Прогнозирование объема прибыли предприятия при наличии сезонной компоненты
Прогнозирование объема прибыли предприятия при наличии
сезонной компоненты
Оглавление
сезонная экономическая модель
Введение
1. Тренд-сезонные
экономические процессы и их анализ
. Ряд
Фурье и его использование для прогнозирования динамики с сезонными колебаниями.
Оценивание параметров ряда Фурье. Применение ряда Фурье к остаточным величинам
и к первым разностям
. Прогнозирование
при наличии сезонной компоненты. Аддитивная и мультипликативная модели
сезонности. Коэффициенты сезонности
4.Применение
экономико-математической модели для прогнозирования объемов прибыли компании
Компания Вимм-Билль-Данн»
Заключение
Литература
Введение
Целью анализа финансово-хозяйственной деятельности предприятия является
оценка его текущего финансового состояния, а также определение того, по каким
направлениям нужно вести работу по улучшению этого состояния. При этом
желательным полагается такое состояние финансовых ресурсов, при котором
предприятие, свободно маневрируя денежными средствами, способно путем эффективного
их использования обеспечить бесперебойный процесс производства и реализации
продукции, а также затраты по его расширению и обновлению.
Актуальность задач, связанных с прогнозированием прибыли предприятия,
отражена в одном из используемых определений финансового анализа, согласно
которому финансовый анализ представляет собой процесс, основанный на изучении
данных о финансовом состоянии предприятия и результатах его деятельности в
прошлом с целью оценки будущих условий и результатов деятельности. Таким
образом, главной задачей финансового анализа является снижение неизбежной
неопределенности, связанной с принятием экономических решений, ориентированных
в будущее. При таком подходе финансовый анализ может использоваться как
инструмент обоснования краткосрочных и долгосрочных экономических решений,
целесообразности инвестиций.
1.
Тренд-сезонные экономические процессы и их анализ
Рассмотрим ряд проблем и основных понятий, связанных с исследованием
сезонных колебаний в экономике. Сезонность, как правило, связывается
исключительно со сменой природно-климатических условий в рамках ограниченного
промежутка времени - годового периода. Наиболее ярко эта связь видна там, где
исследуемые процессы прямо связаны с естественными особенностями того или иного
времени года: в сельском хозяйстве, добывающих отраслях, отраслях легкой
промышленности, обрабатывающих сельскохозяйственную продукцию, и др. Однако
сезонные колебания формируются не только под влиянием природно-климатических
факторов, но и, пусть в меньшей мере, под влиянием иных особенностей системы,
уходящих корнями в экономику.
Влияние сезонности на экономику вполне очевидно и проявляется в аритмии
производственных и других процессов: недогрузка производственных мощностей в
одни периоды года и более интенсивное их использование в другие; неравномерное
распределение внутри рамок года объемов грузооборота и товарооборота и т.д. Не
во всех случаях сезонность является следствием действия неуправляемых или почти
неуправляемых факторов. Чаще всего они поддаются регулированию. Но даже и в тех
случаях, когда прямое воздействие на процессы, вызывающие сезонные колебания,
невозможно, необходимо учитывать их действие при
совершенствованиитехнологических, организационно-экономических процессов и
процессов управления. Для того чтобы можно было целенаправленно влиять на
сезонность, необходимо уметь измерять и анализировать сезонность, уметь
предвидеть развитие процессов, подверженных сезонным колебаниям.
Под сезонными колебаниями понимают регулярные, периодические наступления
внутригодовых подъемов и спадов производства, грузооборота и товарооборота и т.
д., связанных со сменой времени года, а под сезонностью - ограниченность
годового периода работ под влиянием того же природного фактора.
Упорядоченная во времени последовательность наблюдений экономического
процесса называется временным рядом, и если процесс подвержен периодическим
колебаниям, имеющим определенный и постоянный период, равный годовому
промежутку, то мы имеем дело с так называемым тренд-сезонным временным рядом (сезонным
временным рядом).
Почти
всюду, где не оговорено специально, будем рассматривать тренд-сезонный
временной ряд 
, 
,
порождаемый аддитивным случайным процессом:
(1)
где

- тренд;

-
сезонная компонента;

