Сахарный диабет 2 типа
Сахарный диабет 2 типа.
История болезни.
1. Оглавление
1. Оглавление
2. Паспортная часть
3. Основные жалобы больного
4. История настоящего заболевания
5. История жизни больного
6. Состояние больного в момент исследования
7. Дополнительне методы исследования
8. Полный клинический диагноз
9. Индивидуальный этиопатегенез
10. Лечение
11. Список литературы
2. Паспортная
часть
ФИО больного:
Число, месяц, год рождения: 27.09.71
Возраст: 40 лет
Пол: жен
Дом. адрес: г. Волгорад
Инвалидность: нет
Кем направлен: врачом терапевтом, ж/д поликлиники
Направительный диагноз: Сахарный диабет 2 типа,
инсулиннепотребный, среднетяжелое течение, декомпенсация углеводного обмена.
Периферическая диабетическая нейропатия, периферическая диабетическая
ангиопатия.
Дата и время поступления 15.03.2012г.
3. Основные
жалобы больного
При опросе пациентка жалуется на беспокоящие ее жажду,
сухость во рту, головные боли. Отмечает периодические боли в нижних
конечностях, онемение.
4. История
настоящего заболевания
Считает себя больной в течении 1 года, когда впервые при
госпитализации была выявлена гипергликемия 10,3 ммоль/л. Была поставлена на
учет к эндокринологу и назначена диетотерапия. Ввиду неэффективности диеты был
назначен пероральный сахароснижающий препарат - название которого больная не
помнит. В среднем уровень гликемии по-прежнему составлял 10-12 ммоль/л.
В январе находилась в стационаре ж/д больницы, обследовалась
на предмет хронических осложнений СД. Выявлены: диабетическая нейропатия. После
госпитализации стала отмечать тенденцию к повышению уровня сахара крови до 19
ммоль/л.
В виду с декомпенсации заболевания была госпитализирована для
дальнейшей коррекции сахарного диабета.
5. История
жизни больного
Родилась в г. Волгограде, единственный ребенок в семье. Росла
и развивалась нормально.
Эпидемиологический анамнез: гепатита, малярии, туберкулеза,
болезнь Боткина, венерических заболеваний не было. Выезды в Южные районы в
течение 4 лет отрицает.
Перенесенные заболевания: аппендэктомия в детстве.
Наследственность: родственники сахарным диабетом не болели.
Употребление алкоголя, наркотиков и курение отрицает.
Лекарственная непереносимость не выявлена. Аллергические
реакции отрицает. Увеличение температуры в течение месяца не отмечается.
Гинекологический анамнез не отягощен.
6. Состояние
больного в момент исследования
Состояние относительно удовлетворительное. Сознание ясное.
Телосложение гиперстеническое. Рост 160, вес 80 кг, ИМТ-30. Степень питания
повышенное.
Кожные покровы чистые, окраска обычная, сыпи нет. Слизистые
оболочки розового цвета, лимфатические узлы не пальпируются.
Щитовидная железа не увеличена, при пальпации безболезненна.
Мышечная система развита умеренно, тонус мышц сохранен. Молочные железы в
норме.
Грудная клетка симметричная, равномерно участвует в дыхание,
над и под ключичные клетки выражены хорошо. Дыхание ровное.
ЧДД-18 ударов/мин
Голосовое дрожание не изменено, хрипы не прослушиваются.
Границы относительной тупости сердца в норме.
Тоны сердца ритмичные, шумы не выявлены.
Ад 120/80мм. рт. ст., ЧСС-70, пульс 70.
Язык - влажный, чистый. Слизистая полость рта розовая, язв и
высыпаний нет. Небные миндали не увеличены. Налет на небных миндалях
отсутствует. Глотание свободное, безболезненное.
Живот не вздут, в акте дыхание участвует равномерно. Подкожные
вены живота не выражены. При пальпации живот мягкий, безболезненный.
Селезенка не увеличена. Печень не увеличена, безболезненна.
Мочеиспускание безболезненное. Стул регулярный. Периферических отеков нет.
7.
Дополнительне методы исследования
Для уточнения диагноза и правильного подбора терапии больному
было назначены:
. Общий анализ крови
. Общий анализ мочи
. Общий анализ кала
. Кровь на RW, ВИЧ, HbS-антиген
. Биохимический анализ крови: глюкоза, холестерин,
триглицериды, ЛПОНП, ЛПНП, ЛПВП, общий белок и его фракции, АСТ, АЛТ, ЛДГ, КФК,
мочевина, креатинин, билирубин и его фракции
. Анализ крови на определение уровня С-пептида
. Анализ крови на определение гликированного гемоглобина
. Мониторинг уровня глюкозы цельной крови натощак и через 2
часа после еды
. Определение суточного диуреза
. Анализ мочи на определение степени глюкозурии
. Анализ мочи на содержание кетоновых тел
. ЭКГ
. Рентгенография органов грудной клетки
. Консультация окулиста
. Консультация кардиолога
. Консультация уролога
. Консультация невропатолога
Лабораторные данные:
Общий анализ крови от 15.03.12 г.
Эритроциты - 3,6*1012
Гемоглобин - 120
Цветовой показатель - 0.98
Лейкоциты - 4,6*109
СОЭ - 16
Биохимический анализ крови:
Мочевина 4,3 ммоль/л
Креатинин - 72,6 мкмоль/л
Билирубин - 8 - 2 - 6 ммоль/л
Общий белок - 75 г/л
Холестерин 4,7 ммоль/л
Фибриноген 4,1 г/л
Общий анализ мочи:
Цвет мочи - желтый.
Прозрачность - прозрачная, рН кислая
Белок - отсутствует
Сахар - 5.5ммоль/л
Кетоновые тела - отсутствуют
Билирубин - отсутствует
Гемоглобин - отсутствует
Эритроциты - 0
Лейкоциты - 0
Бактерии - отсутствует
Уровень глюкозы в крови
.03.12 6.00-10,6ммоль/л, 11.00-6.8ммоль/л, 17.00-6.8ммоль/л
.03.12 6.00-6,3ммоль/л, 11.00-11.2ммоль/л, 17.00-7.9ммоль/л
.03.12 6.00-6.4ммоль/л, 11.00-7.4ммоль/л, 17.00 - 7.4ммоль/л
.03.12 6.00-6.2ммоль/л, 11.00-12.0ммоль/л, 17.00 - 5.8ммоль/л
ЭКГ от16.03.12
Ритм синусовый правильный. ЧСС=70уд/мин
Рентгенография органов грудной клетки от 17.03.12г.
Органы грудной полости в пределах нормы.
Осмотр невропатолога
Диагноз: Периферическая диабетическая нейропатия.
8. Полный
клинический диагноз
На основе проведенных инструментальных и лабораторных методов
исследования пациента можно поставить следующий диагноз:
Сахарный диабет 2 типа, инсулиннепотребный,
среднетяжелое течение, декомпенсация углеводного обмена.
Сахарный диабет 2 типа.
Сахарный диабет - это состояние, характеризующееся повышением
уровня сахара в крови. Но если быть точным сахарный диабет - это не одно
заболевание, а целая группа. Современная классификация сахарного диабета,
принятая Всемирной организацией здравоохранения выделяет не сколько его видов.
Большинство больных диабетом имеют сахарный диабет 1 или 2 типа.
Диабетом заболевают гораздо чаще, чем это кажется на первый
взгляд. В настоящее время более 10 миллионов человек в России и 246 миллионов
человек в мире страдают диабетом, к 2025 году ожидается, что эти цифры
увеличатся до 380 миллионов. Считается что в развитых странах диабетом болеют
около 4-5% населения, а в некоторых развивающихся странах эта цифра может
доходить до 10% и более. Конечно большая часть этих людей (более 90%) имеет
сахарный диабет 2 типа, связанный с высокой распространенностью в настоящее
время ожирения.
Существует два основных типа сахарного диабета: инсулинзависимый
сахарный диабет (ИЗСД) или СД I типа и инсулиннезависимый сахарный диабет
(ИНСД) или СД II типа. При ИЗСД имеет место резко выраженная недостаточность
секреции инсулина
-клетками островков Лангерганса (абсолютная
инсулиновая недостаточность), больные нуждаются в постоянной, пожизненной
терапии инсулином, т.е. являются инсулинзависимыми. При ИНСД на первый план
выступает недостаточность действия инсулина, развивается резистентность
периферических тканей к инсулину (относительная инсулиновая недостаточность).
Заместительная терапия инсулином при ИНСД, как правило, не проводится. Больные
лечатся диетой и пероральными гипогликемизирующими средствами.
Классификация сахарного диабета и других категорий нарушения толерантности
к глюкозе
. Клинические классы
.1 Сахарный диабет:
.1.1 Инсулинзависимый сахарный диабет.
.1.2 Инсулиннезависимый сахарный диабет:
у лиц с нормальной массой тела;
у лиц с ожирением.
.1.3 Сахарный диабет, связанный с недостаточностью питания.
.1.4 Другие типы сахарного диабета, связанные с определенными
состояниями и синдромами:
заболеваниями поджелудочной железы;
заболеваниями гормональной природы;
состояниями, вызванными лекарственными средствами или воздействием
химических веществ;
изменением инсулина или его рецепторов;
определенными генетическими синдромами;
смешанными состояниями.
.2 Нарушенная толерантность к глюкозе:
у лиц с нормальной массой тела;
у лиц с ожирением;
нарушенная толерантность к глюкозе, связанная с другими
состояниями и синдромами;
сахарный диабет беременных.
. Статистически достоверные классы риска (лица с нормальной
толерантностью к глюкозе, но со значительно увеличенным риском развития
сахарного диабета):
предшествовавшие нарушения толерантности к глюкозе;
потенциальные нарушения толерантности к глюкозе.
Классификация сахарного диабета (М.И. Балаболкин, 1989)
.1 Клинические формы диабета.
.1.1 Инсулинзависимый диабет (диабет I типа).
.1.2 Инсулиннезависимый диабет (диабет II типа).
.1.3 Другие формы диабета (вторичный, или симптоматический,
сахарный диабет):
эндокринного генеза (синдром Иценко-Кушинга, акромегалия,
диффузный токсический зоб, феохромоцитома);
заболевания поджелудочной железы (опухоль, воспаление, резекция,
гемохроматоз и др.);
другие, более редкие формы диабета (после приема различных
лекарственных препаратов, врожденные генетические дефекты и др.).
.1.4 Диабет беременных.
. Степень тяжести диабета:
.1.1 Легкая (I степень).
.1.2 Средняя (II степень).
.1.3 Тяжелая (III степень).
. Состояние компенсации:
.1.1 Компенсация.
.1.2 Субкомпенсация.
.1.3 Декомпенсация.
. Острые осложнения диабета (часто как результат неадекватной
терапии):
.1.1 Кетоацидотическая кома.
.1.2 Гиперосмолярная кома.
.1.3 Лактацидотическая кома.
.1.4 Гипогликемическая кома
. Поздние осложнения диабета:
.1.1 Микроангиопатии (ретинопатия, нефропатия).
.1.2 Макроангиопатия.
.1.3 Нейропатия.
. Поражение других органов и систем (энтеропатия, гепатопатия,
катаракта, остеоартропатия, дермопатия и др.).
. Осложнения терапии:
.1 Инсулинотерапии (местная аллергическая реакция,
анафилактический шок, липоатрофия).
.2 Пероральными сахароснижающими средствами (аллергические
реакции, нарушение функции желудочно-кишечного тракта и др.).
Инсулинзависимый сахарный диабет
сахарный диабет диагноз терапия
Инсулинзависимый сахарный диабет (ИЗСД) - аутоиммунное
заболевание, развивающееся при наследственной предрасположенности к нему под
действием провоцирующих факторов внешней среды (вирусная инфекция,
цитотоксические вещества).
Вероятность развития заболевания повышают следующие факторы
риска ИЗСД:
отягощенная по сахарному диабету наследственность;
аутоиммунные заболевания, в первую очередь эндокринные
(аутоиммунный тиреоидит, хроническая недостаточность коры надпочечников);
вирусные инфекции, вызывающие воспаление островков
Лангерганса (инсулит) и поражение (-клеток).
Этиология
1. Генетические факторы и маркеры
В настоящее время роль генетического фактора как причины
сахарного диабета окончательно доказана. Это основной этиологический фактор
сахарного диабета.
ИЗСД считается полигенным заболеванием, в основе которого лежат по
меньшей мере 2 мутантных диабетических гена в 6 хромосоме. Они связаны с
HLA-системой (Д-локусом), которая определяет индивидуальный, генетически
обусловленный ответ организма и
-клеток на различные антигены.
Гипотеза полигенного наследования ИЗСД предполагает, что при ИЗСД
имеются два мутантных гена (или две группы генов), которые рецессивным путем
передают по наследству предрасположенность к аутоиммунному поражению
инсулярного аппарата или повышенную чувствительность
-клеток к вирусным антигенам либо
ослабленный противовирусный иммунитет.
Генетическая предрасположенность к ИЗСД связана с определенными
генами HLA-системы, которые считаются маркерами этой предрасположенности.
Согласно Д. Фостер (1987) один из генов восприимчивости к ИЗСД
расположен на 6 хромосоме, так как имеется выраженная связь между ИЗСД и
определенными антигенами лейкоцитов человека (НLА), которые кодируются генами
главного комплекса гистосовместимости, локализованными на этой хромосоме.
В зависимости от типа кодируемых белков и их роли в развитии
иммунных реакций, гены главного комплекса гистосовместимости подразделяются на
3 класса. Гены I класса включают локусы А, В, С, которые кодируют антигены,
присутствующие на всех ядросодержащих клетках, их функция заключается прежде
всего в защите от инфекции, особенно вирусной. Гены II класса расположены в
D-области, которая включает локусы DP, DQ, DR. Гены этих локусов кодируют
антигены, которые экспрессируются только на иммунокомпетентных клетках:
моноцитах, Т-лимфоцитах,
-лимфоцитах. Гены III класса кодируют
компоненты комплемента, фактора некроза опухоли и транспортеров, связанных с
процессингом антигена.
В последние годы сформировалось представление о том, что в
наследовании ИЗСД, кроме генов НLА-системы (хромосома 6), принимает участие
также ген, кодирующий синтез инсулина (хромосома 11); ген, кодирующий синтез
тяжелой цепи иммуноглобулинов (хромосома 14); ген, отвечающий за синтез
-цепи Т-клеточного рецептора (хромосома 7)
и др.
У лиц с наличием генетической предрасположенности к ИЗСД изменена
реакция на факторы окружающей среды. У них ослаблен противовирусный иммунитет и
они чрезвычайно подвержены цитотоксическому повреждению
-клеток вирусами и химическими агентами.
