Тепловой расчёт двигателя

  • Вид работы:
    Контрольная работа
  • Предмет:
    Автотранспорт
  • Язык:
    Русский
    ,
    Формат файла:
    MS Word
    189,37 Кб
  • Опубликовано:
    2012-11-21
Вы можете узнать стоимость помощи в написании студенческой работы.
Помощь в написании работы, которую точно примут!

Тепловой расчёт двигателя

Введение

     Тепловой расчет позволяет  аналитически с достаточной степенью точности определить основные параметры вновь проектируемого или модернизируемого двигателя.

     Рабочий цикл рассчитывают для определения индикаторных, эффективных показателей работы двигателя и температурных условий работы деталей, основных размеров, а также выявления усилий действующих на его детали, построения характеристик и решения рода вопросов динамики двигателя.

     Результаты теплового расчета зависят от совершенства оценки ряда коэффициентов, используемых в расчете и учитывающих особенности проектируемого двигателя. 

     В методической разработке рассмотрен пример расчета дизельного двигателя, пример построения индикаторной диаграммы и пример кинематического и динамического расчетов аналитическим методом в примерах расчетов не учитывается дозарядка и продувка цилиндров.

1.ТЕПЛОВОЙ РАСЧЕТ ДВИГАТЕЛЯ

Тип двигателя                                                                              Д-243

Давление надувочного воздуха                                               pк = 0,18 МПа

Номинальная мощность дизеля                                              Nе = 90    КВт

Номинальная частота вращения                                             n = 2200  мин -1

Степень сжатия                                                                         ε = 16

Коэффициент тактности                                                          τдв = 4

Коэффициент избытка воздуха                                               α = 1,7 

Дизельное топливо  «Л»:

Низшая удельная теплота сгорания топлива                        Qн=42500   кДж/кг

Средний элементарный состав топлива:                               C = 85,7%

                                                                                                   H = 13,1%

                                                                                                   O = 1%

        Состав топлива задается массовым или объемный содержанием основных элементов: углерода С, водорода Н и кислорода О. Нужно иметь ввиду, что в топливе присутствуют также сера  S, азот N и элементы химических соединений в виде антидетонационных, противодымных и других присадок. Расчет ведут для условий сгорания 1кг топлива.

      Параметры рабочего тела. На основе химических реакций сгорания углерода и водорода рассчитывают теоретически необходимое количество воздуха для сгорания 1кг топлива:

     l0 = 1/0.23*(8/3*C+8*H – О)=1/0,23(8/3*0,857+8*0,133 – 0,01) = 14,519 кг.

или

     L0 = l0в = 14,519/28,96 = 0,5013 кмоля.

   μв – масса 1 кмоля воздуха ( μв = 28,96 кг/кмоль)

Количество свежего заряда:

    M1 = αL0 + 1/ μт

μт = - молекулярная масса аров топлива ( для дизельных топлив μт = 180-200 кг/кмоль). В связи с малым значение члена 1/ μт по сравнению с αL0 для упрощения в расчете его не применяют.

    M1 = αL0 = 1,7*0,5013=0,8523 кмоля.

 α – коэффициент избытка воздуха. Влияет на количество выдиляемой теплоты и состав продуктов сгорания. Чем совершение процесс смесеобразования в дизеле, тем меньше значения α и размеры цилиндра могут быть приняты для обеспечения заданной мощности.

   Ориентировочные значения α для автотракторных двигателей на номинальном режиме работы находятся в следующих пределах: для дизелей с неразделимыми камерами сгорания и объемны смесеобразованием – 1,5 – 1,8;

   Общее количество продуктов сгорания ( при α ≥1, т.е. при полном сгорании топлива):

       M2 = αL0 + H/4 + O/32 = 1,7*0,5013 + 0,133/4 + 0,01/32 = 0,8858 кмоля.

   При сгорании в двигателях жидкого топлива всегда происходит приращение кмолей газа M2>M1. Приращение числа кмолей газов происходит в следствии увеличения суммарного количества молекул при химических реакциях распада молекул топлива и образования новых молекул в результате сгорания водорода и участия в реакциях кислорода содержащегося в топливе.

    Химический коэффициент молекулярного изменения горючей смеси:

  β0 = M2/M1 = 0,8858/0,8523 = 1,0394.

 Параметры окружающей среды и остаточные газы.   