-
случайная компонента;
T - число
уровней наблюдения.
Относительно

предполагается,
что это некоторая гладкая функция, степень гладкости которой заранее
неизвестна. Сезонная компонента 
имеет
период 
:
(
=12 для
ряда месячных данных; 
= 4 -
для ряда квартальных данных).
Кроме
того, известно, что 
нацело
делит 
, т.е. 
, m -
целое число. Очевидно, если 
- число
месяцев или кварталов в году, то m - число лет, представленных во временном ряду 
. Часто
исходные данные тренд-сезонного временного ряда представляются в виде матрицы 
размера 
. В этом
случае выражение (1) имеет вид:
(2)
Запишем
соотношения, устанавливающие связь между индексами t и 
:
(3)
Постараемся
выделить и кратко охарактеризовать задачи, возникающие при исследовании
сезонности вообще и сезонных временных рядов в частности. Проблема анализа
сезонности заключается в исследовании собственно сезонных колебаний и в
изучении того внешнего циклического механизма, который их вызывает. Для
исследования сезонных колебаний вне связи с причинами, их порождающими,
очевидно, необходимо отфильтровать из временного ряда 
сезонную
компоненту 
и затем
уже анализировать ее динамику.
Большинство
методов фильтрации построено таким образом, что предварительно выделяется
тренд, а затем уже сезонная компонента. Тренд в чистом виде необходим и для
анализа динамики сезонной волны.
При
исследовании сезонной волны 
чаще
всего предполагается, что она не изменяется год от года, т.е. 
, 
.На самом
же деле такое предположение далеко отдействительности, по крайней мере для
большинства экономическихпроцессов. Для сезонной волны характерно изменениесо
временем как ее размаха, так и формы. В результатевозникает необходимость в
анализе и предсказанииизменений сезонной волны.
Перечислим
теперь задачи, которые возникают приисследовании сезонных временных рядов:
1. определение наличия во временном ряду тренда иопределение степени
его гладкости;
. выявление наличия во временном ряду сезонныхколебаний;
. фильтрация компонент ряда;
. анализ динамики сезонной волны;
. исследование факторов, определяющих сезонные колебания;
. прогнозирование тренд-сезонных процессов.
Объясним
суть некоторых понятий и дадим краткую характеристику каждого пункта. Под
степенью гладкости тренда мы будем понимать минимальную степень полинома,
адекватно сглаживающего компоненту 
.Этот
пункт используется в некоторых итерационных алгоритмах фильтрации при выделении
из временного ряда 
его
компонент 
, 
, 
.
Выявление
наличия во временном ряду сезонных колебаний сводится к проверке на случайность
остаточного ряда:
Под
фильтрацией компонент ряда понимается выделение из ряда 
его
составляющих 
, 
, 
.
Анализ
динамики, или эволюции, сезонной волны можетрассматриваться как процесс решения
трех взаимосвязанныхзадач:
1. Анализ динамики амплитуды сезонной волны в каждоммесяце
(квартале, неделе);
. Анализ динамики точек экстремума сезонной волны;
. Исследование изменений формы волны.
В каких бы формах ни проявляласьсезонность, в любом случае ее действие
отрицательносказывается на результатах деятельности предприятия, фирмы,отрасли,
экономики в целом. Управление сезонностью должноопираться на знание законов ее
эволюции, на знание внешнейсреды, в которой происходит развитие процесса,
подверженногосезонным колебаниям.
Рассмотрим некоторые теоретические вопросывыявления и фильтрации сезонной
компоненты временногоэкономического ряда. По-прежнему будем
рассматриватьвременные ряды, порождаемые аддитивным случайным процессом.
Определим понятия сглаживания ифильтрации.
Под
сглаживанием тренд-сезонного временного ряда будем понимать процесс получения
оценок 
, а под
фильтрацией компонент - процесс получения оценок 
, 
и 
.В
настоящее время развиваются три основных направления фильтрации компонент
временного ряда вида: регрессионные, спектральные и итерационные. Рассмотрим
более подробно итерационные.[1]
Итерационные методы фильтрации
При
выделении(фильтрации) компонент временного ряда с помощью техили иных методов
неизбежно встает вопрос о «чистоте»фильтрации, т.е. вопрос о степени близости
оценок 
и 
их
истинным значениям 
, 
. Следует
отметить, что покани один из известных методов не обеспечивает
необходимойстепени чистоты фильтрации для временных рядов различнойструктуры.
Итерационные
методы фильтрации составляющих временногоряда появились в свое время как
результат признанияневозможности выделения компонент ряда прямыми методами.
Основная
идея итерационных процедур заключается вмногократном применении скользящей
средней:
(4)
и одновременной оценке сезонной компоненты в каждомцикле. При этом
переход от одного шага итерационнойпроцедуры к другому может сопровождаться
изменениемпараметров скользящей средней. Если формулу для скользящейсредней
записать в виде
(5)
то
при переходе от одной итерации к другой может происходитьизменение длины
участка скольжения 
и
законаизменения весовых коэффициентов 
. В
некоторых итерационныхметодах, кроме того, используется регрессия (какправило,
линейная) исходного ряда 
на преобразованныйв
первом шаге ряд 
.
Итерационные
методы отличает простота и удовлетворительная«чистота» фильтрации компонент
ряда. Однаковсем им присущ и весьма существенный недостаток. Применениескользящей
средней приводит к потере части информации на концах временного ряда.
Далее
рассмотрим два итерационных метода: Четвериковаи Шискина-Эйзенпресса.[1]
Метод Четверикова
Эмпирический
ряд 
выравниваетсяскользящей
средней с периодом скольжения
, т.е.
берется (
+1)
членов исходного ряда, из которыхпервый и последний берутся с половинным весом:
.Выпадающие

