Обработка речевого сигнала
Министерство
образования и науки РФ
Дальневосточный
федеральный университет
(ДВФУ)
Курсовая
работа
по
теории электрической связи
Обработка
речевого сигнала
Выполнил: студент группы С-3348
Лешков А.А.
Проверил преподаватель:
Ковылин А.А.
Владивосток
2011 г.
Оглавление
Введение
Задание
Исходные данные
. Расчёт объёма
звукового файла
. Расчет порядка
фильтра Баттерворта
. Расчет порядка
фильтра
. Расчет передаточной
характеристики аналогового нормированного ФНЧ требуемого порядка
. Реализация фильтра
. Амплитудная модуляция
и детектирование сигнала
Заключение
Введение
Речевой сигнал- это электрический процесс на выходе
микрофона, воспринимающего речь. В данной курсовой работе необходимо разобрать
один из основных принципов обработки речевого сигнала, а именно фильтрацию
речевого сигнала с помощью цифрового фильтра.
Цифровой фильтр - в электронике любой фильтр,
обрабатывающий цифровой сигнал с целью выделения и/или подавления определённых
частот этого сигнала. В отличие отцифрового аналоговый фильтр имеет дело с
аналоговым сигналом, его свойства не дискретны, соответственно передаточная
функция зависит от внутренних свойств составляющих его элементов.
Так же мне необходимо выполнить амплитудную модуляцию
речевого сигнала. Амплитудная модуляция - процесс изменения амплитуды несущего
колебания, соответствующего изменению непрерывного информационного сигнала.
Суть амплитудной модуляции - перенос низкочастотного спектра модулирующего
(информационного) сигнала в высокочастотную область, характерную для спектра
исходных (несущих энергию) колебаний.
В процессе выполнения данной курсовой работы необходимо:
· Разобрать основные принципы обработки
речевого сигнала и манипуляции над этим сигналом;
· Закрепить теоретические знания курса
«Теории электрической связи»;
· Научиться рассчитывать аналоговые и
цифровые фильтры требуемого типа и порядка;
· Закрепить знания, связанные с
амплитудной модуляцией сигнала;
Задание
Создать монофонический WAW -файл с
соответствующими параметрами длительностью 1 минуту
2 Рассчитать объем файла
3 Рассчитать цифровой фильтр учитывая речевой канал от 300
до 3400 Гц используя метод билинейного z-преобразование (bilineartransformation)
1 Построить характеристики фильтра
2 Сделать выводы о проделанной работе
Исходные данные
|
|
Fs, Гц
|
n
|
Filter type
|
Fpass
|
Fstop
|
Apass
|
Astop
|
m
|
AM index
|
Fcarrier
|
|
44100
|
32
|
Бат
|
750
|
3350
|
1,2
|
90
|
7
|
0,48
|
14100
|
Fs - частота дискретизации;
n - разрядность;
Fpass - частота среза;
Fstop - частота задержки;
Apass - неравномерность в полосе пропускания;
Astop-уровень подавления в полосе заграждения;
m - порядок фильтра;
AMindex - индекс амплитудной модуляции;
Fcarrier - несущая частота.
1. Расчёт объёма звукового файла
Для начала, мне необходимо записать звуковой файл
длительностью 1 мин. с частотой дискретизации и разрядностью, которые указаны в
исходных данных. После записи файла, мне нужно рассчитать его объём и сравнить
этот объём с тем, который показывает компьютер. Записывать файл будем с помощью
программы Matlab, где при записи можно задать частоту дискретизации и
разрядность.
Рис.1 Схема записи звукового файла
Произведем расчет объёма файла:
n=32 бит- разрядность;
R=8- число бит в одном байте;
tc=60 сек- длительность
- частота дискретизации
10584000
Рис.2 Размер файла для сравнения с теоретическим расчётом
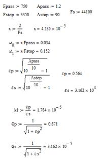
. Расчет порядка фильтра Баттерворта
Фильтры являются основой для большинства приложений
обработки сигналов. Типичное назначение - это извлечение или вырезка области
спектра входного сигнала или определенной частоты. Используемые для кондиционирования
сигналов фильтры нередко называются частотно-селектирующими, поскольку обычно
разрабатываются на основе требований к частотной характеристике.