Принимаем атмосферные условия: р0 = 0,1 МПа; Т0 = 288 К. Давление надувочного воздуха рк = 0,18 МПа. В зависимости от степени надува принимаются следующие значения давления рк  надувочного воздуха при низком наддуве 1,5 р0;при среднем – (1,5 – 2,2) р0. Принимаем показатель политропы сжатия воздуха в компрессоре nк = 1,65.

    Температура воздуха за компрессором (температура надувочного воздуха):

        Тк = Т0 к/ р0)(nк-1)/n = 288(0,18/0,1)(1,65-1)/1,65 = 288 К.

   Давление и температура остаточных газов:

       Pr = 0,88 рк = 0,88*0,18 = 0,150 МПа.

   Принимаем Тr = 800 К. Выбирая значение Тr , следует учитывать, что при увеличении частоты вращения температура остаточных газов возрастает, а при увеличении степени сжатия и угла опережения подачи топлива снижается. На температуру остаточных газов влияет также состав смеси.

   Процесс впуска. Принимаем температуру подогрева свежего заряда

Δt = 10 °C (Δt варьируется в пределах 10 – 40 °C). Плотность заряда на впуске: ρк = рк 106 /(RвTк) = 0,18*106/(287/288) = 1,728 кг/м3.

        Принимаем  (β2 + ξвп) = 3,3 и ωвп = 90 м/с. Тогда потери давления на впуске в двигатель:

       Δра = (β2 + ξвп) ω2вп ρк10-6/2 = 3,3 * 902 * 1,728 * 10-6/2 = 0,023 МПа,

  где   β – коэффициент затухания скорости движения заряда рассматриваемом сечении цилиндра; ξвп – коэффициент сопротивления впускной системы, отнесенный к наиболее узкому ее сечению; ωвп – средняя скорость движения заряда в наименьшем сечении впускной системы (как правило,  клапане или продувочных окнах).

      По опытным данным, в современных автотракторных двигателях в номинальном режиме (β2 + ξвп) = 2,5 – 4 и ωвп = 50 – 130 м/с.

      Сопротивление впускной системы зависит от многих факторов, в том числе от длинны трубопроводов и их сечения, наличия впускной системы, колен,  их радиуса и числа, от шероховатостей стенок трубопроводов, сопротивлений при просасывании через воздухоочиститель, клапаны.

      С увеличением частоты вращения вала двигателя аэродинамические сопротивления увеличиваются.

      Давление в конце впуска:

          ра = рк - Δра = 0,18 – 0,023 = 0,157 МПа.

      Коэффициент остаточных газов:

           γr =

           γr = (363 + 10) / 800 * 0.158/(16 * 0.157 – 0.158) = 0.158.

     Температура в конце впуска:

      Та = (Тк + Δt + γr Тr) / (1 + γr ) = (363 + 10 +0.031 * 800) / (1 + 0.031) = 386 К.

     Коэффициент наполнения:

         ηv = Tк * (εра – рr)/[(Tk + Δt)(ε – 1)pk)].

        ηv = 363(16 * 0,157 – 0,158)/(363+10)(16-1)*0,18 = 0,848.

    Процесс сжатия. С учетом характерных значения показателя политропы сжатия для заданных параметров двигателя принимаем,  рассчитывая по эмпирической формуле,

        n1 = 1.41 – 100/2200 = 1.37

  По опытным данным для дизелей без наддува n1 = 1,38 – 1,42; для дизелей с наддувом n1 = 1,35 – 1,38.

     Давление в конце сжатия:

    рс = раεn1 = 0.157 * 161.37  = 7 МПа.

    Температура в конце сжатия:

    Тс = Таε n1-1 = 386 * 161,37 – 1 = 1077 К.

    Средняя молярная теплоемкость заряда (воздуха)в конце сжатия:

μсvc=20.16 + 1.74*10-3 Тс = 20,16+1,74*10-3 * 1077 = 22,03 кДж/(кмоль * град)

     Число молей остаточных газов:

      Число молей газов в конце сжатия до сгорания:

   Мс = М1 + Мr = 0.8523 + 0.0264 = 0.8787 кмоля.

       Процесс сгорания. Средняя молярная теплоемкость продуктов сгорания в дизеле:

       μсpz = (20.2 + 0.92/α) + (15.5 + 13.8/α) * 10-4 Tz + 8.314 = (20.2 + 0.92/1.7) +

+ (15.5 + 13.8/1.7) * 10-4 Tz + 8,314 = 29,06 + 0,0024 Tz , кДж/(кмоль * град)

       Число молей газов после сгорания:

            Mz = М2 + Мr = 0,8858 + 0,0264 = 0,9122 кмоля.

