Планирование и прогнозирование экономических показателей деятельности предприятия

  • Вид работы:
    Курсовая работа (т)
  • Предмет:
    Эктеория
  • Язык:
    Русский
    ,
    Формат файла:
    MS Word
    277,06 Кб
  • Опубликовано:
    2012-05-28
Вы можете узнать стоимость помощи в написании студенческой работы.
Помощь в написании работы, которую точно примут!

Планирование и прогнозирование экономических показателей деятельности предприятия















Курсовая работа

по дисциплине планирование и прогнозирование

на тему: "Планирование и прогнозирование экономических показателей деятельности предприятия"

Содержание

Введение

Раздел 1. Планирование производства и реализации продукции

1.1   Планирование производственной программы

1.2    Планирование производственной мощности

1.3 Планирование выручки от реализации

Раздел 2. Анализ планируемых показателей деятельности предприятия

2.1 Оценка динамики производительности труда

2.2 Анализ планируемых показателей эффективности использования основных производственных фондов

.3 Оценка эффективности использования оборотных средств

.4 Планирование себестоимости производства продукции

.5 Расчет прибыли, остающейся в распоряжении предприятия

.6 Оценка планируемого уровня рентабельности производства и капитал

Раздел 3. Прогнозирование экономических показателей

.1 Задание

.2 Задание

Заключение

Список использованной литературы

Введение

Большое значение в успехе предприятия имеет планирование. Планирование - одна из составных частей управления, заключающаяся в разработке и практическом осуществлении планов, определяющих будущее состояние экономической системы, путей, способов и средств его достижения. Выделяется планирование отдельных сфер деятельности, видов ресурсов, например, производственное планирование, финансовое планирование, социальное планирование. Планирование в директивной форме присуще централизованно управляемой экономике, где ведущую роль играют государственные планы. В экономике рыночного типа более распространено бюджетное планирование, планирование на уровне компаний, фирм, а также государственное планирование, которое носит преимущественно индикативный, ориентирующий характер. Планирование включает принятие плановых решений уполномоченными на то органами, лицами. Основными этапами и целью планирования являются прогнозирование развития событий и выбор наилучшего варианта. Прогнозирование - это научное предвидение будущего.

В теоретической части курсовой работы рассматриваются следующие вопросы: планирование производственной программы, планирование производственной мощности, а так же планирование выручки от реализации.

В расчетной данной курсовой работы освещается анализ планируемых показателей деятельности и прогнозирования экономических показателей. По данным сделаны выводы и построены графики.

 

Раздел 1. Планирование производства и реализации продукции

.1 Планирование производственной программы

Планирование производственно-коммерческой деятельности предприятия начинается с определения объема и возможностей производства и реализации продукции, т.е. производственной программы. Производственная программа - это задание по выпуску и реализации продукции в ассортименте, соответствующего качества в натуральном и стоимостном выражении исходя из спроса и реальных возможностей предприятия в удовлетворении его на определенный период. Обычно составляется на год с разбивкой по кварталам и месяцам.    Производственная программа служит базой для разработки следующих планов:

) материально-технического снабжения

) численность персонала и оплаты труда

) инвестиций;

) финансового плана

Производственная программа предопределяет задания по вводу в действие новых производственных мощностей, потребность в материально-сырьевых ресурсах, численности рабочих и др. Она тесно связана с финансовым планом, планом по издержкам производства, прибыли и рентабельности Предприятия формируют свою производственную программу самостоятельно на основе выявленного в процессе изучения рынка потребительского спроса; портфеля заказов (договоров) на продукцию и услуги; государственных заказов и собственных потребностей.        

Годовая производственная программа устанавливает ряд номенклатурно-количественных заданий, которые составляют ее разделы:        

номенклатуру и ассортимент продукции;

задание по выпуску готовых изделий в натуральном и стоимостном выражении по укрупненным группам;

объем поставок полуфабрикатов сторонним организациям;

объем работ, услуг промышленного характера сторонним организациям;

объем выпуска прочей продукции (подсобных цехов).Производственная программа состоит из трех разделов:    

. План производства продукции в натуральном выражении - устанавливает объем выпуска продукции соответствующего качества по номенклатуре и ассортименту в физических единицах измерения (т, м, шт). Он определяется, исходя из полного и лучшего удовлетворения спроса потребителя и достижения максимального использования производственных мощностей;

. План производства продукции в стоимостном выражении в показателях валовой, товарной и чистой продукции;     

. План реализации продукции в натуральном и стоимостном выражении. Он составляется, исходя из заключенных договоров на поставку продукции, а также полуфабрикатов, узлов и деталей по договорам кооперации с другими предприятиями, а также собственной оценки емкости рынка. Расчет объема реализуемой продукции производится на основе величины товарной продукции с учетом изменения остатков продукции на складе и отгруженной, но не оплаченной заказчиками, на начало и конец планируемого года. Но объем реализации продукции также влияют изменение качества выпускаемой продукции и действующих на предприятии цен на продукцию и услуги.         

Исходными данными для определения максимально возможного выпуска продукции за год служит среднегодовая производственная мощность предприятия и коэффициент ее использования. Часто обеспечение потребностей рынка требует введения в действие новых дополнительных мощностей за счет технического перевооружения, реконструкции или расширения предприятия.

Разработка производственной программы состоит из нескольких этапов:

1. Анализ результатов работы предприятия в текущем году.

. На основе маркетинговых исследований составляется прогноз спроса и предложения по номенклатуре, ассортименту, объему и срокам поставки выпускаемой продукции.

. Определяется номенклатура и ассортимент продукции в натуральном выражении.

. На основании заключенных договоров на поставку продукции и сведений об остатках нереализованной готовой продукции на складах разрабатывается годовая производственная программа.

На этом этапе принимают решения о специализации и кооперировании производства, о сроках выпуска продукции.

