
0.69
|
|
Нижегородская
область
|
0.43
|
0.42
|
0.42
|
0.45
|
0.46
|
0.45
|
0.48
|
0.54
|
0.58
|
0.62
|
|
Оренбургская
область
|
0.67
|
0.68
|
0.72
|
0.71
|
0.73
|
0.68
|
0.74
|
0.83
|
0.87
|
0.96
|
|
Пензенская
область
|
0.44
|
0.45
|
0.45
|
0.47
|
0.48
|
0.46
|
0.50
|
0.60
|
0.63
|
0.65
|
|
Самарская
область
|
0.48
|
0.50
|
0.56
|
0.60
|
0.62
|
0.60
|
0.64
|
0.70
|
0.75
|
0.78
|
|
Саратовская
область
|
0.49
|
0.50
|
0.52
|
0.54
|
0.56
|
0.54
|
0.58
|
0.67
|
0.70
|
0.71
|
|
Ульяновская
область
|
0.52
|
0.51
|
0.52
|
0.51
|
0.54
|
0.53
|
0.59
|
0.67
|
0.70
|
|
Среднее
значение
|
0,58
|
0,58
|
0,59
|
0,60
|
0,62
|
0,59
|
0,64
|
0,73
|
0,77
|
0,82
|
Как видно из таблицы, лишь в двух регионах ПФО смертность
превысила рождаемость: Республика Башкортостан, Удмуртская республика.
При этом самая большая группа третья, в которой коэффициент
принимает значение от 0,5 до 0,75. Иными словами, на 100 смертей приходилось
лишь 50-75 рождений.
Следует отметить что, не малый вес занимает группа, в которой
значение показателя ниже 0,5 (16% от общего числа). Что говорит о достаточно
критическом состоянии жизни населений: число рождений в 2 раза меньше, чем
смертей, что естественным образом приводит в краткосрочной перспективе к
сокращению численности, а в долгосрочной к старению населения.
Тем не менее, среднее значение показателя за год по всем
регионам ПФО имеет динамику роста. В 2009 г. среднее значение равно 0,82, т.е.
число рожденных составило 82% от числа умерших. Увеличение коэффициента
Покровского вызвано одновременным увеличением коэффициента рождаемости и
снижением коэффициента смертности. Поэтому можно сделать вывод о положительной
динамике демографической ситуации в регионах Приволжского федерального округа.
3.
Анализ механического движения в регионах ПФО
3.1 Анализ
интенсивности миграционных процессов
Миграция населения (лат. migratio - переселение) -
перемещение людей через границы тех или иных территорий с переменой места
жительства навсегда или на более или менее длительное время [13].
Основным показателем миграционных процессов региона является
изменение численности населения ввиду его механического движения. Механическое
движение населения рассчитывается по формуле 2.5.
На основе данных федеральной службы государственной
статистики [14], составим график механического движения населения регионов
Приволжского федерального округа за 2000-2009 годы.
Перед расчетом, сделаем предположение, что миграция населения
имеет замедленную реакцию по сравнению с уровнем дохода: т.е. переселение
начинается не в год изменения дохода, а через определенный промежуток времени.
Предположим, что данный промежуток равен 4 годам. Поэтому дополнительно
составим таблицу соответствия уровня миграции в 2009 г. к уровню среднедушевого
дохода в 2005 г.
Таблицы группировок регионов по уровню среднедушевого дохода
приведены соответственно в приложениях 14, 15, 16.
Данные полученные в процессе расчета дисперсий и
эмпирического корреляционного отношения в 2002, 2009 к 2005, 2009 гг. приведены
в таблице 3.
