Оксикоричные кислоты
Курсовая
работа
Оксикоричные
кислоты
оксикоричневый кислота
органический
Оксикоричные кислоты
Оксикоричные кислоты- фенольные
соединения <#"564305.files/image001.gif">
Рис.
= R2 =H -
n-оксикоричная кислота (n-кумаровая) =ОН, R2=H - кофейная кислота, =OCH3, R2=H
- феруловая кислота, =R2=ОСН3 - синаповая кислота
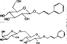
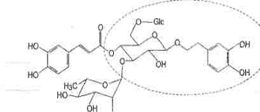
Оксикоричные кислоты встречаются
практически у всех высших растений. Наиболее широко распространена кофейная
кислота. Она часто образует димеры с алициклическими кислотами - хинной и
шикимовой. Наиболее известны 3-кофеил-хинная кислота (хлорогеновая) и ее
изомеры. Подобные сложные эфиры образуют и др. оксикоричные кислоты. Известны
эфиры оксикоричных кислот с алифатическими кислотами (винной, яблочной,
молочной и др.) и гликозидные формы. Углеводный заместитель в гликозидах
присоединяется через фенольный гидроксил или карбоксильную группу. Известно
много сложных углеводных производных, нередко оксикоричные кислоты входят в
состав белков и полисахаридов.
Свободные оксикоричные кислоты
представляют собой чаще бесцветные кристаллические вещества, хорошо растворимые
в этиловом и метиловом спиртах, этилацетате, метилированные производные
растворяются в эфире и хлороформе. Благодаря этиленовой связи оксикоричные
кислоты способны к цис-транс-изомерии. В растениях обычно преобладает
трансформа. Цис- и транс-формы резко отличаются по физиологической активности.
Цисформы оксикоричных кислот стимулируют рост
<#"564305.files/image002.gif">
Рис.
Органические кислоты находятся в
растениях в основном в виде солей, эфиров, димеров, а также в свободном виде,
образуя буферные системы в клеточном соке растений. В различных органах
растений органические кислоты распределены неравномерно: в плодах и ягодах
преобладают свободные кислоты, в листьях содержатся главным образом связанные
кислоты.
Большое физиологическое значение для
растений имеют уроновые кислоты (глюкуроновая, галактуроновая, маннуроновая
кислоты и др.), образующиеся при окислении спиртовой группы у шестого
углеродного атома гексоз. Эти кислоты принимают участие в синтезе полиуронидов
- высокомолекулярных соединений, построенных из остатков уроновых кислот. К
полиуронидам в растительном мире относятся пектиновые вещества, альгиновая
кислота, камеди, некоторые слизи, которые рассматриваются в разделе углеводов.
Содержание органических кислот в
растениях подвержено суточным и сезонным, а также видовым и сортовым
изменениям, причем различия касаются ни только суммарного содержания
органических кислот, но и их качественного состава. На процесс их накопления
значительно влияют широта местности, применяемые удобрения, полив, фаза
развития растений, степень зрелости плодов, сроки хранения, температура. В
незрелых плодах и стареющих листьях накапливаются в основном яблочная,
лимонная, винная кислоты. В старых листьях листовых овощей (щавель, шпинат,
ревень) преобладает щавелевая кислота, в молодых - яблочная и лимонная.
Лимонная кислота в больших
количествах накапливается в плодах цитрусовых (лимон), в листьях махорки,
листьях хлопчатника, что является характерным хемотаксономическим признаком для
данных растений. Кроме того, простейшая гликолевая кислота содержится в
незрелом винограде, свекле. Яблочная кислота определяется в незрелых яблоках,
крыжовнике, рябине, ревене. Винная кислота образуется в результате брожения
виноградного сока и встречается в виде различных производных, например,
цикориевой кислоты в эхинацее пурпурной.
Органические кислоты и их соли
хорошо растворимы в воде, спирте, некоторые кислоты (бензойная,
п-гидрокси-бензойная кислоты) лучше растворяются в хлороформе, диэтиловом
эфире.
Для определения органических кислот
в растительном сырье, например, в плодах шиповника, используют экстракцию водой
при кипении с последующим титрованием фильтрата раствором едкого натра.
Многие органические кислоты являются
биологически активными веществами (лимонная, салициловая, бензойная и другие
кислоты), которые обусловливают противовоспалительные свойства таких видов
сырья, как плоды клюквы болотной, плоды малины.
Лимонная и яблочная кислоты широко
используются в пищевой промышленности для изготовления фруктовых напитков и
кондитерских изделий, а натриевая соль лимонной кислоты - в качестве
консерванта при переливании крови. Винная кислота применяется в медицине, а
также при производстве фруктовых вод, для изготовления химических разрыхлителей
теста, в текстильной промышленности при изготовлении протрав и красок, в
радиопромышленности в составе сегнетовой соли.
Фенолкарбоновые кислоты и их эфиры,
альдегиды фенолкарбоновых кислот
Рис.
САЛИЦИЛОВАЯ КИСЛОТА (I) -
орто-оксибензойная кислота. Найдена в эфирном масле иланг-иланга, кассии,
американского пенниройяля, плодов аниса. В экстракте соцветий спиреи содержится
до 60% салициловой кислоты. Ее метиловый эфир (метилсалицилат) широко
распространен в природе. Салициловая кислота используется как сырье для
получения аспирина и сложных эфиров, которые применяются в парфюмерии,
косметике и ароматизации мыл.
Обладает антисептическими
свойствами, что используется для консервации фруктовых соков и фармацевтических
препаратов.
МЕТИЛСАЛИЦИЛАТ (II) - метиловый
эфир салициловой кислоты. Главный компонент (98%) эфирного масла гаултерии
(Gaultheria procumbens) и березы (Betula lenta). Находится также в эфирном
масле иланг-иланга, руты, гвоздики, цветов кассии и туберозы, зеленого чая.
Часто метилсалицилат не является составной частью растения, а входит в состав
гликозидов, из которых выделяется при ферментации. Метилсалицилат имеет сильный
характерный запах. Обладает бактерицидными свойствами.
Используется как натуральный, так и
синтетический для ароматизации жвачной резинки, конфет, различных пищевых
продуктов и напитков. Часто входит в состав зубных паст, полосканий и
фармацевтических препаратов. Содержится в составе ароматического комплекса различных
косметических и парфюмерных препаратов, а также мыл. При передозировке может
вызывать повреждение печени и отравление, поэтому применение его ограничено.
ЭТИЛСАЛИЦИЛАТ -
встречается редко и в небольшом количестве. Запах характерный, несильный. Используется
в ограниченном количестве как синтетический заменитель метилсалицилата.
БЕНЗИЛСАЛИЦИЛАТ - бензиловый
эфир салициловой кислоты. Главная составная часть высококипящей части эфирного
масла иланг-иланга, бальзама Толу, туберозы. Вязкая жидкость или кристаллы с
приятным запахом. Используется как растворитель для искусственных эфирных масел
и парфюмерных композиций. Хороший фиксатор.
В эфирных маслах часто встречаются
производные простейшей ароматической кислоты - бензойной. Бензойная кислота не
имеет запаха и не может влиять на запах эфирных масел. В эфирные масла в
результате паровой дистилляции не переходит. Экстрактивные эфирные масла
(конкреты и абсолю) могут содержать бензойную кислоту. Ее эфиры являются
важными ароматическими компонентами этих эфирных масел. Соответствующей
бензойной кислоте альдегид - бензальдегид - нередко встречается в составе
некоторых эфирных масел.
Фенольная группа фенолкарбоновых
кислот может также быть в виде простого эфира. Анисовая кислота - сопутствующий
компонент некоторых масел с большим содержанием анетола (о нем мы поговорим в
разделе фенилпропенов) - представляет собой метоксибензойную кислоту.
АНИСОВАЯ КИСЛОТА (III) - п-анисовая
кислота, п-метоксибензойная кислота. Найдена в эфирных маслах с большим
содержанием анетола, которые подверглись действию кислорода. Обнаружена также в
эфирном масле из плодов таитянской ванили.
