Проблемы поэтического перевода на примере поэзии абсурда

  • Вид работы:
    Реферат
  • Предмет:
    Английский
  • Язык:
    Русский
    ,
    Формат файла:
    MS Word
    145,43 Кб
  • Опубликовано:
    2012-04-17
Вы можете узнать стоимость помощи в написании студенческой работы.
Помощь в написании работы, которую точно примут!

Проблемы поэтического перевода на примере поэзии абсурда

Содержание

Введение

Глава 1. Проблемы поэтического перевода

Глава 2. Выбор метода перевода на примере поэзии абсурда

Заключение

Список использованной литературы

 

Введение

Поэзия нуждается не в анализирующем, а в верующем духе

Томас Маколей

Поэзия - высшая форма бытия национального языка. В поэтическом творчестве с наибольшей полнотой и концентрированностью выражается своеобразие исторического и культурного развития. Понять поэзию другого народа - значит понять другой национальный характер, эмоциональный мир другой культуры.

В поэзии слово стоит в ритмическом ряду стиха, и это ведёт к полному изменению его качеств: синтаксических, грамматических, лексических. " Искусство поэта-переводчика начинается с умения найти точку пересечения между подлинником и переводом, в большей степени искусство нести потери и допускать преобразования. Поэтому нельзя вступать в единоборство с иноязычной поэзией." (1)

Самое главное для переводчика стихов - знать в каждом конкретном случае, какие именно потери допустимы и в каком именно направлении можно преобразовывать текст и до каких пределов (такт, интуиция).

В характере этих преобразований сказывается индивидуальность поэта-переводчика, его отношение не только к осмысляемому и переводимому им тексту, но и к стоящему за этим текстом реальному миру, увиденному самим переводчиком. Сколько бы ни требовали от поэта-переводчика верности, точности, близости к оригиналу, - невозможно лишить его своего, единственно ему присущего мироощущения. За каждым переводческим действием стоит тот факт, что поэзия, существующая на том или ином языке, доводится до читателя, этим языком не владеющего.


Глава 1. Проблемы поэтического перевода

 

Переведенное стихотворение должно показывать то же самое время, что и оригинал

Юлиан Тувим

 

Проблемы развития науки о переводе.

Теория перевода, в том числе и поэтического произведения, - наука, находящаяся в стадии становления. До сих пор многие проблемы, связанные с ней, не решены и вызывают острые дискуссии. Возникшая первоначально как отрасль литературоведения к середине ХХ века теория перевода переориентировалась на лингвистику. Однако в последней трети ХХ в. многие переводоведы решительно заговорили о том, что, следуя по этому пути, наука о переводе зашла в тупик. Все настойчивее стала звучать мысль о необходимости преодолеть односторонность во взглядах на перевод. Австрийская исследовательница М.Снелл-Хорнби и близкие к ней ученые К.Райс, Г.И. Вермеер провозгласили в своих трудах "новую ориентацию". Теорию перевода они предлагают рассматривать как междисциплинарную науку - самостоятельную и многоперспективную по своему характеру. Дж.Холмс и группа ученых, сложившаяся на базе католического университета в Лёвене, тоже отстаивают междисциплинарный характер литературного перевода, однако считают, что теория художественного перевода должна рассматриваться как часть комплексной, системной науки о всемирном литературном процессе (иначе говоря, сравнительного литературоведения). Переводчик художественного текста не может рассматриваться как механический "переключатель" в процессе "перекодирования".

Перспективным направлением в развитии науки о переводе, которое могло бы способствовать преодолению ее односторонности, представляется обращение к теории "концепта", оперирующей на стыке лингвистики, литературоведения, культурологии, этнопсихологии и многих других наук.

Под "концептом" понимается некая "общая идея", закрепленная в ментальности, языке, психике и воспроизводящая картину мира и стереотипы поведения представителей того или иного этноса. Слово или действие становятся "концептом" только в процессе коммуникации, поскольку коммуникация приводит в движение "пучок" представлений, ассоциаций, переживаний, который сопровождает данное "ключевое" слово или действие.

"Ключевые слова" - вербальная форма концептов, составляющих концептосферу национального сознания. Они обращают на себя внимание частотностью употребления, всегда являются центром семейства фразеологических выражений, входят в пословицы, поговорки, названия популярных книг, фильмов.

