Формирователь сигнала мобильной станции системы с кодовым разделением каналов
Содержание
Введение
. Анализ технического задания
. Структурная схема мобильной
станции
. Функциональная схема формирователя
сигнала
.1 Особенности формирователя сигнала
мобильной станции
.2 Передача данных по обратному
каналу
.3 Квадратурно - фазовый модулятор
. Генератор функций Уолша
. Анализ работы обратной линии при
автоматическом регулировании мощности передатчиков
. Технико - экономический анализ
. Вопросы безопасности и
экологичности разработки
Заключение
Список использованных источников
Введение
Мобильная связь рассматривается в настоящее
время как необходимость, а технологии мобильной связи являются наиболее
востребованными и быстро растущими. Системы мобильной связи эволюционировали в
очень короткое время, подтверждая свою необходимость. Сотовая связь - это
общедоступная телефонная связь, рассчитанная на обслуживание подвижных
абонентов. Для передачи используется радиоканал, т.е. сотовая связь является
радиотелефонной связью, а в ее названии иногда используются словосочетания типа
«подвижная (или мобильная) радиотелефонная связь».
Система сотовой связи является очень сложной и
гибкой технической системой, допускающей большое разнообразие, как по вариантам
конфигурации, так и по набору выполняемых функций. В качестве примера сложности
и гибкости системы можно указать, что она может обеспечивать передачу, как
речи, так и других видов информации, в частности факсимильных сообщений и
компьютерных данных. В части передачи речи, в свою очередь, может быть
реализована обычная двусторонняя телефонная связь, многосторонняя телефонная
связь (так называемая конференцсвязь - с участием в разговоре более двух
абонентов одновременно), голосовая почта. При организации обычного
двустороннего телефонного разговора, начинающегося с вызова, возможны режимы
автодозвона, ожидания вызова, переадресации вызова (условный и безусловный).
УДК
621.396.93.037.372
Технологический
Институт
Южного
Федерального Университета
в
г. Таганроге,
Теркун
Юлия Юрьевна
Выпускная
квалификационная работа
«Формирователь
сигнала мобильной станции системы с кодовым разделением каналов»
г.
АННОТАЦИЯ
Выпускная квалификационная работа содержит 60
страниц машинописного текста, 24 рисунка, 2 таблицы.
В квалификационной работе рассмотрен вопрос
формирования сигнала мобильной станции системы с кодовым разделением каналов, а
также проанализирована оценка энергетического выигрыша при автоматическом
регулировании мощности передатчиков. В работе также рассчитаны вероятности
ошибок в гауссовском канале для квадратурной фазовой модуляции.
В выпускной квалификационной работе дано
технико-экономическое обоснование разработки, рассмотрены вопросы безопасности
и экологичности разработки.
1 Анализ технического задания
мобильная станция сигнал канал
Сотовые сети третьего поколения - это сети
множественного доступа с кодовым разделением каналов (CDMA - Code
Division
Multiple
Access), при котором
большое количество мобильных станций одновременно работает в общей для всех
широкой полосе частот (рис.1). Они базируются на использовании шумоподобных
широкополосных сигналов, занимающих полосу частот, значительно превосходящую
полосу частот исходного сообщения. Расширение спектра происходит вследствие
модуляции несущей передаваемыми информационными и широкополосными кодирующими
сигналами.
Рис 1.1 − Упрощенная структурная схема
системы с кодовым разделением каналов
Кодовое разделение каналов осуществляется
использованием взаимокорреляционных свойств специальных кодовых
последовательностей. Эти последовательности, имея функцию корреляции, близкую к
дельта-функции, называются псевдослучайными (ПСП). ПСП передается со скоростью
большей, чем скорость исходного сигнала, после чего полученные сигналы
объединяются в единый поток. При этом полоса частот, используемая в радиоканале,
гораздо шире, чем полоса исходного сигнала. Этот процесс получил название
расширение спектра (Spreading Specter). Псевдослучайные последовательности
выбираются таким образом, чтобы на приемном конце их можно было разделить
(отфильтровать) и отделить сигнал от его псевдослучайной последовательности
("несущей"). Передача единого объединенного потока осуществляется в
одной полосе частот с помощью одного из видов фазовой манипуляции. Поэтому
системы, основанные на CDMA, не требуют разделения полосы частот на отдельные
каналы, что, в свою очередь, облегчает процесс хэндовера (переход из одной соты
в другую).
Псевдослучайные последовательности должны иметь
нулевую корреляцию, т. е. быть взаимонезависимы.
Существует два способа множественного
(многостанционного) доступа с кодовым разделением каналов (CDMA):
· ортогональный многостанционный
доступ;
· неортогональный многостанционный
доступ, или асинхронный многостанционный доступ с кодовым разделением
каналов.позволяет каждой станции осуществлять передачу во всем частотном
диапазоне постоянно. Множественные передачи реализуются с привлечением теории
кодирования. Здесь предполагается, что сигналы, совпадающие по времени
складываются линейно. В CMDA каждый бит-тайм делится на m коротких интервалов,
называемых чипами. Обычно используется 64 или 128 чипов на бит. Каждой станции
присваивается уникальный m-битный код (chip sequence). Чтобы передать 1 бит
станция посылает свой чип-код. Для того чтобы послать нулевой бит, посылается
дополнение чип-кода по модулю один. Никакие другие кодовые последовательности
не разрешены. Например, пусть станции 1 поставлен в соответствие чип-код
01010101, тогда при посылке логической 1 она отправляет код 01010101, а при
отправке логического нуля - 10101010. Если имеется канал с полосой 1 МГц и 100
станций с FDM, то каждая из них получит по 10 КГц (10 кбит/c при 1 бите на Гц).
При CDMA каждая станция использует весь частотный диапазон, так что будет
получена скорость передачи 1 мегачип в секунду. При менее 100 чипов на бит CMDA
обеспечивает большую пропускную способность, чем FDM. Для упрощения введем
двуполярную нотацию, где нулю соответствует -1, а единице +1. Тогда чип-код
станции 1 получит вид -1 +1 -1 +1 -1 +1 -1 +1. Каждая из станций получает
уникальный чип-код. Чип-коды можно представить в виде m-компонентных векторов.
Чип-коды выбираются так, что все они попарно ортогональны (не любой уникальный
чип-код пригоден, так, если станция 1 имеет чип-код 01010101, то станция 2 не
может иметь чип-код 10101001, но чип-код 10100101 вполне допустим).
Когда сигналы от разных станций совпадают во
времени и складываются, принимающая сторона легко может вычислить наличие
соответствующей компоненты. Хотя теоретически наложение слишком большого числа
чип-кодов может создать проблемы и, в конечном итоге, привести к ошибкам.
В настоящее время стремление к развитию
технологии доступа с кодовым разделением каналов объясняется ожидаемым
увеличением плотности абонентов, устойчивостью к помехам, высокой степенью
защищённости передаваемых данных от несанкционированного доступа и лучшими
энергоэкономическими показателями. Ёмкость базовых станций с технологией CDMA
существенно больше по сравнению с существующими стандартами сотовой телефонии,
в которых используется частотное или временное разделение каналов.
Основные элементы этой сети (БПС, КБС, ЦКМС,
ЦЭиТО) по составу совпадают с элементами, используемыми в сотовых сетях с
временным разделением каналов (например, GSM). Основное отличие заключается в
том, что в состав сети CDMA IS-95 включены устройства оценки качества и выбора
блоков (УОКиВБ). Кроме того, для реализации процедуры мягкого
переключения между базовыми станциями, управляемыми разными контроллерами
(КБС), вводятся линии передачи между УОКиВБ и КБС. В центре коммутации
подвижных объектов (ЦКМС) добавлен преобразователь - транскодер (ПТ), который
преобразует выборки речевого сигнала, формат данных из одного цифрового формата
в другой.
Рис 1.2 − Архитектура сети
CDMA
Все существующие стандарты с кодовым разделением
каналов базируются на стандарте IS-95
(Interim Standard
- временный стандарт), разработанном компанией Qual-comm
в 1994 г. На мобильной станции (МС) формируются два типа сигналов: канал
доступа и канал обратного трафика.
Сложными называют сигналы, база которых равная
произведению длительности сигнала на ширину спектра существенно больше единицы:
B=T*∆F,
В»1,
где В,Т и ∆F
-
база, длительность и ширина спектра сигнала соответственно.