Фенолкарбоновые кислоты могут
содержать несколько фенольных групп. Такие вещества 2,4-ДИОКСИ-6-МЕТИЛБЕНЗОАТ (IV) и
2,4-ДИОКСИ-3,6-ДИМЕТИЛБЕНЗОАТ (V), а также
2-МЕТОКСИ-4-ОКСИ-3,6-ДИМЕТИЛБЕНЗОАТ (VI) обнаружены
в резиноиде дубового мха и составляют в виде смеси простых фенольных и сложных
эфиров подавляющее количество (до 40-50%) фенолов этого продукта.
Среди фенолкарбоновых кислот с
несколькими фенольными группами в эфирных маслах содержатся производные
верартровой и триметилгалловой кислоты.
ВЕРАТРОВАЯ КИСЛОТА (VII) -
3,4-диметоксибензойная кислота. Встречается в эфирном масле «сабадилла» в виде
метилового или этилового эфира.
ТРИМЕТИЛГАЛЛОВАЯ КИСЛОТА (VIII) -
3,4,5-триметоксибензойная кислота. Обнаружена в эфирном масле из Boronia pinnata.
Кроме фенолкарбоновых кислот в
эфирных маслах, особенно цветочных растений, содержатся феноло-альдегиды. Почти
все вещества этой группы обладают сильным ароматом цветочного направления.
Рис
САЛИЦИЛОВЫЙ АЛЬДЕГИД (IX) -
о-оксибензальдегид. В небольшом количестве найден в различных видах спиреи,
кассии. Имеет характерный горький запах миндаля. Используется в синтетических
эфирных маслах. Исходный продукт для получения синтетического кумарина.
4-ОКСИБЕНЗАЛЬДЕГИД (IXa) -
п-оксибензальдегид. В эфирных маслах практически не найден.
О-МЕТОКСИБЕНЗАЛЬДЕГИД (IXb) -
метилсалициловый альдегид. Содержится в эфирном масле кассии.
АНИСОВЫЙ АЛЬДЕГИД (X) -
п-метоксибензальдегид, «обепин». Желтоватая жидкость, обладающая сильным
запахом цветущего боярышника с нотой ванилина. Ароматический альдегид,
образующийся при окислении анетола, и поэтому встречается в эфирных маслах,
богатым анетолом: аниса, звездчатого аниса, фенхеля. Найден также в масле
цветов акации, экстракте из бобов ваниллы из Таити. При окислении превращается
в анисовую кислоту. Считается очень полезным в парфюмерии для придания
композициям (сирень, гелиотроп, боярышник, акация, мимоза, свежескошенное сено
и горошек) и мылу особых ароматических свойств.
Вторая фенольная группа приводит к
появлению среди феноло-альдегидов таких веществ, как ванилин и метилванилин -
известные компоненты многих бальзамов.
4-МЕТОКСИСАЛИЦИЛОВЫЙ АЛЬДЕГИД (Xa) -
2-окси-4-метоксибензальдегид, 2-оксианисовый альдегид. Найден в масле из корней
Decalepis hamiltonii.
Кристаллическое вещество с запахом ванилина.
ВАНИЛИН (XI) -
4-окси-3-метоксибензальдегид - часто встречается в небольшом количестве в
эфирных маслах и бальзамах и чаще всего в виде гликозидов (стиракс, бальзам
Перу, гвоздика). Под действием ферментов в процессе ферментации эти гликозиды
высвобождают ванилин. Наиболее важный источник ванилина - плоды ваниллы.
Кристаллическое вещество с сильным, ароматичным запахом.
Главный ингредиент искусственных
ароматизаторов. Широко используется в кондитерской промышленности. Применяется
в парфюмерии и косметике для придания композициям сладкого и прочного запаха.
Хорошо сочетается с гелиотропином и кумарином.
МЕТИЛВАНИЛИН (XII) -
3,4-диметоксибензальдегид, вератральдегид, диметиловый эфир
протокатехальдегида. Встречается в эфирном масле Cymbopogon javanensis.
ЭТИЛВАНИЛИН (XIII) - этиловый
эфир 3-протокатехальдегида, «бурбональ». В природе не идентифицирован. Синтетический
заменитель ванилина. Широко используется в пищевой и парфюмерной
промышленности. Имеет интенсивно сладкий вкус и запах в 3-4 раза более сильный,
чем ванилин.
СИРЕНЕВЫЙ АЛЬДЕГИД (XIV) -
3,5-диметокси-4-оксибензальдегид. Содержится в выдержанных в дубовой таре
(клепке) высококачественных коньяках, виски и бренди. Практически не имеет
запаха из-за своей низкой летучести. Образуется при мягком окислении дуба.
Особенностью фенолкарбоновых кислот
и феноло-альдегидов является то, что, несмотря на наличие двух «кислых»
заместителей их обжигающая функция в сильной степени ослаблена, что объясняется
взаимным влиянием этих двух групп (химики говорят об их электронном сопряжении
этих групп, в результате которого сильно снижена способность терять водород
фенольной группы).
Таким образом, простые фенолы в
растениях существуют в виде биологически активных свободных фенолов (тимол и
карвакрол), обладающих сильным обжигающим действием, так и в виде простых
эфиров (которых содержится очень мало). Простые фенолы, в свою очередь, могут
иметь дополнительно различные заместители в бензольном ядре, главные из
которых, это альдегидная (CHO) и карбоновая (COOH). Замещение этими группами
приводит к ослаблению обжигающего действия простых фенолов из-за эффекта
электронного сопряжения этих заместителей и фенольной группы.
Представители группы оксикоричных
кислот:
)Трава мелиссы лекарственной- Herba Melissae officinalis
Мелисса лекарственная- Melissa officinalis
Семейство- Lamiaceae.
Этимология наименования,
историческая справка:
Родовое наименование Melissa происходит
от греч. melissa (пчела,
мед). Греческое название «Mellssophyllon» (Melissa+ phyllon-лист)-
дословно «пчелиный лист», так как замечено, что является излюбленным растением
пчел.
Видовой латинский эпитет от лат. officinalis
(лекарственный) подчеркивает лечебные свойства данного растения.
За мелиссу лекарственную часто
ошибочно принимают другие близкие растения сем. Lamiaceae - котовник
кошачий (мелисса лимонная) и змееголовник молдавский (мелисса турецкая).
Мелисса лекарственная более 2000 лет
успешно используется в народной и научной медицине многих стран мира. Впервые
мелисса была описана в «Historia piantarum» Теофраста
из Эфеса (372-287 г. до н.э.). Плиний Старший (24-79 г. до н.э.) в «Naturalis historia» и Педанос
Диоскорид дают первые терапевтические рекомендации по применению травы при
укусах насекомых, болях в животе, женских болезнях, воспалениях, запорах и
ревматических заболеваниях.
В «Каноне врачебной науки» почти
1000 лет назад Авиценна (980-1037гг.) указывал на лечебные свойства этого
растения, его способность «помогать при закупорках мозга», «Усладой сердца»
называл меллису Авиценна, он считал, что она «делает сердце счастливым и
укрепляет дух, прогоняет темные мысли и балансирует «черную тоску», способствует
пищеварению и помогает от икоты».
В средневековой Европе мелисса была
одним из наиболее популярных растений. В XI в.
французский ученый и врач Одо из Мена в поэме «О свойствах растений» описывал
целебные свойства мелиссы так: «И при укусах различных немедля трава помогает,
если тотчас же укус покрывается тертой травою. Если же отвар из травы
выпивается вовсе зеленым, дизентерийным больным и больным животом помогает. Он
же при астме хорош и одышкой страдающих лечит, язвы отвар очищает, суставам
несет облегченье. С солью траву наложить- исцеляет собачьи укусы».
Высоко ценил мелиссу Т. Парацельс
(1493-1541), который приравнивал свойства мелиссы по силе действия к золоту и
считал это растение лучшим из всего, что «рождает земля для сердца» .
С 1995 года мелисса лекарственная
является официнальным растением во многих странах, в том числе в Российской
Федерации.
