Грошово-кредитна політика та її роль в державному регулюванні економіки
Міністерство
освіти і науки, молоді та спорту України
Чернігівський
державний інститут економіки і управління
Кафедра
банківської справи
Курсова
робота
на
тему: «ГРОШОВО-КРЕДИТНА ПОЛІТИКА І ЇЇ РОЛЬ В ДЕРЖАВНОМУ РЕГУЛЮВАННІ ЕКОНОМІКИ»
Чернігів,
2012
Зміст
Вступ
Розліл І ТЕОРИТИЧНІ ОСНОВИ
ГРОШОВО-КРЕДИТНОЇ ПОЛІТИКИ УКРАЇНИ
1.1 Грошово-кредитна політика в
системі макроекономічного регулювання економіки
.2 Інструменти
грошово-кредитної політики
1.3 Механізм впливу монетарної
політики на функціонування економічної системи
Розділ ІІ ГРОШОВО-КРЕДИТНА
ПОЛІТИКА В УКРАЇНІ
.1 Основні етапи розвитку
грошово-кредитної політики України
2.2 Аналіз сучасної
грошово-кредитної політики України
Розділ ІІІ ШЛЯХИ ПІДВИЩЕННЯ
ЕФЕКТИВНОСТІ ГРОШОВО-КРЕДИТНОГО РЕГУЛЮВАННЯ В УКРАЇНІ
Висновки
Список використаної літератури
Додатки
Вступ
Стабільність та розвиток
національної економіки забезпечується використанням державою різноманітних
інструментів макроекономічного регулювання. Одним з найдієвиших засобів макроекономічного
регулювання є грошово-кредитна політика.
Під грошово-кредитною політикою
розуміють комплекс взаємозв'язаних, скоординованих на досягнення певних цілей
заходів щодо регулювання грошового ринку, які проводить держава через свій
центральний банк. Часто її називають монетарною, чи грошовою, політикою.
Розвиток фінансово-кредитної системи
країни визначається ефективністю монетарного регулювання, що базується на
використанні дієвого інструментарію грошово-кредитної політики. На кожному
етапі економічного розвитку країни центральний банк визначає цілі своєї
діяльності, що передбачають пріоритетність використання окремих інструментів. В
Україні на законодавчому рівні формуються основні засади грошово-кредитної
політики на кожний рік, де визначається перелік інструментів та методів, за
допомогою яких відбувається регулювання фінансово-кредитної системи країни.
Розвиток кредитних систем, ринку
позичкових капіталів дещо зменшили безпосередній вплив центрального банку на
формування попиту та пропозиції грошової маси. За таких умов зростає
ефективність інструментів опосередкованого впливу на діяльність
грошово-кредитної системи. Допоміжні інструменти регулювання грошово-кредитної
політики відіграють також не останню роль: вони доповнюють дію основних інструментів.
Незважаючи на значні здобутки
вітчизняних вчених, існує необхідність подальшого аналізу ефективності
грошово-кредитної політики, особливо в умовах фінансової нестабільності, задля
пошуку шляхів подолання недоліків монетарного регулювання та підвищення його
результативності. Саме це і визначає актуальність і практичну цінність
дослідження сучасної грошово-кредитної політики та основних засад її
формування.
Метою моєї роботи є аналіз
теоретичних основ грошово-кредитної політики і її впливу на розвиток економіки
взагалі та економічної системи України зокрема.
Для досягнення мети роботи необхідно
виконати наступні завдання:
· проаналізувати
сутність поняття грошово-кредитної політики, визначивши її зміст, цілі та види,
які виділяє сучасна економічна теорія;
· визначити основні
засоби впливу грошово-кредитної політики на економічну ситуацію;
· дослідити досвід
грошово-кредитного регулювання на різних етапах становлення ринкової економіки
України;
· визначити
пріоритетні шляхи розвитку грошово-кредитної політики в майбутньому;
· розробити шляхи
подолання проблем і підвищення ефективності грошово-кредитної політики.
Предметом даної роботи виступають
дослідження з питань грошово-кредитного регулювання як частини загальної
економічної політики держави та ефективності проведення грошово-кредитної
політики України на кожному з етапів її формування.
Об’єктом роботи виступає
грошово-кредитне регулювання в Україні в умовах стабілізації економічного
розвитку.
Результати проведеної роботи
послідовно відображені в 3-х основних розділах, які містить дана курсова
робота.
Інформаційну основу курсової роботи,
окрім наукових праць вітчизняних авторів,складають також нормативні акти,
офіційні статистичні дані, науково-методична література, матеріали періодичних
видань та ресурси мережі Інтернет.
Розділ І
ТЕОРЕТИЧНІ ОСНОВИ ГРОШОВО-КРЕДИТНОЇ ПОЛІТИКИ
.1
Грошово-кредитна політика в системі макроекономічного регулювання
Грошово-кредитна (монетарна)
політика - це сукупність форм і засобів державного впливу на пропозицію грошей з
метою забезпечення рівноваги між пропозицією грошей і попитом на них.
Головним завданням монетарної
політики є визначення реального попиту на гроші з боку економічних агентів і
забезпечення відповідної пропозиції грошей, яка б відповідала запланованому зростанню
обсягу виробництва без загрози стабільності національної валюти та грошово-
кредитного ринку в цілому, а також запобігала розвитку інфляції за рахунок
монетарної складової [7].
Стратегічними цілями
грошово-кредитної політики є цілі, що визначені як ключові в
загальноекономічній політиці держави. Ними можуть бути зростання виробництва,
зростання зайнятості, стабілізація цін, збалансування платіжного балансу.
Стратегія монетарної політики -
метод довгострокової дії, на підставі якого приймаються рішення щодо
інструментів, які слід використовувати для досягнення поставленої мети.
В економічній літературі виділяють
чотири основні типи режимів грошово-кредитної політики:
· таргетування
обмінного курсу;
· таргетування
грошових агрегатів;
· таргетування інфляції;
· грошово-кредитна
політика без помітного номінального якоря.
Таргетування обмінного курсу
передбачає підтримання стабільності обмінного курсу щодо певної резервної
валюти або кошика валют. Стабільність обмінного курсу має в суспільстві так
званий сигнальний ефект і асоціюється зі стабільними внутрішніми цінами.
Щоправда, можна поставити під сумнів безпосередній зв’язок стабільності
обмінного курсу і внутрішніх цін, адже можлива ситуація, коли валютні
інтервенції чи інші засоби регулювання валютного ринку виявляться інфляційними.
Проте в довгостроковому вимірі такий зв’язок існує. Це проявляється у так
званому дисциплінарному ефекті фіксації обмінного курсу. Якщо в якійсь країні
спостерігається виший рівень інфляції, ніж у країні, до валюти якої зроблено
прив’язку, попит на внутрішні товари зменшується, а на імпорт - зростає. Це
призводить до рецесійних ефектів і зниження рівня цін (чи темпу інфляції).
Зрештою, країна постає перед необхідністю прийняти такий же темп інфляції, як і
в країні, до валюти якої здійснено прив’язку. Для успішного досягнення цілей за
допомогою таргетування обмінного курсу необхідні достатній обсяг валютних
резервів, сувора фіскальна дисципліна та незалежність грошової політики [7].
Сутність режиму монетарного
таргетування полягає в тому, що центральний банк, виходячи із цільового
показника інфляції, оцінок потенційного зростання виробництва і динаміки
швидкості обігу грошей у рамках кількісного рівняння обміну, визначає цільовий
темп зростання грошових агрегатів і оголошує його громадськості.
За режиму таргетування обмінного
курсу номінальним якорем для суспільних очікувань був актив, екзогенний
відносно суспільства й органів влади. Його надійність високо оцінювалася
суспільством.
За монетарного таргетування цим
якорем став приріст грошової маси, тобто ендогенний показник, залежний від
монетарної влади. З теоретичної точки зору ефективність монетарного
таргетування залежить від стабільності зв’язку монетарних агрегатів із
цільовими змінними (інфляцією та номінальним доходом).
Таргетування інфляції передбачає
публічне оголошення планових рівнів інфляції, закріплення в законодавчому
порядку пріоритетності цих цільових показників для центрального банку та
встановлення відповідальності за їх досягнення. Якщо прогноз інфляції на певний
період відрізняється від таргету, центральний банк застосовує відповідні
інструменти для виправлення ситуації.
Таким чином, проміжним орієнтиром
монетарної політики стає прогнозний показник інфляції, завдяки чому інструменти
монетарної політики (зміна відсоткових ставок) застосовуються не у відповідь на
поточний показник інфляції, а на очікувану через 12-18 місяців інфляцію.
Інфляційні таргети встановлюються переважно у вигляді діапазону. Емпіричні
дослідження ефективності режиму прямого інфляційного таргетування в цілому
свідчать про його успішність у напрямі досягнення дезінфляції в країнах з
перехідною економікою та країнах, що розвиваються, утримування низької інфляції
в індустріальних країнах [7].
Грошово-кредитна політика без
очевидного номінального якоря передбачає відмову грошової влади від прийняття
будь-яких зобов’язань із досягнення конкретних значень номінальних показників:
обмінного курсу, рівня інфляції, темпів зростання грошових агрегатів.
Аналізуючи досвід різних режимів
грошової політики в перехідних економіках можна зробити висновок, що на
початковому етапі переходу переважає політика таргетування обмінного курсу або
грошове таргетування. Країнам після першої стадії переходу до ринку необхідно
поступово наближатися до плаваючого курсу, встановлюючи валютні коридори або
системи змінного фіксованого курсу. Відповідно, інфляційне таргетування
розглядалося як можливий режим лише для найрозвиненіших перехідних країн.