/2 членов
ряда с обоих его концовлибо восстанавливаются экстраполированием
выравненногоряда, либо остаются в стороне при последующей стадии работ.
Получается
предварительная оценка тренда
и
отклонения эмпирического ряда от выравненного
Или

, 
,

. (6)
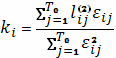
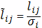
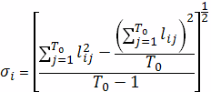
Для
каждого года i вычисляется
-
среднеквадратическое отклонение, на которое и делятся затем отдельныемесячные
(квартальные) отклонения соответствующего года:
(7)
Где
(8)
Из «нормированных» таким путемотклонений вычисляетсяпредварительная
средняя сезонная волна:
(9)
Средняя предварительная сезонная волна умножаетсяна среднеквадратическое
отклонение каждого года и вычитаетсяиз эмпирического ряда:
(10)
Получающийся
таким образом ряд, лишенный предварительнойсезонной волны, вновь сглаживается
скользящейсредней (для месячных данных по пяти или семи точкам взависимости от
интенсивности мелких конъюнктурных колебанийи продолжительности более крупных).
В результатеполучается новая оценка тренда 
.
Отклонения
эмпирического ряда Ytот ряда 
,полученногов
п. 5

, (11)
вновь подвергаются аналогичной обработке по пп. 2 и 3 длявыявления
окончательной средней сезонной волны.
Исключение
окончательной сезонной волны производитсяпосле умножения средней сезонной волны
на 
-коэффициент
напряженности сезонной волны:
(12)
где

-
выравненные значения ряда, 
-
случайнаякомпонента:
Описанный
метод был разработан Четвериковым в 1928 г.и в отличие от разработанных ранее
методов простой средней,метода Персонса и других позволял исключать влияние
сезонныхволн переменной структуры.
Метод Шискина-Эйзенпресса
В методике Шискина-Эйзенпресса, кроме скользящей средней, на втором
ипоследующих этапах итерационной процедуры применяютсяболее сложные пятнадцати-
и двадцатиодноточечные скользящиеСпенсера. Они имеют соответственно следующий
вид:
(12)
или в цифровой записи Кендалла:
(13)
(14)
В
(14) и (15) символы 
означают
выравнивание рядаскользящей средней. Так, например, если N=5, то
(15)
Символ

означает
двойное последовательное выравниваниеряда 
одной и
той же скользящей средней, т.е. еслиN=5, то сначала получаем выравненные оценки

по
(16),затем к ним применяем ту же скользящую среднюю (16):
Если
рассматривается двадцатиодноточечнаяскользящая средняя (12), то затем мы должны
были бы применитьеще одно выравнивание по семи точкам:
И
в заключение
В
результате мы должны будем получить выражение (12).
Чем
вызвано применение скользящих средних Спенсерав методе Шискина-Эйзенпресса?
Дело в том, что скользящаясредняя с симметрично-равными весами вида (4)
позволяетвыделить лишь линейный тренд. Если же тренд насамом деле нелинеен, то
сглаживание временного ряда, содержащегонелинейный тренд, дает искаженные его
значения.
Скользящая
средняя Спенсера позволяет получать точныеоценки тренда, выраженного полиномами
до третьей степенивключительно.
Рассмотрим
теперь собственно метод Шискина-Эйзенпресса.[1]
Исходный
ряд
выравнивается
скользящей средней (4). Делается это, как и в методе Четверикова, с той целью,чтобы
не исказить сезонную компоненту 
. Если бы
мы использовалискользящую среднюю с другим периодом скольжения,то это привело
бы к изменению как амплитуды, так
и
формы сезонной волны.
Рассчитываются
остаточные значения:

,
или

.
Вычисляются
средние значения остаточного ряда в целомпо ряду 
и по
месяцам (кварталам) 
:
(16)
Находится предварительная оценка средней сезоннойволны
(17)
и строится новый ряд, относительно свободный от сезоннойкомпоненты

. (18)
К
ряду 
применяется
сглаживание скользящейсредней Спенсера:

. (19)
Находится улучшенная оценка сезонной компоненты:

. (20)
2. Ряд Фурье и его использование для прогнозирования
динамики с сезонными колебаниями. Оценивание параметров ряда Фурье. Применение
ряда Фурье к остаточным величинам и к первым разностям
Адекватные модели прогноза должны учитывать множество факторов. Один из
них - наличие периодических колебаний в ряду динамики показателей.
Периодический временной ряд можно задать четырьмя параметрами:
1. Средним
значением 
;
. Периодом
P или частотой f;
. Амплитудой
A;
4. Фазой
Ф.
Период (P) - это интервал времени, необходимый
для того, чтобы временной ряд начал повторяться.
Частота временного ряда (f) -
это величина, обратная периоду.
Амплитуда временного ряда (A) -
это отклонение от среднего уровня до пика или впадины значений временного ряда.
Фаза (Ф) - это расстояние между началом отсчета времени (t=0) и ближайшим пиковым значением.

-
гармоническое представление временного ряда;
Где

-
угловая частота;

- фаза;
Иначе
данную формулу можно записать в виде:

-
параметры гармоники.
То
есть фазы периодического ряда и амплитуда связаны с параметрами гармонического
представления временного ряда.
Теоретически,
любой стационарный временной ряд (то есть не имеющий тенденции, варьирующий
относительно некоторого среднего уровня) может быть представлен в следующем
виде:

- ряд
Фурье.
Анализируемые
временные ряды обычно имеют конечную длину N, поэтому ряд
Фурье приобретает вид:
То
есть число гармоник (число слагаемых) должно быть в два раза меньше длины
временного ряда.
Пусть