Ботаническое описание: Мелисса
лекарственная - это многолетнее травянистое растение высотой 30-125 см. Листья
скрученные, тонкие, яйцевидной формы с клиновидным основанием, с городчатым
краем и перистым жилкованием, слегка опушенные, зеленые, серовато- зеленые,
иногда зеленовато-бурые. Стебли четырехгранные, продольно-желобчатые,
слабоопушенные, от светло-зеленого до зеленовато-серого цвета, с рыхлой серовато-белой
сердцевиной, толщиной до 3-4 мм. Цветки и бутоны в ложных мутовках, в пазухах
верхних листьев.
Рис.
Цветки мелкие и собраны по 3-10 штук
в пучки, обращенные в одну сторону. Прицветники эллиптические, заостренные или
продолговатые, с черешками. Чашечка двугубая, колокольчатая, опушенная, с
плоской верхней губой, с 5 зубцами. Венчик длиной 13-15 мм, в полтора-два раза
Мелисса лекарственная длиннее чашечки, двугубый, с плоской двураздельной
верхней губой и трехраздельной нижней. Пестик с верхней четырехраздельной
завязью и длинным двурасщепленным столбиком, тычинок 4, две из которых короче
других. Плод состоит из 4 односеменных орешков яйцевидной формы, заключенных в
спавшуюся чашечку длиной 1,8-2,0 мм. Чашечка зеленая, венчик желтовато-белый,
реже розовый или светло-фиолетовый, орешки светло-бурые. Запах растения слабый
(в отличие от котовника кошачьего и змееголовника молдавского), ароматный.
Характерными морфологическими отличиями потенциально примесного растения -
котовника кошачьего - являются листовая пластинка треугольной формы сизоватого
цвета, наличие мелких цветков (в виде мутовок) на концах стеблей.
Ареал, культивирование: Прародиной
мелиссы называют восточный район Средиземноморья до Персии, области Черного
моря и Передней Азии. В диком виде мелисса распространена в Средней и Южной
Европе, на Балканах, в Иране, Северной Африке, Северной Америке, а также на
Украине, Кавказе, в Средней Азии. Мелиссу культивировали в дореволюционной
России и СССР. В настоящее время мелисса лекарственная культивируется во многих
странах, в том числе в России (Краснодарский край, Самарская область), в Литве.
Распространены два сорта мелиссы: Эрфуртская прямостоячая и Кведлинбургская
стелющаяся.
Мелисса лекарственная растет по
опушкам лесов, лесным оврагам, тенистым ущельям, предпочитает глинистые и
суглинистые почвы с достаточным увлажнением. По другим источникам, мелисса
предпочитает суглинистые и супесчаные, богатые перегноем почвы, тяжелые,
слишком кислые почвы для данного растения совершенно не пригодны. Рекомендуемый
рН почвы от 4,5 до 7,8. На слишком увлажненных участках растение поражается
грибковыми болезнями и погибает. Мелисса может расти и в тенистых местах, но
при этом снижается урожайность, а растение становится менее душистым. В
некоторых странах ее ареал достигает высоты 1000 м над уровнем моря. Растение
цветет в июне-августе, плоды созревают в августе-сентябре.
Мелисса лекарственная размножается
семенами, делением куста, отводками, корневыми черенкам. Семена не требуют
стратификации, их высевают непосредственно в грунт или выращивают рассаду. При
семенном размножении в первый год мелисса лекарственная обычно не цветет.
Лекарственное сырье: Сырье
представляет собой собранную в фазы бутонизации и цветения, высушенную траву
многолетнего травянистого культивируемого растения - мелиссы лекарственной.
Внешние признаки: Верхние
части стеблей длиной до 35 см с супротивными черешковыми листьями, бутонами или
цветками, отдельные листья, цветки, куски стеблей. Листья скрученные, тонкие,
яйцевидные с клиновидным основанием, с городчатым краем и перистым жилкованием,
слегка опушенные. Стебли четырехгранные, продольно-желобчатые, слабоопушенные,
с рыхлой серовато-белой сердцевиной, толщиной до 3 мм. Цветки и бутоны в ложных
мутовках в пазухах верхних листьев. Прицветники эллиптические, заостренные или
продолговатые, чашечка двугубая, опушенная, с плоской верхней губой.
Венчикдлиной 13-15 мм, в полтора-два раза длиннее чашечки, двугубый, с плоской
двураздельной верхней губой и трехраздельной нижней.
Листья зеленые, серовато-зеленые,
иногда зеленовато-бурые, стебли от светло-зеленого до зеленовато-серого цвета,
на изломе серовато-белые. Венчик желтовато-белый. Запах сырья слабый,
ароматный, вкус слегка горьковатый.
Микроскопия: При
рассмотрении листа с поверхности под микроскопом видны многоугольные клетки
верхнего эпидермиса с извилистыми стенками, клетки нижнего эпидермиса мельче с
более извилистыми стенками. Устьица на обеих сторонах листа окружены двумя
клетками эпидермиса, смежные стенки которых перпендикулярны устьичной щели
(диацитный тип).
По жилкам и по краю листа
встречаются 3-6 клеточные простые волоски с толстыми стенками и бородавчатой
кутикулой, по всей поверхности листа имеются сосочковидные и конусовидные волоски
с бородавчатой кутикулой; изредка встречаются железистые волоски на короткой
одно-трех-клеточпой ножке с овальной одноклеточной головкой. На нижней стороне
листа в небольших углублениях находятся эфиромасличные железки, состоящие из 8
радиально расположенных выделительных клеток и одноклеточной короткой ножки.
Химический состав: Содержание
эфирного масла (ведущая группа БАС) в надземных органах растения колеблется в
пределах от 0,02 до 0,2% и лишь в некоторых случаях достигает 0,8%, причем
количество масла определяется географическими и климатическими факторами. По
данным чешских ученых, содержание эфирного масла в траве в верхней трети
составляет 0,13%, в верхней и нижней трети при совместном определении 0,08%, во
всей массе травы 0,06%. Соответственно в листьях тех же образцов диапазон
колебания эфирного масла составил 0,39-0,44%.
Наиболее характерными компонентами
эфирного масла являются монотерпены - цитраль (гераниаль + нераль), гераниол,
нерол, цитронеллол, цитронеллаль. Эфирное масло мелиссы содержит также
линалоол, геранилацетат, мирцен, п-цимол, р-кариофилленоксид, р-кариофилен идр.
терпеноиды, причем в общей сложности выделено и описано более 200 соединений,
входящих в состав эфирного масла, из которыхза приятный, напоминающий лимонный
запах отвечают нераль и гераниаль. По мнению профессора Н. Wagner'a (Мюнхен),
их соотношение (3:4), а также наличие 6-метил-5-гептен-2-она являются
критериями идентификации мелиссового масла. Другие авторы выделяют ещё один
специфический компонент - р-карио-филлен.
Второй группой БАС являются
фенилпропаноиды, среди которых наиболее характерной является розмариновая
кислота. Фенилпропаноиды представлены также этиловым эфиром розмариновой
кислоты, кофейной кислотой, хлорогеновой кислотой, л-кумаровой кислотой, феруловой
и синаповой кислотами. Методом высокоэффективной жидкостной хроматографии
установлено, что содержание розмариновой кислоты в листьях мелиссы составляет
от 0,54 до 1,79%.
Среди фенольных веществ вклад в
антиоксидантную активность могут вносить флавоноиды - апигенин, космосиин,
лютеолин, цинарозид, а также рамноцитрин (7-метоксикемпферол) и
изокверцитрин(3-глюкозидквер-цетина), рамназин (3,7 диметоксикемпферол). Кроме
того, в сырье содержатся фенолкарбоновые кислоты - гентизиновая, салициловая, n-гидроксибензойная,
ванилиновая, сиреневая, протокатеховая кислоты, а также дубильные вещества и
кумарины.
Среди стеринов в растении обнаружен
даукостерин, а из сапонинов- урсоловая кислота. Витамины представлены
следующими соединениями: В,, В2, С, р-каротин. В растении содержатся
макроэлементы (калий, кальций, магний, железо) и микроэлементы (марганец, медь,
цинк, молибден, хром, селен, никель, ванадий).
Стандартизация: Качество
сырья регламентируется ФС 42-3645-98. Числовые показатели (в цельном сырье):
экстрактивных веществ должно быть не менее 22%, влажность - не более 12% и др.
