Анализ рынка банковских услуг
Министерство образования и науки
Российской Федерации
КУРСОВАЯ РАБОТА
по дисциплине: СТАТИСТИКА
на тему: Анализ рынка банковских
услуг
Содержание
Глава 1. Теоретические аспекты рынка банковских услуг
.1 Сущность банковских услуг
.2 Классификация банковских услуг
Глава 2. Статистические методы анализа рынка банковских услуг
.1 Основные методы изучения рынка банковских услуг
.2 Основные статистические показатели рынка банковских услуг
Глава 3. Статистический анализ рынка банковских услуг
.1 Группировка банков РФ по данным на февраль 2011 г.
.2 Анализ вариации рынка банковских услуг
Приложение
Глава 1.
Теоретические аспекты рынка банковских услуг
.1 Сущность
банковских услуг
Известно, что банки осуществляют различные операции и услуги. В Законе
"О банках и банковской деятельности в Российской Федерации"
говорится, что банковская деятельность - это банковские операции, а также
другие сделки, разрешаемые настоящим Законом, другими законодательными актами
Российской Федерации для проведения банками и кредитными учреждениями помимо
банковских операций". Мы видим, что в обоих законах присутствует понятие
"банковской операции", в то же время понятие "банковская
услуга" постоянно присутствует во всех упоминаниях относительно банковской
деятельности. В экономической науке существует множество подходов к толкованию
этих двух понятий. На вопрос - чем же занимается банк - оказанием услуг или
проведением операций - ответить сложно. Попытаемся разобраться в этом вопросе,
первоначально изучив само понятие "банк".
Банк - это специфический экономический институт, создающий особый
продукт, связанный с движением денежных потоков, аккумулированных у юридических
и физических лиц, предоставляющий за счет этих денежных средств банковские
услуги".
Чем же отличаются банки от других финансовых посредников? Во-первых, для
банков характерен двойной обмен долговыми обязательствами: они размещают
собственные долговые обязательства, а мобилизованные на этой основе средства
размещают в долговые обязательства и ценные бумаги, выпущенные другими. Во -
вторых, банки отличает принятие на себя обязательств с фиксированной суммой
долга перед юридическими и физическими лицами. В-третьих, банки опосредуют
движение денежных средств между государствами, предприятиями, населением,
осуществляя расчетно-кассовое обслуживание, выпуская и обслуживая электронные
деньги, пластиковые карты. Можно сказать, что сущность банков в аккумуляции
капитала, не участвующего в производственном процессе и приложение данного
капитала к труду, делу с целью создания новых благ и услуг. То есть банки
являются посредниками между производителем и потребителем, при этом они
участвуют в двухстороннем обмене. Наглядно это можно продемонстрировать в виде
следующей схемы:
Схема 1. Банковская деятельность
Эта схема отражает основной вид банковской деятельности, связанный с
привлечением денежных средств и размещением их на условиях платности, срочности
и возвратности. Но банк является универсальным предприятием и оказывает широкий
спектр финансовых услуг, где схема взаимодействия банка и клиентов будет
представлена в виде аналогичной схемы:
Определение сущности понятия "банк" и построение схемы клиент -
банк - клиент было необходимо для выявления итогового результата деятельности
такого предприятия как банк. Если в сфере материального производства итогом
деятельности является готовый продукт, то в банковской сфере итогом
деятельности - банковская услуга. Необходимо отметить, что экономическая наука
под услугами понимает своеобразный полезный эффект труда, не создающего
материальных благ, но полезного именно как процесс. Услуга - это вид
деятельности, работ, в процессе выполнения которых не создается новый, ранее не
существовавший материально-вещественный продукт, но изменяется качество уже
имеющегося, созданного продукта. Другими словами, услуга - это нематериальные
блага как особый вид результатов или продуктов труда. То есть, операции банков
в их собственном качестве с точки зрения результата эффекта такой деятельности
- это оказание услуг клиентам. Именно наличие клиента и предопределяет
трансформацию операции банка в его услугу. Можно проследить направления
банковской деятельности, где происходит такая трансформация. Все операции
коммерческих банков можно подразделить на три группы:
1. Пассивные (привлечение средств);
2. Активные (размещение средств);
. Комиссионно-посреднические и доверительные (трастовые) операции.
Каждая из этих групп операций предполагает определенную степень
вовлечения в них клиента, а, следовательно, и определенную долю предлагаемых
банком услуг. Значительная часть привлеченных средств банка формируется при
непосредственном участии клиента, вносящего сумму денег в банк в виде депозита
до востребования, а также срочного, сберегательного или же другого вклада. Это
первый этап предложенной выше схемы, а именно, отношения "клиент -
банк", в результате чего начинается процесс предоставления услуг. В
зависимости от намерений клиента банк предоставляет ему ту или иную услугу, проводя
при этом собственную операцию в пользу клиента. Степень участия самого клиента
в пассивных операциях не велика, хотя роль его денежных средств, размещенных в
банке, естественно, значительна для банка. Важную роль отводят банки
предоставлению услуг клиентам при проведении активных операций, среди которых
помимо кредитных выделяются операции с ценными бумагами (фондовые операции),
проводимые банками, как в рамках самостоятельной политики, так и по поручению и
за счет клиента. Практически, полное участие клиента предполагает следующая
группа банковских операций: доверительных и комиссионно-посреднических,
проводимых по поручению клиентов и на комиссионных началах. Все эти операции
отвечают схеме "клиент - банк - клиент" и равнозначны понятию банковских
услуг. Целью привлечения банком средств клиента является не только прямое
извлечение прибыли, но и возможность аккумуляции данных средств с целью
последующего их использования, выполняя общественно необходимую функцию
платежей. При этом за услуги, предлагаемые своим клиентам, банк обычно взимает
комиссию.
