Простагландины

  • Вид работы:
    Доклад
  • Предмет:
    Биология
  • Язык:
    Русский
    ,
    Формат файла:
    MS Word
    4,46 kb
  • Опубликовано:
    2009-01-12
Вы можете узнать стоимость помощи в написании студенческой работы.
Помощь в написании работы, которую точно примут!

Простагландины

Содержание

Введение

. Биологический мониторинг качества воды по зарубежным источникам

.1 Аннотация

.2 Предисловие

.2.1 Введение

.2.2 Материалы и методы химических испытаний

.2.3 Испытания рыбы и испытания экспозиции

.2.4 Расчет данных и статистический анализ

.2.5 Результаты 3D частоты скорости бассейна

.2.6 Продолжительность 3D плавательного поведения

.2.7 Обсуждение

. Экологические методы исследования водных экосистем в России

.1 Биотесты

.2 ТоксПротект64 - интерактивный прибор для защиты качества воды

Заключение

Список литературы

Введение

Качество воды постоянно контролируется различными службами. Биологический мониторинг, наряду с химическим, играет в этом процессе немаловажную роль.

Резкие изменения качества воды могут отслеживаться путем наблюдения за поведением водных обитателей в специальных условиях - установках биосигнализации, которые дают моментальную информацию о малейших изменениях в составе воды и дает возможность оперативно реагировать в случае необходимости.

Воздействие длительного загрязнения отслеживается с помощью растений и животных в их естественной среде обитания. Для долгосрочного мониторинга используют искусственные субстраты, погруженные в воду. Использование биологического мониторинга совместно с химическим анализом является наиболее эффективным и объективно отражает ситуацию с качеством воды на водном объекте.

Оценка качества воды химическими методами осуществляется путем рутинного (постоянного) отбора проб воды для анализа на контрольной точке. Технически возможно использование системы постоянного контроля за некоторыми компонентами (содержание кислорода, кислотность, электропроводность - общее содержание солей, а также наиболее распространенные тяжелые металлы и органические соединения). Но такая система контроля не всегда дает истинное представление о состоянии водного объекта.

Использование системы биологического мониторинга дает представление о качестве воды в целом.

Для оперативного слежения за качеством воды на станциях организованы системы биосигнализаторов с участием рыб и водяных рачков.

Рыбы помещаются в специальный прозрачный контейнер, снабженный системой датчиков, через который прямотоком проходит вода из реки. Система слежения работает круглосуточно и полностью автоматизирована. В норме рыбы располагаются посередине потока против течения. В случае изменения качества воды по одному или нескольким параметрам в сторону ухудшения рыбы мгновенно реагируют изменением поведения (замирают, оседают на дно, всплывают). Датчики отправляют зафиксированные изменения в поведении на компьютер для анализа. Одновременно происходит отбор проб воды для химического анализа.

В случае резкого изменения качества воды (сброс в реку токсичных веществ или промышленных отходов в высоких концентрациях) возможно автоматическое отключение подачи воды потребителям до выяснения причин такого изменения.

Аналогичная система работает на станции с использованием водяных рачков.

Инфракрасные датчики фиксируют количество перемещений дафний за промежуток времени. В случае изменения качества воды эта величина меняется. Рачки более чувствительны к изменению состава воды, по сравнению с рыбами, но и продолжительность их жизни намного меньше, что связано с необходимостью регулярно заменять рачков.

Для долгосрочного слежения за качеством воды на станции используют искусственные субстраты с водорослями и донными животными. Один раз в месяц субстраты извлекаются и проводится анализ результатов с помощью биотических индексов, которые учитывают качественный и количественный состав населения субстратов.

Система биологического мониторинга с использованием биосигнализаторов и искусственных субстратов доказала свою необходимость, оправдала затраченные на ее организацию средства и в настоящее время широко используется в бассейне реки Рейн.

1. Биологический мониторинг качества воды по зарубежным источникам

.1 Аннотация

Мы проводили краткосрочные тесты по поведенческой токсичности у оризии (Oryzias latipes). Рыбы были экспонированы к токсикантам (цианистый калий [1 или 5 мг / л], фенол [12,5 или 25 мг /л], фенитротион [10 или 20 мг / л] или бентиокарб [10 или 20 мг / л]), и плавательное поведение регистрировалось в течении часа.

