Государственное регулирование занятости и безработицы в г. Лесосибирске

  • Вид работы:
    Курсовая работа (т)
  • Предмет:
    Эктеория
  • Язык:
    Русский
    ,
    Формат файла:
    MS Word
    486,44 Кб
  • Опубликовано:
    2012-04-24
Вы можете узнать стоимость помощи в написании студенческой работы.
Помощь в написании работы, которую точно примут!

Государственное регулирование занятости и безработицы в г. Лесосибирске

Содержание

Введение

. Методологические подходы к управлению безработицей

.1 Безработица муниципального образования как фактор нестабильности экономической основы муниципалитета

.2 Законодательная база по урегулированию безработицы

.3 Управление безработицей на уровне муниципалитета моногорода

. Анализ проблем безработицы, путей ее решения на примере муниципального образования г. Лесосибирска

.1 Внешние и внутренние факторы, влияющие на рынок труда

.2 Анализ законодательной базы по управлению безработицей

.3 Анализ проблем безработицы

. Пути решения проблемы безработицы муниципального образования г. Лесосибирска

.1 Социально-экономическая значимость внедрения разработанных мероприятий

Заключение

Библиографический список

Приложения

Введение

Актуальность темы исследования определяется особенностями социально-экономических процессов в современном российском обществе, связанными, прежде всего, со становлением рыночных отношений в сфере занятости. Как показал российский опыт последнего десятилетия, нельзя надеяться на то, что рынок без участия государства сам расставит все на свои места. Особенно опасно целиком полагаться на рыночную стихию сегодня, когда безработица все более приобретает скрытый характер, растет теневая занятость и т.п. В создавшихся условиях государственное регулирование занятости и безработицы приобретает большое значение.

При осуществлении политики занятости государству приходится сегодня не столько управлять социально-трудовыми отношениями, сколько заниматься вопросами их урегулирования. Поэтому необходимо делать акцент не на государственном управлении, а на регулировании, которое предполагает высокую степень самоорганизации объекта воздействия. Отсюда вытекает потребность в корректировке государственной политики занятости в целом. Необходимо выработать такой механизм управления трудовыми ресурсами, который предполагает наличие не только централизованного воздействия государства, но и адекватного рыночной ситуации процесса саморегуляции.

В настоящее время в России наблюдается все больший перекос в сторону регионального регулирования занятости и безработицы, поскольку этот уровень власти способен максимально приблизить предпринимаемые меры по социальной защите безработных и совершенствованию системы занятости к особенностям того или иного региона.

Красноярский край во многом проявил самостоятельность и новаторство в разработке основных направлений государственной политики в сфере занятости, что выразилось в более стабильном положении экономически активного населения на рынке труда. Однако остается немало проблем, наличие которых актуализирует необходимость совершенствования процесса государственного воздействия на занятость и безработицу. Среди них, прежде всего, сложности с трудоустройством социально уязвимых слоев населения, среди которых особой поддержки требует молодежь; несоответствие между уровнем образования экономически активного населения и его востребованностью на рынке труда и т.д.

Объект исследования: занятость и безработица в г. Лесосибирске Красноярского края. Предмет исследования: механизм осуществления государственного регулирования занятости и безработицы в городе.

Цель курсовой работы: выявление специфики процессов государственного регулирования занятости и безработицы в г. Лесосибирске.

В соответствии с этой целью были определены следующие задачи:

·  анализ факторов внешней и внутренней среды, влияющих на формирование рынка труда;

·        изучение механизма воздействия государства на процессы занятости и безработицы в городе;

·        анализ законодательной базы по управлению безработицей;

·        анализ проблем безработицы;

·        изучение практических рекомендаций по совершенствованию механизма государственного регулирования занятости и безработицы;

·        изучение социально-экономической эффективности предложенных мероприятий.