Стратегічні цілі є довгостроковими
цілями, вони не вимірюються безпосередньо як грошові величини і не є
індикаторами грошового ринку. Для їх досягнення центральні банки розробляють
проміжні цілі.
До проміжних цілей слід віднести
пожвавлення чи стримування кон’юнктури на товарних і грошових ринках. Змінюючи
рівень процентної ставки та масу грошей в обігу, можна регулювати пропозицію
грошей і попит на товари, а через них - рівень цін, обсяги інвестицій,
зростання виробництва та зайнятості. Важливість проміжних цілей базується на
твердженні, що насправді для центрального банку досягнення стратегічних цілей є
досить складним завданням: для передачі імпульсів грошово-кредитної політики до
її кінцевих цілей потрібен тривалий час, що ускладнює оцінювання ефективності
засобів її реалізації на основі спостережень за кінцевими досягнутими результатами.
Тактичні цілі грошово-кредитної
політики мають короткостроковий, оперативний характер і покликані забезпечити
досягнення проміжних цілей. Потреба у визначенні тактичних цілей викликана тим,
що засоби проведення грошово-кредитної політики - операції на відкритому ринку,
зміна рівня резервних вимог та облікова політика - зазвичай не мають
безпосереднього впливу на стратегічні цілі. До того ж, економічні процеси мають
зворотну реакцію, яку не завжди вдається точно передбачити. Розробка системи
тактичних цілей дає можливість запобігати шокуючим впливам на економіку та
значним помилкам у здійсненні грошово-кредитного регулювання [7].
Загалом монетарна політика має
вирішувати такі завдання:
поліпшувати структуру грошової маси;
розширювати сферу застосування безготівкових
розрахунків;
забезпечувати зростання обсягів
валютних резервів центрального банку;
забезпечувати економічно
обґрунтований рівень обмінного курсу національної грошової одиниці.
Теоретичною основою здійснення
грошово-кредитної політики є кейнсіанська та монетаристська концепції, які
по-різному визначають її дієвість, та механізми впливу на макроекономічну
ситуацію.
За кейнсіанською та
монетаристскою концепціями центральною проблемою грошової політики є
маніпулювання грошовою пропозицією (
) з метою впливу на найважливіші
макроекономічні параметри [9].
Згідно з кейнсіанською
концепцією грошової політики:
— грошова
політика менш впливова, ніж бюджетно-податкова;
— зміна
грошової пропозиції (
) може
впливати на сукупні витрати (АD) опосередковано через зміну ставки процента
(i);
— існують
певні обмеження впливу грошової пропозиції на ставку процента, а ставки
процента - на рівень інвестицій (I);
— коливання
грошової пропозиції змінює ставку процента, яка визначає рівень інвестування, а
інвестиції як елемент сукупних витрат впливають на сукупний попит і рівноважний
обсяг виробництва (Y).
— зростання
грошової маси призводить до зростання темпів інфляції (Р);
— зміна
грошової пропозиції безпосередньо впливає на сукупні витрати, бо за основу
береться рівняння обміну M∙V=P∙Y
— маніпулюючи
грошовою масою, не можна вплинути на ставку процента;
— головним
засобом пожвавлення економіки має бути не стимулювання зростаючою грошовою
пропозицією, а структурні зміни економіки, розширення виробничих можливостей.
Хоча регулятивні заходи монетарної
політики здійснюються безпосередньо в грошово-кредитній сфері, її ефект не
обмежується цією сферою, а проявляється також у реальній економіці завдяки
впливу монетарних змін на виробництво, інвестиції, зайнятість тощо. Тому
монетарна політика по суті є складовою загальної економічної політики держави.
У своєму впливі на реальну економіку вона взаємодіє з фіскальною, ціновою,
інвестиційною, структурною політикою. За механізмом дії та характером впливу на
реальну економіку вона разом з фіскальною становить кон’юнктурну політику (рис.
1.1).
Грошово-кредитна політика
визначається урядом країни, але в життя запроваджується центральним банком. В
Україні головним суб’єктом грошово-кредитної політики є Національний банк. Крім
нього, у виробленні грошово-кредитної політики беруть участь таки органи
державного регулювання економіки - Міністерство фінансів, Міністерство
економіки, безпосередньо уряд, Верховна Рада. Органи виконавчої та законодавчої
влади визначають основні макроекономічні показники, які слугують орієнтирами
для формування цілей грошово-кредитної політики (обсяг ВВП, розмір бюджетного
дефіциту, платіжний та торговий баланси, рівень зайнятості та ін.) [7].
Проте вирішальна роль у розробленні
та реалізації монетарної політики належить Національному банку, оскільки він
несе відповідальність перед суспільством за стан монетарної сфери. НБУ здійснює
свою діяльність самостійно, незалежно від органів державної влади, за допомогою
інструментів грошово-кредитного регулювання.
1.2
Інструменти грошово-кредитної політики
Наявні в розпорядженні центрального
банку інструменти грошово-кредитного регулювання класифікуються наступним
чином.
По об’єктам впливу - стимулювання
кредитної емісії (кредитна експансія), або її обмеження (кредитна рестрикція).
За допомогою проведення кредитної експансії центральні банки переслідують цілі
підйому виробництва і пожвавлення кон’юнктури; за допомогою кредитної
рестрикції вони намагаються запобігти «перегріванню» кон’юнктури, що
спостерігається в періоди економічних підйомів.
За формою інструменти
грошово-кредитного регулювання розділяються на адміністративні (прямі) і
ринкові (непрямі).
Адміністративними є інструменти, що
мають форму директив, розпоряджень, інструкцій, що виходять від центрального
банку і спрямовані на обмеження сфери діяльності кредитного інституту.
Під інструментами ринкового
характеру розуміють кошти впливу центрального банку на грошово-кредитну сферу
за допомогою формування визначених умов на грошовому ринку і ринку капіталів.
По термінах впливу інструменти
грошово-кредитного регулювання розділяються на довгострокові (реалізація займає
понад 1 рік) і короткострокові відповідно до задач реалізації найближчих і
перспективних цілей грошово-кредитної політики.
До інших методів відносять
установлення кредитних обмежень, лімітування рівня процентних ставок по
депозитах і кредитам комерційних банків, портфельні обмеження й ін. На
початкових етапах переходу до ринкових відносин найбільше результативними є
прямі методи втручання центрального банку в грошово-кредитну сферу. В міру
розвитку ринкових відносин спостерігається перехід до ринкового (непрямого)
методу регулювання грошової маси, і насамперед - до операцій на відкритому
ринку і зміни рівня процентних ставок.
Найбільш розповсюдженим є поділ
інструментів на прямі та опоседковані.
Здійснення грошово-кредитної
політики шляхом прямого впливу на пропозицію грошей передбачає такі засоби:
· емісія готівки;
· лімітування обсягів
кредитів, які ЦБ надає уряду та комерційним банкам;
· пряме регулювання
процентної ставки.
Розглянемо перший засіб прямого
регулювання - емісійну політику держави.
Монопольне право центрального банку здійснювати
емісію банкнот є передумовою контролю за пропозицією готівки.
Особлива роль центрального банку в
формуванні кредитних ресурсів є основою для контролю за пропозицією
безготівкових грошей.
Вплив центрального банку на умови
надання кредиту суттєво діє на обсяг попиту на гроші. Емісія грошей, що мають
кредитну природу, повинна здійснюватись під певне забезпечення, яким виступають
боргові зобов’язання господарських агентів (комерційні векселі, банківські
акцепти), боргові зобов’язання уряду, а також іноземна валюта.
Діють три канали емісії сучасних
банкнот:
— банківське
кредитування економіки, яке забезпечує зв’язок грошового обігу з динамікою ВВП;
— банківське
кредитування уряду, коли емісія банкнот здійснюється для покриття дефіциту
державного бюджету;
— емісія
банкнот під приріст офіційних золотовалютних резервів у країнах з активним
платіжним балансом.
Стосовно безготівкової емісії
необхідно зазначити, що її здійснюють не тільки центральні банки, а й
комерційні. При цьому важливим є те, що кредитна емісія передує емісії готівки,
оскільки сучасні банкноти забезпечуються активами ЦБ, основними статтями яких є
валютні резерви, державні цінні папери та позики банківським установам. За цих
умов регулювання грошового обігу в стосунках ЦБ з комерційними банками має
вагоміший вплив на економіку, ніж власне емісія самої готівки. Іншими словами,
емісійний процес в економіці визначається зрештою стосунками центрального банку
з комерційними банками та урядом. І саме ці відносини є визначальними у
регулюванні грошового обігу. З іншого боку, центральний банк, збільшуючи обсяг
кредитів, виданих комерційним банкам і уряду, збільшує власні ресурси
кредитування. Цим він відрізняється від комерційних банків, які, здійснюючи
мультиплікацію банківських депозитів, наштовхуються на межу мультиплікативного
процесу, зумовлену його тенденцією до згасання.
Важливим показником
забезпеченості обороту ВВП грошовою масою є коефіцієнт (рівень) монетизацїі.
Він визначається як відношення величини грошового агрегату
(високоліквідних
грошей) до грошової оцінки ВВП, тобто:
де
-
коефіцієнт монетизації ВВП у період t;
М2t - високоліквідні гроші в
періоді t;
- обсяг ВВП за період t;
Як стверджують деякі вітчизняні
вчені, критерієм економічної безпеки для України як країни з трансформаційною
економікою є рівень монетизації, що дорівнює 40 % ВВП, тоді як у розвинених
країнах світу цей показник коливається в межах 60-90 %, в Японії перевищує 100
%.
