Теории временной структуры процентных ставок
Содержание
Введение
1. Временная структура процентных ставок
1.1 Основные определения
1.2 Кривая доходности
2. Теории временной структуры процентных ставок
2.1 Теория ожиданий
2.2 Теория предпочтения ликвидности
2.3 Теория об изменяющейся во времени премии за срок
2.4 Теория сегментации рынка
2.5 Теория "предпочитаемой среды"
3. Модели кривой доходности
3.1 Модель Васичека
3.2 Модель Нельсона-Сигеля
3.3 Модель Свенссона
Заключение
Практическая часть
Список литературы
Введение
Рынок
государственных ценных бумаг играет большую роль в экономике страны.
Распространенной практикой финансирования дефицитного бюджета и реализации
государственных инвестиционных проектов стали операции на открытом рынке. Более
того, покупка и продажа облигаций является основным инструментом
денежно-кредитной политики центрального банка.
Благодаря
активному изучению теории финансовых рынков, появилось большое число моделей и
разработок по функционированию сегментов финансового рынка, в том числе и рынка
государственных ценных бумаг. Одним из предметов исследования теории финансовых
рынков является анализ временной структуры процентных ставок, т.е. анализ
соотношения между доходностью государственных облигаций и сроком их погашения.
Данное направление включает в себя модели, которые используются при
теоретическом анализе финансовых рынков на макроэкономическом уровне, а также
при практической работе на рынках срочных и производных финансовых
инструментов.
Актуальность
выбранной темы состоит в том, что специалист, работающий с финансовыми
активами, должен ориентироваться в существующих теориях и выбирать верный путь.
Цель
работы состоит в изучении теорий временной структуры процентных ставок. Для
этого опишем временную структуру процентных ставок, охарактеризуем существующие
теории временной структуры процентных ставок, показать современные практические
разработки по данной теме.
Первая
глава содержит основные понятия и определения, используемые в теории временной
структуры. Во второй главе рассмотрены пять теорий временной структуры
процентных ставок (ожиданий, предпочтения ликвидности, об изменяющейся во
времени премии за срок, сегментации рынков и "предпочитаемой" среды)
и их положительные и отрицательные стороны. В третьей главе рассмотрим три
основные модели кривой доходности (модель Васичека, модель Нельсона-Сигеля,
модефикационную модель Нельсона-Сигеля - Модель Свенссона).
1. Временная структура процентных ставок
1.1 Основные определения
Прежде
чем приступить к описанию теорий временной структуры процентных ставок,
необходимо определить основные понятия, которые будут использоваться в работе.
Облигация – это любое
долговое обязательство, оформленное в виде рыночной ценной бумаги, платежи
(платеж) по которому определены в номинальных (денежных единицах) или реальных
(напр., по отношению к индексу потребительских цен) величинах.
Облигации бывают двух
видов:
·
Дисконтная
облигация – ценная бумага, доход по которой определяется за счет разницы
(дисконта) между ценой покупки (размещения) облигации и её номиналом,
уплачиваемым при погашении.
·
Купонная
облигация – ценная бумага, доход по которой складывается как сумма купонных
выплат за период обращения облигации и, возможно, дисконта (положительного или
отрицательного) между ценой покупки (размещения) облигации и её номиналом,
уплачиваемым при погашении. В большинстве случаев будем рассматривать
дисконтные облигации. Дата погашения (maturity) – установленная при выпуске
(размещении) облигации дата выплаты номинала облигации, T.
Срок до погашения (term,
time to maturity) – временной интервал от текущей даты до даты погашения данной
облигации, m = T – t.
Дюрация (duration) –
взвешенное среднее временных интервалов до всех купонных платежей за период до
погашения облигации, где в качестве весов выступают купонные ставки, D. Для
дисконтной облигации D = m.
В каждый момент времени t
дисконтная облигация с датой погашения T (со сроком до погашения m) имеет
рыночную цену p(t, T), или p(t, m), которая определяется в результате достижения
равновесия между спросом и предложением. Если принять номинал облигации за
единицу, то, очевидно, в любой момент времени t' < T цена облигации p(t, T)
< 1 и постепенно увеличивается по мере приближения даты погашения. В этом
случае доходность к погашению (yield to maturity) равна темпу роста цены
облигации до единицы к дате погашения. Отсюда следует, что цена облигации в
каждый момент времени t', t £ t' £ T, должна определяться из условия
,
где r(t, T) – доходность
к погашению (ставка процента) в момент t дисконтной облигации с датой погашения
T. Приравняв цену облигации в момент погашения к единице, т.е. p(t' = T, T) =
1, получим:
.
В данной
форме записи
доходность к погашению называется еще спот-ставкой (spot-rate) по облигации, либо доходностью к погашению в непрерывном исчислении (continuously compounded yield to maturity), мгновенной ставкой
процента (instantaneous compound
interest).
1.2 Кривая
доходности
кривая
доходность процентный ликвидность
В каждый момент времени
на рынке наблюдается множество спот-ставок по облигациям с различными датами
погашения (сроками до погашения). Временной структурой процентных ставок (term
structure of interest rates) называется функция, связывающая доходность к
погашению каждой из облигаций с ее сроком до погашения, т.е. r(t, m) = F(t, m),
или
.
Также
временная структура процентных ставок определяется
как оценка динамики процентных ставок во времени, прогнозируемая
с учетом ожидаемых темпов инфляции и объемов предложения и спроса на деньги.
Кривая доходности (yield
curve) – график, отображающий соотношение между доходностью облигаций с
различными сроками до погашения и сроком до погашения (рис. 1). Кривая
доходности дает представление о временной зависимости процентных ставок и
обновляется ежедневно с изменением доходности к погашению.