Всякий этнос имеет в своем распоряжении огромное число концептов, сложившихся за период его существования, а, следовательно, и "ключевых слов" для их выражения. Среди ключевых для английской культуры можно назвать такие, как "stiff upper lip", "fair play", "gentleman", "home", "freedom", "common sense", "sence of humour". В то время как для русской культуры это: "воля", "душа", "судьба", "тоска", и др.

Задача переводчика художественного произведения, таким образом, состоит в том, чтобы проникнуть в суть "ключевых слов" культуры оригинала и суметь донести их смысл до своих читателей, сохранив, с одной стороны, национальный колорит оригинала, а с другой стороны, сделать восприятие перевода доступным для носителей совершенно иной национальной концептосферы. Кроме того, каждый отдельный автор и каждое отдельное произведение будут иметь собственную картину мира, которая строится на определенных "ключевых словах". Игнорирование этого уровня смысла тоже ведет к разрушению единства поэтического мира автора и искажает его восприятие иностранным читателем.

А.Блок отмечал, что "всякое стихотворение - покрывало, растянутое на остриях нескольких слов. Эти слова светятся, как звезды. Из-за них существует стихотворение". Понятно, что при переводе поэтического произведения с одного языка на другой нельзя не учитывать эти "опорные" - "ключевые" слова. Для этого переводчику требуется литературоведческая компетентность, так как о "наполненности" особым смыслом тех или иных слов произведения можно судить в полной мере только познакомившись с поэтическим миром автора.

Не меньшее значение при переводе имеют и те "опорные" - "ключевые слова", на острие которых, перефразируя Блока, "растянуто в тексте покрывало национальной концептосферы". Эти "ключевые слова", обращаясь к бессознательному читателя, принадлежащего к той же культуре, что и автор, создают дополнительные измерения в восприятии произведения. В то же время, переводчик, принадлежащий к другой культурной традиции, всегда рискует пройти мимо этих важных слов и, таким образом, "выхолостить" национальный дух оригинала. На этом уровне художественный перевод немыслим без сопряжения с этнолингвистикой, культурологией, психологией культуры, - науками, которые бурно развиваются в последнее время. Правда, справедливости ради стоит отметить, что оба уровня на практике, как правило, трудно разделимы, так как каждый поэт глубоко национален.

Переводчик стихов не может не быть поэтом. Это значит, что, в переводном стихотворении он создаёт поэтическое содержание, близкое или аналогичное тому, каким обладает оригинал. Поэтическое содержание - это не столько то, о чём в стихотворении говорится, сколько отношение поэта к тому, о чём говорится.

Воссоздавая средствами поэтической интонации отношение, нельзя быть равнодушным, то есть лишенным эмоционального отношения: нужно любить и ненавидеть, как сам поэт. Но поэт-переводчик создает вторичное искусство. Между ним и действительностью стоит словесное произведение, уже написанное другим, и достоинство перевода определяется не только тем, с какой яркостью переводчик увидит и прочувствует объект изображения, но и тем, в какой мере верно он прочитает пересоздаваемые им стихи, - ведь не сумев прочесть, он и увидеть ничего не сумеет. Правильно прочитать - это значит сделать по крайней мере полработы.

Подготовительная работа при переводе.

Переводу всегда должна предшествовать очень важная подготовительная работа: семантико-стилистический и художественный анализ подлинника, т.е. постижение его смысла, стиля и образности. Для этого требуется неоднократное прочтение оригинала со словарями и иными справочниками до тех пор, пока не будет до конца понято его содержание и стилистические особенности. Большое значение на этом этапе имеет знакомство переводчика с проблематикой переводимого материала. Стиль обусловлен характером и назначением текста, а также индивидуальной манерой письма автора.

Задача поэта-переводчика - воссоздать на другом языке поэтическое содержание произведения. Поэт-переводчик должен обладать точным музыкально-стилистическим слухом, - ведь в поэзии стилистические тона звучат с особой выразительностью. Небольшая ошибка, едва уловимый для глаза сдвиг, может вызвать катастрофу, т.е. полное искажение стилистической системы, а значит - коренное изменение поэтического содержания.

После того, как понято содержание, определены стилистические особенности текста, переводчик приступает непосредственно к переводу: подыскивает равнозначные функциональные соответствия и строит переводной текст.