       Расчетный коэффициент молекулярного изменения:

           β = Mz  / Мс = 0,9122/0,8787 = 1,0381.

          Принимаем коэффициент использования теплоты ξ = 0,85. Тогда количества теплоты, передаваемой газом во время впрыска при сгорании

кг топлива:

          Q = ξQн  = 0,85 * 42500 = 36125 кДж/кг.

     На значение коэффициента использования теплоты ξ  влияют конструктивные параметры, режимы работы и регулировки двигателя.

     Значение коэффициента использования теплоты ξ варьирует для дизеля в пределах 0,7 – 0,9.

     В дизеле с наддувом для ограничения максимального давления сгорания принимаем меньшее значение степени повышения давления, чем в дизеле без наддува: λ = 1,6.      

          Давление в конце сгорания:

                 pz = pc * λ = 7 * 1.6 = 11.2 МПа.

     Для дизелей с неразделенными камерами сгорания и объемным смесеобразованием  λ = 1,6 – 2,5;

          Температуру в конце сгорания определяют из уравнения сгорания:

             βμсpzTz =  + Тс (μсvc + 8.314λ)

            1,0381 * (29,06 + 0,0024 * Tz) = (0,85 * 42500)/(1,7 * 0,5013*(1+0,031))+

             +1077 * (22,03 + 8,314 * 1,6)

          Решаем уравнение относительно Тz:

               0,0025 Т2z + 30,17 Тz – 79168,2 = 0

          Тz = (-30,17 ±)/2/0,0025 = 2222 К.

          Значения максимальной температуры и давления цикла для современных автотракторных двигателей при работе с полной нагрузкой составляю Тz = 1800 – 2300 К, pz = 5 -12 МПа.

          Степень предварительного расширения:

            ρ = (βТz)/(λТс) = (1,0381 * 2222)/(1,6 * 1077) = 1,339

           Процесс расширения. Степень последующего расширения:

               δ = ε/ρ = 16/1,339 = 11,949

          С учетом характерных значений показателя политропы расширения для заданных параметров двигателя принимаем n2 = 1.25 (n2 = 1.18 – 1.28).Тогда

            рb = рz / δn2 = 11.2/11.9491.25 = 0.5 МПа.

            Тb = Тz / δn2-1 = 2222/11.949(1.25-1) =1195.27 К.

            Проверим правильность ранее принятой температуры остаточных газов (Тr принято 800 К):

                        Тr = Тb/ = 1195,27/(0,5/0,158)1/3 = 813 К.

                        Δ = 100(800-813)/800 = 1,625 % (допустимое значение Δ = 5 %).

            Индикаторные параметры рабочего цикла двигателя. Среднее индикаторное давление цикла для нескругленной индикаторной диаграммы:

                 р'i = pс /(ε - 1)

                 р'i = 7/(16-1)[16(1,339-1)+1,6*1,339/(1,25-1)*(1-1/11,994(1,25-1))   –      

                 -  1/(1,37-1) * (1 – 1/16(1,37-1))] = 1,293 МПа.

           Принимаем коэффициент полноты индикаторной диаграммы v = 0.95

           Тогда

                  pi =  р'i v = 1.293*0.95 =1.228 МПа.

            Индикаторный КПД:

                  ηi = pi α l0 / (Qнρк ηv) = 1.228 * 1.7*14.519/(42.50*1.728*0.848) =0.487

             Индикаторный удельный расход топлива:

                  gi = 3.6*103/(Qн ηi) = 3,6*103 /(42,50*0,487) = 173,93 г/(кВт*ч).

              Эффективные показатели двигателя. Принимаем предварительно среднюю скорость поршня  Wn.ср. = 9,17 м/с. Тогда среднее давление механических потерь:

                  рм = a + b Wn.ср = 0.105 + 0.012*9.17 = 0.215 МПа.

               Среднее эффективное давление:

                  рe = pi - рм = 1,228 – 0,215 = 1,013 МПа.

               Механический КПД:

                 ηм = рe / pi = 1,013/1,228 = 0,825.

               Эффективный КПД:

                 ηе = ηi ηм = 0,487 * 0,825 = 0,402.

