Радиотелеметрическая система

  • Вид работы:
    Курсовая работа (т)
  • Предмет:
    Информатика, ВТ, телекоммуникации
  • Язык:
    Русский
    ,
    Формат файла:
    MS Word
    372,71 Кб
  • Опубликовано:
    2012-08-26
Вы можете узнать стоимость помощи в написании студенческой работы.
Помощь в написании работы, которую точно примут!

Радиотелеметрическая система

Содержание

Введение

1.   Обзор способов передачи и способов приема сообщений. Выбор и обоснование способов передачи и приема

2.       Выбор и обоснование структурной схемы системы

.        Выбор и расчет основных технических характеристик системы:

3.1 Диапазон излучаемых частот

3.2 Характеристика и параметры помех

.3  Тип антенн и их параметры

.4  Вид модуляции и параметры радиосигнала

.5  Расчет мощности передатчика, выбор типа электронного прибора

.6  Тип усилителя радиочастоты

3.7 Способы синхронизации и выбор формы синхросигнала

Заключение

Литература

Введение

Телеметрией называют область техники, которая занимается вопросами измерений различных физических величин, характеризующих состояние исследуемых объектов или процессов; передачей результатов этих измерений на расстояние; регистрацией и обработкой полученных данных в пункте приема.

Совокупность технических средств, обеспечивающих измерение, передачу, регистрацию и обработку телеметрической информации, называется телеметрической системой. Иногда телеметрические системы бывают составной частью более крупных систем и комплексов (например, в космических комплексах). Однако имеются области науки, техники и народного хозяйства, в которых телеметрические системы применяются как отдельные самостоятельные системы. К таким областям относятся авиационная и ракетно-космическая техника, океанология и морская техника, промышленность, метеорология, геофизика, медицина и т. п.

В зависимости от вида используемого канала связи различают радио, проводные, гидроакустические телеметрические системы.

Характерной особенностью современных телеметрических систем является большое число разнообразных измеряемых физических величин (десятки, сотни и более) и высокая точность измерений.

В современных условиях большое значение получили комплексные радиотехнические системы, для проектирования которых нужны высококвалифицированные инженерные кадры. Правильное проектирование таких систем требует от инженера ясного понимания основных методов, принципов и способов передачи и обработки информации и умения рационально подходить к решению задач, связанных с проектированием. Поэтому основная задача проектирования состоит в получении студентами знаний и навыков, достаточных для разработки структурной (функциональной) схемы системы передачи информации.

В данной курсовой работе будет разработана цифровая радиотелеметрическая система передачи информации с 650 каналами, шириной спектра сообщений 30 Гц, точностью передачи сообщений 1,5% и дальностью связи 65 мл. км.

1. Обзор способов передачи и способов приема сообщений. Выбор и обоснование способов передачи и приема

Если критерии оценки качества системы выбраны, то ее показатели будут тем выше, чем лучше выбраны способы передачи и приема. Способ кодирования и вид модуляции практически определяют способ передачи. Система, в которой применены лучшие способы передачи и приема, оптимальна. В любой РТС ПИ имеются 3 фактора, определяющие степень соответствия принятых сообщений переданным (достоверность или точность передачи):

·   Наличие помех;

·        Неидеальность и нестабильность различных характеристик системы;

·        Неидеальность характеристик среды распространения сигналов.

Среда распространения может оказать существенное влияние на точность передачи, особенно в каналах, с переменными случайными параметрами. Однако, управлять ею нет возможности, поэтому оптимизация системы состоит в оптимальном совместном выборе способа передачи и приема. К сожалению, решить эту задачу в общем виде пока не удается. Поэтому задачу оптимизации системы часто решают по частям в соответствии с некоторыми установленными критериями. В этом смысле можно говорить об оптимальных способах кодирования, видах модуляции и способах приема (при условии, что способы передачи заданы). Следует иметь ввиду, что оптимизация системы по частям не эквивалентна оптимизации всей системы в целом.

Вид модуляции обычно определяется проектировщиком системы. На выбор вида модуляции оказывают влияние ширина спектра сообщения и радиосигнала, воздействия помех в линии связи на точность передачи сообщений, сложность технических реализаций модулятора и демодулятора и т. д.