Переводческие соответствия могут быть "дословными" или "недословными" в зависимости от меры совпадения и расхождения языков, участвующих в переводе, но они всегда должны быть функционально равнозначными, т.е. соответствовать подлиннику по смыслу, стилю, художественности, отвечать нормам языка перевода, учитывать внеязыковые факторы. Это удаётся не всегда. "Дословные" соответствия допускаются тогда, когда форма оригинала совпадает с формой языка перевода и не нарушаются принципы функциональности. Чаще всего переводчику приходится отступать от форм подлинника в силу грамматических, лексических расхождений языков и внеязыковых причин и создавать недословные функциональные соответствия.

Стремление перевести дословно в случаях объективных расхождений языков - копирование формы или словоупотребления оригинального текста на переводном языке - неизбежно ведёт к нарушению норм языка перевода, к затруднению понимания излагаемого, к искажению стиля и даже смысла оригинала. Подобная ошибка называется буквализмом. Метрический буквализм губителен для перевода стихов. " Метр в поэзии - один из элементов сложнейшего единства многочисленных факторов, которое называется стихом." (2) Воспроизведению в переводе подлежит не отдельно взятый элемент, а та функция, которая этому элементу присуща, иначе говоря, единство, в состав которого тот или иной элемент входит. Недопустимы также и отклонения от подлинника там, где для этого нет объективных оснований - они считаются вольностью.

Каковы общие пути нахождения соответствий? Существуют готовые, сложившиеся с течением времени и уже проверенные соответствия, которые переводчик либо знает, либо находит в словаре.

В памяти опытного переводчика достаточно таких соответствий, и это помогает ему, во-первых, быть точным, во-вторых, экономит время. Подбор соответствий начинается с определения значения слова в данном контексте. В подлиннике есть слова, значение которых не зависит от контекста (отрезка текста или речи, где они употреблены), и слова, значение которых обуславливается контекстом. К первым относятся некоторые слова (обиходные) и реалии, термины, названия растений и животных, географические названия, имена собственные. Это слова однозначные, имеющие постоянное, зафиксированное, как правило, в двуязычном словаре соответствие, которое и следует использовать в переводе. Однозначными, имеющими постоянные соответствия, бывают не только отдельные слова, но и целые обороты и группы слов: некоторые фразеологические словосочетания, названия учреждений, устойчивые обороты.

Когда значение переводимого слова определено, то оно может передаваться в языке перевода разными словами, принадлежащими одному синонимическому ряду. Из них следует выбрать такое, которое выражало бы это значение наиболее верно и точно. Оно и будет искомым.

В каждом языке вырабатываются своеобразные устойчивые сочетания, которые являются по своей сути фразеологическими единицами (ФЕ), обладают полной завершенностью и в редких случаях не нарушаются введением дополнительных слов или подстановкой одного из компонентов.

Мы также отметим, что ФЕ занимают едва ли не первое место в "школе непереводимости". Так, теоретик Я.И. Рецкер посвятил фразеологическим единицам большую главу в своей книге, отмечая, что "переводчик должен уметь самостоятельно разбираться в основных вопросах теории фразеологии, уметь выделять фразеологические единицы, раскрывать их значение и передавать их экспрессивно-стилистические функции в переводе"(3).

Распознавание ФЕ в тексте подлинника требует самостоятельного рассмотрения, поскольку большая часть неудач в переводе обуславливается именно "не узнаванием их в лицо".

Следующей проблемой является трудность восприятия, понимания уже распознанной единицы. Но основной причиной всех этих трудностей и ошибок в первую очередь является недостаточное владение языком оригинала. Существует ряд возможностей в достижении полноценного перевода ФЕ, которые в основном зависят от соотношений между единицами языка оригинала и языка перевода:

. ФЕ в переводе представляют собой не зависящее от контекста полноценное соответствие, то есть фразеологизм передаётся полным лексико-семантическим эквивалентом (ФЕ языка оригинала =ФЕ языка перевода).

. При переводе возможны некоторые отступления, то есть фразеологизм переводится вариантом (ФЕ языка оригинала ~ ФЕ языка перевода).

. Когда перевод ФЕ не имеет ни аналогов, ни эквивалентов, то фразеологизмы передаются нефразеологическими средствами (ФЕ языка оригинала = ФЕ языка перевода).

Проблемы адекватности поэтического перевода.

