Модель оценки стоимости активов, изгиб облигации
1. Модель
оценки стоимости активов У. Шарпа
Инвесторы сталкиваются с проблемой оценки стоимости активов. Она зависит
главным образом от их риска и доходности. На рынке выдерживается
закономерность: чем выше потенциальный риск, тем выше должна быть и ожидаемая
доходность. У каждого инвестора формируются свои прогнозы относительно
отмеченных параметров. В то же время рынок постоянно движется в направлении
определенной равновесной оценки риска и доходности активов. Возможные
расхождения в оценках, в первую очередь, связаны с ассиметричностью информации,
которой обладают разные инвесторы. В условиях хорошо развитого рынка новая
информация находит быстрое отражение в курсовой стоимости активов. Поэтому для
таких условий можно разработать модель, которая бы удовлетворительно описывала
взаимосвязь между риском и ожидаемой доходностью активов. Такая модель
разработана в середине 60-х гг. У. Шарпом и Дж. Линтерном и получила название
модели оценки стоимости активов (capital asset pricing model - САРМ).основана
на допущении наличия идеальных рынков капитала и на некоторых других
допущениях; согласно этой модели, требуемая доходность для любого вида рисковых
активов представляет собой функцию трех переменных: безрисковой доходности,
средней доходности на рынке ценных бумаг и индекса колеблемости (β -коэффициент) доходности данного
финансового актива по отношению к доходности на рынке в среднем. Стоимость
актива определяется путем дисконтирования будущих доходов, которые он принесет,
под процентную ставку, соответствующую его риску. Модель оценки стоимости
активов не дает непосредственного ответа на вопрос, какой должна быть цена
актива. Однако она получила такое название, потому что позволяет определить
ставку дисконтирования, используемую для расчета стоимости финансового
инструмента.
В модели устанавливаются следующие ограничения: рынок является
эффективным, т.е. в курсовой стоимости актива новая информация сразу находит
отражение, активы ликвидны и делимы, отсутствуют налоги, трансакционные
издержки, банкротства, все инвесторы имеют одинаковые ожидания, действуют
рационально, стремясь максимизировать свою полезность, имеют возможность брать
кредит и предоставлять средства под ставку без риска, рассматривается один
временной период, доходность является только функцией риска, изменения цен
активов не зависят от существовавших в прошлом уровней цен.
Развивая подход Г.Марковица, У.Шарп разделил «весь» риск актива на два
вида: первый - систематический (или рыночный) риск для активов акций; второй -
несистематический. Для обычной акции систематический риск всегда связан с
изменениями в стоимости ценных бумаг, находящихся в обращении на рынке. Иначе
говоря, доходность одной акции постоянно колеблется вокруг средней доходности
всего актива ценных бумаг. Этого никак не избежать, поскольку действует слепой
механизм рынка. Несистематический риск связан с влиянием всех остальных
факторов, специфических для корпорации, выпускающей в обращение ценные бумаги.
Определив специальные коэффициенты реакции цен акций или облигаций на
изменения рыночной конъюнктуры, У.Шарп разработал формулу расчета сравнительной
меры риска ценных бумаг на основе «линии эффективности рынка заемного
капитала».
Важным моментом систематического риска является то, что увеличение
количества акций или облигаций не способно ликвидировать его. Однако растущая
покупка ценных бумаг может повлечь за собой устранение несистематического
риска. Отсюда получается, что вкладчик не может избежать риска, связанного с
колебаниями конъюнктуры фондового рынка. Задача при формировании рыночного
портфеля заключается в уменьшении риска путем приобретения различных ценных
бумаг. И делается это так, чтобы факторы, специфические для отдельных
корпораций, уравновешивали друг друга. Благодаря этому доходность портфеля
приближается к средней для всего рынка.
