Статистика численности и состава пенсионеров Амурской области
КУРСОВАЯ
РАБОТА
Статистика
численности и состава пенсионеров Амурской области
по дисциплине: «Статистика»
Содержание
Введение
1. Теоретические основы
численности и состава пенсионеров
1.1 Понятие, сущность и виды пенсий.
Категории пенсионеров
.2 Статистические методы изучения
численности и состава пенсионеров
2. Статистический анализ
численности и состава пенсионеров в Амурской области за 2000-2009 годы
2.1 Анализ динамики численности пенсионеров
2.2 Анализ структуры пенсионеров в Амурской области
2.3 Группировка городов и районов
Амурской области численности пенсионеров за 2009 год
2.4 Анализ численности и состава
пенсионеров с помощью расчёта средних величин и показателей вариации
.5 Корреляционно-регрессионный
анализ численности пенсионеров Амурской
области
.6 Индексный анализ численности
пенсионеров и среднего размера назначенных пенсий в Амурской области за
2008-2009 гг.
.7 Факторный анализ численности
пенсионеров Амурской области
.8 Расчет и анализ специальных
показателей по теме «статистика численности и состава пенсионеров Амурской
области»
Заключение
Библиографический список
Приложение А
Приложение Б
Приложение В
Приложение Г
Введение
Социальное обеспечение занимает одно
из ключевых, определяющих мест в жизни государства и общества. Определяющей
функцией социального обеспечения является поддержание социального статуса
гражданина при наступлении различных социальных рисков путем предоставления
различных видов материального обеспечения, социальных услуг с целью поддержания
достойного уровня жизни и предупреждения обнищания. Другими словами социальное
обеспечение - это распределение пенсий, пособий и предоставление социальных
услуг нетрудоспособным и приравненным к ним категориям граждан по постоянно
действующим основаниям, нормам и правилам, определенным общефедеральным
законодательством. Основным источником денежного дохода пенсионера является
пенсионное обеспечение и социальная поддержка Правительства РФ. В настоящее
время завершаются разработки новой концепции пенсионного обеспечения с учетом
международных стандартов, сформировавшихся в условиях рыночной экономики.
Создается трехуровневая пенсионная система: два первых уровня государственных
пенсий - базовые пенсии по старости или нетрудоспособности и трудовые
(страховые) пенсии. Третий уровень - негосударственные пенсии (профессиональные
или добровольные), выплачиваемые за счет взносов работодателей и работников.
Вводится персонифицированный учет страховых взносов. При этом основным
принципом функционирования пенсионной системы остается соразмерность условий и
норм пенсионного обеспечения с экономическими возможностями государства и
численностью экономически активного населения. Пожилые люди наиболее остро
реагируют на экономические реформи, проводимые в стране. Они испытывают ряд проблем:
низкий уровень материального положения, ухудшающееся здоровье, сложности с
медицинским обслуживанием, ухудшение психологического климата в обществе и
другие. Социально-экономическая ситуация выдвигает для этой группы населения на
первый план проблемы материального и экономического характера и связанные с
ними возможности удовлетворения основных потребностей в питании, жилье, одежде,
медицинском обслуживании, а следовательно, проблемы состояния здоровья,
продолжительности жизни. В связи с разнообразием категорий пенсионеров в
Российской Федерации, а также проведением пенсионной реформы, целью данной
курсовой работы является статистическое изучение численности и структуры
пенсионеров Амурской области. Руководствуясь этой целью необходимо решить следующие
задачи:
· рассмотреть теоретические и методологические
аспекты статистического анализа численности и состава пенсионеров;
· изучить системы показателей
статистики численности и состава пенсионеров;
· провести статистический анализ
численности и состава пенсионеров Амурской области (динамика, структура, анализ
численности и состава пенсионеров с помощью расчета средних величин и
показателей вариации, корреляционно-регрессионный анализ, индексный анализ,
факторный анализ);
· осуществить группировку городов и
районов Амурской области по численности пенсионеров за 2009 год;
· рассчитать прогноз численности
пенсионеров области;
· произвести расчет специальных
показателей по теме курсовой работы.
Объектом исследования работы является население
Амурской области, а в частности, пенсионеры. Объектом исследования в курсовой
работе является статистика численности и состава пенсионеров Амурской области.
Предмет - методы статистического анализа,
позволяющие оценить динамику, структуру изучаемого объекта и его связь с влияющими
на него факторами.
1. Теоретические основы численности
и состава пенсионеров
.1 Понятие, сущность и виды пенсий.
Категории пенсионеров
Пенсионное обеспечение - это область социального
обеспечения, которая является наиболее распространенной.
Пенсионное обеспечение является одним из видов
обязательного (государственного) социального страхования. Обязательный характер
данного вида страхования выражается, во-первых, в обязательности страховых
платежей; во-вторых, в государственном контроле за правильностью и
своевременностью поступления платежей; в-третьих, в обеспечении трудящихся
определенными видами социальной помощи на условиях и по нормам, установленным
федеральным законодательством.
Функционирование пенсионной системы
обеспечивается в основном за счет средств федерального Пенсионного фонда,
который относится к внебюджетным кредитно-финансовым системам.
Главный источник дохода пожилых граждан России -
это пенсия.
Объектом статистического наблюдения (в рамках
задач социальной статистики) является, прежде всего, численность пенсионеров -
общая и по видам назначаемых пенсий, характеризующая охват пенсионной системой
населения страны.
К пенсионерам относятся лица,
реализовавшие право на получение пенсии в соответствии с законодательством
Российской Федерации и межгосударственными соглашениями, постоянно проживающие
в Российской Федерации.
На сегодняшний день в России существует два
основных закона, регулирующие вопросы предоставления пенсий гражданам. Это
закон «О трудовых пенсиях в России» №173-ФЗ и «О государственном пенсионном
обеспечении в Российской Федерации» №166-ФЗ.
По этим законам граждане Российской Федерации
имеют право на получение пенсий двух видов: трудовой пенсии и государственной
пенсии
По российским законам трудовая пенсия является
компенсацией гражданам заработной платы или иного дохода, которые они получали
перед установлением им пенсии либо утратили нетрудоспособные члены их семьи в
связи со смертью этих лиц.
Согласно закону «О трудовых пенсиях», эти пенсии
могут быть трех видов:
- по старости;
- по инвалидности;
- по случаю потери кормильца.
Трудовая пенсия по старости назначается при
достижении верхней границы трудоспособного возраста, которая составляет в
настоящее время в России 60 лет для мужчин и 55 лет для женщин, и наличие
трудового стажа не менее 25 лет для мужчин и 20 лет - для женщин. В соответствии с действующим законодательством
верхняя граница трудоспособного возраста снижена для отдельных категорий
трудящихся: в связи с особыми условиями труда; в связи со льготами пенсионного
обеспечения лиц, подвергшихся воздействию Чернобыльской аварии; для лиц,
проживающих в районах Крайнего Севера и др.
Особым видом трудовых пенсий является пенсия за
выслугу лет. Она назначается, как правило, независимо от достижения пенсионного
возраста тем лицам, чья профессиональная деятельность в течение длительного
времени связана с риском преждевременного профессионального старения. Круг
работников, которым начисляется пенсия данного вида, достаточно широк и потому
является объектом статистического наблюдения.
Право на трудовую пенсию по инвалидности
получают люди, имеющие по медицинским показаниям ограничения к трудовой
деятельности I, II или III степени. Федеральным законом инвалидом признается
лицо, которое имеет стойкое нарушение здоровья в связи с расстройством функций
жизнедеятельности организма вследствие заболеваний, травм и других дефектов,
нуждается в социальной помощи и защите. Ограничение жизнедеятельности
выражается в полной или частичной потере способности или возможности осуществлять
самообслуживание, передвижение, ориентацию, общение, контроль за своим
поведением, а также трудовую деятельность.
Трудовая пенсия по случаю потери кормильца
назначается нетрудоспособным членам семьи умершего кормильца, состоявшие на его
иждивении.
Наряду с трудовыми пенсиями Законом Российской
Федерации «О государственных пенсиях в Российской федерации» предусмотрены и
социальные пенсии.
Право на пенсию по государственному
пенсионному обеспечению имеют:
· федеральные государственные
гражданские служащие;
· военнослужащие;
· участники Великой Отечественной
войны;
· граждане, награжденные знаком
"Жителю блокадного Ленинграда";
· граждане, пострадавшие в результате
радиационных или техногенных
катастроф;
· граждане из числа космонавтов;
· граждане из числа работников
летно-испытательного состава;
· нетрудоспособные граждане.
Все государственные пенсии делятся на 4 вида:
. Пенсия за выслугу лет;
. Пенсия по старости;
. Пенсия по инвалидности;
. Социальная пенсия.
Государственная пенсия за выслугу лет назначается
федеральным государственным служащим и военнослужащим.
Право на государственную пенсию по старости
имеют граждане, пострадавшие в результате радиационных и техногенных катастроф.
Государственная пенсия по инвалидности
назначается, военнослужащим, участникам Великой Отечественной войны и
гражданам, пострадавшим в результате радиационных и техногенных катастроф.
Социальная государственная пенсия назначается
нетрудоспособны гражданам.
В качестве минимального социального норматива,
гарантированного государством в области пенсионного обеспечения, выступает
минимальная пенсия, под которой понимается минимальная денежная сумма с учетом
компенсационных выплат в связи с ростом потребительских цен, получение которой
гарантировано населению государством на условиях, предусмотренных пенсионным
законодательством.
Федеральным законом о государственных пенсиях
установлен и верхний предел размера пенсии, назначенной за счет выплат из
федерального пенсионного фонда, т.е. максимальный размер пенсии с учетом компенсационных
выплат в связи с ростом потребительских цен, получение которой гарантировано
государством на условиях, предусмотренных пенсионным законодательством.
1.2 Статистические
методы изучения численности и состава пенсионеров
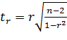
Ряды динамики
характеризуют изменение показателя во времени. Каждый ряд динамики состоит из
двух элементов: периодов (моментов) времени и уровней. Для расчета показателей
динамики используются следующие формулы:
Абсолютный прирост (∆y)
- вычисляется как разность между последующим уровнем ряда (yi)
и предыдущим (или базисным) (yi-1(y0)).
∆yц(б)
= yi - yi-1(y0)
(1)
Темп роста (Тр) - это отношение двух уровней
ряда:
цепной темп роста:

(2)
базисный темп роста:

(3)
Темпы прироста (Тпр) характеризуют абсолютный
прирост в относительных величинах:

(4)
Абсолютное значение одного процента
прироста (А1%) равно отношению абсолютного прироста цепного к темпу прироста
цепному:
(5)
Обобщающим показателем скорости изменения
явления во времени является средний абсолютный прирост (Δȳ).
Δ
(6)
где n - число
периодов
Обобщающей характеристикой интенсивности
изменения уровней ряда динамики служит средний темп роста. Средний темп роста
исчисляется по формуле средней геометрической из цепных коэффициентов роста:

(7)
Средний темп прироста можно (
) определить
на основе взаимосвязи между темпами роста и прироста.