2. Вирусная инфекция
Вирусная инфекция может являться фактором, провоцирующим развитие
ИЗСД. Наиболее часто появлению клиники ИЗСД предшествуют следующие вирусные
инфекции: краснуха (вирус краснухи имеет тропизм к островкам поджелудочной
железы, накапливается и может реплицироваться в них); вирус Коксаки В, вирус
гепатита В (может реплицироваться в инсулярном аппарате); эпидемического
паротита (через 1-2 года после эпидемии паротита резко увеличивается
заболеваемость ИЗСД у детей); инфекционного мононуклеоза; цитомегаловирус;
вирус гриппа и др. Роль вирусной инфекции в развитии ИЗСД подтверждается
сезонностью заболеваемости (часто впервые диагностируемые случаи ИЗСД у детей
приходятся на осенние и зимние месяцы с пиком заболеваемости в октябре и
январе); обнаружением высоких титров антител к вирусам в крови больных ИЗСД;
обнаружением с помощью иммунофлуоресцентных методов исследования вирусных
частиц в островках Лангерганса у людей, умерших от ИЗСД. Роль вирусной инфекции
в развитии ИЗСД подтверждена в экспериментальных исследованиях. М.И. Балаболкин
(1994) указывает, что вирусная инфекция у лиц с генетической
предрасположенностью к ИЗСД участвует в развитии заболевания следующим образом:
вызывает острое повреждение
-клеток (вирус Коксаки);
приводит к персистенции вируса (врожденная цитомегаловирусная
инфекция, краснуха) с развитием аутоиммунных реакций в островковой ткани.
Патогенез
В патогенетическом плане различают три вида ИЗСД:
вирусиндуцированный, аутоиммунный, смешанный аутоиммунно-вирусинпуцированный.
Копенгагенская модель (Nerup и соавт., 1989). Согласно копенгагенской
модели, патогенез ИЗСД выглядит следующим образом:
антигены панкреатотропных факторов (вирусы, цитотоксические
химические вещества и др.), поступившие в организм, с одной стороны, повреждают
-клетки и приводят к высвобождению
антигена
-клеток; с другой стороны, поступившие
извне антигены взаимодействуют с макрофагом, фрагменты антигена связываются с
HLA-антигенами локуса D и образовавшийся комплекс выходит на поверхность макрофага
(т.е. происходит экспрессия антигенов DR). Индуктором экспрессии HLA-DR
является
-интерферон, который производится
Т-лимфоцитами хелперами;
макрофаг становится антигенпредставляющей клеткой и секретирует
цитокин интерлейкин-1, который вызывает пролиферацию Т-лимфоцитов-хелперов, а
также угнетает функцию
-клеток островков Лангерганса;
под влиянием интерлейкина-1 стимулируется секреция
Т-лимфоцитами-хелперами лимфокинов:
-интерферона и фактора некроза опухоли (ФНО);
-интерферон и ФНО непосредственно участвуют в деструкции -клеток
островков Лангерганса. Кроме того,
-интерферон индуцирует экспрессию антигенов HLA II класса на
клетках эндотелия капилляров, а интерлейкин-1 увеличивает проницаемость
капилляров и вызывает экспрессию антигенов HLA I и II классов на
-клетках островков,
-клетка, экспрессировавшая HLA-DR, сама
становится аутоантигеном, таким образом формируется порочный круг деструкции
новых
-клеток.
Лондонская модель деструкции
-клеток (Воttazzo и соавт., 1986). В 1983 г. Bottazzo обнаружил
аберрантную (т.е. не свойственную норме) экспрессию молекул HLA-D-локуса на
-клетках островков Лангерганса у больных
ИЗСД. Этот факт является основным в лондонской модели деструкции
-клеток. Механизм повреждения
-клеток запускается взаимодействием
внешнего антигена (вируса, цитотоксического фактора) с макрофагом (также, как и
в копенгагенской модели). Аберрантная экспрессия антигенов DRз и DR4
-клетках индуцируется влиянием ФНО и
-интерферона при высокой концентрации
интерлейкина-1.
-клетка становится аутоантигеном. Островок
инфильтрируется Т-хелперами, макрофагами, плазматическими клетками,
продуцируется большое количество цитокинов, развивается выраженная
иммуновоспалительная реакция с участием цитотоксических Т-лимфоцитов и
натуральных киллеров. Все это ведет к деструкции
-клеток. В последнее время важное значение в деструкции
-клеток придают азота оксиду (NО). Азота
оксид образуется в организме из L-аргинина под влиянием фермента NO-синтазы.
Установлено, что в организме имеется 3 изоформы NO-синтазы: эндотелиальная,
нейрональная и индуцированная (и NO-синтаза). Под влиянием эндотелиальной и
нейрональной NO-синтаз из L-аргинина образуется азота оксид, участвующий в
процессах передачи возбуждения в нервной системе, а также обладающий
вазодилатирующим свойством. Под влиянием и NO-синтазы из L-аргинина образуется
азота оксид, обладающий цитотоксическим и цитостатическим эффектами.
Установлено, что под влиянием интерлейкина-1 происходит экспрессия
иNO-синтазы в
-клетках островков Лангерганса и
непосредственно в
-клетках образуется большое количество
цитотоксического азота оксида, вызывающего их деструкцию и угнетающего секрецию
инсулина.
Ген и NO-синтазы локализуется на 11 хромосоме рядом с геном,
кодирующим синтез инсулина. В связи с этим существует предположение, что в
развитии ИЗСД имеют значение одновременные изменения структуры этих генов 11
хромосомы.
В патогенезе ИЗСД имеет значение также генетически обусловленное
снижение способности
-клеток к регенерации у лиц,
предрасположенных к ИЗСД.
-клетка является высоко специализированной
и имеет очень низкую способность к регенерации. Обнаружен ген регенерации -клеток.
В норме регенерация
-клеток осуществляется в течение 15-30
суток.
В современной диабетологии предполагается следующая стадийность
развития ИЗСД.
Первая стадия - генетическая предрасположенность, обусловленная
наличием определенных антигенов HLA-системы, а также генами 11 и 10 хромосом.
Вторая стадия - инициация аутоиммунных процессов в
-клетках островков под влиянием
панкреатотропных вирусов, цитотоксических веществ и каких-либо других
неизвестных факторов. Важнейшим моментом на этой стадии является экспрессия
-клетками HLA-DR-антигенов и
глутаматдекарбоксилазы, в связи с чем они становятся аутоантигенами, что
вызывает развитие ответной аутоиммунной реакции организма.
Третья стадия - стадия активных иммунологических процессов с
образованием антител к
-клеткам, инсулину, развитием
аутоиммунного инсулита.
Четвертая стадия - прогрессивное снижение секреции инсулина,
стимулированной глюкозой (1 фазы секреции инсулина).
Пятая стадия - клинически явный диабет (манифестация сахарного
диабета). Эта стадия развивается, когда происходит деструкция и гибель 85-90%
-клеток. По данным Wallenstein (1988) при
этом еще определяется остаточная секреция инсулина, причем антитела на нее не
влияют.
У многих больных после проведенной инсулинотерапии наступает
ремиссия заболевания ("медовый месяц диабетика”). Ее длительность и
выраженность зависит от степени повреждения
-клеток, их способности к регенерации и уровня остаточной секреции
инсулина, а также тяжести и частоты сопутствующих вирусных инфекций.
. Шестая стадия - полная деструкция
-клеток, полное отсутствие секреции инсулина и С-пептида. Клинические
признаки сахарного диабета возобновляются и инсулинотерапия вновь становится
необходимой.
Инсулиннезависимый сахарный диабет
Этиология.
Сахарный диабет 2 типа (ранее его так же называли
инсулиннезависимым) встречается значительно чаще. Это заболевание характерно
для более зрелого возраста: он выявляется, как правило, после 40 лет. Около 90%
больных сахарным диабетом 2 типа имеют избыточный вес. Также для этого типа
диабета характерна наследственность - высокая распространенность среди близких
родственников. Начинается заболевание, в отличие от диабета 1 типа, постепенно,
часто совершенно незаметно для больного. Поэтому человек может достаточно долго
болеть, но не знать об этом. Повышенный уровень сахара крови может быть выявлен
случайно, при обследовании по какому-либо другому по воду.
Так же имеют огромное значение аутоиммунные, сосудистые
нарушения, ожирение, психические и физические травмы, вирусные инфекции.
К факторам риска (но не причинам) развития сахарного диабета
относят:
возраст старше 45 лет;
ожирение, особенно абдоминально висцерального типа;
наследственная предрасположенность;
наличие в прошлом нарушение толерантности к глюкозе;
перенесенный гестационный сахарный диабет;
рождение ребенка с массой тела более 4.5 кг;
наличие артериальной гипертензии;
нарушение липидного (жирового) обмена, особенно повышение в
крови уровня триглицеридов.
Патогенез.
При абсолютной недостаточности инсулина снижается уровень
инсулина в крови вследствие нарушения его синтеза или секреций р-клетками
островков Лангерганса. Относительная инсулиновая недостаточность может являться
результатом снижения активности инсулина вследствие его повышенного связывания
с белком, усиленного разрушения ферментами печени, преобладания эффектов
гормональных и негормональных антагонистов инсулина (глюкагона, гормонов коры
надпочечников, щитовидной железы, гормона роста, неэстерифицированных жирных
кислот), изменения чувствительности инсулинзависимых тканей к инсулину.
Недостаточность инсулина приводит к нарушению углеводного,
жирового и белкового обмена. Снижается проницаемость для глюкозы клеточных
мембран в жировой и мышечной ткани, усиливаются гликогенолиз и гликонеогенез,
возникают гипергликемия, глюкозурия, которые сопровождаются полиурией и
полидипсией. Снижается образование и усиливается распад жиров, что приводит к
повышению в крови уровня кетоновых тел (ацетоуксусной, 3-оксимасляной и
продукта конденсации ацетоуксусной кислоты - ацетона). Это вызывает сдвиг
кислотно-щелочного состояния в сторону ацидоза, способствует повышенной
экскреции ионов калия, натрия, магния с мочой, нарушает функцию почек.
Щелочной резерв крови может уменьшиться до 25 об. % СО2
рН крови снизиться до 7,2-7,0. Происходит снижение буферных оснований.
Повышенное поступление неэтерифицированных жирных кислот в печень вследствие
липолиза приводит к повышенному образованию триглицеридов. Наблюдается
усиленный синтез холестерина. Снижается синтез белка, в том числе и антител,
что приводит к уменьшению сопротивляемости инфекциям. Неполноценный синтез
белка является причиной развитая диспротеинемии (уменьшение фракции альбуминов
и увеличение осглобулинов). Значительная потеря жидкости вследствие полиурин
приводит к обезвоживанию организма. Усиливается выделение из организма калия,
хлоридов, азота, фосфора, кальция.
Признаки сахарного диабета.
. У больных возникает сильная жажда. Следует отметить, что
она носит не временный характер и ее очень трудно утолить. Речь идет не о
жажде, возникающей в результате физических нагрузок или жары. Человек не может
напиться более чем 2 стаканами воды, в то время как здоровый вполне утоляет
жажду несколькими глотками. За сутки больной выпивает до 3-4 л жидкости.
. Увеличивается количество мочи, то есть развивается
полиурия. Если организм здорового человека усваивает жидкость, то больные
выделяют столько же жидкости, сколько выпили, то есть 3-4 л.
. Вес больного либо увеличивается, либо, напротив,
уменьшается. Возможны оба варианта. В случае инсулинонезависимого диабета вес
возрастает, а при инсулинозависимом диабете наблюдается сильное похудение. При
этом больной ест как обычно, у него сохраняется хороший аппетит.
. Сухость во рту. Этот симптом не зависит от условий внешней
среды (например, жары) или вида деятельности (изнуряющего физического труда).
. Сильный кожный зуд. В особенности он проявляется в области
половых органов. Резко ухудшается состояние кожи, появляются фурункулы,
гнойничковые поражения кожи. При этом причина высыпаний остается неизвестной,
то есть больной до этого не имел контактов с другими больными, не подвергался воздействию
веществ, вызывающих аллергическую реакцию, и т.д. Кроме того, наблюдается
сухость кожи, что приводит к возникновению трещин. В углах рта также появляются
мокнущие болезненные трещины.
. Быстрая усталость, даже если больной не занимается тяжелым
физическим трудом, не болеет простудными заболеваниями и не подвергается
стрессу. Отмечается быстрая утомляемость, часто сразу после начала работы либо
после сна или отдыха. Больные испытывают повышенную раздражительность
беспокойство. Это не связано с менструальным циклом или климаксом у женщин.
Также у больных внезапно возникает головная боль, которая
быстро проходит. При этом она вовсе не вызвана долгой работой за компьютером,
чтением при плохом освещении или долгим просмотром телевизионных программ.
Однако самым важным признаком диабета является повышенный
уровень сахара в крови. Его содержание у здорового человека равно 60-100 мг/100
мл натощак и не превышает 140 мг/100 мл через 1-1,5 часа после еды. Необходимое
количество сахара в крови определяется регулирующей системой. Ее важнейшим
элементом является инсулин. После пищи, содержащей углеводы, количество сахара
в крови возрастает.
В моче отмечается появление сахара. Если уровень сахара в
крови превышает 160 мг %, то он начинает выделяться с мочой.
Осложнения сахарного диабета.
Характерны сосудистые осложнения: специфические поражения
мелких сосудов - микроангиопатии (ангиоретинопатия, нефропатия и другие
висцеропатии), нейропатия, ангиопатия сосудов кожи, мышц и ускоренное развитие
атеросклеротических изменений в крупных сосудах (аорта, коронарные церебральные
артерии и т.д.). Ведущую роль в развитии микроангиопатий играют метаболические
и аутоиммунные нарушения.
Поражение сосудов сетчатки глаз (диабетическая ретинопатия)
характеризуется дилатацией вен сетчатки, образованием капиллярных
микроаневризм, экссудацией и точечными кровоизлияниями в сетчатку (I стадия,
непролиферативная); выраженными венозными изменениями, тромбозом капилляров,
выраженной экссудацией и кровоизлияниями в сетчатку (II стадия, препролиферативная);
при III стадии - пролиферативной - имеются вышеперечисленные изменения, а также
прогрессирующая неоваскуляризация и пролиферация, представляющие главную угрозу
для зрения и приводящие к отслойке сетчатки, атрофии зрительного нерва. Часто у
больных сахарным диабетом возникают и другие поражения глаз: блефарит,
нарушения рефракции и аккомодации, катаракта, глаукома.