Из простых видов модуляции можно выделить : однополосная (ОМ), балансная (БМ), амплитудная (амплитудная с частично подавленной боковой), частотная и фазовая.

Системы с подавленной несущей (ОМ, БМ) имеют преимущество для передачи информации. Это приводит к снижению стоимости передатчика по сравнению с передатчиком АМ. Но приемники в этих системах сложнее, так как они должны генерировать местную несущую, совпадающую по частоте и фазе с несущей входного сигнала. Для РТС ПИ, которых на один передатчик приходиться лишь несколько приемников, это усложнение приемников может быть оправдано. Влияния селективных замираний (из-за многолучевого распространения) более неблагоприятно сказывается на АМ, чем на БМ и тем более на ОМ. Селективные замирания зависят от частоты, поэтому несущая и каждая из боковых полос при АМ подвержены различным замираниям. При этом боковые полосы искажаются по разному, что приводит к большим искажениям сообщений при АМ и БМ, чем при ОМ. В связи с этим системы с Ом используются на линиях связи большой протяженности, в частности, при передачи речи, где фазовые искажения не очень важны. Однако получение сигналов ОМ большой мощности значительно труднее, чем сигналов БМ. Этот недостаток устраняется в системах с частотно-подавленной боковой полосой. Такой способ передачи является компромиссом между ОМ и БМ(АМ); он объединяет преимущества этих систем и устраняет недостатки. Способ передачи сигналов с АМЧПБ используется в вещательной системе телевидения. Такая система не чувствительна к селективным замираниям; если в сигнал с АМЧПБ ввести несущее колебание большой амплитуды, то такой сигнал можно детектировать детектором огибающей.

При ЧМ и ФМ можно получить большой выигрыш в отношении сигнал/шум на приемной стороне, т. е. обеспечить более высокую точность передачи сообщений. Чем при АМ, БМ, АМЧПБ при одинаковой мощности передатчика за счет увеличения девиации. Различие между ЧМ и ФМ несущественно. При ФМ фаза меняется пропорционально величине сообщения, при ЧМ фаза изменяется пропорционально интегралу от сообщения. Если сначала проинтегрировать сообщение x(t), а затем этим колебанием модулировать несущую по фазе, то получится сигнал ЧМ. Подобным же образом, если продифференцировать x(t) и подать затем на частотный модулятор, то получим ФМ. Фактически, ЧМ и ФМ неотделимы, так как любые изменения фазы несущей приводят к изменению частоты и наоборот. Практически легче получить сигнал ФМ, чем ЧМ. Поэтому во многих системах сигнал ЧМ получают с помощью фазовых модуляторов. При ЧМ(ФМ) можно получить высокую помехоустойчивость, увеличивая индекс модуляции, что приводит к расширению спектра радиосигнала. Отношение сигнал/шум увеличивается на 6 дБ, при увеличении спектра сигнала в два раза. При узкополосной ЧМ (ФМ) ширина спектра почти такая же, как при АМ и увеличение отношения сигнал/шум незначительно.

В последнее время в РТС ПИ находят применение сложные виды модуляции (две и более ступеней), причем на первой ступени часто используются импульсные виды модуляции: амплитудно-импульсная (АИМ), широтно-импульсная (ШИМ или ВИМ), фазоимпульсная (ФИМ или ВИМ), частотно-импульсная (ЧИМ), кодово-импульсная (КИМ или ИКМ),дельта-модуляция. Импульсные виды модуляции широко применяются в многоканальных СПИ с временным разделением, и в системах, где требуется высокая помехоустойчивость.

В инженерном проектировании при выборе того или иного способа модуляции приходится искать компромисс между конфликтующими требованиями. Обсудим подходы к выбору дискретных форматов модуляции (манипуляции), характерные для цифровых стандартов связи. В качестве общей модели сигнала примем последовательность одинаковых по форме импульсов (посылок), повторяющихся с постоянным интервалом :

где- огибающая посылки,  - начальная фаза i-й посылки.