В последние годы сложные сигналы стали находить
применение не только в службах ведомственной связи, но и в коммерческих
системах телекоммуникаций. Это объясняется постоянным ростом потребности в
услугах радиосвязи, а поскольку выделенный частотный ресурс жестко ограничен,
приходится использовать его более эффективно. На применении сложных сигналов
базируется технология, позволяющая использовать уже занятые частотные диапазоны
при соблюдении условий полной электромагнитной совместимости.
Основная идея технологии сложных сигналов
основывается на преобразовании узкополосных сигналов с шириной спектра ∆f
в широкополосные сигналы с шириной спектра ∆F
при постоянстве энергии сигналов Е, как показано на рисунке 1.3.
Рис 1.3 − Преобразование
ширины спектра сигналов
Пусть требуется передать сообщение, спектр
которого имеет ширину∆f,
а спектральная плотность энергии может быть оценена отношением ЕI
∆f
.При
использовании широкополосной передачи излучается сигнал с преднамеренно
расширенной полосой ∆F
так,
что спектральная плотность энергии исходного сигнала уменьшается в ∆F/∆f
раз
и составляет Е/∆F.
База
же сигнала, равная произведению ширины спектра на длительность, возрастает при
этом в ∆F/∆fраз.
Из рисунка 1 3, видно, что полученный сложный
(шумоподобный) сигнал по отношению к исходному простому представляет собой шум
с приблизительно постоянной в пределах интервала ∆f
спектральной
плотностью мощности. Ясно, что чем больше "растянута" полоса ∆F
сложного сигнала при постоянстве энергии Е, тем меньше спектральная плотность
энергии сигнала. В итоге получившаяся широкополосная система сможет оказывать
на работающую в том же диапазоне узкополосную систему сколь угодно малое
влияние.
Сигналы с большой базой обеспечивают ряд
преимуществ:
высокую помехозащищенность систем связи;
эффективную борьбу с искажениями сигналов в
канале связи;
одновременную работу многих абонентов в общей
полосе частот за счет кодового разделения каналов;
совместимость передачи информации с измерением
параметров движения объектов;
более эффективное использование спектра частот
на ограниченной территории.
Шумоподобные или сложные сигналы чаще всего
разделяются на типы по методу формирования, определяющему все их свойства и,
как следствие, применимость в той или иной радиоэлектронной системе.
С развитием техники появились некоторые новые
типы сложных сигналов. Все они могут использоваться в качестве переносчиков
информации в системах связи.
Важным моментом построения формирователя
сигналов мобильной станции является выбор метода модуляции и типа сигнала.
Частотно-модулированные сигналы являются
непрерывными сигналами с меняющейся по заранее определенному закону частотой.
Диапазон изменения частоты ∆F
определяет эффективную ширину полосы частот. База такого сигнала равна ∆FT.
Для отдельного экземпляра ЧМ ШПС достаточно просто строится оптимальный
приемник в виде согласованного фильтра (СФ). Однако при изменении закона
изменения частоты требуется замена СФ, что нерационально.
Поэтому такие сигналы применяются в системах, в
которых закон изменения частоты остается постоянным на протяжении всего времени
эксплуатации, например, локационных и навигационных системах.
Для применения ЧМ ШПС в связных системах вместо
континуального применяют счетное множество частот и дискретное время. ЧМ ШПС в
этом случае вырождается в дискретный частотный сигнал (ДЧ ШПС). Пусть
количество дискрет времени равно N,
а длительность одного дискрета равна Т0. Для равномерного заполнения
частотно-временной области элементами ДЧ ШПС необходимо такое же число
частотных дискрет. Следовательно, эффективная полоса частот, занимаемых одним
частотным дискретом, будет равна 1/Т0. Тогда база сигнала В = N2.
Отсюда делаем важный вывод: для получения базы ШПС В необходимо иметь √B
элементов с отличающейся частотой и √B
элементарных интервалов времени. Сказанное значит, что для получения
сверхбольших баз необходимо иметь сравнительно небольшое количество частотных и
временных элементов. Основное достоинство ДЧ ШПС является слабая
чувствительность к частотно-селективным замираниям, т. к. ширина полосы частот,
занимаемой одним элементом мала. Если при этом количество таких элементов
достаточно велико, то такие сигналы слабо подвержены явлению многолучевого
распространения радиоволн, импульсных помех и шумоподобные системы на их основе
отличаются высокой гибкостью при частотном планировании. Основной недостаток
таких сигналов - это высокие требования, предъявляемые к синтезаторам множества
частот в смысле постоянства начальных фаз. Однако в целом такие сигналы очень
перспективны и в системах CDMA
они применяются вместе с ФМн ШПС, образуя дискретные составные частотные
сигналы.
Многочастотные сигналы - более простой вариант
ДЧ ШПС. МЧ ШПС образуется суммированием сигналов с несколькими средними
частотами, т. е. временные дискреты отсутствуют. Как и ДЧ ШПС эти сигналы эффективны
при многолучевом распространении и частотно-селективных замираниях, однако их
формирование значительно проще. Многочастотный ШПС применен в СПС стандарта cdma2000,
в которой информация от одного источника разбивается на три потока и каждый из
них передается на своей несущей. Такой метод отличается гибкостью в
развертывании системы и высокой скоростью передачи.
Фазоманипулированные сигналы, за рубежом
называемые Direct
Sequence, представляют
последовательность радиоимпульсов, фаза которых изменяется на дискретную величину
по определенному псевдослучайному закону. Такие сигналы отличаются простотой
формирования и относительной простотой обработки. Говоря о ШПС, в большинстве
случаев имеют в виду именно этот тип ШПС. К этой группе сигналов принадлежат
последовательности максимальной длины или М-последовательности, коды Голда,
Кассами и др. [2]. База сигналов равна количеству элементарных символов на один
бит информации. Чаще всего ФМн ШПС формируются в регистрах сдвига с обратными
связями (РСОС).
Многоуровневые последовательности применяются в
основном в "чистых" каналах: кабельных сетях, ВОЛС и т. п. В
нестационарных линиях связи, к числу которых относится радиоканал, их прием
затруднителен. МУ ШПС обеспечивают наиболее высокую скорость передачи данных за
счет увеличенного динамического диапазона значений сигнала.
Искажения в канале связи в значительной степени
обусловлены многолучевым распространением сигналов, когда в ходе отражения от
многочисленных препятствий сигнал в точку приема приходит по нескольким путям
(лучам), причем сигналы в разных лучах могут иметь различные амплитуды,
начальные фазы, временные и доплеровские сдвиги. Интерференция лучей в точке
приема приводит к быстрым замираниям и межсимвольной интерференции, что
значительно усложняет работу системы связи. Обычно для компенсации замираний
мощность передатчиков базовых станций ССС увеличивают на 10 - 20 дБ. Применение
сложных сигналов дает более эффективный способ борьбы с многолучевостью.
При использовании сложных сигналов возможно выделение
сигналов отдельных лучей из общей интерференционной картины за счет
корреляционной обработки при приеме. На рисунке 1.4,а изображена комплексная
огибающая фазоманипулированного сложного сигнала длительностью Т.
На рисунке 1.4,б показан сигнал на выходе
коррелятора - отклик коррелятора. Этот отклик соответствует автокорреляционной
функции сигнала (АКФ), которая имеет длительность 2Т, и в ней можно выделить
две резко различающиеся структуры. В центре АКФ - резкий выброс в виде узкого
импульса, называемый центральным пиком, или основным лепестком. Его амплитуда R0,
а длительность обратно пропорциональна ширине спектра сигнала: τ0∞1/∆F
Чем шире спектр сигнала, тем уже центральный
пик. Оставшуюся область АКФ занимают боковые лепестки с максимальным уровнем RA.
На рисунке 4,в изображен отклик коррелятора на несколько сигналов,
пришедших различными путями.
Рис 1.4 - Сложные сигналы и борьба с
многолучевостью
В современных системах чаще
применяется принцип расширения базы сигнала по методу прямого расширения
спектра частот поясняет рисунок 1.5, (а - информационный сигнал; б - кодовая
последовательность; в - информационный сигнал, манипулированный кодом; г
-фазоманипулированный сложный сигнал; д - комплексная огибающая фазоманипулированного
сигнала). На фрагментах а, б, в единичный бит соответствует элементу ″+1″,
а нулевой - элементу ″-1″.
Рис 1.5 - Методы прямого расширения
частот
Единичный бит данных источника информации
инвертирует кодовую последовательность, а нулевой бит оставляет ее неизменной.
На выходе передатчика фазоманипулированные
сигналы U(t)
которых (0 и 180°) меняются по заданному закону. Комплексная огибающая таких
сигналов - последовательность положительных и отрицательных видеоимпульсов V(t).