По
оси ординат откладывается уровень процентной ставки, по оси абсцисс – время до
погашения. Исходя из конъюнктуры рынка, кривая доходности может иметь различную
форму, как это представлено на рисунке.
Рис.1. Графики
зависимости доходности облигаций от срока, остающегося до погашения
На
рис. 1а кривая доходности параллельна оси абсцисс. Это означает, что процентная
ставка одинакова для облигаций с различными сроками погашения.
На рис. 1б процентная
ставка возрастает по мере увеличения срока обращения облигаций. Данная форма
кривой наиболее характерна для рынка.
На рис. 1в представлен
обратный случай. Он может возникнуть, когда в экономике ускоряются инфляционные
процессы. Чтобы сдержать инфляцию, правительство начинает проводить политику
сокращения денежного предложения и повышения краткосрочной процентной ставки.
Обратная форма кривой может также наблюдаться на рынке в преддверии
экономического спада.
Рис. 1г описывает
конъюнктуру, когда среднесрочные ставки по облигациям выше краткосрочных и
долгосрочных. Построив кривую доходности, аналитик получает картину
распределения процентных ставок во времени.
Процентный спрэд по
облигациям (yield spread) – разность между доходностью облигации со сроком до
погашения m и доходностью облигации, погашаемой в момент t + 1, т. е. s(m, t) =
r(t, m) – r(t, 1).
Различают спотовую и
форвардную процентные ставки. Спотовая ставка (spot rate) измеряется в конкретный момент времени как
доходность к погашению по бескупонной облигации. Спот-ставку можно представлять
как процентную ставку, связанную со спот-контрактом. Спот-контракт
подразумевает заем денег одной стороной у другой, который должен быть возвращен
вместе с процентами по нему в определенный момент времени в будущем.
Форвардная ставка
(forward rate) – неявная (implicit) ставка, определяемая на основе наблюдаемой
временной структуры процентных ставок. Форвардная ставка на будущий период n =
T – t' равна ставке, вычисляемой в момент t на основе спот-ставок по облигациям
со сроками до погашения t' и T, и рассчитывается по следующей формуле (для
дисконтных облигаций):
.
Зависимость между
форвардной и спотовой ставками на основе простого процента имеет вид:
где rt2 – спот ставка для периода t2 ;
rt1 – спот ставка для периода t1 ;
r2,1 – форвардная ставка для периода t2 – t1;
Отсюда форвардная ставка
равна:
Форвардная ставка на
рынке определяется существующими ставками спот. Именно данная ставка будет
записываться в контрактах на процентную ставку для будущих периодов времени.
Так происходит потому, что в противном случае с помощью ставок спот инвестор
может сам обеспечить себе для будущего периода времени заимствование или
кредитование под ставку, равную форвардной.
Рис. 2. Зависимость между
доходностью купонной облигации, бескупонной облигации и форвардной ставкой; 1)
форвардная ставка; 2) ставка спот; 3) доходность купонной облигации
Принцип расчета
форвардных ставок: форвардные ставки определяются при условии, что доходы за
определенный период времени одинаковы и не зависят от срока погашения тех
облигаций, которые инвестор использовал за тот период времени.
Зависимость между
форвардной и спотовой ставками на основе сложного процента имеет вид:
где rtn– спот ставка для периода tn ;
rtm – спот ставка для периода tm ;
Отсюда форвардная ставка
равна:
2. Теории временной структуры процентных
ставок
Интерес
к изучению временной структуры процентных ставок возник в конце XIX века. Существует несколько теорий
кривой доходности ценных бумаг. Наиболее проверяемой теорией является теория
ожиданий.
2.1 Теория
ожиданий
В
общем виде теория ожиданий предполагает, что долгосрочные процентные ставки
отражают ожидания краткосрочных ставок. Различают два типа теории ожиданий:
чистую теорию ожиданий и теорию ожиданий.
Чистая теория ожиданий
утверждает, что долгосрочные процентные ставки равны среднему от ожидаемых
краткосрочных процентных ставок. В первоначальном виде теория ожиданий
предполагала совершенное предвидение и нейтральность инвесторов по отношению к
риску. Это утверждение равносильно нескольким эквивалентным определениям.
1) Ожидаемая доходность
от владения облигациями с любыми сроками до погашения за период времени
будет одинаковой и равна спот-ставке по
облигации с сроком до погашения
:
,
2) Спот-ставка по
облигации, погашаемой через
периодов, равна ожидаемой ставке за период
владения облигацией с большим сроком до погашения:
.
3) Доходность долгосрочной облигации равна среднему ожидаемых
доходностей краткосрочных облигаций за весь срок до погашения:
.
4) Форвардная премия за
срок равна нулю для любого срока до погашения (форвардная ставка равна
ожидаемой спот-ставке):
.
Однако многие ученые указывали на то, что в данном виде
теория ожиданий противоречит ряду требований. Развитие теории рациональных
ожиданий позволило преодолеть возникшее противоречие. С этого времени теория
ожиданий для временной структуры предполагала наличие ненулевой премии в
зависимости от срока до погашения. Теория рациональных ожиданий применительно к
временной структуре процентных ставок вошла в большинство учебников по теории
финансов, макроэкономике и денежной теории под названием собственно теории
ожиданий.
Согласно данной теории ожиданий ожидаемая избыточная доходность
(премия за срок) равна постоянной величине, одинаковой для облигаций со всеми
сроками до погашения,
,
т. е. форвардная премия
за срок постоянна и одинакова для всех сроков до погашения:
.