В простейшем случае бинарной фазовой манипуляции - БФМ - посылки полагаются прямоугольными и примыкающими друг к другу, т. е. имеющие длительность , а фазы принимают лишь два возможных значения: 0 или . Таким образом, каждая посылка передает один двоичный символ и при фиксированной длительности и мощности сигнала БМФ реализует наиболее помехоустойчивый способ двоичной телеграфии, так как импульсы с фазами о и являются противоположными, то есть максимально удаленными. В отношении же расходования частотного ресурса, описанная версия БФМ оказывается чрезвычайно неэффективной.

Другой способ манипуляции называется квадратурной ФМ - КФМ, где используется четыре разрешенных значения фазы, вместо двух, например,  Можно видеть, что КФМ в два раза экономнее БФМ в отношении использования частотного ресурса, поскольку имеет спектр той же формы, но суженный в двое за счет двукратного растяжения посылки, причем указанный выигрыш достигнут без ухудшения помехоустойчивости приема.

Различные модификации КФМ находят самое широкое применение в сетях цифровой связи, например, КФМС - формат КФМ со сдвигом, в результате которой требуемый линейный динамический диапазон оказывается в раз меньшим по сравнению со случаем БФМ или стандартной КФМ.

Так же имеет широкое распространение подвид КФМ, который получил название МЧМ - минимальная частотная манипуляция, которая сводится, по существу к бинарной частотной манипуляции прямоугольных посылок длительности . Принципиальным является то, что переключение частоты между посылками каждые с происходит без скачков фазы, т. е. МЧМ является модуляцией с непрерывной фазой.

Перейдем теперь к рассмотрению помехоустойчивости при передаче дискретных сообщений. Ограничимся здесь случаем бинарных сообщений. Модуляцию при этом называют манипуляцией, а модулятор - манипулятором или генератором сигналов. На практике находит широкое применение относительная фазовая модуляция (ОФМ).

Выбор и обоснование способов передачи и приема

Исходя из всего вышесказанного в данной курсовой работе в качестве вида модуляции будем использовать относительную фазовую манипуляцию (ОФМ), так как она является наиболее характерным примером противоположных двоичных сигналов, где манипуляция фазы равна . Применение ОФМ сигналов открывает возможности для передачи цифровой информации с требуемой достоверностью при меньших затратах полосы частот и энергии передачи по сравнению с другими двоичными сигналами.

Демодуляция ФМ сигналов основана на возможности их фазового различения(фазовая селекция), с помощью детектора, чувствительного к фазе сигнала. Такой детектор называется фазовым. Операции, которые должен выполнять этот детектор схожи с операциями, выполняемыми коррелятором оптимального приемника различения двух сигналов. Фазовый детектор должен осуществлять перемножение колебания, последующего на его вход с опорным напряжением и фильтрацию полученного выходного напряжения от высокочастотных составляющих. Такая фильтрация выполняется благодаря частотным свойствам самой нагрузки фазового детектора, которая обычно представляет собой фильтр нижних частот (ФНЧ).

Рис 1. Блок-схема приемника сигналов с фазовой манипуляцией.

Рис 2. Блок-схема автокорреляционного приемника сигналов.

Из многопозиционных наиболее интересны ортогональные коды, в которых число сигналов равно числу кодовых комбинаций, т. е. m=N.

Ортогональные сигналы могут различаться одним из параметров, например частотой колебаний.

Можно сделать следующие выводы: наиболее перспективной для космических радиолиний следует считать передачу ортогональными сигналами, при которых можно достигнуть наибольшей помехоустойчивости. Однако трудности реализации таких систем вынуждают в настоящее время широко пользоваться передачей бинарными сигналами.

2. Выбор и обоснование структурной схемы системы

Задачей многоканальной системы связи является передача сообщений от многих источников одновременно. При этом для передачи один общий тракт, который, как правило, является наиболее дорогостоящей частью РТС ПИ. Поэтому передача большого числа сообщений с помощью многоканальной системы экономически более выгодно, чем создание РТС ПИ для передачи каждого сообщения.