Выводы У.Шарпа стали известны как модель оценки долгосрочных активов
(САРМ), базирующая на предположении что на конкурентном рынке ожидаемая премия
за риск прямо пропорциональна коэффициенту бета. Уравнение модели имеет
следующий вид:
где, E(ri ) - ожидаемая доходность актива; Yi - доходность актива в
отсутствии воздействия на него рыночных факторов; βi - коэффициент бета актива; Е(rm) -
ожидаемая доходность рыночного портфеля; εi - независимая случайная переменная
(ошибка): она показывает специфический риск актива, который нельзя объяснить
действием рыночных сил. Значение ее средней равно нулю. Она имеет постоянную
дисперсию; ковариацию с доходностью рынка равную нулю; ковариацию с нерыночным
компонентом доходности других активов равную нулю.
Уравнение является уравнением регрессии. Если его применить к широко
диверсифицированному портфелю, то значения случайных переменных (εi) в силу того, что они изменяются как
в положительном, так и отрицательном направлении, гасят друг друга, и величина
случайной переменной для портфеля в целом стремится к нулю. Поэтому для широко
диверсифицированного портфеля специфическим риском можно пренебречь, тогда
модель Шарпа принимает вид:
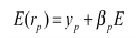
где, Е(rр) - ожидаемая доходность портфеля; βp - бета портфеля; ур - доходность
портфеля в отсутствии воздействия на него рыночных факторов.
Графически модель Шарпа представлена на рис. 1. Она показывает
зависимость между доходностью рынка (rт) и доходностью актива (ri) и
представляет собой прямую линию. Ее называют линией характеристики. Независимой
переменной выступает доходность рынка. Наклон линии характеристики определяется
коэффициентом бета, а пересечение с осью ординат - значением показателя уi.
Рисунок 1 - Уравнение рыночной модели
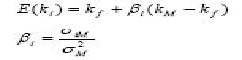
Коэффициент бета (коэффициентом Шарпа) является - мерой инвестиционного
риска финансового актива, который рассчитывается как отношения ковариации
доходности актива и рыночного портфеля к дисперсии рыночного портфеля.
Коэффициент бета показывает чувствительность изменения доходности актива к
среднерыночной доходности. Формула связи ожидаемой доходности портфеля Е (к) и
риска выраженного коэффициентом бета:
В итоге были предложены четыре основных принципа выбора портфелей:
. Инвесторы предпочитают высокую ожидаемую доходность инвестиций и низкое
стандартное отклонение. Портфели обыкновенных акций, которые обеспечивают
наиболее высокую ожидаемую доходность при данном стандартном отклонении,
называются эффективными портфелями.
. Если вы хотите знать предельное влияние акции на риск портфеля, вы
должны учитывать не риск акции самой по себе, а ее вклад в риск портфеля. Этот
вклад зависит от чувствительности акции к изменениям стоимости портфеля.
. Чувствительность акции к изменениям стоимости рыночного портфеля
обозначается показателем бета. Следовательно, бета измеряет предельный вклад
акции в риск рыночного портфеля.
Состав такого портфеля акций зависит только от того, как инвестор
оценивает перспективы каждой акции, а не от его отношения к риску. Если
инвесторы не располагают какой-либо дополнительной информацией, им следует
держать такой же портфель акций, как и у других, - иначе говоря, им следует
держать рыночный портфель ценных бумаг.
На рис. 1 представлен случай, когда бета положительна, и поэтому график
рыночной модели направлен вправо вверх, т.е. при увеличении доходности рынка
доходность актива будет повышаться, при понижении - падать. При отрицательном
значении беты график направлен вправо вниз, что говорит о противоположном
движении доходности рынка и актива.
Более крутой наклон графика говорит о высоком значении беты и большем
риске актива, менее крутой наклон - о меньшем значении беты и меньшем риске
(рис. 2). При β = 1 доходность актива соответствует доходности рынка, за
исключением случайной переменной, характеризующей специфический риск. Если
построить график модели для самого рыночного портфеля относительно рыночного
портфеля, то значение для него равно нулю, а беты +1.