(8)
Основную тенденцию изменения численности
пенсионеров Амурской области выявляем методом аналитического выравнивания. Для
этого пользуемся уравнением прямолинейной функции:

(9)
где a0, a1 -
параметры прямой;
t -
показатель времени.
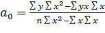
Для нахождения параметров a0
и a1 необходимо решить
систему нормальных уравнений:
(10)
Параметры a0
и a1 можно исчислить с
помощью определителей по формулам:

(11)

(12)
Приведённые формулы показывают, что
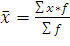
для нахождения параметров а0 и а1 необходимо получить следующие значения: ∑y, ∑t, ∑t2, ∑yt.
Анализ структуры
населения, получающего пенсию в Амурской области проводится с помощью расчета
относительных показателей:

(13)
где fi - часть
единиц совокупности;
- численность единиц совокупности в
целом.
Для того, чтобы провести группировку городов
и районов Амурской области по проживающим в них пенсионерам, необходимо
воспользоваться следующим рядом формул:

- формула Стерджесса
(14)
где n -
оптимальное количество групп;
N - число
единиц в совокупности.
Для определения интервалов
группировки и формирования границ групп необходимо рассчитать шаг или величину
интервала (h):
(15)
где xmax и xmin -
максимальное и минимальное значение признака.
Для проведения анализа пенсионного обеспечения
населения Амурской области с помощью расчета средних величин и показателей
вариации, будем применять следующие формулы:
Средняя арифметическая:
простая:
(16)
взвешенная:

(17)
Мода для интервальных рядов
распределения:

(18)
где xM0 - нижняя
граница модального интервала;
iM0 - величина
модального интервала;
fM0 - частота
модального интервала;
fM0-1 -
частота интервала, предшествующего модальному;
fM0+1 -
частота интервала, следующего за модальным.
Медиана для интервального ряда
распределения:

(19)
где xMe - нижняя
граница медианного интервала;
iMe - величина
медианного интервала;
∑f/2 -
полусумма частот ряда;
SMe-1 - сумма
накопленных частот, предшествующих медианному интервалу;
fMe - частота
медианного интервала.
Размах вариации -
абсолютный показатель, который определяется как разность между самым большим и
самым малым значениями признака у единиц данной совокупности

- размах вариации (20)
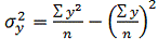
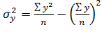
Среднее линейное отклонение вычисляют для того, чтобы учесть различия всех единиц
исследуемой совокупности. Эта величина определяется как средняя арифметическая
из абсолютных значений отклонений от средней.

(21)
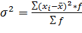
Дисперсия (
) - это
средняя арифметическая квадратов отклонений отдельных значений признака от их
средней арифметической.

- дисперсия (взвешенная) (22)
где x - значение
признака;
f - частота
признака.
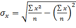
Среднее квадратическое
отклонение
представляет
собой корень квадратный из дисперсии и равно

(23)
Коэффициент вариации (V) представляет собой процентное соотношение среднего
квадратического отклонения к средней арифметической:

(24)
В ходе проведения корреляционно-регрессионного
анализа будем пользоваться следующими формулами:
Уравнение прямой, отражающее линейную форму
связи между факторным и результативным признаком

(25)
где a0, a1 -
параметры уравнения.
Параметры уравнения прямой
вычисляются путем решения системы нормальных уравнений вида:
(26)
где
- индивидуальные значения
результативного признака;
- индивидуальные значения
факторного признака;
- число единиц наблюдения;
Параметры a0
и a1 можно исчислить
по формулам:

(27)

(28)
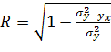
Линейный коэффициент корреляции (
)
характеризует тесноту и направление связи между двумя коррелируемыми признаками
в случае наличия между ними линейной зависимости и находится по формуле:

(29)
Формула вычисления теоретического
корреляционного отношения:

(30)
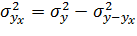
Формула вычисления общей дисперсии, показывающей
вариацию результативного признака под влиянием всех факторов, вызывающих эту
вариацию:

(31)
Формула нахождения остаточной дисперсии:

(32)
Формула вычисления факторной дисперсии,
характеризующей вариацию результативного признака под влиянием признака
фактора, включённого в модель:

(33)
Индекс корреляционной связи
вычисляется по формуле:

(34)
Формула для вычисления частного
коэффициента эластичности:

(35)
где ai - параметр
при признаке-факторе;

.
Проверка адекватности однофакторной
регрессионной модели и значимости показателей тесноты корреляционной связи.
Адекватность регрессионной модели при малой выборке оценивается с помощью F-критерия
Фишера:

(36)
где m - число
параметров модели;
n - число
единиц наблюдения.
Эмпирическое значение критерия
сравнивается с критическим значением при уровне значимости 0,01 или 0,05 и с
числом степеней свободы (m-1), (n-m). Если
, то уравнение
регрессии признается значимым (адекватным).
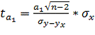
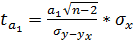
Значимость коэффициентов линейного уравнения
регрессии оценивается с помощью t-критерия
Стьюдента:

(37)

(38)

(39)
Эмпирическое значение t-критерия
сравнивается с критическим значением t-критерия
распределения Стьюдента при уровне значимости 0,01 или 0,05 и с числом степеней
свободы (n-2). Если
, то
параметр уравнения регрессии признается значимым (адекватным).
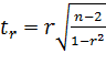
Аналогично проводится оценка коэффициента
корреляции с помощью t-критерия
Стьюдента

(40)
где n-2 - число
степеней свободы.
Ошибка аппроксимации:

(41)
Индексы - обобщающие показатели сравнения во времени и в пространстве не
только однотипных явлений, но и совокупностей, состоящих из несоизмеримых
элементов. Методики построения и расчета индексов как для временных, так и для
пространственных сравнений одинаковы.
Так как в данной курсовой работе
изучается динамика только численности пенсионеров Амурской области, то будем
использовать индивидуальные индексы.
Индивидуальный индекс среднего
размера назначенных месячных пенсий:
(42)
Индивидуальный индекс численности
пенсионеров:
(43)
Индивидуальный индекс затрат
государства на обеспечение пенсией:
(44)
Взаимосвязь индивидуальных индексов:
(45)
В формулах (42)-(44) подстрочное
обозначение «0» соответствует уровню базисного периода (с которым сравнивают)
или моменту времени. «1» - уровню отчетного (сравниваемого) периода или моменту
времени.
Факторный анализ
- методика комплексного и системного изучения и измерения воздействия факторов
на величину результативных показателей.
Среди различных типов факторного анализа
выделяют детерминированный факторный анализ, выдвигающий в качестве цели
изучение влияния факторов на результативный показатель в случаях его
функциональной зависимости от рядов признаков. Функциональная зависимость может
быть выражена в форме аддитивной, мультипликативной моделей, кратной
зависимости, либо комбинированной модели.
Существует 8 способов измерения влияния факторов
в детерминированных моделях:
) цепная подстановка;
) способ абсолютных разниц;
) способ относительных разниц;
) индексный;
) интегральный;
) логарифмирование;
) способ пропорционального деления;
) способ долевого участия.
Произведем анализ тремя методами: методом цепной
подстановки, абсолютных разниц и пропорционального деления.
Для анализа пятифакторной аддитивной модели
способом цепной подстановки будем использовать следующие формулы:
y0 = a0+b0+c0+d0+e0 (46)= a1+
b0+c0+d0+e0 (47)= a1+b1+ c0+d0+e0 (48)= a1+b1+ c1+d0+e0 (49)= a1+b1+ c1+d1+e0
(50)= a1+b1+ c1+d1+e1 = y1 (51)
Расчет влияния каждого фактора
определим по формулам:
∆ya = ya - y0
(52)
∆yb = yb - ya
(53)
∆yc = yc - yb
(54)
∆yd = yd - yc
(55)
∆ye
= ye - yd
(56)
Баланс отклонений найдем по
формуле:
y1
- y0 = ∆ya
+ ∆yb + ∆yc
+∆yd +∆ye
(57)
Для составления двухфакторной
мультипликативной модели при проведении анализа методом абсолютных разниц,
необходимы будут следующие формулы:
(58)
(59)
(60)
(61)
Баланс отклонений определяем по
формуле:
∆y = y1 - y0 = ∆ya + ∆yb (62)
Для составления пятифакторной аддитивной модели
при проведении анализа методом пропорционального деления, необходимы будут
следующие формулы:
∆y(a)
= [∆y:(∆a
+∆b +∆c
+∆d +∆e)]*∆a
(63)
∆y(b)
= [∆y:(∆a
+∆b +∆c
+∆d +∆e)]*∆b
(64)
∆y(c)
= [∆y:(∆a
+∆b +∆c
+∆d +∆e)]*∆c
(65)
∆y(d)
= [∆y:(∆a
+∆b +∆c
+∆d +∆e)]*∆d
(66)
∆y(e)
= [∆y:(∆a
+∆b +∆c
+∆d +∆e)]*∆e
(67)
Для расчета и анализа специальных показателей
по теме исследования нам понадобятся:
Показатель численности пенсионеров на 1000
человек населения определяется делением численности пенсионеров (Чп) на общую
численность населения (Чн) и умножается на 1000:
(68)
Среднегодовая численность пенсионеров. Если
имеются данные на начало (ЧПн) и конец (ЧПк) периода, то среднегодовую
численность пенсионеров определяем по формуле средней арифметической простой:
(69)
Коэффициент нагрузки пожилыми:
(70)
где S55(60)и
старше - численность населения в возрасте старше трудоспособного;
S15-54(59) -
численность населения в трудоспособном возрасте.
Для расчета показателя численности занятых в
экономике, приходящаяся на одного пенсионера (ЧЗна 1 пенсионера) необходимо
среднегодовую численность занятых в экономике (
разделить на среднегодовую численность пенсионеров (
.
(71)
2. Статистический анализ численности
и состава пенсионеров в Амурской области за 2000 - 2009 годы
2.1 Анализ динамики численности
пенсионеров
Для расчета и анализа показателей динамики
численности пенсионеров используем необходимые данные приложения А.
Рассчитаем следующие показатели, характеризующие
ряды динамики: абсолютные приросты, темпы роста, темпы прироста, абсолютное
значение одного процента прироста численности пенсионеров. Для вычисления
воспользуемся формулами (1), (2), (3), (4), (5).
В таблице 1 приведены данные, характеризующие
численность пенсионеров Амурской области.
Таблица 1 - Динамика численности пенсионеров,
состоящих на учете в отделении Пенсионного фонда РФ по Амурской области за 2000
- 2009 года на конец года
|
Год
|
Численность
пенсионеров, чел.
|
Абсолютный
прирост, чел.
|
Темп
роста, %
|
Темп
прироста, %
|
Абсолютное
значение 1 % прироста, чел.
|
|
|
Цепной
|
Базисный
|
Цепной
|
Базисный
|
Цепной
|
Базисный
|
|
|
2000
|
210288
|
-
|
-
|
-
|
100
|
-
|
-
|
-
|
|
2001
|
212675
|
2387
|
2387
|
101,1
|
101,1
|
1,1
|
1,1
|
2102,9
|
|
2002
|
211429
|
-1246
|
1141
|
99,4
|
100,5
|
-0,6
|
0,5
|
2126,8
|
|
2003
|
212064
|
635
|
1776
|
100,3
|
100,8
|
0,3
|
0,8
|
2114,3
|
|
2004
|
212665
|
601
|
2377
|
100,3
|
101,1
|
0,3
|
1,1
|
2120,6
|
|
2005
|
215152
|
2487
|
4864
|
101,2
|
102,3
|
1,2
|
2,3
|
2126,7
|
|
2006
|
217016
|
1864
|
6728
|
100,9
|
103,2
|
0,9
|
3,2
|
2151,5
|
|
2007
|
220585
|
3569
|
10297
|
101,6
|
104,9
|
1,6
|
4,9
|
2170,2
|
|
2008
|
221664
|
1079
|
11376
|
100,5
|
105,4
|
0,5
|
5,4
|
2205,9
|
|
2009
|
225797
|
4133
|
101,9
|
107,4
|
1,9
|
7,4
|
2216,6
|
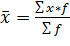
Анализ таблицы 1 показывает, что численность
пенсионеров имеет устойчивую тенденцию к увеличению с 2003 года. На 31 декабря
2009 года численность учтенных пенсионеров составила 225,8 тыс. человек. За
период с 2000 по 2009 годы численность пенсионеров в области возросла на 15,5
тыс. человек, или на 7,4%, по сравнению с 2008 годом - на 4,1 тыс. человек (на
1,9%).
Динамика численности пенсионеров
наглядно представлена на рисунке 1.
Рисунок 1 - График динамики
численности пенсионеров Амурской области (2000-2009 гг.)
Обобщающим показателем скорости изменения
явления во времени является средний абсолютный прирост (Δȳ).
Вычислим его по формуле (6):

чел.
Этот показатель даёт возможность
установить, насколько за единицу времени в среднем должен увеличиться уровень
ряда (в абсолютном выражении), чтобы, отправляясь от начального уровня за
данное число лет, достигнуть конечного уровня.
Обобщающей характеристикой интенсивности
изменения уровней ряда динамики служит средний темп роста, показывающий, во
сколько раз в среднем за год изменился уровень динамического ряда занятости
населения в Амурской области. Определим его, используя формулу (7):
Численность пенсионеров в Амурской
области в рассматриваемый период в среднем ежегодно увеличивалась в 1,008 раз
или составляла 100,8 % по сравнению с предыдущим годом.
Средний темп прироста можно(
) определить
на основе взаимосвязи между темпами роста и прироста (формула (8)):
Положительный средний темп прироста
представляет собой средний темп увеличения численности пенсионеров в Амурской
области с 2000 по 2009 гг.
Основная тенденция развития в рядах
динамики отображается уравнением прямолинейной функции (9):
Параметры а0 и а1 можно исчислить с
помощью формул (10)-(12).
Расчеты приведены в таблице 2.
Таблица 2 - Расчётные данные для
определения параметров а0 и а1 и выровненных теоретических значений
|
Год
|
y
|
t
|
t2
|
yt
|
ȳt
|
|
2000
|
210288
|
1
|
1
|
210288
|
208689,13
|
|
2001
|
212675
|
2
|
4
|
425350
|
210298,99
|
|
2002
|
211429
|
3
|
9
|
634287
|
211908,85
|
|
2003
|
212064
|
4
|
16
|
848256
|
213518,71
|
|
2004
|
212665
|
5
|
25
|
1063325
|
215128,57
|
|
2005
|
215152
|
6
|
36
|
1290912
|
216738,43
|
|
2006
|
217016
|
7
|
49
|
1519112
|
218348,29
|
|
2007
|
220585
|
8
|
64
|
1764680
|
219958,15
|
|
2008
|
221664
|
9
|
81
|
1994976
|
221568,01
|
|
2009
|
225797
|
10
|
100
|
2257970
|
223177,87
|
|
Итого
|
2159335
|
55
|
385
|
12009156
|
2159335
|
Таким образом:
По вычисленным
параметрам составляем уравнение вида:
Осуществим прогнозирование численности
пенсионеров в Амурской области с помощью метода экстраполяции.
Под экстраполяцией понимается распространение
выявленных в анализе рядов динамики закономерностей развития изучаемого явления
на будущее.
Элементарными методами экстраполяции
являются средний абсолютный прирост, средний темп роста, экстраполяция на
основе выравнивания ряда по формуле
.
Для прогнозирования на основе
среднего абсолютного прироста применяется формула:

При экстраполяции уровня развития
занятости на базе ряда динамики с помощью среднего темпа роста применяется
формула:

В таблице 3 представлены годовые
прогнозные значения занятости населения в Амурской области на ближайшие пять
лет.
Таблица 3 - Годовые прогнозные
значения численности пенсионеров Амурской области
|
Год
|
Прогноз
на основе
|
|
Среднего
абсолютного прироста ( )Среднего
темпа роста ( )Аналитического
выравнивания
|
|
|
|
|
|
t
|
|
|
2010
|
227347,9
|
227603,4
|
11
|
224787,7
|
|
2011
|
228898,8
|
229424,2
|
12
|
226397,6
|
|
2012
|
230449,7
|
231259,6
|
13
|
228007,5
|
|
2013
|
232000,6
|
233109,7
|
14
|
229617,3
|
|
2014
|
233551,5
|
234974,6
|
15
|
231227,2
|
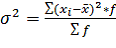
На рисунке 2 графически изображена
прогнозируемая численность пенсионеров на период 2010-2014 гг. с помощью метода
экстраполяции.
Рисунок 2 - Прогнозируемая
численность пенсионеров в Амурской области на период 2010-2014 гг. с помощью
метода экстраполяции
Исходя из полученных годовых прогнозных
значений, численность пенсионеров в Амурской области в ближайшие пять лет будет
увеличиваться. При этом, несомненно, стоит отметить, что экстраполяция в рядах
динамики даёт возможность получить точечное значение прогноза. Точное
совпадение фактических данных и прогностических точечных оценок, полученных
путём экстраполяции, имеет малую вероятность. Поэтому любой статистический
прогноз носит приближённый характер.
2.2 Анализ структуры пенсионеров в
Амурской области
Термин «структура» следует понимать как
внутреннее устройство (организацию) множества элементов, объединённых в единое
целое, в данном случае - численности пенсионеров; эти элементы определённым
образом взаимосвязаны и характеризуются различной формой, величиной, прочностью
и устойчивостью, автономностью в рамках сферы занятости.
Для анализа структуры пенсионеров Амурской
области применяем формулу (13) из раздела 1.2.
В таблице 4 представлена структура населения,
получающего пенсии в Амурской области.
Таблица 4 - Структура населения, получающего
пенсии в Амурской области
|
|
2000
|
2001
|
2002
|
2003
|
2004
|
2005
|
2006
|
2007
|
2008
|
2009
|
|
Численность
пенсионеров, человек
|
|
Все пенсионеры
|
210288
|
212675
|
211429
|
212064
|
212665
|
215152
|
217016
|
220585
|
221664
|
225797
|
|
Получающие трудовые пенсии:
|
|
|
|
|
|
|
|
|
|
|
|
по
старости
|
144891
|
146225
|
150737
|
148973
|
149454
|
151371
|
152824
|
156353
|
159388
|
163998
|
|
В
% к общей численности пенсионеров
|
69
|
69
|
71
|
70
|
70
|
70,145
|
70,2
|
71
|
72
|
73
|
|
по
инвалидности
|
28204
|
29254
|
27318
|
27423
|
27140
|
27576
|
28100
|
28521
|
28111
|
27799
|
|
В
% к общей численности пенсионеров
|
13
|
14
|
13
|
13
|
13
|
12,82
|
12,95
|
12,932
|
12,7
|
12
|
|
по
случаю потери кормильца (на каждого нетрудоспособного члена семьи)
|
20649
|
21286
|
20436
|
22117
|
22304
|
21143
|
19052
|
16615
|
11501
|
9594
|
|
В
% к общей численности пенсионеров
|
10
|
10
|
10
|
11
|
11
|
10
|
8,8
|
8
|
5,2
|
4,217
|
|
за
выслугу лет
|
4418
|
4365
|
-
|
-
|
-
|
-
|
-
|
-
|
-
|
-
|
|
Получающие пенсии по государственному
обеспечению:
|
|
|
|
|
|
|
|
|
|
|
|
социальные
|
11701
|
11162
|
12484
|
13061
|
13249
|
14545
|
16519
|
18569
|
22501
|
24219
|
|
В
% к общей численности пенсионеров
|
6
|
5
|
6
|
6
|
6
|
7
|
8
|
8
|
10,026
|
10,7
|
|
госслужащие,
получающие пенсии по старости (или по инвалидности) и за выслугу лет
|
|
|
|
|
|
76
|
109
|
149
|
163
|
187
|
|
В
% к общей численности пенсионеров
|
|
|
|
|
|
0,035
|
0,05
|
0,068
|
0,074
|
0,083
|
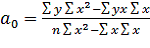
На рисунке 3 представлены круговые диаграммы,
отражающие изменение структуры пенсионеров в Амурской области в 2000 и 2009 гг.
Рисунок 3 - Структура пенсионеров в Амурской
области
Анализ структуры показал, что доля пенсионеров
по старости увеличилась в 2009 году на 4 % по сравнению с 2000 годом. Доля
категории пенсионеров, получающих пенсии по инвалидности, уменьшилась по
сравнению с 2000 годом на 1 %.
Продолжает снижаться численность амурчан,
получающих пенсии по случаю потери кормильца, в сравнении с 2000 годом на 11,2
тыс. человек (в 2,2 раза).
Доля жителей Амурской области, получающих
социальные пенсии выросла с 6 % в 2000 году до 11 % в 2009 году.
В связи с изменением пенсионного
законодательства с 1 января 2002 года произошло перераспределение численности
пенсионеров по видам пенсий. Появилась такая категория пенсионеров как
госслужащие, получающие пенсию по старости (или по инвалидности) и за выслугу
лет.
численность состав
пенсионер статистический
2.3 Группировка городов и районов
Амурской области по численности пенсионеров за 2009 год
Группировка - это процесс образования однородных
групп на основе расчленения статистической совокупности на части или
объединение изучаемых единиц в частные совокупности по существенным для них
признакам.
В приложении А приведены данные по городам и
районам Амурской области, необходимые для группировки.
Пользуясь формулами (14) и (15) произведем
группировку при известной численности совокупности N=22.
Получили: n=5; h=9,7.
В таблице 5 приведены результаты группировки.
Таблица 5 - Распределение городов и районов
Амурской области по численности пенсионеров в 2009 году
|
№
группы
|
Группировка
городов и районов Амурской области по численности пенсионеров, тыс. чел.
|
Число
муниципальных образований в абсолютном выражении
|
Число
муниципальных образований в относительных единицах,
|
|
1
|
3,114-12,814
|
17
|
77,3
|
|
2
|
12,814-22,514
|
4
|
18,2
|
|
3
|
22,514-32,214
|
0
|
0
|
|
4
|
32,214-41,914
|
0
|
0
|
|
5
|
41,914-51,614
|
1
|
4,5
|
|
Итого
|
22
|
100
|
Как видно из полученных результатов, большинство
муниципальных образований - 17 или 77,3 % - характеризуются численностью пенсионеров
от 3,114 до 12, 814 тысяч человек. При этом в четырех муниципальных
образованиях численность пенсионеров находится в рамках 12,814 - 22,514 тысяч
человек. Наибольшее число пенсионеров зафиксировано только в городе
Благовещенске (51,3 тысяч человек).
Составим рабочую таблицу 6 распределения городов
и районов Амурской области по численности пенсионеров в 2009 году.
Таблица 6 - Распределение городов и районов
Амурской области по численности пенсионеров (рабочая таблица) тыс. человек
|
№
группы
|
Группы
распределение городов и районов Амурской области по численности пенсионеров
|
Название
муниципального образования
|
Численность
пенсионеров
|
|
1
|
3,114-12,814
|
г.
Райчихинск
|
12,3
|
|
|
г.
Шимановск
|
7,7
|
|
|
Архаринский
район
|
5,2
|
|
|
Благовещенский
район
|
5,6
|
|
|
Бурейский
район
|
7,1
|
|
|
Завитинский
район
|
4,9
|
|
|
Ивановский
район
|
7,3
|
|
|
Константиновский
район
|
3,8
|
|
|
Магдагачинский
район
|
6,5
|
4,3
|
|
|
Михайловский
район
|
4,6
|
|
|
Октябрьский
район
|
4,9
|
|
|
Ромненский
район
|
3,1
|
|
|
Селемджинский
район
|
3,3
|
|
|
Серышевский
район
|
6,4
|
|
|
Сковородинский
район
|
6,9
|
|
|
Тамбовский
район
|
6,8
|
|
Итого
|
17
|
100,7
|
|
2
|
12,814-22,514
|
г.
Белогорск
|
22,5
|
|
|
г.Зея
|
14,9
|
|
|
г.Свободный
|
21,9
|
|
|
г.Тында
|
14,5
|
|
Итого
|
4
|
73,8
|
|
3
|
22,514-32,214
|
0
|
0
|
|
4
|
32,214-41,914
|
0
|
0
|
|
5
|
41,914-51,614
|
г.
Благовещенск
|
51,3
|
|
Итого
|
1
|
51,3
|
|
Всего
|
|
225,8
|
Самая многочисленная группа городов и районов -
первая с численностью пенсионеров 100,7 тыс. чел. Самая большая численность
пенсионеров наблюдается в Благовещенске - 51,3 тыс. чел.
Составим аналитическую таблицу 7 городов и
районов Амурской области по численности пенсионеров в 2009 году.
Таблица 7 - Распределение городов и районов
Амурской области по численности пенсионеров (аналитическая таблица)
|
№
|
Группировка
городов и районов Амурской области численности пенсионеров, тыс. чел
|
Число
муниципальных образований в абсолютном выражении
|
Численность
пенсионеров, тыс. чел.
|
|
|
|
Всего
|
В
среднем на одно муниципальное образование
|
|
1
|
3,114-12,814
|
17
|
100,7
|
5,9
|
|
2
|
12,814-22,514
|
4
|
73,8
|
18,45
|
|
3
|
22,514-32,214
|
0
|
0
|
0
|
|
4
|
32,214-41,914
|
0
|
0
|
0
|
|
5
|
41,914-51,614
|
1
|
51,3
|
51,3
|
|
Итого
|
22
|
225,8
|
75,65
|
Все города и районы Амурской области можно
разделить на 5 групп по численности пенсионеров, в них проживающих. Наибольшая
численность пенсионеров приходится на города и районы, относящиеся к первой
группе. Наименьшая численность пенсионеров приходится на города и районы,
относящиеся к третьей и четвертой группе.