Определяют объем товарной продукции в натуральном и стоимостном выражении.

. Производится технико-экономическое обоснование производственной программы:

а) осуществляется расчет материальных, топливных, энергетических ресурсов, необходимых для ее выполнения (исходя из норм расхода);              б) планируются ремонтно-эксплуатационные затраты;

в) обосновывается потребность в транспортных средствах и иных факторах производства;

г) для увязки программы с имеющимися на предприятии мощностями разрабатывается баланс производственных мощностей и производится обоснование программы производственными мощностями;

д) вносятся изменения в план инвестиций с учетом принятых решений по номенклатуре, ассортименту, объему выпуска и решений по специализации и кооперированию производства.

1.2 Планирование производственной мощности

Конкретным выражением производственных возможностей каждого предприятия служит его производственная мощность. Она характеризует максимально возможный годовой объем выпуска продукции, работ и услуг в запланированной номенклатуре при полном использовании всех имеющихся экономических ресурсов на основе применения прогрессивной технологии, передовых форм и методов организации труда и производства.     Производственная мощность определяет уровень производства продукции, товаров и услуг и верхний предел продаж продукции. В конечном итоге производственная мощность означает способность предприятия производить свою продукцию в течение заданного периода рабочего времени. Верхний ее предел обусловлен наличием производственных площадей, технологического оборудования, трудовых ресурсов, материала и капитала. Производственная мощность может быть выражена в единицах продукции, массы товаров, линейных величинах, рублях, человеко-часах и других показателях. Различают производственную мощность:

.Теоретическая представляет собой объем хозяйственных операций, который может быть достигнут в идеальных условиях работы с минимально возможными отрицательными результатами.

.Практическая наивысший уровень производства, который достигается при сохранении приемлемой степени эффективности с учетом допустимых или неизбежных потерь рабочего времени, связанных с ремонтом оборудования и режимом работы предприятия.     

.Нормальная характеризует средний уровень хозяйственной деятельности, достаточный для удовлетворения спроса на производимые предприятием товары и услуги в течение ряда лет с учетом сезонных и циклических колебаний спроса.

.Плановая соответствует годовой нормальной производственной мощности предприятия.

Производственная мощность устанавливается на начало планового периода (входная) и конец этого срока (выходная). Входная мощность определяется с учетом имеющихся на начало года производственных фондов, рабочей силы и других ресурсов, а выходная - на конец года с последующей корректировкой при соответствующем изменении техники и технологии. Среднегодовая мощность- это мощность, которой будет располагать предприятие (цех, участок) в среднем за расчетный период или за год, она определяется балансовым методом.

В плановых расчетах применяется показатель среднегодовой мощности, который определяется по формуле:

Мср = Мн.г + (Мвв. * n1 / 12) - (Mвыб. * n2 / 12)

Мвв. - мощность, вводимая в течение года; Мвыб. - мощность, выбывающая в течение года.      Мн.г. -мощность на начало года

n1 - количество полных месяцев работы вновь введенных мощностей с момента ввода до конца периода;

n2 - количество полных месяцев отсутствия выбывающих мощностей от момента выбытия до конца периода.

В общем виде годовая величина производственной мощности предприятия или его подразделения определяется отношением соответствующего фонда времени работы оборудования к трудоемкости единицы продукции по формуле:

Мп = Фэф/ Тшт

На основе расчета производственной мощности отдельных единиц и групп оборудования, участков и цехов предприятия выявляются так называемые «узкие» и «широкие» места и планируются мероприятия по выравниванию мощности, в том числе за счет ввода нового оборудования. Завершается процесс планирования производственной мощности определением коэффициента ее использования, представляющего собой отношение годового объема выпуска продукции к среднегодовому значению мощности:

Км = Nr / Мср

.3 Планирование выручки от продаж (объема продаж)

Объемы производства и реализации продукции являются взаимозависимыми показателями. В условиях ограниченных производственных возможностей и неограниченного спроса на первое место выдвигается объем производства продукции. Но по мере насыщения рынка и усиления конкуренции не производство определяет объем продаж, а наоборот - возможный объем продаж является основой разработки производственной программы. Предприятие должно производить только те товары и в таком объеме, которые оно может реально реализовать

Темпы роста объема производства и реализации продукции, повышение ее качества непосредственно влияют на величину издержек, прибыль и рентабельность предприятия. Поэтому анализ данных показателей имеет важное значение. Его основные задачи:

оценка степени выполнения плана и динамики производства и реализации продукции;- определение влияния факторов на изменение величины этих показателей;      - выявление внутрихозяйственных резервов увеличения выпуска и реализации продукции;        

разработка рекомендаций по освоению выявленных резервов. Источниками информации для анализа выполнения плана производства и реализации продукции служат бизнес-план предприятия, оперативные планы-графики, отчетность предприятия о выпуске отдельных видов продукции в ассортименте, отчет о прибылях, и убытках, ведомости движения готовых изделий, их отгрузки и реализация и др.

В процессе финансово-хозяйственной деятельности финансовые службы предприятия планируют выручку от продаж на предстоящие год, квартал и оперативно.

Годовое и квартальное планирование выручки возможно и необходимо для определения прибыли. Годовое планирование выручки эффективно при стабильной экономической ситуации. В условиях нестабильности, когда соотношение спроса и предложения подвержено трудно прогнозируемым изменениям и законодательно установленные правила поведения юридических лиц в налоговой, кредитной и финансовой сферах постоянно меняются, годовое планирование затруднено и не является объективным ориентиром для предприятия.

Оперативное планирование выручки используется для обеспечения своевременности поступления фактической выручки на расчетный счет предприятия.

Общая сумма выручки на предстоящий период включает: выручку от продажи товарной продукции и полуфабрикатов собственного производства; выручку от выполнения работ и оказания услуг промышленного и непромышленного характера.