Рисунок 2 - Модель Шарпа для различных значений беты
Модель САРМ является равновесной моделью, т. е. она говорит о том, каким
образом в условиях эффективного рынка устанавливаются цены финансовых активов.
Модель Шарпа является индексной моделью, т. е. она показывает, каким образом
доходность актива связана со значением рыночного индекса.
Теоретически САРМ предполагает рыночный портфель, и поэтому величина β в САРМ предполагает ковариацию
доходности актива со всем рынком. В индексной модели учитывается только
какой-либо рыночный индекс, и бета говорит о ковариации доходности актива с
доходностью рыночного индекса. Поэтому теоретически β в САРМ не равна β в модели Шарпа. Однако на практике
невозможно сформировать действительно рыночный портфель и таким портфелем в
САРМ также выступает некоторый рыночный индекс с широкой базой. Если в САРМ и
модели Шарпа используется один и тот же рыночный индекс, то β для них будет величиной одинаковой.
Модель САРМ У.Шарпа позволяла упростить задачу выбора оптимального портфеля
и свести задачу квадратичной оптимизации как у Г.Марковица к линейной
оптимизации. Если сравнивать области применения модели Г.Марковица и модели
САРМ, то: модель Г.Марковица, как правило, используется на первом этапе
формирования портфеля активов при распределении инвестиционного капитала по их
различным типам (акциям, облигациям, недвижимости и т. п.); модель У. Шарпа на
втором этапе, когда капитал, инвестированный в определенный сегмент рынка
активов, распределяется между отдельными конкретными активами, составляющими
выбранный сегмент (то есть по конкретным акциям, облигациям и т. п.).
2. Изгиб
(выпуклость) облигации. Инструментарий технического анализа
Основной фактор риска на рынках инструментов с фиксированными доходами,
не имеющих кредитного риска - процентный риск.
Процентный риск - возможность изменения цены облигации вследствие
изменения безрисковых процентных ставок. Цены различных облигаций по разному
реагируют на изменения процентных ставок.
Рассмотрим зависимость цены простой купонной облигации от рыночной ставки
процента. В соответствии с формулой
при более высокой процентной ставке приведенная стоимость выплат,
причитающаяся держателю облигаций, оказывается ниже. Таким образом, когда
процентная ставка повышается, то рыночная цена облигации снижается, что говорит
о снижении инвестиционной привлекательности данной облигации по отношению к
среднерыночной ситуации, например, по причине роста купонной доходности
выводимых на рынок новых выпусков облигаций. На рис.1 показан график
зависимости цены простой купонной облигации ЦОпо от уровня
процентной ставки, откуда видно, что с ростом ставки процента относительное
снижение цены облигации уменьшается.
Рисунок 1 - Зависимость цены простой купонной облигации от уровня
процентной ставки
Данное свойство облигаций, которое выполняется и для бескупонных
облигаций, получило название выпуклости (изгиба). Такой характер изменения
рыночной цены облигаций несет в себе ценовые риски для инвесторов: приобретая
облигацию по справедливой рыночной цене в одних рыночных условиях инвестор
может столкнуться с тем, что он не сможет продать ее на тех же условиях позднее
при росте рыночных ставок.
Изгиб - одно из важнейших инвестиционных свойств облигации, особенно в
условиях нестабильности процентных ставок.
Он говорит о кривизне графика цены облигации
Если две облигации имеют одинаковую цену и дюрацию, но разный изгиб, то
инвестор должен отдать предпочтение облигации с большей величиной изгиба, так
как при росте r ее цена будет падать в меньшей степени, а при уменьшении r -
будет возрастать в большей степени, чем у облигации с меньшей величиной изгиба.