Таким образом, можно сделать вывод, что банк - это предприятие,
оказывающее банковские услуги. А под банковской услугой понимаются операции
банка, проводимые по поручению клиента и в пользу последнего за определенную
плату.
1.2
Классификация банковских услуг
Сущность деятельности банков проявляется в выполнении ими определенных
функций, которые отличают их от других органов.
Банковскую услугу можно охарактеризовать как выполнение банком
определенных действий в интересах клиента. В основе любого банковского продукта
лежит необходимость удовлетворения какой-либо потребности.
К основным традиционным услугам в настоящее время по-прежнему относятся
привлечение вкладов и предоставление ссуд. От разницы в процентах по этим
услугам банки и получают наибольшую массу прибыли. Однако даже только в рамках
этих двух услуг может быть выработано множество самых разнообразных форм
банковских продуктов.
Сегодня универсальные банки предлагают широкий ряд продуктов, охватывающий
практически все аспекты банковской деятельности и финансовых услуг. В то же
время другие банки в целях завоевания и прочного удержания конкурентного
преимущества стремятся специализироваться на оказании строго определенных видов
услуг.
Сеть коммерческих банков способствует становлению денежного рынка,
экономической основой которого является наличие временно свободных средств у
юридического и физического лица, а также государства и использование их на
удовлетворение краткосрочных потребностей экономики и населения.
Коммерческие банки практически занимаются всеми видами кредитных,
расчетных и финансовых операций, связанных с обслуживанием хозяйственной
деятельности своих клиентов.
Банки могут выполнять следующие услуги:
· привлечение депозитов на платной основе;
· ведение счетов клиентов и банков-корреспондентов, их кассовое
обслуживание;
· предоставление юридическим и физическим лицам краткосрочных и
долгосрочных кредитов на условиях возвратности, срочности и платности;
· финансирование капитальных вложений по поручению владельцев
или распорядителей инвестируемых средств;
· выпуск собственных ценных бумаг (чеков, векселей,
аккредитивов, депозитных сертификатов, акций и других долговых обязательств) в
порядке, предусмотренном законом;
· покупку, продажу и хранение платежных документов и иных
ценных бумаг и другие операции с ними;
· выдачу поручительств, гарантий и иных обязательств за третьих
лиц, предусматривающих исполнение в денежной форме;
· приобретение права требования поставок товара и оказания
услуг, принятие риска исполнения таких требований и инкассации этих требований
(факторинг);
· оказание брокерских услуг по банковским операциям, выступать
в качестве агента клиентов по их риску;
· услуги по хранению документов и ценностей для клиентов
(сейфовый бизнес);
· финансирование коммерческих сделок, в т. ч. без права продажи
(форфейтинг);
· доверительные операции по поручению клиентов (привлечение и
размещение средств, управление ценными бумагами);
· оказание консультационных услуг, связанных с банковской деятельностью;
· осуществление лизинговых операций.
При наличии специальной лицензии Нац. банка, банки могут осуществлять
другие банковские операции, в т. ч. проведение операций с иностранной валютой;
привлечение денежных вкладов населения; оказание услуг по пересылке денег
(инкассация).
Группируя эти операции коммерческих банков, можем сформулировать
выполняемые ими основные функции:
· аккумулирование временно свободных денежных средств,
сбережений и накоплений (депозитные операции);
· кредитование экономики и населения (активные операции);
· организация и проведение безналичных расчетов;
· инвестиционная деятельность;
· прочие финансовые услуги клиентам.
Ресурсы банка формируются за счет собственных, привлеченных и
эмитированных средств. К собственным средствам относятся акционерный и
резервный капитал, а также нераспределенная прибыль. Собственные средства
составляют незначительную часть ресурсов банка, основная часть ресурсов
привлекается в виде вкладов (депозитов), а также корреспондентских счетов.
Под депозитами понимается все срочные и бессрочные вклады клиентов банка,
кроме сберегательных. Депозиты бывают двух видов: вклады до востребования и
срочные вклады. Вклады до востребования - это средства на текущих счетах
клиентов, они могут быть востребованы в любой момент, по ним выплачивается
низкий процент и они предназначены для текущих расчетов.
Вторую форму депозитов составляют срочные вклады. Эти вклады в отличие от
текущих вносятся на более длительный срок. Вкладчику выплачивается более
высокий процент, банк располагает этими средствами, увеличив доходы от процента
за счет выданных ссуд под эти вклады. Привлечение сбережений населения сейчас
стало одним из важнейших видов операций в банковской системе. Средства,
мобилизуемые с помощью этих операций, используются для финансирования отраслей
народного хозяйства.
К пассивным операциям относятся кредиты, полученные от других банков, -
привлеченные средства. Этот вид операций является обычной кредитной сделкой,
при которой инициатива исходит от банка.
Кредитные операции можно классифицировать по ряду признаков. По срокам,
на которые предоставляется кредит, он подразделяется на краткосрочные,
среднесрочные и долгосрочные. В зависимости от обеспеченности ссуды бывают
бланковые (без обеспечения) и обеспеченные. Последние бывают вексельными
(выдаваемые в виде покупки векселя или под его залог), под товарные под ценные
бумаги. По характеру погашения ссуды делятся на погашаемые в рассрочку и
погашаемые единовременно. Кредит классифицируется также по методу взимания процента,
который может удерживаться в момент предоставления ссуды или в момент погашения
кредита. В зависимости от размера кредит подразделяется на мелкий, средний и
крупный.
В последние годы стали распространенными такие банковские операции, как
лизинг и факторинг.
Лизинг - это сдача в аренду предметов длительного пользования.
Практикуются: оперативный лизинг, при котором договор аренды заключается на
короткий срок (3-5 лет) и может быть расторгнут арендатором в любое время;
лизинг недвижимости, финансирующий лизинг. Лизинг дает арендатору ряд