К многоканальным космическим радиолиниям предъявляются следующие основные требования:

1. радиолиния должна обеспечит одновременную передачу информации по заданному числу радиоканалов заданного типа.

2.       каналы не должны оказывать друг на друга существенного влияния.

К многоканальным радиолиниям обычно применяют два способа умножения и разделения каналов: частотный и временной. Поскольку проектируется радиотелеметрическая система, имеем большое число каналов (N=650), то будем использовать временное умножение и разделение каналов.

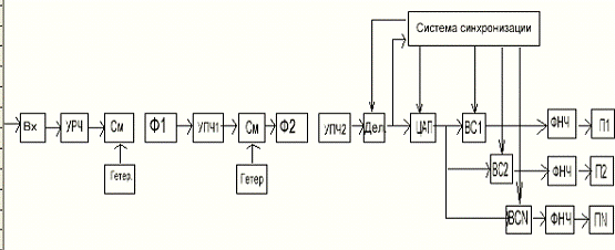
Структурная схема радиотелеметрической системы изображена на рис. 3 и рис. 4.

Рис. 3

Рис. 4

Коммутатор формирует разнесенные во времени отсчеты передаваемых сообщений, которые подаются на аналого-цифровой преобразователь АЦП, вырабатывающий кодовые комбинации, соответствующие отсчетам сообщений. В сумматоре к ним добавляются синхронизирующие кодовые группы, необходимые для синхронизации работы передающей и приемной частей. На выходе сумматора формируется групповой сигнал, представляющий собой цифровой, как правило, двоичный поток. Он подается на общий модулятор ОМ, в котором происходит манипуляция несущей.

На приемной стороне сигнал с выхода приемника дискретных сообщений (цифровой поток) подается на цифроаналоговый преобразователь ЦАП, преобразующий принятые кодовые комбинации в отсчеты сообщений. Временные селекторы ВС выделяют отсчеты сообщений, передаваемых по соответствующим каналам. Восстановление сообщений по отсчетам производится методами интерполяции или фильтрации.

3. Выбор и расчет основных технических характеристик системы

3.1 Диапазон излучаемых частот

Несущая частота имеет исключительно большое значение для свойств и возможностей РТС ПИ, которые в принципе могут работать в диапазоне радиочастот от 2 кГц до 300 ГГц и выше(оптический диапазон).

В современных РТС ПИ широко используются радиосигналы метрового, дециметрового и сантиметрового диапазонов волн. Как известно, характер распространения сигналов существенно зависит от длины их волн. При определенных условиях волны длиной  могут хорошо отражаться от ионосферы, что позволяет принимать их на весьма больших расстояниях(до 1800…2000км). Волны короче 3м практически распространяются в основном только в пределах прямой видимости.

В зависимости от математической операции, описывающей прохождение радиоволн в линии связи, различают каналы с постоянными параметрами и каналы с переменными параметрами. В первом случае параметры сигнала при прохождении через среду распространения за время сеанса связи не претерпевают существенных случайных изменений, т. е. практически остаются неизменными. В каналах со случайными параметрами за время сеанса связи параметры сигнала при прохождении среды распространения претерпевают существенные случайные изменения. Причиной случайного изменения параметров канала связи может быть действие целого ряда факторов.

Рассеяние энергии сигналов может происходить как по времени(многолучевое распространение радиоволн), так и по частоте из-за доплеровских сдвигов, выносимых средой распространения.

При проектировании космических РТС ПИ, можно пользоваться распределением частот, приведенных в таблице 6 [1, с. 24].


.

Рассчитаем длину волны:


3.2 Характеристика и параметры помех

Мешающие влияния в них обусловлены поглощением радиоволн в ионосфере и тропосфере, рефракцией, изменением поляризации, помехами теплового излучения тропосферы, шумами поглощения, экранирующим действием плазмы, возникающей при торможении космического летательного аппарата в атмосфере Земли, рассеянием радиоволн в ионосфере при случайных флюктуациях концентрации электронов, солнечным и звездным шумами. Практически все перечисленные факторы приводят к увеличению флюктуационного шума, иногда на большую величину.