, 
, , тогда
Оценка
параметров данного уравнения производится с помощью МНК.
Система
для случая с одной гармоникой имеет вид:
Решив
эту систему, получим:
Аналогично
рассчитываются коэффициенты второй гармоники:
Часто
хорошее описание временного ряда достигается с использованием двух гармоник.
Рассмотрим
пример.
Дан
временной ряд, характеризующий среднемесячную заработную плату. Необходимо
провести анализ исходных данных при наличии периодических колебаний во
временном ряду.
По
таблице 1 видно, что для ряда y(t) были вычислены коэффициенты, с помощью которых были
построены ряды с 1-ой, 2-мя, 3-мя и 4-мя гармониками. Также был сделан прогноз
на 2 шага вперед.
Таблица
1
|
N
|
y(t)
|
t
|
yt(1 гарм)
|
yt(2 гарм)
|
yt(3 гарм)
|
yt(4 гарм)
|
а0
|
3820,611
|
|
1
|
2302
|
0
|
3699,6285
|
3607,9955
|
3512,3614
|
3457,7808
|
а1
|
-120,983
|
|
2
|
2289
|
0,174533
|
3517,3056
|
3261,9465
|
3042,6526
|
2838,8934
|
а2
|
-91,633
|
|
3
|
2367
|
0,349066
|
3344,1985
|
2955,9135
|
2671,7193
|
2414,1227
|
а3
|
-95,6341
|
|
4
|
2425
|
0,523599
|
3185,567
|
2711,1889
|
2438,2441
|
2247,3424
|
а4
|
-54,5806
|
|
5
|
2508
|
0,698132
|
3046,231
|
2542,9768
|
2354,4167
|
2319,5349
|
|
|
|
6
|
3025
|
0,872665
|
2930,4241
|
2458,9937
|
2405,3428
|
2542,8026
|
b1
|
-1060,54
|
|
7
|
2733
|
1,047198
|
2841,6651
|
2458,92
|
2554,554
|
2800,0364
|
b2
|
-494,86
|
|
8
|
2655
|
1,22173
|
2782,6508
|
2534,7557
|
2754,0496
|
2992,6907
|
b3
|
-272,945
|
|
9
|
2964
|
1,396263
|
2755,1745
|
2672,0292
|
2956,2233
|
3076,3602
|
b4
|
-251,946
|
|
10
|
2923
|
1,570796
|
2760,0709
|
2851,704
|
3124,6487
|
3070,0681
|
|
|
|
11
|
3054
|
1,745329
|
2797,1913
|
3052,5504
|
3241,1105
|
3037,3512
|
|
|
|
12
|
3284
|
1,919862
|
2865,4078
|
3253,6929
|
3307,3437
|
3049,747
|
|
|
|
13
|
3364
|
2,094395
|
2962,6477
|
3437,0258
|
3341,3917
|
3150,49
|
|
|
|
14
|
3376
|
2,268928
|
3085,9563
|
3589,2105
|
3369,9166
|
3335,0348
|
|
|
|
15
|
3405
|
2,443461
|
3231,5871
|
3703,0175
|
3418,8233
|
3556,2831
|
|
|
|
16
|
3515
|
2,617994
|
3395,115
|
3777,8601
|
3504,9154
|
3750,3977
|
|
|
|
17
|
3578
|
2,792527
|
3571,5715
|
3819,4666
|
3630,9065
|
3869,5476
|
|
|
|
18
|
4541
|
2,96706
|
3755,5949
|
3838,7402
|
3785,0893
|
3905,2262
|
|
|
|
19
|
3760
|
3,141593
|
3941,5937
|
3849,9607
|
3945,5948
|
3891,0142
|
|
|
|
20
|
3725
|
3,316126
|
4123,9166
|
3868,5575
|
4087,8514
|
3884,0922
|
|
|
|
21
|
4031
|
3,490659
|
4297,0237
|
3908,7386
|
4192,9328
|
3935,3361
|
|
|
|
22
|
4110
|
3,665191
|
4455,6552
|
3981,2771
|
4254,2219
|
4063,3201
|
|
|
|
23
|
4187
|
3,839724
|
4594,9913
|
4091,7371
|
4280,2971
|
|
|
|
24
|
4460
|
4,014257
|
4710,7982
|
4239,3678
|
4293,0186
|
4430,4784
|
|
|
|
25
|
4597
|
4,18879
|
4799,5572
|
4416,8121
|
4321,178
|
4566,6604
|
|
|
|
26
|
4511
|
4,363323
|
4858,5714
|
4610,6763
|
4391,3824
|
4630,0234
|
|
|
|
27
|
4521
|
4,537856
|
4886,0477
|
4802,9024
|
4518,7083
|
4638,8452
|
|
|
|
28
|
4646
|
4,712389
|
4881,1513
|
4972,7843
|
4699,8396
|
4645,259
|
|
|
|
29
|
4694
|
4,886922
|
4844,0309
|
5099,39
|
4910,8299
|
4707,0707
|
|
|
|
30
|
5738
|
5,061455
|
4775,8144
|
5164,0995
|
5110,4486
|
4852,852
|
|
|
|
31
|
4696
|
5,235988
|
4678,5745
|
5152,9527
|
5248,5867
|
5057,685
|
|
|
|
32
|
4701
|
5,410521
|
4555,2659
|
5058,5201
|
5277,814
|
5242,9322
|
|
|
|
33
|
4986
|
5,585054
|
4409,6351
|
4881,0655
|
5165,2596
|
5302,7194
|
|
|
|
34
|
5100
|
5,759587
|
4246,1072
|
4628,8523
|
4901,797
|
5147,2794
|
|
|
|
35
|
5221
|
5,934119
|
4069,6507
|
4317,5459
|
4506,1059
|
4744,7469
|
|
|
|
36
|
5550
|
6,108652
|
3885,6274
|
3968,7727
|
4022,4235
|
4142,5604
|
|
|
|
37
|
|
6,283185
|
3699,6285
|
3607,9955
|
3512,3614
|
3457,7808
|
|
|
|
38
|
|
6,457718
|
3517,3056
|
3261,9465
|
3042,6526
|
2838,8934
|
|
|
На рисунке изображены графики, построенные по исходному ряду данных, а
также по рядам с 1-ой, 2-мя, 3-мя и 4-мя гармониками.
Далее необходимо определить, какой из данных рядов наилучший, используя
отклонения фактических значений от расчетных, дисперсии и коэффициенты
детерминации:
Таблица 2
|
|
S^2
|
R^2
|
σ^2
|
|
1 гарм
|
378586,87
|
0,601
|
948278,02
|
|
2 гарм
|
251945,19
|
0,734
|
|
|
3 гарм
|
210122,84
|
0,778
|
|
|
4 гарм
|
176894,8
|
0,813
|
|
Из таблицы 2 делаем вывод, что наилучшим образом отражает исходный
временной ряд с 4-мя гармониками, потому что его отклонение фактических
значений от расчетных наименьшее, а коэффициент детерминации самый высокий.[3]
Чаще всего в экономике встречаются временные ряды, имеющие тенденцию, а
значит такие ряды не являются стационарными.
В этом случае, чтобы применить ряд Фурье, необходимо привесит его к
стационарному виду.
Для этого находится линейный тренд
и применяется ряд Фурье для остаточных величин