Наслідки низького рівня монетизації
економіки:
— загострення
кризи неплатежів;
— зростання
частки бартерних операцій;
— недотримання
термінів сплати податків;
— зростання
частки тіньового сектору;
— посилення
доларизації економіки;
Останнє явище називають ще явищем
мультивалютності, зміст якого полягає у тому, що громадяни значну частку своїх
активів зберігають в іноземній валюті (переважно у доларах США або євро), а не
у національних грошових одиницях.
Негативні наслідки доларизацїі:
· обмеження
можливості привласнення державою національного емісійного доходу;
· знецінення
національної валюти;
· посилення
залежності національної економічної політики держави від фінансових міжнародних
організацій, зокрема від МВФ;
· доларизація
збільшує ризиковість середовища, в якому здійснюється грошово-кредитна
політика;
· розширення та
зміцнення тіньового сектору економіки.
Ми розглянули тільки один із засобів
прямого впливу на економіку монетарної політики.
Пряме регулювання процентної ставки
та пряме лімітування кредитів застосовують тільки у короткостроковому періоді.
Ці заходи дають змогу швидко відреагувати на порушення рівноваги на грошовому
ринку, але якщо пряме втручання триває довго, воно згубно впливає на економіку,
спотворюючи конкурентні відносини та структуру кредитного ринку. Тому об’єктом
подальшої уваги мають стати засоби непрямого (опосередкованого) впливу
центрального банку на економіку, які за своєю природою властиві ринковій
економіці.
До інструментів опосередкованого
впливу відносять:
— операції
на відкритому ринку;
— регулювання
облікової процентної ставки на позики;
— регулювання
банківських резервів.
Операції на відкритому ринку є
гнучким інструментом, який виявляється в продажу чи купівлі центральним банком
цінних паперів на “відкритому ринку” у комерційних банків, фірм або населення.
Він застосовується для проведення експансійної (купівля) чи рестрикційної
(продаж) грошової політики.
Метою кредитної експансії є
збільшення зайнятості і піднесення виробництва шляхом збільшення пропозиції
грошей. Кредитна рестрикція застосовується з метою запобігти економічній кризі та
знизити темпи інфляції шляхом обмеження пропозиції грошей.
Отже, купуючи чи продаючи державні
цінні папери, центральний банк може здійснювати вплив на обсяг грошової маси.
Так, продаючи комерційним банкам, фірмам або населенню цінні державні папери,
центральний банк вилучає з обігу гроші, зменшуючи надлишкові резерви
комерційних банків та депозити фірм і домогосподарств, що, в свою чергу,
мультиплікативно впливає на зменшення пропозиції грошей. Викуповуючи державні
цінні папери у названих вище суб’єктів, центральний банк збільшує надлишкові
резерви комерційних банків та депозити фірм і домогосподарств, які, в свою
чергу, мультиплікативно впливають на збільшення пропозиції грошей.
Причиною продажу цінних паперів
центральним банком є потреба в обслуговуванні державного боргу, пов’язаного з
тривалим дефіцитом державного бюджету; розрив у часі між надходженнями до
бюджету та витратами з нього; у разі необхідності вилучення частини надлишкової
грошової маси з обігу.
Причиною викупу державних цінних
паперів центральним банком є потреба впливу на збільшення пропозиції грошей в
обігу.
Причиною купівлі-продажу цінних
паперів комерційними банками, фірмами та домогосподарствами є співвідношення
між ціною облігацій та рівнем процентної ставки за облігаціями.
Залежно від того, що спонукає
центральний банк здійснювати операції з державними цінними паперами на
відкритому ринку, виділяють захисні та динамічні операції.
Захисні операції покликані не
допустити або швидко усунути небажані зміни в структурі банківських резервів. Динамічні
операції мають забезпечити стабільність функціонування економічної системи або
сприяти економічному зростанню. Ці операції змінюють пропозицію грошей в
економіці. Вони передбачають купівлю чи продаж цінних паперів на тривалий
період з негайною їх оплатою.
Політика облікової ставки
використовується для впливу на кредитну активність комерційних банків і
виявляється у змінах облікової ставки відповідно до кон’юнктурних коливань
економіки.
Облікова (дисконтна) ставка -
процентна ставка, за якою центральний банк надає позики комерційним банкам.
Позики, які комерційні банки
отримують у центральному банку, називають дисконтними позиками. Метою дисконтних
позик є:
а) підтримання рівня
ліквідності банків у період важкого фінансового становища;
б) підтримання резервів
комерційних банків на необхідному рівні.
Як правило, заставою дисконтних
позик є державні цінні папери комерційних банків.
Якщо центральний банк зменшує
облікову ставку, то це впливає на розширення кредитів усієї банківської
системи, і навпаки, збільшення облікової ставки зумовлює зменшення (згортання)
кредитів.
Необхідно зазначити, що вплив
політики облікової ставки на розширення (згортання) кредиту передбачити значно
важче, ніж вплив операцій з цінними паперами на відкритому ринку. Пояснюється
це тим, що на обсяг запозичень комерційних банків у центрального банку впливає
не тільки рівень облікової ставки, а й рівень ставки позикового процента із
альтернативних джерел (міжбанківських кредитів тощо).
Та насправді ринкова ставка
позикового процента за позиками значно чутливіша до кон’юнктурних коливань
економіки. Вона значно швидше на них реагує. І тому часто можна констатувати,
що облікова ставка центрального банку в останню чергу реагує на ці коливання.
Це означає, що в період економічного зростання облікова ставка зростає значно
пізніше, а в період економічних спадів вона значно пізніше знижується, ніж
ринкові норми процента. Це свідчить про те, що вплив облікової ставки на попит
на гроші та на економіку в цілому мало прогнозований.
Та найбільш жорстким інструментом
грошово-кредитної політики є обов’язкові банківські резерви. Його
використовують як засіб, що забезпечує швидке стиснення чи розширення кредитної
маси в економічній системі.
Резервування частини депозитів
комерційних банків у центральному банку називають частковим резервним
покриттям.
Вплив на пропозицію грошей та
макроекономічну ситуацію здійснюється шляхом маніпуляції нормою банківських
резервів, які комерційні банки зобов’язані зберігати на рахунках у центральному
банку. Центральний банк впливає на пропозицію грошей через маніпуляції з нормою
обов’язкових банківських резервів двояко:
а) шляхом зміни обсягу
надлишкових резервів комерційних банків;
б) шляхом зміни величини
грошового мультиплікатора.
Якщо норма обов’язкових банківських
резервів буде, пропозиція грошей зросте як внаслідок збільшення надлишкових
резервів комерційних банків, так і внаслідок дії мультиплікатора у бік
зростання. При зниженні норми обов’язкових резервів спостерігається зворотній
процес.
Вплив норми резервування на
пропозицію грошей досить сильний. У цьому криється небезпека різких і частих
коливань норматива обов’язкових банківських резервів. Адже для того, щоб
система комерційних банків була здатна виконувати високі резервні вимоги, вона
б мусила мати значну частку власних резервів, які вилучаються із кредитних
ресурсів. Це б мало негативний вплив як на фінансовий стан самих банків, так і
на економіку в цілому з причини обмеження кредитних ресурсів.
З огляду на все сказане вище, можна
зробити висновок, що найпоширенішим і найдієвішим засобом непрямого впливу на
економіку є операції на відкритому ринку. Вони не мають різкого негативного
впливу на ефективність роботи банків, легко контролюються центральним банком і
результат дії цього засобу виявляється дуже швидко.
Інструменти прямої дії відіграють
певну роль у грошово-кредитній політиці, яку проводять центральні банки країн
із розвиненою ринковою економікою, але більш активно вони використовуються
центральними банками країн, що розвиваються, а також країн із перехідною
економікою.
1.3 Механізм впливу монетарної політики на функціонування економічної
системи
Хоча регулятивні заходи монетарної
політики здійснюються безпосередньо в грошово-кредитній сфері, її ефект не
обмежується цією сферою, а проявляється також у реальній економіці завдяки
впливу монетарних змін на виробництво, інвестиції, зайнятість тощо. Тому
монетарна політика по суті є складовою загальної економічної політики держави.
Існують різні варіанти монетарного
впливу на економіку, які поєднують прямі та непрямі засоби, залежно від
співвідношення поточних і перспективних цілей, від конкретної економічної
ситуації в країні, від причин, що зумовили порушення рівноваги на грошовому
ринку, тощо.
Центральний банк може здійснювати
жорстку або гнучку монетарну політику.
Жорстка монетарна політика - це
політика підтримання на певному рівні грошової маси.
Гнучка монетарна політика - це
політика підтримання певного рівня процентних ставок.
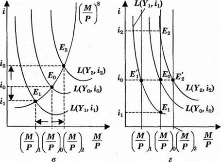
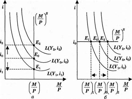
На рис. 1.2, а графічно
представлена ситуація, за якої центральний банк проводить жорстку монетарну
політику, спрямовану на стабілізацію пропозиції грошей 
.
Початкова рівновага попиту на
гроші та пропозиції їх позначена точкою
.
Якщо за незмінної пропозиції
грошей попит на гроші зменшиться, точка рівноваги зміститься з точки
в точку
. Це
призведе до зменшення процентної ставки від і0 до і1. Якщо ж спостерігатиметься
зростання попиту на гроші від L(Y0, і0) до L(Y2, і2) то рівновага зміститься з
точки E0 в точку Е2. Внаслідок цього процентна ставка теж зросте від і0 до і2.
