Исследование систем массового обслуживания методом статистического моделирования
Исследование систем
массового обслуживания методом статистического моделирования
1.
Основные положения к выполнению лабораторной работы
Применение аналитических и численных
методов исследования СМО ограничено случаями, когда система является марковской
и описывается уравнениями размножения и гибели или может быть сведена к ней. В
противном случае исследование СМО возможно с помощью метода имитационного
моделирования, основанного на многократной имитации с помощью ЭВМ процессов,
протекающих в системе, с последующей статистической обработкой полученных
результатов.
В качестве основных величин,
характеризующих функционирование исследуемой СМО используют оценки
математического ожидания числа занятых каналов, длины очереди, времени ожидания
заявок в очереди, вероятностей обслуживания заявок, и др. Так, для момента
времени t
(o£t£Tн), где Tн - время моделирования,
могут быть вычислены.
- оценка математического ожидания числа занятых каналов:
здесь
- число занятых каналов в момент времени t в j-й реализации; N - число реализаций (прогонов модели);
- оценка вероятности того, что в системе в момент времени t:
здесь
- число реализаций, в которых на момент
времени t в системе было k требований;
- оценка вероятности, что требование получит отказ:
где
- общее число требований, появившихся к
моменту времени t в j-й реализации;
- число требований, получивших отказ к моменту времени t;
- оценка дисперсии числа занятых каналов в момент времени t:
Для получения представления о точности и надежности этих оценок
могут быть найдены доверительные интервалы Ib при заданной доверительной вероятности b.
. Для математического ожидания числа занятых каналов
Здесь tb находится из распределения Стьюдента при
(N-1) степенях свободы. При больших N (N>30) вместо распределения Стьюдента можно пользоваться
нормальным законом. В этом случае
где Ф(х) - интеграл вероятностей:
2. Для вероятностей
где
При больших N приближенно
где
- С.К.О. оценки вероятности
:
Кроме того, границы доверительных интервалов для вероятностей
могут легко быть найдены из номограмм.
2. Для заданного (базового) варианта СМО получить
результаты моделирования СМО. Величину tож время ожидания в очереди
принять неслучайной tож > T мод. Tмод брать по результатам
счета лабораторной работы №1 (время окончания переходного процесса умноженное
на 2). Число реализаций N=50. Построить графики изменения mL, an, Pобсл и их доверительных
интервалов от времени. Величину доверительной вероятности принять равной β=0,9
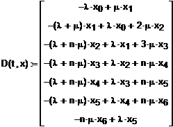
Решаем систему дифференциальных уравнений методом Рунге-Кутта
(правые части уравнений записаны в векторе D, начальные условия - в векторе x):
Моделирование
Время моделирования Tмод = 3 (время окончания
переходного процесса по результатам лабораторной работы равно 1.3 с).
Время ожидания выбираем из условия Tожид > Tмод, отсюда Tожид = 4 с.
Параметры модели:
Входной поток (интервал времени между заявками):
Закон распределения: Экспоненциальный
Интенсивность: 7
Очередь:
Длина очереди: 3
Время ухода из очереди:
Закон распределения: Детерминированный
Величина: 4
Каналы обслуживания:
Число каналов: 3
Время обслуживания:
Закон распределения: Экспоненциальный
Интенсивность: 2
Результаты работы программы:
Оценки математических ожиданий:
| Время | Число заявок | Число отказов | Число
потерь | Число обслуживаний | Длина очереди | Время ожидания | Занятые каналы |
| 1,00 | 6,940 | 0,320 | 0,000 | 3,500 | 0,720 |
0,029 | 2,400 |
| 2,00 | 14,060 | 1,640 | 0,000 | 8,540 | 1,280 |
0,107 | 2,600 |
| 3,00 | 21,040 | 3,480 | 0,000 | 13,500 | 1,440
| 0,169 | 2,620 |
| 4,00 | 28,220 | 5,560 | 0,000 | 18,620 | 1,300
| 0,213 | 2,740 |
| 5,00 | 35,060 | 7,060 | 0,000 | 24,200 | 1,080
| 0,235 | 2,720 |
| 6,00 | 42,460 | 8,860 | 0,000 | 29,240 | 1,660
| 0,244 | 2,700 |
| 7,00 | 49,440 | 10,620 | 0,000 | 35,000 | 1,180
| 0,252 | 2,640 |
| 8,00 | 56,300 | 11,960 | 0,000 | 40,680 | 1,060
| 0,258 | 2,600 |
| 9,00 | 63,040 | 13,480 | 0,000 | 45,720 | 1,220
| 0,264 | 2,620 |
