Цели в системе управления

  • Вид работы:
    Курсовая работа (т)
  • Предмет:
    Менеджмент
  • Язык:
    Русский
    ,
    Формат файла:
    MS Word
    780,64 Кб
  • Опубликовано:
    2012-04-07
Вы можете узнать стоимость помощи в написании студенческой работы.
Помощь в написании работы, которую точно примут!

Цели в системе управления

Содержание

Введение

Глава I. Понятие о целях организации и их роль в управлении

.1 Свойства и требования к целям

.2 Анализ целей и организационных систем

.3 Свойства и требования к целям

.4 Роль целей в управлении организаций

.5 Глобальная цель организации и цель функционирования подразделений

.6 Этапы формирования целей

.7 Понятие дерева целей

Глава II Анализ значимости целевого управления.

.1 Гостиница Мариотт Роял Аврора

.2 "Дерево целей" Moscow Marriott Royal Aurora

.3 Действие менеджера для повышения эффективности управленческих решений

Приложение

Заключение

Список использованной литературы

Введение

Актуальность данной темы обуславливается огромным значением постановки целей на предприятии, ведь от того насколько корректно поставлена цель, зависит ее восприятие собеседником, а значит и достижение главной цели самого предприятия. Наличие цели делает более эффективной деятельность менеджера, его подчиненных , а значит и компании в целом. Поэтому актуальность изучения вопросов правильной постановки целей является неоспоримой и в настоящее время.

Цель курсовой работы: раскрыть сущность и значимость целевого управления предприятием общественного питания.

Задачи курсовой работы:

обработка материала по теме : "Цели в системе управления"

рассмотреть сущность целей и задач в менеджменте;

дать понятие видов целей и требований к их постановке;

охарактеризовать принципы и методы постановки целей.

анализ значимости целей в управлении.

Предмет исследования - целевое управление на предприятии.

Объект исследования- гостиница МАРИОТТ Роял АВРОРА. Ресторан "Аврора"

Работа состоит из двух частей: в теоретической, раскрывается сущность целевого управления, а также свойства и требования к целям их виды и значение для организации.

в практической части - автор анализирует процесс целевого управления на примере гостиницы МАРИОТТ Роял АВРОРА, ресторана " Аврора".

В работе автор использовала учебно-методические пособия, материалы СМИ , электронные материалы с сайтов, специализированные журналы, а также наблюдение в гостинице МАРИОТТ Роял АВРОРА .

ГЛАВА I

Понятие о целях организации и их роль в управлении

.1 Свойства и требования к целям

Для организации процесс формирования целей является очень важным фактором на пути к успеху. Целевое начало в деятельности организации возникает отнюдь не только потому, что ей нужно иметь ориентиры, чтобы не погибнуть в изменяющемся окружении. В первую очередь целевое начало в деятельности организации возникает потому, что организация - это объединение людей, преследующих определенные цели. Когда идет речь о целевом начале в поведении организации и соответственно о целевом начале в управлении организацией, то обычно говорят о двух составляющих: миссии и целях. Установление того и другого, а также выработка стратегии поведения, обеспечивающей выполнение миссии и достижение организацией своих целей, является одной из основных задач высшего руководства и соответственно составляет очень важную часть стратегического управления. Определение цели системы является одним из наиболее важных, сложных и трудно разрешаемых вопросов. Его важность не вызывает сомнений - неправильное или недостаточно четкое определение цели приводит к весьма серьезным последствиям для системы в целом, обрекает ее на "слепое" блуждание в динамически изменяющихся условиях внешней среды.

Любая система управления по определению есть целенаправленная система, имеющая иерархическое строение и организованная для достижения целей, называемых целями функционирования системы управления. Значение целей очень велико. Во-первых, потому, что в организациях должны приниматься только такие решения, которые реализуют ее цели функционирования. Во- вторых, во избежание "паразитной" деятельности организации, т.е. деятельности, мешающей достижению цели функционирования организации, глобальная цель должна быть доведена до каждого руководителя и исполнителя. Для этого необходим постоянный контроль реального состояния системы и сравнение его с целями. Отсюда следует, что любая организационная деятельность в системе оправдана только в том случае, если она способствует достижению ее конечной цели. Иначе говоря, любая организация должна быть спроектирована таким образом, чтобы вся организационная деятельность в системе реализовала только те цели, для которых она создавалась.