.
Существует
также и другой подход.
Для
ряда Фурье используются первые разности:
Это
равносильно учету линейного тренда.
Если
временной ряд обладает линейным трендом и периодическими колебаниями, то
строится суммарный прогноз, то есть прогноз по тренду плюс прогноз по ряду
Фурье для остаточных величин.
Таким
образом, ряд Фурье используется для отображения и прогнозирования динамики
показателей с сезонными колебаниями.[5]
3. Прогнозирование при наличии сезонной компоненты.
Аддитивная и мультипликативная модели сезонности. Коэффициенты сезонности
Большинство регулярных составляющих временных рядов принадлежит к двум
классам: они являются либо трендом, либо сезонной составляющей. Чтобы построить
адекватный прогноз, из временного ряда стоит выделить сезонную компоненту.[4]
Таким образом, тренд представляет собой общую систематическую линейную
или нелинейную компоненту, которая может изменяться во времени.
Сезонная составляющая - это периодически повторяющаяся компонента.
Оба эти вида регулярных компонент часто присутствуют в ряде одновременно.
Если амплитуда сезонных колебаний не меняется с течением времени, то
применяется аддитивная модель временного ряда, имеющая вид:

- тренд
(плавно меняющаяся компонента, описывающая влияние долговременных факторов);

-
сезонная компонента (отражающая повторяемость экономических процессов в течении
года, месяца и тд.);