Теоретические и методологические основы исследования. Важнейшим методом исследования явился системный анализ, применяемый при анализе механизма государственного регулирования безработицы. Системный анализ позволил рассмотреть процесс государственного регулирования социальных отношений во взаимосвязи с саморегулированием рынка. Социально-экономическая ситуация в Лесосибирске такова, что жесткое управление социальными процессами на рынке труда изжило себя в виду становления саморегулятивных процессов в сфере безработицы. Сегодня актуально такое воздействие государства, которое позволит осуществить реформу рынка труда, не вступающую в противоречие с его тенденциями к самоорганизации и саморегуляции.

Государственное регулирование занятости и государственное регулирование безработицы пересекаются в той области, в которой государство стремится создать рациональную систему занятости, то есть такую занятость, которая будет максимально сочетаться с естественным уровнем безработицы - все желающие работать будут удовлетворены в своей потребности быть востребованными на рынке труда. Поэтому государственное регулирование занятости и безработицы должно представлять собой единый процесс, а, следовательно, и обладать едиными формами, общими целями и способами осуществления своих задач.

Государственное регулирование безработицы предполагает наличие механизма своего осуществления, который состоит из четырех составляющих, а именно: правового и организационного обеспечения рынка труда, системы социальных гарантий, предоставляемых государством занятым и безработным гражданам, и экономических мероприятий.

Каждый элемент механизма государственного регулирования безработицы должен непременно соотноситься с саморегулятивными процессами рынка труда. Наиболее широко эти процессы развернулись в организационном элементе механизма, наглядным примером которых стала развернувшая свою деятельность, в том числе и в Лесосибирске, система частных агентств по трудоустройству населения. Эти агентства не стали конкурентами государственной системы трудоустройства, поскольку они действуют на разных сегментах рынка труда.

Социальные гарантии и экономические мероприятия как самостоятельные элементы механизма государственного регулирования безработицы не обладают свойством саморегуляции и являются предметом исключительного ведения государства.

Работа состоит из введения, трех глав, заключения, списка использованной литературы и 4 приложений. Библиографический список включает 33 наименований. Объем работы составляет 81 страницу компьютерного текста.

1. 
Методологические подходы к управлению безработицей

.1 Безработица муниципального образования как фактор нестабильности экономической основы муниципалитета

Основные категории населения

Важным явлением, характеризующим макроэкономическую нестабильность и имеющим циклический характер развития, выступает безработица. Чтобы определить, кто такие безработные, следует рассмотреть основные категории населения страны.

Население (population - POP) страны с макроэкономической точки зрения делится на две группы: включаемые в численность рабочей силы (labour force - L) и не включаемые в численность рабочей силы (non-labour force - NL):

= L + NL.

К категории «non-labour force» относят людей, не занятых в общественном производстве и не стремящихся получить работу. В эту категорию автоматически включаются следующие группы населения: дети до 16 лет; лица, отбывающие срок заключения в тюрьмах; люди, находящиеся в психиатрических лечебницах и инвалиды. (Эти категории людей называют «институциональным населением», поскольку они находятся на содержании государственных институтов.) Кроме того, к категории не включаемых в численность рабочей силы относятся люди, которые в принципе могли бы трудиться, но не делают этого в силу разных причин, т.е. которые не хотят или не могут работать и работу не ищут: студенты дневного отделения (поскольку должны учиться); вышедшие на пенсию (поскольку уже отработали свое); домохозяйки (поскольку хотя и трудятся полный рабочий день, но не в общественном производстве и не получают плату за свой труд); бродяги (поскольку просто не хотят работать); люди, прекратившие поиск работы (искавшие работу, но отчаявшиеся ее найти и поэтому выбывшие из состава рабочей силы).