Выручка от продажи продукции рассчитывается на основе объема реализованной на сторону продукции исходя из действующих цен без налога на добавленную стоимость, акцизов, торговых и сбытовых скидок (по экспортируемой продукции - без экспортных тарифов).  

Выручка от выполненных работ и оказанных услуг зависит от объема работ и услуг и соответствующих расценок и тарифов по каждому направлению реализации работ, услуг.

Денежные поступления, связанные с выбытием основных средств, материальных оборотных и нематериальных активов, продажная стоимость валютных ценностей, ценных бумаг не включается в состав выручки от продаж. Результаты по таким операциям рассматриваются как доходы или убытки и учитываются при определении общей прибыли. Денежная выручка по этим операциям может планироваться оперативно, например, при составлении платежного календаря.

Применяют два метода определения плановой выручки: прямого счета и расчетным.

Метод прямого расчета выручки заключается в том, что по каждому изделию в отдельности по приведенной формуле рассчитывается объем реализации в отпускных ценах и суммируются результаты:

Впл= Ц*О

Где: Впл - плановая выручка от продаж;

Ц- цена единицы i-ro вида продукции

О - объем реализованной продукции i-ro вида        

Метод предполагает, что весь объем произведенной продукции приходится на предварительно оформленный пакет заказов, спрос на который гарантирован. Это наиболее достоверный метод планирования выручки, когда план выпуска и объем реализации продукции заранее увязаны с потребительским спросом, известен необходимый ассортимент и структура выпуска, установлены соответствующие цены.        

Как правило, в условиях рыночных отношений большинство предприятий не имеет гарантированного спроса на весь объем произведенной продукции. Для оптимизации структуры расходов и роста финансовых результатов предприятие должно прилагать усилия к увеличению выпуска продукции, расширению его ассортимента, производства принципиально новых по потребительским качествам товаров.        

В производственных объединениях и на крупных предприятиях, выпускающих продукцию в большом ассортименте, для планирования выручки применяется расчетный метод, исходящий из общего выпуска товарной продукции в планируемом периоде в отпускных ценах и общей суммы входных и выходных остатков. Планирование выручки осуществляется по аналогии с планированием затрат на производство и реализацию продукции.

Величину выручки от продаж продукции по методу отгрузки в плановых финансовых расчетах можно определить по формуле:

Впр=ТП+∆О1+∆О2

Где, ТП - товарная продукция, предназначенная к выпуску в планируемом периоде (в ценах реализации);

∆О1, - изменение остатков готовой продукции на складе на конец планируемого периода по сравнению с началом в продажных ценах;    

∆О2 - изменение остатков товаров отгруженных;

Величина выручки от продаж продукции по методу оплаты в плановых финансовых расчетах может быть определена по формуле:     

Впр=ТП+∆О1+∆О2+∆О3

∆03 - изменение остатков товаров струженных, не оплаченных покупателями . Состав остатков принимается таким же, как и при определении расходов по реализации продукции. При планировании остатков нереализованной готовой продукции на складе следует исходить прежде всего из их фактического наличия, а в случае отсутствия текущих данных - -по состоянию на последнюю отчетную дату и ожидаемого выпуска товарной продукции с учетом ее реализации в соответствии с имеющимися заказами на начало планируемого периода.    

Планирование остатков товаров отгруженных, срок оплаты которых не наступил, производится на основе анализа структуры, графиков, способов платежа по заключенным договорам, а также сложившихся сроков документооборота для внутригородских и иногородних расчетов и расчетов в валюте при ведении внешнеэкономической деятельности.    

Планирование остатков товаров отгруженных, но не оплаченных в срок, и товаров, находящихся на ответственном хранении у покупателя на начало планируемого периода, опирается на оперативные данные о причинах неплатежей и принимаемых мерах по их сокращению.

На конец планируемого периода остатки нереализованной продукции состоят из остатков готовой продукции на складе и товаров отгруженных, срок оплаты которых не наступил.  

Остатки готовой продукции на складе на конец планируемого периода определяются исходя из необходимости их накопления для выполнения договорных обязательств, срок действия которых находится за пределами планируемого периода, условий реализации и других причин. 

При планировании выручки по отгрузке нереализованной продукцией считается только готовая продукция на складе на начало и конец планируемого периода. Ожидаемые остатки готовой продукции на начало планируемого периода (входные) и на конец планируемого периода (выходные) в отпускных ценах рассчитываются по каждой их группе с учетом предусмотренной нормы запасов в днях и однодневного выпуска товарной продукции в отпускных ценах в соответствующем периоде. При этом используются коэффициенты пересчета остатков нереализованной продукции из производственной себестоимости в отпускные цены. Коэффициент пересчета Kпр исчисляется как соотношение товарной продукции в отпускных ценах и по производственной себестоимости за IV квартал отчетного года для входных остатков и за IV квартал планируемого года - для выходных:

Кn=ТП/Спр1,

Кn=ТП1пр2

где TП, ТП1 - товарная продукция в отпускных ценах, выпущенная в IV кв. отчетного года и, соответственно, в IV кв. планируемого периода;Спр1 Спр2         - производственная себестоимость товарной продукции, выпущенной в IV кв. отчетного года и предназначенной к выпуску в IV кв. планируемого периода.

В основе определения стоимости товарного выпуска в действующих ценах лежит производственная программа, которая составляется на основе полученных предприятием заказов, заключенных хозяйственных договоров на поставку продукции, и заявок потребителей. В этих условиях необходимо ознакомиться с практикой планирования и прогнозирования доходов и расходов предприятия в западной экономике. В данном случае речь идет о планировании с помощью составления бюджетов.