Когда мы говорим о переводе литературного, а особенно - поэтического текста, то сталкиваемся с проблемой адекватности перевода оригиналу: насколько полно перевод передает смысл, красоту, поэтические особенности, подтекст оригинала? Это во многом зависит от того, какую задачу ставил перед собой переводчик, насколько глубоко он сам понимает произведение, которое переводит. Исследования проблем адекватности перевода, как правило, выявляют невозможность переводить с одного языка на другой без грамматических трансформаций (например, перестройка предложений, то есть изменение его структуры и разного рода замены, касающиеся как синтаксиса так и морфологии).

Что такое адекватный перевод? Чтобы ответить на этот вопрос, нужно сначала понять, что же включает в себя собственно художественное стихотворение. Как и любой другой текст, оно состоит из "означающего" и "означаемого", проще говоря, из формы и содержания.

Стихотворная форма предполагает наличие ритма, в подавляющем большинстве случаев - системы рифмовки. Совокупность этих факторов придает стихотворению некую художественную красоту и эстетическую ценность.

Стиль, в котором написано стихотворение, играет одну из важнейших ролей в художественном произведении. Он, а также совокупность тропов, создают необходимое настроение. Оно также может выражаться через интонации автора, обозначаемые в тексте пунктуацией (по этой причине мы можем отнести их к форме стихотворения).

Содержание же художественного произведения не ограничивается текстом. Не менее важную роль играет и то, что автор не говорит напрямую: подтекст, скрытый смысл. Это и есть то, что в действительности хотел рассказать автор читателю.

Подтекст как таковой существует благодаря неоднозначности знака (слова, словосочетания, ситуации и т.д.) и вариативности его толкования. Значительную роль, например, играют синонимия и омонимия знака и их сочетания.

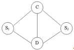
Знак (S)- материальный объект, которому при определенных условиях соответствует некое "значение", которое может быть чем угодно.

Денотат (D)- совокупность обозначаемых знаком объектов.

Концепт (C)- это, с одной стороны, информация, которую несет знак, а с другой - сумма знаний об обозначаемом этим знаком объекте.

Омонимия - совпадение знаков, обозначающих различные сущности.


Синонимия - два различных знака соотнесены с одним и тем же денотатом



Но зачастую невозможно правильно понять подтекст, не изучив тщательно контекст - ту ситуацию (от какого-либо случая в жизни автора и до его общего культурного уровня и жизненного опыта в целом), благодаря которому знак приобретает дополнительное значение. Самый элементарный пример - имена и топонимы в произведении. В большинстве случаев использование автором того или иного названия отнюдь не случайно, и для понимания произведения на более глубоком смысловом уровне требуется по крайней мере комментарий.

Таким образом, содержание состоит из контекста, текста и подтекста.

Всю эту общую структуру художественного стихотворения можно выразить в следующей схеме:


Комбинируя все эти факторы, автор, невольно или намеренно, создает определенное настроение и вызывает у читателя различные чувства. Поэтому адекватный перевод стихотворения - это перевод не каждой смысловой единицы по отдельности, а его значения в целом, сохраняющий оригинальную красоту оригинала и тот эффект, которого хотел достичь автор.

Поэтический перевод обязан стать живым близнецом оригинала и активно включиться в полнокровный литературный процесс на языке перевода. Естественно, что во имя этой цели - сохранения того главного, ради чего и существует поэзия, то есть сохранения и воспроизведения самостоятельной поэтической ценности - переводчик обязан жертвовать близостью в деталях второстепенных.

Ни один перевод никогда не передаст всей полноты оригинала. Поэтому существуют различные школы и методы перевода, которые рассматривают стихотворение с разных сторон и сосредотачиваются на разных его аспектах. Некоторые переводчики делают акцент на форме и жертвуют при этом стилем, тропами и т.п. для сохранения ритма, рифмы и количества строк в стихотворении. Другие стремятся как можно ближе передать содержание, теряя при этом всю художественную ценность стихотворения.

Можно стилизовать перевод под различные эпохи развития литературы или под ее различные направления. Есть также и метод функционального перевода, когда те чувства и ассоциации, которые должен был вызвать оригинал, передаются с помощью поиска функциональных эквивалентов языка перевода.

