Механика горных пород
Министерство
образования и науки молодежи и спорта Украины
ГВУЗ
«Национальный горный университет»
Кафедра
строительства и геомеханики
Индивидуальное
задание
«Механика
горных пород»
Выполнила
ст.
гр. БДб-10-2
Антипова
А.С.
Проверила:
доц.
Хозяйкина Н.В.
Днепропетровск
2012г.
Исходные данные:
. Глубина заложения выработки Н = 610 м;
2. Объемный вес пород γ = 2,1
;

,
:
|
452
|
417
|
491
|
387
|
363
|
463
|
349
|
517
|
515
|
416
|
. Результаты испытаний 10 образцов на одноосное
сжатие Xi,
|
356
|
346
|
298
|
467
|
389
|
408
|
424
|
438
|
289
|
309
|
5. Полупролет (радиус) выработки 
= 1,8 м;
. Коэффициент обьемного распушивания
пород Ɛy=-0,08
. Среднее расстояние между трещинами

= 0,25 м.
. Коэффициент снижения прочности
пород за счет изменения их природной влажности kv=0,7
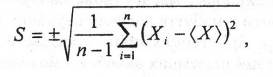
Математическая обработка результатов
экспериментов и оценки точности измерений. Оценка погрешностей результатов
измерений
Вычисляем среднеарифметическое
значение:
где 
- результаты измерений; n -
количество измерений.
Среднеарифметическое значение - это
статистическая характеристика, которая описывает одним числом результаты
какого-то ряда измерений.
В данной работе мы производим расчет
среднеарифметического значения измерений результатов испытаний на одноосное
сжатие 
, 
десяти образцов, n = 10. Тогда
имеем:
(
Далее вычисляем среднеквадратическое
отклонение:
где 
- сумма квадратов всех отклонений
всех измерений от среднеарифметического; n - количество всех измерений.
Среднеквадратическое отклонение
служит характеристикой средней изменчивости исследуемых величин.
Подставляем значения:
S=

(кг/см
)
Дисперсия
(стандарт)=S2=62,32=3882,7(кг/см2)
Вычисляем коэффициент вариации η0
η0 = 
Теперь определяем необходимое
количество образцов

образца
Здесь 
- коэффициент Стьюдента,
определяемый по табл. 1, α=0,95
- надежная
вероятность, k = 1- α
= 1-0,95 = 0,05 = 5%, тогда

= 1,96 (см. табл.1)
Таблица 1
Вывод: При надежной вероятности α=0,95 необходимо
выполнять испытания на 43 образцах. Так как по исходным данным испытания
проводят только на 10 образцах, нужно уменьшить надежную вероятность до α =0,90, отсюда
допустимое отклонение k:
k = 1- α = 1-0,90 = 0,10 = 10%.
Коэффициент Стьюдента 
= 1,64, тогда имеем

образцов
Вывод При надежной вероятности α =0,90, необходимое
количество образцов составляет 8. Отклонение от среднего значения не превышает:

Ответ. Окончательный результат имеет
вид
(

)=(372,4+32,3) =404,7 

Испытание образцов горных пород на
одноосное сжатие и статистическая обработка результатов
Цель задания - приобретение навыков
научных исследований, формирования обоснованных представлений о геомеханических
процессах в породном массиве при проведении и эксплуатации подземных выработок
с возможностью управления ними.
горный порода подошва одноосный
Если совокупность компонентов нового поля
превышает объемную прочность породного массива, то вокруг выработки образуется
зона разрушенных пород (рис.1).
После этого породный массив, ослабленный
выработкой, приобретает новое равновесное состояние, которое поддерживается
установленным в выработке креплением. Это состояние не является постоянным, на
его изменение влияют дополнительные факторы технологического характера -
выветривание, нарушение естественного увлажнения вследствие фильтрации
подземных вод в сторону выработки из массива и т.п.
Устойчивость выработки определяется прочностью пород на одноосное сжатие,
комплексная оценка которого - предел прочности. От этой характеристики с учетом
структурных особенностей породного среды на глубине расположения выработки
зависят основные параметры упруго-пластического состояния
Вычисляем среднеарифметическое значение
прочности n образцов по формуле

437 (
),
где 
- прочность на одноосное сжатие
i-го образца.
Вычисляем дисперсию значений
прочности:

=3651,33(
)
Далее вычисляем среднеквадратическое
отклонение:
=
(
)
Вычисляем коэффициент вариации η:
η = 

Вывод. В зависимости от
определенного коэффициента вариации можно определить заранее количество
образцов. При η
>30
% их должно быть 10 или больше, при η = 30…15 % не менее 8.
Принимаем количество образцов 8.
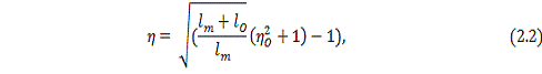
Определение коэффициента
структурно-механического ослабления породного мас сива
Коэффициент структурно-механического
ослабления 
подтверждает степень отличия
средней прочности неоднородного породного массива, который содержит системы
трещин, от средней прочности породных образцов. Это отличие вызвано действием
так называемого масштабного эффекта. Формула для определения коэффициента
структурного ослабления имеет вид

(2.1)
где 
коэффициент вариации прочности
породного массива, определяемый по формуле:
где, 
- среднее расстояние между
трещинами; 
см - характерный размер стандартного
породного образца; 
- коэффициент вариации результатов
испытаний породных образцов.
Подставляя исходные данные в формулы (2.1) и
(2.2) имеем:
Основные параметры
упруго-пластичного состояния породного массива вокруг горизонтальной выработки
Основные параметры
упруго-пластичного состояния, которые определяют несущую способность и
конструктивную податливость крепления:
размер области пластичных деформаций

, м;
величина смещения контура выработки 
, м.
Расчет размера области пластичных
деформаций 

= 
(2.3)
где 
- в данном случае индивидуальное
значение относительного радиуса области пластичных деформаций, которое
определяется по графику (рис.1).
Для данных условий выполняем расчет
величины U по формуле:
= 
= 
Зная значение U, по графику
определяем, что данное

(
) = 1,2 м.
Теперь по формуле (2.3) находим
размер области пластичных деформаций:

= 1,2*1,8=2,16 (м)
Определяем смещение контура
выработки 
, которое является функцией радиуса
области пластичных деформаций и величины относительного объемного распушивания
горных пород:
= 0,008(м)
Определение нагрузки на крепь горной
выработки
Нагрузку на крепь q рассчитываем по
формуле:
=0,5
Оценка возможности пучения породы
подошвы
Оценку возможности пучения пород
подошвы для конкретных горно-геологических условий будем проводить, пользуясь
критериальным условием:

(2.4)
Если условие (2.4) не выполняется,
то в выработке будет иметь место пучение пород подошвы. Делаем проверку:

Вывод: оценка возможности пучения
пород подошвы удовлетворяет условие.
Другие применения полученных
результатов
Рассчитаем конструктивную
податливость крепления по полученному значению 
:

)=2(0,29-0,25*0)=0,58 (м) = 580 (мм)
Здесь 
- толщина слоя забутовки. Для
данного примера, мы устанавливали монолитное бетонное крепление, то есть 
=0..
Здесь 
- толщина слоя забутовки. Для
данного примера, мы устанавливали монолитное бетонное крепление, то есть 
=0. Но получили смещение 580мм
50мм - это значит, что на практике
такое жесткое крепление разрушится, значит необходимо выбирать другой вид
крепления.
Вывод: Жесткое крепление
разрушается, поэтому нужно выбирать податливую конструкцию, так как
конструктивная податливость крепления больше 50 мм