| 11,00 | 76,800 | 16,220 | 0,000 | 56,640 |
1,220 | 0,273 | 2,720 |
| 12,00 | 83,780 | 17,500 | 0,000 | 62,380 |
1,300 | 0,274 | 2,600 |
| 13,00 | 90,720 | 19,640 | 0,000 | 67,240 |
1,300 | 0,276 | 2,540 |
| 14,00 | 98,060 | 21,320 | 0,000 | 72,700 |
1,340 | 0,280 | 2,700 |
| 15,00 | 105,420 | 22,960 | 0,000 | 78,400 |
1,360 | 0,283 | 2,700 |
| 16,00 | 112,620 | 24,640 | 0,000 | 84,280 |
1,080 | 0,284 | 2,620 |
| 17,00 | 120,200 | 25,880 | 0,000 | 90,300 |
1,460 | 0,284 | 2,560 |
| 18,00 | 126,640 | 27,500 | 0,000 | 95,300 |
1,260 | 0,287 | 2,580 |
| 19,00 | 133,680 | 28,920 | 0,000 | 100,840 |
1,180 | 0,290 | 2,740 |
| 20,00 | 140,340 | 30,300 | 0,000 | 106,260 |
1,180 | 0,291 | 2,600 |
Оценки среднеквадратических отклонений:
| Время | Число заявок | Число отказов | Число
потерь | Число обслуживаний | Длина очереди | Время ожидания | Занятые каналы |
| 1,00 | 2,745 | 0,785 | 0,000 | 1,941 | 1,000 |
0,046 | 0,916 |
| 2,00 | 3,722 | 2,197 | 0,000 | 3,054 | 1,200 |
0,086 | 0,774 |
| 3,00 | 4,906 | 3,067 | 0,000 | 3,822 | 1,235 |
0,105 | 0,718 |
| 4,00 | 5,231 | 4,176 | 0,000 | 4,151 | 1,204 |
0,100 | 0,558 |
| 5,00 | 5,984 | 5,131 | 0,000 | 4,507 | 1,110 |
0,097 | 0,530 |
| 6,00 | 6,548 | 5,830 | 0,000 | 4,773 | 1,210 |
0,088 | 0,670 |
| 7,00 | 7,518 | 6,495 | 0,000 | 5,355 | 1,125 |
0,085 | 0,624 |
| 8,00 | 7,759 | 6,971 | 0,000 | 5,773 | 1,173 |
0,082 | 0,692 |
| 9,00 | 7,725 | 7,278 | 0,000 | 6,000 | 1,237 |
0,080 | 0,718 |
| 10,00 | 8,143 | 7,882 | 0,000 | 6,077 | 1,100 |
0,080 | 0,558 |
| 11,00 | 9,361 | 8,367 | 0,000 | 6,802 | 1,118 |
0,076 | 0,722 |
| 12,00 | 10,286 | 8,690 | 0,000 | 6,831 | 1,268
| 0,075 | 0,824 |
| 13,00 | 10,438 | 8,885 | 0,000 | 6,553 | 1,204
| 0,070 | 0,780 |
| 14,00 | 10,887 | 9,321 | 0,000 | 6,394 | 1,193
| 0,067 | 0,670 |
| 15,00 | 10,398 | 8,991 | 0,000 | 6,587 | 1,179
| 0,065 | 0,670 |
| 16,00 | 10,805 | 9,333 | 0,000 | 6,600 | 1,110
| 0,063 | 0,745 |
| 17,00 | 11,144 | 9,704 | 0,000 | 7,108 | 1,152
| 0,063 | 0,875 |
| 18,00 | 11,704 | 10,425 | 0,000 | 7,566 | 1,261
| 0,062 | 0,776 |
| 19,00 | 11,853 | 10,665 | 0,000 | 7,606 | 1,089
| 0,061 | 0,521 |
| 20,00 | 11,969 | 10,562 | 0,000 | 8,009 | 1,107
| 0,059 | 0,800 |
Вычисление доверительного интервала:
Так как N = 50, то для построения доверительных интервалов, учитывая,
что значение доверительной вероятности β =
0.9, то tβ рассчитывается с использованием нормального
закона:
Математическое ожидание числа занятых каналов:
Mn - из Л.Р. 1
а - моделирование
Математическое ожидание средней длины очереди:
Вычисление доверительного интервала:
Для средней длины очереди:
Lm - из Л.Р. 1
m - моделирование
Вероятность обслуживания:
Вероятность обслуживания равна вероятности того, что в
системе ещё не находится n+m требований, т.е. Po = 1 - Pn+m =
1 - P6

Вычисление доверительного интервала:
Для вероятности обслуживания:
Po1 - из Л.Р. 1
Po - моделирование
3. Для заданного (базового) варианта СМО
исследовать влияние tожид на характеристики
системы в стационарном режиме
a) H(t) - детерминированный, tожид=Tожидания_среднее
b) H(t) подчинено экспоненциальному закону
распределения. Математическое ожидание tожид равно Tожидания_среднее*{0,25; 0,5; 1; 2}.
Выводы
В лабораторной работы №2 были получены результаты моделирования
базового варианта СМО. По полученным результатам были построены графики
зависимостей числа занятых каналов, средней длины очереди и вероятности
обслуживания и их доверительных интервалов от времени. Кривые, построенные по
результатам лабораторной работы №1, попали в соответствующие доверительные
интервалы.
В данной лабораторной работе были исследованы возможности
применения метода имитационного моделирования для исследования систем массового
обслуживания. Анализируя полученные результаты, можно сделать следующий вывод:
использование метода имитационного моделирования допустимо, но более
предпочтительным является использование аналитического аппарата для
исследования СМО, т.к. этот путь исследования СМО является более простым и дает
более точные результаты.
имитационный моделирование массовый обслуживание