Важное влияние в космических радиолиниях имеет время распространения. Речь наиболее чувствительна к задержке; допустимым считается время прохождения сигнала между говорящими абонентами, не превышающее 300мс. Поэтому задержка информации оказывает существенное влияние на выбор метода помехоустойчивого кодирования.

В данной работе для расчета спектральной плотности шумов

,

где  - постоянная Больцмана, а  необходимо задаться температурой внешних источников  в соответствии с рис.11 [1, с. 33]. Для выбранной  получаем , откуда  и .

3.3 Тип антенн и их параметры

Правильный выбор типов и основных параметров антенн имеет существенное значение для построения РТС. В диапазоне УКВ мощность внутренних шумов бывает соизмерима с мощностью внешних помех или превышает ее. В этом случае отношение сигнал/шум пропорционально коэффициенту усиления приемной антенны.

Можно, например, задать такое свойство антенны, как направленность (ширина диаграммы направленности). Поскольку обмен информации осуществляется на большом расстоянии, то необходимо сделать обе антенны (приемную и передающую) направленными.

Коэффициент усиления передающей антенны определяется приближенным соотношением

,

где Д - характеризует размер антенны, диаметр, в случае параболоида (Д=5м); а=4…5 и зависит от конструкции антенны.


Ширина диаграммы направленности по уровню половины мощности может быть оценена по формуле , получаем


Эффективная площадь приемной антенны  определяется ее площадью раскрыва. Для параболических антенн эффективная площадь примерно равна половине площади раскрыва и, в принципе, не зависит от длины волны. Однако, неточности изготовления параболоида приводят к тому, что эффективная площадь антенны уменьшается при уменьшении длины волны. Поэтому значение антенного фактора для параболической антенны

,

где  - радиус приемной антенны,  - среднеквадратичное отклонение профиля антенны от параболоида.


3.4 Вид модуляции и параметры радиосигнала

Если предполагается передача непрерывных сообщений цифровыми методами, то предварительно находятся параметры дискретизации: частота дискретизации по заданной или выбранной ширине спектра и число уровней квантования исходя из величины ошибки, выделенной на это преобразование.

Определяем число уровней квантования L, необходимое для получения ошибки квантования не более 3.5%:

Частота дискретизации: , в нашем случае

;

Период дискретизации

,

откуда время, затрачиваемое на передачу одного канала:

,

где - число каналов,- число каналов для передачи синхросигнала.

;

Значение среднеквадратичной ошибки определяется по формуле:

; ;

 - длина кодовой комбинации.

Откуда получаем длительность импульса кодовой комбинации:


Ширина спектра последовательности передаваемых сигналов с ОФМ определяется длительностью импульса кодовой комбинации:

,

где  - относительная нестабильность для кварцевых генераторов.

, где с - скорость света,  - первая космическая скорость.

Мощность шума:

3.5 Расчет мощности передатчика, выбор типа электронного прибора

При выборе мощности передатчика радиотелеметрической системы, следует учитывать ряд ограничений. К ним относятся габариты передающей (бортовой) части системы; вероятность ошибок в канале связи.

Для системы космической радиотелеметрии характерны следующие значения мощности передатчика:  , зададимся

Из уравнения дальности связи определим мощность сигнала на входе приемника.

,

где - антенный фактор системы, r - расстояние между передатчиком и приемником,  - коэффициент потерь энергии сигнала в среде распространения.

Примем

Таким образом, получаем:


Отношение сигнал/шум на входе приемника определяется соотношением:

,

,


Чтобы пренебречь шумами канала связи, нужно, чтобы отношение сигнал/шум на входе приемника было близко к 12.

Полученное значение  обеспечивает возможность ошибки в канале связи Р не более, чем . Такая ошибка является допустимой.

Определим скорость передачи информации по каналу связи из выражения:


Определим энергетическую эффективность канала связи:


Определим пропускную способность канала связи:


Определим частотную эффективность:


Подсчитаем информационную эффективность канала связи:


3.6 Тип усилителя радиочастоты

Тип усилителя радиочастоты определим по выбранной шумовой температуре приемника . В пункте 5.2 была выбрана шумовая температура . При таком значении усилитель радиочастоты может быть выполнен на СВЧ транзисторе.