Хотя почки при сахарном диабете часто подвергаются
инфицированию, главная причина ухудшения их функции состоит в нарушений микрососудистого
русла, проявляющемся гломерулосклерозом и склерозом афферентных артериол
(диабетическая нефропатия).
Диабетическая нейропатия - частое осложнение при
длительно текущем сахарном диабете; поражаются как центральная, так и
периферическая нервная система. Наиболее характерна периферическая нейропатия:
больных беспокоят онемение, чувство ползания мурашек, судороги в конечностях,
боли в ногах, усиливающиеся в покое, ночью и уменьшающиеся при ходьбе.
Отмечается снижение или полное отсутствие коленных и ахилловых рефлексов,
снижение тактильной, болевой чувствительности. Иногда развивается атрофия мышц
в проксимальных отделах ног.
Диабетический кетоацидоз развивается вследствие
выраженной недостаточности инсулина при неправильном лечении сахарного диабета,
нарушении диеты, присоединении инфекции, психической и физической травме или
служит начальным проявлением заболевания. Характеризуется усиленным
образованием кетоновых тел в печени и увеличением их содержания в крови,
уменьшением щелочных резервов крови; увеличение глюкозурии сопровождается
усилением диуреза, что вызывает дегидратацию клеток, усиление экскреции с мочой
электролитов; развиваются гемодинамические нарушения.
Диабетическая (кетоацидотическая) кома развивается постепенно.
Для диабетической прекомы характерна симптоматика быстро прогрессирующей
декомпенсации сахарного диабета: сильная жажда, полиурия, слабость, вялость,
сонливость, головная боль, отсутствие аппетита, тошнота, залах ацетона в
выдыхаемом воздухе, сухость кожных покровов, гипотензия, тахикардия.
Гипергликемия превышает 16,5 ммоль/л, реакция мочи на ацетон положительная,
высокая глюкозурия. Если своевременно не оказана помощь, развивается
диабетическая кома: спутанность и затем потеря сознания, многократная рвота,
глубокое шумное дыхание типа Куссмауля, резко выраженная сосудистая гипотензия,
гипотония глазных яблок, симптомы дегидратации, олигурия, анурия,
гипергликемия, превышающая 16,55-19,42 ммоль/л и достигающая иногда 33,3 - 55,5
ммоль/л, кетонемия.
При гиперосмолярной некетонемической диабетической коме
отсутствует запах ацетона в выдыхаемом воздухе, имеется выраженная
гипергликемия - более 33,3 ммоль/л при нормальном уровне кетоновых тел в крови.
Лактацидотическая (молочнокислая) кома возникает обычно на фоне почечной
недостаточности и гипоксии, наиболее часто встречается у больных, получающих
бигуаниды, в частности фенформин. В крови отмечаются высокое содержание
молочной кислоты, повышение коэффициента лактат/пируват, ацидоз.
Лечение.
В настоящее время наиболее эффективным является комплексное
лечение, включающее диетотерапию, лечебную физкультуру, перроральные
гипогликемизирующие препараты и инсулин.
Цель терапевтических мероприятий - нормализовать нарушенные
обменные процессы, восстановить массу тела и сохранить или даже восстановить
трудоспособность больных.
Диета обязательна при всех клинических формах сахарного
диабета. Основные ее принципы: индивидуальный подбор суточной калорийности;
содержание физиологических количеств белков, жиров, углеводов и витаминов;
исключение легкоусвояемых углеводов; дробное питание с равномерным
распределением калорий и углеводов.
Расчет суточной калорийности производят с учетом массы тела и
физической нагрузки. При умеренной физической активности диету строят из
расчета 30-35 ккал на 1 кг идеальной массы тела (рост в сантиметрах минус 100).
При ожирении калорийность уменьшают до 20-25 ккал на 1 кг идеальной массы тела.
Диета должна содержать малое количество холестерина и
насыщенных жиров: из общего количества жиров около 2/3 должно приходиться на
моно - и полиненасыщенные жирные кислоты (подсолнечное, оливковое, кукурузное,
хлопковое масло). Пищу принимают дробно 4-5 раз в день, что содействует лучшему
ее усвоению при минимальной гипергликемии и глюкозурии. Общее количество
потребляемой пищи в течение дня распределяется обычно следующим образом; первый
завтрак - 25%, второй завтрак-10 - 15%, обед - 25%, полдник - 5-10%, ужин -
25%, второй ужин - 5-10%. Набор продуктов составляют по соответствующим
таблицам. Целесообразно включать в рацион питания продукты, богатые пищевыми
волокнами. Содержание в пище поваренной соли не должно превышать 10 г/сут.
Показаны дозированные адекватные ежедневные физические
нагрузки, усиливающие утилизацию глюкозы тканями.
Таблетированные сахароснижающие препараты относятся к двум
основным группам: сульфаниламидам и бигуанидам.
Сульфаниламидные препараты являются производными
сульфанилмочевины. Их сахароснижающее действие обусловлено стимулирующим
влиянием на бета-клетки поджелудочной железы, повышением чувствительности к инсулину
инсулинзависимых тканей путем воздействия на рецепторы к инсулину, увеличением
синтеза и накопления гликогена, снижением глюконегогенеза. Препараты оказывают
также антилиполитическое действие.
Различают сульфаниламидные препараты I и II генерации.
Препараты I генерации дозируются в дециграммах. К этой группе
относятся хлорпропамид (диабинез, меллинез), букарбан (надизан, оранил),
орадиан, бутамид (толбутамид, орабет, диабетол) и др.
К препаратам, дозируемым в сотых и тысячных долях грамма (II
генерация), относят глибенкламид (манилил, даонил, эуглюкан), глюренорм
(гликвидон), гликлазид (диамикрон, предиан, диабетон), глипизид (минидиаб).
При применении препаратов I генерации лечение начинают с
малых доз (0,5-1 г), повышая до 1,5-2 г/сут. Дальнейшее увеличение дозы
нецелесообразно. Гипогликемизирующее действие проявляется на 3-5-е сутки от
начала лечения, оптимальное через 10-14 дней. Доза препаратов II генерации
обычно не должна превышать 10-15 мг. Необходимо учитывать, что почти все
сульфаниламидные препараты выводятся почками, за исключением глюренорма,
выводящегося из организма преимущественно кишечником, поэтому последний хорошо
переносится больными с поражением почек. Некоторые препараты, например предиан
(диамикрон), оказывают нормализующее действие на реологические свойства крови -
уменьшают агрегацию тромбоцитов.
Показаниями к назначению препаратов сульфанилмочевины
являются инсулиннезависимый сахарный диабет средней тяжести, а также переход
легкой формы диабета в среднетяжелую, когда одной диеты недостаточно для
компенсации. При сахарном диабете II типа средней тяжести препараты
сульфанилмочевины могут быть использованы в комбинации с бигуанидами; при
тяжелой и инсулинрезистентной формах сахарного диабета I типа они могут
применяться с инсулином.
Бигуаниды являются производными гуанидина. К ним относятся
фенилэтилбигуаниды (фенформин, диботин), бутил-бигуаниды (адебит, буформин,
силубин) и диметилбигуаниды (глюкофаг, диформин, метформин). Различают
препараты, действие которых продолжается 6-8 ч, и препараты пролонгированного
(10-12 ч) действия.
Гипогликемизирующий эффект обусловлен потенцированием
влияния инсулина, усилением проницаемости клеточных мембран для глюкозы в
мышцах, торможением неоглкжогенеза, уменьшением всасывания глюкозы в кишечнике.
Важное свойство бигуанидов торможение липогенеза и усиление липолиза.
Показанием к применению бигуанидов является
инсулинонезависимый сахарный диабет (II тип) средней тяжести без кетоацидоза и
при отсутствии заболеваний печени и почек. Препараты назначают главным образом
больным с избыточной массой тела, при резистентности к сульфаниламидам,
применяют в комбинации с инсулином, особенно у больных с избыточной массой
тела. Используется также комбинированная терапия бигуанидами и
сульфаниламидами, позволяющая получить максимальный сахаропонижающий эффект при
минимальных дозах препаратов.
Общие противопоказания к назначению пероральных
сахароснижающих средств: кетоацидоз, гиперосмолярная лактацидотическая кома,
беременность, лактация, обширные операции, тяжелые травмы, инфекции, выраженные
нарушения функции почек и печени, заболевания крови с лейкопенией или
тромбоцитопенией.
Периферическая диабетическая нейропатия.
Диабетические нейропатии - это семейство заболеваний нервов,
вызываемых диабетом. У людей с диабетом со временем возможно развитие
повреждения нервов всего организма. У некоторых людей с повреждением нервов
симптомов не возникает. У других возможны такие симптомы как боль, покалывание
или онемение - потеря чувствительности - в кистях рук, руках, стопах и ногах.
Поражение нервов может возникать в любой системе органов, включая
желудочно-кишечный тракт, сердце и половые органы.
Примерно у 60-70 процентов людей с диабетом имеется одна из
форм нейропатии. У людей с диабетом проблемы с нервами могут возникать в любое
время, однако риск возрастает с возрастом и увеличением стажа диабета.
Наибольшая распространенность нейропатии наблюдается у людей со стажем диабета
не менее 25 лет. Диабетические нейропатии также более распространены у людей,
имеющих проблемы с контролем уровня глюкозы крови (сахара крови), у людей с
высоким уровнем липидов крови и повышенным артериальным давлением, а также с
избыточной массой тела.
Этиология.
Причины развития диабетической нейропатии различаются в
зависимости от ее вида. Повреждение нервов возникает, вероятно, вследствие
воздействия комбинации факторов:
· высокий уровень глюкозы
крови, большая продолжительность диабета, повышение уровней липидов крови и,
возможно, низкий уровень инсулина
· нейрососудистых факторов,
приводящих к повреждению кровеносных сосудов, приносящих кислород и питательные
вещества к нервам
· аутоиммунных факторов,
вызывающих воспаление нервов
· механического повреждения
нервов, например, при туннельном синдроме запястья
· наследуемых черт,
повышающих предрасположенность к заболеваниям нервов
· факторов образа жизни,
таких как курение и употребление алкоголя
Симптомы диабетических нейропатий.
· онемение, ощущения
покалывания или боль в пальцах ног, стопах, ногах, кистях рук, руках и пальцах
· уменьшение объема мышц
стоп или кистей рук
· несварение желудка,
тошноту или рвоту
· диарею или запор
· головокружение или
обмороки вследствие падения артериального давления после подъема или принятия
положения сидя из горизонтального положения
· проблемы с мочеиспусканием
Виды диабетической нейропатии.
Диабетическую нейропатию можно разделить на периферическую,
автономную, проксимальную или фокальную. При каждом виде нейропатии происходит
повреждение различных частей организма.
· Периферическая
нейропатия, наиболее распространенный тип диабетической нейропатии, вызывает
боль или потерю чувствительности пальцев ног, стоп, голеней, кистей рук или
руки целиком.
· Автономная нейропатия
вызывает изменение пищеварения, функции кишечника и мочевого пузыря,
сексуальных реакций и потоотделения. Она также может поражать нервы,
контролирующие деятельность сердца и артериальное давление, а также нервы
легких и глаз. Автономная нейропатия также может являться причиной отсутствия
ощущения гипогликемии, состояния, при котором люде больше не испытывают
симптомов, предупреждающих о низком уровне глюкозы крови.
· Проксимальная нейропатия
вызывает боль в голенях, в области бедра или ягодиц, а также приводит к
слабости мышц ног.
· Фокальная нейропатия
приводит к внезапной слабости нерва или группы нервов, вызывая мышечную
слабость или боль. Возможно поражение любого нерва.
Периферическая нейропатия. (ДНП)
Периферическая нейропатия, также называемая дистальной
симметричной нейропатией или сенсомоторной нейропатией, представляет собой
повреждение нервов рук и ног. Сначала с большей вероятностью поражаются стопы и
ноги, а затем кисти рук и руки. У многих людей с диабетом имеются признаки
нейропатии, которые может заметить врач, однако сами больные симптомов не
замечают.
Патогенез.
Большинство периферических нервов являются смешанными и
содержат двигательные, чувствительные и автономные волокна. Поэтому
симптомокомплекс поражения нерва складывается из двигательных, чувствительных и
автономных расстройств. Каждый аксон либо покрыт оболочкой шванновской клетки -
в этом случае волокно называется не миелинизированным, либо окружен
концентрически лежащими мембранами шванновских клеток - в этом случае волокно
называется миелинизированным. Нерв содержит как миелинизированные, так и
немиелинизированные волокна. Только немиелинизированные волокна содержат
автономные эфферентные и часть чувствительных афферентных волокон. Толстые
миелинизированные волокна проводят вибрацию и проприоцепцию. Тонкие
миелинизированные и немиелинизированные волокна ответственны за проведение
чувства боли, прикосновения, температуры. Основной функцией нервного волокна
является проведение импульса.
Патогенез диабетической периферической нейропатии гетерогенен
и мультифакториален. В основе лежит прогрессивная потеря миелинизированных волокон
- сегментарная демиелинизация и аксональная дегенерация и, как следствие,
замедление проведения нервного импульса.
Ключевую роль в патогенезе нейропатии играет хроническая
гипергликемия. Исследование DCCT (Diabetes Control and Complication Trial) доказало,
что именно гипергликемия ответственна за развитие диабетической периферической
нейропатии.
Симптомы.
· онемение или
нечувствительность к боли или температурным стимулам
· ощущение покалывания,
жжения или пощипывания
· острые боли или судороги
· повышенную
чувствительность к прикосновению, даже к очень легкому
· потерю баланса и
координации движений
Эти симптомы обычно усиливаются ночью.
Осложнения диабетической периферической нейропатии
ДПН обычно начинается с сенсорных нарушений на пальцах стоп,
опережая потерю функции дистальной части аксона. С прогрессированием ДПН
уровень поражения постепенно поднимается вверх симметрично на обеих нижних
конечностях. К тому времени, когда уровень снижения чувствительности достигает
середины голени, больные начинают замечать снижение чувствительности в кистях
рук. Формируется типичное снижение чувствительности по типу
"носки-перчатки". Раннее нарушение чувствительности отражает потерю
как толстых, так и тонких миелинизированных нервных волокон. При этом страдают
все чувствительные функции: вибрационная, температурная, болевая, тактильная,
что подтверждается при обследовании объективным наличием неврологического
дефицита или негативной симптоматики. Периферическая нейропатия также может
вызывать мышечную слабость и потерю рефлексов, особенно в области
голеностопного сустава, что приводит к изменению походки. Возможно
возникновение деформации стопы, например, молоткообразного искривления пальца
ноги или коллапса свода стопы. В области онемения стопы возможно возникновение
волдырей и ранок, так как давление и повреждение остаются незамеченными. Если
травмы стопы не начинать лечить сразу, инфекция может распространиться на
кость, что может привести к необходимости ампутации. По оценкам некоторых
экспертов, половину всех ампутаций такого рода можно предотвратить при
своевременном обнаружении и лечении небольших проблем.