Таким образом, можно выделить несколько основных направлений перевода художественного стихотворения:

.        буквальный (подстрочник, в некоторой степени подогнанный под стихотворную форму)

.        художественный (цель перевода -- сохранение красоты и образности оригинала)

.        формалистический (строгое следование ритмике, системе рифмовки и строфике оригинала)

.        функциональный (поиск культурных и языковых эквивалентов и аналогов)

При таком подходе перевод поэзии максимально приближается к собственно творчеству, а оригинал играет роль импульса этого творчества, но не становится той первоосновой, которую переводчик должен проявить в переводном тексте.

Строгие ограничения, налагаемые на поэтический перевод в силу специфики самого жанра, т.е. необходимость передать не только содержание, но и ритмико-мелодическую и композиционно-структурную сторону подлинника, большая зависимость поэтического произведения от особенностей языка, на котором оно написано, - все это делает перевод поэзии одной из наиболее трудных областей переводческой деятельности. Но именно этот аспект поэтического перевода как нельзя лучше характеризует все переводческие трудности и способы их разрешения на лексико-стилистическом плане выражения.

Основным достаточным качеством переводчика в данном случае остается его собственная одаренность - чувство языка, поэтический талант, филологическое чутье. Однако такой подход чреват полной потерей стилистических и смысловых особенностей оригинала. Таким образом, перевод стихотворения зачастую имеет с оригиналом так мало общего, что начинает жить как самостоятельный текст, созданный "на основе" или "в стиле" исходного.

Методы перевода.

Оригинал:

Drake is going west, lads So Tom is going East But tiny Fred Just lies in bed, The lazy little beast.

1. Подстрочник:

Дрейк идет на запад, парни, Поэтому Том идет на восток. Но маленький Фрэд Просто валяется в постели, Ленивое маленькое существо.

. Буквалистский перевод:

Дрейк идет на запад, парни, Том шагает идет на Восток. А крошка Пит Все время спит, Ленивый дурачок.

. Стилизованный перевод (вольный перевод в греческом стиле).

Дрейк избирает ту сторону нашего сущего мира, Где с колесницей своею скрывается Гелиос светлый --  Стопы свои он навеки на западный путь направляет; Том же, проведав об этом разумнейшем Дрейка решеньи, Взгляд устремил на восток и тотчас же в дорогу собрался, В сторону ранней зари устремляется путь его долгий: Внемлите же и запомните это, о юные мужи: Фрэд был годами своими доселе не столь умудренный, Славен же леностью был он своей во всех сторонах света, Денно и нощно в бездействии время проводит на ложе, Тем не снискав ни богов с мудрецами к себе одобренья.

В поэтическом тексте традиционно выделяют три аспекта - смысловой, стилистический и прагматический.

Смысловой пласт - это фактуальная информация.

Стилистический представлен неповторимым авторским поэтическим языком.

А прагматикой текста, по сути, является то воздействие, которое текст оказывает на читателя.

Создать такой поэтический перевод, в котором бы в равной степени присутствовали все три плана оригинала, невозможно в силу культурно-исторических, ментальных, да, наконец, очевидных языковых различий.

Это и приводит многих переводчиков и исследователей к мысли о принципиальной невозможности существования адекватного поэтического перевода. Тем не менее, каждая национальная литература (в особенности русская) не смогла обойтись без влияния своих коллег. Более того, именно поэтические переводы Жуковского, Крылова, Пушкина, Лермонтова и многих других сформировали самобытную русскую поэзию так называемого Золотого века русской литературы.

Известный переводчик М. Лозинский считает, что переводя иноязычные стихи на свой язык, переводчик также должен учитывать все их элементы во всей их сложной и живой связи, и его задача - найти в плане своего родного языка такую же сложную и живую связь, которая по возможности точно отразила бы подлинник, обладала бы тем же эмоциональным эффектом. Таким образом, переводчик должен как бы перевоплотиться в автора, принимая его манеру и язык, интонации и ритм, сохраняя при этом верность своему языку, и в чем-то и своей поэтической индивидуальности. Необходимо помнить, что перевод выдающегося литературного произведения сам должен являться таковым.

Переводчик должен установить функциональную эквивалентность между структурой оригинала и структурой перевода, воссоздать в переводе единство формы и содержания, под которым понимается художественное целое, то есть донести до читателя тончайшие нюансы творческой мысли автора, созданных им мыслей и образов, уже нашедших свое предельно точное выражение в языке подлинника.