К категории «labour force» относят людей, которые работать могут, работать хотят и работу активно ищут. Т.е. это люди, либо уже занятые в общественном производстве, либо не имеющие места работы, но предпринимающие специальные усилия по ее поиску. Таким образом, общая численность рабочей силы делится на две части:

занятые (employed - E) - т.е. имеющие работу, причем неважно, занят человек полный рабочий день или неполный, полную рабочую неделю или неполную. Человек также считается занятым, если он не работает по следующим причинам: а) находится в отпуске; б) болеет; в) бастует;

безработные (unemployed - U) - т.е. не имеющие работу, но активно ее ищущие. Поиск работы является главным критерием, отличающим безработных от людей, не включаемых в рабочую силу.

Таким образом, общая численность рабочей силы равна:

= E + U.

(При этом военнослужащие, находящиеся на действительной воинской службе, хотя формально и относятся к занятым, как правило, при подсчете показателя уровня безработицы не учитываются в общей численности рабочей силы. Этот показатель обычно (если это не оговаривается специально) рассчитывается только для гражданского сектора экономики.)

Показатели количества занятых и безработных, численности рабочей силы и численности не включаемых в рабочую силу являются показателями потоков. Между категориями «занятых», «безработных» и «не включаемых в рабочую силу» постоянно происходят перемещения (рис. 1). Часть занятых теряет место работы, превращаясь в безработных. Некоторая доля безработных находит работу, становясь занятыми. Часть занятых увольняется с работы и покидает общественный сектор экономики (например, выходя на пенсию или становясь домохозяйкой), а часть безработных, отчаявшись, прекращает поиски работы, что увеличивает численность не включаемых в рабочую силу. При этом часть людей, не занятых в общественном производстве, начинает активный поиск работы (неработающие женщины; закончившие высшие учебные заведения студенты; одумавшиеся бродяги). Как правило, в условиях стабильной экономики, количество людей, теряющих работу, равно числу людей, активно ее ищущих.

Рисунок 1

Основным показателем безработицы является показатель уровня безработицы. Уровень безработицы (rate of unemployment - u) представляет собой отношение численности безработных к общей численности рабочей силы (сумме количества занятых и безработных), выраженное в процентах:

u = U/L*100% или u = U/(E+U)*100%.

Еще одним важным показателем статистики труда выступает показатель уровня участия в рабочей силе (labour force participation rate), который представляет собой отношение численности рабочей силы к общей численности взрослого населения, выраженное в процентах: уровень участия в рабочей силе = рабочая сила / численность взрослого населения

Причины и виды безработицы

Выделяют три основные причины безработицы:

потеря работы (увольнение);

добровольный уход с работы;

первое появление на рынке труда.

Различают три типа безработицы: фрикционную, структурную и циклическую.

Фрикционная безработица (от слова «фрикция» - трение) связана с поиском работы. Очевидно, что поиск работы требует времени и усилий, поэтому человек, ожидающий или ищущий работу, некоторое время находится в безработном состоянии. Особенностью фрикционной безработицы является то, что работу ищут уже готовые специалисты с определенным уровнем профессиональной подготовки и квалификации. Поэтому основной причиной этого типа безработицы является несовершенство информации (сведений о наличии свободных рабочих мест). Человек, потерявший работу сегодня, обычно не может найти другую работу уже завтра.

К фрикционным безработным относятся:

уволенные с работы по приказу администрации;

уволившиеся по собственному желанию;

ожидающие восстановления на прежней работе;

нашедшие работу, но еще не приступившие к ней;

сезонные рабочие (не в сезон);

люди, впервые появившиеся на рынке труда и имеющие требующийся в экономике уровень профессиональной подготовки и квалификации.

Фрикционная безработица представляет собой явление не только неизбежное, поскольку связана с естественными тенденциями в движении рабочей силы (люди всегда будут менять место работы, стремясь найти работу, в наибольшей степени соответствующую их предпочтениям и квалификации), но и желательное, так как способствует более рациональному размещению рабочей силы и более высокой производительности (любимая работа всегда более производительная и творческая, чем та, которую человек заставляет себя выполнять).

Уровень фрикционной безработицы равен выраженному в процентах отношению количества фрикционных безработных к общей численности рабочей силы:

фрикц = Uфрикц/L*100%.

