Разработка конструкторской документации на изделие 'USB-термометр'
Разработка
конструкторской документации на изделие "USB-термометр"
СОДЕРЖАНИЕ
термометр микроконтроллер программный продукт
ВВЕДЕНИЕ
1. Описание
структуры микроконтроллера
. Программный
продукт микроконтроллера
. Описание
схемы электрической принципиальной «USB-термометр»
. Выбор и
обоснование элементной базы
.
Проектирование резистивной микросборки
.1
Электрический расчет микросборки
.2 Расчет
микросборки
.
Конструкторский расчет
. Компоновка
изделия
. Расчет на
надежность
. Расчет на
тепловое воздействие
. Расчет на
механическое воздействие
. Расчет на
технологичность изделия
ЗАКЛЮЧЕНИЕ
БИБЛИОГРАФИЧЕСКИЙ
СПИСОК
ПРИЛОЖЕНИЕ
ВВЕДЕНИЕ
Развитие в конструировании электронной техники происходит с каждым годом.
Это связано в первую очередь с развитием полупроводниковых элементов. Замена
электронных ламп на полупроводниковые транзисторы и диоды открыло новый этап в
конструировании электронной техники, уменьшились размеры электронных приборов,
повысилась их надежность, это также привело к уменьшению веса изделия и
габаритов. Наряду с интеграцией большого числа сходных приборов развивается
также интеграция в одной микросхеме приборов, использующих различные физические
принципы. При этом помимо физических процессов в полупроводниках, используют
процессы в диэлектриках, сверхпроводниках, магнитных пленках.
Проектирование современной радиоэлектронной аппаратуры (РЭА) - это
сложный процесс, в котором взаимно увязаны принципы действия радиоэлектронных
систем схем и конструкции аппаратуры и технология, ее изготовления. Все
развитие в электронной техники стремится не посредственно к уменьшению
габаритов готового изделия, и упрощения его создания. Для такой цели появились
микросборки.
Микросборка, блок радиоэлектронной аппаратуры в микроминиатюрном
исполнении, собранный из дискретных электронных приборов, электро- и
радиокомпонентов и бескорпусных интегральных схем в различном сочетании.
Предназначена для реализации частной целевой функции (напр., генерирования или
усиления электрических колебаний определенного вида).
В данной курсовой работе будет рассмотрена схема «USB-термометра». USB-термометр - это устройство для
измерения температуры, данные при этом вводятся на компьютер по средством
разъема USB.
Целью данной курсовой работы является: Спроектировать изделие «USB-термометр», с минимальными
габаритами, не ухудшающим его работe. Для этого использовать современную элементную базу, и разработать
резистивную микросборку. Так же разработать минимальный комплект
конструкторской документации.
.
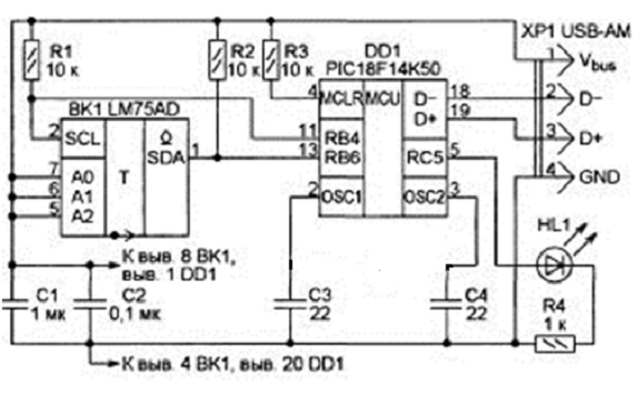
ОПИСАНИЕ СХЕМЫ ЭЛЕКТРИЧЕСКОЙ ПРИНЦИПИАЛЬНОЙ «USB-термометр»
USB-термометр
предназначен для измерения температуры. Схема термометра показана на рис. 1.
Прибором управляет микроконтроллер PIC18F14K50 (DD1), имеющий встроенный модуль
USB. Температуру измеряет цифровой датчик LM75AD (ВК1). Он связан с
микроконтроллером шиной I2C и имеет на ней адрес ведомого
1001111.
В датчике имеется регистр-указатель, код в котором адресует один из
четырех информационных регистров. По нулевому адресу находится двухбайтный
регистр температуры Temp_data, хранящий ее текущее значение, измеренное
датчиком. Этот регистр работает только на чтение. В таблице показано, как в нем
размещены двоичные разряды значения температуры. Если разряд D10 равен 0, то
температура выше нуля.
Рис. 1. Схема USB-термометра
В компьютере для работы с термометром необходимо установить программный
драйвер. Он создаст виртуальный СОМ-порт. Режим работы порта: восемь
информационных разрядов без контроля четности и один столовый, скорость обмена
информацией определяется автоматически. По умолчанию опрос микроконтроллером
датчика температуры происходит каждые 5 с. Полученное значение в градусах