Дискретный сигнал, кодовая последовательность
которого является бинарной (ai{±l},i=0,l,...,
N-1, т. е. от
импульса к импульсу меняются только начальные фазы, а амплитуды остаются
постоянными), называют бинарным фазоманипулированным (БФМ) сигналом. Прием
сигнала осуществляют с помощью оптимального приемника, который для сигнала с
известными параметрами вычисляет корреляционный интеграл:
где x(t) - входной
сигнал, состоящий из смеси полезного сигнала и шума;ОП(t)- опорная
копия адресной последовательности, известная на приемной стороне; Т - период
кода.
По величине Z принимают
решение о сигнале. Вычисляют корреляционный интеграл с помощью коррелятора или
согласованного фильтра.
Корреляционная обработка сложных сигналов
позволяет добиться энергетического выигрыша при приеме, величина которого
определяется базой сигнала.
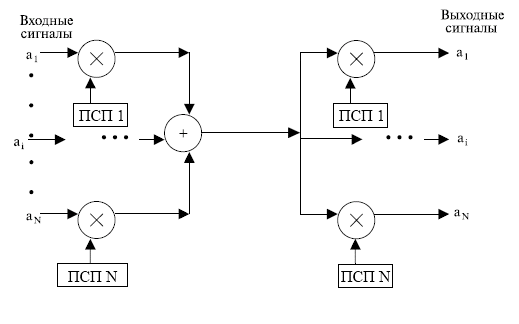
2 Структурная схема мобильной
станции
Структурная схема подвижной станции приведена на
рисунке 2.1. В ее состав входят:
− блок управления;
− приемопередающий блок;
− модуль обработки сигнала;
− логический блок;
− формирователь сигнала;
− синтезатор частот.
Рис 2.1 - Структурная схема
подвижной станции
Формирование сложного сигнала в
мобильной станции происходит в блоках формирователь сигнала (рисунок 2.2) и
модуль обработки сигналов(рисунок 2.3).
Рис 2.2 - Формирователь сигнала
Рис 2.3 - Модуль обработки сигнала
Функционально несложен блок
управления. Он включает в себя микротелефонную трубку - микрофон и динамик,
клавиатуру и дисплей. Клавиатура служит для набора номера телефона вызываемого
абонента, а также команд, определяющих режим работы подвижной станции. Дисплей
служит для отображения различной информации, предусматриваемой устройством и
режимом работы станции.
В состав блока формирователя сигнала
(рисунок 2.2) входят:
− аналого-цифровой
преобразователь (АЦП) - преобразует в цифровую форму сигнал с выхода микрофона
и вся последующая обработка и передача сигнала речи производится в цифровой
форме, вплоть до обратного цифро-аналогового преобразования;
− кодер речи осуществляет
кодирование сигнала речи - преобразование сигнала, имеющего цифровую форму, по
определенным законам с целью сокращения его избыточности, т. е. с целью
сокращения объема информации, передаваемой по каналу связи;
− кодер канала - добавляет в
цифровой сигнал, получаемый с выхода кодера речи, дополнительную (избыточную)
информацию, предназначенную для защиты от ошибок при передаче сигнала по линии
связи; с той же целью информация подвергается определенной переупаковке
(перемежению); кроме того, кодер канала вводит в состав передаваемого сигнала
информацию управления, поступающую от логического блока;
− модулятор - осуществляет
перенос информации кодированного видеосигнала на несущую частоту.
Модуль обработки сигнала (рисунок
2.3) по составу в основном соответствует формирователю сигнала, но с обратными
функциями входящих в него блоков:
− демодулятор выделяет из
модулированного радиосигнала кодированный видеосигнал, несущий информацию.
− декодер канала выделяет из
входного потока управляющую информацию и направляет ее на логический блок;
принятая информация проверяется на наличие ошибок, и выявленные ошибки по
возможности исправляются; до последующей обработки принятая информация
подвергается обратной (по отношению к кодеру) переупаковке;
− декодер речи восстанавливает
поступающий на него с кодера канала сигнал речи, переводя его в естественную
форму, со свойственной ему избыточностью, но в цифровом виде;
− цифро-аналоговый
преобразователь (ЦАП) преобразует принятый сигнал речи в аналоговую форму и
подает его на вход динамика;
− эквалайзер служит для
частичной компенсации искажений сигнала вследствие многолучевого
распространения; по существу, он является адаптивным фильтром, настраиваемым по
обучающей последовательности символов, входящей в состав передаваемой
информации; блок эквалайзера не является, вообще говоря, функционально
необходимым и в некоторых случаях может отсутствовать.
3 Функциональная схема формирователя
сигнала
3.1 Особенности формирователя
мобильной станции
Модуляционные параметры для прямого
и обратного каналов разные. На МС применена 64-кратная ортогональная модуляция.
Используются 64 модуляционных символа - ортогональные функции Уолша Wi(64), каждая
длиной 64 бита. В модуляторе блоку из шести кодовых символов ставится в
соответствие одна из функций Уолша. Пример такой замены показан в таблице 3.1.
Другими словами, в обратном канале шесть кодовых символов образуют один
модуляционный символ.
Таблица 3.1
|
Кодовые символы
|
Модуляционный символ
|
|
1
|
1
|
0
|
1
|
0
|
1
|
W53(64)
|
|
1
|
0
|
1
|
1
|
1
|
0
|
W48(64)
|
Обратимся к функциональной схеме рис. 3.1. В
канале трафика скорость передачи цифрового сигнала на выходе речевого кодера U1(точка
1) может принимать одно из значений, указанных в таблице 3.2. Этот цифровой
сигнал поступает на сверточный кодер U2,
в котором R = 1/3 и число
регистров К = 9. На выходе сверточного кодера формируется кодовые символы с
фиксированной скоростью передачи Вс = 9,6/R
= 28,8 кбит/с. Если скорость входного сигнала U2
ниже, чем 9,6 кбит/с, этот сигнал будет повторен в U2
несколько раз для того, чтобы скорость на выходе кодера (точка 2)
поддерживалась постоянной.
Рис.3.1 - Функциональная схема формирования
сигнала (ШПС) в обратном канале трафика
Таблица 3.2
|
Скорость передачи символов на входе U2, кбит/с
|
9,6
|
4,8
|
1,2
|
|
Число повторений в сверточном кодере U2
|
Нет
|
2
|
3
|
4
|
|
Скорость передачи кодовых символов на выходе
сверточного кодера
|
Bc = 9,6/R
= 28,8
кбит/с
|
В каналах доступа каждый символ кода имеет
фиксированную скорость передачи 4,8 кбит/с и он передается сам и еще
повторяется, т. е. передается дважды. С выхода блока перемежения U3
сигнал поступает на модулятор U4,
который называется ортогональным 64-кратным модулятором. В нем кодовые символы
заменяются на модуляционные, согласно таблице 3.1.
Скорость передачи модуляционных символов BMC
= 28,8∙64/6 =307,2 кбит/с. Модуляционные символы поступают на блок
маскирования U5. В этом блоке
выполняется маскирование избыточных данных, создаваемых повторителем кода при
входной скорости менее 9,6 кбит/с. Маскирующая последовательность формируется
из ПСП генератора длинного кода G1.
Это 14 бит, которые являются последними битами в ПСП. Характер маскирующей
последовательности определяется скоростью передачи данных в кадре.
Устройство А1 - сумматор по модулю два выполняет
расщепление модулирующих символов с помощью ПСП от генератора длинного кода.
Каждый модулирующий символ расщепляется в отношении r
=
BГ∙BMC
= 1,2288∙0,3072 = 4. Каждый модулирующий символ передается в виде четырех
чипов ПСП.
Далее в схеме (рис.3.1) показан квадратурный
фазовый модулятор.
Сигналы разных МС отличаются друг от друга
собственной фазой длинного кода, что позволяет БС на приеме разделить сигналы,
принимаемые от разных МС. В отличие от прямой линии перекрывающиеся
последовательности сигналов разных МС в обратной линии не ортогональны. В
обратном канале (на МС) ортогональные функции Уолша используются для повышения
помехоустойчивости связи, в отличие от БС, где они применяются для уплотнения
каналов.
.2 Передача данных по обратному
каналу
Передача данных от подвижной станции к
базовой существенно отличается от передачи данных в противоположном
направлении. В передатчике подвижной станции имеются две параллельные ветви,
реализующие канал доступа (Access
Channel)
и канал восходящего трафика. Последовательность функциональных блоков приведена
на рисунке 3.2.