На рисунке 4 изображена гистограмма
распределения городов и районов Амурской области по численности пенсионеров в
2009 году.
Рисунок 4 - гистограмма
распределения городов и районов Амурской области по численности пенсионеров в
2009 году.
Из гистограммы видно, что численность
пенсионеров распределена неравномерно среди городов и районов Амурской области.
Для построения полигона и кумуляты составим
таблицу 8, в которой необходимо вычислить середины интервалов группировки и
накопленные частоты.
Таблица 8
|
№
|
Группировка
городов и районов Амурской области численности пенсионеров, тыс. чел
|
Число
муниципальных образований в абсолютном выражении
|
Середины
интервалов, xi
|
Накопленные
частоты
|
|
1
|
3,114-12,814
|
17
|
7,964
|
17
|
|
2
|
12,814-22,514
|
4
|
17,664
|
21
|
|
3
|
22,514-32,214
|
0
|
27,364
|
21
|
|
4
|
32,214-41,914
|
0
|
37,064
|
21
|
|
5
|
41,914-51,614
|
1
|
46,764
|
22
|
На рисунках 5 и 6 изображены полигон и кумулята
соответственно.
Рисунок 4 - Полигон частот
Рисунок 5 - Кумулята
Анализируя изображение полигона частот, можно
сделать вывод, что наибольшая численность пенсионеров наблюдается в одном
муниципальном образовании. Большинство муниципальных образований
характеризуются наименьшей численностью пенсионеров, в них проживающих.
Рассмотрим рисунок кумуляты. Точка (46,764;22)
показывает, что в 22 муниципальных образованиях встречается не более 46,764
тысяч пенсионеров.
.4 Анализ численности и состава
пенсионеров с помощью расчёта средних величин и показателей вариации
Используя необходимые данные приложения А
проведём анализ численности пенсионеров в Амурской области.
Для расчета средних величин и показателей
вариации будем использовать ранее составленную таблицу 8.
Так как мы имеем дело с интервальным рядом
распределения численности пенсионеров, то их средняя численность вычисляется по
формуле (17) (средняя арифметическая взвешенная). В Амурской области
численность пенсионеров в среднем на каждое муниципальное образование за 2009
год составила:
тыс. чел.
Для характеристики структуры совокупности
применяются особые показатели, которые можно назвать структурными средними. К
таким показателям относятся мода и медиана.
Модой называется наиболее часто встречающееся
значение признака. Для её нахождения воспользуемся формулой (18):
тыс. чел.
Мода показывает, что наиболее часто
встречающаяся численность пенсионеров среди городов и районов Амурской области
составляет 8,61 тыс. чел.
Под медианой понимается - величина, которая
делит численность упорядоченного вариационного ряда на две равные части: одна
часть имеет значения варьирующего признака меньшие, чем средний вариант, а
другая - большие. Для нахождения медианы пользуемся формулой (19):
тыс. чел.
Т.е. 50% муниципальных образований имеет
численность пенсионеров не менее 9,39 тысяч человек.
Для характеристики колеблемости признака
используется ряд показателей вариации. Находим их по формулам (20)-(24):
R=51,328 -
3,114=48,214 тыс. чел.
Размах вариации учитывает только крайние
значения признака и не учитывает все промежуточные.
Чтобы дать обобщающую характеристику
распределению отклонений, исчисляют среднее линейное отклонение (
), которое учитывает различия всех
единиц изучаемой совокупности:
тыс. чел.
Среднее линейное отклонение как меру
вариации признака применяют в статистической практике редко. Во многих случаях
этот показатель не устанавливает степень рассеивания.
На практике меру вариации более
объективно отражает показатель дисперсии:
Дисперсия показывает, что в 2009
году квадрат отклонения числа пенсионеров от среднего числа пенсионеров по
совокупности составляет 73,095 единиц.
Среднее квадратическое отклонение - это
обобщающая характеристика размеров вариации признака в совокупности; оно
показывает на сколько в среднем отклоняются конкретные варианты от их среднего
значения; является абсолютной мерой колеблемости признака.
σ = 8,55 тыс. чел.
Т.е., отклонение абсолютного числа
пенсионеров от их средней численности в 2009 году составляет 8,55 тыс.чел.
Полученный коэффициент вариации
превышает 35%, значит, можно делать вывод о неоднородности совокупности.
.5 Корреляционно-регрессионный
анализ численности пенсионеров Амурской области
Как известно, явления общественной
жизни складываются под воздействием не одного, а целого ряда факторов, то есть
эти явления многофакторны. Между факторами существуют сложные взаимосвязи,
поэтому их влияние комплексное и его нельзя рассматривать как простую сумму
изолированных влияний. Корреляционно-регрессионный анализ позволяет оценить
меру влияния на исследуемый результативный показатель какого-либо из включённых
в модель факторов при фиксированном положении остальных факторов.
С помощью
корреляционно-регрессионного анализа определим, существует ли взаимосвязь между
численностью пенсионеров в Амурской области и общей численностью населения в
этом же субъекте Российской Федерации.
Допустим, на численность пенсионеров
влияет общая численность населения. В качестве результативного признака
выступает численность пенсионеров Амурской области, а факторный признак -
численность населения Амурской области. Обозначим:
y -
численность пенсионеров в Амурской области;
x -
численность населения Амурской области.
Показатели численности пенсионеров и
общей численности населения в Амурской области по данным приложения А и таблицы
Б.1 в приложении Б за период с 2000 по 2009 гг. сведены в таблице 9.
Таблица 9 - Показатели численности
пенсионеров и общей численности населения в Амурской области за период с 2000
по 2009 гг. (на конец года)
|
годы
|
Численность
населения Амурской области, тыс. чел. (х)
|
Численность
пенсионеров в Амурской области, тыс.чел. (у)
|
|
2000
|
923,1
|
210,3
|
|
2001
|
911,4
|
212,7
|
|
2002
|
901,0
|
211,4
|
|
2003
|
894,5
|
212,1
|
|
2004
|
887,6
|
212,7
|
|
2005
|
881,1
|
215,2
|
|
2006
|
874,6
|
217
|
|
2007
|
869,6
|
220,6
|
|
2008
|
864,5
|
221,7
|
|
2009
|
860,7
|
225,8
|
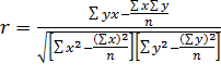
На рисунке 7 изображена точечная диаграмма,
отражающая тип зависимости межу факторным и результативным признаками.
Рисунок 7 - точечная диаграмма, отражающая тип
зависимости межу факторным и результативным признаками.
Между х и у наблюдается линейная зависимость.
Составим уравнение регрессии:
yx=a0+a1*x
Параметры a0 и a1
вычисляются с помощью решения системы нормальных уравнений (26) и по формулам
(27)-(28). Для того чтобы заполнить систему нормальных уравнений (26)
фактическими данными, необходимо определить 
,
,
. Расчеты этих показателей
представлены в таблице 10.
Таблица 10 - Расчет сумм для
вычисления параметров уравнения прямой по несгруппированным данным тыс. человек
|
год
|
x
|
y
|
x2
|
y2
|
xy
|
yx
|
(y-yx)
|
(y-yx)2
|
|
2000
|
923,1
|
210,3
|
852113,61
|
44226,09
|
194127,93
|
207,86314
|
2,43685951
|
5,93828427
|
|
2001
|
911,4
|
212,7
|
830649,96
|
45241,29
|
193854,78
|
210,47037
|
2,229632829
|
4,97126255
|
|
2002
|
901,0
|
211,4
|
811801
|
44689,96
|
190471,4
|
212,7879
|
-1,387901999
|
1,92627196
|
|
2003
|
894,5
|
212,1
|
800130,25
|
44986,41
|
189723,45
|
214,23636
|
-2,136361267
|
4,56403946
|
|
2004
|
887,6
|
212,7
|
787833,76
|
45241,29
|
188792,52
|
215,77396
|
-3,073956489
|
9,4492085
|
|
2005
|
881,1
|
215,2
|
776337,21
|
46311,04
|
189612,72
|
217,22242
|
-2,022415757
|
4,09016549
|
|
2006
|
874,6
|
217
|
764925,16
|
47089
|
189788,2
|
218,67088
|
-1,670875024
|
2,79182335
|
|
2007
|
869,6
|
220,6
|
756204,16
|
48664,36
|
191833,76
|
219,78507
|
0,814925539
|
0,66410363
|
|
2008
|
864,5
|
221,7
|
747360,25
|
49150,89
|
191659,65
|
220,92156
|
0,778442114
|
0,60597213
|
|
2009
|
860,7
|
225,8
|
740804,49
|
50985,64
|
194346,06
|
221,76835
|
4,031650542
|
16,2542061
|
|
Итого
|
8868,1
|
2159,5
|
7868159,9
|
466585,97
|
1914210,5
|
2159,5
|
0
|
51,2553374
|
Получаем:
yx=413,5666-0,22284x
Измерим тесноту корреляционной связи между
численностью населения Амурской области и численностью пенсионеров линейным
коэффициентом корреляции (29), теоретическим корреляционным отношением (30),
индексом корреляции (34).
Отрицательное значение линейного
коэффициента корреляции свидетельствует об обратной зависимости между
признаками, т.е. с увеличением численности населения численность пенсионеров
снижается и наоборот. При этом связь можно охарактеризовать как сильную.