Популяционные эпидемиологические исследования показали, что
язвы стопы обнаруживаются у 4-10% больных сахарным диабетом; а в 5-8 случаях на
1000 больных диабетом в год производится ампутация. Таким образом,
диабетическая периферическая сенсомоторная нейропатия может считаться одним из
наиболее дорогих осложнений сахарного диабета.
Лечение:
Первый шаг в лечении заключается в возвращении уровня глюкозы
крови к нормальному диапазону значений, чтобы помочь предотвратить дальнейшее
повреждение нервов. Мониторирование уровня глюкозы крови, планирование рациона,
физическая активность и противодиабетические препараты или инсулин помогают
контролировать уровни глюкозы крови. Сначала симптомы могут ухудшаться, когда
уровень глюкозы возвращается к норме, однако со временем поддержание более
низкого уровня глюкозы поможет облегчить симптомы. Хороший контроль уровня
глюкозы крови также может помочь предотвратить или отсрочить начало других
проблем.
Специфическое лекарственное лечение диабетической нейропатии
направлено на улучшение функции нервных волокон, замедление прогрессирования
нейропатии и уменьшение выраженности ее симптомов.
Схема специфического лечения включает три стадии:
. (начальная терапия) препарат мильгамма (раствор для
инъекций) - ежедневно по 2 мл в/м в течение 5-10 дней, затем мильгамма в драже
по 1 драже 3 раза в сутки в течение 4-6 недель.
. Альфа-липоевая (тиоктовая) кислота в виде препарата тиогамма
или препаратов с другими названиями (тиоктацид, берлитион) - ежедневно
по 600 мг в/в капельно в течение 10-14 дней (иногда до 3 недель), затем по 1
таблетке (600мг) 1 раз в день за 30 мин. до еды не менее месяца.
. Комбинация приема драже мильгаммы и драже альфа-липоевой
кислоты в течение 6-8 недель.
При острой болевой нейропатии, а также сильных периодических
болях прибегают к использованию противоболевых лекарств:
прием нестероидных противовоспалительных препаратов (НПВП).
По степени выраженности побочных эффектов, их распределяют в следующем порядке
- ибупрофен, аспирин, диклофенак, напроксен, пироксикам.
Людям с нейропатией необходим особый уход за ногами.
Для этого необходимо следовать некоторым рекомендациям:
· Ежедневно мыть ноги в
теплой (не горячей) воде с мягким мылом. Избегайте набухания кожи стоп от воды.
Вытрите ноги мягким полотенцем, тщательно просушить область между пальцами.
· Ежедневно осматривать
стопы и пальцы ног на предмет порезов, пузырей, покраснения, отека, мозолей и
других проблем. Пользоваться зеркалом - для осмотра стоп удобно положить
зеркало на пол.
· Увлажнять стопы лосьоном,
но избегать нанесения лосьона в области между пальцами ног.
· Каждый раз после ванны
или душа аккуратно удалить мозоли с помощью пемзы.
· Всегда носите ботинки или
шлепанцы для защиты стоп от повреждений. Во избежание раздражения кожи носите
толстые, мягкие бесшовные носки.
· Носите обувь, которая
хорошо подходит и позволяет пальцам двигаться. Постепенно разнашивать новую
обувь, носить их первое время не больше часа подряд.
· Перед тем, как надеть
обувь, тщательно ее осмотрите и проверьте рукой изнутри, чтобы убедиться в
отсутствии разрывов, острых краев или посторонних предметов, которые могут
повредить стопы.
Периферическая диабетическая ангиопатия.
Диабетическая ангиопатия развивается у лиц, страдающих
сахарным диабетом, и характеризуется поражением как мелких (микроангиопатия),
так и крупных сосудов (макроангиопатия).
Классификация по форме и локализации:
. Микроангиопатии:
а) нефропатия;
б) ретинопатия;
в) микроангиопатия нижних конечностей.
. Макроангиопатия (атеросклероз):
а) аорты и коронарных сосудов;
б) церебральных сосудов;
в) периферических сосудов.
. Универсальная микро - макроангиопатия.
Большое значение в формировании ангиопатий имеет тип
сахарного диабета. Известно, что инсулиннезависимый сахарный диабет
способствует более активному развитию диабетических ангиопатий по сравнению с
диабетом I типа. Большинство больных с синдромом диабетической стопы имеют II
тип сахарного диабета.
При микроангиопатии наиболее существенным изменениям подвергаются
сосуды микроциркуляторного русла - артериолы, капилляры и венулы. Наблюдается
пролиферация эндотелия, утолщение базальных мембран, отложение
мукополисахаридов в стенках, что в конечном итоге приводит к сужению и
облитерации просвета. В результате <javascript://> этих изменений
ухудшается микроциркуляция и наступает гипоксия тканей. Проявлениями
микроангиопатии наиболее часто являются диабетическая ретинопатия и нефропатия.
При макроангиопатии в стенках магистральных артерий обнаруживаются
изменения, характерные <javascript://> для атеросклероза. На фоне
сахарного диабета создаются благоприятные условия для развития атеросклероза,
который поражает более молодой контингент больных и быстро <javascript://>
прогрессирует. Типичным для диабета является артериосклероз Менкеберга -
кальциноз средней оболочки артерии
Этиология.
Полагают, что ведущую роль в развитии диабетической ангиопатии
играют гормонально-метаболические нарушения, характерные для сахарного диабета.
Однако диабетическая ангиопатия, отмечают далеко не у всех больных сахарным
диабетом, а ее появление и тяжесть не имеют четкой корреляции с
неудовлетворительной компенсацией диабета. Наиболее актуальной является
концепция генетической обусловленности диабетической ангиопатии или, точнее,
концепция аддиттивного, или мультипликативного, взаимодействия
гормонально-метаболического и генетического факторов, способствующих
возникновению диабетической ангиопатии. Генетический дефект, обусловливающий
диабетическую ангиопатию, точно не установлен, однако предполагают, что он
различен при сахарном диабете I типа и сахарном диабете II типа. Так,
клинические проявления диабетической ангиоретинопатии при инсулинозависимом и
инсулиннезависимом диабете отличаются друг от друга: в первом случае чаще
отмечают пролиферативную ангиоретинопатию, во втором - макулопатию (поражение
желтого пятна). Есть данные, что существует связь между вероятностью развития
диабетической ангиопатии и определенными антигенами (DR4, С4, Bf) системы гистосовместимости
HLA. По аналогии с гипотезой о полигенном наследовании сахарного диабета можно
предполагать такой тип наследования и при диабетической ангиопатии.
Важную роль в этиологии диабетической ангиопатии играют факторы
риска: постоянно повышенное АД, курение, возраст, работа с определенными
профессиональными вредностями, интоксикации и др.
Патогенез.
Патогенез диабетической ангиопатии сложен и недостаточно изучен. В
основе его лежат повреждение стенок микрососудов, а также нарушение
тромбоцитарно-сосудистого и гуморального звена системы гемостаза. В стенке
микрососудов нарушается водно-солевой, азотистый и энергетический обмен. В
результате изменяются ионный заряд, функция, а возможно, и относительное
количество эндотелиальных пор, что влияет на дифференцированную проницаемость
стенки сосудов и вызывает снижение секреции так называемого эндотелиального
релаксирующего фактора (EDRF), а также факторов, регулирующих тонус сосудов и
состояние системы гемостаза. Массивное поступление глюкозы в стенку сосуда в
результате диабетической гипергликемии ведет к нарушению структуры базальной
мембраны благодаря усиленному синтезу глюкозаминогликанов и неферментативному
гликозилированию белков, липидов и других компонентов сосудистой стенки. Это
меняет их антигенные и функциональные характеристики, вызывает нарушение
проницаемости и прочности стенки сосуда, развитие в ней иммунопатологических
реакций, сужение просвета сосудов и уменьшение площади их внутренней
поверхности. С гипергликемией связана активизация еще одного патобиохимического
процесса, предопределяющего диабетической ангиопатии.
Клиническая картина:
) раннее присоединение симптомов полиневрита различной
степени выраженности (от чувства жжения и онемения отдельных участков или всей
стопы до выраженного болевого синдрома);
) появление трофических язв и даже гангрены пальцев стоп при
сохраненной пульсации периферических артерий;
) ангиопатия нижних конечностей, как правило, сочетается с
ретино - и нефропатиями.
В отличие от облитерирующего атеросклероза диабетическая
макроангиопатия нижних конечностей характеризуется более тяжелым и
прогрессирующим течением, нередко заканчивающимся развитием гангрены. В связи с
высокой подверженностью больных сахарным диабетом инфекции гангрена часто
бывает влажной.
Лечение.
Основным условием успешного лечения диабетических ангиопатий
является оптимальная компенсация сахарного диабета, а также нормализация
нарушенного метаболизма углеводов, жиров, белков. Это достигается назначением
индивидуальной физиологической диеты с ограничением легкоусвояемых углеводов и
животных жиров, а также адекватной терапии инсулином и его аналогами. Для
улучшения кровообращения в нижних конечностях применяют как консервативную
терапию, так и хирургическое лечение. На ранних стадиях показано консервативное
лечение. Оно должно быть комплексным и носить патогенетический характер.
Основные принципы консервативного лечения:
) устранение воздействия неблагоприятных факторов
(предотвращение охлаждения, запрещение курения, употребления спиртных напитков
и др.);
) устранение спазма;
) снятие болей;
) улучшение метаболических процессов в тканях;
) нормализация процессов свертывания крови;
) улучшение реологических свойств крови.
В комплексную терапию следует также включить
физиотерапевтические и бальнеологические процедуры (УВЧ-терапия, лазеротерапия,
электрофорез и др. родоновые, сероводородные ванны и др.)
При отсутствии эффекта от консервативной терапии возникают
показания к операции.
При наличии некроза или гангрены возникают показания к
ампутации. Объем оперативного вмешательства должен быть строго
индивидуализирован и выполняться с учетом кровоснабжения конечности.
При этом уровень ампутации зависит от степени поражения
магистральных артерий и состояния коллатерального кровообращения.
Также применяют различные лекарственные препараты.
Применяют ангиопротекторы пармидин (продектин,
ангинин), этамзилат (дицинон); спазмолитические средства пентоксифиллин
(трентал), ксантинола никотинат (теоникол, компламин); препараты улучшающие
мозговое кровообращение - кавинтон и др. Некоторые из этих препаратов
оказывают положительное действие на систему гемостаза и реологические свойства
крови, хотя с этой целью специально назначают антикоагулянты, антиагреганты,
препараты, влияющие на коронарное кровообращение, гепарин, реополиглюкин,
дипиридамол (курантил), ацетилсалициловую кислоту и др.
В сочетании с этими основными лекарственными средствами
используют препараты, обладающие анаболическим действием; стимуляторы обмена
(фитин, рибоксин, ретаболил, фосфаден, глутаминовая кислота, витамины);
биогенные стимуляторы (ФиБС, алоэ, солкосерил, стекловидное тело); препараты,
обладающие липотропным (гипохолестеринемическим и гиполипопротеинемическим)
действием, - клофибрат (клофибрейт), полиспонин, линетол, антиоксиданты
(токоферола ацетат); ферментные препараты (лидаза, лекозим, химотрипсин);
антагонисты альдозоредуктазы (изодибут); препараты кортикостероидных гормонов,
иммуномодуляторы, фитопрепараты.
9.
Индивидуальный этиопатегенез
На основании опороса пациента и изученных механизмов развития
сердечно-сосудистых заболеваний можно представить индивидуальный этиопатогенез
следующим образом. В результате действия наследственных и внешних факторов и
неправильного питание привели к развитию сахарного диабета 2 типа.
В развитии диабетической ангиопатии сигралина малую роль гормонально-метаболические
нарушения, характерные для сахарного диабета.
10. Лечение
А) Определение фармакологических групп препаратов
КЛАССИФИКАЦИЯ ГИПОГЛИКЕМИЗИРУЮЩИХ СРЕДСТВ.
. Инсулины:
а) инсулины короткого действия:
животного происхождения (моносуинсулин, актропид МС,
инсулпан, инсулрап, илетин П Регулар);
- человеческий инсулин (актрапид НМ, хумулин регулар,
хоморап, инсуман Рапид. Н-инсулин, велозулин).
б) инсулины средней продолжительности действия:
животного происхождения (инсулин-цинк - суспензия
аморфная, семиленте, протафан, актрафан, монатард, инсулонг);
- человеческий инсулин (монотард НМ, протафан НМ,
хумулин Н, инсуман базаль).
в) инсулины длительного действия:
животного происхождения (ультралонг, ультраленте,
протамин-цинк-инсулин илетин II);
- человеческий инсулин (ультратард НМ).
г) двухфазные инсулины (готовые смеси). Микстард 30/70,
т.е.30% обычного инсулина и 70 % НПХ-инсулина.
. Пероральные гипогликемизирующие препараты:
а) производные сульфонилмочевины:
1 генерация - карбутамид (букарбан, орабет),
толбутамид (бутамид), хлорпропамид;
- 2 генерация - глибенкламид (манинил), глипизид
(антидиаб, минидиаб), гливидон (глюренорм), диабетон (гликлазид), амарил
(глимеприд), глюкотрол Х.
б) бигуаниды (фениформин, буформин, метформин и единственный
использующийся в клинике сейчас - сиофор).
. Ингибиторы альфа-глюкозидазы (акарбоза или
глюкобай);
4. Тиазолидиндионы (троглитазон или резулин);
. Препараты хрома.
КЛАССИФИКАЦИЯ АНТИОКСИДАНТОВ.
§ 1. Антирадикальные
средства
§ 1.1 Эндогенные соединения: б-Токоферол
<#"576919.files/image002.gif">
Главным компонентом является глибенкламид.
Фармакодинамика.
Пероральный гипогликемический препарат из группы производных
сульфонилмочевины II поколения.
Стимулирует секрецию инсулина за счет связывания со
специфическими рецепторами мембраны β-клетки поджелудочной
железы, снижает порог раздражения глюкозой β-клеток поджелудочной
железы, повышает чувствительность к инсулину и степень его связывания с
клетками-мишенями, увеличивает высвобождение инсулина, усиливает действие
инсулина на поглощение глюкозы мышцами и печенью, тем самым снижает
концентрацию глюкозы в крови. Действует во второй стадии секреции инсулина.
Тормозит липолиз в жировой ткани. Оказывает гиполипидемическое действие,
уменьшает тромбогенные свойства крови.