Рис.3.2 - Схема формирования сигналов подвижной
станции
Одна и та же короткая ПСП длиной 32768 чипов
используется при передаче как по восходящей (обратной), так и по нисходящей
(прямой) линиям. Все подвижные станции в одной соте работают с одним и тем же
временным сдвигом ПСП. Сигналы от разных подвижных станций различаются
благодаря применению длинной ПСП, генерируемой со скоростью 1,2288 Мчип/с с
использованием маски, уникальной для каждой подвижной станции. Суммирование по
модулю два информационной и расширяющей последовательностей повышает
конфиденциальность передачи.
Двоичная последовательность, характеризующая
сигнал, кодируется сверточным кодом с коэффициентом R
= 1/3 и длиной ограничения L
= 9. Кодированная последовательность подвергается блоковому перемежению с
глубиной 20 мс. Результирующая выходная последовательность имеет скорость R
= 28,8 кбит/с. Она группируется в 6-битовые блоки, которые составляют адрес
одной из 64 взаимно ортогональных последовательностей Уолша. В результате
получается поток последовательностей Уолша со скоростью 307,2 кбит/с. Затем
информационная последовательность направляется в рандомизатор пакетов данных.
Работа этого блока зависит от текущей скорости потока данных, генерируемого
речевым кодером. Если активность пользователя низка и речевой кодер генерирует
поток данных со скоростью менее 9600 бит/с, то информационные биты повторяются
и рандомизатор пакетов выбрасывает некоторое из них псевдослучайным образом.
Это позволяет минимизировать мощность генерируемого сигнала. Полученная
информационная последовательность рассеивается при мощности коротких ПСП PNI
и PNQ. После
преобразования двоичной последовательности в форму биполярных импульсов, сигнал
направляется в квадратурную и синфазную ветви OQPSK-модулятора.
OQPSK-модуляция
позволяет более эффективно использовать усилитель мощности подвижной станции.
Схему, аналогичную изображенной на рисунке 3.2,
можно построить и для обратного канала передачи со вторым набором скоростей (RS2).
В этом случае вместо кода с коэффициентом R
= 1/3 используется сверточный код с коэффициентом R
= 1/2, и скорости передачи данных составляют 14,4; 7,2; 3,6 и 1,8 кбит/с.
По каналу доступа данные передаются со
скоростью 4800 бит/с. Канал доступа используется подвижной станцией для
инициации вызова, обновления информации о местоположении подвижной станции и
для ответа на вызов базовой станции. Каждый канал доступа связан с одним
пейджингом, поэтому их может быть до семи. Большинство функциональных блоков,
задействованных в реализации канала доступа, совпадает с блоками, реализующими
канал трафика.
Структура сообщений, передаваемых по каналу
доступа, аналогична структуре сообщений, передаваемых по каналу синхронизации.
Каждое сообщение имеет 8-битовый заголовок с длиной сообщения, блок данных
длиной от 2 до 842 битов и CRC-блок
длиной 30 битов. Сообщения размещаются в 20-мс кадрах. Поскольку скорость
передачи данных по каналу доступа составляет 4800 бит/с, то в одном кадре
помещается 96 битов. Кадр состоит из 88 информационных битов и восьми конечных
битов кодирования; он также может содержать преамбулу канала доступа,
представляющую собой 96 нулей. Преамбула канала доступа и последовательность
кадров канала доступа формируют слот канала доступа. Передача данных в
пределах слота начинается с короткой случайной задержкой, для того чтобы
разнести по времени моменты начала передачи данных нескольких подвижных
станций, использующих разные каналы доступа. Когда подвижная станция использует
канал доступа в первый раз, она отправляет последовательность пробных сообщений
(пробы доступа) с увеличением мощности до тех пор, пока приемлемый для данной
МС уровень мощности не будет определен.
Базовая станция может принимать сигналы
одновременно от нескольких подвижных станций. Исключение составляет ситуация,
когда две подвижных станции используют один и тот же канал доступа и одинаковые
временные сдвиги ПСП.
Однако, чтобы ограничить нагрузку на систему,
обусловленную передачей данных по каналам доступа, базовая станция ограничивает
количество пользователей, одновременно занимающих один и тот же канал доступа.
Доступ к каналам контролируется путем отправки сообщений с параметрами доступа
по каналу пейджинга.
.3 Квадратурно-фазовый модулятор
При ФМ-2 один канальный символ переносит один
передаваемый бит. Однако, один канальный символ может переносить большее число
информационных бит. Например, пара следующих друг за другом битов может
принимать четыре значения {0 0}, {0 1}, {1 0}, {1 1}.
Если для передачи каждой пары использовать один
канальный символ, то потребуется четыре канальных символа, скажем {s0(t),
s1(t),
s2(t),
s3(t)},
так что М = 4. При этом скорость передачи символов в канале связи оказывается в
два раза ниже, чем скорость поступления информационных битов на входе
модулятора и, следовательно, каждый канальный символ теперь может занимать
временной интервал длительностью ТКС = 2ТС. В частности,
при фазовой модуляции в качестве канальных символов можно выбрать следующие
радиосигналы:
si(t)=s[t,
φi(t)]=A
cos[2πf0t
+ φi(t)]=Re[A
exp{jφi(t)}exp{j2πf0t}],
0≤ t
≤2TC.
где φi(t)≡π(2j+1)/4
- отклонение фазы радиосигнала с номером i
от
фазы немодулированного несущего колебания; Aj(t)=A
exp{j
φi(t)}
- комплексная амплитуда этого сигнала на интервале времени [0, 2TC]
для i
=
0, 1, 2, 3.
В дальнейшем вместо четырех канальных символов
или четырех радиосигналов будем говорить о единственном радиосигнале,
комплексная амплитуда которого может принимать четыре указанных значения,
представляемых на рисунке 3.3 в виде сигнального созвездия.
Каждая группа из двух битов представляется
соответствующими фазовыми углами, все фазовые углы отстоят друг от друга на
90°. Можно отметить, что каждая сигнальная точка отстоит от действительной или
мнимой оси на 45°.
Данный способ модуляции может быть реализован
следующим образом. Последовательность передаваемых битов 0, 1, 1, 0, 0, 1, 0,
1, 1, 1, 0, 0, … разбивается на две подпоследовательности нечетных 0, 1, 0, 0,
1, 0, … и четных 1, 0, 1, 1, 1, 0, … битов.
Рис. 3.3 - Сигнальное созвездие ФМ-4
радиосигнала
Биты с одинаковыми номерами в этих
подпоследовательностях образуют пары, которые удобно рассматривать как
комплексные биты; действительная часть комплексного бита есть бит нечетной
подпоследовательности, а мнимая часть - бит четной подпоследовательности.
Полученные таким образом комплексные биты преобразуются в комплексную
последовательность прямоугольных электрических импульсов длительностью 2ТС
со значениями +1 или -1 их действительной и мнимой частей, которые
используются для модуляции несущего колебания exp{j2πf0t}.
В результате получается ФМ-4 радиосигнал.
Рассмотрим один комплексный бит. Обозначим
символом I значение
электрического импульса, полученное из действительной части этого бита (это
значение бита нечетной подпоследовательности), а символом Q
- значение электрического импульса, полученное из мнимой части этого же
комплексного бита (это значение соответствующего бита четной
подпоследовательности). Отметим, что можно записать I
и Q могут принимать
значения +1 или -1. Очевидно, что можно записать следующие равенства:
Тогда можно сформировать сигнал
Если
теперь ввести обозначения

то
Таким
образом, меняя значения I и Q, можно получить амплитудную и фазовую модуляцию. В
частности, если принять, что I и Q могут принимать
значения +1 или -1, то амплитуда этого сигнала постоянна и равна √2, а
фаза φ принимает
значения +45°, -45°, +135°, -135°. В результате для комплексной амплитуды
высокочастотного сигнала с такой модуляцией можно записать
На
интервале 0 < t ≤ 2TC.
Приведенные
выше равенства позволяют формировать сигналы ФМ-4 с помощью устройства,
функциональная схема которого приведена на рисунке 3.4.
Рис. 3.4
- Функциональная схема устройства формирования ФМ-4 радиосигнала
На вход
первого блока поступают информационные биты, которые преобразуются в
последовательность прямоугольных импульсов положительной и отрицательной
полярности длительностью ТС. Эта последовательность в
демультиплексоре разбивается на две подпоследовательности импульсов с нечетным
и четным номерами, которые направляются в синфазную и квадратурную ветви
соответственно. Импульсы с нечетными номерами в синфазной ветви задерживаются
на время ТС. Далее длительность импульсов каждой
подпоследовательности увеличивается до значения 2ТС, после чего
осуществляется перенос на частоту f0 в каждой ветви.