Оба вида теории ожиданий
обладают рядом свойств, позволяющих объяснить форму наблюдаемых кривых доходности.
Во-первых, они объясняют, почему доходности облигаций с различными сроками до
погашения движутся однонаправлено. Если рост краткосрочных процентных ставок
сегодня воспринимается как долгосрочное повышение уровня процента, то
сохраняются ожидания их роста и в будущем. Ожидаемое повышение краткосрочных
ставок вызывает рост долгосрочных ставок в текущем периоде. Таким образом,
краткосрочные и долгосрочные ставки движутся однонаправлено.
Во-вторых, теории
ожиданий объясняют, почему кривая доходности имеет положительный наклон, когда
краткосрочные ставки низки, и отрицательный наклон, когда краткосрочные ставки
высоки. Если краткосрочные ставки низки (ниже долгосрочного среднего уровня),
то экономические агенты ожидают их роста, если высоки (выше долгосрочного
среднего уровня) – снижения. Таким образом, долгосрочные ставки, равные
среднему текущих и будущих краткосрочных ставок, оказываются выше или ниже
доходности коротких облигаций.
В-третьих, данные теории
объясняют большую волатильность краткосрочных ставок по сравнению с долгосрочными.
Поскольку процентные ставки демонстрируют свойство возвращаться к среднему, то
среднее краткосрочных ставок должно иметь меньшую волатильность, чем сами
спот-ставки.
Однако теории ожиданий не
могут объяснить тот факт, что кривая доходности имеет преимущественно положительный
наклон. В этом случае, согласно теории, краткосрочные процентные ставки чаще
находятся ниже долгосрочного среднего уровня. Кроме того, согласно приведенным
выше формулировкам обоих типов теории ожиданий кривая доходности должна
стремиться к горизонтальной прямой, что на практике наблюдается редко.
Допущение о возможности
наличия постоянной премии за срок позволило сблизить теорию ожиданий и
альтернативный подход, развиваемый на протяжении десятилетий – теорию
предпочтения ликвидности.
Применительно к анализу
временной структуры российского рынка ценных бумаг особо стоит выделить работы,
посвященные проверке теории ожиданий на развивающихся рынках ( Энтов, Радыгин,
Мау, Синельников, Трофимов, Дробышевский, Луговой и др., 1998). Исследования
показали, что хотя чистая гипотеза ожиданий не оправдывается, предсказательная
способность временной структуры процентных ставок на развивающихся рынках соответствует,
в целом, результатам, полученным для развитых финансовых рынков, и текущие
долгосрочные процентные ставки содержат информацию о будущих коротких ставках
процента.
2.2 Теория предпочтения ликвидности
Теория предпочтений
ликвидности (liquidity preference hypothesis) предполагает, что форвардная
премия за срок постоянна во времени, но зависит от срока до погашения
облигации,
. Облигации с большим сроком до погашения
рассматриваются как более рисковые, чем краткосрочные облигации, даже если мы
рассматриваем один и тот же период владения облигациями. С ростом срока до погашения
премия за ликвидность и, соответственно, ожидаемая ставка за период владения
облигацией увеличиваются:
.
Теория предпочтения
ликвидности объясняет (в той же логике, что и гипотеза ожиданий)
однонаправленное движение краткосрочных и долгосрочных спот-ставок,
положительный наклон кривой доходности. Однако она не может в полной мере
объяснить отрицательный наклон кривой доходности. Согласно данной гипотезе,
долгосрочные ставки могут быть ниже краткосрочных только в том случае, если
краткосрочные ставки настолько сильно превышают средний уровень, что это
перекрывает положительную премию за срок.
Дальнейшее развитие
гипотезы было направлено на изучение свойств премии: является ли премия
постоянной, либо она изменяется под воздействием других факторов.
2.3
Теория об изменяющейся во времени премии за срок
Теория об изменяющейся во
времени премии за срок (time varying term premium) учитывает возможность
влияния экзогенных переменных состояния на уровень и знак форвардной премии за
срок. Ожидаемая избыточная доходность от владения облигациями с разными сроками
до погашения зависит как от срока до погашения, так и от экзогенных факторов,
изменяющихся во времени. Таким образом, премия за срок зависит от срока до
погашения облигации и изменяется во времени:
,
где z = z(t) – функция,
описывающая изменение переменной состояния во времени.
Наибольшее
распространение получило направление исследований, связывающих колебания и знак
премии за срок с движением макроэкономических переменных и циклов экономической
активности. В работах Барро, Плоссера, Турновски и Миллера, Ли изучались
эффекты фискальной политики и государственных расходов на динамику
краткосрочных и долгосрочных ставок. В частности, выполняется ли условие "эквивалентности
Рикардо" для ставок с различными сроками до погашения облигации. Ряд
экономистов рассматривали модели, связывающие цикличность потребления и
структуру процентных ставок. Большое число работ посвящено объяснению наклона
кривой доходности в контексте циклов экономической активности и ожиданий
экономического роста или рецессии.
2.4 Теория сегментации рынков
Следующей теорией,
объясняющей различие в уровнях доходности бумаг с различными сроками погашения,
является теория сегментации рынков.
Теория сегментации рынков
(market segmentation hypothesis) основывается на предположении о том, что различные
инвесторы могут иметь различные предпочтения относительно желаемых сроков
инвестирования, либо принуждены законодательно осуществлять вложения в
облигации с определенными сроками до погашения. Т.е. рынок облигаций поделен на
сегменты, в которых действуют определенные инвесторы. Каждый сегмент
представляет собой нишу для каждого участника в силу экономических или
законодательных ограничений. На рынке облигаций преобладают институциональные
инвесторы, имеющие свои предпочтения.