Із цієї моделі рівноваги на
грошовому ринку випливає, що стабілізувати пропозицію грошей і процентні ставки
водночас неможливо. Стабілізація пропозиції грошей автоматично зумовлює
коливання процентної ставки.
На рис. 1.2, б графічно
представлена ситуація, коли центральний банк намагається стабілізувати
процентну ставку (і0). Нехай спочатку рівновазі на грошовому ринку відповідала
точка E0. При зменшенні попиту на гроші крива L(Y0, і0) змістилась до L(Y1,
і0), а точка рівноваги перемістилась з точки E0 в точку E1, що зумовило
зменшення пропозиції грошей від
до
.
Отже, стабілізація процентної
ставки автоматично зумовлює зміну обсягу пропозиції грошей. Це ще раз доводить
твердження, що центральний банк не може водночас стабілізувати і пропозицію
грошей, і процентну ставку.
На рис. 1.2, в представлена
ситуація, коли центральний банк здійснює проміжний варіант грошово-кредитної
політики. У цьому випадку наявні й зміни попиту на гроші, й зміни пропозиції
грошей. Як видно із рисунка, зі зменшенням попиту на гроші крива L(Y0, і0)
переходить у криву L(Y1, і1). В результаті точка рівноваги зміщується з точки E0
в точку E1, внаслідок чого зменшуються і обсяги пропозиції грошей від
до
, і
процентні ставки (від і0 до і1). І навпаки, зростання попиту на гроші (від
L(Y0, і0) до L(Y2, і0) зумовлює зміщення точки рівноваги з точки E0 в E2 ,
внаслідок чого зростає і обсяг запропонованих грошей від
до
, і
процентна ставка від і0 до і2.
На рис. 1.2, г графічно
представлена ситуація, коли відбуваються зміни і в попиті на гроші, і в
пропозиції грошей. Нехай центральний банк намагається стабілізувати процентну
ставку на рівні і0. Спонукою до такої мети є те, що високі процентні ставки
негативно впливають на схильність до інвестицій, а з урахуванням дії
мультиплікатора й на всю економіку в цілому. Нехай очікуваній рівновазі
відповідає точка E0, яка є точкою перетину кривих L(Y0, і0) та
. Якщо
відбудуться зміни в обсягах виробництва або ж у рівні цін, то крива попиту на
гроші зміститься. Якщо ж це зміщення відбудеться ліворуч до L(Y1, і1), то
процентна ставка стане нижчою від і0, вона буде дорівнювати і1.
Зменшення процентної ставки
зумовить зростання цін на облігації. Для того, щоб стабілізувати ставку на
попередньому рівні центральному банку доведеться продавати облігації доти, доки
пропозиція грошей не зменшиться до
, за якої процентна ставка
підніметься до і0 у точці E'1 .
Зміщення ж кривої попиту на
гроші праворуч до L(Y2, і2) зумовить зростання процентної ставки до і2.
Центральний банк змушений буде викуповувати цінні папери до тих пір, поки
пропозиція грошей не досягне рівня
, а процентна ставка не знизиться до
і0 у точці E'2 .
Вибір варіантів
грошово-кредитної політики значною мірою залежить від причин, що зумовили зміну
обсягу попиту на гроші. Якщо, приміром, зростання попиту на гроші спричинене
інфляційними процесами, прийнятнішою є жорстка політика стабілізації грошової
маси (крива матиме вертикальний або висхідний крутий нахил). Якщо зміни у
попиті на гроші обумовлені змінами у швидкості руху грошей, перевагу матиме
політика стабілізації процентних ставок. За цих умов крива буде горизонтальною
або матиме вигляд пологої висхідної.
Залежно від характеру впливу
на такі економічні змінні, як обсяг національного виробництва, рівень
безробіття та рівень інфляції, розрізняють стимулюючу та обмежувальну
(стримуючу) монетарну політику.
Монетарна політика,
спрямована на обмеження зростання рівня цін в економіці, називається політикою
“дорогих грошей”. Цю політику центральний банк здійснює таким шляхом:
— продає
цінні папери на відкритому ринку;
— збільшує
облікову ставку;
— збільшує
норму обов’язкових банківських резервів.
Таким чином у комерційних банків
зменшуються надлишкові резерви, знижується величина грошового мультиплікатора,
а відповідно скорочується і пропозиція грошей, що є обмежувачем для зростання
цін.
Політику, спрямовану на зростання
реальних обсягів національного виробництва та рівня зайнятості, називають
стимулюючою монетарною політикою, або політикою “дешевих грошей”.
Збільшення запропонованих
центральним банком грошей здійснюється шляхом:
— викупу
державних цінних паперів на відкритому ринку;
— зниження
облікової ставки;
— зменшення
норми обов’язкових банківських резервів.
Ми розглянули механізм впливу
основних інструментів грошово-кредитної політики на забезпечення рівноважної
ситуації в економці. Та між цілями економічної політики та засобами
(інструментами) її реалізації лежать ринкові змінні. Як правило, вплив на
економіку здійснюється саме через них. Розглянемо деталь ніше опосередкований
вплив грошово-кредитної політики на економіку.
Нехай центральний банк через
монетарну політику прагне вплинути на обсяг національного виробництва у
напрямку його зростання. Для цього центральний банк повинен збільшити обсяг
реальної пропозиції грошей.
Такий крок центрального банку
зумовить зменшення процентної ставки на грошовому ринку. Низькі процентні
ставки сприяють інвестиційній активності, що зумовить мультиплікативне
зростання сукупних витрат і, зрештою, зростання обсягів національного
виробництва і доходу. У загальному вигляді цей процес можна зобразити так:
↑
→ ↓i
→ ↑I → ↑AD(E) → ↑Q → ↑Y
Якщо детальніше розглянути цю
проблему, то зміна процентних ставок вплине на величину валютного курсу.
Останній, у свою чергу, вплине на сукупні витрати.
Необхідно зазначити, що певні збої в
будь-якій ланці ринкових змінних (процентні ставки, величина сукупного попиту,
мультиплікатор інвестицій тощо) можуть звести нанівець вплив грошово-кредитної
політики або суттєво зменшити її позитивний результат. Досягнення бажаного
результату в економіці через механізм грошово-кредитної політики ускладнюється
тим, що впливаючи на одні макроекономічні показники, автоматично змінюються
інші. Прикладом можуть слугувати обсяг запропонованих грошей і процентна
ставка. Так, якщо центральний банк хоче стабілізувати процентну ставку з метою
стимулюючого впливу на інвестиційний процес та економічне зростання, то в ході
саморозвитку економічної системи вірогідна така ситуація: зростання ВВП
зумовить збільшення попиту на гроші. Якщо кількість запропонованих грошей залишити
незмінною, то процентна ставка зростатиме. Для того, щоб її утримати на
попередньому рівні, центральний банк змушений буде збільшити пропозицію грошей.
Така дія центрального банку створить додаткові стимули для зростання ВВП, але
вона включає в себе інфляційну компоненту.
Ефективність грошово-кредитної
політики значною мірою визначається довірою до політики центрального банку та
ступенем незалежності центрального банку від уряду. Так, застосування механізму
таргетування інфляції, тобто публічного проголошення середньо- і
довгострокового цільового орієнтира динаміки індексу цін із зобов’язанням його
дотримання дає змогу суб’єктам економіки формувати раціональнішу господарську
поведінку, ніж за умов недовіри та невизначеності.
Розділ ІІ
ГРОШОВО-КРЕДИТНА ПОЛІТИКА В УКРАЇНІ
.1 Основні
етапи розвитку грошово-кредитної політики України
грошовий кредитний
монетарний ціна
Формування грошово-кредитної
політики будь-якої держави - це складний процес, який завжди пов'язаний з
особливостями економічного та соціального середовища, оскільки саме вони
визначають основні завдання даної політики. Конкретні періоди розвитку
суспільства сприяють виокремленню певних особливостей розробки й реалізації
цієї політики.
Виділяють чотири основні етапи
формування грошово-кредитної політики в Україні:
• перший
етап (1991 - 1995 роки) - створення самостійної банківської і грошової систем
України, організація внутрішньодержавних і міждержавних розрахунків, кредитна
підтримка економіки, опрацювання механізмів валютного регулювання і
банківського нагляду, запровадження практики міжбанківських розрахунків на
кореспондентських засадах, реформування монетарного менеджменту і статистики,
започаткування співпраці з міжнародними фінансовими організаціями (МВФ, СБ,
ЄБРР);
• другий
етап (1996 - 1999 роки) - проведення грошової реформи з уведенням в обіг
національної грошової одиниці та використання на її основі ринкових елементів
регулювання грошово-кредитного ринку;
• третій
етап (2000 - 2007 роки) - подальший розвиток банківської системи і монетарних
інструментів із регулювання грошово-кредитного ринку, зорієнтованих на
підтримку сталого економічного зростання та цінової стабільності;
• четвертий
етап (2008 - поточний час) - діяльність, спрямована на протидію фінансовій
кризі і оздоровлення банківської системи [7].
Такий поділ на етапи є
найпоширенішим, проте деякі вчені виділяють ще підготовчий етап або «нульовий».
Цей етап охоплює 1991 - 1992 рр., коли Україна не мала власної грошової
одиниці, фактично була залежною від пропозиції російського карбованця.
Охарактеризуємо детальніше
особливості грошово-кредитної системи України на кожному етапі.
Перший етап у формуванні та
реалізації грошово-кредитної політики НБУ починається з 1991 року. У цьому ж
році Україна починає процес переходу до ринкових відносин, що призвело до
дестабілізації усіх сфер економіки. Державні підприємства виявилися
нерентабельними, соціальна сфера потребувала підтримки з боку держави,
посилювалась проблема безробіття. Стан економіки в 1991 році був дуже тяжкий.