Цельсия передается по интерфейсу USB строкой из пяти символов: десятки,
единицы, точка, десятые доли, пробел.
.
ОПИСАНИЕ СТРУКТУРЫ МИКРОКОНТРОЛЛЕРА
Компания Microchip Technology Inc. выпускает широкую номенклатуру PIC
контроллеров с интегрированным модулем USB, поддерживающим спецификацию 2.0. В
настоящее время выпускаются 8-и, 16-и и 32-х битные полноскоростные (Full Speed
- FS) USB микроконтроллеры в корпусах с числом выводов от 28 до 100, с
поддержкой функций устройство, хост и OTG.
Ядро. Микроконтроллеры семейства K50 имеют расширенную систему команд.
Дополнительно к стандартным 75-ти инструкциям ядра PIC18 новые микроконтроллеры
поддерживают команды расширяющие функциональность ядра. Дополнительные восемь
инструкций пополняют операции с косвенной и индексной адресацией, в новом ядре
также реализована индексная адресация со смещением для многих стандартных
инструкций ядра PIC18. Расширение системы команд по умолчанию запрещено. Для
разрешения работы расширенных команд служит специальный бит XINST в битах
конфигурации микроконтроллера. Таким образом, реализуется полная программная
совместимость со стандартным ядром, если пользователь использует новые
микроконтроллеры со старым программным обеспечением.
Расширенные инструкции предназначены для улучшения оптимизации и
возможности создания реентерабельного кода на языках высокого уровня, например
на Си. Наряду с прочим, расширенные системы команд позволяют компиляторам
языков высокого уровня эффективно выполнять такие операции над данными как:
· автоматическое размещение и освобождение области программного
стека при входе и выходе из подпрограмм;
· вызов функции по указателю;
· манипулирование с указателями на программный стек;
· работа с переменными расположенными в программном стеке.
Контроллеры серии K50 могут работать с максимальной тактовой частотой
48МГц в диапазоне напряжений от 2.7 до 5.5В, и на частоте 20МГц в диапазоне от
1.8 до 2.7В.
Интерфейсы. Модуль USB контроллеров PIC18F1xK50 поддерживает LS (Low
Speed - 1.5Мб/с) и FS (Full Sped - 15МБ/с) спецификации USB 2.0. Контроллеры
имеют по 256 байт выделенной для работы с USB двухпортовой ОЗУ, поддерживают 16
конечных точек (по 8 на вход и на выход). Для определения физического
подключения микроконтроллера к шине USB контроллеры имеют возможность
формирования прерывания по изменению состояния на выводах D+ и D-. Так же как и
старшие контроллеры семейства PIC18, новые 20-и выводные контроллеры содержат
все необходимое для прямого подключения к USB хосту (встроенный USB модуль с
трансивером, подтягивающие резисторы на линии D+ и D- для задания скорости
шины), но не могут работать с внешним USB трансивером. Устройства на базе
контроллеров семейства PIC18F1xK50 могут работать с питанием от шины USB, от
собственного источника питания или иметь комбинированное питание. При наличии в
устройстве собственного источника питания может пригодиться возможность PIC
контроллера определять подключение USB кабеля с помощью возможности
формирования прерывания по изменению состояния на линиях D+ и D-. Хост или хаб
USB имеет подтягивающие к «земле» резисторы порядка 15КОм. При подключении
микроконтроллера к шине USB и наличии внешних подтягивающих резисторов к
напряжению питания, микроконтроллер может определить изменение состояния на
выводах D+ и D-, выставить флаг прерывания и включить модуль USB.
Помимо модуля USB контроллеры имеют модуль последовательного интерфейса EUSART
и модуль синхронного последовательного интерфейса MSSP.
Модуль EUSART поддерживает работу с интерфейсами RS-485, RS-232 и LIN
2.0. Наличие внутреннего точного стабилизированного RC генератора и возможности
автоматического определения скорости принимаемых данных позволяет работать без
внешнего кварцевого генератора.