Так, коммерческие банки
инвестируют средства преимущественно в краткосрочные бумаги, чтобы иметь
наиболее ликвидные активы для обслуживания требования по вкладам.
Страховые организации,
которые застраховывают от несчастных случаев, сосредотачивают внимание на
среднесрочных бумагах.
Организации, которые
застраховывают жизнь, предпочитают долгосрочные инвестиции и т.д.
Поэтому на ставку
процента влияет спрос и предложение финансовых ресурсов в рамках каждого
сегмента, а не рынка в целом, т.е. нет прямой связи между уровнем кратко-
средне- и долгосрочных ставок. Это не означает, что инвесторы не выходят за
рамки своих ниш. В случае более выгодной ситуации в соседнем сегменте вкладчик,
скорее всего, расширит границы своей ниши, но не значительно. Теория
сегментации рынков объясняет форму кривой доходности преимущественно как
результат взаимодействия спроса и предложения в каждом сегменте.
Кривая процентных доходов
определяется взаимодействием спроса и предложения на различных сегментах рынка
облигаций в зависимости от широкого спектра сроков погашения. Финансовые
учреждения с четкими предпочтениями определения сроков занимают подобные сегменты
и действенно являются причиной распределения рынка облигации на различные
сегменты, которые основаны на сроках выплаты.
Эти предпочтения для
определенного ряда сроков не абсолютны. В случаях, когда учреждения доминируют
на рынке облигаций и никогда не изменяют выбранным предпочтениям относительно
сроков, обратимся к прерывистой кривой процентных доходов, которая изображена
на рис. 1.

Рис.
1. Особый случай на сегментированном рынке облигаций
Согласно теории
сегментирования рынка (известной также как теории естественных предпочтений),
учреждения предпочитают определенные сроки, но их предпочтения не абсолютны. В
ситуации, которая рассмотрена на рис. 1, страховые компании, занимающиеся
страхованием от несчастных случаев, могут улучшить свое положение путем
принятия более коротких сроков, по сравнению с настоящими, наиболее длинными
сроками. В обоих случаях процентные доходы по облигациям будут расти. Следует
отметить, что такая прерывистая кривая процентных доходов не имеет места на
реальном рынке.
2.5 Теория предпочитаемой среды
Теория предпочитаемой
среды (preferred habitat theory) отрицает наличие фундаментальных
макроэкономических основ определения форвардной премии за срок. Предполагается,
что инвестор, в первую очередь – непрофессиональный, имеет свой собственный
горизонт инвестиций и предпочитает покупать облигации, срок до погашения
которых не выходит за его пределы. Наблюдаемая на рынке временная структура
доходности ценных бумаг является результатом принятия экономическими агентами
множества независимых решений. В каждой из таких "сред" существуют
свои спрос и предложение, что может приводить к любому знаку и изменению премии
за срок. Таким образом, лишь облигации с близкими сроками до погашения могут
рассматриваться как субституты и иметь одинаковую форвардную премию за срок. По
своим объясняющим свойствам теория предпочитаемой среды близка теории
сегментации рынков.
Данная теория не
противоречит ни одному из перечисленных ранее предположений, объясняющих временную
структуру процентных ставок.
Таким образом, в
экономической теории существует пять основных теорий временной структуры
процентных ставок: теория ожиданий, теория предпочтения ликвидности, теория об
изменяющейся во времени премии за срок, теория сегментация рынков и теория "предпочитаемой
среды". К настоящему времени практически преодолены противоречия между
различными подходами к объяснению формы кривой доходности, и выбор конкретной
теории зависит от предпосылок, целей и результатов конкретного исследования.
3. Модели кривой доходности
На протяжении изучения
структуры процентных ставок было предложено множество моделей ее оценки на
основе рыночных данных. Всё множество подходов к построению кривой доходности
можно разделить на функциональные модели и модели, основанные на сплайнах,
которые отличаются различным соотношением между качеством приближения к
реальным данным и гладкостью.
Функциональный подход
предполагает представление кривой доходности как единой функции для всех сроков
погашения. Вид функции может быть получен из моделей поведения процентных
ставок и отвечать теоретическим предпосылкам экономических моделей, или может использоваться
класс аппроксимирующих функций, например экспоненциальные или полиноминальные
функции.
3.1 Модель Васичека
Функция кривой доходности
может быть получена из стохастических моделей процентных ставок, например из
модели Васичека. В этой модели изменение краткосрочных процентных ставок
задается уравнением:
dr(t) =
λ (r(∞) − r(t))dt
+σdz(t) ,
где z(t) - стандартное
броуновское движение. При отсутствии случайного члена, то есть σ = 0 ,
решением является экспоненциальная функция:
r(t) = r(∞) − (r(∞) −
r(0))e−tλ
Величины r(∞) и
r(0) равны равновесной краткосрочной ставке и некоторой начальной краткосрочной
ставке. Масштабирующий параметр λ характеризует скорость приближения
текущего значения ставки к равновесному уровню.
Кривая доходности в
стохастической модели Васичека задается формулой:
Кривая доходности
Васичека может быть прямой линий, возрастающей или убывающей, однако данная
функция не позволяет кривой доходности иметь S-форму, горб (среднесрочные
ставки выше как краткосрочных, так и среднесрочных), или, наоборот, U-форму.