-
случайная компонента (отражающая влияние не поддающихся учету и регистрации
факторов).
Если
амплитуда сезонных колебаний увеличивается или уменьшается с течением времени,
то применяется мультипликативная модель временного ряда:
Рассмотрим
пример.
Пусть
имеются данные по потреблению электроэнергии за 16 кварталов.
|
t
|
1
|
2
|
3
|
4
|
5
|
6
|
7
|
8
|
|
Yt
|
6
|
4,4
|
5
|
9
|
7,2
|
4,8
|
6
|
10
|
|
t
|
9
|
10
|
11
|
12
|
13
|
14
|
15
|
16
|
|
Yt
|
8
|
5,6
|
6,4
|
11
|
9
|
6,6
|
7
|
10,8
|
Для определения периода сезонных колебаний и типа модели построим график
временного ряда.
По графику видно, что период колебания равен 4, а модель - аддитивная.
Для расчета колебаний необходимо, чтобы объем выборки был кратен периоду
сезонных колебаний, то есть n=k*m, где n -
объем выборки, m - период
колебания, k - константа. Далее необходимо
выровнять исходный ряд. Для этого будем использовать метод скользящих средних
(метод состоит в замене начальных значений их средними значениями на интервале
времени длины m, где m - период сезонной компоненты):
|
t
|
1
|
2
|
3
|
4
|
5
|
6
|
7
|
8
|
|
Yt
|
6
|
4,4
|
5
|
9
|
7,2
|
4,8
|
6
|
10
|
|
Ŷt
|
|
|
6,1
|
6,4
|
6,5
|
6,75
|
7
|
7,2
|
|
t
|
9
|
10
|
11
|
12
|
13
|
14
|
15
|
16
|
|
Yt
|
8
|
5,6
|
6,4
|
11
|
9
|
6,6
|
7
|
10,8
|
|
Ŷt
|
7,4
|
7,5
|
7,75
|
8
|
8,25
|
8,4
|
8,35
|
|
Необходимо отметить, что полученные значения скользящих средних уже не
содержат сезонной компоненты, поскольку представляют среднюю величину за
определенный период. Предварительно оценим сезонную компоненту как разность
между фактическим значением и значением скользящей средней:
|
t
|
1
|
2
|
3
|
4
|
5
|
6
|
7
|
8
|
|
Yt
|
6
|
4,4
|
5
|
9
|
7,2
|
4,8
|
6
|
10
|
|
Ŷt
|
|
|
6,1
|
6,4
|
6,5
|
6,75
|
7
|
7,2
|
|
St
|
|
|
-1,1
|
2,6
|
0,7
|
-1,95
|
-1
|
2,8
|
|
t
|
9
|
10
|
11
|
12
|
13
|
14
|
15
|
16
|
|
Yt
|
8
|
5,6
|
6,4
|
11
|
9
|
6,6
|
7
|
10,8
|
|
Ŷt
|
7,4
|
7,5
|
7,75
|
8
|
8,25
|
8,4
|
8,35
|
|
|
St
|
0,6
|
-1,9
|
-1,35
|
3
|
0,75
|
-1,8
|
-1,35
|
|
Для того чтобы дальше использовать значения сезонной компоненты и
коэффициентов сезонности, необходимо найти средние значения оценок
(коэффициентов) для каждого сезона. Далее полученные средние значения следует
скорректировать таким образом, чтобы сумма оценок сезонной компоненты для
аддитивной модели равнялась нулю.
То есть коэффициенты сезонности должны удовлетворять свойствам:
Сумма сезонных компонент должна равняться нулю, то есть:
Чтобы
в нашем примере выполнялись данные условия, сначала заменим не совпадающие
значения 
на их
среднее арифметическое.
|
t
|
1
|
2
|
3
|
4
|
5
|
6
|
7
|
8
|
|
Yt
|
6
|
4,4
|
5
|
9
|
7,2
|
4,8
|
6
|
10
|
|
Ŷt
|
|
|
6,1
|
6,4
|
6,5
|
6,75
|
7
|
7,2
|
|
|
-1,1
|
2,6
|
0,7
|
-1,95
|
-1
|
2,8
|
|
Ŝt
|
0,58333
|
-1,9833
|
-1,3
|
2,7
|
0,58333
|
-1,9833
|
-1,3
|
2,7
|
|
t
|
9
|
10
|
11
|
12
|
13
|
14
|
15
|
16
|
|
Yt
|
8
|
5,6
|
6,4
|
11
|
9
|
6,6
|
7
|
10,8
|
|
Ŷt
|
7,4
|
7,5
|
7,75
|
8
|
8,25
|
8,4
|
8,35
|
|
|
St
|
0,6
|
-1,9
|
-1,35
|
3
|
0,75
|
-1,8
|
-1,35
|
|
|
Ŝt
|
0,58333
|
-1,9833
|
-1,3
|
2,7
|
0,58333
|
-1,9833
|
-1,3
|
2,7
|
Аналогично
рассчитаны 
, 
, 
. Но
сумма компонент в данном случае равна 0,4.
Для
этого необходимо преобразовать компоненты так, чтобы данное условие
выполнялось.
Если
вычесть 0,1 из каждой сезонной составляющей, то их сумма станет равной нулю:
|
|
|
|
|
|
сумма
|
|
Stнескоррект.
|
0,68333
|
-1,8833
|
-1,2
|
2,8
|
0,4
|
|
Ŝt
|
0,58333
|
-1,9833
|
-1,3
|
2,7
|
0
|
Если в аддитивной модели из фактического значения вычесть сезонную
компоненту (а в мультипликативной модели фактическое значение разделить на
индекс сезонности), то получим данные, в которых нет сезонности.
|
t
|
1
|
2
|
3
|
4
|
5
|
6
|
7
|
8
|
|
Yt
|
6
|
4,4
|
5
|
9
|
7,2
|
4,8
|
6
|
10
|
|
Ŷt
|
|
|
6,1
|
6,4
|
6,5
|
6,75
|
7
|
7,2
|
|
St
|
|
|
-1,1
|
2,6
|
0,7
|
-1,95
|
-1
|
2,8
|
|
Ŝt
|
0,58333
|
-1,9833
|
-1,3
|
2,7
|
0,58333
|
-1,9833
|
-1,3
|
2,7
|
|
y't
|
5,41667
|
6,38333
|
6,3
|
6,3
|
6,61667
|
6,78333
|
7,3
|
7,3
|
|
t
|
9
|
10
|
11
|
12
|
13
|
14
|
15
|
16
|
|
Yt
|
8
|
5,6
|
6,4
|
11
|
9
|
6,6
|
7
|
10,8
|
|
Ŷt
|
7,4
|
7,5
|
7,75
|
8
|
8,25
|
8,4
|
8,35
|
|
|
St
|
0,6
|
-1,9
|
-1,35
|
3
|
0,75
|
-1,8
|
-1,35
|
|
|
Ŝt
|
0,58333
|
-1,9833
|
-1,3
|
2,7
|
0,58333
|
-1,9833
|
-1,3
|
2,7
|
|
y't
|
7,41667
|
7,58333
|
7,7
|
8,3
|
8,41667
|
8,58333
|
8,3
|
8,1
|
Составим уравнение тренда. С помощью регрессионного анализа найдем
необходимые коэффициенты.
|
Коэффициенты
|
|
Y-пересечение
|
5,716666667
|
|
Переменная X
|
0,18627451
|
Уравнение тренда имеет вид:
Прогноз в аддитивной и мультипликативной моделях сезонности происходит по
формулам (1 и 2 соответственно):
1. 
. 
В нашем примере прогнозирование значений происходит путем прибавления к
значению тренда соответствующей уровню сезонной составляющей:

- для
1-го, 5-го, 9-го, 13-го и тд кварталов.
Аналогично
строятся уравнения для остальных кварталов.[2]

- для
2-го, 6-го, 10-го, 14-го и тд кварталов.

- для
3-го, 7-го, 11-го, 15-го и тд кварталов.