Модуль синхронного последовательного интерфейса MSSP позволяет работать в
режимах Master и Slave с интерфейсами SPI и I2C.
Аналоговая
периферия. Микроконтроллеры серии PIC18F1xK50 содержат всю, ставшую стандартной
аналоговую периферию - 10-и разрядный АЦП, два аналоговых компаратора и
программируемый источник опорного напряжения. Из нововведений следует отметить
наличие встроенного прецизионного источника фиксированного опорного напряжения.
Для фиксированного источника опорного напряжения выбираются три значения
напряжения 1.024В, 2.048 и 4.096В. Источник опорного напряжения может
использоваться как база для программируемого источника опорного напряжения
(ЦАП), может подключаться на вход АЦП и компараторов. Выход программируемого
источника опорного напряжения может так же подключаться ко входу АЦП и
компараторов, а также выводиться на вывод микроконтроллера для использования
совместно с внешними цепями микроконтроллера. Микроконтроллеры PIC18F1xK50
имеют два аналоговых компаратора. Компараторы часто интегрируются в
микроконтроллеры, так как они предоставляют некоторые полезные функции,
независимые от исполняемого программного кода. Встроенные компараторы имеют
входной мультиплексор, позволяющий подключать входы компараторов к тому или
иному выводу микроконтроллера и источникам опорного напряжения. Выход
компаратора может подключаться на выходной порт микроконтроллера, может быть
источником прерывания, выводить микроконтроллер из режима энергосбережения
Sleep, а так же выключать ШИМ модуль микроконтроллера.
Средства
разработки. Новые контроллеры поддерживаются всеми средствами отладки компании
Microchip (программаторами-отладчиками PICkit2, PICkit3, ICD-2, ICD-3 и
внутрисхемным эмулятором REAL ICE). Однако, как и для всех маловыводных
контроллеров, для внутрисхемной отладки необходим специальный отладочный
модуль. На плате отладочного модуля установлен специальный микроконтроллер
PIC18F14K50-ICD, который содержит модуль теневой отладки и имеет дополнительные
выводы, выделенные для внутрисхемной отладки.
3.
ПРОГРАММНЫЙ ПРОДУКТ ДЛЯ МИКРОКОНТРОЛЛЕРА
Данный микроконтроллер для своей работы использует константу osccal -
представляет собой 16-ти ричное значение калибровки внутреннего генератора МК, с
помощью которого МК отчитывает время при выполнении своих программ, которая
записана в последней ячейке данных пика. Подключаем данный микроконтроллер к
программатору.Ниже на скриншоте красными цифрами показана последовательность
действий в программе IC-prog.1. Выбрать тип микроконтроллера2. Нажать кнопку
«Читать микросхему»В окне «Программный код» в самой последней ячейке будет наша
константа для данного контроллера.
3. Нажимаем кнопку «Открыть файл...», выбираем нашу прошивку. В окне
программного кода появится код прошивки. 4. Спускаемся к концу кода, на
последней ячейке жмем правой клавишей мыши и выбираем в меню «править область»,
в поле «Шестнадцатеричные» вводим значение константы, которую записали,
нажимаем «ОК».5. Нажимаем «программировать микросхему».Пойдет процесс
программирования, если все прошло успешно, то программа выведет соответствующее
уведомление. Вытаскиваем микросхему из программатора и вставляем в собранный
макет. Включаем питание. Нажимаем кнопку пуск
4.
ВЫБОР И ОБОСНОВАНИЕ ЭЛЕМЕНТНОЙ БАЗЫ
Выбор элементной базы для изделия производится в зависимости от следующих
свойств и параметров:
· по функциональному назначению;
· по номиналу;
· по минимальным габаритным размерам;
· по надежности;
· по технологичности;
· по механическим и кинематическим воздействиям
Конденсаторы выбираются по их номинальной емкости, рабочему напряжению,
температурному коэффициенту емкости (ТКС), то есть по типу диэлектрика,
минимальным габаритным размерам, рабочей температуре и условиям эксплуатации.
Выбраны конденсаторы типа К73-17, К10-17А.