Для нахождения теоретического
корреляционного отношения требуется найти общую, остаточную и факторную
дисперсии по формулам (31), (32) и (33) соответственно:
Общая дисперсия
показывает вариацию результативного признака под влиянием всех факторов,
вызывающих эту вариацию.
Остаточная дисперсия характеризует
вариацию результативного признака под влиянием прочих неучтенных факторов.
Факторная дисперсия характеризует
вариацию результативного признака под влиянием вариации признака-фактора.
Теоретической корреляционное
отношение и индекс корреляции применяются для измерения тесноты связи при любой
форме связи. Вычислим их по формулам (30) и (34) соответственно:
Все показатели тесноты связи
показывают сильную зависимость между признаками. Так как r=η=R, то
подтверждена гипотеза о линейной зависимости.
Найдем коэффициент детерминации,
который равен квадрату теоретического корреляционного отношения:
η2=0,7882 или 78,82 %.
Коэффициент детерминации показывает,
что вариация численности пенсионеров в Амурской области на 78,82 % определяется
вариацией общей численности населения Амурской области и на 21,18 % - прочими
факторами.
Вычислим коэффициент эластичности по
формуле (35):
Данное значение коэффициента
эластичности показывает, что с увеличением численности населения Амурской
области на 1 % численность пенсионеров в данном регионе снижается на 0,9151 %.
С помощью критерия Фишера (формула
(36)) оценим адекватность регрессионной модели yx=a0+a1*x :
Сравниваем полученное эмпирическое
значение критерия с табличным значением с уровнем значимости 0,01 и числом
степеней свободы (m-1), (n-m). Fтабл =
11,26. Так как полученное эмпирическое значение критерия больше табличного
значения, уравнение регрессии признается значимым (адекватным).
С помощью критерия Стьюдента оценим
значимость коэффициентов линейного уравнения регрессии (формулы (37) - (39)):
Эмпирическое значение t-критерия
сравниваем с табличным значением t-распределения Стьюдента с уровнем
значимости 0,01 и числом степеней свободы (n-m). tтабл=3,36.
Так как эмпирическое значение t-критерия больше табличного,
параметр признается значимым.
Аналогично проведем оценку
коэффициента корреляции (r) с помощью t-критерия
(формула (40)):
tтабл=3,36.
Эмпирическое значение t-критерия больше табличного,
следовательно, линейный коэффициент корреляции признается значимым.
Вычислим ошибку аппроксимации
(формула (41)):
Ошибка аппроксимации, равная 9,5%,
свидетельствует о том, что фактор, влияющий на результативный признак, был
подобран правильно. Также, полученное значение ошибки позволяет говорить о том,
что все необходимые расчеты были проведены точно.
Для того, чтобы произвести индексный
анализ, составим по данным приложения А и таблицы Б.2 в приложении Б таблицу
11, в которой отразим численность пенсионеров Амурской области и средний размер
назначенных месячных пенсий в 2008-2009 гг.
Таблица 11 - Численность пенсионеров
в Амурской области и средний размер назначенных месячных пенсий
|
Год
|
2008
|
2009
|
|
Численность
пенсионеров, тыс.чел.
|
221,7
|
225,8
|
|
Средний
размер назначенных месячных пенсий, руб.
|
4587,1
|
6242,8
|
Рассчитаем индивидуальный индекс среднего
размера назначенных месячных пенсий по формуле (42):
Полученное значение индекса показывает, что
средний размер назначенных месячных пенсий вырос в 2009 году по сравнению с
2008 годом на 36,1 %.
Определим индивидуальный индекс численности
пенсионеров по формуле (43):
Найденная величина показывает, что численность
пенсионеров в Амурской области в 2009 году выросла на 1,9 % относительно 2008
года.
Индивидуальный индекс затрат государства на
обеспечение пенсией вычислим по формуле (44):
Величина данного индекса показывает, что затраты
государства на обеспечение пенсией в сравнении с 2008 годом в 2009 году выросли
на 38,6 %.
Проверим расчеты по формуле (45):
или 138,7 %.
Расчеты произведены верно.
2.7 Факторный анализ численности
пенсионеров в Амурской области
Проведем факторный анализ численности
пенсионеров в Амурской области способом цепной подстановки, способом абсолютных
разниц и способом долевого участия.
) Способ цепной подстановки.
Воспользуемся данными таблицы 4 из подраздела
2.2 данной курсовой работы. По формуле (46) найдем y0:
y0=159388+28111+11501+22501+163=221664
За 2008 год в Амурской области насчитывалось
221664 пенсионера по следующим категориям: по старости, по инвалидности, по
случаю потери кормильца, получающие социальные пенсии, а также госслужащие,
получающие пенсии по старости (или по инвалидности) и за выслугу лет.
Для проведения факторного анализа составим
таблицу 12.
Таблица 12 - Данные для проведения факторного
анализа
|
2008
|
2009
|
|
Все пенсионеры, чел.
|
221664
|
225797
|
|
Получающие трудовые пенсии:
|
|
|
|
по
старости
|
159388
|
163998
|
|
по
инвалидности
|
28111
|
27779
|
|
по
случаю потери кормильца
|
11501
|
9594
|
|
Получающие пенсии по государственному
обеспечению:
|
|
|
|
социальные
|
22501
|
24249
|
|
госслужащие,
получающие пенсии по старости (или инвалидности) и за выслугу лет
|
163
|
187
|
Используя формулы (47), (48), (49), (50), (51)
произведем цепные подстановки:
ya = 163998+28111+11501+22501+163 =
226274= 163998+27779+11501+22501+163 = 225942= 163998+27779+9594+22501+163 =
224035= 163998+27779+9594+24239+163 = 225773= 163998+27779+9594+24239+187 =
225797 = y1
Рассчитаем влияние каждого фактора по формулам
(52), (53), (54), (55), (56):
∆ya
= 226274-221664 = 4610
Из-за увеличения численности пенсионеров по
старости, общая численность пенсионеров выросла на 4610 человек.
∆yb
= 225942-226274 = -332
Из-за уменьшения числа пенсионеров по
инвалидности, общая численность пенсионеров уменьшилась на 332 человека.
∆yc
= 224035-225942 = -1907
Из-за уменьшения числа пенсионеров по случаю
потери кормильца, общая численность пенсионеров уменьшилась на 1907 человек.
∆yd
= 225773-224035 = 1738
Из-за увеличения числа пенсионеров, получающих
социальные пенсии, общая численность пенсионеров увеличилась на 1738 человек.
∆ye
= 225797-225773 = 24
Из-за увеличения числа пенсионеров, относящихся
к категории «госслужащие, получающие пенсии по старости (или инвалидности) и за
выслугу лет», общая численность пенсионеров увеличилась на 24 человека.
Найдем баланс отклонений по формуле (57):
-221664 = 4610-332-1907+1738+24
=4133 - верно.
За счет увеличения числа пенсионеров по
некоторым категориям в Амурской области среднее число пенсионеров в 2009 году
увеличилось на 4133 человека по сравнению с 2008 годом.
) Способ абсолютных разниц.
Для применения метода абсолютных разниц составим
мультипликативную модель:
Число пенсионеров (по 5 категориям) =
Численность населения Амурской области*Удельный вес пенсионеров (из общей
численности населения по 5 категориям).
Для осуществления дальнейших операций составим
таблицу 13.
Таблица 13 - Данные для проведения анализа
|
2008
|
2009
|
|
Численность
пенсионеров (по 5 категориям), тыс.чел.
|
221,7
|
225,8
|
|
Численность
населения Амурской области, тыс. чел.
|
864,5
|
860,7
|
|
Удельный
вес пенсионеров (по 5 категориям), %
|
0,256465
|
0,2624
|
При проведении анализа методом абсолютных разниц
воспользуемся формулами (58), (59), (60), (61):
y0 = 864,5*0,256465
= 221,714
y1 = 860,7*0,2624 =
225,847
∆ya
= -3,8*0,256465 = -0,975
∆yb
= 860,7*0,005935 = 5,108
Найдем баланс отклонений по формуле (62):
,847-221,714 = 5,108-0,975
,133=4,133 тыс. чел. или 4133 чел. - верно.
) Способ пропорционального деления.
Для составления пятифакторной аддитивной модели
при проведении анализа методом пропорционального деления воспользуемся
формулами (63), (64), (65), (66), (67):
∆y(a) =
[4133:(4160-332-1907+1738+24)]*4610 = 4610
∆y(b) =
[4133:(4160-332-1907+1738+24)]*(-332) = -332
∆y(c) =
[4133:(4160-332-1907+1738+24)]*(-1907) = -1907
∆y(d) = [4133:(4160-332-1907+1738+24)]*1738
= 1738
∆y(e) =
[4133:(4160-332-1907+1738+24)]*24 = 24
Значения, полученные при анализе влияния
факторов методом пропорционального деления, совпадают со значениями,
полученными при анализе методом цепных подстановок. Следовательно, влияние
факторов определили правильно.
.8 Расчет и анализ специальных
показателей по теме «статистика численности и состава пенсионеров Амурской
области» за 2009 год
Численность пенсионеров, приходящаяся на 1000
человек населения (формула (68)):
Полученный результат показывает, что на 1000