Кроме модели Васичека для
получения функции кривой доходности могут быть использованы другие
стохастические модели краткосрочных ставок, например модели Хала-Уайта,
Кокса-Ингерсолла-Росса, Хо-Ли. Однако использование более сложных моделей,
несмотря на свою теоретическую обоснованность, приводит к получению сложных
многопараметрических функций кривой доходности, которые плохо приближаются к
рыночным данным.
3.2 Модель Нельсона-Сигеля
Модель Нельсона-Сигеля
(Nelson-Siegel, 1987) является одной из наиболее часто применяемых моделей на
практике. В их работе "Parsimonious Modeling of Yield Curve" ("Простое
моделирование кривой доходности") было отмечено, что класс функций, легко
представляющий типичные формы кривой доходности, связан с решением
дифференциальных уравнений. Кроме того, "теория ожиданий временной
структуры процентных ставок дает эвристическую мотивацию для исследования этого
класса функций, так как если спот ставки задаются дифференциальным уравнением,
то форвардные ставки, являясь прогнозами (ожиданий), будут решениями этих
уравнений".
Эксперименты с классом
функций, являющихся решением линейного дифференциального уравнения второго
порядка с действительными и неравными корнями характеристического уравнения,
показали плохое приближение к реальным данным и отсутствие сходимости оценок,
что является признаком избыточного количества параметров. Авторами было сделано
предположение о равенстве корней характеристического уравнения, что дает более
простое выражение для мгновенной форвардной процентной ставки:
(1)
Интегрирование функции
(1) от 0 до дает выражение для спот ставок в данной модели:
(2)
Кривая доходности
Нельсона-Сигеля может принимать любые формы: монотонно возрастающую или
убывающую, выпуклую (с горбом), U-форму и S-форму, которые встречаются на
практике. Кроме того, каждое слагаемое в функции спот ставок оказывает
наибольшее влияние на кратко-, средне- и долгосрочный сегмент кривой
доходности, что добавляет гибкости модели.
Данная модель хорошо
зарекомендовала себя на рынках как развитых, так и развивающихся стран. Она
хорошо подходит для описания временной структуры ставок при малом количестве ценных
бумаг, на основе доходностей которых строится кривая доходности, а также
позволяет получить гладкую форму кривой, которую можно использовать в
макроэкономических исследованиях и оценке финансовых инструментов.
3.3 Модель Свенссона
Модель Свенссона
(Svensson, 1994) является модификацией модели Нельсона-Сигеля. В этой модели в
формулу (1) добавляется еще одно слагаемое, которое позволяет получить еще один
горб у кривой доходности:
(3)
Сплайновые модели
основываются на кусочном приближении индивидуальных сегментов кривой доходности
сплайновыми функциями, которые гладко соединяются в узловых точках. На
ограниченном интервале любая непрерывная функция может быть приближена
произвольной полиноминальной функцией, и точность приближения увеличивается с
ростом степени полинома. Однако использование единственной полиноминальной
функции высокой степени для приближения кривой доходности для всех сроков
погашения часто отличается недостаточной сглаженностью полученной кривой
доходности. Для решения этой проблемы полиноминальные функции высоких порядков
приближаются последовательностью полиномов низких порядков. Как правило, в
качестве сплайновых функций используются квадратичные или кубические полиномы,
аппроксимирующие кривую доходности на отдельных сегментах между узловыми
точками, в которых значения ставок определяются из рыночных данных. Гладкое
соединение сплайнов обеспечивается путем подбора параметров соседних сплайнов
таким образом, чтобы их значения и значения первой производной (квадратичные
сплайны), или значения первой и второй производной (кубические сплайны),
совпадали в узловых точках.
При очень большом
количестве узловых точек кривизна каждого сплайна может быть любой и кривая
доходности в таком случае может быть негладкой, значительно изменяясь на
отдельных сегментах при изменении значений ставок в узловых точках. В 1995 году
Фишер и другие ученые разработали метод сглаживающих сплайнов (smoothing
splines), который позволяет получить гладкое приближение кривой доходности с
использованием сплайнов, сохраняя качество приближения. В их методе изначально
задается максимальное количество узловых точек, что приводит к разделению
кривой доходности на множество участков и появлению большого числа параметров,
задающих каждый сплайн. Затем определяется оптимальное число узловых точек
путем минимизации отношения суммы квадратов ошибок к количеству параметров всей
кривой доходности.
Таким образом, удается
исключить некоторую часть узловых точек и параметров, которые не вносят
существенный вклад в улучшение качества приближения модели.
Выбор модели для приближения
кривой доходности на конкретном рынке определяется несколькими факторами.
Важным фактором является количество торгуемых облигаций, на основе данных по
которым оценивается кривая доходности. Функциональные модели хорошо подходят
для экстраполяции – они позволяют достаточно точно оценить ставки для тех
сроков погашения, близко к которым не погашается ни одна бумага. Также они
позволяют получить адекватные оценки ставок между сроками погашения торгуемых
бумаг, если существуют большие разрывы данных. Сплайновые модели дают хорошие
результаты при большом количестве торгуемых бумаг, достаточно равномерно
распределенных по срокам погашения. Однако их можно использовать только для
интерполяции – для оценки ставок на сроках в диапазоне между минимальным и максимальным
сроком среди торгующихся бумаг. За этими пределами полиноминальные сплайны без
ограничений на абсолютное значение и значения производных стремятся к
бесконечности.