Первым этапом при разработке любого вида бюджета является прогнозирование объема продаж (объема реализации продукции, работ, услуг). Этот прогноз может основываться на результате анализа как внутрифирменной информации (оценки будущего объема продаж), так и внешней информации (маркетинговых исследованиях, прогнозе объема продаж для данной отрасли).       На предприятии, выпускающем широкий ассортимент продукции, строятся перспективные прогнозы по каждому ее виду, которые затем суммируются и сравниваются с агрегированным прогнозом по данной группе. После согласования расхождений составляется прогноз объема реализации для всей компании с разбивкой на части, соответствующие видам продукции и главным сегментам рынка. Прогнозы, касающиеся других переменных величин (например, затрат на производство), в свою очередь будут зависеть от прогнозируемого уровня продаж. Допускаемые соотношения между объемом продаж и другими переменными величинами очень важны и должны быть установлены с максимально возможной точностью. После составления прогноза продаж разрабатывается график поступления денежных средств от продаж, прогноз погашения дебиторской задолженности, прогноз издержек производства, а также график наличных выплат. На основе этих данных составляется бюджет движения денежных средств, бюджет доходов и расходов.

реализация производительность себестоимость труд

Раздел 2. Анализ планируемых показателей деятельности предприятия

В данном разделе курсовой работы рассчитываются основные планируемые показатели деятельности на уровне одного из дочерних предприятий ОАО «Промстрой»- ОАО «Промстройкровля»- единственного производителя сертифицированных кровельных и гидроизоляционных полимерно-битумных материалов Волгоградской области.

.1 Оценка динамики производительности труда

В соответствии с исходными данными определяются:

а) Объем производимой продукции в соответствующих ценах на планируемый год Q план путем корректирования объема производства за предшествующий период Q отч. в соответствии с показателем процента в планируемом году ∆Q%:

Q план= Qотч.* ∆Q%

Q план= 159575*12,7/100=179841 тыс. руб.

б) Среднесписочная численность рабочих основного производства в планируемом году  путем корректирования среднесписочной численности рабочих основного производства в отчетном году  в соответствии с процентом изменения численности рабочих основного производства в планируемом году ∆Чраб%.

=∆Чраб%

=179841*3,5/100=96,26

Производительность труда (годовая выработка) одного рабочего в отчетном году (ПТотч) определяется по формуле:

ПТ отч=Qотч/

ПТ отч=159575/93=1715,9

Производительность труда (годовая выработка) одного рабочего в планируемом году (ПТотч) определяется по формуле:

ПТ план=Q план/Ч раб. План = 179841/96,26 = 1868,3

Темп прироста производительности труда исчисляется по формуле:


Таблица 1.1

Динамика объема выпуска продукции и производительности труда

Годы

Отчетный год

Планируемый год

Абсолютное отклонение

Темп прироста,%

Показатели





Объем производимой продукции, тыс. руб.

159575

179841

20266

12,7

Среднесписочная численность рабочих основного производства, чел.

93

96

3

3,2

Годовая выработка 1 рабочего, тыс. руб./чел

1715,9

1868,4

152,5

8,9


В планируемом году ожидается увеличение объема производимой продукции на 20266 тыс. руб. Так же ожидается увеличение среднесписочной численности рабочих основного производства на 3%. Соответственно, произойдет увеличение годовой выработки на 1 рабочего на 152,5 руб/чел.

Рис.1 Объем производимой продукции в отчетном и плановом году

Рис. 2 Среднесписочная численность рабочих основного производства в отчетном и плановом году.

Рис.3 Годовая выработка 1 рабочего тыс.руб./чел

2.2 Анализ планируемых показателей эффективности использования основных производственных фондов

Для того, чтобы определить динамику показателей эффективности основных производственных фондов (ОПФ), необходимо сначала рассчитать среднегодовую величину ОПФ планируемого периода.

Среднегодовая стоимость основных фондов определяется по формуле:


Где ОФ нач, ОФввод, ОФвыб- стоимость основных фондов соответственно на начало года, вводимых и выбывающих в течении года основных фондов,р.

n1, n2 -количество полных месяцев с момента соответственно ввода и выбытия основных фондов.

15678 тыс. руб.

Таблица 1.2

Расчет среднегодовой стоимости ОФ в планируемом году

Наименование показателей

Сумма, тыс. руб.

1.

Стоимость основных производственных фондов

15016

2.

Планируемое выбытие ОФ в середине июня планируемого года

516

3.

Поступление ОФ в середине апреля планируемого года

1380

4.

Стоимость ОФ на конец планируемого года (стр.1-стр.2+стр.3)

15880

5.

Среднегодовая стоимость ОФ в планируемом году

15678


Далее для планируемого и отчетного (предшествующего планируемому) годов рассчитываются следующие показатели эффективности использования основных производственных фондов:

Фондооотдача= Q/ОФ ср

Q- объем продаж в соответствующих ценах, руб;

ОФ ср - среднегодовая стоимость основных производственных фондов, руб.

Фондоотдача в отчетном году: ФО=159575/15000=10,64 руб./руб.

Фондоотдача в планируемом году: ФО=179841/15678=11,47 руб./руб.

.        Фондоемкость строительной продукции

ФЕ= 1/ФО = ОФср/Q

фондоемкость в отчетном году: ФЕ= 1/10,64=15000/159575=0,09 тыс. р./руб.

Фондоемкость в планируемом году:ФЕ==1/11,47=15678/179841=0,09т. руб./т. руб.

.        Фондовооруженность труда

ФВ=ОФср/Чср

Чср - среднегодовая общая численность работников на производстве.

Фондовооруженность труда в отчетном году= 15000/130 = 115,4 тыс.руб./чел.

Фондовооруженность труда в планируемом году:=15678/137=114,4 тыс. руб./чел.