человек населения Амурской области приходится 262,3446 пенсионера.
Среднегодовую численность пенсионеров вычислим
по формуле (69):
тыс.чел.
Коэффициент нагрузки пожилыми определим по
данным приложения В по формуле (70):
= 285‰
Данный коэффициент показывает, что в Амурской
области на 1000 людей в трудоспособном возрасте приходится 285 пожилых людей.
Численность занятых в экономике, приходящаяся на
одного пенсионера, определяется по формуле (71) с использованием данных
приложения Г:
чел.
На одного пенсионера в Амурской области в 2009
году приходилось почти 2 человека занятых экономической деятельностью.
Заключение
В Амурской области длительное время
наблюдается устойчивая тенденция роста доли лиц пожилого возраста.
При сокращении численности населения области в
2009 году по сравнению с 2000 годом на 62,4 тыс. человек (на 6,8%) численность
пенсионеров в области возросла на 15,5 тыс. человек (7,4%).
Статистическая группировка городов и районов
Амурской области по численности пенсионеров за 2009 год показала, что
наблюдается неравномерное распределение лиц, получающих пенсии по территории
области. Большинство муниципальных образований - 17 или 77,3 % -
характеризуются численностью пенсионеров от 3,114 до 12, 814 тысяч человек. К
ним относятся: г. Райчихинск, г. Шимановск, Архаринский, Благовещенский,
Бурейский, Завитинский, Ивановский н, Константиновский, Магдагачинский,
Мазановский, Михайловский, Октябрьский, Ромненский, Селемджинский, Серышевский,
Сковородинский и Тамбовский районы.
Наибольшее число пенсионеров зафиксировано
только в городе Благовещенске (51,3 тысяч человек).
Вычисленная средняя показывает, что численность
пенсионеров в среднем на каждое муниципальное образование за 2009 год составила
11,5 тыс. чел.
Вычисленная мода показала, что наиболее часто
встречающаяся численность пенсионеров среди городов и районов Амурской области
составляет 8,61 тыс. чел; а медиана - что 50% муниципальных образований имеет
численность пенсионеров не менее 9,39 тысяч человек.
Найденные показатели вариации охарактеризовали
изучаемую совокупность как неоднородную.
Была выявлена связь между факторным признаком, в
качестве которого выступала численность населения Амурской области, и
результативным признаком, коим являлась численность пенсионеров в этом же
регионе. Корреляционно-регрессионный анализ показал, что данные признаки
находятся в тесной взаимосвязи и имеют обратную зависимость. Ошибка
аппроксимации, равная 9,5 % отражает достоверность произведенных расчетов.
С помощью индексного анализа определили, что
затраты государства на обеспечение пенсией в сравнении с 2008 годом в 2009 году
выросли на 38,6 %.
Факторный анализ позволил сделать вывод, что за
счет увеличения числа пенсионеров по некоторым категориям в Амурской области
среднее число пенсионеров в 2009 году увеличилось на 4133 человека по сравнению
с 2008 годом.
Произведя расчет специальных показателей по теме
исследования, были сделаны следующие выводы:
на 1000 человек населения Амурской области
приходится 262,3446 пенсионера;
среднегодовая численность пенсионеров в Амурской
области за 2009 год составила 223,75 тыс.чел.
в Амурской области на 1000 людей в
трудоспособном возрасте приходится 285 пожилых людей.
на одного пенсионера в Амурской области в 2009
году приходилось почти 2 человека занятых экономической деятельностью.
Материальное положение людей старше
трудоспособного возраста остается сложным. Поскольку для подавляющего
большинства пенсионеров пенсия является основным источником дохода, в
государстве проводится пенсионная реформа, главной задачей которой является
системное, поэтапное повышение размера пенсии.
Библиографический список
1
Агентство финансовой информации «М3 - медиа» [Электронный ресурс] : офиц. сайт.
- 15.05.2002. - Режим доступа: http://www.m3m.ru/articles/ 2002/5/15/2599.html
<http://www.m3m.ru/articles/%202002/5/15/2599.html>. - 25.09.2010.
2
Амурская область в цифрах: краткий статистический сборник / Благовещенск:
Амурстат., 2010. - 436 с.
Амурский
статистический ежегодник : статистический сборник / Благовещенск: Амурстат.,
2009. - 620 с.
КонсультантПлюс.
О государственном пенсионном обеспечении в Российской Федерации: федер. закон №
166-ФЗ от 15 декабря 2001 г. [Электронный ресурс] : офиц. сайт. - Режим доступа
: http://base.consultant.ru/cons/cgi/ online.cgi?req=doc;base=LAW;n=101538
<http://base.consultant.ru/cons/cgi/%20online.cgi?req=doc;base=LAW;n=101538>.
- 27.09.2010.
КонсультантПлюс.
О трудовых пенсиях в Российской Федерации: федер. закон № 173-ФЗ от 17 декабря
2001 г. [Электронный ресурс] : офиц. сайт. - Режим доступа :
http://base.consultant.ru/cons/cgi/online.cgi?req=doc;base=LAW; n=90024
<http://base.consultant.ru/cons/cgi/online.cgi?req=doc;base=LAW;%20n=90024>.
- 27.09.2010.
Лизинг
- справочно-информационный портал. Статистика пенсионного обеспечения населения
[Электронный ресурс]. - Режим доступа:
<http://www.leasingworld.ru/kurs_soc_econom_stat/800-statistika-pensionnogo-obespechenija.html>.
- 25.09.2010.
О
состоянии пенсионного обеспечения и уровне жизни пенсионеров Амурской области в
2009 году: записка / ред. Г. А. Серебрякова. - Благовещенск.: Амурстат., 2010.
- 24 с.
Статистика
: учеб. пособие / ред. В. М. Симчера. - М.: Финансы и статистика, 2005. - 368
с.: ил.
Территориальный
орган федеральной службы государственной статистики по Амурской области [
Электронный ресурс] : офиц. сайт. - Режим доступа :
<http://amurstat.gks.ru/default.aspx>. - 1.10.2010.
Федеральная
служба государственной статистики [Электронный ресурс]: офиц. сайт. - Режим
доступа : <http://www.gks.ru/>. - 20.09.2010.
Приложение А
Таблица А.1 - Численность
пенсионеров по городским округам и муниципальным районам на конец года
|
|
Человек
|
|
|
1998
|
1999
|
2000
|
2001
|
2002
|
2003
|
2004
|
2005
|
2006
|
2007
|
2008
|
2009
|
|
Амурская область
|
205106
|
207870
|
210288
|
212675
|
211429
|
212064
|
212665
|
215152
|
217016
|
220585
|
221664
|
225797
|
|
г.Благовещенск
|
40402
|
41311
|
42231
|
43259
|
43467
|
43853
|
44790
|
46336
|
47148
|
48858
|
49704
|
51328
|
|
г.Белогорск
|
15842
|
15968
|
16052
|
16189
|
16102
|
21534
|
21361
|
21547
|
21645
|
22195
|
22187
|
22483
|
|
г.Зея
|
7893
|
13965
|
14127
|
14141
|
8338
|
14394
|
14533
|
14688
|
14704
|
14736
|
14814
|
14948
|
|
г.Райчихинск
|
12139
|
12165
|
12207
|
12185
|
11947
|
12006
|
11867
|
11933
|
12137
|
12161
|
12238
|
12323
|
|
г.Свободный
|
16959
|
17238
|
17455
|
22148
|
17828
|
21970
|
22000
|
21679
|
21831
|
21827
|
21703
|
21882
|
|
г.Тында
|
6215
|
6390
|
6801
|
10319
|
7490
|
11197
|
11726
|
12430
|
12877
|
13454
|
13846
|
14460
|
|
г.Шимановск
|
5293
|
5308
|
5265
|
5313
|
5225
|
7429
|
7417
|
7393
|
7395
|
7457
|
7508
|
7669
|
|
муниципальные районы:
|
|
|
|
|
|
|
|
|
|
|
|
|
|
Архаринский
|
5604
|
5629
|
5628
|
5637
|
5439
|
5315
|
5289
|
5127
|
5130
|
5184
|
5115
|
5161
|
|
Белогорский
|
5182
|
5290
|
5299
|
5307
|
5272
|
…
|
…
|
…
|
…
|
….
|
…
|
…
|
|
Благовещенский
|
4562
|
4672
|
4775
|
4945
|
5000
|
5112
|
5081
|
5138
|
5193
|
5329
|
5398
|
5596
|
|
Бурейский
|
6883
|
6995
|
7001
|
7076
|
6798
|
6828
|
6863
|
7004
|
6936
|
6991
|
6954
|
7085
|
|
Завитинский
|
5049
|
5100
|
5059
|
5080
|
5051
|
5013
|
5006
|
5072
|
4959
|
4958
|
4927
|
4908
|
|
Зейский
|
5955
|
…
|
…
|
…
|
5896
|
…
|
…
|
…
|
…
|
…
|
…
|
…
|
|
Ивановский
|
6582
|
6933
|
7028
|
6955
|
6935
|
6983
|
7010
|
7132
|
7179
|
7249
|
7297
|
|
Константиновский
|
3519
|
3565
|
3665
|
3764
|
3688
|
3798
|
3721
|
3708
|
3685
|
3684
|
3682
|
3763
|
|
Магдагачинский
|
6948
|
6911
|
6868
|
6810
|
6647
|
6571
|
6501
|
6498
|
6454
|
6506
|
6469
|
6504
|
|
Мазановский
|
4624
|
4688
|
4718
|
4674
|
4558
|
4514
|
4344
|
4283
|
4309
|
4294
|
4220
|
4303
|
|
Михайловский
|
4765
|
4831
|
4866
|
4857
|
4670
|
4666
|
4569
|
4573
|
4549
|
4609
|
4587
|
4624
|
|
Октябрьский
|
4967
|
5067
|
5095
|
5129
|
5133
|
4997
|
4991
|
4998
|
4988
|
4919
|
4868
|
4901
|
|
Ромненский
|
3199
|
3167
|
3203
|
3260
|
3245
|
3225
|
3221
|
3158
|
3120
|
3120
|
3086
|
3114
|
|
Свободненский
|
4399
|
4551
|
4575
|
…
|
4506
|
…
|
…
|
…
|
…
|
…
|
…
|
…
|
|
Селемджинский
|
2695
|
2709
|
2653
|
2748
|
2713
|
2755
|
2801
|
2876
|
2984
|
3062
|
3155
|
3257
|
|
Серышевский
|
6523
|
6570
|
6625
|
6679
|
6479
|
6463
|
6412
|
6343
|
6356
|
6390
|
6294