Оценка методом ТСХ химического
состава фенольных веществ травы мелиссы лекарственной, выращенной в условиях
Московской, Самарской областей, Краснодарского края и Крыма показала, что доминирующим
компонентом во всех случаях является розмариновая кислота.
За рубежом качество листьев мелиссы
лекарствен-. ной оценивается по содержанию эфирного масла [не менее 0,05% - в
соответствии с немецкой фармакопеей (DAB 11)]. Для
определения подлинности сырья данного растения используют обнаружение методом
ТСХ компонентов эфирного масла, в частности, цитраля и р-кариофилена. Широкое
распространение цитраля во многих эфи-ромасличных растениях семейства
Яснотковых побудило нас изучить возможность идентификации сырья мелиссы
лекарственной подругой группе веществ. Результаты исследований свидетельствуют
о том, что для этих целей можно использовать фенилпропаноидные соединения, в
частности, розмариновую кислоту. Это соединение достаточно широко распространено
в растениях семейства Яснотковых, однако уровень его содержания различен.
Нанесение на пластинку "Силуфол УФ 254" пробы водно-спиртового
экстракта мелиссы лекарственной в определенной концентрации позволяет
обнаруживать розмариновую кислоту на хроматограмме в УФ-свете при длине волны
360 нм в виде одного доминирующего ярко-голубого флуоресцирующего пятна с
величиной Rf около
0,5-0,6 (система растворителей - хлороформ-метанол-вода, 26:14:3).
Нами обоснована целесообразность
проведения оценки сырья мелиссы лекарственной по содержанию фенилпропаноидов.
Этот подход затем был реализован в Европейской фармакопее. Исследования
показали, что характер кривой поглощения УФ-спектров водно-спиртовых экстрактов
мелиссы определяется в основном гидроксикоричными кислотами и их производными
(характерный максимум поглощения при длине волны 326 нм). Результаты
исследований свидетельствуют о возможности использования прямого
спектрофотометрического метода для определения суммы фенилпропаноидов с
измерением оптической плотности растворов при длине волны 326 нм и пересчетом
их содержания на розмариновую кислоту.
Фармакологическое действие: Седативное
средство, обладающее анксиолитическими, антидепрессивными, спазмолитическими,
иммуномодулирующими, противовирусными, антиаллергическими и антимикробными
свойствами.
Широкий спектр терапевтического
действия препаратов мелиссы лекарственной обусловлен содержанием различных
биологически активных веществ: выраженный седативный эффект описан для
цитронеллаля, а спазмолитические свойства - для гераниола и цитронеллола.
Фенилпропаноноиды (розмариновая, кофейная, хлорогеновая и другие
гидроксикоричные кислоты) следует рассматривать как БАС, ответственные за
противовирусные, иммуномодулирующие, антигистаминные, антиоксидантные и
антимикробные свойства субстанций данного растения.
Применение: Мелисса
лекарственная - одно из самых популярных лекарственных растений, из сырья
которой производится свыше 300 различных препаратов. В Российской Федерации
наиболее известны настой (из травы и фильтр-пакетов), а также зарубежные
препараты: «Ново-пассит», «Персен», «Нервофлукс» и др.
Показаниями к применению препаратов
травы мелиссы лекарственной являются: неврозы, нейроциркуляторная дистония по
гипертензивному типу, мягкая форма артериальной гипертензии, легкие формы ИБС,
тахиаритмии, острые и хронические желудочно-кишечные заболевания, дискинезии,
дисбактериоз, ферментопатии, метеоризм; острые и хронические воспалительные
заболевания органов дыхания (бактериального и вирусного генеза); экзема,
дерматиты, сопровождающиеся зудом, трофические язвы, нарушения менструального
цикла, климактерические расстройства, токсикозы беременности; иммунодефицитные
состояния.
Детям, особенно в дошкольном и
школьном возрасте, в отличие от взрослых показан сравнительно ограниченный
набор растений, к числу этих растений относится и мелисса лекарственная,
которая рекомендуется для лечения детских неврозов, артериальной гипертензии,
ревматизма, для фитотерапии детей с пороками сердца, для лечения хронических
гастритов, холециститов, пиелонефритов, сахарного диабета и ожирения.
Мягкий седативный эффект препаратов
мелиссы лекарственной, широта терапевтического действия, отсутствие побочных
эффектов
позволяют рекомендовать
лекарственные средства на основе данного растения для широкого применения в
детской и педиатрической практике. Кроме того, препараты мелиссы лекарственной
в силу вышеперечисленных причин, на наш взгляд, целесообразно применять для
лечения многих хронических заболеваний, в том числе экологически и
профессионально обусловленной патологии.
2)Листья и кора ивы остролистной- Folia et cortex Salicis Acutifoliae
Ива остролистная
- SaUx aculifolia
Семейство Ивовые - Salicaceae.
Этимология наименования,
историческая справка: Русское название «ива» - общее для славянских
языков, оно имеет соответствующие наименования в германских и прибалтийских
языках, которыми обозначаются разные растения с одинаковым красноватым оттенком
коры. В случае других видов наиболее известны следующие народные названия:
ветла (ива белая), ива корзиночная (ива прутовидная), верба.
В христианской религии праздник
Вербного воскресения - один из важнейших в календаре. Он относился к числу 12
самых значительных праздников православной церкви, приходится на воскресенье,
предшествующее Пасхе, и посвящается событию евангелической истории - въезду
Христа в Иерусалим, Жители столицы приветствовали Христа, бросая емуподноги
пальмовые ветви На Руси праздник позже получил название Вербного воскресения,
потому что здесь роль пальмовых листьев выполняла распускающаяся к этому
времени верба. Кроме того, существовало поверье, что верба обладает магическими
свойствами: охраняет от злых духов, бед и несчастных случаев. Поэтому ее
освященные ветки хранили в домах, а иногда даже ее сережки съедали вместе с
кашей.
Ботаническое описание: Ива
остролистная- дерево высотой 10-12 м или кустарник с длинными прутьевидными
ветвями красно-бурого цвета. Листья ланцетные, длиннозаостренные, реже
линейные, голые. Цветки мелкие, раздельнополые, собраны в сережки, которые
появляются задолго до распускания листьев. Женские соцветия - цилиндрические,
мужские - яйцевидные, сидячие, беловолосистые. Цветет в марте-апреле, плоды
созревают в апреле-мае.
Рис.
Ареал: Ива
остролистная распространена в европейской части Российской Федерации и стран
СНГ, на Кавказе, в Западной и Восточной Сибири, Средней Азии. Растет на
песчаных почвах по берегам рек, прудов, других водоемов.
Среди 300 видов рода Ива мировой
флоры в России наиболее распространены также ива белая (Salix alba L.), ива
прутовидная (Salix viminalis L.) и ива
ломкая (Salix Jragilis L.).
Заготовка, сушка: Заготовку
листьев осуществляют в июле-сентябре, когда они достигают максимального
развития и в них сохраняется относительно высокое содержание флавонои-дов.
Собранные листья очищают от веточек и посторонних примесей, а затем высушивают
в хорошо вентилируемых помещениях или в сушилках.
Кору ивы остролистной собирают в
период сокодвижения (в апреле-июне) или одновременно с заготовкой листьев.
Лекарственное сырье: Собранные в
периоде июля по сентябрь и высушенные листья и кора ивы остролистной.
Внешние признаки: Сырье
(листья) состоит из цельных или частично изломанных листьев. Листья ланцетные,
длиннозаострент ные, в основании клиновидные, реже линейные, длиной 18-120
(150) мм, шириной 15-30 мм, короткочерешковые, по краю железисто-пильчатые, с
верхней стороны ярко-зеленые, с нижней - сизоватые или бледно-зеленые. Запах
слабый, специфический, вкус горьковатый, слегка вяжущий.
Кора ивы - трубчатые, желобоватые,
реже плоские куски коры длиной от 10до40см,толщиной до Змм. Наружная
поверхность гладкая или с продольными морщинами, реже с трещинами,
коричнево-серого цвета с зеленоватым или бурым оттенком и темными или светлыми,
округлыми или поперечными чечевичками. Внутренняя поверхность гладкая, реже
блестящая. Особенностью коры ивы остролистной является желтая или
лимонно-желтая окраска внутренней коры (за счетхалконов - изосалипурпозида и
кумароилизосалипурпозида). Внутренняя кора ивы корзиночной, ивы белой и ивы
ломкой, как правило, белая или серовато-белая.