Другим критерием, тесно
связанным с первым, является ликвидность рынка. Большое число сделок и большие
объемы торгов минимизируют возможность нерыночного ценообразования и появления
случайных скачков цен и доходностей, связанных с единичными сделками. В таком
случае выбор модели может зависеть от целей анализа. Если определение временной
структуры ставок требуется для макроэкономического анализа, оценки ожиданий
ставок и инфляции, то функциональные модели имеют преимущество за счет своей
гладкости, экстраполирующих возможностей и простоты оценки. Если же определение
структуры ставок требуется для оценки финансовых активов, например для
определения стоимостей торгующихся облигаций, и выявления арбитражных
возможностей, то сплайновые модели имеют преимущество. При выполнении первого
ограничения на значительное количество одновременно торгуемых ценных бумаг,
сплайновые модели позволяют оценить особенности каждого временного участка
кривой доходности и получить более точные оценки справедливых стоимостей ценных
бумаг. Если рынок низколиквидный, и по некоторым бумагам в день проходят
единичные сделки, или сделки отсутствуют, то это чревато появлением
значительных случайных выбросов данных, из-за чего сплайновые модели могут дать
необоснованный изгиб на определенных участках. Функциональные модели благодаря
своей сравнительной жесткости позволяют сгладить такие выбросы, добавляя кривым
доходности преемственности, которая предполагает возможность сравнения кривых,
построенных в разные моменты времени (торговые дни).
Заключение
Временная
структура процентных ставок – это последовательность значений процентных ставок, упорядоченная по
сроку погашения в определенный момент времени. Природа процентных ставок
определяет природу временной структуры, и в зависимости от типа ставок могут
быть построены различные типы кривой доходности: кривая доходности к погашению,
кривая бескупонной доходности, кривая форвардной ставки и мгновенной форвардной
ставки.
Мы рассмотрели пять
основных теорий временной структуры процентных ставок: теория ожиданий, теория
предпочтения ликвидности, теория об изменяющейся во времени премии за срок,
теория сегментация рынков и теория "предпочитаемой среды".
Противоречия между различными подходами к объяснению формы кривой доходности
практически преодолены. Выбор конкретной теории зависит от предпосылок, целей и
результатов конкретного исследования, конкретной задачи экономиста или
инвестора.
Существует два вида
теории ожиданий: теория чистых ожиданий и теория ожиданий, которую иногда
называют теория рациональных ожиданий. Теория чистых ожиданий утверждает, что
долгосрочные процентные ставки равны среднему от ожидаемых краткосрочных
процентных ставок. Эта теория не могла полностью охватить картину, поэтому
вторая теория позволила преодолеть противоречие. Теория ожиданий для временной
структуры предполагает наличие ненулевой премии в зависимости от срока до
погашения.
Теория предпочтения
ликвидности утверждает, что инвесторы не безразличны к срокам до погашения облигаций,
а предпочитают краткосрочные облигации долгосрочным, поскольку они
характеризуются меньшим риском. Краткосрочные облигации более привлекательны
для заказчиков, поэтому заказчики готовы платить за них дополнительную сумму
денег, которая называется премия за ликвидность. В результате доходность
краткосрочных облигаций ниже долгосрочных. В свою очередь, долгосрочные
облигации должны быть более доходными, чтобы вкладчики согласились их покупать.
Таким образом, инвестор получит более высокую доходность, если приобретет
долгосрочную бумагу вместо последовательной покупки краткосрочных бумаг в
течение того же периода времени. Такая ситуация наблюдается, когда форвардные
ставки больше будущей ожидаемой ставки спот для этого же периода. Разница между
ними равна премии за ликвидность.
Теория об изменяющейся во
времени премии за срок учитывает возможность влияния экзогенных переменных состояния
на уровень и знак форвардной премии за срок.
Теория сегментации рынков
основывается на предположении о том, что различные инвесторы могут иметь
различные предпочтения относительно желаемых сроков инвестирования, либо
принуждены законодательно осуществлять вложения в облигации с определенными
сроками до погашения.
Теория предпочитаемой
среды отрицает наличие фундаментальных макроэкономических основ определения
форвардной премии за срок.
Так же в курсовой работе
рассмотрены различные модели и методы построения кривой доходности, а также ее
применение при анализе финансовых рынков и формировании портфеля активов. На
выбор конкретной модели оказывают влияние множество факторов. На рынке рублевых
облигаций наиболее приемлемой является оценка модели Нельсона-Сигеля, так как
она подходит для описания временной структуры ставок при малом количестве
ценных бумаг, на основе доходностей которых строится кривая доходности, а также
позволяет получить гладкую форму кривой, которую можно использовать в макроэкономических
исследованиях и оценке финансовых инструментов.
Практическая часть
Задача 1.
Рассматривается возможность
приобретения еврооблигаций ОАО "Нефтегаз". Дата выпуска – 16.06.2008.
Дата погашения – 16.06.2015. Купонная ставка – 10%.Число выплат – 2 раза в год.
Требуемая норма доходности (рыночная ставка) – 12% годовых. Сегодня 15.11.2009.
Средняя курсовая цена облигации – 102,70.
А) Определите дюрацию этой облигации
на дату совершения сделки.
В) Как изменится цена облигации, если
рыночная ставка: а) возрастет на 1,75%; б) упадет на 0,5%.
Решение
А) Средневзвешенная продолжительность
платежей для данной облигации на дату сделки 15.11.2009 составляет 4 года и 2
месяца.
Результат получен при использовании
программы MS Exel с помощью функции ДЛИТ(дата_согл;
дата_вступл_в_силу; ставка; доход; частота). Иллюстрирует задачу рис. 2.
Дата_согл
– дата сделки 15.11.2009.
Дата_вступл_в_силу
– дата погашения облигации 16.06.2015.
Ставка –
ставка купона 10%.