- для
4-го, 8-го, 12-го, 16-го и тд кварталов.
4. Применение экономико-математической модели для
прогнозирования объемов прибыли компании «Вимм-Билль-Данн»
«Вимм-Билль-Данн» - лидер рынка молочных продуктов и детского питания в
России и один из ведущих игроков рынка безалкогольных напитков в России и
странах СНГ. «Вимм-Билль-Данну» принадлежит более 35-ти перерабатывающих
заводов в России, на Украине и в Центральной Азии. На этих предприятиях и в
торговых филиалах ВБД работают в общей сложности более 18 тыс. человек.
Данные о прибыли были взяты из ежегодных финансовых отчетов компании с
официального сайта.[6]
Данные были искусственно переработаны с целью наглядного представления
работы модели.
Модель строилась по показателям помесячной валовой прибыли компании за 10
лет с 1999 по 2009 годы. Также была проведена корректировка данных с учетом
инфляции с помощью ИПЦ (помесячные данные об индексе взяты с сайта
www.assessor.ru).[7]
Для данного показателя был построен график, из которого видно, что период
колебания составляет 12 месяцев.
Из этого следует, что для следующего шага алгоритма, а именно
выравнивания исходного ряда с помощью метода скользящих средних, берем g=12. Полученные значения скользящих
средних уже не содержат сезонной компоненты, поскольку представляют среднюю
величину за определенный период. Предварительно оценили сезонную компоненту как
разность между фактическим значением и значением скользящей средней:
Для того чтобы дальше использовать значения сезонной компоненты и
коэффициентов сезонности найдены средние значения оценок (коэффициентов) для
каждого сезона. Далее полученные средние значения скорректированы таким
образом, чтобы сумма оценок сезонной компоненты для аддитивной модели равнялась
нулю.
Но сумма компонент в данном случае равна 2,372645.
|
St
|
сумма
|
|
-2,191
|
2,372645
|
|
-2,287
|
сумма/12
|
|
-2,995
|
0,19772
|
|
1,513
|
|
|
2,744
|
|
|
4,732
|
|
|
3,876
|
|
|
2,493
|
|
|
0,988
|
|
|
-1,602
|
|
|
-2,288
|
|
|
-2,609
|
|
Преобразуем компоненты так, чтобы данное условие выполнялось.
Если вычесть 0,19772 из каждой сезонной составляющей, то их сумма станет
равной нулю:
|
Ŝt
|
сумма
|
|
-2,389
|
0
|
|
-2,484
|
|
|
-3,193
|
|
|
1,316
|
|
|
2,546
|
|
|
4,534
|
|
|
3,678
|
|
|
2,295
|
|
|
0,790
|
|
|
-1,800
|
|
|
-2,486
|
|
|
-2,807
|
|
Если в модели из фактического значения вычесть сезонную компоненту, то
получим данные, в которых нет сезонности.
|
y't
|
|
5,06157
|
|
5,1162
|
|
5,17084
|
|
5,22547
|
|
5,28011
|
|
5,33474
|
|
5,38938
|
|
5,50059
|
|
5,69941
|
|
5,68625
|
|
5,72779
|
|
6,08073
|
Составим уравнение тренда. С помощью регрессионного анализа найдены
необходимые коэффициенты.
|
Y-пересечение
|
-3,6137
|
|
Переменная X 1
|
0,48578
|
Заметим также, что полученная модель хорошо описывает данный процесс, так
как коэффициент детерминации равен 0,916, и коэффициенты модели значимы по P-уровню (<0,05).
Уравнение тренда имеет вид:
Прогноз в аддитивной модели сезонности происходит по формуле:
Здесь прогнозирование значений происходит путем прибавления к значению
тренда соответствующей уровню сезонной составляющей.
Итак, чтобы оценить точность модели, необходимо дождаться данных из
годового отчета на 2010 год и сравнить с полученными по модели результатами.
Заключение
Таким образом, удалось спрогнозировать значения прибыли исследуемой
компании. Выводы об адекватности построенной модели можно будет сделать, когда
появятся официальные данные о прибыли на сайте компании.
Очевидно, что при анализе показателей такого предприятия как
«Вимм-Билль-Данн» необходимо учитывать сезонность, так как в основном его
продукцией являются молочные продукты и соки (производство которых сильно
зависит от времени года), это существенно повышает точность и адекватность
прогнозирования.
Данную модель можно использовать и на других предприятиях при проведении
финансового анализа и прогнозировании прибылей.
Литература
1. Экономико-математические
методы и прикладные модели, под. Ред. В.В. Федосеева
. Лекции
«Методы социально-экономического прогнозирования», Н.А. Черкунова
. Лабораторный
практикум по курсу «Методы социально-экономического прогнозирования», Н.А.
Черкунова
. Анализ
временных рядов и прогнозирование, В.Н. Афанасьев, М.М. Юзбашев
. Статистика,
под. Ред. И.И. Елисеевой
6. <http://www.wbd.ru/>
. <http://www.assessor.ru/forum/index.php?t=1600>