Микроскопия: Характерными
признаками листа служат парацитный тип расположения околоустьичных клеток,
наличие крупных буроватых эмергенцев на зубчиках по краю листа, наличие
сферокристаллов флавоноидов, друз и кристаллов оксалата кальция в мезофилле и
по жилкам.
При рассмотрении поперечного среза
коры под микроскопом видна бурая, многорядная пробка; в пробке и паренхиме
вторичной коры отмечены воздухоносные полости. Клетки паренхимы с четковидными
утолщениями. Группы лубяных волокон с кристаллоносной обкладкой, сердцевидные л
учи - 1-2-рядные. Между пучками сосудов в паренхимных клетках вторичной коры
рассеяны друзы оксалата кальция, встречаются каменистые клетки.
Химический состав: В листьях
содержатся флавоноиды (преобладает цинарозид -
лютеолин-7-0-(3-В-глюкопиранозид) (3,29-4,43%), а также дубильные вещества
(4,16-4,9%), лейко-антоцианидины, аскорбиновая кислота.
Кора ивы остролистной, ивы
корзиночной и других видов содержит в себе простые фенолы - салициловый спирт и
его гликозиды (около 10 %), среди которых доминируют салицин и саликортин. К
фенологликозидам относятся также тремулацин, популин и фрагилин.
Рис. Салицин Тремулацин
В качестве второй группы БАС кора ивы
остролистной содержит в себе флавоноиды: флаванон нарингенин и его 5- и
7-глюкозиды (салипурпозид и прунин соответственно), халконы (изосалипурпозиди
л-кумароилизосалипур-позид), аналогичные соединениям цветков бессмертника
песчаного.
К сопутствующим веществам ивы остролистной
относятся фенилпропаноиды - сирингин(глюкозидсинапово-го спирта), триандрин
(глюкозид л-кумарового спирта). В коре ивы корзиночной триандрин (глюкозид
л-кумарового спирта), для которого выявлена выраженная тонизирующая активность,
является доминирующим компонентом (до 5%). В этой связи кора ивы корзиночной
предложена как источник получения ГСО триандрина, рекомендованного нами для
целей стандартизации сырья и препаратов данного растения, а также биомассы
родиолы розовой.
Во всех видах ивы накапливается значительное
количество дубильных веществ конденсированной природы (свыше 10%), что служит
основанием для использования этого сырья в качестве дубителя кожи.
Стандартизация: Качество
листьев регламентируется ВФС42-1697- 87, показатели качества коры ивы
корзиночной отражены в проекте ФСП.
Фармакологическое действие
Противовирусное(листья), противовоспалительное
(кора ивы остролистной и другие виды) и тонизирующее средства(кора ивы
корзиночной).
Применение: Листья
ивы остролистной используют для получения лютеолина-стандарта и
лютеолина-7-глюкозида-стан-дарта (цинарозид), а также противовирусного
препарата «Салифозид».
Из коры ивы остролистной изготавливают
противовоспалительный препарат «Салифолин. Данное сырье рекомендовано также в
качестве источника получения ГСО изосалищрпозида. Экстракт видов ивы входит в
состав комбинированных лекарственных средств - «Бронхикум», «Урофлукс» и др.
3)Корневища и корни родиолы розовой-Rhizomata
et radices
Rhodiola
Roseae
Родиола розовая-
Rhodiola
rosea
Семейство Толстянковые -
Crassulaceae.
Этимология наименования,
историческая справка:
Родиола розовая - одно из самых популярных
растений народной медицины Алтая и Сибири. В течение более 400 лет корневища
данного растения используются в народной медицине в качестве общеукрепляющего
средства, причем на Алтае существует традиция - дарить молодоженам золотой
корень, как символ продолжения рода.
Родиола розовая относится кадаптогенам и
является источником получения целого ряда тонизирующих, адаптогенных и им муномодулирующих
лекарственных средств. В научную медицину введена томскими учеными (проф. А.С.
Саратиков, проф. Е.А. Краснов) в 1975 г.
Начиная с 1980 г. в ВИЛАРе (проф. ГГ.
Запесочная) и в Самарском государственном медицинском университете (.проф. В.А.
Куркин) проведены исследования химического состава корневищ родиолы розовой,
входе которых была выделена целая серия новых биологически активных соединений
(фенилпропаноиды).
Ботаническое описание: Родиола
розовая- многолетнее травянистое растение с толстыми корневищем и несколькими
неветвит-стыми стеблями, высотой до 50-60 см. Листья мясистые, густо
расположенные, сидячие, очередные, продолговато-яйцевидные, часто
мелкопильчатые, заостренные, длиной до 3-5 см. Цветки растения с 5-членным
околоцветником, желтые (мужские экземпляры) или желтовато-зеленые до
красновато-бурых (женские особи), собраны в густые щитковидные соцветия.
Рис.
Плоды - прямостоячие зеленоватые или буроватые
многолистовки длиной 6-8 мм. Родиола розовая зацветает вскоре после таяния
снега, причем время цветения растения зависит от высоты над уровнем моря: с
начала июля до конца июля (1700-1800 м над уровнем моря) или с конца июля до
середины августа (2200 м надуровнем моря). В условиях культуры растение цветет
в конце апреля-в начале мая. Родиола розовая размножается вегетативно. Меньшее
значение имеет семенное размножение, хотя в условиях культуры оно является
достаточно продуктивным.
Ареал, культивирование: Растет
в полярно-арктической и альпийской зонах, равнинных и горных тундрах севера
Европейской части России, на Северном Урале, горах Алтая, Саянах, Восточной
Сибири, на Тянь-Шане и Дальнем Востоке. В странах СНГ ареал находится в
Казахстане, Киргизии, на Украине (Карпаты). Основные промысловые заросли
находятся на Алтае на высоте 1500-2000 м надуровнем моря. Растение предпочитает
каменистые и щебнистые склоны, увлажненные почвы по берегам горных рек и
ручьев. Наибольшая продуктивность родиолы розовой отмечена на влажных
субальпийских лугах. Средняя масса одного воздушно-сухого корневища составляет
около 100 г, хотя отдельные экземпляры могут достигать 400-500 г и более
(иногда до 3 кг).
Имеется положительный опыт культивирования
родиолы розовой в условиях Сибири, Ленинградской, Мурманской, Свердловской,
Московской и Самарской (Куйбышевской) областей, однако сырьевой базой пока
служат заросли дикорастущих растений.
Для расширения сырьевой базы проведены
биотехнологические исследования (культура ткани клеток растения), в ходе
которых получена биомасса, служащая источником субстанции для производства
крема «Золотой корень». В перспективе биомасса рассматривается как потенциальный
источник тонизирующих препаратов.
Заготовка, сушка: В
соответствии с ГФ СССР XI
издания корневища и корни собирают в фазу цветения и плодоношения. Выкопанные
корневища с корнями отряхивают от земли, моют в проточной воде, очищают от
старой бурой пробки, загнивших частей, отделяют от стеблей и раскладывают в
тени для подсушки. После этого корневище разрезают поперечно на куски длиной
2-10 см и толщиной 2-5 см и затем сушат. Не подлежат заготовке молодые растения
с 1-2 стеблями. Для обеспечения восстановления зарослей родиолы повторная
заготовка ее корневищ на тех же заросляхдопустима лишь через 10-15 лет.
Корневища растения следует высушивать при температуре 70-80 °С, что не
соответствует рекомендациям Инструкции (1985), в которой даны иные условия сушки
(50-60 °С), в случае которых розавин (доминирующий фенилпропаноид) расщепляется
в наибольшей степени.
В условиях культивирования корневища и корни
заготавливают в фазу начала цветения (май-июнь) или в период покоя
(сентябрь-октябрь).
Лекарственное сырье: Собранные
в фазу цветения и плодоношения, очищенные и отмытые от земли, разрезанные на
куски и высушенные корневища и корни многолетнего дикорастущего травянистого
растения - родиолы розовой.