Цели - это конкретизация миссии организации в форме, доступной при управлении процессам их реализации. Для них характерны следующие черты и свойства:

• четкая ориентация на определенный интервал времени;

• конкретность и измеримость;

• непротиворечивость и согласованность с другими целями и ресурсами;

• адресность и контролируемость.

Предназначение организации образует фундамент для установления целей организации в целом, ее подразделений и функциональных систем (маркетинг, нововведения, производство, персонал, финансы, менеджмент), каждая из которых ставит и реализует свои цели, логически вытекающие из общей цели предприятия.

Определение целей является одним из наиболее важных этапов проектирования системы управления. От того, насколько правильно выбрана цель функционирования, насколько четко она сформулирована, зависит весь успех организационно-административной деятельности. Неправильное или нечеткое формулирование цели функционирования приведет к тому, что система управления, даже если она должным образом устроена, работает не с полной отдачей, не эффективно, так как усилия аппарата управления расходуются не целенаправленно. В реальных организациях, как правило, приходится иметь дело с целой совокупностью целей. Задача руководителя организации любого уровня - суметь учесть все многообразие факторов, влияющих на функционирование организации, правильно оценить ситуацию и выработать оптимальные решения. Как правило, организации ставят и реализуют не одну, а несколько целей, которые важны для их функционирования и развития. Наряду со стратегическими целями и задачами приходится решать огромное количество текущих и оперативных. Кроме экономических - стоят социальные, организационные, научные и технические задачи. Наряду с регулярно повторяющимися, традиционными проблемами менеджеры должны принимать решения по непредвиденным ситуациям. Классификация целей позволяет конкретизировать задачу целеполагания и использовать соответствующие механизмы и методы, наработанные для разных групп целей.

.2 Анализ целей и организационных систем

Существует два типа целей с точки зрения периода для их достижения: долгосрочные и краткосрочные. В основе разделения целей на эти два типа находится временной период, связанный с продолжительностью производственного цикла. Цели, достижение которых предполагается к концу производственного цикла, можно отнести к долгосрочным. Отсюда следует: в различных отраслях должны быть различные временные промежутки для краткосрочных и долгосрочных целей. Однако на практике обычно краткосрочными считаются цели, которые достигаются в течение одного года, соответственно долгосрочные цели достигаются через два-три года.

Разделение на долгосрочные и краткосрочные цели имеет принципиальное значение, так как эти цели существенно различаются по содержанию. Для краткосрочных целей характерна гораздо большая, чем для долгосрочных, конкретизация и детализация в таких вопросах, как кто, что и когда должно быть выполнено. Если возникает необходимость, между долгосрочными и краткосрочными целями, устанавливаются еще и промежуточные цели, которые называются среднесрочными. В зависимости от специфики отрасли, особенностей состояния среды, характера и содержания миссии в каждой организации устанавливаются свои собственные цели, особенные как по набору параметров организации (желательное состояние которых выступает в виде общих целей организации), так и по количественной оценке этих параметров. Однако, несмотря на ситуационность в выборе целей, выделяются четыре сферы, применительно к которым организации устанавливают цели, исходя из своих интересов.

Этими областями являются:

· доходы организации;

· работа с клиентами;

· потребности и благосостояние сотрудников;

· социальная ответственность.

В любой крупной организации, имеющей несколько различных структурных подразделений и несколько уровней управления, складывается иерархия целей, представляющая собой композицию целей высокого и низкого уровня. Особенность иерархического построения целей в организации состоит в том, что, во-первых, цели более высокого уровня всегда носят более широкий характер и имеют более долгосрочный временной интервал достижения. Во-вторых, цели более низкого уровня выступают своего рода средствами для достижения целей более высокого уровня. Иерархия целей в организации играет очень важную роль, так как она устанавливает структуру организации и обеспечивает ориентацию деятельности всех подразделений организации на достижение целей верхнего уровня. Если иерархия целей построена правильно, то каждое подразделение, достигая своих целей, вносит необходимый вклад в деятельность организации по достижению ею целей организации в целом.