Так, дефіцит державного бюджету досяг 21,1 млн. крб., або 7 % від ВВП, а рівень
монетизації національної економіки склав понад 80 % (рис 2.1).
В таких умовах розпочалося
формування грошово-кредитної політики України. Фактично вона мала
емісійно-експансіоністський характер і підпорядковувалась політиці уряду, що в
свою чергу була спрямована на підтримку державного сектору. Так, в 1992 р.
кредитна емісія досягла позначки 1 трлн крб., а в наступному році збільшилась у
30 разів і становила 30 трлн крб. При цьому 70 % цієї емісії поглинув абсолютно
не реформований агропромисловий комплекс, який ще базувався на колгоспній та
державній формах організації. У таких умовах приватний сектор та його розвиток
відійшли на другий план [8].
НБУ в 1992- 1994 рр. отримав
незалежність у своїх діях. На цьому етапі НБУ використовував досвід Німеччини,
щоправда результати використання цього досвіду значною мірою відрізнялися від
німецьких. Завданням НБУ на цьому етапі було приборкання гіперінфляції, яка
досягла небачених для країни в мирному стані темпів зростання - понад 10 000%.
У 1993 р. був введений фіксований
режим валютного курсу. У 1994 р. були визначені основні функції валютного ринку
і роль Національного банку в економіці, в цей період почалася доларизація
економіки, набрали сили процеси тінізації економіки, а також поглибилися
тенденції падіння виробництва. 1995 рік відзначився відмовою Національного
банку від кредитування Уряду на пільгових умовах. У цьому році був створений
ринок цінних паперів, бюджетний дефіцит почали фінансувати за рахунок облігацій
внутрішньої державної позики (ОВДП). Крім того, 1995 рік відзначився початком
стабілізації цін - індекс споживчих цін знизився до 282%.
Таким чином, даний період
характеризується тим, що НБУ почав розробляти методологію й методику
грошово-кредитної політики, яку удосконалюватиме на наступних етапах розвитку
грошової системи України. Крім того було розмежовано сфери дії
грошово-кредитної політики й фіскально-бюджетної політики, а також НБУ починає
використовувати світовий досвід застосування інструментів грошово-кредитної
політики у проведенні своєї власної політики, спрямованої на забезпечення
стабільності національної грошової одиниці.
серпня 1996 р. Президент України
підписав Указ «Про грошову реформу в Україні», згідно з яким з 2 по 16 вересня
1996 р. з обороту був вилучений український карбованець і введена постійна
грошова одиниця - гривня. Передумовами проведення грошової реформи стало
зниження інфляції і стабілізація цін, зниження темпів падіння ВВП. Реформа 1996
року була реформою м’якого типу, тобто вона не передбачала радикальної зміни
грошової системи країни. Було відповідно змінено масштаб цін. Так
розпочинається другий етап формування грошово- кредитної політики України.
У 1996-1999 рр. Україна
та її грошово-кредитна політика вперше по- справжньому зштовхнулись із
процесами глобалізації економіки. Фінансова криза 1998 року і коливання
світового попиту та кон’юнктури на ринках основних експортних товарів довели,
що Україна не є ізольованою від світового господарства. Ще однією
характеристикою даного періоду було те, що в Україні дуже покладались на досвід
іноземних експертів, але не завжди могли відділяти корисні поради від
шкідливих.
Головним номінальним орієнтиром у
грошово-кредитній політиці в 1996-1999 рр. був валютний курс. Україна обрала режим
валютних коридорів, які щоразу переглядались, як тільки НБУ виявлявся
неспроможним їх втримати. Так у 1996 р. був встановлений коридор 1,6-1,9 грн./дол.,
а у вересні 1997 р. він змінився на 1,8-2,25 грн./дол., у 1998 р. - 2,5-3,5 грн./дол.,
у лютому 1999 р. - 3,4-3,5 грн./дол., у 2000 р. НБУ ввів плаваючий режим
валютного курсу (режим керованого плавання).
На даному етапі розвитку
грошово-кредитної політики Верховною Радою України було прийнято Закон «Про
Національний банк України» (травень 1999 р.). Деякі розділи цього закону
(зокрема розділ IV «Грошово- кредитна політика», розділ V «Управління
готівковим грошовим обігом», розділ VIII «Діяльність Національного банку щодо
операцій з валютними цінностями») сприяли подальшому вдосконаленню інструментів
та механізмів грошової системи та грошово-кредитної політики в тому числі: були
визначені права та обов’язки НБУ щодо забезпечення стабільності національної
грошової одиниці, регулювання грошового обороту, визначені методи та
інструменти грошово-кредитної політики та інші види діяльності НБУ [10].
Третій етап розвитку
грошово-кредитної політики України починається з 2000 року, який ознаменував
початок економічного піднесення. Протягом цього етапу НБУ ставив перед собою
такі нові завдання та пріоритети в сфері грошово-кредитної політики:
• впровадження
режиму таргетування інфляції;
• підтримка
економічного зростання;
• стабільність
валютного курсу;
• перехід
від часткової до повної конвертованості національної валюти.
Починаючи з другої половини 2005 р.,
коли економіка України була визнана економікою ринкового типу, потоки капіталу
в країну різко зросли. Це призвело до суттєвого тиску на зміцнення обмінного
курсу гривні при погіршенні сальдо поточного рахунку. Національний банк з метою
підтримання цінової конкурентоспроможності був змушений утримувати обмінний
курс гривні до долара США на стабільному рівні.
Активні залучення банків на
іноземних ринках капіталу та висока інфляція на світових ринках товарів
призвели до різкого зростання кредитного портфелю та посилення валютних
дисбалансів. Це. у свою чергу, стимулювало розвиток інфляційних процесів
унаслідок зростання ВВП понад свій потенційний рівень [7].
Внутрішні протиріччя
грошово-кредитної політики, економічної політики соціального популізму та
світова фінансово-економічна криза призвели до того, що гривня зазнала однієї з
найбільших девальвацій у світі за 2008 р. - з 4,85 до понад 8 грн. за 1 дол.
США, або більше ніж на 60% [17].
Національний банк вживав заходи,
зокрема, щодо нівелювання ризиків внутрішнього і зовнішнього характеру, які
постійно наростали і несли вагому загрозу порушенню стабільності в економіці:
• проводив
стриману грошово-кредитну політику, спрямовану на нівелювання монетарного
чинника інфляції;
• стимулював
банки укладати угоди в національній валюти і виваженіше підходити до управління
власними активами та пасивами;
• розширював
можливості банків з підтримки їх ліквідності - Національний банк почав приймати
в забезпечення кредитів рефінансування акції істотної участі банків. При цьому
навіть в умовах інфляційного тиску обсяг операцій Національного банку з
рефінансування перевищував обсяги проведення мобілізаційних операцій;
• проводив
процентну політику, спрямовану на стимулювання заощаджувальної активності
населення;
• нарощував
валютні резерви.
В результаті НБУ не вдалося виконати
всі заплановані цілі. ВВП України зростав, НБУ продовжував фіксувати валютний
курс, при цьому перехід до політики інфляційного таргетування так і не було
здійснено.
Так розпочинається сучасний етап
розвитку грошово-кредитної політики України. Він характеризується проявом
наслідків попередніх помилок у сфері регулювання грошово-кредитних відносин, а
саме:
• занадто
жорсткої прив’язки гривні до долара ;
• дозволу
на видачу населенню валютних кредитів;
• політики
дезінформування населення про реальне співвідношення гривні та долара, що
спричинило такі наслідки як паніка на валютному ринку, криза неплатежів по
валютних кредитах, відплив грошей з банківських депозитів, криза ліквідності
банків, мораторій на видачу депозитів, катастрофічне падіння рівня довіри
населення до банківської системи.
Головним завданням грошово-кредитної
політики НБУ на сьогодні залишається підтримання стабільності національної
грошової одиниці. Криза 2008 - 2009 рр. зумовила пріоритетність забезпечення
стійкості фінансової системи. За таких умов НБУ здійсненює грошово-кредитну
політику шляхом регулювання грошово-кредитного ринку за допомогою відповідних
інструментів.
Таким чином, формування
грошово-кредитної політики розпочинається з 1991 р., коли Україна здобула
незалежність. У своєму розвитку монетарна політика України пройшла чотири
основні етапи, корті пов’язані з її економічним розвитком як суверенної
держави. За роки незалежності, в Україні було розроблено методологію й методику
грошово-кредитної політики, котра постійно вдосконалюється. Проте світова
фінансова криза 2008-2009 рр. стала справжнім викликом для багатьох країн
світу, у тому числі й для України. У цей період проявились усі недоліки
реалізації грошово-кредитної політики, котрі ігнорувались раніше. Щоб уникнути
поглиблення негативних наслідків фінансової нестабільності НБУ повинен
проводити ефективну грошово-кредитну політику.
2.2 Аналіз
сучасної грошово-кредитної політики України
Відмінною рисою економічного
розвитку України у 2011 р. стало суттєве гальмування інфляційних процесів.
Усього за 2011 р. ціни підвищилися лише на 4,4 %, у річному вимірі - до 5,2 %,
що відповідає вимогам меморандуму з МВФ, згідно яким значення базової інфляції
на кінець 2011 р. не повинні перевищувати 7,9 % [6].