Существует два основных типа стихотворных переводов:

·        Перестраивающий (содержание, форму);

·        Воссоздающий - т.е. воспроизводящий с возможной полнотой и точностью содержание и форму.

И именно второй тип считается почти единственно возможным. Но содержание не может существовать до тех пор, пока для него не найдена нужная форма.

Форму стихотворения составляет комплекс взаимосвязанных и взаимодействующих элементов, таких, как ритм, мелодия, архитектоника, стилистика, смысловое, образное, эмоциональное содержание слов и их сочетаний. Формальная структура стихотворного произведения служит основой для создания его ритма, который считается самым глубинным, самым мощным организующим началом поэзии.

В основе классической системы стихосложения заложено понятие метра (или размера) - канонически заданной схемы соотношения стоп, их характера и количества, независимой от конкретных ритмических вариаций. Метр членит речевой поток на четко ограниченные паузами и соизмеримые между собой отрезки - строки или стихи. Как правило, стихотворение выдерживается в одном и том же размере, однако строгие формулы стихотворного размера могут подвергаться некоторым модификациям конкретного словесного материала, входящего в стихотворную строку. Одной из таких модификаций является пиррихий - стопа, потерявшая требуемое размером ударение из-за того, что на нее пришлось либо безударное служебное слово, либо безударные слоги многосложного слова. Пиррихий придает стихотворной речи естественное живое звучание.

Английский язык в основном моносиллабический, в нем гораздо больше односложных слов, чем в русском языке. Поэтому английская стихотворная строка вмещает больше слов, и, следовательно, мыслей, понятий, художественных образов. Этот фактор также влияет на ритм, и его необходимо учитывать в переводе.

Однако практика показывает, что даже соблюдение всех или почти всех формальных элементов в переводе не делает его адекватным.

перевод стихотворный поэзия абсурд

Глава 2. Выбор метода перевода на примере поэзии абсурда

Выясним, какой из методов перевода наиболее подходящий для перевода английской поэзии абсурда на русский язык.

Поэзия абсурда принципиально отличается от других направлений художественной литературы тем, что в самом ее тексте отсутствует формальная, привычная человеку причинно-следственная логика. Ее также нет в связи между текстом и подтекстом. И, тем не менее, именно в поэзии абсурда они связанны наиболее тесно. Благодаря ассоциативным цепям, берущим свое начало в тексте стихотворения, читатель понимает подтекст, а в некоторых случаях - через контекст:


За счет контраста между означающим и означаемым в поэзии абсурда создается неожиданный комический эффект: язык изложения оказывается абсолютно неадекватным ситуации, которую он описывает. Ярким примером такого контраста являются лимерики Лира.

Вот некоторые из них:

There was an Old Lady of Certsey, Who made a remarkable curtsey; She twirled round and round Till she sank underground, Which distressed all the people of Certsey.was an old man with a nose, Who said: "If you choose to suppose That my nose is too long, You are certainly wrong!" That remarkable man with a nose.

Здесь абсолютно нормальным и непринужденным английским языком описана совершенно абсурдная ситуация, что и придает комизм этим лимерикам.

Рассмотрим стихотворение из сказки Л.Кэрролла "Алиса в стране чудес" в разных переводах.

Оригинал:

I passed by his garden, and marked, with one eye, How the Owl and the Panther were sharing a pie: The Panther took pie-crust, and gravy, and meat, While the Owl had the dish as its share of the treat.the pie was all finished, the Owl, as a boon, Was kindly permitted to pocket the spoon: While the Panther received knife and fork with a growl, And concluded the banquet -

Итак,

·        стихотворение имеет четкую синтаксическую структуру: 2 четверостишия - 2 предложения, каждая первая строчка четверостишия оканчивается запятой, вторая-двоеточием, третья - снова запятой. На конце четвертой строки первого четверостишия стоит точка, следовательно, логическое завершение неоконченной последней строки стихотворения - утвердительное предложение;

·        это утвердительное предложение должно само додумываться читателями. Для этого все рифмы стихотворения - парные и точные, поэтому последняя не должна оставлять никаких сомнений у читателей (growl-(Owl)).

·        словесная перекличка sharing - share дополняет языковую шутку "делили пирог - блюдо - часть пирога".