Структурная безработица обусловлена структурными изменениями в экономике, которые связаны а) с изменением структуры спроса на продукцию разных отраслей и б) с изменением отраслевой структуры экономики, причиной которого является научно-технический прогресс. Структура спроса постоянно меняется. Спрос на продукцию одних отраслей увеличивается, что ведет к росту спроса на рабочую силу, в то время как спрос на продукцию других отраслей падает, что ведет к сокращению занятости, увольнениям рабочих и росту безработицы. Со временем меняется и отраслевая структура производства: одни отрасли устаревают и исчезают, такие как производство паровозов, карет, керосиновых ламп и черно-белых телевизоров, а появляются другие как, например, производство персональных компьютеров, видеомагнитофонов, пейджеров и мобильных телефонов. Меняется набор профессий, требующихся в экономике. Исчезли профессии трубочиста, стеклодува, фонарщика, ямщика, коммивояжера, но появились профессии программиста, имиджмейкера, диск-жокея, дизайнера.

Причина структурной безработицы - несоответствие структуры рабочей силы структуре рабочих мест. Это означает, что люди, имеющие профессии и уровень квалификации, не соответствующие современным требованиям и современной отраслевой структуре, будучи уволенными, не могут найти себе работу. Кроме того, к структурным безработным относятся люди, впервые появившиеся на рынке труда, в том числе выпускники высших и средних специальных учебных заведений, чья профессия уже не требуется в экономике. К структурным безработным относятся также люди, потерявшие работу в связи с изменением структуры спроса на продукцию разных отраслей. В разные периоды времени спрос на продукцию одних отраслей растет, поэтому производство расширяется и требуются дополнительные рабочие, а спрос на продукцию других отраслей падает, производство сокращается, и рабочих увольняют.

Уровень структурной безработицы рассчитывается как отношение количества структурных безработных к общей численности рабочей силы, выраженное в процентах:

структ = Uструкт/L*100%.

Поскольку и фрикционная, и структурная безработица связаны с поисками работы, то эти типы безработицы относятся к категории «search unemployment».

Структурная безработица более продолжительна и дорогостояща, чем фрикционная безработица, поскольку найти работу в новых отраслях без специальной переподготовки и переквалификации практически невозможно. Однако, как и фрикционная, структурная безработица представляет собой явление неизбежное и естественное (т.е. связанное с естественными процессами в развитии и движении рабочей силы) даже в высокоразвитых экономиках, поскольку постоянно меняется структура спроса на продукцию разных отраслей и постоянно меняется отраслевая структура экономики в связи с научно-техническим прогрессом, а поэтому в экономике постоянно происходят и будут всегда происходить структурные сдвиги, провоцируя структурную безработицу. Поэтому, если в экономике существует только фрикционная и структурная безработица, то это соответствует состоянию полной занятости рабочей силы, а фактический объем выпуска в этом случае равен потенциальному.

Последствия безработицы

Наличие циклической безработицы представляет собой серьезную макроэкономическую проблему, служит проявлением макроэкономической нестабильности, свидетельством неполной занятости ресурсов.

Выделяют экономические и неэкономические последствия безработицы, которые проявляются как на индивидуальном уровне, так и на общественном уровне.

Неэкономические последствия безработицы - это психологические и социальные и политические последствия потери работы. На индивидуальном уровне неэкономические последствия безработицы состоят в том, что если человек в течение продолжительного времени не может найти работу, то это часто приводит к психологическим стрессам, отчаянию, нервным (вплоть до самоубийства) и сердечнососудистым заболеваниям, развалу семьи. Потеря стабильного источника дохода может толкнуть человека на преступление (кражу и даже убийство), асоциальное поведение.