Уповільнення темпів зростання цін
було зумовлено комплексом внутрішніх та зовнішніх чинників, а саме:
— нижчим
за потенційний споживчим попитом (середнє значення відхилення ВВП від
потенційного рівня за три квартали цього року становило -0,7 %);
— гальмуванням
ділової активності та високим рівнем безробіття, що стримувало зростання
реальної заробітної плати (у січні-жовтні приріст становив лише 8,3 %, торік за
цей же період - 9,9 %);
— високою
активністю на валютному ринку, де обсяги купівлі валюти традиційно перевищували
обсяги її продажу населенням;
— діями
НБУ щодо зв’язування грошової маси в обсягу - коштом активного проведення
мобілізаційних операцій у січні-серпні та стиснення грошової маси в обігу у
вересні-листопаді приріст грошової бази склав лише 2,4 % за 11 місяців 2011 р.,
грошової маси - 9,1%; тож у річному вимірі базова інфляція уповільнилася з 7,9
% до 7,3 %;
— стабільним
валютним курсом, який за 11 місяців 2011 р. знизився на 0,35 %.
У 2011 р. валютний курс залишався
практично незмінним - офіційний обмінний курс гривні до долара США знизився з
7,96 до 7,98 грн/дол. США або на 0,35 %. Реальний курс підвищився на 1,5 %.
Курсова стабільність була досягнута коштом регулюючих заходів НБУ, оскільки
ситуація на валютному ринку була вкрай нестабільною. Якщо на початку 2011 р.
спостерігався чистий приплив валюти, зумовлений сприятливою динамікою світових
цін на традиційні товарні групи українського експорту та активними зовнішніми
запозиченнями держави та інших секторів економіки, то починаючи з червня НБУ
активно продавав валюту зі своїх міжнародних резервів. Усього за
червень-вересень від’ємне сальдо валютних інтервенцій становило 6,6 млрд дол.
США. В результаті міжнародні резерви знизилися на 3 млрд дол. США до 32 млрд
дол. США[4].
Існування високого рівня
девальваційних очікувань в Україні демонструє підвищення фінансової доларизації
- частка валютних депозитів збільшилася з 42,0 % до 43,7 % за 11 місяців 2011
р., обсяг валютних депозитів зріс на 17,0 %, гривневих - лише на 8,9 %.
Основними факторами, що визначали
кон’юнктуру валютного ринку у січні-листопаді 2011 р. були:
— погіршення
стану поточного рахунку платіжного балансу - його дефіцит за підсумками
січня-жовтня 2011 р. сягнув 7,0 млрд дол. США, дефіцит зведеного балансу - 1,4
млрд дол. США;
— потужний
приплив валюти від нерезидентів у першій половині року по фінансовому рахунку,
позитивне сальдо якого досягло 6,6 млрд дол. США, в першу чергу - за рахунок
активних зовнішніх запозичень державного сектору та припливу ПІІ. В умовах
рецесії, що розпочалася в європейських країнах, динаміка експорту буде й надалі
уповільнюватися, що посилить роль руху капіталів у курсоутворенні;
— виведення
коштів іноземними інвесторами з ринку державних цінних паперів - за 12 місяців
2011 р. вартість портфеля ОВДП у їхній власності зменшилася на 6,7 млрд грн та
з банківського сектору - негативне сальдо по кредитах і облігаціях банківського
сектору склало 3,2 млрд дол. США;
— активний
попит на готівкову валюту, зумовлений девальваційними очікуваннями населення та
необхідністю бізнесу обслуговувати потужний тіньовий сектор економіки,
— приріст
готівкової валюти поза банками за 11 місяців 2011 р. Становив 7,8 млрд дол.
США;
— адміністративні
заходи НБУ для стримування попиту на готівкову валюту (заборона валютного
кредитування, ужорсточення правил купівлі-продажу готівкової валюти
запровадження нових фінансових інструментів для зв’язування ліквідності [6].
На підтримання валютної стабільності
спрямоване Розпорядження КМУ від 26 жовтня 2011 р. № 1074-р щодо плану заходів
з подолання негативного сальдо в зовнішній торгівлі. Першочергова увага у
Розпорядженні приділена посиленню вимог щодо надання фінансовими установами
споживчих кредитів з урахуванням платоспроможності позичальника - фізичної
особи, розробці заходів Міністерством фінансів України, Міністерством
економічного розвитку і торгівлі України і Національним банком України до
грудня 2011 р. щодо спрямування кредитних коштів із галузі споживчого
кредитування у сферу виробництва (компенсація процентних ставок за кредитами,
які спрямовані на розвиток або організацію виробництва).
Крім того, НБУ доручено зберігати
обсяги міжнародних валютних резервів на рівні, достатньому для забезпечення
стабільності валютного курсу, шляхом проведення валютних інтервенцій, також
удосконалити інструменти хеджування валютних ризиків шляхом створення умов для
форвардних валютних операцій.
Курсова стабільність позитивно
впливала на перебіг інвестиційних процесів і підтримувала приплив
інвестиційного імпорту. Проте наростання розриву між динамікою номінального та
реального курсів восени 2011 р., що демонструє рис. 2.2. (див. додаток 4),
означає накопичення потенціалу девальвації гривні на рівні 8-10 %. За
недостатньої розвиненості інструментів страхування валютних ризиків і
населення, і бізнес намагаються сформувати «страхові запаси», що проявляється у
формі підвищеного попиту на готівкову валюту.
Вихід з кризи неможливий без
розширення фінансового забезпечення інвестиційних процесів. З цією метою у 2010
р. НБУ розпочав пом’якшення монетарної політики, що проявилося у відновленні
динамічного приросту грошової маси. її обсяги за підсумками 2010 р. збільшилися
на 22,7 %, тоді як за 2009 р. - зменшилися на 5,5 %. Тим часом, незважаючи на
пожвавлення ділової активності та відновлення кредитування реального сектора
економіки, у банківській системі сформувалася відносно надлишкова ліквідність,
що змусило НБУ більш виважено ставитися до монетарної політики. Протягом 2011
р. за незмінної облікової ставки обсяги грошової бази збільшилися лише на 2,4
%, що в умовах активізації дії механізму мультиплікації коштів дозволило
грошовій масі зрости на 9,1 %. Відповідно, якщо обсяги мобілізаційних операцій
у 2010 р. становили 248,1 млрд грн, за 9 місяців 2011 р. - 158 млрд грн за
приросту грошової маси на 62,3 млрд грн. [3].
Восени 2011 р. ситуація в монетарній
сфері змінилася. В умовах стиснення грошової маси на 11,1 млрд грн за
вересень-листопад 2011 р. та нестачі ліквідності в банківській системі різко
зросла вартість кредитних ресурсів - середньозважена ставка на міжбанківському
кредитному ринку піднялася до 20-24 % на кінець жовтня 2011 р. і не знижувалися
до однозначних цифр до другої декади грудня. Процентна ставка по кредитах в
національній валюті зросла з 13,9 % до 18,9 % на 01.12.2011 р., а в реальному
виразі - з 5,0 % до 13,7 %. В цих умовах темпи приросту кредитування впали з
1,5 % у серпні до від’ємних 0,7 % у листопаді. Загальний приріст кредитів
юридичним особам на 14,4 % за 11 місяців 2011 р. за такого ж приросту обсягів
депозитів не дозволяє стверджувати про активізацію розширеного відтворення.
Крім того, нині структура
банківських кредитів за галузями та термінами не відповідає потребам
модернізаційних процесів - переважна частка кредитів (понад 70 %), спрямована у
поточну діяльність, і за останні три роки структура інвестицій практично не
змінилася, лише зменшилися кредити, надані на придбання і реконструкцію
нерухомості.
Незадовільна з погляду фінансового
забезпечення модернізаційних процесів структура банківських кредитів в Україні
вимагала посилення стимулюючої ролі держави щодо надання кредитів на цілі
модернізації промисловості і оновлення основного капіталу за збільшення
спроможності банківської системи до кредитування реального сектора економіки
загалом. Тим часом, ситуація в банківській системі восени 2011 р. дещо
погіршилася:
— починаючи
з вересня 2011 р. спостерігаються від’ємні темпи приросту депозитів, усього за
серпень-листопад обсяг депозитів в національній валюті зменшився на 11 млрд
грн, натомість валютні депозити зросли на 8,3 млрд грн. У листопаді ситуація
погіршилася - скоротився обсяг як валютних депозитів, так і вкладів у національній
валюті - усього на 13,6 млрд грн, або на 2,1 %. Вилучення коштів з банківської
системи відбувалося, незважаючи на підвищення ставок по депозитах, які стали
позитивними в реальному вимірі (рис. 2.3. додаток 5), що може слугувати
сигналом про посилення недовіри вкладників до банківської системи, активніше
використання населенням своїх заощаджень в умовах падіння доходів, а стале
зниження обсягу кредитів, наданих фізичним особам, які збільшилися лише на 2,5
% за 2011 р. засвідчує практичну відсутність стимулюючого впливу банківського
кредитування на стан сукупного споживчого попиту;
— хоча
процеси капіталізації банківської системи продовжилися - у 2011 р. регулятивний
капітал банків зріс на 7,8 %, показник адекватності знизився з 20,8 % до 18,5
%, зберігається негативний тиск простроченої кредитної заборгованості, яка
становить 80 млрд грн на 01.01.2012 р., зменшившись з початку року на 5,2 %.
Проте тривале збереження ситуації непродуктивного використання значної частини
банківських ресурсів підриває фінансову стійкість банків;
— третій
рік поспіль залишається від’ємним фінансовий результат діяльності банків -
збитки за 2011 р. становили 4,8 млрд грн (для порівняння: 38,4 млрд грн у 2009
р. та 13,0 млрд грн у 2010 р.);
— залишається
складною ситуація щодо обслуговування зовнішньої заборгованості банків. Хоча
загальний обсяг зовнішнього боргу банківської системи зменшився на 2,175 млрд
дол. США, проте короткостроковий борг зріс на 202 млн дол. США. Це підкреслює
той факт, що банки гасять борги за рахунок нових «коротких», а отже більш
дорогих запозичень;
— зовнішня
залежність банків посилюється через «коротку» й «дорогу» ресурсну базу.