Таблица 3. Сравнительный анализ зависимости уровня миграции от
среднедушевого дохода населения
|
Наименование
показателя
|
2002
|
2009
|
2009 к 2005
|
|
Групповая дисперсия
( 2553588,25650808,72054075,3
|
|
|
|
|
3341828,2
|
7830128
|
2356640
|
|
11665640,3
|
27256472,7
|
36237526,9
|
|
Внутригрупповая
дисперсия ( 4024218,511842086,69465547,6
|
|
|
|
|
Межгрупповая
дисперсия  5601338,16472649,18849188,1
|
|
|
|
|
Общая дисперсия
 9625556,618314735,718314735,7
|
|
|
|
|
Коэффициент
детерминации  0,580,350,48
|
|
|
|
|
Эмпирическое
корреляционное отношение  76,3%59,4%70%
|
|
|
|
Как видно из таблицы, предположение о том, что существует
связь между уровнем среднедушевого дохода и уровнем миграции, верно. По шкале
Чеддока в 2009 г. она была заметной, а в 2002 - сильной.
Предположение о том, что миграция проявляется через несколько
лет, после изменения уровня дохода тоже оправдалось: связь является сильной,
интервалы изменений миграции прослеживаются четче, чем в таблицах соответствия
текущего уровня миграции текущему среднедушевому доходу.
Необходимо отметить, что уровень зависимости мог бы быть еще
выше. Из общей картины выделяется Пермский край, в котором наряду с высоким
среднедушевым доходом наблюдается депопуляция населения. Поэтому можно сделать
вывод о том, что в данном регионе на уровень переселения влияют и иные факторы,
в частности социальное обеспечение.
3.2 Расчет
перспективной численности населения
В промежутках между переписями численность населения
отдельных населенных пунктов определяется расчетным путем на основе данных
последней переписи и данных текущей статистики о естественном и механическом
движении населения по балансовой схеме:

(3.1)
Где Чк.г. - численность населения на конец
года
Ч н.г. - численность населения на начало года
Чр - число родившихся за год
Чп - число прибывших за год
Чу - число умерших за год
Чв - число выехавших за год
Рассчитаем перспективную численность населения на 2010-2014
гг. перечисленными выше методами и сравним полученные результаты.
) На основе данных о естественном и механическом
приросте.
По формулам 1.4. и 1.6. на основе данных приложений 1, 2, 12,
13 рассчитаем коэффициенты естественного и механического прироста (полученные
результаты представлены в приложениях 17, 18 соответственно).
Рассчитаем коэффициент общего прироста по формуле 1.8
В частности для республики Башкортостан в 2000 г. он
составил:
Коп=-2,89+0,97 = -1,92.
В качестве базы расчета перспективной численности возьмем
данные за 2009 г. Так для республики Башкортостан численность в 2010 г. Должна
составить:
Полученные прогнозные данные на 2010-2014 гг. по остальным
регионам ПФО представлены на рисунке (абсолютные значения представлены в
приложении 20).
Перспективная численность регионов ПФО практически не
изменится: линии имеют малый угол наклона относительно горизонтальной оси.
Наиболее явный рост наблюдается в таких регионах, как: республика Башкортостан,
республика Татарстан. Снижение: Нижегородская область, Удмуртская республика.
) Экстраполяционный метод.
Средний абсолютный прирост рассчитывается по формуле:

(3.2)
Т.к. расчет перспективной численности будет вестись на предстоящие
5 лет, средний абсолютный прирост рассчитаем за 2005-2009 гг.
В частности, для республики Башкортостан среднегодовой абсолютный
прирост будет равен:
Рассчитанные данные по остальным регионам Приволжского
федерального округа представлены в таблице 5.
Таблица 5. Среднегодовой абсолютный прирост населения, 2005-2009
г., чел.