Оризии были помещены в экспозиционную камеру с непрерывной проточной системой. Две камеры отслеживали рыб в положениях спереди и сбоку в испытательной камере, и изображения с камер были использованы для расчета позиции оризии в трех измерениях (3D); 3D-данные были обработаны на компьютере и анализировалась как плавательная активность (скорость плавания и поверхностных свойств).

Плавательное поведения оризии подвергалось воздействию различных химических веществ. Частота быстрого плавания значительно возросла под воздействием цианистого калия (5 мг / л), фенола (25 мг / л), или фенитротиона (10 или 20 мг / л). Возрастание во времени закрытия нереста на поверхности воды наблюдалось при экспозиции рыб цианистым калием (1 или 5 мг / л), фенитротионом (10 или 20 мг / л), или бентиокарбом (20 мг / л). Мы полагаем, что загрязнение воды этими токсичными веществами при высоких концентрациях может быть регистратором мониторинга плавательного поведения оризии за часовой период.

Ключевые слова: медака, поведение плавания, водное качество, биомониторинг.

1.2 Предисловие

.2.1 Введение

Все большее число химических веществ, находящихся в использовании в широком спектре областей, а также угрожающих водным системам, разлив химических веществ является заботой.

В самом деле, количество аварийных разливов токсичных химических веществ в реки и потоки были зарегистрированы по всему миру.

В 1986 году 30 тонн пестицидов было выпущено в реку Рейн в результате пожара в промышленном комплексе (Капель и другие, 1988).

В 1991 году, огромное количество фенола оказалось в реке Нактонгана в Южной Корее, и водные организмы были убиты (Ёшида, 2003).

Аварийный разлив цианидов произошел на северо-востоке Румынии в 2000 году (Солдан и другие, 2001).

Эти водные инциденты оставляют потребность в оперативных контролирующих системах для оценки качества воды на ранних стадиях токсических разливов.

Вообще, современные аналитические методы, которые используются для мониторинга качества воды в водных средах, в том числе в водных источниках. Однако, использование инструментального анализа в рамках онлайн-мониторинга может быть трудным для выявление неожиданных токсических веществ и комплексов химических веществ: инструмент анализа по-прежнему не в состоянии эффективно выявлять такие токсиканты в режиме реального времени.

Поэтому, есть необходимость развивать контролирующие онлайн-системы, которые используют водные организмы. Фактически, несколько биологических контролирующих онлайн-систем, которые используют водные организмы, были разработаны и используются для контроля водных источников и расходных материалов. Морские водоросли, дафнии, двустворчатые моллюски, и рыба были выбраны в качестве тест-организмов (Герхардт и др., 2006г).

Мы сосредоточились здесь на использовании поведения рыб для обнаружения загрязнения воды токсическими веществами. Рыбы являются идеальным тест-организмом для исследования динамической токсичности химических веществ в воде.

Изменение поведения рыбы является ценной конечной точкой для немедленной оценки наличия токсических веществ в воде.

Когда рыба подвергается воздействию высокого уровня токсикантов, она показывает изменение поведения до самой смерти. Таким образом, анализ такого аномального поведения рыбы является ценным для мониторинга качества воды в краткосрочный период.

Предыдущие исследования показали изменения в поведении рыбы, двумерные данные в основном были использованы для анализа поведения бассейна (Кане и др, 2004, Парк и др, 2005, Сузуки и др, 2003). Рыбы имеют пространственную способность рассуждения, и их бассейнов производительность стереоскопических в испытательной камере. Поэтому мы рассматривали, что будет полезно собрать и проанализировать трехмерные (3D) данные о динамике поведения.

Японский медака был выбран как испытательный организм и был рекомендован в качестве справочной рыбы (ОЕСД 1999) для нескольких экотоксикологических проверок. Они просты в обслуживании и взрослые небольшие (в среднем длина около 3 см). Мы провели краткосрочную динамику токсичности в медака и рассмотрели вопрос об изменении их поведения как способ контроля за качеством воды.

.2.2 Материалы и методы химических испытаний

Испытание веществ цианистый калий (KCN,> 98% чистоты) и фенол (> 99% чистоты) были приобретены от Катаяма химической промышленности ООО (Осака, Япония) и Канто химической ОАО (Токио, Япония), соответственно. Фенитротион (МООС,> 98% чистоты) и бентиокарб (> 99% чистоты) были приобретены у Wако Pure химической промышленности (Осака, Япония). KCN и раствора фенола концентрации (100 мг / л), были подготовлены путем растворения в дехлорированной воде. Маточные растворы МООС и бентиокарб готовили растворением в диметилсульфоксиде (Wако Pure химическая промышленность, Осака, Япония.). А затем путем разбавления дехлорирования водопроводной воды.