Цель быстрого роста является очень привлекательной, однако, и очень сложной для достижения. Чтобы справится с быстрым ростом, руководство организации должно обладать такими качествами, как глубокое понимание рынка, умение выбрать наиболее подходящую часть рынка и сконцентрировать свои усилия именно на ней , умение хорошо использовать имеющиеся ресурсы, четко ощущать ход времени и хорошо контролировать протекающие в организации процессы. В случае быстрого роста организации, необходимо иметь опытных менеджеров, умеющих рисковать. Стратегия организации должна быть сформулирована очень ясно.

Цель стабильного роста предполагает, что при её достижении организация развивается примерно таким же темпом, как и отрасль в целом. Данная цель не предполагает расширение организации, а означает, что организация стремится сохранить неизменной свою долю рынка.

Цель сокращения ставится организацией тогда, когда по целому ряду причин она вынуждена развиваться более медленными темпами, чем отрасль в целом, либо даже в абсолютном выражении сокращать свое присутствие на рынке. Постановка такой цели отнюдь автоматически не означает, что у организации протекают кризисные явления. Например, после периода быстрого роста может возникнуть необходимость сокращения. Здесь проявляется одна из интересных особенностей трех данных целей роста. Являясь совершенно различными по своей направленности, они могут спокойно, последовательно совмещаться во времени, сменяя одну другую. При этом отсутствует какой-либо обязательный порядок в следовании этих целей одна за другой.

.3 Свойства и требования к целям

· цели должны быть достижимыми. Конечно, в целях должен быть заключен определенный вызов для сотрудников организации. Они не должны быть слишком легкими для достижения. Но они также не должны быть нереалистичными, выходящими за предельно допустимые возможности исполнителей. Нереальная для достижения цель приводит к демотивации работников и потере ими ориентира, что очень негативно сказывается на деятельности организации;

· цели должны быть гибкими. Цели следует устанавливать таким образом, чтобы они оставляли возможность для их корректировки в соответствии с теми изменениями, которые могут произойти в окружении. Менеджеры должны помнить об этом и быть готовыми внести модификации в установленные цели с учетом новых требований, выдвигаемых к организации со стороны окружения, либо же новых возможностей, появившихся у организации;

· цели должны быть измеримыми. Это означает, что цели должны быть сформулированы таким образом, чтобы их можно было количественно измерить, или можно было каким-то другим объективным способом оценить, была ли цель достигнута. Если цели неизмеримы, то они порождают разногласия, затрудняют процесс оценки результатов деятельности и вызывают конфликты;

· цели должны быть конкретными, обладающими необходимой специфичностью, помогающей однозначно определить, в каком направлении должно осуществляться функционирование организации. Цель должна четко фиксировать, что необходимо получить в результате деятельности, в какие сроки её следует достичь и кто должен достигать цель. Чем более конкретна цель, тем легче выразить стратегию её достижения. Если цель сформулирована конкретно, то это позволяет добиться того, что все или подавляющее большинство сотрудников организации будут легко понимать её, а, следовательно, знать, что их ожидает впереди;

· цели должны быть приемлемыми для основных субъектов влияния, определяющих деятельность организации, и в первую очередь для тех, кому придется их достигать. При формулировании целей очень важно учитывать то, какие желания и потребности имеют работники.. Менеджер должен стремиться к установлению таких целей, которые бы обеспечивали большую прибыль, но желательно в долгосрочной перспективе. Так как покупатели (еще один субъект влияния на организацию) играют в настоящее время ключевую роль для выживания организации, менеджеры при установлении целей должны учитывать их интересы, даже если они ведут к сокращению прибыли за счет уменьшения цены или увеличения издержек для повышения качества продукта. Также при установлении целей необходимо учитывать интересы общества, такие, например, как ценовая политика.

.4 Роль целей в управлении организаций

Наличие целей является очень важным в организационном успехе. Они обеспечивают направленность действий, сплачивают людей, создают возможность для эффективной работы организации. Цели выполняют ряд полезных и практических функций, помогая управлению организацией и пониманию того, почему существует организация и почему люди и ней поступают так, а не иначе.