                Эффективный расход топлива:

                 ge = 3,6*103/(Qн ηе) = 3,6*1000/(42,5*0,402) = 210,711 г/( кВт*ч).

              Основные размеры цилиндра и удельные параметры двигателя.

                       Ni =

      где Vh – рабочий объем цилиндра. В соответствии с прототипом значение хода поршня 115мм и D = 130мм.
                    Vh = S * π * D2/4 =125 * 3.14 * 1102/4 = 1.187 л.

                    Ni  = 1,228 * 1,187 * 4 * 2200/ 30 / 4 = 106,893 кВт.

               Литраж двигателя:

                    Vл = Vh * i = 1.187 * 4 = 4.748 л.

               Площадь поршня:

                   Fn = π D2/4 = 3.14*1102/4 = 94.99 см2.

               Средняя скорость поршня:

                   Wn.ср = Sn/(3*104) = 125*2200/( 3*104) = 9.17 м/с.

               Эффективный крутящий момент:

                 Ме = 9550Ne / n = 9550 * 90 /2200=390.68 Н*м.

                Часовой расход топлива:

                Литровая мощность:

                  Nл = Ne/ Vл = 90 / 4,748 = 18,96 кВт/л.

                Удельная поршневая мощность:

                   Nп =  Nе 4/(i π D2) = 90 * 4/(4 * 3.14 * 1102) = 23.69 кВт/дм3.

                Если принять массу сухого двигателя вспомогательным оборудованием по прототипу Gсух = 430 кг, то литровая масса.

                   gл = Gсух / (Vhi) = 430/(1.187 * 4) = 90.56 кг/л.

               и удельная масса

                   gn = Gсух/ Nе = 430/90 = 4,8 кг/кВт.

 

 









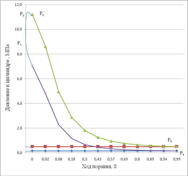
2.ПОСТРОЕНИЕ ИНДИКАТОРНОЙ ДИАГРАММЫ

   

        Индикаторную диаграмму поршневого двигателя строим по результатам  теплового расчета для номинального режима его работы. Расчет проводим аналитическим методом, используя полученные результате теплового расчета значений давлений в характерных точках диаграммы Ра, Рс, Рz, Рb, а также значения показателя политропы n1 и  n2, степеней ε, ρ, δ. Следовательно расчет сводиться к определению промежуточных значений политроп сжатия и расширения в зависимости от угла поворота коленчатого вала.

        Определяем условный размер камеры сгорания Sc и Sz :

                     

       где: S – ход поршня, м;

                               δ = dρ – степень последующего расширения;

                               ρ – степень предварительного расширения.

       Рассчитываем путь поршня Sx при повороте коленчатого вала на каждые 15° или 30° с с положения колена вала соответствующего ВМТ по формуле:

            

       Рассчитываем текущее значение отношения Sx/S.       

       Определяем текущее значение политропы сжатия Pxc в зависимости от угла поворота коленчатого вала φ:

           

        Определяем текущее значение политропы расширения Pxz в зависимости от угла поворота коленчатого вала φ:

     

        Результаты расчетов сводим в табл.1 и по соответствующим точкам строим кривые индикаторной диаграммы.

        Строим ось ординат – давление над поршнем и ось абсцисс – ход поршня. На оси абсцисс откладываем в масштабе отрезок равный ходу поршня и отмечаем отрезки Sx/S в этом же масштабе. Для расчетного значения текущей координаты хода поршня от угла поворота коленчатого вала будет соответствовать расчетные значения политроп сжатия и расширения приведенные в табл.1. Индикаторная диаграмма должна быть скругленной на переходных участках, а в момент впрыска топлива процесс горения происходит при постоянном давлении и отражается на диаграмме в виде площадки Рz  - P 'z .





                                                                                                               Таблица 1.