Рис.2.4. (див. додаток 5) демонструє тенденцію до стійкого переважання
короткострокових депозитів, частка яких станом на 01.12.2011 р. становила 65,9
% депозитного портфеля вітчизняних банків. При цьому частка депозитів понад 1
рік - 34 %, частка кредитів, виданих на термін понад 1 рік - 66 %. В
абсолютному вимірі короткострокові депозити перевищують короткострокові кредити
на 42 млрд грн, тоді як кредити терміном понад 1 рік перевищують обсяг
депозитів з тим самим терміном на 358 млрд грн.; загострюється проблема
ліквідності банківської системи. Так, за квітень-вересень зниження обсягів
коштів на коррахунках становило 4,8 млрд грн, і лише відновлення
— операцій
рефінансування НБУ (14 млрд грн за вересень-жовтень 2011) дозволило збільшити
ліквідність банків на 9,3 %, незважаючи на падіння обсягу депозитів за цей
самий період на 8 млрд грн;
— посилилися
ризики «зараження» вітчизняної фінансової системи кризовими процесами із
зовнішніх ринків. В ситуації, коли майже третина усіх вітчизняних банків має
іноземний капітал, а частка іноземного капіталу у статутному капіталі банків
сягнула 40 %, проблеми з ліквідністю європейських банків загрожують не лише
припиненням фінансування, а й різким виведенням коштів з «українських дочок»
[6].
Тим часом, проблеми банківської
системи та обмеженість внутрішньої ресурсної бази загострюють потребу у
залученні зовнішніх ресурсів. Меті розширеного фінансування модернізаційних
процесів сприяє надходження ресурсів з-за кордону, в першу чергу - прямих
іноземних інвестицій, приріст яких становив 5,5 млрд дол. США за січень-жовтень
2011 р.
Для збереження інтересу іноземних
інвесторів до вітчизняних цінних паперів шляхом мінімізації валютних ризиків
було запроваджено в обіг так звані «валютні облігації», індексація вартості
яких здійснюватиметься на дату її погашення відповідно зі зміною
середньозваженого курсу гривні до долара США. Такий крок може запобігти
масовому виведенню коштів інвесторів з фінансового ринку України в умовах
девальвації та знизити тиск на валютний ринок у кризовий період. Проте у
довгостроковому періоді запровадження таких цінних паперів суттєво посилює
валютні ризики у вітчизняній економічній системі.
Також слід позитивно оцінити
розробку проекту щодо створення Агентства з рефінансування іпотечних кредитів
державними банками (АТ «Ощадбанк», ПАТ «Укрексімбанк», ПАТ АБ «Укргазбанк» та
ПАТ «АКБ «Київ»). На Агентство з рефінансування іпотечних кредитів буде
покладено функцію рефінансування державних та комерційних банків, які
здійснюють житлове кредитування. Це міжбанківське агентство не матиме державних
гарантій, але надійність його запозичень буде забезпечено через його
спеціалізацію і низку дієвих інструментів управління ризиками.
Таким чином, стан фінансової системи
на кінець 2011 р. має низку ознак, характерних для передкризового періоду.
Усвідомлення цього факту та завчасна розробка плану антикризових дій за
розгортання різних сценаріїв кризи, застосування НБУ упереджувальних заходів
дозволять пом’якшити наслідки кризи, зменшити глибину кризових явищ, зберегти
можливості для максимально швидкого відновлення процесів модернізації.
Розділ 3.
ШЛЯХИ ПІДВИЩЕННЯ ЕФЕКТИВНОСТІ ГРОШОВО-КРЕДИТНОГО РЕГУЛЮВАННЯ В УКРАЇНІ
В сучасних умовах НБУ повинен
проводити грошово-кредитну політику, спрямовану на підтримку стабільності
грошової системи й банківського сектору, що забезпечує нормальний розвиток
національного господарства. Численні недоліки реалізації монетарної політики,
пов’язані з внутрішніми й зовнішніми факторами, знижують її ефективність. Тому
сьогодні актуальною є проблема пошуку шляхів подолання проблем
грошово-кредитної політики.
Враховуючи проблеми реалізації
грошово-кредитної політики деякі дослідники вважають, що для покращення стану
фінансового ринку України необхідно змінити монетарну політику на більш жорстку
і послідовну. Для цього пропонується зробити наступне:
— знизити
ставки рефінансування комерційних банків, що підвищить доступність кредитів.
Крім того потрібно здійснювати контроль за виданими кредитами банкам, щоб не
допустити ситуації, коли вони будуть пропонувати отримані кредити підприємцям
за значно вищим відсотком. Також можна використати частину золотовалютних
резервів держави для рефінансування банків;
— з
метою запобігання корупції й зловживання запровадити методи адміністративного
регулювання процентних ставок, встановити банківську маржу по операціях за
кредитом, котрі виділяє держава;
— здійснювати
рефінансування вибірково, залежно від вкладу банку в розвиток економіки;
— збільшити
долю рефінансування банків під виробничі векселі, тобто зв’язати монетарну
політику з попитом підприємств;
— провести
націоналізацію активів проблемних банків. З цією метою створити державну
компанію з повернення активів;
— використовувати
керований плаваючий курс, здійснювати поступовий перехід до режиму вільного
обмінного плаваючого курсу. Це посилить гнучкість обмінного курсу, розширивши
діапазон його можливого коливання;
— здійснення
контролю над зовнішнім боргом банківського й корпоративного секторів, сприяння
швидкому його погашенню [2].
У кризових умовах грошово-кредитна
політика повинна виконувати складні й відповідальні завдання, котрі потребують
відповідного кваліфікованого вирішення. Виникає необхідність створення наукової
бази для розробки і реалізації монетарної політики. Потрібно правильно
використовувати досягнення у відповідній сфері світової науки й практики,
здійснювати підготовку наукових кадрів, що проводитимуть власні дослідження
сучасного стану України. Створювати центри, котрі б займались координуванням
наукової роботи в цій галузі. Забезпечити надійне функціонування системи
комунікацій НБУ з громадськістю. Використання таких заходів дозволить НБУ дещо
підвищити ефективність реалізації грошово-кредитної політики, а отже покращити
загальний стан фінансового ринку.
Інші вчені виділяють серед шляхів
підвищення ефективності грошово-кредитної політки в умовах світової фінансової
кризи наступні:
— внесення
змін в окремі нормативно-правові акти, котрі регулюють банківську діяльність,
для підвищення ефективності інструментів грошово-кредитної політики у сфері
національного господарства;
— головною
метою грошово-кредитної політики повинно стати забезпечення зростання ВВП;
— підтримання
оптимального рівня інфляції, при цьому підвищення цін є невідворотним наслідком
зростання економіки;
— запровадження
механізму цільової емісії з метою фінансування капітальних видатків, котрі
повинні бути спрямовані на реалізацію інвестиційних проектів, розробку
інноваційних продуктів, енергозберігаючих технологій - такі заходи повинні
відновити розвиток національної економіки швидкими темпами;
— відновлення
пільгового кредитування банків, які займаються наданням кредитів для реалізації
інвестиційних й інноваційних проектів у найбільш пріоритетних національного
господарства, тобто тих, що забезпечують економічну безпеку держави [5].
Щодо НБУ, то він ще в "Основних
засадах грошово-кредитної політики на 2002 рік" проголосив намір поступово
створювати умови для переходу в перспективі до "прямого таргетування
інфляції" [10].
Режим інфляційного таргетування
передбачає повну незалежність центрального баку, підвищення прозорості його
діяльності, використання повного спектру економічних даних у процесі реалізації
монетарної політики. Такі зміни є позитивними, оскільки вони підвищують
ефективність використання інструментів грошово-кредитної політики.
· існування незбалансованої
фіскальної політики та фактичної прив'язки обмінного курсу до долара США;
· високий рівень
доларизації економіки;
· низький рівень
лібералізації валютного курсу, фондового ринку;
· наявність
негативного торгового сальдо і посилення залежності від потоків іноземних
інвестицій [11].
Сучасна грошово-кредитна політикам
застосовує переважно традиційні методи, що направлені на вирішення проблем в
економіці, сумісно з новими методами задля ефективного впливу на тенденції на
грошовому ринку й реальному секторі економіки. Значна роль приділяється
підвищенню ступеня прозорості й послідовності монетарної політики, а тому
змішані стратегії грошово-кредитної політики поширюються значно швидше.
Під час побудови майбутньої
стратегії грошово-кредитної політики України НБУ повинен враховувати адекватну
оцінку стану національної економіки, визначати її об’єктивні тенденції,
орієнтуватися на ступінь розвитку банківської системи, фондового ринку. Важливу
роль відіграє інституційне забезпечення монетарної політики, ефективність її
методів й інструментів, взаємозв’язок монетарних і макроекономічних показників.
Ефективне запровадження стратегії не
повинне передбачати зміну чинного законодавства України: як свідчить практика
зміни в законодавстві України - це довготривалий, складний, політизований
процес, наміри і наслідки якого суттєво різняться. Світовий досвід свідчить про
існування можливості врегулювання всіх проблем монетарної політики на рівні
неформальних угод і нормативно-правових актів. НБУ та уряд України повинен
частіше звертатися до таких методів [18].