Цели оправдывают существование, законность организации как для работающих в ней людей, так и для общества. Через цели люди определяют, подходит ли им организация или нет. Цели нередко помогают предприятию избежать закрытия или ликвидации в условиях быстро меняющейся конъюнктуры общественного мнения (например, экологически вредные предприятия).

Цели не только привлекают людей в организацию, но и ограничивают деятельность членов организации, регулируют их поведение. Такая цель рабочей группы, как повышение качества, требует соблюдения технологической дисциплины, определенного отношения к работе. Цели являются главным мотивацией, направляющей поведение людей в нужное русл , удовлетворяя их потребности. Так, выход предприятия на лидирующие позиции в отрасли удовлетворяет и материальные (максимальная прибыль), и моральные потребности (гордость за организацию) работников. Цели уменьшают неопределенность, разъясняя людям, что организация преследует в своей деятельности. Ставя цель - обойти конкурентов, организация устраняет неопределенность в своей организационной миссии, а ее члены получают четкое представление о том, за какие действия они будут вознаграждены.Цели помогают организации познавать и приспосабливаться к окружающей действительности. По целям можно ориентироваться в движении, сравнивать себя с другими, определять соответствие требованиям.

Цели обеспечивают основу для конструирования организации. Многое другое тоже влияет на это, но цели - в первую очередь. Так, цель укрепить позицию компании на рынке ведет организацию к созданию нового подразделения.

.5 Глобальная цель организации и цель функционирования определенных подразделений

Основная цель организации - четко выраженная причина ее существования - обозначается как миссия. Цели вырабатываются для осуществления этой миссии. Миссия- основополагающая, уникальная, качественная цель, которая подчеркивает особенности фирмы. Раскрывает причину, смысл, назначения, существование и предназначение организации. Значение соответствующей миссии, которая формально выражена и эффективно представлена сотрудникам организации, невозможно преувеличить. Выработанные на ее основе цели служат в качестве критериев для всего последующего процесса принятия управленческих решений. Если руководители не знают, какова основная цель их организации, то у них не будет логической точки отсчета для выбора наилучшей альтернативы.

Миссия детализирует статус фирмы и обеспечивает направление и ориентиры для определения целей и стратегий на различных организационных уровнях. В прежних условиях хозяйствования наши предприятия не определяли свою миссию, так как при централизованном управлении цели и задачи каждого управляемого объекта устанавливались и жестко диктовались сверху. Как правило, они раскрывались через систему плановых заданий и показателей использования выделенных центральными органами ресурсов. Сейчас вступив в силу, законы рыночной экономики требуют определенных правил поведения хозяйствующих субъектов. Среди них - обнародование миссии организации, дающей представление о ее назначении, необходимости и полезности для окружающей среды, сотрудников, общества в целом.

Наукой менеджмента не выработаны какие-либо универсальные правила, применяемые при формулировании миссии. Поэтому существует множество самых разнообразных подходов к определению миссии и к ее содержанию, отражающие оценку роли и значения организации, в первую очередь, со стороны руководителей, принимающих решения. Центральным моментом миссии является ответ на вопрос: какова главная цель организации? На первом месте должны стоять интересы, ожидания и ценности потребителей (покупателей производимой продукции), причем не только в настоящее время, но и в перспективе.


Процесс формирования целей укрупнено представляется тремя этапами:

. Анализ исходной информации. Анализу подлежат, нормативные документы, различные государственные программы и т.д.;

. Написание сценария. Сценарий представляется как инструмент упорядоченности нашего представления о будущем. Систематизация черт этого будущего в едином документе. Сценарий как модель содержит два важных аспекта:

а) описание существующих позитивных и негативных тенденций, т.е. разрабатывается модель современного состояния;

б) разрабатывается модель будущего состояния. Это анализ тенденций будущего в зависимости от ситуаций, которые могут возникнуть и оказать

влияние на развитие системы. Общесистемные цели задаются в качественном виде и определяются, какими видами деятельности будет заниматься организация. Рассматриваются два варианта представления о будущем:

· опорное представление;

· целевое представление. То есть, то чего хочет добиться компания в будущем.

При этом целевое отношение рассматривается в трех аспектах: пессимистическом, реалистическом и оптимистическом.