преимуществ, так как способствует сбережению его собственных средств,
предоставляет возможность осуществления лизинговых платежей из доходов от
эксплуатации арендуемого объекта, освобождения лизинговых платежей от налогообложения.
В операции факторинг участвуют: фактор, первоначальный кредитор (клиент
фактора) и должник, получающий от клиента товары с отсрочкой платежа.
Факторская компания, или фактор, покупает требования у первоначального
кредитора и в последующем сама получает платежи по ним.
Следующим видом операции банков является банковские услуги. Для банков
они служат важной частью рекламы. Существуют три вида банковских услуг:
управление имуществом (доверительные или трастовые операции); операции по
выпуску, размещению и хранению ценных бумаг, а также управление ими; платежный
оборот, операции с валютой и драгоценными металлами, инкассация векселей и
чеков. Под платежным оборотом понимается осуществление банками за счет клиентов
или за их собственный счет наличных и безналичных платежей.
В современных условиях получила распространение банковская операция
андеррайтинг, т.е. гарантированное размещение на рынке облигационного займа или
пакета акций на согласованных с эмитентом условиях за специальное
вознаграждение.
Проводя свои операции, банки получают операционные доходы, образующие их
валовую прибыль. Валовая прибыль включает:
· доходы от учетно-ссудных операций (процент);
· проценты и дивиденды от вложений в ценные бумаги;
· комиссионные по расчетным, переводным и другим операциям;
· прибыли от учредительства, биржевых сделок;
· доходы по доверительным операциям;
· доходы от внешних операций (валютных сделок, зарубежных
кредитов).
После вычета из валовой прибыли расходов по осуществлению операций,
выплаты зарплаты сотрудникам банка, процентов вкладчикам и других расходов
образуется чистая прибыль банка. Из этой прибыли выплачиваются налоги,
дивиденды, отчисляются средства в резервный капитал. Отношение чистой прибыли к
собственному капиталу банка представляет норму банковской прибыли.
Одной из центральных задач управления коммерческими банками является
поддержание оптимального соотношения между ликвидностью банка и его
прибыльностью, доходностью его операций.
Банки должны постоянно обеспечивать определенный уровень ликвидности,
чтобы не ставить под сомнение свою платежеспособность.
Понятие ликвидности тесно связано с инвестициями в ценные бумаги.
Коммерческие банки на рынке ценных бумаг могут выступать в качестве:
. эмитентов ценных бумаг,
. посредников при операциях с ценными бумагами,
. в роли инвестора, приобретая ценные бумаги за свой счет.
Ценные бумаги, выпускаемые коммерческими банками, можно разделить на две
основные группы:
. акции и облигации;
. сберегательные и депозитные сертификаты, векселя.
Коммерческие банки, выпуская собственные акции, выступают преимущественно
в качестве акционерного обществе, а не финансово-кредитного общества.
Эмитируя и обслуживая векселя, сберегательные и депозитные сертификаты,
коммерческие банки по поручению предприятий, выпустивших акции, осуществляют их
продажу, перепродажу, хранение и получение дивидендов по ним, получая
комиссионное вознаграждение.
На комиссионные же началах коммерческие банки по договоренности с
организациями, выпустившими облигации и другие ценные бумаги, могут взять на
себя их продажу, перепродажу или получение дохода по ним.
Банки могут принимать от заемщиков ценные бумаги в качестве залога по
выданным ссудам. Порядок получения дохода по ценным бумагам в период действия
залога определяется в кредитном договоре, заключаемом между ссудозаемщиком и
банком.
На основании различных инвестиций формируется инвестиционный портфель
банка.
Инвестиционный портфель банка - это совокупность ценных бумаг,
приобретенных банком в ходе активных операций. Он включает: инструменты
денежного рынка - сроком до года, с низким риском и высокой ликвидностью;
инструменты рынка капиталов (сроком более года с более высокой доходностью);
новые финансовые инструменты и др.
Крупные банки, как правило, акцентируют внимание на бумагах местных органов
власти, частных лиц, иностранных бумагах.
Мелкие банки специализируется на государственных бумагах.
Доходы от инвестиционного портфеля включает:
поступления в форме процентных платежей;
· доход от повышения капитальной стоимости бумаг, находящихся в
портфеле бумаг;
· комиссия за оказание инвестиционных услуг;
· спрэд - разница между курсами покупок и продаж при дилерских
операциях.
Для получения максимального эффекта от операций с ценными бумагами
необходимо разработать стратегию банковских инвестиций. Выделяют пассивную и
агрессивную стратегию.
В процессе своей деятельности каждое предприятие находится в непрерывной
связи с другими хозяйствующими субъектами, государством, банками, рабочими и
служащими, другими партнерами. Такие отношения предприятий осуществляются при
помощи денег, а их совокупность в масштабах страны представляет собой денежный
оборот.
Денежный оборот осуществляется в двух формах - в форме обращения наличных
денег и в форме безналичных расчетов.
Безналичные расчеты осуществляются путем списания денежных средств со
счетов плательщиков и зачисления их на счета получателей, а также путем зачета
встречных обязательств.
Благодаря использованию безналичных расчетов достигается огромная
экономия издержек обращения, ускоряются и облегчаются расчеты, обеспечивается
сохранность денежных средств, улучшается организация денежного обращения.
Безналичные расчеты в системе национальных платежей республики,
определяют общие подходы к организации расчетов и единому документообороту в
банках; предусматривают формы безналичных расчетов и расчетные документы,
применяемые юридическими лицами всех организационно-правовых форм и физическими
лицами.
Основные формы безналичных расчетов:
. платежное поручение;
. акцептованное платежное поручение;
. платежное требование-поручение;
. аккредитив;
. чек;
. инкассовое поручение.
Платежное поручение - поручение данное плательщиком обслуживающему банку,
перечислить бенефициару определенную сумму денег.
Акцептованное платежное поручение представляет собой поручение, данное