Доход –
норма доходности 12%.
Частота
– число выплат в году 2.
На дату сделки облигация стоит
102,70. (Если номинал облигации равен 100, тогда облигация будет приобретена с
премией, равной 2,70, что уже невыгодно инвестору) При ставке купона в 10%
получена цена, равная 92, которая должна обеспечивать норму доходности в 12%.
Однако эта величина меньше стоимости покупки, поэтому дополнительного дохода
при погашении облигации получено не будет. Это можно объяснить также величиной
доходности к погашению 9,36%, что значительно меньше требуемой нормы
доходности. Поэтому при заданных условиях операция по покупке еврооблигации ОАО
"Нефтегаз" представляется неэффективной.

Рис. 2
В) Рассмотрим ситуацию, когда рыночная
ставка возрастёт на 1,75%, т.е. r1=12,21. Цена облигации уменьшится на
0,86% по сравнению с предыдущей величиной и составит 91,21. (Рис.3) Исход
операции не сильно меняется, и положительного эффекта эта сделка инвестору не
приносит.

Рис.
3
При уменьшении рыночной
ставки на 0,5% (r2=11,4%) цена облигации увеличится на 2,51%
и составит 94,31. Однако незначительное уменьшение требуемой нормы доходности
также мало влияет на решение инвестора. Сделка по-прежнему остается невыгодной.
(Рис. 4)
Можно сделать вывод, что
для совершения операции покупки облигации норма доходности должна быть меньше
доходности к погашению.
Рис.
4
Задача 2
Обыкновенные
акции предприятия "К" продаются по 50,00. Ожидаемый дивиденд равен
2,50.
Определите
доходность инвестиции, если ожидаемый ежегодный рост дивидендов составит: а) 0%; б) 5%; в) 12%.
Решение
Дано:
P=50,00
DIV0=2,50
Для оценки доходности
инвестиции воспользуемся моделью постоянного роста:
А) Для первого случая,
когда g=0%, т.е. размер дивиденда останется
на прежнем уровне, применим модель нулевого роста:
Доходность акции с фиксированным
размером дивидендов составляет 5%.
Б) При g=5%
При ежегодном росте
дивидендов на 5%, доходность по данной акции составляет 10,25%.
В) При g=12%
При ежегодном росте
дивидендов на 12%, доходность по данной акции составляет 22,6%.
Задача 3
Имеются следующие данные о значении
фондового индекса и стоимости акции ОАО "Авто".
Таблица 1.
|
Период
|
Индекс
|
Стоимость акции
|
|
245,5
|
21,63
|
|
1
|
254,17
|
28,88
|
|
2
|
269,12
|
31,63
|
|
3
|
270,63
|
34,50
|
|
4
|
239,95
|
|
5
|
251,99
|
39,75
|
|
6
|
287,31
|
42,35
|
|
7
|
305,27
|
40,18
|
|
8
|
357,02
|
44,63
|
|
9
|
440,74
|
41,05
|
|
10
|
386,16
|
42,15
|
|
11
|
390,82
|
42,63
|
|
12
|
457,12
|
43,75
|
А) Определите среднюю доходность и
коэффициент β для акции ОАО "Авто".
В) Постройте график линии SML для акции ОАО "Авто".
Решение
1. Заполним таблицу:
·
Определяем
доходность индекса в различных периодах:
·
Определяем
доходность акции в различных периодах:
Таблица 2.
|
Период (Т)
|
Индекс (I)
|
Стоимость акции
|
Дох-ть индекса
R(J)t
(%)
|
Дох-ть акции
R(А)t
(%)
|
[R(J)]2
|
R(J)tхR(A)t
|
|
245,5
|
21,63
|
|
|
|
|
|
1
|
254,17
|
28,88
|
3,53
|
33,52
|
12,47
|
118,37
|
|
2
|
269,12
|
31,63
|
5,88
|
9,52
|
34,6
|
56,01
|
|
3
|
270,63
|
34,5
|
0,56
|
9,07
|
0,31
|
5,09
|
|
4
|
239,95
|
35,75
|
-11,34
|
3,62
|
128,52
|
-41,07
|
251,99
|
39,75
|
5,02
|
11,19
|
25,18
|
56,14
|
|
6
|
287,31
|
42,35
|
14,02
|
6,54
|
196,46
|
91,68
|
|
7
|
305,27
|
40,18
|
6,25
|
-5,12
|
39,08
|
-32,03
|
|
8
|
357,02
|
44,63
|
16,95
|
11,08
|
287,38
|
187,75
|
|
9
|
440,74
|
41,05
|
23,45
|
-8,02
|
549,89
|
-188,1
|
|
10
|
386,16
|
42,15
|
-12,38
|
2,68
|
153,36
|
-33,18
|
|
11
|
390,82
|
42,63
|
1,21
|
1,14
|
1,46
|
1,37
|
|
12
|
457,12
|
43,75
|
16,96
|
2,63
|
287,79
|
44,57
|
|
Сумма
|
70,11
|
77,84
|
1716,48
|
266,6
|
В данном
случае средняя доходность акции может быть определена как средняя
арифметическая простая.
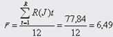
Средняя
доходность акции ОАО "Авто" за год составила 6,49%.
1.
Определим
бета-коэффициент акции:
Для акции ОАО "Авто"
коэффициент β = -0,144, что означает, что данный актив является менее
рисковым, чем рынок в целом.
2.
Определяем
параметр
представляющий нерыночную составляющую
доходности актива А.
3.