.2.3 Испытания рыбы и испытания экспозиции

Около 300 взрослых медак (4-6 месяцев после выводка; означает [± SD] веса, 270,0 ± 40,0 мг, общая длина, 31,2 ± 1,9 мм) были отобраны из маточного стада, которые были сохранены в течение 6 лет в лаборатории. Рыба находится под фотопериодом (14:10 ч свет: темно) и подается с Artemia (<24 ч после вылупления) два раза в день.

Температура воды поддерживалась на уровне 22 ± 10 С, а растворенный кислород концентрация (среднее ± стандартное отклонение) составила 7,0 ± 0,2 мг / л. Мы выявили рыбу KCN испытание химических веществ (1 или 5 мг / л, четыре рыбы / лечение), фенол (12,5 и 25 мг / л, четыре рыбы / лечение), минприроды (10 или 20 мг / л; четыре рыбы / лечение), абентиокарб (10 или 20 мг/л; четыре рыбы / лечение) в течение 1 часа.

На рисунке 1 приведена схема тестовой экспозиции.

Рыбу помещают в тест камеру (длина 10 см, ширина 10 см, высота 15 см), в котором содержится около 1,8 л анализируемого раствора. Поставляется на проточные системы (расход, 400 мл / мин). Тестовый раствор был доставлен в испытательную камеру путем валика насоса (Eyela RP-1000, Токио Rikakikai Ко Ltd, Токио, Япония). Тестовые решения расхода дехлорированной водопроводной воды, были проверенны с помощью мерного цилиндра. Испытания решения в испытательной камере была возобновлена примерно в 12 раз / час.

Перед началом экспозиции, тест рыбу помещают в испытательную камеру и только дехлорированная водопроводная вода проходит через камеру в течение 30 мин, для акклиматизации. После 30-минутной адаптации, дехлорированная вода проходит через испытательную камеру еще 30 минут, тогда мы записали предварительное воздействие на поведение медаки.

Тест решение

Рис. 1 Схема тестовой экспозиции

Затем была введена в испытательную камеру в течение 60 мин. Плавательное поведение медаки записывались в течение 90 мин, в том числе предварительного периода воздействия.

Поведенческие параметры тестовой рыбы были зарегистрированы и количественно с биооборудованием на метр лабораторной рыбы (Seiko электрическое, Ltd, Фукуока, Япония). Две камеры отслеживали передние и боковые позиции рыбы в испытательной камере.

Плавательное поведение рыбы было записано двумя камерами и образы были направлены к компьютеру. Движение было зарегистрировано в 3D (х, у,и z координаты).

Исходя из этих данных, мы оценили поведение медаки от 3D скоростного плавания и 3D-поведение на поверхности. После воздействия теста, вся рыба была под наркозом в FA-100 решения (разбавление, 2000 раз; ООО Tanabe Seiyaku , Осака, Япония), осушенных на фильтровальной бумаге, и измеряют массу и длину тела.

.2.4 Расчет данных и статистический анализ

Предыдущие исследования показали, что максимальная скорость плавания медаки примерно 300 мм / с при нормальных условиях. Iwamatsu (2006) Сообщается, что максимальная скорость рыб в секунду в 10 раз больше их общей длины. Таким образом, данные из 3D-бассейна скорости (S) были разделены на 6 групп скорости (0 ≤ S ≤ 50 50 <S ≤ 100, 100 <S ≤ 150, 150 < S ≤ 200, 200 <S ≤ 250 и 250 <S ≤ 300 мм / с), и частота плавания при каждой скорости была оценена.

Кроме того, известно, что рыба находится рядом с поверхностью воды, тогда она подвергаются воздействию токсичных веществ в высоких концентрациях (наплавки поведение). Поэтому мы оценивали продолжительность покрытия поведение (т.е. время, затраченное на не более чем на 20 мм ниже поверхности).

Различия в частотах каждого бассейна. Скорость и продолжительность наплавки поведение статистически сравнивались между неэкспонированными и подвергающимися условиями.

Данные были проанализированы на один дисперсионный анализ (ANOVA) и затем были проверенны с помощью теста Даннетта.

При отсутствии однородности было отмечено, непараметрические статистические сравнения были использованы для выявления различий между лечениями (Крускала-Уоллиса).