самим плательщиком банку-плательщику, о перечислении определенной суммы денег
через почту на имя отдельных граждан причитающихся им лично денежных средств.
Платежное требование-поручение - требование бенефициара к плательщику
оплатить на основании направленных ему, минуя банк, отгрузочных документов о
стоимости поставленной продукции, оказанных услуг и других платежей по
договору.
Аккредитив представляет собой обязательство банка об уплате определенной
суммы денег бенефициару за отпущенные товары или оказанные услуги при
предъявлении документов, подтверждающих отправку товара или оказание услуг в
установленный период.
Чек - расчетный документ, посредством которого чекодатель дает
распоряжение банку-плательщику оплатить определенную сумму денег при предъявлении
чекодержателем чека.
Инкассовое поручение - поручение бенефициара на бесспорное списание
определенной суммы денежных средств со счета плательщика без его согласия на
основании исполнительных документов или других законодательных актов,
предусматривающих право бесспорного списания.
Клиринг. По согласованию между предприятиями могут производиться зачеты
взаимной задолженности минуя банк. На сумму разницы по зачету в банк
представляется платежное поручение или чек, в котором в графе “Назначение
платежа” делается ссылка на акт сверки.
Кроме текущих денежных операций и услуг, оказываемых клиентам, банки
также консультируют клиентов в вопросах управления капиталом.
Клиент, его запросы и пожелания, их удовлетворение - важный аспект работы
банка.
Банк, его работники, заинтересованные в клиентуре, призваны выступать не
только в качестве одной из сторон в финансовой операции, но и в качестве
консультантов клиента, кровно заинтересованных в его благополучии, в упрочении
его финансового положения. Ведь клиент - равноправный партнер банка важно “не
упустить”. Для этого нужно подробно разъяснить ему возможные варианты сделки,
порекомендовать наиболее для него выигрышные.
Так, например, при предоставлении кредита банк сам анализирует и
предлагает наиболее оптимальный размер кредита и сроки его погашения.
Аналогично с депозитами - при открытии счета, банк узнает, на какие цели
открывается счет и посоветует наиболее приемлемый вид счета.
Банк занимается консалтингом по поводу инвестирования в ценные бумаги и
т.д.
На каждом этапе общения с клиентом, в том числе в рамках разработки и
выполнения договора, следует разъяснять клиенту его возможности, подсказывать
наиболее эффективные пути реализации намеченного, все время памятуя, что
благосостояние клиента - это благосостояние и его банка.
Трастовые услуги - операции по управлению собственностью, другими
активами, принадлежащими клиенту. В настоящее время трастовые операции являются
наиболее важными, поскольку банк выступает полномочным
представителем-посредником между рынком и клиентом и получает целый ряд
очевидных выгод от их совершения.
Банковские трастовые операции делятся на следующие виды:
. трастовые услуги частным лицам;
. трастовые услуги коммерческим предприятиям;
. трастовые услуги некоммерческим организациям.
Трастовые услуги частным лицам бывают завещательные и прижизненные.
Завещательные трасты вступают в силу только после смерти собственника;
прижизненные действуют при жизни его владельца. Завещательные трасты обычно
создаются учредителем тогда, когда он хочет распределить активы бенефициарам в
форме траста. Прижизненные трасты создаются для передачи права собственности на
активы, чтобы владелец мог избежать налогов или принимать ежедневные решения по
инвестициям, связанным с управлением имуществом.
Трастовые услуги коммерческим предприятиям делятся на агентские и
попечительские.
Трастовые подразделения банков часто действуют как агенты деловых фирм.
Эта деятельность обычно включает работу по выпуску ценных бумаг в интересах
коммерческих клиентов, выплату дивидендов и их реинвестирование по требованию
акционеров и погашение ценных бумаг по истечении срока.
Попечительские операции связаны с функционированием рынка коммерческих
бумаг, на котором продаются необеспеченные закладные крупных компаний.
Трастовые отделы банков ведут учет закупок коммерческих бумаг, следят за
поставками всех реализуемых ценных бумаг инвесторам и производят выплату
владельцам тех ценных бумаг, срок погашения которых истек.
Поручительство - соглашение, в котором поручитель принимает на себя обязательство
перед кредитором заемщика отвечать за исполнение последним его обязательства
полностью или в части.
Указанное соглашение оформляется договором в письменной форме.
Поручительство может обеспечивать как уже существующие требования, так и
требования, которые могут возникнуть в будущем.
Глава 2.
Статистические методы анализа рынка банковских услуг
2.1 Основные
методы изучения рынка банковских услуг
Для обработки собранных в ходе статистического наблюдения первичных
данных широко используют метод группировки.
Группировка - это распределение множества единиц исследуемой совокупности
по группам в соответствии с существенным для данной группы признаком. Метод
группировки позволяет обеспечивать первичное обобщение данных, представление их
в более упорядоченном виде. Благодаря группировке можно соотнести сводные
показатели по совокупности в целом со сводными показателями по группам,
появляется возможность сравнивать, анализировать причины различий между
группами, изучать взаимосвязи между признаками. Группировка позволяет делать
вывод о структуре совокупности и о роли отдельных групп этой совокупности.
Именно группировка формирует основу для последующей сводки и анализа данных.
Признаки, по которым проводится группировка, называют группировочными
признаками (основаниями группировки). Правильный выбор существенного
группировочного признака дает возможность сделать научно обоснованные выводы по
результатам статистического исследования. Группировочные признаки могут иметь
как количественное выражение, так и качественное.
При определении числа групп, как правило, учитываются задача
исследования, объем совокупности и виды признаков, которые берутся в качестве
основания группировки. Процедура определения оптимального числа групп основана
на применении формулы Стерджесса