Таблица 1.3

Показатели эффективности использования ОПФ предприятия

Показатели

Отчетный год

Плановый год

Абсолютное отклонение

Темп прироста,%

Фондоотдача (ФО), тыс.руб./тыс. руб.

10,64

11,47

0,83

 7,8

Фодоемкость (ФЕ), тыс. руб./тыс. руб.

0,09

0,09

0

 0

Фондовооруженность (ФВ), тыс. руб. /чел.

115,4

114,4

-1

 -0,86


Как видно из таблицы показатели эффективности использования основных производственных фондов имеют следующую динамику. Фондоотдача возрастает в планируемом году на 0,83тыс.руб/тыс.руб. Это свидетельствует об эффективности использования основных фондов. Фондоемкость остается на уровне 0,09 тыс.руб./тыс.руб. А фондовооруженность в планируемом году уменьшается на 1тыс.руб/чел, следовательно оснащение каждого работника основными средствами снижается.

Показатели эффективности основных производственных фондов продемонстрированы графически.

Рис.4 Показатель Фондоотдача тыс.руб./тыс.руб. в отчетном и плановом периоде.

Рис.5. Показатель Фондоемкость тыс.руб./тыс.руб. в отчетном и плановом периоде.

Рис. 6. Показатель Фондоотдача тыс.руб./тыс.руб. в отчетном и плановом периоде.

.3 Оценка эффективности использования оборотных средств

Для планируемого и отчетного года рассчитываются показатели использования оборотных средств ОС:

.        Коэффициент оборачиваемости оборотных средств Коб:

Коб= Q/ОС

ОС - средняя величина оборотных средств, руб;

Q - выручка от реализации за анализируемый период, руб.

Коб(отч) = 159575/22603=7,06

Коб(план) = 179841/ 24010 =7,5

.        Продолжительность оборота оборотных средств То:

То=Д/Коб

Д -период, за который определяется оборачиваемость оборотных средств (360дней)

То (отч) = 360/7,06 = 51 дней

То (план) = 360/7,5=48 дней

.        Коэффициент загрузки средств в обороте ( коэффициент закрепления) Кз

Кз= ОС/Q

Кз (отч) =22603/159575=0,14

Кз (план)= 24010/179841 = 0,13

Таблица 1.4

Показатели эффективности использования оборотных средств

Показатели

Отчетный год

Планируемый год

Абсолютное отклонение

Темп прироста, %

Коэффициент оборачиваемости оборотных средств Коб

7,06

7,5

0,44

 6,2

Продолжительность оборотных средств То, дни

51

48

-3

 -5,9

Коэффициент загрузки оборотных средств Кз

0,14

0,13

-0,01

 -7,1



Из таблицы видно, что в планируемом году коэффициент оборачиваемости оборотных средств увеличится с 7,06 до 7,5, темп прироста составит 6,2%. Рост данного показателя свидетельствует об эффективном использовании оборотных средств. Так же в планируемом году будет ожидаться сокращения периода оборота в днях на 3 дня. Это является положительным фактором, так как означает, что оборотные средства быстрее приобретут денежную форму. Коэффициент загрузки в планируемом году снизится и его значение составит 0,13. Это является так же положительным фактором, так как так же свидетельствует об эффективном использовании оборотных фондов.

Рис. 7. Продолжительность оборотных средств То, дни в отчетном и плановом периоде.

Рис.8. Коэффициент оборачиваемости оборотных средств в отчетном и плановом периоде.

Рис. 9. Коэффициент загрузки оборотных средств Кз в отчетном и плановом периоде.

.4 Планирование себестоимости производственной продукции

Затраты, образующие себестоимость производства продукции, группируются по следующим элементам:

·        Материальные затраты (МЗ)

·        Затраты на оплату труда (ОТ)

·        Отчисления на социальные нужды (СН)

·        Амортизация основных фондов (А)

·        Прочие затраты (ПЗ)

Себестоимость производства продукции отчетном году определяется в следующей последовательности:

1.      Определяются материальные затраты путем умножения объема производства в отчетном году на долю материальных затрат в объеме отчетного года

МЗ=Q отч* = 159575*22/100=35107 тыс. руб.

Затраты на оплату труда (ОТ) принимаются равными сумме выплат по фонду оплаты труда ФОТ, произведенных всем работникам в отчетном году (ФОТ отч.)

ОТ=ФОТ отч= 21840 тыс.руб.

.        Определяются отчисления на социальные нужды (СН):

СН отч= ФОТ отч*Н/100

Где Н - суммарный норматив обязательных отчислений, равный 34%

СНотч=21840*34/100=7425,6 тыс. руб.

.        Затраты на производство по элементу»Амортизация основных фондов» определяются исходя из среднегодовой стоимости основных фондов ОФ в отчетном году, на которые начисляется амортизация, и средней нормы амортизационных отчислений. Последняя рассчитывается исходя из плановой структуры ОФ и утвержденных норм амортизации по отдельным группам ОФ.

*На/100

На- средняя норма амортизационных отчислений по предприятию.

А = 15000*12,5/100=1875 тыс. руб.

.        Определяются прочие затраты путем умножения объема производства отчетного года Q отч на долю прочих затрат в объеме производства продукции отчетного году .

ПЗ= 159575* 6,5/100= 10372,4 тыс. руб.

Себестоимость производства продукции в планируемом году определяется:

1.      Определяются материальные затраты путем умножения объема производства в планируемом году на удельный вес (долю) материальных затрат в объеме производства в отчетном году .

МЗ = Qплан*

МЗ = 179841*22/100=39565 тыс. руб.

.        Определяется среднемесячная зарплата одного работника в отчетном году ЗП отч =путем деления суммы выплат всем работникам в отчетном году ФОТ отч на общую численность работников в этом году  и число месяцев в году:


ЗП отч=21840: (130*12)=14 тыс. руб.