Различия между неэкспонированными и подвергающимися условиями в группах были определены с помощью отдельных Mann-Whitney U-тестов. Значение P <0,05 считали указать значение; P Бонферрони был использован в непараметрических тестах. Все статистические анализы проводились с SPSS базы 11.0J (SPSS Inc, Chicago, IL, США).

.2.5 Результаты 3D частоты скорости бассейна

На протяжении периода воздействия, без существенных изменений частоты плавания скорости наблюдалось подверженность рыбы KCN 1 мг / л (рис. 2).

С другой стороны, значительное увеличение частоты плавания на 150 <S ≤ 250 мм / сек произошло между 30 и 60 мин воздействия KCN (5 мг / л), по сравнению с неэкспонированными условиями (рис. 2, б, Р <0,05, тест Даннетта).

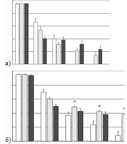
Фенол в 12,5 мг / л вызывал увеличение частоты быстрого плавания (150 <S ≤ 300 мм / с) в медаке (рис. 3А), но различия в скорости частоты между неэкспонированные и подверженными условиями не были значимыми.

Воздействие фенола при 25 мг / л значительно увеличило частоту плавания скорость 100 <S ≤ 250 мм / с при 0 до 30 минут воздействия, по сравнению с условиями неэкспонированные (Р <0,05, рис. 3B, испытания Даннетта).

Кроме того, на том же уровне экспозиции есть статистически значимое увеличение частоты плавательной скорости 250 <S ≤ 300 мм / с, с неэкспонированными условиями (Р <0,05, Крускала-Уоллиса и Манна-Уитни, тестов).

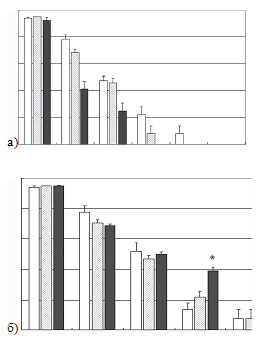
Воздействие мер в дозе 10 мг / л увеличивало частоту плавания со скоростью 100 <S ≤ 150 мм /сек в диапазоне от 0 до 30 мин воздействия (рис. 4а, P <0,05, Крускала-Уоллиса и Манна-Уитни, тестов).

Значительное увеличение частоты быстрого плавания (150 <S ≤ 200 мг / л) наблюдается в период с 30 и 60 мин воздействия мер 20 мг / л по сравнению с контрольными условиями (рис. 4, б, р <0,05, Тест Даннетта).

Кроме того, мы обнаружили увеличение частоты быстрого плавания (200 <S ≤ 250 мг / л) в возрасте от 30 до 60 мин воздействия мер (P <0,05, Крускала-Уоллиса и Манна-Уитни, тестов).

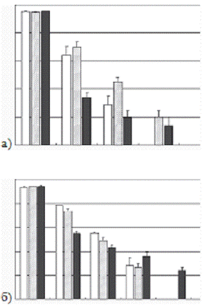
Рис. 2 Частота плавания скорости оризии:

(а), рыба подвергается KCN 1 мг / л

(б) рыба подвергается в KCN 5 мг / л в течение 1,5 ч поведение теста (ясно бары: неэкспонированные [контроль] 30 мин; серые полосы: подвергается 0 до 30 мин, черные полосы: подвергаться от 30 до 60 мин).

* P <0.05 по сравнению с контрольной. Данные представлены в качестве средства ± SE

Мы рассмотрели частоты по плаванию скорости в медаке в ходе испытаний воздействия бентиокарба (Рис. 2а). На протяжении бентиокарб 20 мг / л экспозиции, была тенденция к повышению частоты быстрого плавания (150 <S ≤ 300 мм / с), но не значительными различиями были обнаружены между контролем и подверженных условиях (рис. 2б).

.2.6 Продолжительность 3D плавательного поведения

Мы нашли изменения в продолжительности наплавки поведения, в медаке подвергаются 3 из этих тестов химических веществ (рис. 3).(1 мг / л), увеличилась экспозиция продолжительности наплавки поведения, и не было существенных различий между неэкспонированными и подвергающимися условиями (От 30 до 60 минут воздействия, P <0,05, тест Даннетта).

Продолжительность наплавки поведения также значительно увеличилась после того, как от 0 до 60 мин воздействия на KCN 5 мг / л (Р <0,05, тесты Крускала-Уоллиса и Манна-Уитни ).