Задача сценария состоит в анализе всевозможных ситуаций, выборе наиболее вероятного состояния и путей его достижения.

. Декомпозиция целей. Основываясь на главных свойствах целей, нужно помнить, что конечная цель раскладывается на составляющие подцели таким образом, чтобы прослеживалась взаимосвязь подцелей с конечной целью.

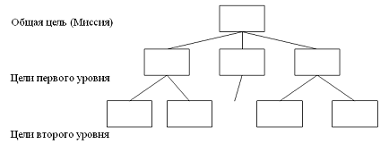
Инструментом, с помощью которого осуществляется систематизация целей является модель - "дерево целей".

.7 Понятие дерева целей

В организационной системе управления с иерархической структурой цели подсистем разного уровня исследуются и формируются в соответствии с выполняемыми ими функциями. При этом совокупность целей подсистем одного уровня должна обеспечивать выполнение цели той подсистемы более высокого уровня, которой они подчинены. Совокупность последовательно дробящихся целей в соответствии с понижающимся уровнем подсистем называют деревом целей. Таким образом, цели отдельных подсистем увязываются в схеме дерева целей, которое является наглядной графической моделью иерархической взаимосвязи целей системы в целом и отдельных ее подсистем.

Обязательную процедуру целевого управления составляет построение дерева целей и задач. Метод дерева целей предусматривает структуризацию целей и выявление связей между целями и средствами достижения целей (рис. 1). Главная цель разбивается на несколько целей, выполнение которых позволит достичь ее. Например, чтобы получить увеличение прибыли, необходимо снизить издержки, увеличить объемы производства и продаж и др. Каждая из этих целей в свою очередь разбивается на еще более мелкие цели, которые легче выполнять, контролировать и корректировать при необходимости. Такой ступенчатый подход делает, более реальным достижение главной цели. Основные правила для построения" дерева целей"

. Ни одна цель высших уровней иерархии не достигается непосредственно, а лишь посредством достижения подцелей, на которые она распадается. В то же время это не обычное сложение подцелей, так как каждая из подсистем может обладать дополнительными подцелями, не взаимосвязанными с глобальной целью системы.

. Средства к достижению общей (глобальной) цели являются ее подцелями.

. Цели нижних ярусов всегда являются средствами достижения целей высших ярусов и дерево целей реализуется наиболее эффективно, если каждая подсистема стремится достичь своей подцели, имея в виду общую цель всей системы.

. В системе существуют состязательность целей и их взаимоподдержка , которые проявляются на всех ярусах дерева целей.

Состязательность целей выражается в том, что иногда приходится поступаться степенью реализации одной цели во имя другой. Взаимная поддержка целей выражается в том, что нередко достижение одной цели способствует реализации другой. На более низких ярусах дерева целей очень часто наблюдается взаимопереплетение целей. Выявление, анализ и учет, как состязательности, так и взаимосвязи и переплетение целей дают важный материал для принятия обоснованных решений и оценки их последствий.

. Цели верхних уровней формулируются обычно в достаточно общем виде, в агрегированных, абстрактных понятиях и детализируется на нижних уровнях целевой структуры.

Дерево целей строится сверху вниз, исходя из сценария, поэтапно, уровень за уровнем так, чтобы мероприятия последующего уровня обеспечивали решение задач предыдущего. (см. рис. 2) Следовательно, система должна обеспечить такую организацию своей работы, при которой гарантируется выполнение всех подцелей самого нижнего уровня.

Рис. 2

Фрагмент дерева целей


Формирование целей организационной системы должно основываться на использовании всей накопленной объективной и субъективной информации. Объективная информация об организации существует в виде директивных документов, определяющих её цели и критерии (в содержательном или даже количественном виде, в виде целевых нормативов, планов, управляющих параметров, норм и т.д.) и задающих способы, которые обеспечивают реализацию этих целей. Субъективная информация определяется индивидуальным и коллективным знанием, опытом и интуицией руководства организации, приобретенным в результате наблюдения и участия в процессе функционирования системы. Она проявляется в виде различных систем предпочтения отдельных людей, служб и организаций. Эти предпочтения часто систематизированы неполностью , разрозненно. Установит их априори часто не представляется возможным. Кроме того, предпочтения неизбежно изменяются во времени и в процессе получения информации и демонстрирует определенную устойчивость лишь в среднем.