(1)
где
n - число групп;- численность совокупности.
Определение
числа групп тесно связано с величиной интервала: чем больше число групп, тем
меньше величина интервала, и наоборот. Интервал - разница между максимальным и
минимальным значениями признака в каждой группе. Он определяет количественные
границы групп, что для статистической практики имеет большое значение, особенно
когда нужно образовать качественно однородные группы.
Величину
равного интервала можно вычислить по формуле

(2)
где
d - величина интервала;max, xmin - наибольшее и
наименьшее значения признака;- число групп.
Если
величина равного интервала рассчитывается по данной формуле, то следует
знаменатель предварительно округлить до целого числа (как правило, всегда
большего), так как количество групп не может быть дробным числом.
Основными статистическими показателями являются средние величины и
показатели вариации.
Средняя величина - обобщающий показатель, характеризующий типичный
уровень явления в конкретных условиях места и времени, отражающий величину
варьируемого признака в расчете на единицу качественно однородной совокупности.
Средний показатель отражает то общее, что характерно для всех единиц
изучаемой совокупности, но в то же время он игнорирует их индивидуальные
различия.
Различают степенные средние величины и структурные средние величины.
К структурным средним величинам относятся:
· Мода
· Медиана.
Мода (Мо) - значение случайной величины, встречающейся с
наибольшей вероятностью в дискретном вариационном ряду.