.        Определяется среднемесячная зарплата одного работника в планируемом году ЗП план путем корректирования среднемесячной заработной платы в отчетном году на процент увеличения среднемесячной заработной платы Кзп в планируемом году.

ЗП план=14*9,4/100= 15,3 тыс. руб.

.        Определяются затарты на оплату труда в планируемом году ОТ план.

ОТ план= ЗП план**12

ОТплан=15,3*137*12 =25153,2 тыс. руб.

.        Определяются СН план по формуле:

СН план=25153,2*34/100=8552,1 тыс. руб.

.        Определяются прочие затраты путем умножения объема производства в планируемом году на удельный вес (долю) прочих затрат в объеме производства отчетного года  (условно приниматься, что доля прочих затрат в объеме производства в планируемом году будет иметь такое же значение что и в отчетном году).

ПЗ=179841* 6,5/100=11689,7 тыс. руб.

.        Определяется величина амортизационных отчислений исходя из среднегодовой стоимости основных фондов в планируемом году и нормы амортизационных отчислений по предприятию:

А=На/100

А=15678*12,5/100=1960 тыс. руб.

Таблица 1.5

Динамика себестоимости произведенной продукции

Показатели

Отчетный год

Планируемый год

Абсолютное отклонение

Темп прироста,%


тыс. руб

% к итогу

тыс. руб

% к итогу



Себестоимость, всего

76620

100

86920

100

10300

13,5

в том числе: Материальные затраты

35107

45,82

39565

45,52

4458

12,7

Затраты на оплату труда

21840

28,50

25153,2

28,94

3313,2

15,2

7425,6

9,69

8552,1

9,84

1126,5

15,2

Амортизация ОФ

1875

2,45

1960

2,25

85

4,5

Прочие затраты

10372,4

13,54

11689,7

13,45

1317,3

12,7


Исходя из данной таблицы видно, что себестоимость в планируемом году увеличится, темп ее прироста составит 13,5%. Касаемо структуры можно отметить, что материальные затраты уменьшатся на 0,03%. Однако увеличатся затраты на оплату труда с 28,5% до 28,94%. Соответственно увеличатся отчисления на социальные нужды с 9,69% до 9,84%.А значение амортизации и прочих затрат уменьшатся с 2,45 до 2,25% и с 13,54 до 13,45% соответственно.

Рис.10. Структура себестоимости в отчетном году, тыс. руб.

Рис. 11. Структура себестоимости в плановом году, тыс.руб.

Полученные данные о затратах на производство продукции по элементам используются при определении плановой величины валовой прибыли предприятия.

2.5 Расчет прибыли, остающейся в распоряжении предприятия

Для определения прибыли, остающейся в распоряжении предприятия П(ост) (чистой прибыли), необходимо рассчитать облагаемую налогом прибыль, которая определяется исходя из валовой прибыли (Пв).

Но для расчета Пв необходимо рассчитать прибыль от реализации продукции (Пр), которая определяется по формуле:

Пр=В-З

Где В - это выручка от реализации продукции без налога на добавленную стоимость и иных аналогичных платежей.

З- затраты на производство и реализацию, включаемые в себестоимость продукции.

Пр(отч)= 159575 - 76620 =82955 тыс. руб.

Пр(план) = 179841 - 86920 = 92921 тыс. руб.

Валовая прибыль (Пв) рассчитывается по формуле:

Пв=Пр+Двн-Рвн

Где: Пр- прибыль от реализации продукции (работ, услуг), основных фондов, иного имущества предприятия;

Двн - доходы от внереализационных операций.

Рвн- расходы по внереализационным операциям.

Пв (отч) = 82955+1160 -834=83281 тыс. руб.

Пв (план)= 92921 - 1160-834 = 93247 тыс. руб.

Таблица 1.6

Расчет плановой величина валовой прибыли

Показатели

Всего по плану на год, тыс. руб.

1.

Выручка от реализации продукции

179841

2.

Себестоимость производства продукции в планируемом году

86920

3.

Прибыль от реализации продукции (стр.1 - стр.2)

92921

4.

Доходы от внереализационных операций

1160

5.

Расходы по внереализационным операциям

834

6.

Валовая прибыль (стр. 3+ стр.4 - стр.5)

93247


Далее определяется налогооблагаемая прибыль (Пн)

Пн=Пв-Посв

Где Посв - часть прибыли, освобожденная от налогообложения или облагаемая в особом порядке;

Тогда прибыль, остающаяся в распоряжении предприятия, определяется следующим образом:

Пост=Пв-Пн*Сн/100

Сн- налог на прибыль

Таблица 1.7

Расчет плановой величины прибыли, остающейся в распоряжении предприятия.

Показатели

Всего по плану на год, тыс. руб.

1.

Валовая прибыль, всего

93247

1.1.

В том числе:

 

 

Прибыль, не подлежащая налогообложению в соответствии с действующими налоговыми льготами. Условно принимается равной 8,5% от валовой прибыли.

7926

2.

Налогооблагаемая прибыль (стр. 1- стр.1.1)

85321

3.

Ставка налога на прибыль,%

20

4.

Налог на прибыль (стр.2 * стр 3/100)

17064,2

5.

Прибыль, остающаяся в распоряжении предприятия (стр1. - стр.4)

76182,8


Из вышеприведенных расчетов видно, что объем валовой прибыли в планируемом (93247 тыс.руб.) году выше отчетного (83821 тыс. руб.) соответственно. Так и объем прибыли от реализации в отчетном году (82955 тыс.руб.) ниже чем планируется (92921 тыс.руб.)

Рис. 12. Сравнение показателей валовой прибыли, прибыли, остающейся в распоряжении предприятия и прибыли от реализации продукции.

.6 Оценка планируемого уровня рентабельности производства и капитала

Рентабельность - показатель эффективности производства, отражающий конечные результаты хозяйственной деятельности предприятия.