Выберем СВЧ транзистор n-p-n типа КТ3137А, для которого значения частоты , а значение коэффициента шума.

3.7 Способы синхронизации и выбор формы синхросигнала

Системы синхронизации в РТС ПИ в общем случае должны определять следующие синхропараметры сигнала:

·    фазу несущего колебания (фазовая синхронизация ТС)

·        временные границы принимаемых посылок (тактовая синхронизация ТС)

·        моменты времени, соответствующие началу кодовых слов (цикловая синхронизация)

·        моменты времени, соответствующие началу и концу групповых сигналов в СПИ (кадровая синхронизация)

·        начало и конец передаваемого сообщения.

В подавляющем большинстве случаев сигналы тактовой, кадровой и цикловой синхронизации связаны по фазе между собой (синхронны). Частота повторения кодовых слов получается делением тактовой частоты на число разрядов в кодовом слове , частота повторения кадров - делением частоты повторения кодовых слов на число кодовых слов в кадре .

Все устройства синхронизации (УС), входящие в систему синхронизации (СС), можно разделить на два принципиально различных типа. Первый тип УС служит для синхронизации отсчетов времени (фазовая и тактовая синхронизация). С их помощью формируются временные шкалы. Второй тип устройств служит для устранения неоднозначности отсчетов времени при определении начала слова, кадра и сообщения. Устройства синхронизации отсчетов времени должны функционировать непрерывно, отслеживая изменение фазы входного колебания, а функции устройств устранения неоднозначности отсчетов времени сводятся к периодическому, а иногда и к однократному фазированию.

Различают УС разомкнутые (рис. 5, а), а которых синхроколебание фильтруется полосовым фильтром (аналоговым или цифровым), и замкнутые (рис. 5, б), построенные на базе систем фазовой автоподстройки частоты (ФАПЧ). В замкнутых системах колебание синхронизируемого УГ в фазовом детекторе ФД сравнивается по фазе с входным колебанием. Затем сигналом рассогласования УГ управляется по частоте так, чтобы свести это рассогласование к минимуму.

Рис. 5

Сглаживание сигнала рассогласования осуществляется низкочастотным фильтром ФНЧ. Принципиальным достоинством системы ФАПЧ является то, что она представляет собой следящий фильтр, в котором шумовая полоса может быть достаточно узкой независимо от диапазона изменения частоты входного колебания.

В качестве синхроимпульсов необходимо выбирать импульсы с крутыми фронтами, для повышения точности срабатывания системы синхронизации. Поэтому в качестве кадрового синхроимпульса выберем код Баркера - сложный сигнал с узким пиком автокорреляционной функции (АКФ), с числом разрядов данного кода 13 (n=13). Это последовательность импульсов положительной и отрицательной полярности: 11-1111-11-111-11.

Заключение

радиотелеметрическая цифровая система канал связь

В данной курсовой работе была разработана радиотелеметрическая система, удовлетворяющая всем требованиям ТЗ. Были выбраны основные параметры, разработана структурная схема. Благодаря использованию цифровых способов передачи и кодирования, характеристики системы позволяют ей осуществлять обмен информацией на большом расстоянии с большой точностью и малой величиной ошибки. Осуществляемая синхронизация приемной и передающей сторон позволяет избежать сбоев в работе, что повышает ее эффективность.

Литература

1.     «Проектирование радиотехнических систем передачи информации», учебное пособие, Н. Г. Свиридов, Рязань, 1990, 64 с.

2.       Пеннин В. И. «Системы передачи цифровой информации»,учебное пособие для вузов, М., «Советское радио», 1976, 378 с.

.        Сиверс А. П. «Основы космической радиоэлектроники», М., «Советское радио», 1969, 312 с.

.        «Радиотехнические системы передачи информации», учебное пособие для вузов, В. А. Борисов, В. В. Калмыков, под ред. В. В. Калмыкова, М. «Радио и связь»,1990, 304 с.


Не нашли материал для своей работы?
Поможем написать уникальную работу
Без плагиата!
Без нейросетей!