Подставляем
найденные значения
и β в линейную
регрессионную модель САРМ:
R(A)t =
A+ βA R(J)t
При подстановке получаем
следующие значения:
Таблица 3.
|
R(Jt)
|
3,53
|
5,88
|
0,56
|
-11,34
|
5,02
|
14,02
|
6,25
|
16,95
|
23,45
|
-12,38
|
1,21
|
16,96
|
|
R(At)
|
6,82
|
6,48
|
7,25
|
8,96
|
6,61
|
5,31
|
6,43
|
4,89
|
3,95
|
9,11
|
7,16
|
4,89
|
4.
Строим график
характерной линии ценной бумаги:
График 1.
Задача 4
Вы
прогнозируете, что в следующие 6 месяцев акции компании Х возрастут в цене.
Текущий курс акции равен 100 руб., опцион "колл" с истечением через 6
месяцев имеет цену исполнения 100 руб. и продается по 10.00. У вас есть 10000 и
рассматриваются три стратегии: а) купить 100 акций; б) купить 1000 опционов; в)
купить 100 опционов за 1000 и вложить оставшиеся 9000 в шестимесячные облигации
с доходностью 8% годовых (4% за 6 месяцев).
Какая
из стратегий даст наибольшую доходность при будущем курсе 80,00, 100,00, 110,00, 120,00?
Решение:
Обозначения:
К – будущий курс акции;
r – доходность
инвестора.
а)
Рассмотрим вариант покупки 100 акций при различных курсах.
Найдем
доходность акции при курсе:
-
будущий курс равен 80,00 (K=
80):
;
-
будущий курс равен 100,00 (K =
100):
;
-
будущий курс равен 110,00 (K =
110):
;
-
курс равен 120,00 (K = 120):
;
б)
Рассмотрим вариант покупки 1000 опционов при различных курсах:
- К =
80:
;
- К =
100:
;
- К =
110:
;
- К =
120:
;
в)
Рассмотрим вариант покупки 100 опционов за 1000 и вложения оставшихся 9000 в
шестимесячные облигации с доходностью 8% годовых (4% за 6 месяцев):
- K = 80:
;
- K = 100:
;
- K = 110:
;
- K = 120:
;
Ответ:
при K = 80 ни одна стратегия не выгодна,
так как результат любой операции принесет убыток;
при K = 100 стратегии (б) и (в) принесут
убыток, стратегия (а) не принесет убытка, однако и дохода тоже не будет;
при K = 110 выгодна стратегия (а);
при K=
120 выгодна стратегия (б).
Список использованной
литературы
1.
Буренин А.Н.,
Рынок ценных бумаг и производных финансовых инструментов: Учебное пособие — М.:
1 Федеративная Книготорговая Компания, 1998. —352 с.
2.
Буклемишев О.,
Поманский А. Премия за риск и временная структура процентных ставок.
//Экономика и математические методы, № 28-2, 1992, стр. 252 – 260.
3.
Богатин Ю.В.,
Швандар В.А. Инвестиционный анализ. М.: ЮНИТИ, 2001. – 286 с.
4.
Бригхем Ю.,
Гапенски Л. Финансовый менеджмент: Полный курс: В 2 т. . - СПб.: Экономическая
школа, 2004. - 1166 с.
5.
Буренин А.Н.
Фьючерсные, форвардные и опционные рынки. - М.: Тривола, 1995. - 240 с.
6.
Воронцовский А.В.
Инвестиции и финансрование: Методы оценки и обоснования. Спб. Изд-во СПбГУ, 2005
- 525 с.
7.
Дж.К.Ван Хорн
Основы управления финансами. - М.: Финансы и статистика, 2001. - 800 с.
8.
Дробышевский М.П.
Обзор теорий временной структуры. - М.: ИЭПП, 2006. – 416 с.
10.
Килячков А.А.,
Чалдаева Л.А. Практикум по российскому рынку ценных бумаг. - М.:Издательство
БЕК, 1999. - 784 с.
11.
Лекции по курсу "Теория
ценных бумаг" Селищева А.С.
12.
Лукасевич И.Я.,
Анализ операций с ценными бумагами с Microsoft Excel/Учебное пособие. – М.,
1998. -
13.
Лукасевич И.Я.,
Анализ финансовых операций. Методы, модели, техника вычислений: Учебное пособие
для вузов. – М.: Финансы, ЮНИТИ, 1998. – 400 с.
14.
Маршалл Джон Ф.,
Бансал Випул К. Финансовая инженерия: Полное руководство по финансовым
нововведениям: Пер. с англ. - М.: ИНФРА-М, 1998. - 784 с.
15.
Рынок ценных
бумаг и его финансовые институты Уч.пособ. /Под ред. В.С.Торкановского. - СПб.:
АО "Комплект", 2004. - 421 с.
16.
Рэдхэд К., Хьюс
С. Управление финансовыми рисками. – М: ИНФРА–М, 2001. – 287 с.
17.
Финансовый
менеджмент: учебник / И.Я. Лукасевич. – М.: Эксмо, 2009. – 768 с. – (Высшее
экономическое образование)
18.
Чесноков А.С.
Инвестиционная стратегия, опционы и фьючерсы Изд. пятое. - М.: ПАИМС, 2005. -
112 с.
19.
Шапкин А.С.
Экономические и финансовые риски. Оценка, управление, портфель инвестиций:
Монография. – М.: Издательско-торговая корпорация "Дашков и К.", 2003
– 544 с.
20.
Шарп. У.Ф.,
Александер Г.Дж., Бейли Д.В. Инвестиции -М.: ИНФРА-М, НФПК NTF, 2004. - 1028 с.
Размещено на