Очевидно, для ФНЧ с частотой среза
идеальная частотная зависимость
коэффициента передачи мощности имеет вид:
(имеются в виду физические частоты w>0).
Такая частотная характеристика заведомо нереализуема. Обращение
в нуль функции
,а значит и передаточной функции К(р)
противоречит известному критерию Пели - Винера.
Возникает задача подбора аппроксимирующей функции.
Один из возможных способов аппроксимации идеальной
характеристики ФНЧ построен на использовании коэффициента передачи мощности
где -безразмерная нормированная частота.
ФНЧ, имеющий такие частотные свойства, называют фильтром с
максимально-плоской характеристикой или фильтром Баттерворта. Целое число n=1,2,3,… является порядком фильтра. При
любом n фильтр реализуем.
В полосе пропускания фильтра, т.е. при
, квадрат модуля коэффициента передачи
плавно уменьшается с ростом частоты. На частоте среза ослабление, вносимое
фильтром, составляет -3дБ независимо от порядка системы. Чем больше n, тем точнее аппроксимируется идеальная
форма частотной характеристики.
По сути z- преобразование - это дискретный эквивалент
преобразования Лапласа. Оно делает возможным удобный математический анализ (
стационарный анализ и анализ переходных процессов) и манипулирование сигналами
и спектрами. Возможно, наиболее распространенным современным применением z-
преобразования является описание дискретных систем и анализ их устойчивости .
z-преобразование позволяет вычислять свертку входного сигнала и характеристики
дискретной линейной системы в математически удобном виде. Кроме того, могут
определяться нули и полюса системы, что позволяет извлекать информацию о
динамическом поведении и устойчивости дискретной системы
Приведем основные соотношения
связывающие параметры аппроксимации АЧХ аналогового нормированного фильтра
нижних частот Баттерворта
Gp-определяет
максимальное искажение сигнала в полосе пропускания,
Gs- задает требуемое подавление в полосе
заграждения,
k-определяет селективные свойства фильтра,
k1- определяет степень
подавления фильтра с учетом вносимых искажений,
называется полосой пропускания ФНЧ,
и выше называется полосой подавления или
полосой заграждения,допустимое искажение в полосе пропускания Rp и
требуемое подавление в полосе заграждения Rs.
Порядок фильтра Баттерворта
рассчитывается из уравнения:
Прологарифмируем правую и левую части
уравнения и получим:
3. Расчет порядка фильтра
Произведем расчет в программе «Mathcad 14»
Приведем основные соотношения связывающие параметры
аппроксимации АЧХ:
Порядок фильтра Баттреворта рассчитываем из уравнения:
Округляем порядок фильтра до большего целого и получаем
требуемый порядок фильтра
N=7
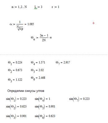
4. Расчет передаточной характеристики
аналогового нормированного ФНЧ требуемого порядка
Передаточную функцию фильтра Баттерворта можно представить
в виде:
Для любого целого
(
может принимать
значения 0 или
1)передаточную функцию фильтра Баттерворта можно
представить в виде:
Рис.3 Промежуточные расчёты
α- дополнительный
вещественный полюс
θ- угол, на который
отстают полюса квадрата модуля АЧХ фильтра
Баттерворта
Рис.4 Рассчитанная передаточная характеристика
нормированного ФНЧ
Баттервотра
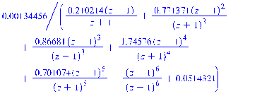
Расчёт выполняем с помощью Maple 13.0:
> restart;
>K:=(0.00134456/(0.210214*s+0.771371*s^2+0.86681*s^3+1.74576*s^4+0.701074*s^5+s^6+0.0514321));
> s:=(z-1)/(z+1);
> K;
>simplify(K);
> A:=(13445.60000*(z+1)^6); expand (A);
> B:=(-1.50738020e8*z^3+1.52103605e8*z^4-9.6036254e7*z^5+5.3466611e7*z^6-1.572273671e9*z^6+1.12983405e8*z^2-5.6767454e7*z+1.7904651);
expand(B);
>a:=expand(A)/z^6;expand(a);
>
>b:=expand(B)/z^6; expand(b);
>c:=a/(-1.518807060e9);expand(c);
>d:=b/(-1.518807060e9);expand(b);

Рис. 5 Дискретную функцию передачи H(z) .