Светодиод HL1 выбираем TLCO5100, благодаря его яркому свечению.
Спроектирована резистивная микросборка, длина которой равна 2 мм, и
ширина - 2, 5 мм.
Микросхема DD1, выполняющая
функцию микроконтроллера марки PIC18F14K50. Важной особенностью PIC18F1XK50 функция обнаружения
USB-хоста, которая переводит микроконтроллер в режим пониженного
энергопотребления, когда USB-соединение отсутствует. Широкий диапазон питающих
напряжений - 1,8-5,5 В - обеспечивает возможность работы от самых разнообразных
источников питания, включая батареи и шину USB.
Все электрорадио элементы занесены в таблицу 1, где показаны их
габаритные и установочные размеры.
.
ПРОЕКТИРОВАНИЕ РЕЗИСТИВНОЙ МИКРОСБОРКИ
В настоящее время в связи с развитием электронной техники появилась
возможность создания радиоэлектронной аппаратуры, компьютеров, аппаратуры связи,
позволяющих решать сложные технические, научные и производственные задачи.
Усложнение аппаратуры привело к резкому увеличению числа электрон
радиоэлементов, входящих в ее состав. Таким образом, появилась необходимость
микроминиатюризации аппаратуры.
Общая схема технологического процесса изготовления сложной микросборки, в
состав которой входят пленочная многослойная коммуникационная плата, субплаты с
пленочными элементами и бескорпусными компонентами, в данном случае резисторы.
Комплекс технологических процессов, связанных формированием пленочных элементов
и коммутационных проводников, выделен двойными контурными линиями. При этом
может использоваться как тонко-, так и толстопленочная технология.
Тонкопленочная технология, в основном, использует формирования пассивных
элементов микросхем с повышенной точностью и стабильностью. Возможно также
формирование тонкопленочных коммуникаций проводников с достаточно высокой
плотностью в многокристальных микросборках.
В данной курсовой работе будет рассмотрена и спроектирована резистивная
микросборка и показана методика элементарного расчета.
Рассмотрим некоторые конструктивно-технологические варианты микросборок и
перспективы повышения их интеграции, а также особенности применения резистивных
материалов в производстве тонкопленочных микросборок. Показано, что наибольшую
интеграцию, максимальный теплоотвод и низкую себестоимость изготовления
микроэлектронной аппаратуры можно получить путем применения микросборок с
подложкой из кремния. Для существенного уменьшения площади тонкопленочных
резисторов следует использовать резистивные материалы с ро=5…10 кОм/КВАДРАТ.
Вместе с тем уменьшение норм проектирования топологических размеров резисторов
до 50 мкм и менее позволяет использовать в качестве резистивного материала адегизонный
подслой хрома с величиной ро=250…500 Ом/КВАДРАТ. При этом площадь резистора
возрастает незначительно, а себестоимость изготовления микросборки может ивать
тонкопленочные резисторы (ТПР) на кремниевых подложках. На кремниевые или
поликоровые платы возможна установка как бескорпусных кристаллов, так и
компонентов в мини-корпусах, предназначенных для поверхностного монтажа. Как
следует из проведенного анализа, площадь кремниевой платы может быть в 6-15 раз
меньше печатной платы, что значительно сокращает разрыв в себестоимости их
изготовления. Кроме того, в отраслях, где приоритетом является минимизация
массогабаритных характеристик, преимущества кремниевой платы с бескорпусными
кристаллами бесспорны.
.1. Электрический расчет резистивной микросборки
Рис. 3. Сопротивление
Рассчитаем общую мощность всех резисторов:
Р=4*0,125=0, 5 Вт (1)
Робщ.=0,5+0,5=0,25 Вт
Рассчитаем сопротивление всех резисторов:
Rобщ.=10+10+10+1=31
кОм
|
Элемент
|
Исходные значения
|
Расчетные значения
|
|
lмм
|
bмм
|
 мВтq= r=    ,
|
|
|
|
|
|
|
|
R1-R6
|
2,2
|
1
|
0,125
|
1,25
|
0,6
|
0,75
|
0,35
|
0,3
|
0,03
|
r1-4=1/2*0,8=0,62; (2)
ɣ1-4=1,25*0,6=0,75
(3)