На уровне общества это, в первую очередь, означает рост социальной напряженности, вплоть до политических переворотов. Не случайно американский президент Франклин Делано Рузвельт, объясняя причину разработки и проведения им политики «Нового курса» для выхода из Великой Депрессии, главной проблемой которой была огромная безработица (в США в этот период безработным был каждый четвертый), писал, что тем самым он хотел «предотвратить революцию отчаяния». Действительно, военные перевороты и революции связаны именно с высоким уровнем социальной и экономической нестабильности. Кроме того, социальными последствиями безработицы являются рост уровня заболеваемости и смертности в стране, а также рост уровня преступности. К издержкам безработицы следует отнести и те потери, которое несет общество в связи с расходами на образование, профессиональную подготовку и обеспечение определенного уровня квалификации людям, которые в результате оказываются не в состоянии их применить, а, следовательно, окупить.

Экономические последствия безработицы на индивидуальном уровне заключаются в потере дохода или части дохода (т.е. снижении текущего дохода), а также в потере квалификации (что особенно плохо для людей новейших профессий) и поэтому уменьшении шансов найти высокооплачиваемую, престижную работу в будущем (т.е. возможном снижении уровня будущих доходов).

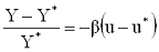
Экономические последствия безработицы на уровне общества в целом состоят в недопроизводстве валового национального продукта, отставании фактического ВВП от потенциального ВВП. Наличие циклической безработицы (когда фактический уровень безработицы превышает ее естественный уровень) означает, что ресурсы используются не полностью. Поэтому фактический ВВП меньше, чем потенциальный (ВВП при полной занятости ресурсов). Отставание (разрыв) фактического ВВП от потенциального ВВП (GDP gap) рассчитывается как процентное отношение разницы между фактическим и потенциальным ВВП к величине потенциального ВВП:

= (Y - Y*)/Y* * 100%,

где Y - фактический ВНП, а Y* - потенциальный ВВП.

Зависимость между отставанием объема выпуска (в то время ВНП) и уровнем циклической безработицы эмпирически, на основе изучения статистических данных США за ряд десятилетий, вывел экономический советник президента Дж.Кеннеди, американский экономист Артур Оукен (A.Okun). В начале 60-х годов он предложил формулу, которая показывала связь между отставанием фактического объема выпуска от потенциального и уровнем циклической безработицы. Эта зависимость получила название «закона Оукена».


В левой части уравнения записана формула разрыва ВВП. В правой части u - это фактический уровень безработицы, u* - естественный уровень безработицы, поэтому (u - u*) - уровень циклической безработицы - коэффициент Оукена (> 0). Этот коэффициент показывает, на сколько процентов сокращается фактический объем выпуска по сравнению с потенциальным (т.е. на сколько процентов увеличивается отставание), если фактический уровень безработицы увеличивается на 1 процентный пункт, т.е. это коэффициент чувствительности отставания ВВП к изменению уровня циклической безработицы. Для экономики США в те годы, по расчетам Оукена, он составлял 2.5%. Для других стран и других времен он может быть численно иным. Знак «минус» перед выражением, стоящим в правой части уравнения, означает, что зависимость между фактическим ВВП и уровнем циклической безработицы обратная (чем выше уровень безработицы, чем меньше величина фактического ВВП по сравнению с потенциальным).

Отставание фактического ВВП любого года можно подсчитать не только по отношению к потенциальному объему выпуска, но и по отношению к фактическому ВВП предыдущего года. Формулу для такого расчета также предложил A. Оукен:


где Yt - фактический ВВП данного года, Yt - 1 - фактический ВВП предыдущего года, т.е. в левой части уравнения записана формула отставания ВВП по годам, u t - фактический уровень безработицы данного года, u t - 1 - фактический уровень безработицы предыдущего года, 3% - темп роста потенциального ВНП, обусловленный: а) ростом численности населения, б) ростом капиталовооруженности и в) научно-техническим прогрессом; 2 - это коэффициент, показывающий на сколько процентов сокращается фактический ВВП при росте уровня безработицы на 1 процентный пункт (это означает, что если уровень безработицы увеличивается на 1 процентный пункт, фактический ВВП сокращается на 2%). Этот коэффициент был рассчитан Оукеном на основе анализа эмпирических (статистических) данных для американской экономики, поэтому для других стран он может быть иным.