Внешние признаки: Куски
корневищ и корней различной формы. Куски кор-невищдлинойдо 9 см и толщиной 2-5
см, твердые, морщинистые, со следами отмерших стеблей и остатками
чешуе-видныхлистьев. От корневища отходят немногочисленные корни длиной 2-9 см,
толщиной 0,5-1 см. Поверхность корневища и корня блестящая, серовато-коричневого,
буроватого цвета или цвета «старой позолоты». При соскобе или отслаивании
пробки обнаруживается золотисто-желтый слой. Цвет на изломе розовато-коричневый
или светло-коричневый. Запах специфический, напоминающий запах розы. Вкус
горьковато-вяжущий.
Микроскопия:
На поперечном срезе корневища видна слоистая перидерма. Корневище имеет
пучковый тип строения.

Проводящие пучки открытые, коллатеральные,
веретеновидные, расположены кольцом, ориентированы к периферии корневища
флоэмой и к центру - ксилемой. Паренхима корневища состоит из крупных клеток,
заполненных крахмалом.
Химический состав: Сырье
содержит фенилпропаноиды (ведущая группа БАС), представленные гликозидами
коричного спирта или циннамилгликозидами (розавин, розарии, розин). Второй
группой БАС являются простые фенолы, среди которых наиболее характерны
салидрозид и тирозол. Среди сопутствующих веществ интерес представляют
монотерпены (розиридол и розиридин, обладающие туберкулостати-ческой активностью),
а также флавоноиды (производные трицина, гербацетина, кемпферола) и дубильные
вещества гидролизуемой группы (около 16-20 %). В сырье содержатся 5- и
7-глюкозиды трицина, а также флаволигнан родиолин и гликозиды гербацетина
(родионин, родиозин). Содержание гликозидов коричного спирта составляет около
4,0-6,0%, доминирующего фе-нилпропаноида - розавина - в пределах 1,0-3,0%.
Среди сопутствующих фенилпропаноидов известна также кофейная кислота.
Содержание салидрозида (более правильно говорить о сумме салидрозида и его
агликона - тирозола) в сырье варьирует от 0,8 до 1,5 %. Простые фенолы
представлены также свободной галловой кислотой и ее метиловым эфиром
(галлицин).
Розин
Розавин
Розарин
Метилотозид
Рис.
(-)- Ларицирезол
Родиозин
Гербацетин
Рис.
В корневищах содержится эфирное масло (около
0,05%), хотя имеются литературные данные о более высоком уровне его содержания
(до 5%). В сырье обнаружены также стериныф-ситостерин, даукостерин),
органические кислоты (щавелевая, янтарная, лимонная, яблочная кислоты),
сахароза, липиды, различные микро- и макроэлементы (родиола розовая является
типичным манганофиллом).
Особый интерес представляет биомасса родиолы
розовой, содержащая в качестве БАС фенилпропаноиды, среди которых доминирующим
является триандрин (глюкозид л-кумарового спирта). Сопутствующие
фенилпропаноиды представлены также метоксикоричным спиртом и его глюкозидом
(вималин), л-кумаровой, кофейной кислотами и их глюкозидами. К сложным
фенилпропаноидам (лигнанам) относится ларицирезинол и его 4-О-глюкозид.
Стандартизация: Качество
сырья регламентируется ГФ CCCPXI
издания. Раздел «Качественные реакции» предусматривает определение методом ТСХ
розавина и салидрозида. При этом на хроматограмме должно обнаруживаться
доминирующее пятно фиолетового цвета с R,
около 0,4 (розавин), а после проявления раствором диазобензолсульфокислоты -
оранжевое пятно салидрозида (примерно на уровне пятна розавина). В Изменении №
1 к ФС 75 предусмотрено использование ГСО розавина (ФС 42-0071-01),
предложенного нами для целей стандартизации сырья и препаратов родиолы розовой.
Числовые показатели: салидрозида должно быть не
менее 0,8%, розавина - не менее 1,0% (Изменение № 1), влажность не более 13% и
др.
Раздел «Количественное определение» включает в
себя спектрофотометрический метод определения салидрозида путем измерения
оптической плотности окрашенного комплекса (диазореактив) при длине волны 486
нм. Изменение № 1 не только предусматривает анализ сырья посал идрозиду, но и
включает в себя хроматоспектрофотометри-ческий метод и метод ВЭЖХ определения
розавина.
Фармакологическое действие: Стимулирующее
ЦНС, тонизирующее средство, обладающее также адаптогенными, гипогликемическими,
иммуномодулирующими, антитоксическими, бактерицидными, вяжущими свойствами.
Тонизирующие свойства обусловлены фенилпропаноидами и простыми фенолами, а
иммуномодулирующий эффект - фенилпропаноидами. Бактерицидные, вяжущие и
противовоспалительные свойства определяются, в основном, наличием дубильных
веществ.
Применение: Препараты
«Экстракт родиолы жидкий», «Родас-кон», «Настойка родиолы розовой» (ВФС
42-3434-99), порошок (таблетки по 0,1 г) применяют в качестве общеукрепляющих,
тонизирующих лекарственных средств, повышающихфизическую иумственную
работоспособность. Препараты золотого корня показаны при астенических
состояниях, повышенной утомляемости, при неврастенических состояниях,
вегетативно-сосудистой дистонии. За счет выраженных адаптогенных свойств
препараты целесообразно применять в качестве противодиабетических и
антистрессорных средств. Препараты можно назначать ослабленным больным, перенесшим
соматические или инфекционные заболевания, а также больным с функциональными
заболеваниями нервной системы. Установлено, что экстракт и настойка золотого
корня показаны в качестве иммуномодулирующих средств при иммунодефицитных
состояниях, для профилактики различных заболеваний, в том числе вирусной
инфекции, особенно в условиях дезадаптации. Кроме того, препараты могут
применяться практически здоровыми людьми при астении и пониженной
работоспособности.
Настойку золотого корня назначают внутрь по 5-10
капель 1-2 раза в день (утром и в обеденное время). В соответствии с
инструкцией, разовая доза экстракта также составляет 5-10 капель, однако, на
наш взгляд, ее необходимо уменьшать до 2-3 (!) капель.
Перспективными видами являются также родиола
че-тырехнадрезанная (красная щетка) - Rhodiola
quadrifida (Pall.)Fisch.
et Mey.,
p.холодная - Rh.
algida(Ledeb.)
Fisch. et
Mey., p.
перистонадрезанная (преимущественно Тува, Саяны) - Rh.pinnatifidaA.
Вог. и p. линейнолистная
(Кир гизия) - Rh. linearifoliaA.
Вог., однако они должны рассматриваться как потенциальный источник
самостоятельных препаратов, отличающихся по химическому составу.
4)Трава эхинацеи пурпурной-
Herba Echinaceae
Purpureae
Корневища с корнями эхинацеи
пурпурной свежие-Rhizomata
cum radicibus
Echinaceae
Purpureae
Recentia
Эхинацея пурпурная- Echinacea
purpurea
Семейство Сложноцветные - Asteraceae
Этимология наименования,
историческая справка: Родовое наименование происходит
от греч. echinos
- еж, так как цветочная корзинка (цветоложе) после созревания семян
превращается в колючую головку. В силу особого строения цветка растение
опыляется, в основном, шмелями, отсюда авторское название - «цветок шмеля».
Индейцы считали эхинацею сильным противоядием
при укусах змей и ядовитых насекомых.
Ботаническое описание:
Эхинацея пурпурная - многолетнее травянистое растение высотой 50-100 см с одним
или несколькими цилиндрическими, ребристыми, ветвистыми стеблями. Корневая
система представлена корневищем, переходящим в сильно разветвленный корень,
снаружи темно-бурый, в изломе грязно-серый, жгучий на вкус. Листья нижние,
широкоэллиптические или продолговато-яйцевидные, по краю зубчатые, шероховатые,
с 3-5 жилками, остроконечные, длиной до 20 см и шириной до 15 см, собраны в
прикорневую розетку.
Редкие стеблевые листья очередные, почти
сидячие. Корзинки одиночные, на концах побегов крупные - до 8-10 см в диаметре.