Манинил 1.5 и Манинил 3.5 в микронизированной
форме представляет собой высокотехнологичную, особым образом измельченную форму
глибенкламида, позволяющую препарату быстрее абсорбироваться из ЖКТ. В связи с
более ранним достижением Cmax глибенкламида в плазме, гипогликемический
эффект практически соответствует по времени подъему концентрации глюкозы в
крови после еды, что делает действие препарата более мягким и физиологичным.
Длительность гипогликемического действия 20-24 ч.
Гипогликемический эффект препарата Манинил развивается через
2 ч и продолжается 12 ч.
Фармакокинетика.
После приема внутрь Манинила 1.75 и Манинила 3.5 наблюдается
быстрая и практически полная абсорбция из ЖКТ. Полное высвобождение
микроионизированного активного вещества происходит в течение 5 мин.
После приема внутрь Манинила абсорбция из ЖКТ составляет
48-84%. Тmax - 1-2 ч. Абсолютная биодоступность - 49-59%.
Связывание с белками плазмы составляет более 98% для Манинила
1.75 и Манинила 3.5, 95% - для Манинила 5.
Почти полностью метаболизируется в печени с образованием двух
неактивных метаболитов, один из которых выводится почками, а другой - с желчью.1/2
для Манинила 1.75 и Манинила 3.5 составляет 2-5ч, для Манинила 5 - 3-16 ч.
Показание:
инсулиннезависимый сахарный диабет (II типа), если не удается
достичь компенсации нарушений обмена веществ путем соблюдения соответствующей
диеты и повышения физической активности и если нет необходимости в проведении
инсулинотерапии. При развитии вторичной резистентности к глибенкламиду можно
проводить комбинированную терапию с применением инсулина, однако, она может не
иметь преимуществ по сравнению с монотерапией инсулином.
Режим дозирования.
Терапию начинают, по возможности, с минимальных доз, прежде
всего это касается пациентов с повышенной склонностью к гипогликемии и массой
тела ≤50 кг. Терапию целесообразно начинать с назначения 1/2-1
таблетки Манинила 3,5 (1,75-3,5 мг глибенкламида) или 1/2
таблетки Манинила 5 (2,5 мг глибенкламида) 1 раз в сутки. Эту дозу можно
постепенно повышать с интервалом от нескольких дней до 1 нед, пока не будет
достигнута терапевтическая доза. Максимальная эффективная доза составляет 15
мг/сут (3 таблетки Манинила 5) или 10,5 мг микронизированного глибенкламида (3
таблетки Манинила 3,5).
Суточную дозу до 2 таблеток Манинила принимают не разжевывая
с достаточным количеством жидкости (1 стакан воды) 1 раз в сутки перед
завтраком. При более высокой суточной дозе ее рекомендуется разделить на 2
приема в соотношении 2: 1 утром и вечером. Очень важно принимать препарат
каждый раз в одно и то же время. При пропуске приема препарата нельзя принимать
его удвоенную дозу взамен пропущенной. Длительность терапии зависит от течения
болезни. На протяжении лечения необходимо регулярно контролировать состояние
обмена веществ.
Побочное действие.
со стороны обмена веществ: часто - увеличение массы тела,
гипогликемия, которая может приобретать затяжной характер и привести к
угрожающей жизни пациента тяжелой гипогликемической коме. Причинами этого могут
быть передозировка препарата, нарушение функции печени и почек, алкоголизм,
нерегулярное питание (особенно пропуск приемов пищи), непривычная физическая
нагрузка, нарушение углеводного обмена вследствие заболеваний щитовидной
железы, передней доли гипофиза и коры надпочечников. Адренергическая
симптоматика при гипогликемии может отсутствовать или быть слабовыраженной при
медленно развивающейся гипогликемии, периферической нейропатии или
сопутствующей терапии симпатолитиками (преимущественно блокатораторами β-адренорецепторов). Симптомы-предвестники гипогликемии: гипергидроз,
усиленное сердцебиение, тремор, резкое ощущение голода, беспокойство,
парестезии в области рта, бледность кожи, головная боль, сонливость, диссомния,
нарушение координации движений, преходящие неврологические расстройства
(нарушения речи и зрения, чувствительных и двигательных сфер).
со стороны органа зрения: очень редко - нарушение зрения и
аккомодации, особенно в начале лечения;
со стороны ЖКТ: иногда - тошнота, ощущение переполнения,
распирания в желудке, рвота, боль в области живота, диарея, отрыжка,
металлический привкус во рту. Данные изменения преходящие не требуют отмены
препарата;
со стороны гепатобилиарной системы: медикаментозный гепатит,
внутрипеченочный холестаз, возможно, вызванные аллергической реакцией
гиперергического типа со стороны гепатоцитов. Эти нарушения оборатимы после
отмены препарата, но могут привести к угрожающей жизни печеночной
недостаточночти;
со стороны кожи и подкожной клетчатки: иногда - зуд,
уртикарная сыпь, erythema nоdоsum, коревидная или макулопапулезная экзантема,
пурпура, фотосенсибилизация. Эти реакции повышенной чувствительности имеют
обратимый характер, но очень редко могут приводить к угрожающим жизни
состояниям, сопровождающимся одышкой и значительным снижением АД, вплоть до
развития шока. Очень редко - генерализованные реакции повышенной
чувствительности, которые сопровождаются кожной сыпью, ознобом;
со стороны системы крови и лимфатической системы: редко -
тромбоцитопения; очень редко - лейкопения, эритропения, гранулоцитопения
(вплоть до развития агранулоцитоза); в отдельных случаях - панцитопения,
гемолитическая анемия;
другие побочные действия: очень редко - слабое диуретическое
действие, обратимая протеинурия, гипонатриемия, дисульфирамоподобная реакция,
перекрестная аллергия с сульфонамидами, производными сульфонамидов и
пробенецидом.
Противопоказание:
при необходимости инсулинотерапии: инсулинзависимый сахарный
диабет (I типа), метаболический ацидоз, гипергликемическая прекома и кома,
декомпенсация нарушений обмена веществ при инфекционных заболеваниях и
операциях, а также состояния после резекции поджелудочной железы, полная
вторичная резистентность к глибенкламиду при сахарном диабете II типа.
К другим противопоказаниям относятся: выраженное нарушение
функции печени, почечная недостаточность при клиренсе креатинина ≤30
мл/мин, повышенная чувствительность к глибенкламиду, а также к другим
производным сульфонилмочевины, сульфонамида, диуретикам и пробенециду; период
беременности и кормления грудью.
Лекарственное взаимодействие:
Усиление гипогликемического действия препарата Манинил
следует ожидать в тех случаях, когда одновременно проводится лечение
ингибиторами АПФ, анаболическими средствами, другими пероральными
гипогликемическими препаратами (например, акарбозой, бигуанидами) и инсулином,
азапропазоном, бета-адреноблокаторами, хинином, производными хинолона,
хлорамфениколом, клофибратом и его аналогами, производными кумарина,
дизопирамидом, фенфлурамином, фенирамидолом, флуоксетином, ингибиторами МАО,
миконазолом, ПАСК, пентоксифиллином (в высоких дозах парентерально),
пергексилином, производными пиразолонов, фенилбутазонами, фосфамидами
(например, циклофосфамидом, ифосфамидом, трофосфамидом), пробенецидом,
салицилатами, сульфинпиразоном, сульфаниламидами, тетрациклинами,
тритоквалином, при злоупотреблении алкоголем.
Подкисляющие мочу средства (аммония хлорид, кальция хлорид)
усиливают действие препарата Манинил® за счет уменьшения степени его
диссоциации и повышения его реабсорбции.
Наряду с усилением гипогликемического действия
бета-адреноблокаторы, клонидин, гуанетидин и резерпин, а также лекарственные
средства с центральным механизмом действия могут ослаблять ощущение
предвестников гипогликемии.
Гипогликемическое действие препарата Манинил может
уменьшаться при одновременном применении барбитуратов, изониазида,
циклоспорина, диазоксида, ГКС, глюкагона, никотинатов (в больших дозах),
фенитоина, фенотиазинов, рифампицина, салуретиков, ацетазоламида, половых
гормонов (например, гормональные контрацептивы), препаратов гормонов щитовидной
железы, симпатомиметических средств, индометацина и солей лития.
Хроническое злоупотребление алкоголем и слабительными
средствами может усугубить нарушение углеводного обмена.
Антагонисты Н2-рецепторов могут с одной стороны
ослаблять, а с другой усиливать гипогликемическое действие препарата Манинил®.
Пентамидин в единичных случаях может вызывать сильное
снижение или повышение концентрации глюкозы в крови.
При одновременном применении с препаратом Манинил®
может усиливаться или ослабевать действие производных кумарина.
Лекарственные средства, угнетающие костномозговое
кроветворение, увеличивают риск миелосупрессии при одновременном применении с
препаратом Манинил®.
Пациент должен быть информирован врачом о возможном
взаимодействии.
СИОФОР.
Фармакодинамика.
Метформин - это бигуанид, оказывающий сахароснижающее
действие, обеспечивающий снижение как базальной, так и постпрандиальной
концентрации глюкозы в крови. Метформин не стимулирует секрецию инсулина и
поэтому не обусловливает гипогликемию. Сахароснижающее действие метформина,
вероятно, обусловлено такими механизмами: снижение выработки глюкозы в печени
за счет угнетения глюконеогенеза и гликогенолиза; повышении чувствительности
мышечной ткани к инсулину, что улучшает поглощение глюкозы на периферии и ее
утилизацию; уменьшение всасывания глюкозы в кишечнике. Метформин, действуя на
гликогенсинтетазу, стимулирует внутриклеточный синтез гликогена, увеличивает
транспортную емкость для глюкозы всех известных до этого времени мембранных
транспортных протеинов (GLUT). У человека метформин положительно влияет на
жировой обмен независимо от его влияния на уровень глюкозы в крови, снижает
уровень ХС, ХС ЛПНП, ТГ в плазме крови. Снижая содержание ТГ в сыворотке крови,
он также оказывает противотромботическое действие.
После перорального приема метформина его максимальная
концентрация в плазме крови достигается через 2,5 ч, абсолютная биодоступность
составляет 50-60%.
При пероральном приеме всасывание метформина неполное и имеет
характер насыщения; считается, что метформин имеет нелинейную фармакокинетику.
При применении препарата в обычной дозе и с обычными интервалами состояние
равновесия концентрации в плазме крови достигается через 24-48 ч. Связывание с
белками плазмы крови можно не учитывать. Метформин переходит в эритроциты.
Максимальная концентрация в цельной крови ниже, чем в плазме крови, и
устанавливается приблизительно в то же время. Метформин выводится в
неизмененном состоянии с мочой. У человека продукты распада до этого времени не
определены. Ренальный клиренс метформина 400 мл/мин, что указывает на выведение
метформина за счет клубочковой фильтрации и канальцевой секреции. При
перорально принятой дозе время полувыведения составляет 6,5 ч. При ухудшении
функции почек ренальный клиренс снижается пропорционально клиренсу креатинина,
увеличивая таким образом период полувыведения и повышая концентрацию метформина
в плазме крови.
Фармакокинетика.
После приема внутрь Cmax в плазме крови
достигается примерно через 2.5 ч. При приеме пищи всасывание уменьшается и
слегка замедляется. Cmax метформина в плазме при максимальной
дозировке не превышает 4 мкг/мл. Абсолютная биодоступность у здоровых пациентов
составляет приблизительно 50-60%.
Практически не связывается с белками плазмы. Средний Vd
составляет 63-276 л.
Выводится с мочой в неизмененном виде. Почечный клиренс
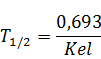
составляет более 400 мл/мин. После приема внутрь T1/2 составляет
около 6.5 ч.
Фармакокинетика в особых клинических случаях
При снижении функции почек клиренс снижается пропорционально
клиренсу креатинина. Таким образом, T1/2 удлиняется и концентрация
метформина в плазме повышается.
Показание.
Инсулиннезависимый сахарный диабет (II типа), особенно у лиц
с избыточной массой тела в тех случаях, когда удовлетворительной компенсации
состояния с помощью диетотерапии и повышения физической активности не удается
достичь.
Режим дозирования.
Дозу препарата устанавливают индивидуально в зависимости от
уровня глюкозы в крови. Терапию следует проводить с постепенным увеличением
дозы, начиная с 0.5-1 г (1-2 таб.) Максимальная суточная доза препарата Сиофор
500 - 3 г (6 таб.), препарата Сиофор 850 - 2.55 г (3 таб.).
Средняя суточная доза препарата Сиофор 1000
составляет 2 г (2 таб.). Максимальная суточная доза препарата Сиофор 1000
- 3 г (3 таб.).
Препарат следует принимать во время приема пищи, не
разжевывая, запивая достаточным количеством жидкости.
Если суточная доза препарата составляет более 1 таб., ее надо
разделить на 2-3 приема. Длительность применения препарата Сиофор определяется
врачом.
Пропущенный прием препарата не следует компенсировать путем
однократного приема соответственно большего количества таблеток.
Побочное действие.
Со стороны нервной системы: часто - нарушение вкуса.
Со стороны жкт: очень часто - тошнота,
рвота, диарея, боль в животе, потеря аппетита, металлический привкус во рту,
метеоризм. Эти явления возникают в начале лечения и в большинстве случаев
проходят самостоятельно. С целью их профилактики дозу метформина необходимо
распределять на 2-3 приема и применять во время или после еды. Медленное
повышение дозы улучшает переносимость препарата со стороны ЖКТ.
Со стороны кожи и подкожно-жировой ткани: очень редко - кожные
реакции, например, гиперемия, зуд, крапивница.
Со стороны обмена веществ: очень редко - уменьшение
всасывания витамина В12 и снижение его уровня в плазме крови при
продолжительном применении метформина гидрохлорида. У пациентов из
мегалобластной анемией это следует рассматривать как возможную причину;
лактатацидоз.
Со стороны печени и желчевыводящих путей: очень редко - нарушение
функции печени или гепатит, которые имеют обратимый характер после прекращения
применения метформина гидрохлорида.
Противопоказание.
сахарный диабет типа 1;
полное прекращение собственной секреции инсулина в организме
при сахарном диабете типа 2;
диабетический кетоацидоз, диабетическая прекома, кома;
нарушения функции печени и/или почек;
инфаркт миокарда;
сердечно-сосудистая недостаточность;
дегидратация;
тяжелые заболевания легких с дыхательной недостаточностью;
тяжелые инфекционные заболевания;
операции, травмы;
катаболические состояния (состояния с усиленными процессами
распада, например, при опухолевых заболеваниях);
гипоксические состояния;
хронический алкоголизм;
лактацидоз (в т. ч. в анамнезе);
беременность;
лактация (грудное вскармливание);
соблюдение диеты с ограничением калорийности пищи (менее 1000
ккал/сут);
детский возраст;
применение в течение 48 ч и менее до и в течение 48 ч после
проведения радиоизотопных или рентгенологических исследований с введением
йодсодержащего контрастного средства (Сиофор®1000);
повышенная чувствительность к компонентам препарата.