Сложение результатов перемножений завершает процесс формирования ФМ-4
радиосигнала.
Для
характеризации некоторых свойств модулированных сигналов часто используют так
называемые диаграммы фазовых переходов, которые представляют собой графические
изображения траекторий перемещений сигнальных точек в сигнальном созвездии при
переходе от одного передаваемого канального символа к другому. Для ФМ-4 сигнала
такая диаграмма представлена на рисунке 3.5.
На этой
диаграмме сигнальная точка с координатами (+1,+1) расположенном на линии,
образующей угол +45° с осями координат, и соответствует передачи символов +1 и
+1 в квадратурных каналах модулятора. Если следующей парой символов будет
(-1,+1), которой соответствует угол +135°, то из точки (+1,+1) к точке (-1,+1) можно
провести стрелку, характеризующую переход фазы радиосигнала от значений +45° к
значению +135°.
Полезность
этой диаграммы можно проиллюстрировать на следующем примере. Из рисунка 3.5
следует, что четыре фазовые траектории проходят через начало координат.
Например, переход из точки сигнального созвездия (+1,+1) в точку (-1,-1)
означает изменение мгновенной фазы высокочастотного несущего колебания на 180°.
Поскольку на выходе модулятора обычно устанавливают узкополосный
высокочастотный фильтр, то такое изменение фазы сигнала сопровождается
существенным изменением значений огибающей сигнала на выходе этого фильтра и,
следовательно, во всей линии передачи. Непостоянство значений огибающей
радиосигнала по многим причинам является нежелательным в цифровых системах
передачи.
Рис. 3.5
- Диаграмма фазовых переходов для ФМ-4 радиосигнала
Рис. 3.6
− Функциональная схема устройства формирования ФМ-4 радиосигнала со
смещением
При
фазовой модуляции возможны изменения мгновенных значений фазы высокочастотного
несущего колебания на +180°, в результате чего могут возникнуть значительные
изменения значений огибающей радиосигнала. Эти изменения оказываются не столь
значительными для сигналов с квадратурной фазовой модуляцией со смещением.
Функциональная схема устройства формирования такого радиосигнала изображена на
рисунке 3.6. Этот способ формирования сигнала практически полностью аналогичен
квадратурному способу формирования ФМ сигнала, однако с той лишь разницей, что
подпоследовательность в квадратурной ветви сдвигается во времени
(задерживается) на время ТС или, что эквивалентно, на половину
длительности канального символа. При таком изменении квадратурная
подпоследовательность канальных символов окажется задержанной на время ТС
относительно синфазной подпоследовательности.
На
рисунке 3.7 представлены временные диаграммы последовательностей информационных
битов и соответствующих канальных символов для этой функциональной схемы.
Основное отличие этих диаграмм от аналоговых диаграмм в функциональной схеме
(рисунок 3.5) состоит в том, что теперь изменения уровней сигнала в
квадратурных каналах на выходе расширителей не могут происходить одновременно.
В результате на диаграмме фазовых переходов для данного метода модуляции
отсутствуют траектории, проходящие через начало координат. Это означает, что
мгновенная фаза радиосигнала не имеет скачков на +180° и, следовательно,
огибающая этого сигнала не имеет глубоких провалов, как это имело место при
квадратурной ФМ-4.
Рис.3.7 −
Временные диаграммы при формировании ФМ-4 радиосигнала со смещением
Диаграмма
фазовых переходов ФМ-4 радиосигнала со смещением представлена на рисунке 3.8.
Рис.3.8 −
Диаграмма фазовых переходов ФМ-4 радиосигнала со смещением
Для
различных видов модуляции важной характеристикой считается энергетическое
расстояние между сигналами:
где * −
знак комплексного сопряжения.
Расстояние
между сигналами, получаемое в точке приема, связано с вероятностью ошибки на
бит Рош, например, для гауссовского канала и двоичной модуляции
где N0=kБTш∆F - спектральная
плотность белого шума; kБ - постоянная Больцмана;
Tш - шумовая температура; ∆F - полоса частот приема;
-
функция Лапласа.
Вероятность
ошибки в гауссовском канале для М-ичных сигналов определяется выражением
где ES=E0log2M - энергия на один
символ.
Расчеты:
= E0/N0
4 Генератор функций Уолша
Достижения в технологии
производства интегральных схем привели к созданию больших интегральных схем
(БИС), в объеме которых реализуются блоки, узлы и целые радиоэлектронные
устройства. Техника БИС развивается, в первую очередь, по пути повышения
степени интеграции цифровых схем. К таким схемам относятся: устройства памяти,
регистры, счетчики, распределители, коммутаторы, многоразрядные сумматоры и
т.п. Многоразрядные цифровые регистры явились первым видом схем, которые по
существу открыли эру БИС в микроэлектронике.
Генерирование функций Уолша
может быть осуществлено с помощью динамических запоминающих устройств,
выполненных на сдвигающих регистрах (СР). При предварительной записи системы
функций Уолша в запоминающее устройство на СР снимается вопрос о нарушении
ортогональности функций, поскольку многообразность при генерировании всех
функций будет равна нулю. Это легко обеспечивается при одновременном считывании
последовательностей Уолша с СР с помощью общего для всех СР синхронизатора.
Выполнение СР на БИС позволяет
создать запоминающее устройство с миниатюрными габаритами даже при
использовании системы функций Уолша из 64 последовательностей, применяемых в
сотовых системах связи с кодовым раз для разделения каналов передачи БС.
На рис. 4.1 показана
восьмиканальная схема передачи информации с БС с помощью функций Уолша,
решающих задачу расширения спектра передаваемых сообщений.
В восемь сдвигающих регистров
(СРо,..., CPj)
первоначально записываются 8-разрядные последовательности системы функций Уолша
wal(0, θ),..., wal(7,
θ), с нумерацией, упорядоченной на рис. 4.1 по
Уолшу, где знак +1 соответствует 1, а значение -1 заменено на 0. Блок начальной
записи функций Уолша в СР может быть выполнен как генератор функций Уолша из
функций Радемахера (z= 3).
Отметим, что первый символ функции Уолша оказывается записанным в последний
(правый) разряд СР (см. рис. 4.1). Последовательности Уолша записываются в СР в
"зеркальном" виде.
Сдвигающие регистры схемы (см.
рис. 4.1) имеют обратную связь с выхода последнего разряда СР на первый разряд.
Это позволяет с помощью шин сдвига, на которые поступают импульсы с генератора
тактовых импульсов (ГТИ) синхронизатора, генерировать непрерывную
последовательность состыкованных блоков функций wal(i,θ)
с
соответствующих СР. Выбор номера канала осуществляется синхронизатором в блоке
выбора wal(0, θ),...,
wal(7, θ). Изображенная
на рис. 4.1 схема позволяет подлежащую передаче информацию одного канала
замодулировать любой из восьми функций Уолша. Аналогичным образом
осуществляется формирование сообщений для всех информационных каналов.
На рис. 4.2 приведены временные
диаграммы модуляции информационного сообщения одного канала функцией Уолша wal(5,
θ), получаемой с СР 5.
Рис. 4.2. Временные диаграммы
модуляции информационного сообщения ОНО функцией Уолта wal(5,
θ)
На временной диаграмме 1
представлена часть информационной последовательности X-0110,
которая подлежит передаче с помощью функции Уолша. На диаграмме 2 приведена
последовательность тактовых импульсов (ТИ), поставляемых с ГТИ блока
синхронизатора (см. рис. 4.1). При объеме системы функций Уолша, равной 8,
период следования импульсов ГТИ должен быть, соответственно, в 8 раз меньше
длительности единичной информационной посылки. На диаграмме 3 показана
последовательность из состыкованных блоков функции Уолша wal (5, θ) =
7= 10010110, снимаемых
с CP5 и
поступающих через блок выбора каналов на логические схемы И и НЕ. На выходе
схемы НЕ образуется инвертированная последовательность Уолша wal(5, θ) =Y =01101001 ,
приведенная на диаграмме 6(Y), которая поступает на вторую схему
И. На вторые входы схем И заводятся, соответственно, информационная
последовательность X и
инвертированная с помощью схемы НЕ последовательность Х=1001 (диаграмма 5). Это
дает возможность для передачи информационного символа "1"
использовать "прямую" функцию Уолша ХY (диаграмма
4), а при передаче информационного "0" - инвертированную функцию
Уолша
(диаграмма
7). В конечных схемах ИЛИ выходы двух схем И объединяются (XY+
- диаграмма
8) и поступают на модулятор передатчика (возможно с предварительным
суммированием по модулю 2 с псевдослучайной последовательностью). Таким образом
решается задача кодового разделения каналов с использованием функций Уолша на
базовых станциях сотовых систем связи. При использовании генератора функций
Уолша на СР обеспечивается полная ортогональность передаваемых сообщений.