(3)
где

-
начальная (нижняя) граница модального интервала;

-
величина модального интервала;

-
количество частот, соответствующее предшествующему модальному интервалу;

-
количество частот, последующее за модальным интервалом.
Медиана
(Me) - вариант, который находится в середине вариационного ряда и
делит ряд на две равные части.


, (4)
где

-
начальная (нижняя) граница медианы;

-
количество частот, соответствующее медианному интервалу;

- сумма
накопленных частот, предшествующих медианному интервалу.
Вариация - различия в значениях какого-либо признака у разных единиц
данной совокупности в один и тот же период или момент времени.
Возникает в результате того, что индивидуальные значения признака
складываются под совокупным влиянием разнообразных факторов, которые по-разному
сочетаются в каждом конкретном случае.
Показатели вариации:
. Абсолютные показатели:
· Размах вариации:


(5)
· Среднее
линейное отклонение - средняя арифметическая, абсолютных отклонений отдельных
вариантов от их средней арифметической:

(6)
· Дисперсия - средний квадрат отклонений от средних величин:

(7)
· Среднее квадратичное отклонение:


(8)
2. Относительные показатели:
· Коэффициент осцилляции:
(9)
·
Линейный коэффициент вариации:


(10)
· Коэффициент вариации:

(11)
Коэффициент
вариации дает характеристику однородности совокупности. При этом совокупность
считается количественно однородной, если коэффициент вариации не превышает 33%.
.2 Основные статистические показатели рынка банковских услуг
Большинство финансовых операций сводится к
предоставлению денежных средств и получению в качестве дохода процента от
пользования средствами. Существует множество различных процентов, способы их
расчета варьируют в зависимости от условий, на которых осуществляется
кредитование.
В отличие от общей теории статистики, где в процентах
выражаются относительные величины, это абсолютная величина, выражающая сумму
дохода от предоставления в пользование средств.
Отношение процентных денег, полученных за единицу
времени, к величине капитала называется процентной ставкой или таксой, которая
может быть выражена как в процентах, так и в долях единицы.
Под периодом начисления процентов понимают отрезок
времени между двумя следующими друг за другом процедурами взимания процентов.
Если проценты начисляются один раз, говорят о сроке финансовой операции.
Все многообразие начисляемых процентов можно
классифицировать по различным признакам:
. относительно момента выплаты или начисления
дохода:. - обычные;. - авансовые.
. в зависимости от базы начисления (переменная
или постоянная величина):. - простые;. - сложные.
Обычные (декурсивные) проценты начисляются в конце
периода относительно исходной величины средств. Для начисления используется
обычная ставка. Доход выплачивается в момент погашения.
Авансовые (антисипативные) проценты начисляются в
начале периода относительно конечной суммы денег (сумма денег с процентами).
Для начисления используется дисконтная (антисипативная) ставка (а1).
Доход выплачивается в момент предоставления кредита. Такая форма расчетов
называется авансовой или учетом.
Простые проценты - в том случае, если весь срок
обязательства начисляются на первоначальную сумму.
Сложные проценты - в том случае, когда база для
начисления постоянно меняется за счет присоединения ранее начисленных
процентов.
Рассмотрим схему расчетов декурсивных (обычных)
процентов, когда наращение производится по простой ставке процентов.
Тогда расчет всей суммы дохода, то есть суммы
процентных денег, будет производиться следующим образом:

(12)
где
PV - исходная сумма денег;
п - число процентных периодов;
i - ставка процентов за период;
Расчет
наращенной суммы:

(13)
где
FV - наращенная сумма денег;
In
- сумма процентных денег, начисленных
за все процентные периоды
Недостаток
данного способа расчета в том, что срок операции задан числом периодов. На
практике может возникнуть ситуация, когда период начисления процентов задан в
днях или месяцах, а ставка процентов известна за период, отличных от заданного,
например за год. В данной ситуации используют следующую формулу:

(14)