С осторожностью следует применять препарат у лиц
старше 60 лет, выполняющих тяжелую физическую работу, что связано с повышением
риском развития у них лактацидоза.
Особые указания
Перед назначением препарата, а также через каждые 6 мес
необходимо контролировать функции печени и почек.
Необходимо контролировать уровень лактата в крови не менее 2
раз в год.
Курс лечения препаратом Сиофор 500 и Сиофор 850
необходимо заменить терапией другими гипогликемическими препаратами (например,
инсулином) за 2 дня до рентгенологического исследования с в/в введением
йодсодержащих контрастных веществ, а также за 2 дня до операции под общей
анестезией, и продолжить эту терапию еще в течение 2 дней после данного
обследования или после операции.
При комбинированной терапии с производными сульфонилмочевины
необходим тщательный контроль уровня глюкозы в крови.
Влияние на способность к вождению автотранспорта и управлению
механизмами. При применении препарата Сиофор не рекомендуется заниматься видами
деятельности, требующей концентрации внимания и быстрых психомоторных реакций
из-за риска развития гипогликемии.
Лекарственное взаимодействие.
При одновременном применении с производными сульфонилмочевины,
акарбозой, инсулином, НПВС, ингибиторами МАО, окситетрациклином
<#"576919.files/image004.gif">
Фармакодинамика.
Кислота тиоктовая (альфа-липоевая) - эндогенный антиоксидант,
образуется в организме при окислительном декарбоксилировании альфа-кетокислот.
Как кофермент митохондриальных мультиферментных комплексов участвует в
окислительном декарбоксилировании пировиноградной кислоты и альфа-кетокислот.
Способствует снижению уровня глюкозы в крови и повышению
содержания гликогена в печени, а также преодолению инсулинорезистентности. По
характеру биохимического действия близка к витаминам группы В.
Участвует в регулировании липидного и углеводного обменов,
стимулирует обмен ХС, улучшает функцию печени, обладает детоксикационным
действием при отравлениях солями тяжелых металлов и при некоторых других экзо -
и эндоинтоксикациях. Обладает также гепатопротекторным, гиполипидемическим,
гипохолестеринемическим, гипогликемическим действием.
Применение трометамоловой соли тиоктовой кислоты в р-рах для в/в
введения уменьшает выраженность побочных реакций.
Гипергликемия, вызванная сахарным диабетом, приводит к накоплению
глюкозы на матричных белках кровеносных сосудов и формированию так называемых
конечных продуктов избыточного гликозилирования. Этот процесс приводит к
снижению эндоневрального кровотока и эндоневральной гипоксии/ишемии, которые
сочетаются с повышенной продукцией свободных кислородных радикалов, что
приводит к повреждению периферических нервов. Кроме того, продемонстрировано
истощение содержания в периферических нервах таких антиоксидантов, как
глутатион.
В исследованиях на крысах показано, что альфа-липоевая кислота
влияет на биохимические процессы, вызванные стрептозотоцин-индуцированным
сахарным диабетом, что приводит к улучшению эндоневрального кровотока и
повышению уровня физиологического антиоксиданта глутатиона, а также как
антиоксидант снижает количество свободных радикалов кислорода в диабетически
измененном нерве. Эти эффекты, отмечаемые в эксперименте, указывают на то, что
функция периферических нервов при сахарном диабете может быть улучшена с
помощью альфа-липоевой кислоты. В первую очередь это относится к сенсорным
нарушениям при диабетической полинейропатии, которая может проявиться такими
формами парестезии, как ощущение жжения, боли, онемения и формикация.
В эксперименте действие альфа-липоевой кислоты подобно действию
инсулина, которое выражается в активации усвоения глюкозы нервными, мышечными и
жировыми клетками с помощью фосфатидил-инозитол-3-киназы.
Фармакокинетика.
При применении внутрь происходит быстрое всасывание альфа-липоевой
кислоты. Благодаря быстрому распределению в тканях, T1/2
альфа-липоевой кислоты составляет приблизительно 25 мин. Cmax в
плазме крови на уровне 4 мкг/мл отмечена приблизительно через 30 мин после
приема внутрь 600 мг альфа-липоевой кислоты. Биотрансформация происходит
преимущественно за счет окислительного сокращения боковых цепочек (β-окисление) и/или S-метилирования
соответствующих тиолов.
Благодаря значительному эффекту первого прохождения абсолютная
биодоступность альфа-липоевой кислоты (которая определяется как материнская
субстанция) при приеме таблеток Тиоктацида, покрытых оболочкой, составляет
приблизительно 25% по сравнению с таковой при в/в введении. Подобно р-ру для
перорального применения, являющегося стандартом лекарственной формы с максимальным
всасыванием, у таблеток Тиоктацида 600 HR - профиль абсорбции с быстрым
высвобождением активного вещества, который сопровождается снижением
индивидуальной вариабельности. Относительная биодоступность Тиоктацида 600 HR
(по сравнению с р-ром для перорального применения) составляет >60%. T1/2
из плазмы крови после в/в введения составляет 20-50 мин. Общий плазменный
клиренс - 10-15 мин.
Показание.
Диабетическая и алкогольная полинейропатия, гиперлипидемия,
жировая дистрофия печени, цирроз печени и гепатиты, интоксикации (в том числе
солями тяжелых металлов, токсинами бледной поганки), лечение и профилактика
коронарного атеросклероза.
Режим дозирования.
При выраженных нарушениях чувствительности при тяжелой
диабетической полиневропатии назначают в/в в начальной дозе 600 мг/сут (1 амп.)
в течение 2-4 недель. В дальнейшем возможно назначение препарата в дозе 300
мг/сут.
Побочное действие.
Таблетки В отдельных случаях сообщалось о развитии такой
желудочно-кишечной симптоматики, как тошнота, рвота, боль в желудке и
кишечнике, а также диарея.
В отдельных случаях могут возникать аллергические реакции, такие
как кожная сыпь, крапивница и зуд.
В отдельных случаях из-за улучшения утилизации глюкозы может
снизиться ее уровень в крови, что может проявляться типичной гипогликемической
симптоматикой (головокружение, повышенная потливость, головная боль и нарушения
зрения).
Р-р для инъекций
Со стороны ЦНС: при быстром в/в введении возможно повышение
внутричерепного давления, остановка дыхания. В некоторых случаях после в/в
введения наблюдались судороги, диплопия.
Со стороны системы крови: точечные кровоизлияния, склонность к
кровотечениям, тромбофлебит, пурпура, нарушение функции тромбоцитов.
Аллергические реакции: кожная сыпь, крапивница, зуд; возможны
системные аллергические реакции вплоть до анафилактического шока.
Другие: гипогликемия (вследствие улучшения утилизации глюкозы).
Противопоказание.
Повышенная чувствительность к тиоктовой (α-липоевой) кислоте и другим компонентам
препарата.
Клинические данные о применении препарата у детей и подростков
отсутствуют, поэтому детям и подросткам препарат назначать нельзя.
Особые указания.
Одновременное употребление алкоголя может снизить
эффективность препарата, поэтому рекомендуется воздержаться от приема алкоголя
в период лечения, а также между курсами терапии.
У больных сахарным диабетом, особенно в начале лечения,
необходим регулярный контроль уровня глюкозы в крови.
Применение препарата в период беременности и кормления грудью
возможно только после тщательного сопоставления пользы и риска. При этом
лечение альфа-липоевой кислотой должно проводиться только под врачебным
контролем. Токсикологические исследования не продемонстрировали репродуктивной
токсичности препарата и эмбриотоксического действия. В настоящее время нет сведений
о способности альфа-липоевой кислоты проникать в грудное молоко.
При применении препарата следует воздержаться от управления
транспортными средствами и работы с потенциально опасными механизмами.
Лекарственное взаимодействие.
При одновременном назначении с Тиоктацидом 600 отмечается снижение
эффективности цисплатина <#"576919.files/image005.gif">
Фармакодинамика.
Активным веществом препарата являются так называемые
эссенциальные фосфолипиды (EPL-субстанция), которые представляют собой
высокоочищенную фракцию фосфатидилхолина. Определяющим компонентом этой фракции
является дилинолеоилфосфатидилхолин. Эссенциальные фосфолипиды по своей
химической структуре подобны эндогенным мембранным фосфолипидам, превосходя их
по своим функциональным свойствам за счет высокого содержания в них
полиненасыщенных жирных кислот, особенно линолевой кислоты. Фосфолипиды
являются основными структурными элементами клеточных мембран и органел. Они
принимают участие в дифференциации, делении и регенерации клеток.
Функциональное значение фосфолипидов основывается на их
амфифильных свойствах, которые позволяют регулировать проницаемость клеточной
оболочки. Они улучшают функцию мембран, в частности ионный обмен, процесс
внутриклеточного дыхания, биологического окисления, влияют на связывание
ферментов внутриклеточного дыхания в митохондриях, а также на процесс
окислительного фосфорилирования в энергетическом обмене клеток. В
физиологических условиях синтез фосфолипидов удовлетворяет нормальные
потребности гепатоцитов, которые содержат достаточное количество фосфолипидов.
Известно, что структура клеточных мембран и функция ферментных систем при
заболеваниях печени нарушаются. Нарушается биосинтез фосфолипидов, дефицит
которых приводит к нарушению функции клеточной мембраны. Эти процессы особенно
выражены в митохондриях, которые приблизительно на 30% состоят из фосфолипидов
и в которых осуществляются важнейшие обменные процессы, в том числе
окислительное фосфорилирование. При дефиците фосфолипидов происходит нарушение
жирового обмена, что приводит к жировой дистрофии печени. Благодаря своим фармакологическим
свойствам Эссенциале устраняет указанные нарушения, способствует регенерации
клеточных мембран, реактивирует нарушенные мембраносвязанные ферментные системы
и рецепторы, повышает детоксикационную способность печени и таким образом
нормализует ее функцию.
Фармакокинетика.
Период полувыведения для холинового компонента состав
Эссенциале форте Н капс.300 мг. является 66 часов, для насыщенных жирных кислот
- 32 часа.
В исследованиях по фармакокинетике в человеческом организме
менее 5% каждого из введённых изотопов Н3 и С14 выделялось с фекалиями.
После приема внутрь хорошо абсорбируется. Абсолютная
биодоступность составляет 93%, не зависит от приема пищи. Обладает очень низкой
липофильностью, не проникает через ГЭБ. Связывание с белками плазмы - частичное.
Обнаруживается в плазме уже через 10 мин, Cmax достигается в крови
через 1-2 ч. В организме деглицинируется с образованием активного метаболита
десглимидодрина и аминоуксусной кислоты, десглимидодрин образуется во многих
тканях, обладает значительно более сильным сосудосуживающим
(симпатомиметическим) действием. Окончательный метаболизм происходит в печени.
При приеме внутрь и в/в введении T1/2 из плазмы составляет 3-4 ч.
Показание.
Жировая дегенерация печени (также при диабете); острые и
хронические гепатиты, цирроз, некроз клеток печени, печёночная кома и прекома,
токсические поражения печени, включая токсикозы беременности; пред - и
послеоперационное лечение, особенно при операциях в области гепатобилиарной
зоны; псориаз, нейродермиты; радиационный синдром.
Режим дозирования.
Капсулы При отсутствии иных рекомендаций врача,
первоначальная доза: 2 капсулы 3 раза в день, поддерживающая доза: 1 капсула 3
раза в день. Принимать капсулы во время приёма пищи, не разжёвывая, запивая
небольшим количеством воды.
Внутривенные инъекции.
Взрослым и детям назначают внутривенно медленно 5-10 мл в
сутки, а в тяжёлых случаях - от 10 до 20 мл в сутки. За один раз допустимо
вводить до 10 мл препарата. Если препарат вводят разведённым, то рекомендуется
использовать собственную кровь пациента и разводить препарат в соотношении 1:
. Внутривенные инъекции обычно применяют в течении 10 дней.
Рекомендуется как можно раньше поддержать (дополнить) парентеральную терапию
приёмом капсул Эссенциале.
Побочные действия.
Эссенциале форте Н обычно хорошо переносится больными,
однако, редко может отмечаться чувство дискомфорта в области живота,
послабление стула. Возможны аллергические реакции.
Противопоказание.
Не следует применять препарат в случае повышенной
чувствительности к какому-либо компоненту.
Раствор для внутривенного введения не следует назначать
новорождённым и недоношенным детям, так как в состав Эссенциале форте Н входит
бензиловый спирт.
Лекарственное взаимодействие.
До настоящего времени неизвестно.
Для разведения раствора для внутривенного введения не следует
использовать растворы электролитов.
Д) Взаимодействие препаратов.
Манинил и Сиофор.
1) В инфузионном растворе - применяются только в виде
твердой лекарственной формы для приема внутрь, а значит в инфузионном растворе
взаимодействие данных препаратов проследить нельзя.
2) В процессе всасывания в ЖКТ - влияние препаратов на
всасываемость друг друга отсутствует, так как Манинил применяется перед
завтраком 1 раз в сутки, Сиофор применяется после еды, если же суточная доза
составляет более 1 таблетки (500-850 мг), то ее необходимо разделить на 2 -
приема. Препараты хорошо всасываются в ЖКТ.
) В процессе метаболизма печени - препараты не
взаимодействуют, т.к. их прием не совпадает. Препараты метаболизируются в
печени. Манинил выводится в виде неактивных метаболитов, только одни выводятся
почками, другие с желчью. Сиофор выводится с мочой в неизмененном виде.
Поскольку Манинил выводится почками в виде неактивных метаболитов, то
взаимодействие с Сиофором не будет наблюдаться.
) На уровне эффекторного органа - препараты
способствуют усилению гипогликемического эффекта. Дозу препарата устанавливают
индивидуально в зависимости от уровня глюкозы в крови.
) В процессе элиминации - взаимодействие отсутствует,
так как основная часть метаболитов выводится через почки с различной скоростью.
Манинил экскретируется почками с мочой и с желчью (T1/2 - 1.5-3.5
ч). Сиофор выводится в неизменном виде (T1/2 - 6.5 ч)
Манинил и Тиоктацид.
1) В инфузионном растворе - Тиоктацид может
применяться как в виде инъекционного раствора, так и в виде твердой
лекарственной для перорального применения, а манинил применяться только в виде
твердой лекарственной формы для према внутрь, а значит в инфузионном растворе
взаимодействие данных препаратов проследить нельзя.