Формирование целей организации - своеобразный итерационный адаптивный механизм. В результате повторения процесса их формирования, наблюдения за результатами функционирования системы снимается целый ряд неопределенностей устанавливается более ясное, согласованное понимание.

Необходимость адаптивной подстройки процесса формирования целей и критериев системы управления обусловлено ещё и тем, что в процессе функционирования организации могут меняться внешние условия, в существенной мере оказывающие влияние на их формирование.

Современная методология выделения, описания и анализа целей основывается на использовании методов декомпозиции (расчленения), включающих элементы эвристики, использующих дедуктивные и индуктивные способы человеческого мышления и реализуемых с участие экспертов.

Глава II.

Анализ значимости целевого управления

.1 Гостиница Мариотт Роля Аврора

Одним из ведущих брендов корпорации гостиничного бизнеса является бренд "Marriott Hotels&Resorts". Он представлен в Москве тремя отелями: "Марриотт Тверская", "Марриотт Грандъ-Отель" и "Марриотт Роял Аврора". Компании Marriott Hotels Collection принадлежит свыше 2600 гостиниц в разных странах мира. Три гостиницы, носящие имя Мариотт, находятся в Москве, и одна из них - это Мариотт Роял Аврора, расположенная практически рядом с Кремлем и Красной площадью. Гостиница Мариотт Роял Аврора, Москва была построена в 1998 году и является самой новой из всех московских отелей Мариотт. Кроме того, это единственная в Москве гостиница, предлагающая персональные услуги дворецкого: при въезде вам подадут бокал шампанского, помогут забронировать столик, соберут вещи перед отъездом и справятся с любыми возникающими вопросами.

В отеле Мариотт Роял Аврора останавливаются те, кто ценит внимание к себе и знаком с качеством услуг, предлагаемых отелями сети Мариотт. Мариотт Роял Аврора выбирает политическая элита, президенты и вице-президенты корпораций, деятели шоу-бизнеса и актеры театра и кино. К услугам гостей 24-часовое обслуживание, 7 конференц-залов, предоставление секретарских услуг, заказ железнодорожных и авиабилетов, заказ такси, почтовое отделение ,услуги няни, камера хранения, парковка, чистка обуви, коктейль-бар, ресторан, солярий, джакузи, массаж, салон красоты, бильярд, тренажерный зал, фитнес-центр, соответствующий самым современным стандартам Номерной фонд гостиницы - это 230 номеров различных категорий, которые включают в себя сейф, телефон, ЖК-телевизор, высокоскоростной Интернет, мини-бар, ортопедические кровати, кондиционер, ванную, туалетные принадлежности, фен, халат с тапочками. Номера выполнены в классическом стиле. Освещение неяркое и успокаивающие.

Место моей практики ресторан "Аврора". Ресторан "Аврора " - уютный семейный ресторан русской и европейской кухни. В выходные дни здесь проводятся воскресные бранчи , включающие большой выбор блюд, алкогольные и безалкогольные напитки, а к завтраку - шведский стол.

Ресторан «Аврора» в Mariott Royal Aurora Hotel - место, где можно провести время с семьей. Необычный интерьер, разнообразное меню, услужливые официанты сделают пребывание в ресторане приятным и незабываемым.

Выработка стратегии поведения, обеспечивающая выполнение миссии и достижение организацией своих целей, является одной из основных задач высшего руководства и соответственно составляет очень важную часть стратегического управления. Иначе говоря, любая организация должна быть спроектирована таким образом, чтобы вся организационная деятельность в системе реализовала только те цели, для которых она создавалась.

В гостиница МАРИОТТ Роял АВРОРА, авторподчиняется трем руководителям: Денис Соловьев -менеджер ресторанов в отеле Moscow Marriott Royal Aurora. Он отвечает за все аспекты работы двух ресторанов отеля - стейк хауса «Поло Клуб» и основного ресторана отеля «Аврора», в котором я и прохожу практику. Непосредственные руководители ресторана супервайзеры Лиана и Миша.