Далее находим коэффициенты рассчитанного фильтра:
. Реализация фильтра
Данная функция передачи является рекурсивной (содержит как
входные, так и выходные отчеты). Для реализации такого фильтра в схему
потребуется две линии задержки. В первой линии задержки некоторое количество
предыдущих отчетов входного сигнала умножаются на коэффициенты и суммируются,
формируя выходной отчет y(k). Но при этом при
вычислении используются предыдущие отчеты выходного сигнала (т.е. присутствуют
обратные связи). Поэтому добавляют вторую линию задержки для хранения выходных
отчетов y(k-i).
Рис.6 Схема цифрового фильтра
Рис.7 Показания Осциллографа
) Сигнал на входе;
) Сигнал на выходе полученного цифрового фильтра;
) Сигнал на выходе фильтра Баттерворта.
6. Амплитудная модуляция и детектирование
сигнала
Для передачи информации на расстояние применяются сигналы,
эффективно излучаемые с помощью антенных устройств и обладающие способностью
распространяться в виде свободных радиоволн в среде, разделяющей отправителя и
получателя информации. Такими сигналами являются высокочастотные колебания.
Передаваемая информация должна быть тем или иным способом заложена в
высокочастотное колебание, называемое несущим. Частота
этого колебания выбирается в
зависимости от расстояния, на которое должна передаваться информация, от
условий распространения радиоволн и ряда других факторов. Но в любом случае
частота ω
должна быть велика с наивысшей частотой
спектра передаваемого сообщения. Это объясняется тем, что для
неискаженной передачи сообщений через радиотехнические цепи, а также для
устранения искажений, возникающих при распространении радиоволн, необходимо
чтобы ширина спектра сообщения была мала по сравнению с частотой несущего
колебания; чем меньше соотношение
, тем меньше проявляется несовершенство характеристик
радиотехнических систем.
В самом общем случае математическая модель несущего колебания
такова, что можно выделить некоторую совокупность параметров
, определяющих собой форму этого
колебания. Пусть
- низкочастотное сообщение, подлежащее
передаче по радиоканалу. Если, по крайней мере, один из параметров
изменяется во времени согласно
передаваемому сообщению, то несущее колебание приобретает новое свойство - оно
несет в себе информацию, которая первоначально была заключена в сигнале
. Физический процесс управления параметрами
несущего колебания и называется модуляцией.
В радиотехнике широкое распространение получили системы
модуляции, использующие в качестве несущей простое гармоническое колебание
.
В гармоническом колебании возможно изменение трех свободных
параметров U, w, φ по
закону передаваемого сообщения. Изменяя тот или иной параметр, можно получить
различные виды модуляции.
Принцип амплитудной модуляции
Если переменной во времени оказывается амплитуда сигнала U(t), причем частота и фаза неизменны, то имеет место амплитудная
модуляция (АМ) несущего колебания:
.
При амплитудной модуляции связь между огибающей U(t) и модулирующим сигналом s(t) определяется так:
,
где U0 - константа, амплитуда несущего
колебания в отсутствие модуляции, М - коэффициент модуляции, его
значение характеризует глубину модуляции.
звук сигнал модуляция
Рис.8 Схема пропускания сигнала через заданный фильтр
Рис.9 Показания осциллографа
Рис.10 Амплитудная модуляция и детектирование сигнала.
Заключение
В данной курсовой работе приведен пример расчета
передаточной характеристики цифрового ФНЧ Баттерворта. Получена передаточная
характеристика фильтра, собрана структурная схема фильтра; был записан и
рассчитан звуковой сигнал, была произведена амплитудная модуляция и
детектирование записанного сигнала.
При расчете передаточной характеристики необходимо
использовать выражения для передаточной характеристики соответствующее
заданному типу фильтра (Чебышева первого рода, Чебышева второго рода или
эллиптическому).
В сравнении с фильтрами Чебышева I и II типов или
эллиптическим фильтром, фильтр Баттерворта имеет более пологий спад
характеристики и поэтому должен иметь больший порядок (что более трудно в
реализации) для того, чтобы обеспечить нужные характеристики на частотах полосы
подавления. Однако фильтр Баттерворта имеет более линейную
фазочастотнуюхарактеристику на частотах полосы пропускания.