2) В процессе всасывания в ЖКТ - У данных препаратов
отсутствует влияние на всасываемость в ЖКТ, т.к. механизмы абсорбции данных
препаратов различны.
3) В процессе метаболизма печени - у данных
препаратов отсутствует взаимодействие т.к. тиоктацид практически не
метаболизируется и выводиться в основном в неизменном виде, а манинил
подвергается процессам биотрансформации в печени, с образованием неактивного
метаболита, который выводится почками и с желчью.
4) На уровне эффекторного органа - влияние этих двух
препаратов отсутствует, т.к. мананил оказывает гиполипидемическое действие,
увеличивает высвобождение инсулина, усиливает действие инсулина на поглощение
глюкозы мышцами и печенью, тем самым снижает концентрацию глюкозы в крови.
Тиоктацид оказывает антитоксическое действие и защищает клетку от воздействия
свободных радикалов
) В процессе элиминации - у данных препаратов
отсутствует влияние друг на друга.
Манинил и Эссенциале форте.
1) В инфузионном растворе - Манинил применяется
только виде твердой лекарственной форме, а эссенциале как виде твердой
лекарственно й формы, так и виде инъекционного раствора, а значит в инфузионном
растворе взаимодействие данных препаратов проследить нельзя.
2) В процессе всасывания в ЖКТ - У данных препаратов
отсутствует влияние на всасываемость в ЖКТ, т.к. механизмы абсорбции данных
препаратов различны.
3) В процессе метаболизма печени - препараты не
взаимодействуют, т.к. их прием не совпадает. Препараты метаболизируются в
печени. Манинил выводится в виде неактивных метаболитов, только одни выводятся
почками, другие с желчью. Эссенциали выводится с фекалиями не мене чем 5 %,
следовательно взаимодействие препаратов не будет наблюдаться.
) На уровне эффекторного органа - влияние этих двух
препаратов отсутствует, т.к. Мананил оказывает гиполипидемическое действие.
Эссенциале форте нормализует метаболизм и процессы микроциркуляции в печени,
также оказывает нормализующее влияние на липидный состав крови.
) В процессе элиминации - у данных препаратов
отсутствует влияние друг на друга, т.к. экскреция данных препаратов и их
метаболитов осуществляется разными путями. Манинил выводится виде неактивных
метаболитов почками с мочой и с желчью, эссенциали с фекалиями.
Сиофор и Тиоктацид.
1) В инфузионном растворе - Тиоктацид может применяться
как в виде инъекционного раствора, так и в виде твердой лекарственной для
перорального применения, а Сиофор применяться только в виде твердой
лекарственной формы, а значит в инфузионном растворе взаимодействие данных
препаратов проследить нельзя.
2) В процессе всасывания в ЖКТ - У данных препаратов
отсутствует влияние на всасываемость в ЖКТ, т.к. механизмы абсорбции данных
препаратов различны.
3) В процессе метаболизма печени - у данных
препаратов возможно взаимодействие, т.к. они не подвергаются биотрансформации в
печени и выводятся из организма в неизменном виде.
4) На уровне эффекторного органа - влияние этих двух
препаратов отсутствует т.к. Сиофор оказывает выраженное гиполипидемическое
действие, Тиоктацид оказывает антитоксическое действие и защищает клетку от
воздействия свободных радикалов.
) В процессе элиминации - препараты выводятся
почками в неизменном виде, но обладают разными периодами полувыведения. У
Сиофора T1/2 - 6.5 ч., у Тиоктацида T1/2 20-50 мин.
Сиофор и Эссенциале форте.
1) В инфузионном растворе - Манинил применяется
только виде твердой лекарственной форме, а Эссенциале как виде твердой
лекарственно й формы, так и виде инъекционного раствора, а значит в инфузионном
растворе взаимодействие данных препаратов проследить нельзя.
2) В процессе всасывания в ЖКТ - У данных препаратов
отсутствует влияние на всасываемость в ЖКТ, т.к. механизмы абсорбции данных
препаратов различны.
3) В процессе метаболизма печени - препараты не
взаимодействуют, т.к. их прием не совпадает. Эссенциале форте подвергается
биотрансформации в печени, выводится с фекалиями. Сиофор не подвергается
биотрансформации и выводится в неизмененном виде с мочой.
) На уровне эффекторного органа - влияние этих двух
препаратов отсутствует, т.к. Сиофор оказывает гиполипидемическое действие.
Эссенциале форте нормализует метаболизм и процессы микроциркуляции в печени.
) В процессе элиминации - у данных препаратов
отсутствует влияние друг на друга, т.к. экскреция данных препаратов и их
метаболитов осуществляется разными путями.
Тиоктицид и Эссенциале форте.
1) В инфузионном растворе - в инфузионном растворе
взаимодействие данных препаратов проследить нельзя т.к. Тиоктацид растворяют
только в инфузионном растворе, а Эссенциале рекомендуется использовать для
разведения собственную кровь пациента и разводить препарат в соотношении 1: 1.
2) В процессе всасывания в ЖКТ - возможно взаимодействие,
поскольку препараты могут применятся инъекций, точного изучения их
взаимодействия не проводилось.
3) В процессе метаболизма печени - препараты не взаимодействуют,
т.к. их прием не совпадает. Эссенциале форте подвергается биотрансформации в
печени, выводится с фекалиями. Тиоктацид не подвергается биотрансформации и
выводится в неизмененном виде с мочой (80-90%)
) На уровне эффекторного органа - Влияние этих двух
препаратов отсутствует т.к. Эссенциале форте нормализует метаболизм и процессы
микроциркуляции в печени. Тиоктацид оказывает антитоксическое действие и
защищает клетку от воздействия свободных радикалов.
) В процессе элиминации - у данных препаратов
отсутствует влияние друг на друга, т.к. экскреция данных препаратов и их
метаболитов осуществляется разными путями.
Е) Анализ Результатов взаимодействия назначенных
лекарств.
Назначенные препараты вводятся как перорально, так виде
внуртивенных инъекций. Для достижения необходимых результатов в лечении и во
избежания физического и химического взаимодействия выбранных групп препаратов,
следует назначать их в разное время суток и в определенное время с учетом
периодов полувыведения их из организма, путей биотрансформации в печени.
Ж) Выбор методов контроля эффективности и безопасности
лекарственной терапии.
Контроль качества лекарственных средств проводят на основании
приказа Министерства здравоохранения Российской Федерации от 4 апреля 2003 г. N
137 "Об утверждении порядка осуществления государственного контроля
качества лекарственных средств на территории Российской Федерации".
Предварительный контроль качества лекарственных средств.
. Предварительному контролю качества подлежат лекарственные
средства, произведенные предприятиями - производителями лекарственных средств
на территории Российской Федерации:
впервые производимые предприятием-производителем;
впервые ввозимые на территорию Российской Федерации;
выпускаемые по измененной технологии;
выпускаемые после перерыва производства данного
лекарственного
средства от трех лет и более;
в связи с ухудшением их качества.
. Процедура предварительного контроля качества лекарственных
средств включает следующие этапы:
направление предприятием-производителем в Минздрав России
заявки с комплектом необходимых документов;
анализ документов и выдача Минздравом России разрешения на
проведение предварительного контроля качества лекарственных средств;
отбор образцов лекарственных средств для целей
предварительного контроля качества лекарственных средств;
направление на экспертизу качества лекарственных средств
образцов лекарственных средств;
проведение экспертизы качества представленных образцов
лекарственных средств;
принятие Минздравом России решения по результатам проведенной
экспертизы качества лекарственных средств.
. Предприятия-производители, впервые начинающие серийный
выпуск лекарственного средства, должны направить на предварительный контроль
качества лекарственных средств образцы первых трех промышленных серий этого
лекарственного средства по мере их наработки.
При проведении по решению Минздрава России предварительного
контроля качества лекарственного средства в связи с ухудшением его качества
контролю подлежат пять очередных серий лекарственного средства.
. При изменении наименования лекарственного средства
предприятие-производитель направляет на предварительный контроль качества
лекарственных средств одну серию переименованного лекарственного средства.
. Экспертиза качества лекарственного средства проводится в
срок, не превышающий 30 рабочих дней со дня поступления образцов лекарственного
средства и комплекта документов, если в государственном стандарте качества не
предусмотрены методы контроля качества, требующие более длительных сроков
выполнения экспертизы качества этого лекарственного средства.
. По окончании экспертизы качества лекарственного средства
результаты с протоколом анализа направляются в Минздрав России и
предприятию-производителю.
. При наличии замечаний к качеству лекарственного средства по
результатам проведения экспертизы качества этого лекарственного средства оно не
подлежит снятию с предварительного контроля. Количество серий лекарственного
средства, направляемого предприятием-производителем на повторный
предварительный контроль, определяет Минздрав России на основании результатов
экспертизы качества лекарственного средства.
Выборочный контроль качества лекарственных средств 1.
Выборочному контролю качества лекарственных средств подлежат лекарственные
средства отечественного и зарубежного производства, находящиеся в сфере
обращения лекарственных средств в Российской Федерации.
. Процедура выборочного контроля качества лекарственных
средств включает следующие этапы:
принятие Минздравом России решения о проведении выборочного
контроля качества лекарственных средств в соответствии с утвержденным планом
выборочного контроля качества лекарственных средств;
отбор образцов лекарственных средств для целей выборочного
контроля качества лекарственных средств;
направление на экспертизу качества лекарственных средств
образцов лекарственных средств;
проведение экспертизы качества представленных образцов
лекарственных средств;
принятие Минздравом России решения по результатам проведенной
экспертизы качества лекарственного средства.
. Экспертиза качества лекарственного средства проводится в
срок, не превышающий 40 рабочих дней со дня получения образцов лекарственного
средства и комплекта документов;
. Результаты экспертизы качества лекарственного средства в
рамках выборочного контроля качества лекарственных средств направляются в
Минздрав России и предприятию-производителю.
. При выявлении несоответствия качества лекарственного
средства предприятия-производителя требованиям государственного стандарта
качества Минздрав России направляет информацию об изъятии партии некачественного
лекарственного средства в территориальные органы контроля качества
лекарственных средств.
. При возникновении сомнений в достоверности данных,
полученных в результате проверки сопроводительной документации и контроля
качества лекарственного средства по показателям "описание",
"упаковка", "маркировка" могут проводиться дополнительные
испытания.
Повторный выборочный контроль качества лекарственных средств
1. Повторному выборочному контролю качества лекарственных средств подлежат
лекарственные средства в случае возникновения споров об их качестве между
субъектами обращения лекарственных средств.
. Повторный выборочный контроль качества лекарственных
средств проводится по решению Минздрава России.
. Процедура повторного выборочного контроля качества
лекарственных средств включает следующие этапы:
направление предприятием-производителем в Минздрав России
заявки на повторный выборочный контроль качества лекарственного средства и
необходимых документов с обоснованием необходимости его проведения;
рассмотрение Минздравом России представленных документов и
принятие решения о проведении повторного выборочного контроля качества
лекарственных средств;
отбор образцов лекарственных средств для целей повторного
выборочного контроля качества лекарственных средств;
направление на экспертизу качества лекарственных средств
образцов лекарственных средств в соответствии;
проведение экспертизы качества представленных образцов
лекарственных средств;
принятие Минздравом России решения по представленным
результатам экспертизы качества лекарственного средства.
. На повторный выборочный контроль качества лекарственных
средств лекарственные средства могут направляться участником обращения
лекарственных средств, выявившим несоответствие лекарственных средств
требованиям государственных стандартов качества, и предприятием-производителем,
которое направляет на повторный выборочный контроль архивные образцы данного
лекарственного средства.
. Решение о проведении повторного выборочного контроля
качества лекарственного средства принимается Минздравом России в течение 20
рабочих дней с даты поступления заявки и документов.
. Результаты экспертизы качества лекарственного средства с
протоколом анализа направляются в Минздрав России и субъектам обращения
лекарственных средств, представившим образцы лекарственного средства на
повторный выборочный контроль качества лекарственных средств.
Определение эффективности и безопасности
назначенных препаратов можно проводить по лабораторным, параклиническим и
химическим методам.
Лабораторные и параклинические методы позволяют
оцеть действие препарата на организм, а химические методы позволяют установить
качество применяемого препарат (что особенно важно в современных условиях)
путем проведения реакций подлинности и доброкачественности.
Манинил
Эффективность и безопасность применения Манинила
можно проверить только с помощью лабораторных показателей. Для этого пациентам
следует регулярно, а особенно в первые дни лечения, контролировать уровень
глюкозы натощак, после приема пищи, а также суточный уровень глюкозы в крови
или моче.
Сиофор.
Лабораторные исследования для Сиофора заключаются в
контролировании функции печени и почек каждые 6 мес. Необходимо контролировать
уровень лактата в крови не менее 2 раз в год. И при совместно применении с
препаратами сульфонилмочевины нужно регулировать уровень глюкозы в крови.
Тиоктацид.
Лабораторные методы исследования для Тиоктацида так же
заключаются в диагностике уровня глюкозы в крови. Применение препарата в период
беременности и кормления грудью возможно только после тщательного сопоставления
пользы и риска. При этом лечение альфа-липоевой кислотой должно проводиться
только под врачебным контролем.
Эссенциале форте.
Необходимо применять только по назначению врача. Соблюдать
правила приема. При в/в необходимо следить за тем, что бы раствор не разводили
с растворами электролитов
З) Расчёт доз препаратов и основных
фармакокинетических показателей.
Для расчетов доз лекарственных препаратов необходимо
использовать метод математического моделирования фармакокинетических процессов.
При проведении расчетов я использовала однокамерную фармакокинетическую модель.
Она предполагает, что изменение концентрации лекарственного средства в плазме
отражает его содержание в тканях, т.е. я использовала линейную зависимость
терапевтического эффекта от принимаемой дозы, так как ни один из выбранных мною
препаратов не обладает свойством кумуляции как к материальной (накапливается
вещество в организме), так и к функциональной ("накапливается" эффект
принимаемого препарата).
Объем распределения (Vd) - гипотетический объем
жидкости, необходимой для равномерного распределения всего количества ЛС
(введенной дозы) в концентрации, аналогичной таковой в плазме крови.
Где V крови - объём крови (5л для взрослого человека);-
биодоступность.
Константа скорости элиминации (Кel) - процент снижения
концентрации вещества в крови в единицу времени. Эта величина характеризует
элиминацию в рамках однокамерной модели при линейном характере процесса
выведения.
Период полувыведения (T1/2) - характеризует скорость
уменьшeния содержания препарата в исследуемых жидкостях и тканях организма.
Он равен времени, за которое концентрация препарата
уменьшается вдвое.