Это обусловлено тем, что влияние изгиба на цену облигации всегда положительно,
т. е. цена облигации только растет, независимо от направления изменения
рыночной ставки процента ∆r, что следует из формулы

Сказанное наглядно иллюстрирует рис. 2, где представлены зависимости
изменения цены облигаций А и Б в зависимости от рыночной ставки процента. При
этом, как видно из рисунка, в точке r0 рыночная цена и рыночная
дюрация у обоих облигаций совпадают (ЦОА =ЦОБ , DА
= DБ ).
Но поскольку conv А > conv Б , то при любых
других значениях рыночной ставки процента, кроме r0 , всегда
рыночная цена облигации А будет больше рыночной цены облигации Б.
Рисунок 2 - графическое представление влияния изгиба на рыночную цену
облигации
Изменение цены облигации при изменении процентной ставки с учетом дюрации
и изгиба может быть определено как
Свойства изгиба:
. Его величина возрастает при уменьшении r и падает при росте r.
. При одинаковом значении r и времени погашения величина изгиба больше
для облигаций с более низкой купонной доходностью.
. При одинаковом значении r и дюрации величина изгиба меньше для облигации
с более низкой купонной доходностью.
Графические методы технического анализа - методы, в которых для
прогнозирования используются графические изображения движений рынка. При этом
перед аналитиком стоят две задачи: выделение фигуры и обнаружение этой фигуры
на графике движения рынка.
Существуют три типа графиков движения рынка, на основании которых
строится технический анализ: график движения цены, объема торговли и открытого
интереса. Эти графики обычно называют чартами (от англ, chart).
Современные аналитики и трейдеры используют четыре основных типа чартов:
линейные, гистограммы, крестики-нолики, японские свечи. Первые два типа
графиков - основа классического технического анализа, а два последних послужили
толчком к созданию особых ветвей прогнозирования.
Гистограмма в настоящее время считается самым популярным из всех
применяемых видов графиков. На ней фиксируются следующие 4 важные точки:
самая высокая (high) и самая низкая (low) цены на протяжении данного
отрезка времени, соединяющиеся вертикальной линией;
цена открытия (open), отмечаемая отрезком горизонтальной прямой,
направленной влево;
цена закрытия (close), отмечаемая отрезком горизонтальной прямой,
направленной вправо.
Цена открытия особого значения теханализа не имеет, за исключением случаев,
когда открытие осуществляется с «окном».
Очевидный плюс гистограмм - это возможность наблюдать на ней все цены на
протяжении данного отрезка времени. Самая популярная из них - это однодневная
гистограмма, за которой следует гистограмма недельная. Вы можете выбрать и
любые другие отрезки времени. Еще одно достоинство гистограммы - это то, что на
них (в отличие от линейных) видны «окна», которые наблюдаются, например, в
ценах рынка валютных фьючерсов.
Представление информации в виде гистограммы или линейного графика
позволяет визуально выявить поведение цены в прошлом и определить
закономерности ее динамики, в силу чего графики являются основным инструментом
определения тенденции. В линейных графиках на оси абсцисс откладывается
единичный отрезок времени (минуты, часы, дни, и т.д.), а на оси ординат
изображается цена. Для построения графика используются любые цены одних и тех
же параметров: цены открытия, цены закрытия, средняя цена за период и т.д.
Рисунок 3 - Гистограмма
Для построения графика необходим полный набор данных о движении цен за
время определенного интервала - цены открытия, закрытия, максимальной и минимальной,
которые откладываются в виде столбика. Верхняя граница столбика соответствует
максимальному значению цены за время интервала, нижняя - минимальному значению.
Цена закрытия изображается в виде короткого горизонтального штриха,
откладываемого справа от основного столбика.
Наиболее распространенным вариантом графического анализа является
представление цен в виде японских свечей. Для построения графика японских
свечей также необходим полный набор данных о движении цен за время
определенного интервала - цены открытия, закрытия максимальной и минимальной. В
целом можно сказать, что этот график несет ту же информацию, что и гистограмма,
хотя и является несколько более иллюстративным. Они так же включают 4 основные
цены: high, low, open, close. Кроме обычный сведений, график японских свечей
поддается некоторым специфическим интерпретациям, которые возможны вследствие
удобства визуального наблюдения за такими графиками. Цены закрытия и открытия
на японских свечах образуют тело свечи.