·        стилистическая особенность этого стихотворения, прочитанного Алисой, в том, что оно рассказывает совершенно нелепую историю совершенно взрослым языком. Такой прием несоответствия распространен в поэзии абсурда для достижения комического эффекта.

Для того, чтобы сравнивать несколько переводов одного произведения, нужно для начала выявить критерии для их сравнения. В данном случае такими критериями будут являться функциональные изменения в переводе, касающиеся как формы, так и содержания стихотворения (или их отсутствие):

.        Изменения имен собственных (какие, зачем)

.        Изменения сюжета (какие, зачем)

.        Изменения стиля (какие, зачем)

.        Изменения интонаций автора (какие, зачем)

.        Сохранение языковых шуток

.        Изменения формы (системы рифмовки, кол-ва строк и т.п.)

.        Вывод об особенностях перевода

В таблице приведено сравнение следующих переводов: Щербакова, Набокова, Нестеренко, Орловской( при переводе остального, прозаического текста "Алисы" Демуровой), Старилова и Заходера.


Щербаков

Набоков

Нестеренко

Орловская

Старилов

Заходер

Изменения имен

---

---

---

+

---

+

---

---

---

---

+

+

Изменения стиля

+

---

±

+

+

 ---

Изменения интонаций автора

+

---

---

±

+

+

Языковые шутки

+

 ---

±

±

---

±

Изменение формы

---

+

---

---

+

+

Табл.1

Перевод Щербакова:

Сад его зарос бурьяном: как он пышен и высок! Там Сова с Пантерой делят запеканочки кусок.

И начиночка и корочка пойдут Пантере в пасть, А Сова берет все блюдо -- все, заметьте, а не часть.

В память об удачном деле друг-Сова награждена, Друг-Сова награждена, ложка ей присуждена.

Вилку-нож берет Пантера, мигом пир кончает свой  И, подумав, заедает запеканочку…

Здесь стиль претерпел значительные изменения. Большое кол-во уменьшительно-ласкательных форм (где в оригинале нет ни намека на них, насколько это возможно в английском языке), обращения к читателю и такие формы, как "вилка-нож" и "Друг-Сова" напоминают частушку.

Если в оригинале это стихотворение - последовательное повествование без каких-либо акцентах на деталях, то в переводе Щербакова есть такие выдуманные для рифмы и ритма фразы, как "Как он пышен и высок" и акцент "заметьте".

Возможно, этот акцент помогает автору выделить языковую шутку, связанную со словом "блюдо" ( блюдом можно назвать как посуду, так и все угощение в целом). Последняя строка оборвана, как и в оригинале, и конец стихотворения додумывается читателем.

Таким образом, перевод можно считать адекватным, несмотря на то, что он многое теряет из-за изменений стиля: манера повествования, в которой изложена история, производит совершенно другое впечатление и вызывает совсем другие ассоциации.

Перевод Набокова:

"Я видел,-- сказал он, --как, выбрав лужок, Сова и пантера делили пирог: Пантера за тесто, рыча, принялась, Сове же на долю тарелка пришлась. Окончился пир - и сове, так и быть, Позволили ложку в карман положить. Пантере же дали и вилку, и нож. Она зарычала и съела --- кого ж?"

Здесь изменений имен собственных нет. Однако, в набоковском переводе сова и пантера перестают быть именами собственными, таким образом, стихотворение теряет часть своей комичности и смысла.

Четкая система рифмовки передана, но она уже не несет той функции, что в оригинале.

Единственный перевод, в котором есть перегласовка "sharing"-"share": здесь "делили пирог"-"на долю тарелка пришлась". Но это и единственный перевод (кроме Заходеровского), в котором не сохранена незаконченность последней строчки. Дописывая ее сам, переводчик упускает тот эффект, на который рассчитывал автор.

Перевод удачен в плане сохранения стиля, и это компенсирует завершенность последней строчки.

Перевод Нестеренко:

Я в саду его видел, даю вам зарок, Как Сова и Пантера делили пирог: Мигом съела Пантера пирог со стола,  А Сове только блюдце пустое дала. И в придачу была еще ложка одна, Как великая милость, Сове отдана; А Пантере нож с вилкой достались сперва, Ну а после уже, на закуску --…

Здесь в стиле перевода есть изменения по сравнению с оригиналом: такие слова, как "мигом", "в придачу", "сперва" придают стихотворению немного сказочную окраску, отчего теряется эффект несоответствия.