Продолжительность наплавки поведения в медаке относились с Минприроды увеличилось в 10 мг / л в группе от 30 до 60 минут воздействия и в 20 мг / л при 0 группы до 60 мин экспозиции, соответственно (P <0,05, теста Даннетта). С бентиокарбом экспозиции, увеличение продолжительность наплавки поведение было обнаружено в 20 мг/л группы от 30 до 60 мин экспозиции (P <0,05; тест Даннетта), но никаких существенных изменений не наблюдается в 10 мг/л группы. Существовал не увеличение или уменьшение продолжительности наплавки поведение рыбы воздействию фенола.

Рис. 3 Частоты плавание скорости оризии:

(а) рыба подвергается воздействию фенола 12,5 мг / л

(б) рыба подвергается воздействию фенола 25 мг / л в течение 1,5 ч поведение тест (ясно бары: неэкспонированные [контроль] 30 мин; серые полосы: подвергается 0 до 30 мин, черный бары: подвергается от 30 до 60 мин). * P <0,05 по сравнению с контрольной. Данные представлены в виде средства ± SE

.2.7 Обсуждение

Воздействие химических веществ проверили при высоких концентрациях индуцированных существенные изменения в 3D-бассейне поведение медаки во время 1-ч периода воздействия. Мы сосредоточились на двух видах поведенческих параметров, скорость плавания и покрытия поведения, и эти два параметра пострадали в различной степени от KCN, фенол, мер, и бентиокарб.

Предыдущие исследования показали, что рыба шоу изменила плавание производительности вскоре после воздействия токсичных химических веществ, таких как фенол и мер. Лечение медаки с KCN или мер показали значительный рост в обоих частоты быстрого плавания и продолжительности наплавки поведение, по сравнению с неэкспонированные условиях. В отличие от фенола экспозиция вызывала значительное увеличение частоты быстрого плавания, но не было изменений в продолжительности наплавки поведения. В группе бентиокарб, скорость плавания не была затронута, но продолжительность наплавки поведение была увеличена.

Рис. 4 Частоты скорости плавания медаке:

(а) рыба подвергается MEP 10 мг / л

(б) рыба подвергается в Минприроды 20 мг / л в течение 1,5 ч поведение теста (ясно бары: неэкспонированные [контроль] 30 мин; серые полосы: подвергается 0 до 30 мин, черные полосы: подвергаться от 30 до 60 мин).

* P <0.05 по сравнению с контрольной.

Данные представлены в качестве средства ± SE.

Таким образом, закономерности влияния на поведенческие параметры отличаются среди токсичных химических веществ и их концентрации.

Мы обнаружили, значительное повышение частоты 3D-бассейна скорости более 100 мм /сек при токсичных химических веществах, кроме бентиокарба; бассейнов скорость медаки воздействию химических веществ, проверили при высоких концентрациях - часто были высокими (150 < S ≤ 300 мм / с).

В предварительном тесте мы оценивали 3D поведение бассейна 25 медак поведение воды в течении 90 мин. Распределение частот плавания скорость в этих элементах управления было 89,5% 0 ≤ S ≤ 50 мм / с, 10,05% 50 <S ≤ 100 мм / сек, 0,41% 100 < S ≤ 150 мм / с, 0,04% 150 <S ≤ 200 мм / с, 0,01% 200 <S ≤ 250 мм / с, 0% 250 <S ≤ 300 мм / сек.

Таким образом, плавание скорости 150 <S ≤ 300 мм / сек сделать не часто встречаются в неэкспонированные медаки, мы пришли к выводу что быстрому плаванию на медаки (150 <S ≤ 300 мм / сек) является эффективной конечной точкой для наблюдения аномальной плавательной деятельности в ответ на токсины.

Мы сравнили эти поведенческие данные о токсичности с LC50 значения из предыдущих исследований. Отклонения в бассейне поведения было обнаружено быстрее, чем потребовалось для обнаружения рыбы смертности. 96-ч LC50 для фенола в медаке является 29.3mg / л (Shigeoka и со авт., 1988), но мы обнаружили изменения в скорости плавания при воздействии по фенолу в 25 мг / л от 0 до 30 мин экспозиции. Для мер, 48-ч LC50 стоимость составляет 3,5 мг / л (Цуда и др. 1997г.); даже несмотря на 48-ч LC50 данных для MEP три раз меньше, чем значение, при котором изменения в плавание деятельности произошли (10 мг / л), мы обнаружили, поведенческие отклонения плавания течение 1 ч экспозиции

Рис. 5 Частоты плавание скорости медаке:

(а), рыба подвергается бентиокарб 10 мг / л

(б) рыба подвергается бентиокарб 20 мг / л в течение 1,5 ч поведение теста (ясно баров: неэкспонированные [контроль] 30 мин; серые полосы: от 0 до подвергаться 30 мин, черные полосы: подвергаться от 30 до 60 мин).