На рис. 4 показаны две свечи с основными условными обозначениями. Если
тело свечи светлое, то оно обозначает, что цены закрытия периода выше цен
открытия. Наоборот, если тело темное, то цена, по которой закрывались торги,
была ниже цены открытия.
Рисунок 4 - График японских свечей
Типичный вид графика на основе японских свечей представлен для изменения
цен акционерного общества (рис.5).
Принимая инвестиционные решения на основании графиков японских свечей,
следует учитывать, что они генерируют сигналы на основании моделей, состоящих
из одной или нескольких свечей, имеющих специфический вид.
Рисунок 5 - Вид графика АО на основе японских свечей
Крестики-нолики - графическое представление последовательности цен, при
котором каждой монотонно возрастающей последовательности цен ставится в
соответствие столбик крестиков, а каждой монотонно убывающей последовательности
цен ставится в соответствие столбик ноликов. При этом начало и конец каждого
столбика есть диапазон изменения цены в соответствующей монотонной
последовательности. В данном случае оси времени нет, а новая колонка цен
выстраивается после появления другого направления движения. Крестиком
обозначается снижение цен на определенное число пунктов (критерий
риверсировки), ноликом - повышение цен на определенное число пунктов.
Построение графика «крестики-нолики» заключается в последовательном
заполнении клеточек графика крестиками (Х) и ноликами (О). Х показывает, что
цены растут вверх, О - что цены падают.
Рисунок 6 - Построение графика «крестики-нолики»
Графики типа «крестики-нолики» имеют два главных отличия от обычных
диаграмм. Во-первых, обычные диаграммы строятся на временных интервалах,
независимо от того, происходили изменения цен или нет. На графике
«крестики-нолики» новая отметка ставится, если только цены изменились на
определенную величину. График отражает лишь изменение цен, тогда как обычная
диаграмма является отражением изменения цен (по оси ординат) и времени (по оси
абсцисс), т. е. изменения цен во времени. Второе важное отличие заключается в
том, что обычная диаграмма показывает любое изменение цены во времени, а на
графике «крестики-нолики» изменения цен, оказавшиеся меньше заданного значения,
никак не отражаются. Так, если график «крестики-нолики» настроен на 5-пунктовые
изменения индекса, то очередная клеточка графика будет заполнена, если
изменения цен превысят 5 пунктов, в противном случае, она останется пустой.
Данный тип графиков возник во времена первых бирж, когда результаты
движения цен на бирже отмечались мелом на доске при помощи крестиков и ноликов.
Снова такой метод стал применяться в 1980-х годах, когда возникла возможность
легкого построения крестиков-ноликов при помощи компьютеров.
Это специфический график, для практического применения он рекомендуется
только после других методов анализа. Основное отличие этого представления
информации состоит в том, что здесь нет оси времени, а новая колонка цен
строится после появления другого направления динамики.
Самыми популярными среди трейдеров являются линейные графики и графики
отрезков (баров). Но например, американцы также часто используют в своей работе
графики в виде «крестиков-ноликов», а японские трейдеры - «японские свечки».
Европейцы предпочитают графики отрезков (баров).
Список
используемых источников
стоимость актив доход облигация
.Килячков
А.А. Рынок ценных бумаг и биржевое дело / А.А.Килячков, Л.А.Чалдаева. - М.:
Юристъ, 2006. - 704 с.
.Рынок ценных
бумаг и биржевое дело: Учеб. для вузов / Под ред. О.И.Дегтяревой,
Н.М.Коршунова, Е.Ф.Жукова. - М.: ЮНИТИ-ДАНА, 2004.-501 с.