На мобильных станциях также
используются функции Уолша, но, в первую очередь, для расширения спектра
сигналов. На МС осуществляется преобразование очередных 6 информационных битов
в соответствующую функцию Уолша. При этом объем системы Уолша оказывается
равным 26 = 64. Принципы преобразования можно пояснить с помощью
функциональной схемы, приведенной на рис. 4.3, где для упрощения
рассматривается вариант преобразования трех информационных битов в систему из 23
= 8 функций Уолша.
На рис. 4.4 показаны временные
диаграммы работы преобразователя.
Предназначенная к передаче информационная
последовательность (рис. 4.4) поступает на трехразрядный СР (Х1 Х2
Х3) и продвигается от входа к выходу СР за счет поступления на шину
сдвига импульсов с генератора тактовых импульсов (ГТИ информ), включенного в
состав синхронизатора. Путем деления частоты этих импульсов на 3 формируются
импульсы съема трехбитовой информационной последовательности с СР. Информация с
разрядов X1 X2 Х3
снимается одновременно и параллельно поступает на вход одноступенчатого
(матричного) дешифратора.
Рис. 4.3 - Преобразователь трех
информационных битов в 8-символьную последовательность Уолша
На восемь трехвходных схем И
дешифратора входные сигналы X, принимающие значение 1,
подаются в прямом коде, а принимающие значение 0 -в инвертированном виде X с выходов
трех схем НЕ. Таким образом, при записи в СР очередных трех битов информации на
выходе одной из схем И дешифратора появляется импульс, запускающий последующий
соответствующий триггер Т. На временных диаграммах 4 показаны импульсы на
выходе триггеров, связанных со схемами И, дешифрирующими последовательно
трехбитовые блоки информационной последовательности 11,010и110. Сброс триггеров
в исходное состояние производится очередным импульсом с делителя частоты на 3.
Импульсы с выходов триггеров
поступают на схемы совпадения И, на вторые входы которых поступают тактовые
импульсы 5 с генератора тактовых импульсов с периодом, равным длительности
элементарного символа функций Уолша (ГТИ Уолша). На выходе соответствующих схем
И появляются при этом пакеты из восьми импульсов ГТИ Уолша, которые
последовательно поступают на шины сдвига сдвигающих регистров СРз, СР2
и СР6 и обеспечивают выдачу с этих регистров функций Уолша wal(3,θ), wal(2, θ) и wal(6, θ). Из-за
наличия обратной связи с последнего разряда СР на первый выданная на схему ИЛИ
последовательность Уолша вновь оказывается записанной в СР. Выходная схема ИЛИ
объединяет выходы всех CP0... CP7 и формирует непрерывную последовательность
импульсов, составленную из восьми символьных функций Уолша. Эта
последовательность поступает на модулятор передатчика МС.
Принципы построения функциональных
схем для ССС с кодовым разделением каналов на стороне БС (см. рис. 4.1) и на
стороне МС (см. рис. 4.3) рассмотрены в предположении использования системы функций
Уолша с объемом, равным 8. Однако в реальной системе с кодовым разделением
каналов CDMA2000 1Х
используется система с объемом в 64 функции Уолша. Система функций Уолша или
уолш-элементов состоит из постоянной функции wal(0, θ), четных
функций cal (z, θ) и нечетных
функций sal(i, θ) на интервале
-1 /2 < 0 < +1/2, где θ = t/T
безразмерное время. Ортогональные уолш-элементы cal(i, θ) = wal(2i, θ) и sal(i, θ) = wal(2i-l, θ), причем числа
2i и 2i-1 приведены
как в десятичной, так и в двоичной системе.
Рис. 4.4 - Временные диаграммы
преобразователя
Реальное проектирование и создание
подобных систем большого объема возможно только с применением
специализированных БИС. При разработке специализированных цифровых устройств в
России уже давно используют высокотехнологичную элементную базу -
программируемые логические интегральные схемы (ПЛИС) или СБИС ПЛ (programmable logic device - PLD), которые,
удачно дополняя и заменяя микропроцессорные средства, стали широко использоваться
в различных областях для создания специализированных контроллеров, в системах
телекоммуникаций, цифровой обработки сигналов и т. д. Развитие элементной базы
СБИС ПЛ позволило создавать на кристалле стандартные процессорные ядра и решать
практически любые задачи по построению программно-аппаратных систем на одной
микросхеме с использованием единых средств проектирования и отладки.
5 Анализ работы
обратной линии при автоматическом регулировании мощности передатчиков
Один из способов поддержания эффективности
функционирования радиолиний с подвижными объектами (ПО) на высоком уровне -
автоматическое регулирование мощности излучения передатчиков (АРМП),
существенно улучшающее электромагнитную совместимость радиолиний с ПО благодаря
снижению внутризоновых и межзоновых помех. Не менее важным показателем,
характеризующим эффективность АРМП, является снижение энергетических затрат и
связанное с ним увеличение продолжительности работы мобильных станций.
Оценим эффективность АРМП в радиолинии с ПО по
показателю энергетического выигрыша в соответствии методикой [14],
определяемого выражением:
(5.1)
где
- номинальная мощность передатчика в
нерегулируемой радиолинии;
- средняя
мощность передатчика в радиолинии с АРМП.
Рассмотрим следующий случай
регулирования мощности излучения передатчиков в радиолиниях:
- абонентские станции (АС) находятся в
неподвижном состоянии, причём вблизи них нет эффективно переизлучающих
объектов;
АС либо объекты, расположенные в
непосредственной близости от них, перемещаются.
В первом случае отсутствует многолучевость. Во
втором случае вследствие интерференции лучей, приходящих по различным путям с
различными изменяющимися расстояниями, возникают замирания, приводящие к
случайным изменениям во времени амплитуды и фазы результирующего сигнала.
Для этих ситуаций при изменении местоположения
АС, равноудаленных от базовой станции (БС), затухание (уровень сигнала) на
трассе распространения, обусловленное рельефом местности, распределено по
логарифмически нормальному закону с медианным значение, определяемым
характеристиками радиоканала, и среднеквадратическим отклонением, зависящим от
разности высот.
Рассмотрим случай медленного АРМП,
компенсирующего изменения затуханий сигналов на трассах одинаковой
протяженности, в радиолиниях с АС, которые расположены в различных точках зоны
обслуживания БС.
В радиолинии БС-АС осуществляется дискретное
регулирование мощности с постоянным шагом ∆Z
= 2дБ, т. е. дельта-регулирование.
Рассчитаем эффективность АРМП при замираниях
из-за многолучевого распространения радиоволн.
Оценим энергетический выигрыш. Значение мощности
в ватах для i-й градации
Где
Среднее значение мощности излучения
передатчика при дискретном регулировании
(5.2)
где
-
вероятность использования i-й градации мощности; М - число
градаций мощности передатчика с АРМП.
Для упрощения запишем (5.2) в виде :
,
где
Рассчитаем вероятности
работы
радиолинии с мощностью
,
Для этого предварительно найдем вероятность того, что при
мощности P i в
радиолинии будет обеспечена требуемая достоверность, то есть
(5.3)
где Zσi - медианное
значение превышения уровня сигнала над уровнем помех на входе приемника при i-м уровне мощности
передатчика: Zдоп− допустимое (пороговое) значение превышения уровня
сигнала над уровнем помех в точке приема, определяемое допустимой вероятностью
ошибки; σz − среднеквадратическое отклонение (СКО) случайной
величины Z относительно
медианного значения.
Требуемая
вероятность связи
где εМ = (Zм - Zдоп)/ σz, а Zм− медианное
значение превышения уровня сигнала над уровнем помех на входе приемника при М-м
уровне мощности передатчика.