Данные представлены в качестве средства ± SE.

Рис. 6 Время, проведенное в поверхность воды медака подвергаться испытание химических веществ в поведение теста (ясно баров: неэкспонированные [контроль] 30 мин; серые полосы: от 0 до подвергаться 30 мин, черные полосы: подвергаться От 30 до 60 мин).

* P <0.05 по сравнению с контрольной.

Данные представлены в качестве средства ± SE

Таким образом, мы пришли к выводу, что загрязнение токсическими веществами в аналогичном диапазоне от LC50 значения могут быть обнаружены путем наблюдения за поведением плавания медаки.

Наши результаты также предположили, что соблюдение этих поведенческих параметров (плавание скорости и покрытия поведение) может помочь обнаружить загрязнение воды токсичными химическими веществами на ранней стадии.

Благодарности: мы благодарим Yoko Yamasaki и Ayumi Nakamura, биография группы мониторинга, SEIKO электрическое, Ltd, в свою техническую помощь в проведении данного исследования.

2. Экологические методы исследования водных экосистем в России

биологический мониторинг токсичность питьевой вода

2.1 Биотесты

Исследование питьевой воды на токсичность, или биотесты, - это преимущественно тесты на принудительное усвоение вредных веществ водорослями и бактериями, фиксируемое в эксперименте.

Проверяемую воду в течение суток последовательно насыщают испытуемыми организмами и измеряют концентрацию кислорода О2 в воде (у водорослей, чтобы определить изменение интенсивности фотосинтеза, а у бактерий, чтобы установить ход потребления ими кислорода).

Для определения концентрации растворённых в питьевой воде вредных веществ используют зелёные водоросли Haematococcus pluvialis. Тестируемая вода смешивается с эквивалентным количеством водорослей, и через 2 часа измеряется содержание О2 в ней. Chlorella pyrenoidosa применяется при определении остаточной концентрации гербицидов, замедляющих фотосинтез в воде и почве.

Выводы о качестве воды также можно сделать в течение 21 дня в процессе наблюдения за поведением таких видов водорослей, как Chlamydomonas gelatinosa и сине-зелёных водорослей Microcystis aeroginosa.

Постановка эксперимента при исследовании воды с водорослями (1) и дафниями (2)

Титр биомассы водорослей (БМТВ): для определения степени загрязнения воды в пробу воды добавляют зелёные водоросли Scenedesmus quadricauda, и через 10 суток определяют мутность воды и сравнивают с контрольной пробой.

При титровании биомассы бактерий (БМТБ) соответствующим образом используют Escherichia coli. Гетеротрофная бактерия способна поглощать неминерализованный азот, а также она применяется для определения концентрации органических загрязнений в воде.

Тест с пластинкой с отверстием: в центре круглой пластинки из питательного агара с нанесёнными на него бактериями выштамповывается отверстие, заполняемое отфильтрованной стерильной пробой воды. Вредные вещества диффундируют в агар и замедляют рост бактерий.

Полученную через 24 часа инкубации степень помутнения можно рассматривать в качестве меры токсичности.

Ames-тест: чтобы оценить вещества как возбудитель рака, в бедную гистидином среду высевают бактерии, неспособные синтезировать аминокислотный гистидин. Чтобы размножиться, они вынуждены мутировать в присутствии проверяемого вещества.

Ames-тест

На изображении показана контрольная пластина без тест-вещества (слева внизу), с тест-веществом (справа внизу) и при подсчёте количества колоний бактерий (справа сверху).

Однако нужно отметить, результаты данного эксперимента невозможно напрямую применить по отношению к человеку.

Биологически легко разлагающиеся вещества - это те вещества, у которых достигается 60-70% полного разложения РОУ.

Биологически трудно разлагающиеся вещества должны тестироваться при более высоких концентрациях бактериальной массы и в течение более длительного инкубационного периода. При этом необходимо проверять, разложились ли вещества полностью или образовались стабильные промежуточные продукты. Тест с водяными блошками (дафниями) может проводиться как:

статический тест в течение 24 часов без смены среды;

полустатический тест в течение 14 или 21 суток со сменой раствора через каждые двое суток;

динамический тест с непрерывной сменой раствора.