Обертка полушаровидная, 2-4 (5)- рядная, листочки ее игольчато-заостренные,
часто отогнутые. Ложе соцветия коническое, покрыто щетинковидными прицветниками,
превышающими срединные трубчатые цветки. Краевые язычковые цветки 2,5-5 см в
длину, ярко-красные, светло- или темно-пурпуровые, срединные -
золотисто-желтые. Плод - обратнопирамидальная, четырехгранная, серовато-бурая
семянка с хохолком в виде неправильной зубчатой окраины. Растение в течение
первого года жизни образует розетку, зацветает на второй год. Продолжительность
цветения - до 75 дней.
Эхинаиея бледная - многолетнее травянистое
растение высотой 60-90 см. Листья продолговато-ланцетные или продолговато-эллиптические,
цельнокрайние, с обеих сторон опушенные, с тремя жилками. Краевые цветки
желтовато-оранжевые, длиной до 9 см. Трубчатые цветки зеленоватые, 5-зубчатые.
Хохолки темно-красные, при созревании плодов становятся коричневыми. Растение
произрастает в центральных районах США и там же широко культивируется.
Наибольшие коммерческие поставки осуществляются из штата Канзас. Сырье (траву)
заготавливают осенью только с хорошо развитых экземпляров.
Эхинаиея узколистная - многолетнее травянистое
растение. Отличается более низкорослым стеблем высотой до 60 см. Листья
продолговато-ланцетные или продолговато-эллиптические, опушенные. Верхние
листья почти сидячие, до 14 см длиной и 1,5 см шириной. Краевые цветки
пурпурового цвета, трубчатые - зеленоватые. Хохолки темно-красные, в два раза
длиннее трубчатых цветков.
Растение произрастает в северо-западных районах
США. Широко культивируется.
Ареал, культивирование: Родина
эхинацеи пурпурной и других видов - Северная Америка. Эхинацея пурпурная
интродуцирована во многие регионы Российской Федерации. Промышленное
культивирование осуществляется в Самарской области, на Северном Кавказе
(Краснодарский край). Из стран СНГ культивируется на Украине (Полтавская обл. и
Крым).
Заготовка, сушка: Траву
заготавливают во время цветения, срезая цветущие побеги длиной 25-35 см. Трава
эхинацеи пурпурной свежая перерабатывается для производства препаратов или
подвергается сушке при температуре 40-50 °С. Корневища с корнями выкапывают
осенью лопатами или копалками, отмывают от земли и в тот же день доставляют на
переработку. Выкопанные корневища и корни могут также подвергаться сушке в
хорошо проветриваемых помещениях или при температуре 40-45 °С.
Лекарственное сырье: В
качестве сырья используют собранную в фазу цветения, порезанную и высушенную
траву, а также выкопанные осенью корневища с корнями многолетнего
культивируемого травянистого растения - эхинацеи пурпурной.
Внешние признаки: Куски
стеблей, листьев, цельные и частично разрушенные цветочные корзинки, цветки,
бутоны, реже незрелые плоды. Стебли цилиндрические, ребристые,
голые или редко жесткоопушенные, диаметром до 1
см. Листья черешковые, продолговато-яйцевидные, яйцевидно-ланцетные или
ланцетные, остроконечные, неравно-крупнозубчатые, реже цельнокрайние, с 3-5
продольными жилками, жесткие, шероховатые от короткощетинистого опушения.
Цветочные корзинки с выпуклыми, полыми, густоусаженными прицветниками,
цветоложем. Обертка блюдцевидная, трехрядная; листочки обертки
черепитчато-расположенные, ланцетные, остроконечные, отогнутые, опушенные с
внешней стороны, голые по краям. Прицветники узколанцетные, с шиловидным
окончанием, превышающие подлине трубчатые цветки. Краевые цветки язычковые,
длиной до 6 см, пестичные, бесплодные, с двух-, трехзубчатым отгибом, снаружи
опушенным. Срединные цветки трубчатые, обоеполые, с пятизубчатым венчиком.
Плоды - семянки обратнопирамидальные, четырехгранные, к основанию суженные, с
хохолком в виде короны, с неравномерными зубчиками. Цвет стеблей зеленый,
желтовато-зеленый, иногда с малиновыми или пурпурными пятнами, листьев -
зеленый, листочков обертки - серовато-зеленый или зеленый; цветков - малиновый
или пурпурный, плодов - зеленый или зеленовато-бурый. Запах сырья слабый, вкус
слегка горьковатый.
Микроскопия: При
рассмотрении поверхности л иста под микроскопом видны клетки эпидермиса с
извилистыми стенками. Устьица овальные, окружены 2-6 око-лоустьичными клетками
(аномоцитный тип), расположены на обеих сторонах листа, на нижней их больше.
Над жилками клетки эпидермиса имеют прямые стенки и вытянуты вдоль них. По
жилкам и по краюлиста встречаются простые длинные одноклеточные волоски и
простые 2-4-клеточные волоски со спавшейся конечной клеткой, часто опадающей;
простые 1-4-клеточные волоски, иногда с заметным утолщением стенок; изредка
встречаются железистые волоски, состоящие из 1-2-клеточной ножки и
одноклеточной овальной головки, заполненной желтовато-бурым содержимым. Клетки
у основания волосков расположены радиально и образуют розетку. Клетки
эпидермиса язычкового и трубчатого цветков на зубчиках сосочковпдные, на
остальных частях цветков со слабоизвил истыми, над жилка ми - с прямыми
стенками. Устьица мелкие, овальные, погруженные, окружены 4-6 около-устьичными
клетками (аномоцитный тип). Простые 2-3-клеточные волоски с острым концом
расположены преимуществен но по жилкам. Железки состоит из 10-12 выделительных
клеток, расположенных в 2 ряда.
Химический состав: Ведущей
группой БАС травы и корневищ эхинацеи пурпурной являются фенилпропаноиды, среди
которых наиболее характерные компоненты - цикориевая кислота (дикофеилвинная
кислота) и эхинакозид.
Среди сопутствующих фенилпропаноидов обнаружены
также другие производные винной кислоты (на основе л-кумаровой и феруловой
кислот), кофейная и хлорогено-вая кислоты. Интересно, что в молекуле эхинакозида
легко обнаруживается фрагмент салидрозида - одного из компонентов корневищ
родиолы розовой. Именно это вещество может обусловливать выявленные нами
(профессор А.В. Дубищев, профессор В.А. Куркин, И.Н. Титова и др.) тонизирующие
свойства для препаратов эхинацеи пурпурной.
Второй группой биологически активных соединений
следует считать полисахариды (гетероксиланы, араби-ноксиланы,
арабинорамногалактаны), обладающие иммуностимулирующей активностью.
К третьей группе БАС относятся алкамиды
(алкила-миды) - полиеновые или полиацетиленовые соединения с изобутиламидным
остатком.
Цикориевая кислота
Рис.
Эхинакозид
Сопутствующие вещества травы эхинацеи пурпурной
представлены также флавоноидами ( кверцетин, кемпфе-рол и их различные
гликозиды), эфирным маслом (до 0,6%), основными компонентами которого являются
борнеол, борнилацетат, кариофиллен, кариофилленоксид и др.
В траве и корневищах содержатся также инулин (в
корневищах до 6%), бетаин, органические кислоты, высшие ненасыщенные жирные
кислоты, фитостерины, смолы, дубильные вещества, сапонины. Все растение богато
ферментами, микроэлементами (селен, кобальт, серебро, молибден, цинк, марганец
и др.) и макроэлементами (калий, кальций).
Стандартизация
Качество травы регламентируется ВФС 42-2371-94,
корневищ с корнями - ВФС 42-58-72.
Числовые показатели травы: суммы производных
гидроксикоричных кислот в пересчете на цикориевую кислоту должны быть не менее
2,1 %, влажность - не более 13 % и др.
Фармакологическое действие:
Иммуномодулятор ,обладает противовоспалителыными
, противовирусными и тонизирующими свойствами .