Для отчетного и планируемого годов рассчитываются следующие показатели рентабельности:

.        Рентабельность продукции

Rп = Пр/Q*100%

Rп отч=82955/159575 = 51,98

Rп(план) = 92921/179841=51,67

.        Рентабельность затрат

Rз=Пр/Сб*100%

Сб- себестоимость продукции

Rз = 82955/76620=108,27

Rз=92921/86920= 106,9

.        Рентабельность фондов (капитала) Rк=(Пр/(ОФср+ОСср))*100

Rк (отч)=(82955/(15000+22603))*100 =220,61

Rк (план)= (92921/(15678+24010))*100 = 234,13

Таблица 1.8 Количественная оценка факторов, влияющих на величину прибыли (тыс.руб.)

Показатели

Отчетный год

Плановый год

Абсолютное отклонение

Темп прироста,%

1

Объем производимой продукции, тыс. руб.

159575

179841

20266

 12,7

2

Себестоимость продукции, тыс. руб.

76620

86920

10300

 13,5

3

Прибыль от реализации продукции, тыс. руб.

82955

92921

9966

 12


Таблица 1.9

Расчет показателей рентабельности

Показатели

Обозначения

Отчетный

Плановый

Абсолютное отклонение

1.

Рентабельность продукции

Rп

51,98

51,67

-0,31

2.

Рентабельность затрат

108,27

106,9

-1,37

3.

Среднегодовая стоимость ОПФ (основного капитала)

ОФ ср

15000

15678

678,00

4.

Средний размер оборотных средств

ОС

22603

24010

1407,00

5.

Общая сумма капитала

ОФ ср + ОС

37603

39688

2085,00

6.

Рентабельность фондов (капитала)

220,61

234,13

13,52


Исходя из таблицы можно сделать вывод о том, что рентабельность продукции снижается на 0,31. Его снижение свидетельствует, об уменьшении эффективности текущих затрат, что говорит об уменьшении прибыли на единицу затрат. Показатель рентабельности затрат так же уменьшится в планируемом году. Однако значение рентабельности фондов увеличится на 13,52. Это говорит об эффективном использование капитала.

Рис.13. Уровень рентабельности производства, затрат и капитала.

Раздел 3. Прогнозирование экономических показателей

Задание 3.1

Имеются данные о ежеквартальном объеме продаж ОАО «Волга-Люкс», являющегося дочерним предприятием ОАО «Промстрой». Составить прогноз об объемах продаж в 2011году по кварталам с использованием методики традиционного (экстраполятивного) прогнозирования.

Таблица 2.1 Объем продаж за 2007 - 2010 гг. (тыс.руб.)


Квартал 1

Квартал 2

Квартал 3

Квартал 4

2007

92

103

108

185

2008

96

108

114

198

2009

97

111

119

216

2010

100

114

125

230


График ежеквартального объема продаж, тыс.руб.

Рис.14 Ежеквартальный объем продаж, тыс.руб.

Таблица 2.2. Анализ временного ряда объема продаж

 

Объем продаж, т.р.

Четырехквартальная скользящая средняя, т.р.

Центрирование (тренд)

Индекс сезонности

2007 Квартал 1

92

 

 

 

 

 

 

 

 

Квартал 2

103

 

 

 

 

 

122

 

 

Квартал 3

108

 

122,5

88,16

 

 

123

 

 

Квартал 4

185

 

123,625

149,65

 

 

124,25

 

 

2008 1

96

 

125

76,80

 

 

125,75

 

 

Квартал 2

108

 

127,375

84,79

 

 

129

 

 

Квартал 3

114

 

129,125

88,29

 

 

129,25

 

 

Квартал 4

198

 

129,625

152,75

 

 

130

 

 

2009 1

97

 

130,625

74,26

 

 

131,25

 

 

Квартал 2

111

 

133,5

83,15

 

 

135,75

 

 

Квартал 3

119

 

136,125

87,42

 

 

136,5

 

 

Квартал 4

216

 

136,875

157,81

 

 

137,25

 

 

2010 1

100

 

138

72,46

 

 

 

 

Квартал 2

114

 

140,5

81,14

 

 

142,25

 

 

Квартал 3

125

 

 

 

 

 

 

 

 

Квартал 4

230

 

 

 


Далее на графике объема продаж строится тренд (центрированная средняя) с прогнозом на 4 квартала 2011 года.

Рис.15. Прогноз объема продаж на 4 квартала 2011 года.

Прогноз тренда.

у=1,6376*17+117,5=145 тыс. руб

у=1,6376*18+117,5=146,6 тыс.руб.

у=1,6376*19+117,5=148,3тыс.руб.

у=1,6376*120+117,5=150 тыс.руб.

Таблица 2.3 Расчет средней квартальной вариации

 Год

1 квартал

2 квартал

3 квартал

4 квартал

 Итого

2007

 

 

88,16

149,65

 

2008

76,8

84,79

88,29

152,75

 

2009

74,26

83,15

87,42

157,81

 

2010

72,46

81,14

 

 

 

Нескорректированная средняя

74,51

83,03

87,96

153,4

398,89


Рассчитаем корректирующий коэффициент:

Ккор=400/398,89= 1,003

Расчет скорректированной сезонной вариации, % :

квартал 2011 = 74,51*1,003=74,71

квартал 2011= 83,03* 1,003 = 83,26

квартал 2011= 87,96*1,003=88,2

квартал 2011= 153,4*1,003=153,83

Расчет прогнозных значений объема продаж 4 квартала 2011 г.:

квартал 2011 =145000*74,71=108,3 тыс.руб.

квартал 2011= 146600*83,26= 121,6 тыс. руб.

квартал 2011= 148300*88,2= 130,8 руб.