Фінансова криза продемонструвала
вразливість економіки України до зовнішніх шоків. Для того, щоб стабілізувати
ситуацію і позбавитися наслідків світової фінансової кризи, грошово-кредитна
політика НБУ повинна ґрунтуватися на системно-структурному підході.
Грошовий ринок України зазнав
негативного впливу протягом останнього періоду, проте дослідники монетарної
політики доводять, що проведення виваженої грошово-кредитної політики здатне
ліквідувати багато наслідків кризових процесів. Прив’язування монетарної
політики до попиту підприємств, націоналізація активів приватних банків,
перехід до вільного обмінного плаваючого курсу, зниження масштабів доларизації
української економіки - основні заходи, що можуть підвищити ефективність дій
НБУ.
Труднощі в реалізації ефективної
монетарної політики в Україні все-таки залишаються. Їх присутність пояснюється
специфічними особливостями перебігу кризових процесів в Україні.
Відновлення економічного зростання в
посткризовий період можливе лише за поліпшення зовнішніх умов. Не останню роль
відіграє вирішення внутрішніх структурних проблем: від нього залежить стійкість
і якість економічного зростання. Існують певні чинники, котрі підривають
довгострокову монетарну стабільність. Серед них: зростання зовнішнього
державного боргу, відсутність захисних механізмів, а відтак низький суверенітет
фінансового сектора. Таким чином, для переходу України до сталого
збалансованого економічного зростання потрібно підвищувати ефективність використання
залучених фінансових ресурсів.
На даному етапі можливості НБУ
здійснювати стимулюючу монетарну політику дещо обмежені. Це пояснюється дією
немонетарних чинників інфляції: зростанням вартості продовольства,
енергоносіїв, монополізацією ринків, інфляційними очікуваннями споживачів.
Економічне зростання гальмується
через застосування монетарних методів боротьби з немонетарною інфляцією, а це
означає обмеження грошової пропозиції. Таким чином, щоб зупинити інфляційні
процеси в Україні треба провести структурну перебудову економічної системи а це
в свою чергу потребує здійснення «м’якої» грошово-кредитної політики й
використання механізмів спрямування необхідних ресурсів у пріоритетні сфери
економіки. Тому в короткостроковому періоді сталі темпи інфляції матимуть
позитивний характер [18].
В Україні існує розрив між здатністю
банківської системи надавати кредити і спроможністю нефінансового сектора
ефективно використовувати їх. Ланцюгову банківську кризу вдалось відвернути за
допомогою антикризових заходів стабілізації банківського сектору, проте ці
заходи так і не перетворилися в інструменти відновлення кредитування економіки.
Ряд чинників спричинив виключення банківського сектора з процесу відновлення
економічного зростання, що є негативним моментом.
Спостерігається тенденція
переспрямування фінансових ресурсів до державного сектора економіки. Як
результат збільшується залежність банківської системи від державного бюджету,
що посилює розрив між розвитком фінансового і реального секторів економіки.
Обмінний курс гривні виконує
сьогодні специфічну роль «інфляційного якоря». Це робить курсову динаміку
передбачуваною. НБУ компенсує гривневі інтервенції шляхом мінімізації
рефінансування комерційних банків. Монетарні обмеження знижують роль
внутрішнього попиту у відновленні економічного зростання. Високий рівень
доларизації є негативним чинником, що обумовлює необхідність оновлення
інструментарію валютно-курсового регулювання.
Отже, ефективній реалізації
грошово-кредитній політиці в посткризовий період перешкоджає сегментація
економічної і фінансової систем. Відновлення збалансованості фінансової та
економічної фінансової систем є основними факторами, котрі здатні підвищити
ефективність монетарної політики.
Для забезпечення сталого
економічного зростання пріоритетними мають стати наступні завдання
грошово-кредитної політики:
— стабілізація
темпів інфляції;
— зміна
структури джерел грошової пропозиції;
— підвищення
дієвості трансмісійного монетарного механізму;
— розвиток
механізмів управління ліквідністю на основі посилення дієвості процентних
важелів;
— становлення
потужного національного;
— підвищення
рівня монетизації та насиченості економіки кредитами;
— оновлення
курсового режиму у напрямі підвищення гнучкості валютного курсу [15].
Таким чином, саме посилення стимулюючого
характеру монетарної політики здатне забезпечити виправлення дисбалансів
фінансової та економічної систем України, що призведе до збалансованого
економічного зростання. Ефективність грошово-кредитної політики в посткризових
умовах також можна забезпечити й іншими шляхами, серед яких вчені пропонують
такі: перегляд та внесення змін до певних нормативно-правових актів,
забезпечення зростання ВВП, зменшення інфляційних очікувань та підтримка
інфляції на оптимальному рівні, рефінансування тих банків, котрі займаються
кредитуванням інноваційних проектів. Ефективна грошово-кредитна політика здатна
забезпечити економічну безпеку держави, що є особливо важливим в умовах
процесів глобалізації економіки.
Висновки
Таким чином, під грошово-кредитною
(монетарною) політикою розуміють комплекс взаємозв’язаних, скоординованих на
досягнення певних цілей заходів щодо регулювання грошового ринку, які проводить
держава через свій центральний банк. У своєму впливі на реальну економіку вона
взаємодіє з фіскальною, ціновою, інвестиційною та структурною політикою.
Головним завданням монетарної
політики є визначення реального попиту на гроші з боку економічних агентів і
забезпечення відповідної пропозиції грошей, яка б відповідала запланованому
зростанню обсягу виробництва без загрози стабільності національної валюти та
грошово- кредитного ринку в цілому, а також запобігала розвитку інфляції за
рахунок монетарної складової.
Хоча регулятивні заходи монетарної
політики здійснюються безпосередньо в грошово-кредитній сфері, її ефект не
обмежується цією сферою, а проявляється також у реальній економіці завдяки
впливу монетарних змін на виробництво, інвестиції, зайнятість тощо. Тому
монетарна політика по суті є складовою загальної економічної політики держави.
У своєму впливі на реальну економіку вона взаємодіє з фіскальною, ціновою,
інвестиційною, структурною політикою. За механізмом дії та характером впливу на
реальну економіку вона разом з фіскальною становить кон’юнктурну політику
Грошово-кредитна політика здійсню
вплив на економічне середовище за допомогою певного інструментарію. Наявні в
розпорядженні центрального банку інструменти грошово-кредитного регулювання
поділяються прямі та опосередковані.
Найпоширенішим і найдієвішим засобом
непрямого впливу на економіку є операції на відкритому ринку. Вони не мають
різкого негативного впливу на ефективність роботи банків, легко контролюються
центральним банком і результат дії цього засобу виявляється дуже швидко.
Інструменти прямої дії відіграють
певну роль у грошово-кредитній політиці, яку проводять центральні банки країн
із розвиненою ринковою економікою, але більш активно вони використовуються
центральними банками країн, що розвиваються, а також країн із перехідною
економікою.
Грошово-кредитна політика
визначається урядом країни, але в життя запроваджується центральним банком.
Тому багато в чому ефективність грошово-кредитного регулювання залежить як від
політичної ситуації в країні в цілому, так і від взаємовідносин між
законодавчою владою та центральним банком зокрема.
Звичайно виважена монетарна політика
не є універсальним знаряддям для досягнення економічної стабільності, адже збої
в будь-якій ланці ринкових змінних можуть звести нанівець вплив
грошово-кредитної політики або суттєво зменшити її позитивний результат.
В Україні головним суб’єктом
грошово-кредитної політики є Національний банк. Крім нього, у виробленні
грошово-кредитної політики беруть участь таки органи державного регулювання
економіки - Міністерство фінансів, Міністерство економіки, безпосередньо уряд
та Верховна Рада. НБУ здійснює свою діяльність самостійно, незалежно від
органів державної влади. Він підзвітний Президенту та Верховній Раді України.
Формування грошово-кредитної
політики будь-якої держави - це складний процес, який завжди пов'язаний з
особливостями економічного та соціального середовища, оскільки саме вони
визначають основні завдання даної політики. В Україні виділяють чотири основні
етапи формування грошово-кредитної політики для кожного з яких виокремлено
певні особливості розробки й реалізації цієї політики.
На даному етапі існує безліч
недоліків у проведенні грошово-кредитної політики. В умовах фінансової
нестабільності НБУ продовжує визначати основним своїм завданням підтримання
стійкості національної одиниці, але вважає також перспективним перехід до
режиму інфляційного таргетування, оскільки світовий досвід засвідчує, що саме
цінова стабільність є основною умовою сталого довгострокового економічного
зростання.
Список
використаної літератури
1. Закон
України «Про Національний банк України» від 20.05.1999 р. № 679-XIV.
2. Основні засади грошово-кредитної
політики на 2011 рік [Електронний ресурс]. - www.bank.gov.ua/Rada_Nbu
<#"578692.files/image018.jpg">
Рис. 1.1. Зв’язок монетарної
політики із загальноекономічною політикою
Додаток 2
Рис. 1.2. Варіанти грошово-кредитної
політики
Додаток 3
Рік
Рис. 2.1 Динаміка коефіцієнта
монетизації економіки України протягом 1991 - 2011 рр.
Додаток 4
Рис. 2.2. Динаміка реального
ефективного та номінального курсу у 2009-2011 рр.
Додаток 5
Рис. 2.3. Інтегральна
ставка по кредитах і депозитах в національній валюті та зміна індексу споживчих
цін в річному вимірі
Рис. 2.4. Структура кредитів і
депозитів за строками погашення за 2008 р. - 2011 р.
Джерело: побудовано за даними НБУ