Используют дафний в возрасте от 6 до 24 часов, подмешивая их в ряду последовательно изменяющихся концентраций к водным пробам (1 дафния на 2 мл раствора) и сравнивая с контрольными смесями. Эти тесты пригодны для питьевой и речной воды, а также при контроле сточных вод в месте их сброса.

Есть три применяемых на практике эксперимента по определению с помощью дафний токсичности среды.

Эксперимент №1.

Через 24 часа пересчитывают погибших дафний (все дафнии, которые при легком покачивании сосуда не делают попыток плыть), Мера токсичности среды - выживаемость дафний, отнесенная к летальной концентрации ЛК50 (концентрация тестируемого вещества, при которой погибает 50% дафний).

Эксперимент №2.

В отличие от эксперимента №1, в этом эксперименте дафний подкармливают. Через 7-10 дней из икринок должны появиться мальки. Их пересчитывают через каждые 2 дня и удаляют. Смертность, прирост и численность сравниваются с контрольным опытом.

Эксперимент №3.

Через контрольную камеру объемом 50 мл с 25 дафниями за 24 часа протекает 200 мл/ч раствора. Динамический тест намного чувствительнее, чем статический. В автоматизированном варианте плавательная активность дафний проверяется в затемненной экспериментальной камере методом светового барьера. При отсутствии пересечения дафниями светового луча срабатывает предупредительный сигнал.

Биотест с рыбами: в опыте с острым отравлением испытывается ядовитость вещества при его воздействии на объект в течение 48 или 96 часов без смены среды. Определяют ЛК50 и фиксируют ЛК0 и ЛК100. ЛК0 - это максимальная концентрация, при которой на протяжении опыта все рыбы остаются в живых, а ЛК100 - это минимальная концентрация, при которой все рыбы погибают.

Для повышения чувствительности теста и фиксации сублетальных исходов разработан тест с вращающейся камерой.

Типичное поведение рыб, когда они удерживаются против течения, навстречу ему головой, быстро нарушается даже при легком отравлении. Чтобы рыбы не уставали, попеременно меняют горизонтальное течение на вертикальное. Наблюдают и используют для оценки плавательное поведение рыб в фазах спокойствия и стресса.

В биотестах с рыбами всплывание на поверхность считается критерием загрязнения среды.

.2 ТоксПротект64 - интерактивный прибор для защиты качества воды

ТоксПротект64 - это автоматическая система мониторинга качества воды и защиты питьевой воды от халатного или предумышленного загрязнения вредными веществами. Характерной чертой подобного рода контаминации является внезапное появление высокого содержания ядовитых веществ в воде. Подобные ситуации должны быть быстро распознаны и благополучно разрешены.

При использовании ТоксПротект64 возможность ложной тревоги сведена к минимуму. Таким образом, оператор может более спокойно управлять прибором, а излишние расходы на прибор значительно сокращаются.

Принцип работы

ТоксПротект64 наблюдает за плавательной активностью рыб в аквариуме, куда подаётся питьевая или водопроводная вода. Месторасположение и активность рыб (до 20 рыб) находятся под постоянным контролем. Рыбы быстро реагируют на присутствие токсинов и изменяют поведение.

Определение токсинов при помощи рыб является общепризнанным и хорошо известным методом.

Тестовые организмы быстро реагируют на присутствие большего количества веществ, вредных для здоровья человека. Данные токсичности имеются практически для всех комбинаций рыб и токсинов.

При использовании ТоксПротект64 в целях контроля качества хлорированной питьевой воды в воду может быть добавлено вещество для удаления хлора.

Движения рыб вызывают помехи в фотоячейках прибора, которые регистрируют изменения во всём аквариуме. Активность рыб вычисляется на базе помех (результаты выдаются в форме количества помех одной рыбы в минуту).

Если количество помех в определённые сроки времени является недостаточным по сравнению с заданной нормой, прибор активизирует систему контрольной проверки сигнализации. Неподвижные рыбы на дне аквариума или на поверхности воды также принимаются во внимание.

Несмотря на то, что пользователь самостоятельно выбирает виды тестовых рыб (определённые виды рекомендованы в техническом описании), для наиболее достоверных результатов необходимо использование активных рыб, длина тела которых должна достигать 4-6 см.