.2 "Дерево целей" Moscow Marriott Royal Aurora

Миссия Отеля “ Moscow Marriott Royal Aurora ” - обеспечить своим Гостям лучшее индивидуальное обслуживание, комфорт, спокойную и изысканную обстановку, создавая атмосферу уюта и благополучия!!! Гости - это взрослые и дети, деловые люди и туристы, семейные пары, это каждый житель нашей страны и мира! В своей работе сотрудники всегда придерживаются философии - заботы о своих гостях, так как это самая большая ценность любого предприятия общественного питания.

Так, как стратегическая цель предприятия - занять конкурентную позицию среди гостиниц, то отель стремится быть абсолютным лидером по показателям качества первоклассного сервиса и набора разнообразных услуг, удовлетворяющих потребности гостей. Для достижения этой цели в отель отбирают высококвалифицированных сотрудников со знанием иностранного языка, умением быть лояльным и исполнительным. Отель “ Marriott Royal Aurora ” гордится, ценит и заботливо относиться к сотрудникам, работающим в динамично развивающейся компании, и прилагает максимум усилий для усовершенствования их мастерства.

Отчет по 2011 году Moscow Marriott Royal Aurora

" В целом мы закончили 2011 год с хорошими результатами...

)Наша цель по прибыли была выполнена на 97% . Это меньше, чем было запланировано в 2011 году, но все же на 1% нам удалось превзойти результат прошлого года. Это хороший показатель, так как в целом внешняя обстановка была неблагоприятной: увеличение конкурентов на рынке, связанное с открытием новых гостиниц, а также кризис в данной сфере, которой наблюдался во всем мире. Но, несмотря на это, достигнутые результаты позволили нам выплатить годовой бонус всем сотрудникам

)Показатели GSS. Мы закончили2011 год на 2 месте среди 87 гостиниц Марриот по всей Европе- это просто великолепный результат. по сравнению с 2010 годом мы улучшили данный показатель на 3 %, и я хотел бы выразить вам свою благодарность за достижение столь высокого результата. по результатам января 2012 года, мы также занимаем 2 место.

)Опрос мнения сотрудников . В 2011 году индекс общей удовлетворенности составил 97 %.

)Соответствие стандартам бренда. В 2011 году нам удалось улучшить свой показатель и достичь очень высокого результата- 87 %.

)Касательно нашего положения среди конкурентов, мы занимаем 2 место, но по показателям доле на рынке, мы упали на 1 %.

)Наши владельцы подтвердили реновацию ресторана " аврора", VIP гостиной. также мы планируем реновацию в гостевых номерах"... Берт Фол -генеральный менеджер гостиницы Moscow Marriott Royal Aurora

Менеджер зала чаще всего сталкивается с оперативными целями, такими как:

.ежедневное установление финансовых целей;

.детальный план действий;

.планирование количества сотрудников на смене;

.постановка целей и задач для персонала;

.распределение зон ответственности и т. д.

...но , помимо, оперативных целей существуют также тактические, например, создать команду, которая будет создавать атмосферу, где каждый человек сможет работать в соответствии с потребностями и желаниями клиентов, с четкими целями и высокими стандартами обслуживания, и стратегические, например, необходимость класса "Люкс занять конкурентную позицию среди гостиниц ".

Менеджеры гостиницы Moscow Marriott Royal Aurora для эффективности своей деятельности используют шесть шагов наставничества:

шаг. Создание мотивационной основы деятельности ( зачем, для чего, ради чего стоит выполнять задание, работу).Формирование психологического настроя.

шаг. Создание ориентировочной основы деятельности (Объяснить, что надо делать и каким образом).

шаг. Совместное действие ( наставник показывает, как надо делать, а ученик повторяет, подражает).

шаг. Пошаговый контроль и обратная связь.

шаг. Поэтапный контроль и обратная связь.

шаг. Контроль по результату и обратная связь.

марта2012года в гостинице Moscow Marriott Royal Aurora прошел аудит по стандартам бренда Марриот, результаты которого представлены в приложении ( рис. 1.1).