Необходимо иметь в
виду, что
Вероятность работы
радиолинии на i-й градации мощности:

(5.4)
Величина Zдоп зависит от
допустимой вероятности ошибки, вида сигнала и способа его обработки. Для
радиолинии с релеевскими замираниями

Для
обеспечения требуемой вероятности связи Qсв.тр медианный уровень отношения сигнал/помеха на входе
приемника должен быть:
С учетом (5.1) (5.2) и (5.4) рассчитаны значения
средней мощности и энергетического выигрыша от АРМП в радиолинии с
логарифмически нормальными замираниями при различных значениях Qсв.тр
и σZ
построены
графики (рис.5.1). Как видно из рис. 1, с увеличением Qсв.тр
и σZ
энергетический выигрыш возрастает. Так, например, для Qсв.тр
=
0,9, σZ
=
7 дБ энергетический выигрыш для радиолинии с релеевскими замираниями составляет
6,197 дБ; при σZ
= 8 дБ и 9 дБ − соответственно Вэн.зам = 6,813 дБ и 7,434 дБ.
Рис. 5.1
С увеличением Qcв.тр и
σZ энергетический выигрыш возрастает.
Рассчитаем эффективность
АРМП в отсутствии релеевских замираний сигнала.
Рассмотрим случай,
когда АС выходит на связь с БС во время остановок с площадок, на которых
отсутствует эффективно переизлучающие объекты. В этом случае:
(5.5)
Вероятность работы
радиолинии на i-й градации мощности находится с помощью (5.3) и
(5.4), при этом Zдоп.б/зам определяется выражением (5.5),а средняя мощность при АРМП
- формулой (5.2).
Рассчитанные с помощью (5.1) значения
энергетического выигрыша, получаемого за счет АРМП, в радиолинии при отсутствии
релеевских замираний сигнала приведены на рис.5.2.
Рис. 5.2
Как видно из рисунка, величина
энергетического выигрыша зависит от требуемой вероятности связи и допустимой
вероятности ошибки. Так, например, для Qсв.тр = 0,9 при σZ = 7 дБ и
заданной вероятности ошибочного приема элемента сигнала pош.доп = 10-1
энергетический выигрыш для рассматриваемого случая составляет 8,41 дБ; при pош.доп =10-2
и 10-3 − соответственно, Вэн.б/зам = 13,743 и
21,398 дБ.
Как видно из рис.5.1 и5.2,
энергетический выигрыш, получаемый за счет АРМП, в радиолинии без замираний
сигнала оказывается значительно выше, чем в радиолинии с замираниями.
Усредненный
энергетический выигрыш (при релеевских замираниях и их отсутствии).
Усредненное значение энергетического выигрыша,
получаемого за счет АРМП,
В этом выражении:
−
усредненное по состояниям среднее значение мощности передатчика в радиолинии с
АРМП;
и
−
среднее значение мощности передатчика при релеевских замираниях и их
отсутствии;
(
) -
вероятность того, что в радиолинии присутствуют (отсутствуют) релеевские
замирания.
С использованием (5.6) и (5.7) получены графики
зависимости Bэн
от разности между Qэн.б/зам
и Qэн.зам
(рис.5.3). Как видно из рисунка 5.3, с увеличением этой разности усредненный
энергетический выигрыш возрастает. Так, например, для σZ
= 7 дБ, Qсв.тр =
0,9 и заданной вероятности ошибочного приема элемента сигнала pош.доп
= 10-3 при разности Qэн.б/зам-
Qэн.зам
= -0,5 усредненный энергетический выигрыш Вэн = 7,39 дБ; при Qэн.б/зам-
Qэн.зам
= 0 получаем Вэн = 9,05 дБ; при Qэн.б/зам-
Qэн.зам
= 0,5 − Вэн= 11,85 дБ. Для σZ
= 7 дБ, Qсв.тр =
0,9 при Qэн.б/зам-
Qэн.зам
= 0,5 и вероятности ошибочного приема элемента сигнала pош.доп
=10-1 усредненный энергетический выигрыш составляет 7,74 дБ; pош.доп
= 10-2 получаем Вэн = 10,38 дБ; pош.доп
= 10-3 имеем Вэн=11,85 дБ.
Рис. 5.3
Из приведенного анализа следует, что
автоматическое регулирование мощности излучения передатчиков позволяет получить
значительный энергетический выигрыш. При использовании передатчиков с
одинаковой максимальной мощностью энергетический выигрыш за счет АРМП в
радиолинии без релеевских замираний оказывается значительно выше, чем в
радиолинии с релеевскими замираниями. Усредненное значение энергетического
выигрыша в радиолинии с АРМП зависит от соотношения вероятностей
и
, возрастая
с увеличением разности между ними.
Как уже упоминалось ранее,
управление мощностью чрезвычайно важно для работы CDMA-системы. В
системе IS-95 реализованы
различные механизмы регулировки мощности.
При работе в режиме открытой петли
управления мощностью, подвижная станция измеряет мощность сигнала, принимаемого
от базовой станции, пытаясь установить уровень этого сигнала в блоке
автоматической регулировки усиления.
Пороговый уровень мощности зависит
от диапазона, в котором работает система, и равен -73 дБ для 800-МГц диапазона
и -76 дБ для 1800-МГц диапазона. Используемые в (5.1) параметры
передаются по каналу синхронизации и определяются размером соты,
чувствительностью приемника и уровнем эффективной излучаемой мощности.
Заметим, что приведенный выше способ управления
мощностью не очень точен, поскольку при дуплексной передаче данных реализовано
частотное разделение, и частоты восходящих и нисходящих каналов различаются на
45 МГц в 800-МГц диапазоне и на 80 МГц в 1800-МГц диапазоне. Поэтому
мощность принимаемого подвижной станцией сигнала лишь частично характеризует
потери при распространении по восходящей линии связи. Если говорить более
точно, работа в режиме открытой петли управления мощностью не может
скомпенсировать быстрые замирания в восходящей линии связи. Для решения этой
проблемы базовая станция измеряет мощность принимаемого от подвижной станции
сигнала и посылает соответствующие команды управления мощностью. Каждый 20-мс
кадр разделен на 16 групп управления мощностью. Каждая группа эквивалентна
шести битам последовательности, передаваемой по восходящей линии связи, или,
что тоже самое, одному символу Уолша, используемому в ортогональной модуляции
при передаче данных по восходящей линии связи. В каждой группе управления
мощностью измеряется отношение сигнал/помеха, которое затем сравнивается с
опорным значением. В зависимости от результата принимается решение об
уменьшении или увеличении мощности подвижной станции. Как уже отмечалось ранее,
биты управления мощностью замещают собой биты, расположенные в псевдослучайных
положениях кадра, определяемых генератором длинной ПСП. Динамический диапазон
системы замкнутой петли управления мощностью с обратной связью составляет ±24
дБ. Если принимать во внимание управление мощностью по открытой петле
управления, то суммарный динамический диапазон составит ±32 дБ для 800-МГц
диапазона и ±40 дБ для 1800-МГц диапазона. Конечной целью физического уровня
системы считается обеспечение требуемого качества передачи данных, которое
определяется допустимой частотой появления ошибок. Поэтому уровень отношения
сигнал/шум устанавливается так, чтобы обеспечить достижение указанной цели в
данной соте.
В нисходящей линии связи также осуществляется
регулировка мощности в узком динамическом диапазоне. Базовая станция постепенно
уменьшает излучаемую мощность с периодичностью 15-20 мс до тех пор, пока
количество ошибок в кадре, измеряемое подвижной станцией, не достигнет
заданного предела.
6 Технико-экономический анализ
Последние десятилетия отличаются стремительным
развитием теории и практики в области создания сотовых систем радиосвязи
с подвижными объектами, потребности в которых с каждым годом все возрастают.
Внедрение сотовых систем подвижной связи в различные сферы деятельности
показало их несомненную перспективность и необходимость дальнейшего
усовершенствования. В связи с тем, что основные усилия при проектировании
систем были сосредоточены на обеспечении высокой помехоустойчивости приема
радиотелефонных сообщений, в этом направлении достигнуты определённые успехи,
которые приблизили сотовую связь по качеству принимаемой информации к уровню
проводной телефонной связи. Нецелесообразно при этом использование для учебных
целей серийных систем связи. В связи с тем, что любая
фирма-производитель предоставляет только потребительские данные выпускаемой
продукции, а ее схема подключения, принципиальная схема и. д. являются
недоступной информацией. Помимо этого необходимо учитывать, что
современные системы строятся не только на аналоговой элементной базе, но и на
интегральных микросхемах, что не позволяет изучить принцип работы системы, даже
зная ее принципиальную схему. И самая важная причина
довольно высокая стоимость: цена среднего по своим возможностям
модуля формирования сигналов сотовой связи, главной составляющей
которой является модуль формирования сигналов, составляет от
10000 до десятков миллионов рублей.
Проектируемая система должна
обладать всеми основными качествами реальной системы связи, но
при этом допускаются упрощения, не имеющие принципиального значения и
позволяющие снизить стоимость устройства.