Применение: Учеными
НПО «ВИЛАР» (В.А. Стихин)трава эхинацеи пурпурной предложена в качестве
лекарственного растительного сырья для получения препарата «Эстифан»,
представляющего собой таблетки на основе сухого экстракта (0,2 г) травы данного
растения. Данный препарат рекомендован для применения в медицинской практике в
качестве иммуностимулирующего средства для профилактики и лечения заболеваний,
связанных с состояниями иммунодефицита. Эстифан особенно эффективен в Случае
воспалительных заболеваний органов дыхания. Установлено, что эстифан
стимулирует активность клеточного и гуморального звена иммунной системы,
повышает фагоцитарную активность нейтрофилов и макрофагов, индуцирует
трансформацию В-лимфоцитов в плазматические клетки, усиливает антителообразование,
кооперацию В- и Т-лимфоцитов, Т-хелперную активность. Разработан также препарат
«Эхинацея» (сок). В России производят также настойку «Эхинацея-галенофарм»
(Санкт-Петербург), настойка эхинацеи («Красногорсклексредства»).
В Самарском государственном медицинском
университете создан ряд препаратов, среди которых настойка эхинацеи пурпурной,
сироп эхинацеи , эхинатон .
К сожалению, несмотря на болыииеуспехи
отечественных исследователей данной проблемы, на фармацевтическом рынке
Российской Федерации до сих пор доминируют зарубежные препараты, получаемые из
видов эхинацеи.
За рубежом выпускаются такие препараты, как
«Иммунал» (сок, таблетки), «Эхинацин» и другие лекарственные средства,
зарегистрированные в России.
Корневища свежие используют для получения
настойки, обладающей бактерицидным эффектом, которая являлась одним из
компонентов ранее производимого комплексного препарата «Ангиноль» («Эхинор»),
Свежие корни применяют также в гомеопатии.
По мнению автора учебника, вопреки общепринятым
рекомендациям, препараты эхинацеи следует применять в меньших дозах и только
два раза вдень- в утренние часы и обеденное время, - так как они обладают, по
нашим данным, тонизирующим эффектом.
Сырье и субстанции видов эхинацеи широко
используются для производства БАДов.
Заключение
Охрана лекарственных растений
В нашей стране произрастает довольно большое
разнообразие видов лекарственных растений. Наиболее важным вопросом при
организации и проведении заготовок сырья следует считать охрану существующих
зарослей от полного истощения. Последнее, как правило, происходит в результате
их неумеренной эксплуатации и встречается как на маленьких, так и на довольно
крупных массивах. Такой опасности подвергаются растения, пользующиеся большим
спросом, а также виды, которые медленно размножаются или заготовляются до
завершения вегетационного периода, не успевая разбрасывать свои семена.
Практика показала, что наиболее рационально
провести заготовки путем чередования участков, причем сроки между очередными
заготовками должны быть установлены в зависимости от биологических особенностей
конкретных видов. Их продолжительность должна обеспечить полное восстановление
зарослей.
Заготовители должны иметь определенные
представления о биологических особенностях развития растений, подлежащих
заготовке. Во время сбора следует оставлять наиболее развитые особи для
воспроизводства зарослей. Если у растений собирают почки, необходимо оставлять
нетронутыми верхушки побегов. Обычно почки заготовляют на лесосеках или в
местах массовой порубки соответствующих деревьев. Кору можно заготовлять с
нормально развитых боковых ветвей, оставляя неповреждёнными тонкие ветви и
главный стебель. Отобранные ветви для снятия коры предварительно аккуратно
срезаются, так как проведение этой операции на корню очень часто приводит к
засыханию дерева или кустарника. При сборе цветков оставляют часть из них для
образования семян, а другие органы и части растения остаются нетронутыми.
Следует подчеркнуть, что если установленные сроки сбора цветков упущены, то в
более поздние сроки их не следует заготовлять по двум причинам:
а) будет получено недоброкачественное сырье; б)
образовавшиеся семена осыпаются и дадут новые поколения растений для
последующих сезонов.
Когда листья собирают выборочно, то не возникает
опасности полного уничтожения растений, так как часть из них оставляют для
продолжения и нормального завершения вегетационного периода. При заготовке
травы (надземной массы) невысоких растений необходимо срезать, оставляя
несколько сантиметров от поверхности почвы. Если растения высокорослые, то
срезают только лнстоносные и цветоносные части стеблей. Для поддержания этих
групп местами оставляют неповреждённые особи, количество которых зависит от
способности растений к размножению.
Большой опасности подвергаются растения, у
которых заготовляются подземные органы: корни, корневища, клубни, луковицы и
др.
Согласно литературным данным, у многих
лекарственных растений можно провести заготовки подземных органов в любое
возможное время года, так как содержание в них биологически активных веществ в
течение всего периода вегетации соответствует предъявляемым требованиям. Однако
чаще рекомендуется их выкапывать в конце вегетационного периода, когда они
достигают максимального развития. К этому времени и образовавшиеся на стеблях
плоды или семена полностью созревают. Если растения размножаются семенами
медленно, что характерно для большинства многолетников, то после выкопкн
подземных органов необходимо срезать и закопать в почве отдельные их части или
более тонкие участки корневищ, несущих хотя бы по несколько почек для
обеспечения вегетативного размножения.
Многие заготовители не всегда соблюдают
элементарные приемы сбора лекарственных растений. Так, при заготовке надземной
массы не пользуются рекомендуемыми режущими инструментами (специальные ножи и
серпы), при помощи которых быстро и аккуратно выполняется эта работа. Обрывая
растения, очень легко выдергивают и корневища, что препятствует своевременному
и нормальному восстановлению зарослей. Упомянутый короткий перечень правил
должен обязательно соблюдаться заготовителем. Более того, сборщики
лекарственных растений должны проявлять инициативу в сборе семян растений,
пользующихся наибольшим спросом, и организовать нх посев в естественных
условиях произрастания.
Список используемой литературы
1.
Акопов, И. Э. Важнейшие отечественные лекарственные растенияих применение/ И. Э.
Акопов.- М.: Медицина, 1986- 388с.
.
Блажей, А.Фенольные соединения растительного происхождения/ А. Блажей, Л.
Шутый.- М.: Мир, 1977- 280с.
.
Георгиевский, В.П. Биологические активные вещества лекарственных растений/ В.П.
Георгиевский, Н.Ф.Комиссаренко, С.Е. Дмитрук- Новосибирск: Наука, 1990- 336с.
.
Государственная Фармакопея СССР. 11 издание/ МЗ СССР- Вып.1: Общие методы
анализа.- М.: Медицина, 1987.- 336с.; Вып.2: Общие методы анализа.
Лекарственное растительное сырье.- М.: Медицина, 1990- 400с.
.
Харкевич, Д.А. О курареподобных свойствах моно- четвертичных аммониевых
производных коричной кислоты/ Фармакология и токсикология, 1967№5- 562с.
.
Васильев, Г.В. Фенолкарбоновые кислоты/ Химия природных соединений- 2008№5- с.
512-513.
.
Вавилова, Н.К. «Оксикоричные кислоты»/ Химия природных соединений- 1988№2- с.
293-294.
.
Куркин, В.А. Фенилпропаноиды- перспективные природные биологичеси активные
соединения/ В.А. Куркин.- Самара: СамГМУ, 1996-210с.
.
Кьосев, П.А. Полный справочник лекарственных растений/ П.А. Кьосев.- М.: Эскмо-
пресс, 2000.- 849с.
.
Лекарственное растительное сырье. Фармакогнозия: учеб. пособие/ под редакцией
Г.П. Яковлева, К.Ф. Блиновой.- СПБ.: СпецЛит, 2006.- 848с.
.Машковский
, М.Д. Лекарственные средства: в 2т. / М.Д. Машковский.- Изд.14-е, перераб.,
испр. и доп.- М.: Новая волна, 2002.- 2т.
.
Регистр лекарственных средств в России. Энциклопедия лекарств/ под ред. Г.Л
Вышковского.- М.: ООО « РЛС-2005», 2005.- 1440с.
.
Чирков, А.И. Лекарственные сборы/ А.И. Чирков-М.: Медицина, 1993.- 285с.
.
Флора Сев. Кавказа. Определитель: в 3т./ под редакцией А.И.Галушко.- Ростов-
на- Дону: Изд-во Ростовского университета, 1980.- 3т.
.
Демьяненко, В.Г. Оксикоричные кислоты( краткое сообщение)- Х.П.С. 1972№6, с.
796- 797.