|
Наименование
региона
|
2005
|
2009
|
Yn-Y1
|
∆
|
|
Республика
Башкортостан
|
4078807
|
4057292
|
-21515
|
-5379
|
|
Республика
Марий Эл
|
716850
|
700118
|
-16732
|
-4183
|
|
Республика
Мордовия
|
866631
|
833031
|
-33600
|
-8400
|
|
Республика
Татарстан
|
3768515
|
3768580
|
65
|
16,25
|
|
Удмуртская Республика
|
1552759
|
1528488
|
-24271
|
-6068
|
|
Чувашская
Республика
|
1299306
|
1279359
|
-19947
|
-4987
|
|
Пермский край
|
2769805
|
2708419
|
-61386
|
-15347
|
|
Кировская
область
|
1461301
|
1401201
|
-60100
|
-15025
|
|
Нижегородская
область
|
3445341
|
3340684
|
-104657
|
-26164
|
|
Оренбургская
область
|
2150407
|
2111531
|
-38876
|
-9719
|
|
Пензенская
область
|
1422736
|
1379839
|
-42897
|
-10724
|
|
Самарская
область
|
3201272
|
3171446
|
-29826
|
-7457
|
|
Саратовская
область
|
2625728
|
2572866
|
-52862
|
-13216
|
|
Ульяновская
область
|
1350713
|
1304990
|
-45723
|
-11431
|
На основе полученных данных рассчитаем перспективную
численность населения на 2010-2014 гг. экстраполяционным методом.
В данном случае, резких скачков численности населения также
не предвидится. Но в отличие от результатов, рассчитанных на основе данных о
естественном и механическом приросте, не наблюдается рост численности.
Наоборот, в части регионов наблюдается явное снижение численности:
Нижегородская область, Пермский край, Республика Марий Эл. Очень малое
увеличение прогнозируется лишь в республике Татарстан.
) На основе экспоненциальной функции
Для прогнозирования перспективной численности необходимо
рассчитать среднегодовой темп прироста. Он находится по формуле:

(3.3)
Где yn - значение численности в n году
y1 -
значение численности в базовом году
n - количество лет
Средний темп прироста, аналогично как при расчете
экстраполяционным методом, рассчитаем за 2005-2009 гг.
Данные полученные в результате расчетов по формуле 3.3.
представлены в таблице 6.
Таблица 6. Темп прироста населения регионов ПФО, 2005-2009 г.
|
Наименование
региона
|
Численность
населения, чел.
|
Темп прироста
|
|
2005
|
2009
|
|
|
Республика
Башкортостан
|
4078807
|
4057292
|
-2%
|
|
Республика
Марий Эл
|
716850
|
700118
|
-9%
|
|
Республика
Мордовия
|
866631
|
833031
|
-15%
|
|
Республика
Татарстан
|
3768515
|
3768580
|
0,1%
|
|
Удмуртская
Республика
|
1552759
|
1528488
|
-6%
|
|
Чувашская
Республика
|
1299306
|
1279359
|
-6%
|
|
Пермский край
|
2769805
|
2708419
|
-9%
|
|
Кировская
область
|
1461301
|
1401201
|
-15%
|
|
Нижегородская
область
|
3445341
|
3340684
|
-12%
|
|
Оренбургская
область
|
2150407
|
2111531
|
-7%
|
|
Пензенская
область
|
1422736
|
1379839
|
-12%
|
|
Самарская
область
|
3201272
|
3171446
|
-4%
|
|
Саратовская
область
|
2625728
|
2572866
|
-8%
|
|
Ульяновская
область
|
1350713
|
1304990
|
-13%
|
Перспективная численность населения, исчисленная на основе
экспоненциальной функции, имеет тенденцию резкого снижения. Особенно ярко
данная тенденция проявляется в Самарской, Нижегородской, Оренбургской областях.
Очень малое увеличение наблюдается лишь в республике Татарстан.
Выводы
В процессе написания курсовой работы были рассмотрены
теоретические вопросы по демографической статистике, в частности рассмотрено
понятие демографической статистики, описаны статистические показатели
демографии, используемые при её изучении, дана сравнительная характеристика
естественного движения населения, сделан анализ механического движения
населения регионов ПФО.
В результате написания курсовой работы были получены
следующие результаты и сделаны выводы.
Несмотря на то, что в период с 2000 по 2009 в регионах приволжского
федерального округа наблюдается негативная тенденция снижения численности
населения, начиная с 2006 г. наблюдается рост цепного коэффициента роста что
говорит о снижении темпов сокращения численности.