Определение токсичности

ТоксПротект64 определяет изменения в плавательной активности рыб вследствие интоксикации и анализирует данные измерения на необходимость активизации сигнала тревоги. Параметры активизации сигнала тревоги могут быть заданы индивидуально. При запуске сигнализации особо высокий приоритет отдаётся случаям выявления наличия рыб на дне аквариума и на поверхности воды, так как подобные ситуации могут сигнализировать о смертельной опасности токсинов.

Например, ТоксПротект64 определяет наличие респираторного токсина цианистого калия в течение 10 минут при концентрации 1 ppm.

Система контрольной проверки сигнализации.

Одной из основных причин ложной тревоги является естественное непредсказуемое и нестандартное поведение тест-рыб, активизирующее систему сигнализации. Именно поэтому система сигнализации должна быть оборудована механизмом контрольной проверки. Контрольная проверка осуществляется посредством уменьшения иллюминации (отключения света) внутри аквариума в течение тестового периода.

Как правило, в подобном случае активность рыб значительно увеличится. Однако при наличии в тестовом образце токсических веществ пользователь будет наблюдать совершенно другую картину.

Таким образом, наблюдение за поведением рыб при резком изменении интенсивности иллюминации в аквариуме служит методом контрольной проверки системы сигнализации. В зависимости от результата, пользователь может принять или отклонить первичную тревогу.

Контроль неисправности прибора (сигнализация аппаратного оборудования).

ТоксПротект64 оборудован встроенными сенсорами, реагирующими на сбой в работе прибора с учётом следующих критериев:

- движение (циркуляция) тестируемой воды;

закупоривание дрены;

падение температуры;

случайный (неавторизованный) контакт тестовой камеры с внешним освещением:

высокая концентрация хлорина.

Преимущества ТоксПротект64:

- чувствительность к широкому спектру токсинов;

надёжность;

лёгкость в управлении;

техническое обслуживание небольшого объёма;

низкие затраты на приобретение и эксплуатацию;

сигнал тревоги передаётся посредством СМС-соообщений и электронной почты.

Единовременная эксплуатация нескольких станций наблюдения необходима в целях обеспечения высокого уровня безопасности водных ресурсов. ТоксПротект64 - это недорогой прибор, который лёгок в управлении и может быть использован в разнообразных сферах системы поставок питьевой воды.

Области применения - разнообразные формы защиты:

- мониторинг запасов питьевой воды;

постоянный контроль состояния плотин;

анализ и оценка состояния водных путей;

общая оценка состояния окружающей среды;

оценка водозабора;

химический анализ.

Программное обеспечение для ПК - эксклюзивный метод анализа данных.

Один или несколько приборов ТоксПротект64 могут быть подвержены дистанционному наблюдению при помощи передачи данных в программное обеспечение для ПК (опция). Связь осуществляется посредством LAN, GSM, модема или Интернета. Программное обеспечение предлагает несколько возможностей отображения и анализа всех величин измерения.

Программное обеспечение также позволяет установить настройки для различных параметров и дистанционно проверить текущий статус прибора.

Заключение

Биомониторинг является составной частью экологического мониторинга - слежение за состоянием окружающей среды по физическим и биологическим показателям.

В задачи биомониторинга входит регулярно проводимая оценка качества окружающей среды с помощью специально выбранных для этой цели живых объектов. Лучше других отработана система биомониторинга водной среды.

В результате анализа методов биоиндикации, по оценке загрязнения поверхностных вод можно выделить основные достоинства и недостатки.

Для большинства методов требуются квалифицированные специалисты в определении видов живых организмов. Наряду с методами биоиндикации необходимо применение и метода биотестирования, для выявления и оценки действия факторов (в т. ч. и токсических) окружающей среды на организм, его отдельную функцию или систему организмов.

В настоящее время методики биоиндикации и биотестирования не имеют общепризнанной системы биологического анализа и нет требований, которым должна отвечать эта система.

Литература

1. NiaziJaved H., BockGuMan. Toxicity of Metallic Nanoparticles in Microorganisms- a Review //Atmospheric and Biological Environmental Monitoring. Y.J. Kim et al. (eds.).Dordrecht Heidelberg London New York, 2009. -pp. 193-206.

2. http://www.rae.ru/monographs/55-2251.,-«Биологические методы загрязнения вод»

.http://ecoera.ucoz.ua/publ/ehkologicheskie_metody_issledovanija_vodnykh_ehkosistem/49-1-0-288.,-« Экологические методы исследования водных экосистем»

Похожие работы на - Простагландины

 

Не нашли материал для своей работы?
Поможем написать уникальную работу
Без плагиата!
Без нейросетей!