(15)
где
t - срок операции, выраженный в днях или месяцах;
Y - продолжительность года, выраженный в днях или месяцах;
i - годовая ставка процентов.
Для
расчета срока операции в днях в банках имеются специальные таблицы, в которых
все дни года пронумерованы. Тогда расчет срока операции будет осуществляться
как разница между порядковым номером дня окончания операции и порядковым
номером дня ее начала.
Формулы
(12) и (13) используются при расчете суммы наращения по срочным вкладам. А
формулы (14) и (15) могут быть использованы при обслуживании вкладов до
востребования, текущих счетов и т.д. В банковской практике подобные расчеты
называют наращиванием «со ста».
На
основе формулы (3) можно вывести формулу ставки доходности некоторых финансовых
операций:

(16)
где
в качестве FV и PV могут быть использованы не только
первоначальная и наращенная сумма вклада (ссуды), но и цена продажи и покупки
финансового актива (облигации, акции и т.д.). Соответственно в качестве t
будет рассматриваться время между покупкой и продажей актива.
В
том случае, когда необходимо начислять проценты на постоянно меняющуюся сумму,
например обслуживание текущих счетов в банке, используют следующее правило:
общая начисленная за весь срок сумма процентов равна сумме процентов,
начисленных на каждую из постоянных на некотором отрезке сумм. Дебетовые
проценты прибавляются, кредитовые вычитаются.
Для
начисления процентов на постоянные числа расчеты осуществляются на основании
расчетов процентных чисел и дивизора.

(17)
где
t - срок хранения в днях.
i - годовая ставка процентов (в процентах).
Тогда
вся сумма начисленных процентов рассчитывается следующим образом:

(18)
Вычисление
PV основе FV называется дисконтированием. Формулы расчета выводятся из исходных
формул простых процентов: (1), (2) и (3). Это действие называется учетом «на
сто»:

(19)

(20)
Сумма
начисленных процентов будет рассчитываться:

(21)

(22)
На
практике процедура дисконтирования осуществляется с использованием дисконтной
ставки (d) и называется антисипативным (авансовым) расчетом или просто учетом.
Тогда
расчет суммы, предоставляемой в долг, осуществляется следующим образом:
(23)
(24)
Расчет
по данным формулам называется расчетом «со 100».
Скидка
с номинала равна разнице между FV и PV и называется дисконтом (D)
(25)
(26)
Зная
дисконтную ставку, можно рассчитать и сумму наращения, подобный расчет носит
название расчет «во 100»:
(27)
(28)
Глава 3.
Статистический анализ рынка банковских услуг
.1
Группировка банков РФ по данным на февраль 2011 г.
депозит факторинг банковский услуга
Для статистического анализа банковской деятельности произведем
типологическую, структурную и аналитическую группировку (см. Приложение 1).
В качестве группировочного признака возьмем собственный капитал.
Рассчитаем число групп и величину интервала:
=55,
Таблица 1. Типологическая группировка коммерческих банков по величине
капитала на 01.02.11
|
№
|
Группа банков по величине
капитала
|
Число банков
|
Собственный капитал, в тыс.
руб.
|
Чистые активы, тыс. руб.
|
Чистая прибыль, тыс. руб.
|
|
1.
|
9139450-262614837
|
53
|
1 891 455 284
|
14 381 268 645
|
41 215 144
|
|
2.
|
262614838-516090225
|
0
|
0
|
0
|
0
|
|
3.
|
516090225-769565612
|
1
|
572 704 225
|
2 895 302 087
|
6 080 692
|
|
4.
|
769565612-1023041000
|
0
|
0
|
0
|
0
|
|
5.
|
1023041000-1276516387
|
1
|
1 276 516 387
|
8 894 244 987
|
26 697 806
|
|
Итого
|
55
|
3740675896
|
26170815719
|
73993642
|
Вывод: преобладают малые банки, величина капитала которых от
9139450-262614837 тыс. рублей, общая сумма капитала которых составляет 1 891
455 284, чистых активов - 14 381 268 645 тыс. рублей и прибыль равна 41 215 144
тыс. рублей.
Таблица 2. Структурная группировка коммерческих банков
|
№
|
Группа банков по величине
капитала
|
Число банков, %
|
Собственный капитал, %
|
Чистые активы, %
|
Чистая прибыль, %
|
|
1.
|
9139450-262614837
|
96,36%
|
50,56%
|
54,95%
|
55,70%
|
|
2.
|
262614838-516090225
|
0,00%
|
0,00%
|
0,00%
|
0,00%
|
|
3.
|
516090225-769565612
|
1,82%
|
15,31%
|
11,06%
|
8,22%
|
|
4.
|
769565612-1023041000
|
0,00%
|
0,00%
|
0,00%
|
0,00%
|
|
5.
|
1023041000-1276516387
|
1,82%
|
34,13%
|
33,99%
|
36,08%
|
|
Итого
|
100,00%
|
100,00%
|
100,00%
|
100,00%
|
Вывод: преобладают малые банки (96,36% от общего числа банков). На их
долю приходится 50,56% капитала, 54,95% чистых активов и 55,7% прибыли.
Таблица 3. Аналитическая группировка банков
|
Группа банков по величине
капитала
|
Число банков
|
Собственный капитал, в тыс.
руб.
|
Чистые активы, тыс. руб.
|
Чистая прибыль, тыс. руб.
|
|
|
Тыс. руб.
|
В ср. на 1 банк.
|
Тыс. руб.
|
В ср. на 1 банк.
|
Тыс. руб.
|
В ср. на 1 банк.
|
|
9139450-262614837
|
1 891 455 284
|
35687835,55
|
14381268645
|
271344691,4
|
41215144
|
777644,2264
|
|
262614838-516090225
|
0
|
0
|
0
|
0
|
0
|
0
|
0
|
|
516090225-769565612
|
1
|
572 704 225
|
572704225
|
2895302087
|
2895302087
|
6080692
|
6080692
|
|
769565612-1023041000
|
0
|
0
|
0
|
0
|
0
|
0
|
0
|
|
1023041000-1276516387
|
1
|
1 276 516 387
|
1276516387
|
8894244987
|
8894244987
|
26697806
|
26697806
|
|
Итого
|
55
|
3 740 675 896
|
|
26 170 815 719
|
|
73 993 642
|
|
|
В среднем на 1 банк
|
|
|
1 884 908 448
|
|
12 060 891 765
|
|
33 556 142
|
Вывод: преобладают малые банки, сумма капитала которых составляет 1 891
455 284 тыс. рублей, в среднем на один банк приходится - 35687835,55 тыс. руб.
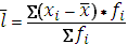
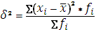
.2 Анализ
вариации рынка банковских услуг
Таблица 4. Ряд распределения
|
№
|
Группа банков по величине
капитала
|
Число банков
|
Собственный капитал, в
тыс. руб.
|
|
1.
|
9139450-262614837
|
53
|
1 891 455 284
|
|
2.
|
262614837-516090225
|
0
|
0
|
|
3.
|
516090225-769565612
|
1
|
572 704 225
|
|
4.
|
769565612-1023041000
|
0
|
0
|
|
5.
|
1023041000-1276516387
|
1
|
1 276 516 387
|
|
Итого
|
55
|
3740675896
|
Вывод:
наибольшая сумма капитала - 1 891 455 284 тыс. рублей - сосредоточена в малых
банках, наименьшая - 572 704 225 тыс. рублей - в средних. Рассчитаем моду и
медиану для данного ряда распределения.
Таблица 5. Расчётная таблица
|
Группы банков
|
Число
|
Середина ряда
|
x
|
x*fi
|
|
|
|
|
|
|
9139450-262614837
|
53
|
135877143,7
|
1 891 455 284
|
7201488616
|
|
262614838-516090225
|
0
|
389352531,1
|
0
|
0
|
|
516090225-769565612
|
1
|
642827918,5
|
572 704 225
|
642827918,5
|
|
769565612-1023041000
|
0
|
896303305,9
|
0
|
0
|
|
1023041000-1276516387
|
1
|
1149778693
|
1 276 516 387
|
1149778693
|
|
Итого
|
55
|
|
|
8994095228
|
x-
(x-
)*fi
(x-
)2
|
(x- )2*fi
|
|
|
|
|
1 727 926 280
|
91580092832
|
2985729228618250000
|
158243649116767000000
|
|
-163 529 004
|
0
|
26741735196209400
|
0
|
|
409 175 221
|
409175220,9
|
167424361362854000
|
167424361362854000
|
|
-163 529 004
|
0
|
26741735196209400
|
0
|
|
1 112 987 383
|
1112987383
|
1238740914397460000
|
1238740914397460000
|
|
93102255436
|
|
159649814392528000000
|
Найдем