Из языковых шуток не сохранена перегласовка "sharing"-"share".

Незаконченность последней строчки сохранена, как и в оригинале.

Перевод Орловской:

Шел я садом однажды и вдруг увидал, Как делили коврижку Сова и Шакал. И коврижку Шакал проглотил целиком, А Сове только блюдечко дал с ободком. А потом предложил ей: "Закончим дележ - Ты возьми себе ложку, я - вилку и нож." И наевшись, улегся Шакал на траву, Но сперва на десерт проглотил он…

Здесь вместо Пантеры выступает Шакал.

Переводчице не удалось сохранить тот "взрослый" стиль повествования оригинала, отчего потерялся эффект несоответствия.

Интонации автора изменены незначительно: если в оригинале повествование ведется непринужденным тоном, то в переводе "вдруг" создается эффект неожиданности.

Неполная последняя строчка остается, но перегласовки "sharing"-"share" нет.

Перевод Старилова:

Я шла через садочек И заметила одним глазочком, Как Сова и Пантера делили пирожочек. И на этом закончился балет.

Это четверостишие - абсурд, только в гораздо более примитивной форме, чем у Кэрролла. Вероятно, переводчик хотел передать волнение Алисы с помощью неуверенной, несвязной и нелогичной речи. Возможно, это стихотворение и вписывается в контекст остального перевода. Однако, в сущности, это четверостишие нельзя назвать переводом. Оно предельно далеко от оригинала, не передает ни смысла, ни эффекта, который хотел произвести автор. Данный перевод является ярким примером того, как переводчик берет оригинал как начальную точку отсчета для собственного творчества.

Перевод Заходера:

Математик и Козлик Делили пирог. Козлик скромно сказал: --Раздели его вдоль! --Тривиально!- сказал Математик.-  Позволь, Я уж лучше его разделю поперек!- Первым он ухватил Первый кус пирога. Но не плачьте, Был тут же наказан порок: "Пи" досталось ему (А какой в этом прок?!) А козленку… Козленку достались Рога!

Данный перевод - яркий пример функционального перевода. Заходер воспроизвел эффект комичности с помощью аналогов, воспринимаемых на русском языке. Сова (в английском языке, вероятно, ассоциирующаяся с чем-то несообразительным и заторможенным) заменена Козленком, а хитрая и двуличная Пантера - Математиком. Контраст заумной речи второго и нелепости происходящего, который сумел воссоздать Заходер, адекватно передает сам принцип поэзии абсурда.


Заключение

Как видим, Б.Заходер воспользовался методом функционального перевода и таким образом передал и контраст формы и содержание, и подтекст стихотворения. Это нам дает возможность предположить, что метод функционального перевода наиболее адекватен для перевода поэзии абсурда.

Как видно, функциональный перевод может очень далеко отойти от буквального перевода оригинала. Из этого можем сделать следующий вывод: наиболее адекватным методом перевода поэзии абсурда является поиск языковых эквивалентов и контекстуальных аналогов при одновременном соблюдении контраста формы и содержания для наиболее точной передачи подтекста (функциональный перевод), что может привести к большому внешнему различию перевода и оригинала.


1.      Комиссаров В.Н. "Общая теория перевода." М.: изд-во МГУ, 1999.

.        Л.Кэрролл. Приключения Алисы в Стране чудес. Перевод Щербакова. М.,1977

.        Л.Кэрролл. Аня в стране чудес. Перевод В.Набокова. М.,1991

.        Мир бессмыслиц: Лимерики:старые и новые

.        Поэтика перевода. М.,1988

6.      L.Carrol. Alice in Wonderland & Through the looking glass. М., 2003

7.      <http://orus.slavica.org/node/1734>

.        <http://www.napcom.ru/stihotv.htm>

Ссылки:

9. Гончаров И.Д. "Поэтика перевода." М.: "Радуга", 1988, с.95

. Словарь литературоведческих терминов. Ред.состав: Л.Н.Тимофеев, С.В.Тураев, М.Просвещение,74

. Рецкер Я.Н. "Теория перевода и переводческая практика" М.1983, с.145


Не нашли материал для своей работы?
Поможем написать уникальную работу
Без плагиата!
Без нейросетей!