|
6404
|
|
Сковородинский
|
7777
|
7635
|
7624
|
7542
|
7316
|
7122
|
6968
|
6970
|
6922
|
6994
|
6964
|
6993
|
|
Тамбовский
|
6045
|
6189
|
6321
|
6432
|
6348
|
6367
|
6221
|
6388
|
6562
|
6678
|
6696
|
6794
|
|
Тындинский
|
2949
|
3016
|
3109
|
…
|
3183
|
…
|
…
|
…
|
…
|
…
|
…
|
…
|
|
Шимановский
|
2136
|
2149
|
2133
|
2153
|
2135
|
…
|
…
|
…
|
…
|
…
|
…
|
…
|
Приложение Б
Таблица Б.1 - Численность
постоянного населения Амурской области
|
2000
|
2002
|
2003
|
2004
|
2005
|
2006
|
2007
|
2008
|
2009
|
|
Численность
постоянного населения на конец года - всего, тыс. человек
|
923,1
|
901,0
|
894,5
|
887,6
|
881,1
|
874,6
|
869,6
|
864,5
|
860,7
|
Таблица Б.2 - Средний размер
назначенных месячных пенсий в рублях
|
|
2000
|
2001
|
2002
|
2003
|
2004
|
2005
|
2006
|
2007
|
2008
|
2009
|
|
Все пенсионеры
|
817,7
|
1120,8
|
1435,3
|
1719,5
|
2016,3
|
2537,9
|
2845,6
|
3705,4
|
4587,1
|
6242,8
|
|
получающие трудовые пенсии:
|
|
|
|
|
|
|
|
|
|
|
|
по
старости
|
899,0
|
1262,0
|
1594,1
|
1921,7
|
2252,0
|
2814,9
|
3164,1
|
4060,8
|
5029,5
|
6775,2
|
|
по
инвалидности
|
724,9
|
950,0
|
1178,1
|
1390,1
|
1666,1
|
2121,6
|
2350,2
|
3126,5
|
3829,6
|
5310,5
|
|
по
случаю потери кормильца (на каждого нетрудоспособного члена семьи)
|
545,7
|
668,5
|
804,3
|
1026,0
|
1215,6
|
1469,2
|
1673,2
|
2095,7
|
2827,4
|
3877,7
|
|
за
выслугу лет
|
721,0
|
904,2
|
-
|
-
|
-
|
-
|
-
|
-
|
-
|
-
|
|
получающие пенсии по государственному
обеспечению:
|
|
|
|
|
|
|
|
|
|
|
|
социальные
|
557,1
|
645,6
|
1117,5
|
1273,9
|
1414,0
|
1983,0
|
2080,5
|
3011,0
|
3252,2
|
4579,3
|
|
госслужащие,
получающие пенсии по старости (или по инвалидности) и за выслугу лет
|
-
|
-
|
-
|
3404,6
|
3998,8
|
4171,8
|
4450,7
|
6055,1
|
7590,8
|
9215,6
|
Приложение В
Таблица В.1 - Возрастно-половой
состав населения на 1 января 2010 года, человек
|
Возраст
(лет)
|
Амурская
область
|
Городской
округ г.Благовещенск
|
|
оба
пола
|
мужчины
|
женщины
|
оба
пола
|
мужчины
|
женщины
|
|
0
|
11255
|
5769
|
5486
|
2604
|
1322
|
1282
|
|
1
|
11006
|
5579
|
5427
|
2519
|
1264
|
1255
|
|
2
|
10674
|
5488
|
5186
|
2392
|
1250
|
1142
|
|
3
|
10057
|
5182
|
4875
|
2316
|
1218
|
1098
|
|
4
|
10245
|
5313
|
4932
|
2344
|
1206
|
1138
|
|
0-4
|
53237
|
27331
|
25906
|
12175
|
6260
|
5915
|
|
5
|
10594
|
5405
|
5189
|
2426
|
1259
|
1167
|
10633
|
5383
|
5250
|
2278
|
1163
|
1115
|
|
7
|
9680
|
5069
|
4611
|
2068
|
1113
|
955
|
|
8
|
9022
|
4698
|
4324
|
2002
|
1033
|
969
|
|
9
|
8647
|
4345
|
4302
|
1835
|
904
|
931
|
|
5-9
|
48576
|
24900
|
23676
|
10609
|
5472
|
5137
|
|
10
|
8380
|
4273
|
4107
|
1743
|
904
|
839
|
|
11
|
8799
|
4492
|
4307
|
1729
|
906
|
823
|
|
12
|
8363
|
4249
|
4114
|
1731
|
889
|
842
|
|
13
|
8781
|
4507
|
4274
|
1782
|
879
|
903
|
|
14
|
9180
|
4695
|
4485
|
1953
|
1002
|
951
|
|
10-14
|
43503
|
22216
|
21287
|
8938
|
4580
|
4358
|
|
15
|
9544
|
4860
|
4684
|
2076
|
1024
|
1052
|
|
16
|
9604
|
4844
|
4760
|
2048
|
1021
|
1027
|
|
17
|
11159
|
5698
|
5461
|
2389
|
1198
|
1191
|
|
18
|
12350
|
6308
|
6042
|
2695
|
1421
|
1274
|
|
19
|
15511
|
8475
|
7036
|
3762
|
2221
|
1541
|
|
15-19
|
58168
|
30185
|
27983
|
12970
|
6885
|
6085
|
|
20
|
15223
|
8192
|
7031
|
3386
|
1828
|
1558
|
|
21
|
16259
|
8553
|
7706
|
3574
|
1735
|
1839
|
|
22
|
16900
|
8740
|
8160
|
3782
|
1789
|
1993
|
|
23
|
17122
|
8799
|
8323
|
4040
|
1945
|
2095
|
|
24
|
15602
|
7948
|
7654
|
6733
|
3032
|
3701
|
|
20-24
|
81106
|
42232
|
38874
|
21515
|
10329
|
11186
|
|
25
|
16099
|
8145
|
7954
|
5953
|
2918
|
3035
|
|
26
|
17331
|
9480
|
7851
|
5092
|
2633
|
2459
|
|
27
|
16933
|
9107
|
7826
|
5013
|
2507
|
2506
|
|
28
|
14533
|
7495
|
7038
|
4117
|
1978
|
2139
|
|
29
|
14780
|
7690
|
7090
|
3883
|
1874
|
2009
|
|
25-29
|
79676
|
41917
|
37759
|
24058
|
11910
|
12148
|
|
30
|
14169
|
7071
|
7098
|
3645
|
1675
|
1970
|
|
31
|
14195
|
7138
|
7057
|
3646
|
1681
|
1965
|
|
32
|
14014
|
6988
|
7026
|
3707
|
1678
|
2029
|
|
33
|
13842
|
6910
|
6932
|
3649
|
1696
|
1953
|
|
34
|
13725
|
6763
|
6962
|
3666
|
1705
|
1961
|
|
30-34
|
69945
|
34870
|
35075
|
18313
|
8435
|
9878
|
|
35
|
13224
|
6514
|
6710
|
3637
|
1698
|
1939
|
|
36
|
12773
|
6300
|
6473
|
3299
|
1572
|
1727
|
|
37
|
13268
|
6603
|
6665
|
3563
|
1665
|
1898
|
|
38
|
12400
|
6156
|
6244
|
3343
|
1608
|
1735
|
|
39
|
11843
|
5759
|
6084
|
3093
|
1428
|
1665
|
|
35-39
|
63508
|
31332
|
32176
|
16935
|
7971
|
8964
|
|
40
|
11166
|
5447
|
5719
|
2899
|
1390
|
1509
|
|
41
|
10298
|
5030
|
5268
|
2595
|
1209
|
1386
|
|
42
|
10224
|
4912
|
5312
|
2649
|
1192
|
1457
|
|
43
|
10379
|
4942
|
5437
|
2578
|
1129
|
1449
|
|
44
|
10333
|
4983
|
5350
|
2614
|
1253
|
1361
|
|
40-44
|
52400
|
25314
|
27086
|
13335
|
6173
|
7162
|
|
45
|
11092
|
5266
|
5826
|
2742
|
1262
|
1480
|
|
46
|
11808
|
5507
|
6301
|
2901
|
1288
|
1613
|
|
47
|
12288
|
5794
|
6494
|
3009
|
1300
|
1709
|
|
48
|
6147
|
6836
|
2951
|
1320
|
1631
|
|
49
|
13559
|
6392
|
7167
|
3106
|
1399
|
1707
|
|
45-49
|
61730
|
29106
|
32624
|
14709
|
6569
|
8140
|
|
50
|
13436
|
6219
|
7217
|
2974
|
1240
|
1734
|
|
51
|
13138
|
6036
|
7102
|
2805
|
1212
|
1593
|
|
52
|
12800
|
5871
|
6929
|
2701
|
1178
|
1523
|
|
53
|
12879
|
5768
|
7111
|
2849
|
1179
|
1670
|
|
54
|
12943
|
5724
|
7219
|
2703
|
1089
|
1614
|
|
50-54
|
65196
|
29618
|
35578
|
14032
|
5898
|
8134
|
|
55
|
13050
|
5847
|
7203
|
2882
|
1200
|
1682
|
|
56
|
12127
|
5373
|
6754
|
2747
|
1162
|
1585
|
|
57
|
12379
|
5499
|
6880
|
2791
|
1177
|
1614
|
|
58
|
11820
|
5137
|
6683
|
2762
|
1112
|
1650
|
|
59
|
11248
|
4943
|
6305
|
2733
|
1062
|
1671
|
|
55-59
|
60624
|
26799
|
33825
|
13915
|
5713
|
8202
|
|
60
|
10716
|
4522
|
6194
|
2375
|
931
|
1444
|
|
61
|
8591
|
3625
|
4966
|
2094
|
838
|
1256
|
|
62
|
9023
|
3876
|
5147
|
2353
|
974
|
1379
|
|
63
|
7396
|
3096
|
4300
|
1971
|
760
|
1211
|
|
64
|
4349
|
1870
|
2479
|
1157
|
494
|
663
|
|
60-64
|
40075
|
16989
|
23086
|
9950
|
3997
|
5953
|
|
65
|
3538
|
1384
|
2154
|
919
|
363
|
556
|
|
66
|
3252
|
1210
|
2042
|
814
|
315
|
499
|
|
67
|
4942
|
1800
|
3142
|
1212
|
434
|
778
|
|
68
|
6450
|
2331
|
4119
|
1584
|
568
|
1016
|
|
69
|
7105
|
2590
|
4515
|
1721
|
627
|
1094
|
|
65-69
|
25287
|
9315
|
15972
|
6250
|
2307
|
3943
|
|
70
|
6865
|
2383
|
4482
|
1692
|
604
|
1088
|
|
71
|
6270
|
2120
|
4150
|
1508
|
505
|
1003
|
|
72
|
6519
|
2194
|
4325
|
1626
|
531
|
1095
|
|
73
|
5233
|
1609
|
3624
|
1196
|
347
|
849
|
|
74
|
4493
|
1408
|
3085
|
1045
|
321
|
724
|
|
70-74
|
29380
|
9714
|
19666
|
7067
|
2308
|
4759
|
|
75
|
3105
|
1015
|
2090
|
793
|
244
|
549
|
|
76
|
2673
|
826
|
1847
|
597
|
173
|
424
|
|
77
|
3157
|
888
|
2269
|
716
|
184
|
532
|
|
78
|
2800
|
783
|
2017
|
659
|
180
|
479
|
|
79
|
2861
|
767
|
2094
|
633
|
152
|
481
|
|
75-79
|
14596
|
4279
|
10317
|
3398
|
933
|
2465
|
|
80
|
2509
|
634
|
1875
|
528
|
125
|
403
|
|
81
|
2390
|
628
|
1762
|
583
|
148
|
435
|
|
82
|
1887
|
495
|
1392
|
457
|
124
|
333
|
|
83
|
1656
|
445
|
1211
|
414
|
108
|
306
|
|
84
|
1188
|
272
|
916
|
324
|
86
|
238
|
|
80-84
|
9630
|
2474
|
7156
|
2306
|
591
|
1715
|
|
85
|
1077
|
216
|
861
|
270
|
61
|
209
|
|
86
|
837
|
162
|
675
|
244
|
50
|
194
|
|
87
|
569
|
107
|
462
|
157
|
32
|
125
|
|
88
|
350
|
63
|
287
|
81
|
22
|
59
|
|
89
|
384
|
68
|
316
|
127
|
18
|
109
|
|
85-89
|
3217
|
2601
|
879
|
183
|
696
|
|
90
|
227
|
31
|
196
|
70
|
11
|
59
|
|
91
|
197
|
40
|
157
|
62
|
10
|
52
|
|
92
|
100
|
25
|
75
|
21
|
4
|
17
|
|
93
|
87
|
11
|
76
|
40
|
8
|
32
|
|
94
|
34
|
14
|
20
|
8
|
5
|
3
|
|
90-94
|
645
|
121
|
524
|
201
|
38
|
163
|
|
95
|
79
|
9
|
70
|
31
|
4
|
27
|
|
96
|
24
|
11
|
13
|
8
|
8
|
|
|
97
|
23
|
4
|
19
|
7
|
3
|
4
|
|
98
|
17
|
6
|
11
|
9
|
3
|
6
|
|
99
|
9
|
3
|
6
|
2
|
2
|
|
|
95-99
|
152
|
33
|
119
|
57
|
20
|
37
|
|
100
лет и старше
|
35
|
4
|
31
|
11
|
|
11
|
|
Итого
|
860686
|
409365
|
451321
|
211623
|
96572
|
115051
|
|
Из общей численности население в возрасте
|
|
|
|
|
|
|
|
моложе трудоспособного
|
154860
|
79307
|
75553
|
33798
|
17336
|
16462
|
|
|
|
|
|
|
|
|
|
|
|
|
|
|
|
|
|
|
Приложение Г
Таблица Г.1 - Численность занятых в
экономике по полу и группам занятий в среднем за 2009 год
|
Тыс.
человек
|
В
% к итогу
|
|
|
всего
|
мужчины
|
женщины
|
всего
|
мужчины
|
женщины
|
|
Всего занято в экономике
|
417,3
|
208,5
|
208,8
|
100,0
|
100,0
|
100,0
|