., используя среднюю арифметическую взвешенную.
Размах
вариации:
Среднее
линейное отклонение:
Дисперсия:
Среднее
квадратичное отклонение:
Коэффициент
осцилляции:
Линейный
коэффициент вариации:
Коэффициент
вариации:
Из-за
аномальной разницы в значениях сделаем перегруппировку банков 1 группы.
Таблица
6. Группировка малых банков
|
№
|
Группа банков по величине
капитала
|
Число банков
|
Собственный капитал, в тыс.
руб.
|
Чистые активы, тыс. руб.
|
Чистая прибыль, тыс. руб.
|
|
1.
|
9139450,0-37085934,4
|
39
|
722 757 194
|
4 902 898 373
|
23 565 735
|
|
2.
|
37085934,4-65032418,9
|
7
|
335 892 464
|
2 746 514 098
|
4 075 466
|
|
3.
|
65032418,9-92978903,3
|
3
|
238 559 237
|
2 080 294 211
|
4 179 905
|
|
4.
|
92978903,3-120925387,7
|
1
|
98 064 612
|
836 299 490
|
2 631 159
|
|
5.
|
120925387,7-148871872,1
|
1
|
142 235 818
|
909 124 991
|
245 163
|
|
6.
|
148871872,1-176818356,6
|
1
|
149 181 118
|
1 067 907 823
|
48 610
|
|
7.
|
176818356,6-204764841,0
|
1
|
204 764 841
|
1 838 229 659
|
6 469 106
|
|
Итого
|
53
|
1 891 455 284
|
14 381 268 645
|
41 215 144
|
Приложение
Таблица 7. Крупнейшие банки России по размеру собственного капитала (по
состоянию на 01.02.11, тыс. руб.)
|
№
|
Банки
|
Собственный капитал, в тыс.
руб.
|
Чистые активы, тыс. руб.
|
Чистая прибыль, тыс. руб.
|
|
1.
|
СБЕРБАНК РОССИИ
|
1 276 516 387
|
8 894 244 987
|
26 697 806
|
|
2.
|
ВТБ
|
572 704 225
|
2 895 302 087
|
6 080 692
|
|
3.
|
ГАЗПРОМБАНК
|
204 764 841
|
1 838 229 659
|
6 469 106
|
|
4.
|
РОССЕЛЬХОЗБАНК
|
149 181 118
|
1 067 907 823
|
48 610
|
|
5.
|
БАНК МОСКВЫ
|
142 235 818
|
909 124 991
|
245 163
|
|
6.
|
АЛЬФА-БАНК
|
98 064 612
|
836 299 490
|
2 631 159
|
|
7.
|
ВТБ 24
|
88 982 371
|
953 600 607
|
1 422 286
|
|
8.
|
ЮНИКРЕДИТ БАНК
|
79 441 258
|
632 842 990
|
1 492 289
|
|
9.
|
РАЙФФАЙЗЕНБАНК
|
70 135 608
|
493 850 614
|
1 265 330
|
|
10.
|
РОСБАНК
|
58 265 073
|
472 696 629
|
382 211
|
|
11.
|
ПРОМСВЯЗЬБАНК
|
54 522 430
|
498 461 688
|
275 851
|
|
12.
|
УРАЛСИБ
|
53 903 096
|
425 024 150
|
660 757
|
|
13.
|
МДМ БАНК
|
51 256 390
|
389 439 223
|
119 995
|
|
14.
|
НОМОС-БАНК
|
42 666 980
|
379 088 764
|
727 007
|
|
15.
|
СИТИБАНК
|
38 125 617
|
244 208 297
|
894 644
|
|
16.
|
ТРАНСКРЕДИТБАНК
|
37 152 878
|
337 595 347
|
1 015 001
|
|
17.
|
БАНК
"САНКТ-ПЕТЕРБУРГ"
|
34 178 424
|
283 080 716
|
523 441
|
|
18.
|
АК БАРС
|
33 527 432
|
252 449 777
|
64 478
|
|
19.
|
ХКФ БАНК
|
32 042 767
|
118 491 415
|
1 248 090
|
|
20.
|
БАНК ВТБ СЕВЕРО-ЗАПАД
|
31 808 843
|
255 820 798
|
1 090 144
|
|
21.
|
СВЯЗЬ-БАНК
|
28 548 879
|
158 359 778
|
1 089 533
|
|
22.
|
РОССИЯ
|
28 422 790
|
255 426 515
|
235 954
|
|
23.
|
РОССИЙСКИЙ БАНК РАЗВИТИЯ
|
27 255 245
|
82 889 528
|
181 560
|
|
24.
|
ХАНТЫ-МАНСИЙСКИЙ БАНК
|
27 126 503
|
174 925 506
|
865 505
|
|
25.
|
НОРДЕА БАНК
|
26 328 225
|
198 030 793
|
369 204
|
|
26.
|
ИНГ БАНК (ЕВРАЗИЯ)
|
25 318 045
|
116 122 027
|
685 839
|
|
27.
|
ГЛОБЭКС
|
23 747 399
|
193 746
|
|
28.
|
ПЕТРОКОММЕРЦ
|
22 667 000
|
197 683 449
|
45 896
|
|
29.
|
БАНК ЗЕНИТ
|
21 866 530
|
170 887 949
|
228 379
|
|
30.
|
РУСФИНАНС БАНК
|
20 940 545
|
92 420 388
|
715 214
|
|
31.
|
НАЦИОНАЛЬНЫЙ РЕЗЕРВНЫЙ БАНК
|
19 602 094
|
51 995 576
|
349 613
|
|
32.
|
ВОЗРОЖДЕНИЕ
|
19 596 791
|
172 319 083
|
56 298
|
|
33.
|
ОТКРЫТИЕ
|
19 437 073
|
136 749 894
|
116 397
|
|
34.
|
МОСКОВСКИЙ КРЕДИТНЫЙ БАНК
|
17 395 949
|
157 706 166
|
145 118
|
|
35.
|
РУССКИЙ СТАНДАРТ
|
16 589 436
|
154 802 451
|
537 490
|
|
36.
|
БАНК СОСЬЕТЕ ЖЕНЕРАЛЬ
ВОСТОК
|
16 385 610
|
140 826 082
|
282 259
|
|
37.
|
КОРОЛЕВСКИЙ БАНК ШОТЛАНДИИ
|
16 166 529
|
52 640 861
|
279 422
|
|
38.
|
АБСОЛЮТ БАНК
|
16 013 141
|
119 726 436
|
361 481
|
|
39.
|
ОТП БАНК
|
15 308 339
|
107 159 545
|
643 960
|
|
40.
|
ЦЕНТРОКРЕДИТ
|
14 262 674
|
76 455 510
|
345 860
|
|
41.
|
ТРАСТ
|
13 991 019
|
162 626 149
|
252 349
|
|
42.
|
КРЕДИТ ЕВРОПА БАНК
|
12 899 735
|
80 006 202
|
589 747
|
|
43.
|
ЕВРОФИНАНС МОСНАРБАНК
|
12 876 865
|
36 984 917
|
48 758
|
|
44.
|
МОСКОВСКИЙ ИНДУСТРИАЛЬНЫЙ
БАНК
|
12 839 933
|
114 138 186
|
110 267
|
|
45.
|
ТРАНСКАПИТАЛБАНК
|
11 777 644
|
80 139 817
|
155 278
|
|
46.
|
БАНК ИНТЕЗА
|
11 726 753
|
87 040 013
|
93 804
|
|
47.
|
РУСЬ-БАНК
|
11 669 949
|
96 053 928
|
12 798
|
|
48.
|
СОЮЗ
|
11 118 165
|
75 136 119
|
171 250
|
|
49.
|
КОММЕРЦБАНК (ЕВРАЗИЯ)
|
10 818 451
|
33 566 429
|
10 818 451
|
|
50.
|
ИНВЕСТТОРГБАНК
|
10 434 643
|
75 594 078
|
19 814
|
|
51.
|
БИНБАНК
|
10 171 591
|
101 991 913
|
19 619
|
|
52.
|
АМТ БАНК
|
10 025 730
|
56 030 881
|
177 795
|
|
53.
|
РОСЕВРОБАНК
|
9 554 826
|
72 826 763
|
263 923
|
|
54.
|
ВОСТОЧНЫЙ
|
9 176 177
|
106 496 083
|
106 483
|
|
55.
|
ЮНИАСТРУМ БАНК
|
9 139 450
|
87 191 361
|
70 518
|