Между Т1/2 и константой скорости элиминации
лекарственного препарата из плазмы крови (Кel) существует простая связь:
Где 0,693 - константа связи между Кel и T1/2 при
фармакокинетическом моделировании 
.1/2 также выражает связь между Vd и С1. В простейшем
случае он равен:
Клиренс (С1) - параметр, характеризующий скорость выведения лекарства из организма.
Он показывает объем плазмы или крови, полностью освобождающийся от ЛС в единицу
времени (мл/мин или л/ч).- это комбинированный фармакокинетический параметр,
равный произведению константы скорости выведения (элиминации) вещества из
организма на Vd.
Равновесная (стационарная) концентрация (Css) - концентрация, достигнутая при состоянии,
характеризующемся одинаковой скоростью поступления и выведения ЛС.
Она равна по величине средней терапевтической. На практике Css
вещества можно вычислить по его концентрации в крови после однократного
введения:
Где Css - равновесная концентрация;- биодоступность;-
доза ЛС;
Кel - константа скорости элиминации;- объем распределения;
Δt - интервал времени между приемами.
Если вместо константы элиминации использовать Т1/2, то
формула приобретает следующий вид:
Поддерживающая доза (ПД). В большинстве клинических ситуаций лекарство вводят так, чтобы
поддерживать его постоянный уровень в организме, т.е. с каждой дозой должно
вводиться количество препарата, достаточное для восполнения элиминированного
после предыдущей дозы. Для расчета поддерживающей дозы используют значение
клиренса:
Где Сl - общий клиренс;ss - равновесная концентрация;
Δt - интервал времени между приемами;-
биодоступность.
Площадь под кривой (AUC) - (от англ. Area Under the Сurve) площадь, ограниченная осями
координат и кривой концентрации препарата в крови или тканях и отражающая общее
количество лекарства, попавшего в кровоток или находящегося в тканях. Ее
находят пользуясь правилом трапеций или путем интегрирования функции
зависимости "концентрация - время". Чем больше AUC, тем меньше
клиренс препарата:
= D/AUC или Cl = D*F/AUC (в случае перорального приема)
Расчет дозы для препарата Манинил.
F = 59%., T1/2 = 5 ч.= 15 мг 1 раз в сутки.
Объём распределения препарата:
Где V крови - объём крови (5л для взрослого человека).
Общий клиренс:
Равновесная концентрация в плазме:
Поддерживающая доза:
График зависимости концентрации препарата от времени.
Концентрация препарата при всасывании из ЖКТ в зависимости от
времени описывается уравнением:
где Ct - концентрация препарата в момент времени t;-
константа скорости элиминации препарата;- константа скорости абсорбции
препарата;= 2.71
0 = F * D \ V кров = 0,59*15/5 = 1,77 мг/л
Допустим, что eKa
стремится к нулю, то мы можем пренебречь этим значением.
t=
C0
eKel
t
Примем значение t равным T1/2.
C0/2= C0
eKel
T1/2
Kel
T1/2= ln1/2
T1/2 = - 0.693=
0/2= C0
(e-0.1386
T1/2 - eKa
)0.1386
T1/2 - eKa
= 1/2Ka
= e-0.1386
T1/2-1/2
Ka
= -
=-
Подставляя значения C0, Kel и Ka в уравнение
Ct= C0
(eKel
t - eKa
),
получаем следующее уравнение:
Данное уравнение показывает зависимость концентрации манинила в плазме
крови от времени.
Рассчитываем площадь под кривой по формуле:
Расчет дозы для препарата Сиофор.
F = 60%.1/2 = 6.5 ч.= 500 мг 1 раз в сутки.
Объём распределения препарата:
Где Vкрови - объём крови (5л для взрослого человека).
Общий клиренс:
Равновесная концентрация в плазме:
Поддерживающая доза:
График зависимости концентрации препарата от времени.
Концентрация препарата при всасывании из ЖКТ в зависимости от
времени описывается уравнением:
Ct= C0
(eKel
t - eKa
)
где Ct - концентрация препарата в момент времени t;-
константа скорости элиминации препарата;- константа скорости абсорбции
препарата;= 2.71
Допустим, что eKa
стремится к нулю, то мы можем пренебречь этим значением.
t=
C0
eKel
t
Примем значение t равным T1/2.
C0/2= C0
eKel
T1/2
Kel
T1/2= ln1/2
T1/2 = - 0.693=
0/2= C0
(e-0.106
T1/2 - eKa
)0.106
T1/2 - eKa
= 1/2Ka
= e-0.106
T1/2-1/2
Ka
= -
=-
Подставляя значения C0, Kel и Ka в уравнение
Ct= C0
(eKel
t - eKa
),
получаем следующее уравнение:
t =
60
Данное уравнение показывает зависимость концентрации Сиофора в
плазме крови от времени.
Рассчитываем площадь под кривой по формуле:
Расчет дозы для препарата Тиоктацид.
F = 60%
D = 600мг
T1/2 = 0,8ч, Vd = 8.33
Рассчитаем ПД.
Общий клиренс:
Равновесная концентрация в плазме:
Поддерживающая доза:
Для в/в болюсного введения Ct = C0*e-kе*t; где
Ct-концентрация препарата в плазме крови в
момент времени t;
C0-концентрация
препарата в плазме крови сразу после внутривенного болюсного введения;
Ke - константа скорости выведения вещества;
t - время.
Для построения кривой концентрация - время для в/в болюсного
введения нам необходимо знать параметры: C0, Ke.
При условии t = t1/2, тогда С0 = 1/2С0.
С0/2=С0
*е-Кe*t
e-kе*t1/2 = 1/2;е*t1/2 = ln1/2;е*t1/2 = - 0,693;е
= - 0,693/-0.5 = 1.386 /ч.
Зная Vd и дозу (Vd = 8,33 л, D = 600 мг),
вычислим C0:
C0 = D/ Vd; C0 = 600мг/8,33л = 72,028811мг/л.
Тогда уравнение примет вид: Ct = 72,028811*e-1.386*t;
Если t=0, то Ct = 72,028811и т.д.
|
t, ч
|
0
|
0.05
|
0.075
|
0.01
|
0.1
|
0.125
|
0.15
|
|
Ct, мг/л
|
72,02881
|
67,22046
|
64,93803
|
71,04038
|
62,73309
|
60,60303
|
58,54529
|
|
t, ч
|
0.2
|
0.3
|
0.4
|
0.5
|
0.6
|
|
Ct, мг/л
|
54,63704
|
47,58583
|
41,44461
|
36,09595
|
31,43757
|
|
t, ч
|
0.7
|
0.8
|
0.9
|
1.2
|
1.4
|
|
Ct, мг/л
|
27,38038
|
23,84679
|
20,76923
|
13,72119
|
10,40813
|
|
t, ч
|
1.7
|
2.0
|
2.5
|
3.0
|
|
Ct, мг/л
|
6,876129
|
4,542714
|
2,2765
|
1,140827
|
Рассчитываем площадь под кривой по формуле:
Расчет дозы для препарата Эссенциале форте
F = 93%.1/2 = 4 ч.= 10 мл
Объём распределения препарата:
Где V крови - объём крови (5л для взрослого человека).
Общий клиренс:
Равновесная концентрация в плазме:
Поддерживающая доза:
Для в/в болюсного введения используют
Ct = C0*e-kе*t; где
Ct-концентрация препарата в плазме крови в момент
времени t;
C0-концентрация препарата в плазме крови сразу
после внутривенного болюсного введения;
Ke - константа скорости выведения вещества;
t - время.
Для построения кривой концентрация - время для в/в болюсного
введения нам необходимо знать параметры: C0, Ke.
При условии t = t1/2, тогда С0 = 1/2С0.
С0/2=С0 *е-Кe*t
e-kе*t1/2 = 1/2;е*t1/2 = ln1/2;е*t1/2 = -
0,693;е = - 0,693/-0.5 =
1.386 /ч.
Зная Vd и дозу (Vd = 5,376 л, D = 10 мл), вычислим C0:
C0 = D/ Vd; C0 = 10мл/5,376 = 1,86011904мг/л.
Тогда уравнение примет вид: Ct = 1,86011904*e-1.386*t;
Если t=0, то Ct = 1,86011904и т.д.
|
t, ч
|
0
|
0,15
|
0.3
|
0.5
|
0.1
|
1
|
1,3
|
|
Ct, мг/л
|
1,860119
|
1,511912
|
1,228887
|
0,932165
|
0,707089
|
0,467138
|
0,308615
|
|
t, ч
|
1,6
|
2
|
2,3
|
2,6
|
2,9
|
|
Ct, мг/л
|
0, 203886
|
0,117314
|
0,077503
|
0,051203
|
0,033827
|
|
t, ч
|
3,2
|
3,5
|
3,8
|
4
|
4,3
|
|
Ct, мг/л
|
0,022348
|
0,014764
|
0,009754
|
0,007399
|
0,004888
|
|
t, ч
|
4,6
|
4,9
|
5,3
|
5,5
|
|
Ct, мг/л
|
0,003229
|
0,002133
|
0,001228
|
0,000931
|
Рассчитываем площадь под кривой по формуле:
И) Клиническая оценка действия, выбранных лекарственных
средств с учётом этиопатогенеза заболевания данного пациента, выбранную
комплексную терапию, считаю наиболее рациональной.
Пациент хорошо переносит назначенную комбинацию лекарственных
средств, чувствует себя хорошо.
1. Клиническая оценка действия Манинила.
Назначают начиная с более низких доз, которые увеличивают
медленно и осторожно, прежде всего это касается пациентов с повышенной
склонностью к гипогликемии и массой тела ≤50 кг. При введении Манинила
необходимо контролировать уровень глюкозы в крови.
Также клинической оценкой является усиление
действия инсулина
на поглощение глюкозы мышцами и печенью, тем самым снижает концентрацию глюкозы
в крови. Необходимо проводить еженедельный анализ крови, один раз в неделю
анализ крови на сахар в крови, взвешивает пациента каждую неделю.
2. Клиническая оценка действие Сиофора.
Дозу препарата устанавливают индивидуально в зависимости от
уровня глюкозы в крови. Терапию следует проводить с постепенным увеличением
дозы, начиная с 0.5-1 г. При применение Сиофора заметно снижение выработки
глюкозы в печени за счет угнетения глюконеогенеза и гликогенолиза. Необходимо
проводить еженедельный анализ крови.
3. Клиническая оценка действия Тиоктацида является снижение
уровня глюкозы в крови, и количество свободных радикалов кислорода в
диабетически измененном нерве. В начале лечения, необходим регулярный контроль
уровня глюкозы в крови.
. Клиническая оценка действия эссенциале форте значительно
повышает детоксикационную способность печени и таким образом нормализует ее
функцию.
К) Лист назначения.
|
Часы приема
|
Название
препарата
|
Доза
|
Путь введения
|
Лекарственная
форма
|
|
7.30
|
Манинил 3.5 (до
еды не разжевывая с достаточным количеством воды)
|
1.75 мг
|
перорально
|
таблетка
|
|
8.00
|
Сиофор (во
время)
|
1000мг
|
перорально
|
таблетка
|
|
9.00
|
Эссенциале
форте
|
10 мг
|
Инъекция
|
раствор
|
|
10.00
|
Тиоктацид 600
|
600 мг
|
Инъекция
|
раствор
|
|
12.00
|
Обед
|
|
|
|
|
14.00
|
|
|
|
|
|
16.00
|
|
|
|
|
|
18.00
|
Ужин Манинил
3.5 (до еды)
|
1.75 мг
|
перорально
|
таблетки
|
|
|
|
|
|
|
Л. Рецепты.
) Rp.: Tab. Maninili 1.75.
t. d. № 10.
По 1 таблетке 1 раз в день до еды.
Синонимы: Глибенкламид, Глибекс, Глибамид.
2) Rp.: Tab. Siofori 1000
D. t. d. №
S. По 1 таблетки на прием 2 раза в день во время еды.
Синонимы: Метформин.
Аналоги: Глиминфор Метформин-Рихтер, Форметин
3) Rp.: Thioctacid 600. t.
d. № 10. По
1 инъекции 1 раз в день
Синонимы: Тиогамма
<http://novosibirsk.003ms.ru/catalog/t/tiogamma.aspx>, Октолипен
<http://novosibirsk.003ms.ru/catalog/o/oktolipen.aspx>, Берлитион
<http://novosibirsk.003ms.ru/catalog/b/berlition.aspx>, Липоевая кислота
<http://novosibirsk.003ms.ru/catalog/l/lipoevaia-kislota.aspx>
Аналоги: Янтарная кислота
<http://003ms.ru/catalog/search_sinonim.aspx?mpn_id=6627>, Тауфон
<http://003ms.ru/catalog/search_sinonim.aspx?mpn_id=5075>, Глицин
<http://003ms.ru/catalog/search_sinonim.aspx?mpn_id=1437>, Таурин
<http://003ms.ru/catalog/search_sinonim.aspx?mpn_id=5074>, Рибоксин
<http://003ms.ru/catalog/search_sinonim.aspx?mpn_id=4282>, Карнитин
<http://003ms.ru/catalog/search_sinonim.aspx?mpn_id=15497>, Корилип
<http://003ms.ru/catalog/search_sinonim.aspx?mpn_id=6911>, Медатерн
<http://003ms.ru/catalog/search_sinonim.aspx?mpn_id=15626>, Кардиона
<http://003ms.ru/catalog/search_sinonim.aspx?mpn_id=11359>.
4) Rp.: Essentiale Forte N 10
D. t. d. № 10
S. По 1 инъекции 1 раз в день
Аналоги: Резалют Про, Эссенциале Н, Фосфонциале.
11. Список
литературы
1. Машковский
М.Д. Лекарства 20 века. - М.: "Новая волна", 2008.
2. Машковский
М.Д. Лекарственные средства. В 2-х томах. - Харьков: "Торсин", 1998.
. Регистр
Лекарственных средств России. Энциклопедия лекарств. Гл. ред. Ю.Ф. Крылов.
Издание 6-е, перераб. И доп. - М.: "РЛС-200", 1999.
. Дедов
И.И., Майоров А.Ю., Суркова Е. В." Сахарный диабет" книга для
пациентов. Москва 2005 г.
. Дедов
И.И., Шестакова М.В., Александров А.А., Галстян Г.Р. и др." Алгоритм
специализированной медицинской помощи больным сахарным диабетом" Москва
2007 г.
. Савельева
Ю. "Лечение диабета" - М.: РИПОЛ классик, 2010. - 64 с. - (Здоровье и
красота).
. Международная
диабетическая ассоциация, 2006 - Общее руководство по лечению сахарного диабета
2 типа.