Но, следует отметить, что на протяжении всей практической деятельности автора, у менеджеров зала были выявлены наиболее часто допускаемые ошибки. Так, например, полностью отсутствует мотивационная основа, сотрудники выполняют работу не зная зачем это нужно делать. Также менеджеры недостаточно совершают поэтапный и пошаговый контроль, что ведет за собой разногласия в коллективе, ухудшение качества сервиса и предоставляемых услуг. Хотелось бы отметить, что слабо развита обратная связь, менеджеры лишь дают указания, не желая выслушать мнение сотрудника.

Автор строила свой анализ, исходя из официальных документов, предоставленных Moscow Marriott Royal Aurora, так и путем собственного наблюдения.

Действия менеджера для повышения эффективности в достижении поставленных целей.

Для эффективного функционирования поставленных целей менеджеру необходимо принимать правильные управленческие решения.

Каждое управленческое решение имеет свой конкретный результат, поэтому целью управленческой деятельности является нахождение таких форм, методов, средств и инструментов, которые могли бы способствовать достижению оптимального результата в конкретных условиях и обстоятельствах.

Автор проведя анализ, выяснила, что управленческие решения могут быть обоснованными, принимаемыми на основе экономического анализа и многовариантного расчета, и интуитивными, которые хотя и экономят время, но содержат в себе вероятность ошибок и неопределенность. Каждому менеджеру предприятия общественного питания следует основываться на достоверной, текущей и прогнозируемой информации, анализе всех факторов, оказывающих влияние на решения, с учетом предвидения его возможных последствий.

Проблема выбора руководителем решения - одна из важнейших в современной науке управления. Она предполагает необходимость всесторонней оценки самим руководителем конкретной обстановки и самостоятельность принятия им одного из нескольких вариантов возможных решений.

Рисунок 1.1

цель гостиница управление


Заключение

В современных экономических условиях немногие фирмы формулируют свою миссию, у них существует только одна цель - получение наибольшей прибыли при наименьших издержках. И руководство этих предприятий считает, что была бы прибыль, а всё остальное приложится. Как показала практика - правильно сформулированные цели предприятия это как минимум 70 % успеха его деятельности. Ведь цели предприятия определяют стратегию поведения фирмы и повышают ее конкурентоспособность .

В первой главе (пункт 1.5) была сформулирована глобальная цель предприятия и изучены подцели и задачи, которые необходимо выполнить для достижения глобальной цели с помощью метода построения дерева целей. Автор, проанализировав цели, стоящие перед Moscow Marriott Royal Aurora были выявил общие действия менеджера для повышения эффективности в достижении поставленных целей.

Управление по целям- это, прежде всего, повышение эффективности работы за счёт того, что каждый руководитель должен иметь чёткое представление как о своих целях, так и о целях организации в целом. Кроме того, необходимо учитывать, что управление по целям это трудоёмкий, сложный и длительный процесс, который даёт результат только там, где перед руководителями стоит задача вывести свое предприятие на высокий уровень. В противном случае цели превращаются в принудительные задачи, а любые перемены рассматриваются как нежелательные.

Таким образом, без выявления соотношений цели, средств достижения целей, оценки эффективности путей достижения целей нельзя решить проблему любой организации. Подводя итог курсовой работы, автор раскрыла сущность и значимость целевого управления. Без четкого формулирования целей нельзя комплексно решить ни одной проблемы, связанной с построением организации, с планированием их деятельности, оценкой эффективности. Проектирование целей организации является обязательным и важным этапом процесса проектирования общей системы управления.

Список использованной литературы:

1. Основы менеджмента: учебное пособие для начального. проф. образования В.Д. Сухов, С.В. Сухов, Ю.А. Москвичёв.- 2- издание, стер. - М. : издательский центр " Академия", 2006.- 192с.

. Менеджмент: учебное пособие ( коллектив авторов; под редакцией М 50 М.Л. Разу- М КНОРУС, 2010- 320 с. Среднее профессиональное образование.

. Гусева Е.П. МЕНЕДЖМЕНТ: Учебно-методический комплекс. Изд. центр ЕАОИ. 2008. - 416 с.

. Материалы, предоставленные Moscow Marriott Royal Aurora.

. Лекции по менеджменту- преподаватель колледжа « Царицыно» ,Полякова Ю.В.

Похожие работы на - Цели в системе управления

 

Не нашли материал для своей работы?
Поможем написать уникальную работу
Без плагиата!
Без нейросетей!