Динамика коэффициента рождаемости имеет схожую динамику по
всем регионам ПФО. В результате проведения факторного анализа зависимости
уровня рождаемости от различных условий выявлено, что наибольшее влияние среди
анализируемых факторов имеют денежные доходы в расчете на душу населения.
Динамика коэффициента смертности также имеет схожую динамику
по всем регионам ПФО: период роста с 2000 по 2005, начиная с 2006 - снижение.
Самые высокие коэффициенты смертности в 2009 г. зафиксированы в нижегородской
области, а самые низкие в республике Татарстан.
При сравнении рождаемости и смертности выявлено, что лишь в
двух регионах в 2009 г. коэффициент жизнеспособности выше единицы, что говорит
о неблагоприятной ситуации в основной части ПФО, ведущей к сокращению и
старению населения. Однако в среднем по округу наблюдается рост данного
показателя, вызванный снижением коэффициента смертности и ростом коэффициента
рождаемости, что говорит о положительной динамике изменения уровня жизни
населения регионов.
В результате сравнения механического движения в регионах ПФО
нельзя говорить об однородности данных процессов по всем регионам. Однако в
результате проведенного факторного анализа зависимости уровня миграции от
денежных доходов в расчете на душу населения выявлено сильное влияние
факторного признака на результативный.
При расчете перспективной численности регионов ПФО было
спрогнозировано снижение данного показателя. Наиболее яркое снижение
численности прогнозируется в Нижегородской области. Рост планируется в таких
регионах, как: республика Башкортостан и республика Татарстан.
Литература
демографический население численность регион
1. Демографическая
статистика // Большая энциклопедия Кирилла и Мефодия. Дата обновления:
21.09.2008. URL: http://www.megabook.ru/Article.asp? AID=628544 (дата обращения
21.09.2010)
2. http://www.cultinfo.ru/fulltext/1/001/008/022/893.htm
. Медков
В.М. Демография. Ростов на Дону. 2002. ISBN 5-222-01106-8
4. Демография
// Википедия. [2010-2010]. Дата обновления: 21.09.2010. URL:
http://ru.wikipedia.org/? oldid=27943121 (дата обращения: 21.09.2010).
5. Демографическая
статистика // Большая советская энциклопедия. Дата обновления: 05.06.2006. URL:
http://dic.academic.ru/dic.nsf/bse/83378/%D0% 94% D0% B5% D0% BC % D0% BE % D0%
B3% D1% 80% D0% B0% D1% 84% D0% B8% D1% 87% D0% B5% D1% 81% D0% BA % D0% B0%
D1% 8F
6. Математическая
статистика // Географо-этнологический справочник. Дата обновления 13.07.2008. URL:
http://geography.su/demogr/item/f00/s00/e0000631/index.shtml
7. Историческая
демография // Географо-этнологический справочник. Дата обновления 23.07.2008. URL:
http://geography.su/demogr/item/f00/s00/e0000433/index.shtml
8. Этническая
демография // Географо-этнологический справочник. Дата обновления 17.07.2008. URL:
http://geography.su/demogr/item/f00/s01/e0001441/index.shtml
9. Экономическая
демография // Географо-этнологический справочник. Дата обновления 11.07.2008. URL:
http://geography.su/demogr/item/f00/s01/e0001427/index.shtml
10. Социологическая
демография // Географо-этнологический справочник. Дата обновления 13.07.2008. URL:
http://geography.su/demogr/item/f00/s01/e0001179/index.shtml
11. Экономическая
статистика. 2-е изд., доп.: Учебник / Под ред. Ю.Н. Иванова. - М.: ИНФРА-М,
2004. - 480 с. - (Высшее образование). ISBN 5-16-000O84-4
12. Миграция
населения // Википедия. [2010-2010]. Дата обновления: 15.11.2010. URL:
http://ru.wikipedia.org/? oldid=29404450 (дата обращения: 15.11.2010).