Достоинством разрабатываемой системы являются
простота схемы и доступность понимания ее работы.
7 Вопросы безопасности и
экологичности разработки
При проектировании модуля формирования сигналов
мобильной станции наиболее вероятной чрезвычайной ситуацией является пожар.
Причины возникновения пожара носят электрический
характер. К ним относятся: короткие замыкания, перегрузки и искрения.
Источником высоких температур и пламени в модуле формирования сигналов
мобильной станции являются радиодетали.
Печатные платы, выполняемые из текстолита,
стеклопластика на основе полиэфирных и эпоксидных смол, могут загораться от
перегретых деталей.
Вторичными последствиями пожаров могут быть
взрывы и утечки ядовитых или загрязняющих веществ в окружающую среду; кроме
того, большой ущерб нетронутым огнем помещениям и хранящихся в них предметах
может принести применение для тушения пожара водой.
Согласно СНиП 2.01.02-85, производственные
здания и склады подразделяются на категории в зависимости от характеристики
используемых или получаемых в производстве веществ и их количества, по
взрывной, взрывопожарной и пожарной опасности.
Наше помещение относится к категории ″Д″.
К этой категории относятся производства, связанные с обработкой несгораемых
веществ и материалов в холодном состоянии, а также служебные вспомогательные
помещения второй степени огнестойкости.
Согласно ПЭУ-85 наше помещение относится к
пожаростойкой зоне класса п-Па. К ним относятся зоны, расположенные в
помещениях, в которых обращаются твердые горючие вещества.
Согласно СНиП 2.01.02-85 здание, где находится
рабочее место, относится к зданиям п-Па степени огнестойкости. Все конструкции
(стены, перекрытия, перегородки) выполнены из негорючих материалов с пределом
огнестойкости до 2-2,5 г.
Курение в помещении, использование в работе
легко воспламеняющихся веществ, нарушение правил обращения с огнем - относятся
к причинам возникновения пожара бытового характера. Для предотвращения такого
рода пожаров должны быть специальные оснащенные места для курения,
оборудованные урной и табличкой. При отсутствии таковых мест, курение на
территории здания запрещается совсем.
Невнимательность людей на рабочем месте и
несоблюдение правил пожарной безопасности является главной причиной
возникновения пожара. Для предотвращения этого с сотрудниками должен
обязательно проводиться инструктаж по технике безопасности. Бели в помещении
работает группа людей, то назначается старший.
Для тушения возможного пожара в помещении должен
иметься ручной углекислый огнетушитель ОУ-2, предназначенный для тушения
электрооборудования и радиоустройств, находящихся под напряжением, и других
горючих веществ и ручной огнетушитель химический пенный ОХП-10, предназначенный
для тушения легковоспламеняющихся и горючих жидкостей и других горючих веществ.
Быстрая ликвидация возникшего пожара во многом
зависит от своевременного извещения о пожаре. Распространенным средством
извещения является телефонная сеть, к которой подключается приемная станция,
принимающая сигналы от извещателей и передающая их в помещение пожарной
команды. Чаще всего применяются комбинированные автоматические извещатели,
реагирующие на тепло и дым. Находят применение и ультразвуковые извещатели,
реагирующие на изменение ультразвукового поля при возгорании.
В случае же возникновения пожара, как указано в
плане эвакуации этажа, следует воспользоваться одной из двух имеющихся лестниц
и вывести всех сотрудников и студентов во двор или на улицу.
Для профилактики возгорания используются
следующие методы:
− вытяжная вентиляция ГОСТ 351318.1.14-99
, охлаждение воздуха для отвода тепла от ЭВМ кондиционером LG
S07LHP
ГОСТ 22270-76;
− система бесперебойного питания Asus
53-HV ГОСТ-Р 50745;
− регулярные мероприятия противопожарной
профилактики, 1 раз в 7 дней.
В соответствии с Конституцией Российской
Федерации каждый имеет право на благоприятную окружающую среду, каждый обязан
бережно относиться к природным богатствам, которые являются основой устойчивого
развития, жизни и деятельности народов, проживающих на территории Российской
Федерации.
Основными направлениями по решению проблем
окружающей среды являются технические (технологические) и организационные
способы защиты. К первой группе относятся: совершенствование технологических
процессов и разработка нового оборудования с меньшим уровнем выбросов примесей
и отходов в окружающую среду.
Среди технических и технологических способов
минимизации воздействия производств на окружающую среду присутствует
регулирование источников физического воздействия на окружающую среду,
включающее в себя регулирование источников радиационного и электромагнитного
воздействия, снижения уровня шума и вибрации, уменьшение сбросов и выбросов
тепла.
Другой активной формой защиты окружающей среды
от вредного воздействия выбросов промышленных предприятий является «безотходная
технология». Это комплекс мероприятий в технологических процессах от обработки
сырья до использования готовой продукции, в результате чего сокращается до
минимума количество вредных выбросов.
При использовании организационных подходов к
защите окружающей среды на первое место выходят не технологические
усовершенствования, а более рациональное использование имеющихся ресурсов. В
данном случае, при проведении эксперимента для формирователя сигналов, можно
улучшить характеристики рабочего места (снизить уровень электромагнитного
излучения, попадающего на людей), корректно разместив лабораторные стенды в
пределах помещения.
При внедрении любого нового технического
устройства заранее нельзя учесть все отрицательные последствия при его
эксплуатации, ремонте или утилизации. Потому инженер-разработчик должен
учитывать, каким образом будет утилизироваться прибор в конце срока
эксплуатации. Возможно, с учётом этого фактора, разрабатываемый макет будет
иметь меньший КПД, но, после окончания его срока эксплуатации, не произойдёт,
например, загрязнения почвы солями тяжёлых металлов.
В процессе эксплуатации формирователь сигналов
не делает химических и радиоактивных выбросов в окружающую среду. Основные узлы
устройства выполнены в виде блоков, что позволяет при выходе блока из строя или
усовершенствовании элементной базы - производить замену одного блока, а не
всего устройства.
Заключение
В аттестационной работе рассмотрен формирователь
сигнала мобильной станции системы с кодовым разделением каналов.
Проанализирована оценка энергетического выигрыша при автоматическом
регулировании мощности передатчиков. В работе также рассчитаны вероятности
ошибок в гауссовском канале для квадратурной фазовой модуляции.
В выпускной квалификационной работе дано
технико-экономическое обоснование разработки, рассмотрены вопросы безопасности
и экологичности разработки.
В квалификационной работе представлены чертежи
структурной схемы формирователя сигнала (ШПС) в обратном канале трафика.
Чертежи выполнены согласно требованиям ЕСКД.
Список
использованных источников
1. Ипатов
В.П., Орлов В.К., Самойлов И.М., Смирнов В.Н. Системы мобильной СВЯЗИ.//М. -
Горячая линия - Телеком - 2003. - 272 с.
2. Шиллер
И. Мобильные коммуникации.//М. - 2002.
3. Усатенко
С.Т., Каченюк Т.К., Терехова М.В. Выполнение электрических схем по ЕСКД//М. -
Издательство стандартов - 1989 - 325с.
4. Побережский
Е.С. Цифровые радиоприёмные устройства//М. - Радио и связь- 1987 .
5. Зюко
А.Г., Коробов Ю.Ф. Теория передачи сигналов//Связь. - 1972. - 280с.
6. Пенин
П.И. Системы передачи цифровой информации: Учебное пособие для вузов. - М.:
Сов. радио, 1976. - 368 с.
7. Котельников
В.А. Теория потенциальной помехоустойчивости. М.-Л., Госэнергоиздат, 1956. -
409 с
8. Сергиенко
А.Б. Цифровая обработка сигналов - СПб.: Питер, 2002 - 608 с.: ил.
10. Финк
Л. М. Теория передачи дискретных сообщений. - М.: Сов. радио, 1970.
11. Непомнящий
Е.Г. Экономика и управление предприятием. Таганрог: изд. ТРТУ, 1997.
12. Технико-экономическое
обоснование дипломных проектов. - /под ред., ВеклемишоваВ.К. - М: Высшая школа,
1991. - 176с.
13. Охрана
труда на предприятиях связи. Учебник для ВУЗов /Н.И. Бакланов, Н.Ж.Китаева. -
М: Радио и связь. 1985. - 280 с.
14. Постушков
В.П., Гужва А.Ю., Почанин М.В. Оценка энергетического выигрыша в радиолинии при
автоматическом регулировании мощности. - «ЭЛЕКТРОСВЯЗЬ», №2, 2004.