квартал 2011= 150000*153,83=230,8 руб.

Рис.16. График объема продаж 2007-2011, тыс.руб.

Задание 3.2

ОАО «Промстрой» имеет дочерние предприятия по производству кровельных и гидроизоляционных полимерно-битумных материалов в 10 регионах России. Имеются данные о количестве строительных организаций в данных регионах и годовом объеме выручки дочерних предприятий в регионах. Существует предположение о зависимости между этими двумя показателями. ОАО «Промстрой» планирует открыть предприятие по производству кровельных и гидроизоляционных полимерно-битумных материалов в Земногорске.

Составить точечную диаграмму, отражающую зависимость между количеством строительных организаций в регионе и объем годовой выручки дочерних предприятий ОАО «Промстрой». Сделать вывод о зависимости между этими двумя показателями и определить предполагаемый объем выручки планируемого к открытию предприятия в г. Земногорске.

Таблица 3.1 Число выполняющих кровельные работы строительных организаций в регионах и соответствующей выручки дочерних предприятий ОАО «Промсторой».

Регион

Количество строительных организаций в регионе

Выручка предприятий в регионе за год тыс. руб.

R1

2087

114537

R2

1738

89405

R3

2213

127820

R4

2330

140097

R5

2681

159575

R6

2717

173937

R7

1925

98622

R8

1472

92787

R9

2024

87820

R10

1470

87800


Точечная диаграмма, отражающая зависимость между количеством строительных организаций в регионе и объем годовой выручки дочерних предприятий ОАО «Промстрой».

Рис.17 Точечная зависимость, отражающая зависимость между количеством строительных организаций в регионе и объем выручки.

Далее для оценки тесноты связи необходимо рассчитать коэффициент корреляции. Этот коэффициент находится по формуле:

r =

Для расчета коэффициента корреляции рассчитаем следующие значения:

Х-Количество строительных организаций в регионе

У-Выручка предприятий в регионе за год тыс. руб.

Таблица 3.2 Значения для расчета коэффициента корреляции

 

Х

У

Х2

У2

ХУ

R1

2087

114537

4355569

13118724369

239038719

R2

1738

89405

3020644

7993254025

155385890

R3

2213

127820

4897369

16337952400

282865660

R4

2330

140097

5428900

19627169409

326426010

R5

2681

159575

7187761

25464180625

427820575

R6

2717

173937

7382089

30254079969

472586829

R7

1925

98622

3705625

9726298884

189847350

R8

1472

92787

2166784

8609427369

136582464

R9

2024

87270

4096576

7616052900

176634480

R10

1470

87800

2160900

7708840000

129066000

Итого

20657

1171850

44402217

1,46456E+11

2536253977


r = =0,919

Исходя из того что коэффициент корреляции составляет0,919 можно сделать вывод о том, что зависимость между количеством строительных организаций и объемом годовой выручки дочерних предприятий ОАО «Промстрой» достаточно тесна. Так как ее показатель приближен к 1.

Следовательно, можно вывести математическое уравнение регрессии, описывающее эту связь. Уравнение регрессии имеет вид

y=а+вx

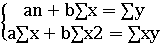
Для исчисления параметров а и b составляют систему уравнений:


Где а - это параметр, характеризующий влияние основных факторов на результативный показатель

B -это параметр, характеризующий влияние вспомогательных факторов на результативный показатель.

n -количество наблюдений.

 = =66,76

a ===-20719

Уравнение регрессии примет вид:

У=-20791+66,76х

У=-22791+66,76*1115=53717,2 тыс. руб.

Объем выручки планируемого к открытию предприятия в городе Земногорске составит 53717,2 тыс. руб.

Заключение

В настоящее время для успешного функционирования коммерческого предприятия необходимо планирование и прогнозирование его дальнейшей деятельности. На предприятии при планировании производства осуществляется планирование производственной программы и производственной мощности.

Производственная программа - это задание по выпуску и реализации продукции в ассортименте, соответствующего качества в натуральном и стоимостном выражении исходя из спроса и реальных возможностей предприятия в удовлетворении его на определенный период

Конкретным выражением производственных возможностей каждого предприятия служит его производственная мощность. Она характеризует максимально возможный годовой объем выпуска продукции, работ и услуг в запланированной номенклатуре при полном использовании всех имеющихся экономических ресурсов на основе применения прогрессивной технологии, передовых форм и методов организации труда и производства.

Список использованной литературы

1. Адамова Н.А., Малова Т.Л., Пенкин Т.Е. Организация и планирование производства предприятий, - осква: “Высшая школа”, - 2004

. Ким С.А., Овчинников С.И. Организация и планирование промышленного производства, - Москва: “Высшая школа”, - 2005.

. Кожекин Г.Я., Синица Л. М. Организация производства, - Москва: ИП “Экоперспектива”, - 2008.

. Кокеткин П.П., Доможиров Ю.А., Никитина И.Г. Планирование и управление на предприятиях (Справочник), - Москва: Легпромбытиздат, - 2006.

. Организация и планирование производства, - Под ред. М.И. Ипатова, В.И. Постникова, М.К. Захаровой, - Москва: “Высшая школа”, - 2007.

. Организация, планирование и управление деятельностью промышленных предприятий, - Под ред. С.Е. Каменицера, Ф.Ф. Русинова, - Москва: “Высшая школа”, - 2006.

. Организация, планирование и управление деятельностью промышленных предприятий, - Под ред. С.Е. Каменицера, - Москва: “Высшая школа”, - 2005.

. Сергеев И.В. Экономика предприятия, - Москва: “Финансы и статистика”, - 2004.

Похожие работы на - Планирование и прогнозирование экономических показателей деятельности предприятия

 

Не нашли материал для своей работы?
Поможем написать уникальную работу
Без плагиата!
Без нейросетей!