(4)
где

- толщина
подложки и клея h=1,5 мм

-коэффициент
теплопроводности клея и материала подложки
b,l
-размеры контакта тепловыделяющего элемента с подложкой.

(6)

(7)
где,
Рэ - рассеиваемая мощность,


(8)
где

-
внутренний перегрев n-p-перехода;

-
внутреннее тепловое сопротивление 220
.
Нормальный тепловой режим элементов и навесных
компонентов обеспечивается при выполнении условий:

(9)

(10)

,
Тэ=50+53,3+5,6≤1250С
Тнк=64≤1250С

.

(12)


Рис.3

+
(13)
ТэRэфф=50+5,133+1,17=57,03≤1250С
Рис. 4. Эскиз изделия
Фрагмент ГИС для расчета на тепло:
.Теплоотводящая шина(медь)
.Основание металлического корпуса
.Ситалловая подложка
.Слой оксидного клея
Вывод: как видно из расчетов, условия выполняются и на основе этого можно
сделать вывод, что в рамках допущений ориентировочного расчета вытекает
следующее, для данной резистивной микросборки температура внешней среды 50
не является предельно допустимой.
6. РАСЧЕТ НА
НАДЕЖНОСТЬ
6.1 Схема для расчета
Расчет производится на основе схемы электрической принципиальной
АКТП.230101.110. ЭЗ, перечня элементов АКТП. 230101.110 ПЭ3.
.2 Задача расчета
Определить величины:
Интенсивность отказов изделия (
λизд ), 1/час;
Среднее время наработки Тср, час;
- Вероятность безотказной работы изделия, Р(t).
.3 Данные для расчета
Интенсивность
отказа изделия 
определяется
по формуле:
, (14)
где
N - число
ЭРЭ данного наименования, шт;

интенсивность
отказов ЭРЭ данного наименования 
;
n -
число наименований Э.Р.Э в.
Средне время наработки до первого отказа Тср определяется по
формуле
(15)
Вероятность
безотказной работы изделия Р(t) определяется по формуле:
(16)
где tp - время, в течении которого изделие
должно работать безотказно, час;
Тср - среднее время наработки до первого отказа, час.
.4 Расчет
Результаты расчета занесены в таблицу 3
Таблица 3 - Надежность радиоэлементов
|
№
|
Наименование ЭРЭ
|
Ni , шт.
|
Режимы работы
|
λi·10-3
1/час
|
Ni·λi·10-3 1/час
|
λизд
1/час
|
Тср час
|
Р(t)
|
|
|
|
tн.з
|
Кн
|
|
|
|
|
|
|
1
|
Резисторы
|
1
|
3052
|
1
|
0,00001
|
0,00004
|
0,001818
|
550,055
|
1,3
|
|
2
|
Конденсаторы
|
4
|
|
|
0,00001
|
0,00004
|
|
|
|
|
3
|
Светодиоды
|
1
|
|
|
0,001
|
0,001
|
|
|
|
|
4
|
Микросхема
|
2
|
|
|
0,0001
|
0,0002
|
|
|
|
|
6
|
Разъемы
|
1
|
|
|
0,00001
|
0,00001
|
|
|
|
|
7
|
Соединения пайкой
|
23
|
|
|
0,001
|
0,0023
|
|
|
|
|
8
|
Клемы
|
6
|
|
|
0,0001
|
0,0006
|
|
|
|
|
36
|
|
|
0,00132
|
0,00505
|
|
|
|
=0,00505*36=0,1818*10-3
Тср=1/0,001818=550,055
.5 Вывод
В процессе выполненной работы получили искомые величины:
Интенсивность
отказа изделия
=0,24732*10-3 
,
Средняя наработка до первого отказа Тср=4043,345,
Вероятность безотказной работы Р(t)=1, 025042.
Анализ полученных данных говорит о том, что изделие надежно и выбор
электрорадиоэлементов был верен.
7. РАСЧЕТ НА
ТЕПЛОВОЕ ВОЗДЕЙСТВИЕ
Рис.5. Эскиз изделия
.1 Задача расчета
Рассчитать:
длину нагретой зоны Анз ,мм;
ширину нагретой зоны Внз, мм;
-
температуру нагретой зоны 
;
высоту
нагретой зоны 
мм.
.2
Данные для расчета
общая мощность ЭРЭ=1,25 Вт;
толщина платы h=1,5 мм = 0,0015
м;
длина изделия а=45 мм = 0,045 м;
ширина изделия b=25
мм=0,025 м;
высота изделия H=7,5
мм=0,0075 м;
максимальная температура окружающей среды -20 до +25
;
-общий
объем ЭРЭ= 388,4 
7.3 Условия расчета
Температура
нагретой зоны 
определяется
по формуле:

=(Р*h/(a*b*
ρT))+
(17)
ρт - теплопроводность стеклотекстолита (0,17*
).
Объем
изделия определяется по формуле :

=a*b*H
(18)
Коэффициент
заполнения 
определяется
по формуле:

(19)
где
V-объем всех ЭРЭ.
Высота
нагретой зоны 
мм
определяется по формуле:

H*
(20)
.4 Расчет
Температура
нагретой зоны 
:
tнз=(1,25*1,5/(45*25*0,17*10-3))+25=0,07оС
Объем
изделия:

=45*25*7,5=8437,5
Коэффициент
заполнения 
:
Кэ=388,4+(25*45*1,5)/8437,5=0,24
Высота
нагретой зоны 
:
Ннз=7,5*0,24=1,8
мм
.5
Заключение
Длина
нагретой зоны 45 мм; ширина нагретой зоны 25 мм; температура нагретой зоны 
=+25
; высота нагретой зоны 
=1,8 мм.
Температура
нагретой зоны не превышает максимальных температур ЭРЭ(+70
следовательно, изделие к перегреву и тепловым воздействиям устойчиво.
8. РАСЧЕТ НА МЕХАНИЧЕСКОЕ ВОЗДЕЙСТВИЕ
.1 Задача расчета
Рассчитать собственную частоту изделия v0, Гц.
.2 Данные для расчета
толщина платы h=1,5 мм = 0,0015
м;
длина изделия а=45 мм = 0,045 м;
ширина изделия b=25
мм = 0,025 м;
модуль упругости стеклотекстолита Е=3,3*1011 Па;
плотность стеклотекстолита p=1,3 г/см3;
общая масса ЭРЭ mЭРЭ=8,35 г = 0,0835
диапазон частот 100 Гц;
ускорение a=g.
.3 Условия расчета
Собственная резонансная частота изделия v0, определяется по
формуле:
(21)
где
ɑ - коэффициент крепления пластины;
а
- длина пластина стеклотекстолита, м;
Д
- жесткость пластины, Па*м3;
m -
распределенная по площади пластины масса, кг/м2.
Так
как изделие крепится четырьмя винтами на противоположных углах, то коэффициент ɑ
рассчитывается по следующей формуле:
ɑ=9,87*(а2/b2) (22)
Жесткость
пластины Д, Па*м3, определяется по формуле:
Д=0,09*Е*h3 (23)
где
Е - модуль упругости стеклотекстолита, Па;
Распределенная
по площади пластины стеклотекстолита масса определяется, в соответствии с
массой изделия и площадью печатной платы, по следующей формуле:
m=mизд/а*b (24)
где
mизд -
масса изделия, кг.
В
свою очередь масса изделия определяется по формуле:
mизд=(p*а*b*h)+ mЭРЭ (25)
где
p - плотность стеклотекстолита;
а
- длина печатной платы, м;
b - ширина
печатной платы, м;
h - толщина
печатной платы, м.
.4
Расчет
Масса
изделия:
mизд=(1300*0,07875*0,0345*0,0015)+0,0269=0,0322 (кг)
Коэффициент
крепления платы:
ɑ=9,87*(452/252)=31,97
Распределительная
масса:
m=0,01/0,0011=9
(кг/м2)
Жесткость
пластины:
Д=0,09*3,3*1011*0,0015*103*10-9=44,55
(Па*м3)
Резонансная
частота изделия:
114,8
(Гц)
.5
Заключение
Изделие
является механически прочным, так как собственная резонансная частота находится
намного выше рабочей частоты (100 Гц).
9. Конструкторский расчет
.1 Задача расчета:
определить длину платы a мм;
определить ширину платы b мм;
определить толщину платы h .
Рис.7 Эскиз габаритов печатной платы
.2 Данные для расчета:
Площадь
занимаемая всеми элементами 
=182,2 
Расчет
габаритных размеров печатной платы производится методом аналитической
компоновки.
Площадь
платы 
определяется
по формуле:
(26)