Результаты расчетов

Углы поворота

Ра

Рс

Рz

Pb

Sx/S

0

0,1570

7,0434

11,2177

0,5041

0,00

15

0,1570

4,7946

8,6079

0,5041

0,02

30

0,1570

2,2978

4,9600

0,5041

0,08

45

0,1570

1,1684

2,8727

0,5041

0,18

60

0,1570

0,6764

1,8125

0,5041

0,30

75

0,1570

0,4432

1,2586

0,5041

90

0,1570

0,3204

0,9479

0,5041

0,57

105

0,1570

0,2501

0,7621

0,5041

0,69

120

0,1570

0,2087

0,6493

0,5041

0,80

135

0,1570

0,1830

0,5778

0,5041

0,89

150

0,1570

0,1687

0,5348

0,5041

0,94

165

0,1570

0,1570

0,5116

0,5041

0,99


Индикаторная диаграмма

3.КИНЕМАТИЧЕСКИЙ И ДИНАМИЧЕСКИЙ АНАЛИЗ

Построение диаграммы перемещения поршня

      Перемещение поршня определяется по следующей формуле:

            Sn = R(1 – cosφ + (λ/4)*(1 – cos2φ).

      Производим расчет  Sn через каждые 30° угла поворота коленчатого вала и сводим результаты в табл.2.

                                         Диаграмма перемещения поршня

Построение диаграммы скорости поршня

      Скорость поршня определяется по следующей формуле:

            Wn = ωR(sinφ + (λ/2) * sin2φ).

      Производим расчет  Wn через каждые 30° угла поворота коленчатого вала и сводим результаты в табл.2.

                                                     Скорость поршня       

Построение диаграммы ускорения поршня

      Ускорения поршня определяется по следующей формуле:

            jn = Rω2(cosφ + λ * cos2φ).

      Производим расчет  jn через каждые 30° угла поворота коленчатого вала и сводим результаты в табл.2.

Ускорение поршня

Построение диаграммы сил инерции

      Запишем формулу определения сил инерции от возвратно – поступательных движущихся масс: Pj = -mj * R ω2(cosφ + λ * cos2φ),

       где mj = mn +  mш.п = 2,544 + 2,7 = 5,244 – приведенная масса к центру оси поршневого пальца;

       mn – масса поршневого комплекта ( по прототипу mn = 2,544 кг)

       mш.п – масса шатунной группы (mш.п = 2,7 кг)

Производим расчет  Wn через каждые 30° угла поворота коленчатого вала и сводим результаты в табл.2.

Диаграммы сил инерции поршня

                                                                                                                  Таблица 2.

Результаты расчетов

Углы поворота

Sп

Wп

Jп

Pj

0,0000

0,0000

4208,80

-22070,95

30

0,0105

8,8785

3317,33

-17396,08

60

0,0376

14,1459

1209,62

-6343,25

90

0,0709

14,3900

-894,79

4692,23

120

0,1000

10,7794

-2104,40

11035,47

150

0,1187

5,5127

-2422,55

12703,85

180

0,1250

0,0000

-2419,23

12686,44

210

0,1187

-5,5127

-2422,55

12703,85

240

0,1001

-10,7794

-2104,40

11035,47

270

0,0709

-14,3901

-894,79

4692,23

300

0,0376

-14,1459

1209,62

-6343,25

330

0,0105

-8,8785

3317,33

-17396,08

360

0,0000

0,0000

4208,80

-22070,95

390

0,0105

8,8786

3317,33

-17396,08

420

14,1460

1209,62

-6343,25

450

0,0708

14,3901

-894,79

4692,23

480

0,1001

10,7794

-2104,40

11035,47

510

0,1186

5,5127

-2422,55

12703,85

540

0,1250

0,0000

-2419,23

12686,44

570

0,1187

-5,5127

-2422,55

12703,85

600

0,1001

-10,7194

-2104,40

11035,47

630

0,0709

-14,3900

-894,79

4692,23

660

0,0378

-14,1459

1209,62

-6343,25

690

0,0107

-8,8785

3317,33

-17396,08



















Литература

1. Николаенко А.В. Теория, конструкция и расчет автотракторных двигателей. – М.: Колос, 1984. – 335 с.

2. Колчин А.И., Демидов В.П. Расчет автомобильных и тракторных двигателей. – М.: Высшая школа, 1980. – 400 с.

3. Автомобильные двигатели/ Под ред. М.С. Ховаха. – М.: Машиностроение, 1977. – 591 с.

4. Автомобильные и тракторные двигатели. В 2 ч./ Под ред. И.М. Ленина. – М.: Высшая школа, 1976. – Ч.-2.

5. Колчин А.И., Демидов В.П. Расчет автомобильных и тракторных двигателей. – 3-е изд. Перераб. и допол. - М.: Высшая школа, 2002. – 496 с.: ил.


Не нашли материал для своей работы?
Поможем написать уникальную работу
Без плагиата!
Без нейросетей!