-
коэффициент увеличения, лежащий в пределах от 1-3,выбираем равной 3, что
позволит оптимально увеличить площадь платы;
S -общая площадь
занимаемая ЭРЭ;

=2*182,2=364,4

Длина
платы (a) принимается за определенную величину, а ширину (b)
определяем:
b=
/a
(27)
Длину
платы принимаем равной 45 мм.
Ширину
платы определяем :
b=364,4/45=25 мм
Толщина
платы выбирается из условий механической прочности принимаем h=1,5
мм.
Габаритные
размеры платы принимаем равными 45 мм на 25 мм. Толщину платы принимаем 1,5 мм,
что достаточно для механической прочности.
10. Расчет микросборки
Расчет габаритов микросборки:
Ширина резистора определяем по формуле:

; 
;
} (28)
Минимально
допустимая ширина резистора:

(29)
Коэффициент
формы определяем по формуле:

=l/b=2,2/1=2,2
(30)
Рассеиваемая
мощность резистора определяем по формуле:

=
(31)
Ширина
резистора:
1,7
Длину
резистора определяем по формуле:

(32)
Погрешность
резистора связанная с выбором геометрических размеров не должна превышать 1%:

(33)
При
конструировании резистора, имеющего форму меандра, сопротивление участка изгиба
можно рассчитать (для прямоугольной формы):

=2.55
R=
(34)

(35)
0,0067
11. РАСЧЕТ НА ТЕХНОЛОГИЧНОСТЬ
ИЗДЕЛИЯ
Задача расчета: рассчитать комплексный коэффициент технологичности
Условия
расчета: технологичность конструкции выражается комплексным показателем
технологичности, лежит в пределах
при
высокотехнологичном производстве может достигать 1,5.
Таблица
4 - Технологический процесс сборки изделия
|
№
|
Наименование опрации
|
Оборудование и оснастка
|
|
1
|
Подготовка ЭРЭ к монтажу:
а) Приклеивание микросборки DR б) Обрезка выводов C1-C3,
HL1, DD1, BK1
|
Клей БФ4 Приспособление для
обрезки.
|
|
2
|
Установка ЭРЭ на печатную
плату: Конденсаторы: C1,C2,C3,С4 Светодиод: HL1 Датчик: BK1 Микросхема: DD1
|
Приспособление для
установки зазора
|
|
3
|
Пайка ЭРЭ
|
Механизированная
|
|
4
|
Настройка и регулировка а)
Мультиметр б) Осцилограф
|
Ручная
|
|
5
|
Контроль
|
ОТК (отдел технического
контроля)
|
Таблица 5 - Данные для
расчета
|
1
|
Общее количество ЭРЭ
|
7
|
|
2
|
Общее количество ЭРЭ,
деталей сборочных единиц
|
26
|
|
3
|
Количество ЭРЭ подлежащих
механизированному, автоматизированному приклеиванию
|
1
|
|
4
|
Количество элементов
подлежащих ручной пайке
|
6
|
|
5
|
Количество ЭРЭ требующих
настройки и регулировки
|
0
|
|
6
|
Количество операций
контроля и настройки, которые выполняются автоматизированным способом
|
1
|
|
7
|
Общее число операций
контроля и настройки
|
2
|
|
8
|
Количество дискретных
элементов замененных ИМС
|
0
|
|
9
|
Количество деталей, сборочных
единиц изготовляемых с применением типовых, технологических процессов
|
6
|
|
10
|
Общее число не типовых
деталей, сборочных единиц
|
7
|
|
11
|
Общее количество деталей,
сборочных единиц
|
4
|
Условие расчёта
Технологичность конструкции выражается комплексным показателем
технологичности, лежит в пределах Ki≥0,8.
Расчет производится по следующим формулам.
Коэффициент
повторяемости 
определяется
по формуле:

(36)
Коэффициент
механизированной и автоматизированной подготовки ЭРЭ к монтажу 
определяется
по формуле:

(37)
Коэффициент
сложности сборки 
определяется по формуле:

(38)
Коэффициент
автоматизации, механизации контроля и настройки 
определяется
по формуле:

(39)
Коэффициент
использования микросхем 
определяется
по формуле:

(40)
Коэффициент
применения типовых технологических процессов 
определяется
по формуле:
Коэффициент
стандартизации 
определяется
по формуле:

(42)
Коэффициент
весомости 
определяется
для каждого коэффициента технологичности 
по
формуле:

(43)
где
n - весомость 1,2,3,4,5,6,7
Коэффициент
весомости 
,
соответствует коэффициентам технологичности 
, которые
расставляются в соответствии с влажностью, значимостью.
Комплексный
коэффициент технологичности 
определяется
по формуле:

(44)
где

-
коэффициент технологичности;

-
коэффициент весомости;
6.5 Расчет
Таблица
5 - Коэффициент весомости
|
n
|
1
|
2
|
3
|
4
|
5
|
6
|
7
|
|
|
IV
|
V
|
VII
|
VIII
|
I
|
II
|
III
|
V
|
3,97
Вывод: комплексный коэффициент технологичности изделия К=0,6 - изделие
технологично, т.к. полученный коэффициент больше заданного в тех. условиях.
12. КОМПОНОВКА ИЗДЕЛИЯ
Компоновка изделия производится на основании схемы электрической
принципиальной АКТП.230101.110 Э3 таблицы 1, расчета габаритных размеров
печатной платы и изображена на компоновочном эскизе.
Связанные элементы расположены в непосредственной близости друг к другу
для уменьшения длины проводников.
Плата разведена без паразитных наводок и соединения дорожек (что может
вызвать замыкание).
Проводники расположены под углом 45
.
Компоновка проводилась по одному принципу, а именно принципу уменьшения
габаритных размеров.
Заключение
Пояснительная записка содержит в своем составе
конструкторскую разработку «Разработка конструкторской документации на изделие:
«USB-термометр» АКТП.230101.110 Э3. Целью
курсовой работы было: создать такую конструкцию изделия, которая исходя из
современной элементной базы будет технологична.
Результаты расчетов показали, что изделие полностью
технологично, то есть, подтверждено, что изделие в данном конструкторском
исполнении будет надежно работать в заданных условиях эксплуатации.
Задачей курсового проекта было: спроектировать и рассчитать резистивную
микросборку, рассчитать технологичность изделия, спроектировать изделие с
минимальными размерами, скомпоновать изделие, описать проектирование изделия.
Данная задача была полностью выполнена.
На основе пояснительной записки разработан комплект чертежей:
· Схема электрическая принципиальная;
· Чертеж микросборки;
· Перечень элементов;
· Спецификация и сборочный чертеж.
Библиографический список
1. Митрейкин
Н.А., Озерскиий А.И. Надежность и испытание радиодеталей и РК: Учебник для
техникумов. - М.: Радио и связь, 1981. - 272с., ил.
. Мышляева
И.М. Цифровая схемотехника: Учебник для сред. Проф. Образования - М.:
Издательский центр «Академия», 2004. - 400с.
. Фрумкин
Г.Д. Расчет и конструирование РЭА: Учебник для техникумов. Изд. 3-е., перераб.
И доп. - М.: Высш. шк., 1977
. Журнал
«Радио» №2 2011 год.
. #"564127.files/image127.gif">