Государственная политика борьбы с безработицей

Поскольку безработица представляет собой серьезную макроэкономическую проблему, выступает показателем макроэкономической нестабильности, государство предпринимает меры для борьбы с ней. Для разных типов безработицы, поскольку они обусловлены разными причинами, используются разные меры. Общими для всех типов безработицы являются такие меры как:

выплата пособий по безработице;

создание служб занятости (бюро по трудоустройству).

Специфическими мерами для борьбы с фрикционной безработицей выступают:

усовершенствование системы сбора и предоставления информации о наличии свободных рабочих мест (не только в данном городе, но и других городах и регионах);

создание специальных служб для этих целей.

Для борьбы со структурной безработицей используются такие меры как:

создание государственных служб и учреждений по переподготовке и переквалификации;

помощь частным службам такого типа.

Основными средствами борьбы с циклической безработицей являются:

проведение антициклической (стабилизационной) политики, направленной на недопущение глубоких спадов производства и, следовательно, массовой безработицы;

создание дополнительных рабочих мест в государственном секторе экономики.

1.2 Законодательная база по урегулированию безработицы

К положениям законодательства о труде, влияющим на параметры рынка труда и сферу занятости, следует отнести, прежде всего те, в которых находят нормативное закрепление: трудовые отношения (бессрочные и срочные трудовые договоры); ограничения на увольнения по экономическим причинам и связанные с ними издержки; нормы рабочего времени и времени отдыха; регулирование уровня и условий оплаты труда; нормы, устанавливающие льготы для отдельных категорий работников за счет работодателя.

При исследовании трудовых прав работников необходимо учитывать переходный характер экономики и связанные с этим слабость действия как государственных, так и негосударственных механизмов "принуждения к исполнению закона", a также неразвитость институциональной структуры рынка труда. Эти обстоятельства создают питательную почву для развития трудовых отношений именно в нелегальных формах. В работах, касающихся теневой экономики, нелегальных экономических механизмов, в числе причин развития таких отношений трудовое законодательство не упоминается, но это не означает, что оно не оказывает на них влияния. Указанное обстоятельство является результатом постановки исследовательских задач и применяемых методик. Интервьюируя предпринимателей и менеджеров, исследователи редко задают вопросы по трудовому законодательству. По своей инициативе респонденты, как правило, к этой теме не обращаются.

На развитие нелегальной практики трудовых отношений в наибольшей степени влияют такие разделы трудового законодательства, как регулирование найма и увольнения, рабочего времени (в несколько меньшей степени), положения, регулирующие права и роль профессиональных союзов. В то же время не секрет, что увод в "тень" трудовых отношений во многих случаях диктовался не столько трудовым, сколько налоговым законодательством, действовавшим в России на протяжении 1990-х годов.

Социально-экономические преобразования в России в последнее десятилетие, связанные с переходом к рыночной экономике, привели к существенным изменениям в общественных отношениях, в том числе и регулируемых трудовым законодательством. Появившиеся проблемы в регулировании трудовых отношений требуют серьезного реформирования трудового законодательства с учетом того, что трудовое право особая форма реализации социальной политики государства и поэтому должно оставаться самостоятельной отраслью права, принципиально отличающейся от других отраслей (гражданского, административного) по предмету и методам регулирования. Следует также учитывать, что трудовое законодательство призвано содействовать взаимному усилению экономической и социальной политики, созданию условий для широкомасштабного и устойчивого развития общества.

При регулировании любого вида общественных отношений основополагающим принципом является создание правовых условий для достижения оптимального баланса интересов их сторон. Сторонами социально-трудовых отношений являются работодатель и работник. Отдельный работник всегда заведомо слабая сторона, а достижение баланса интересов сторон трудовых отношений возможно только при коллективной защите работниками своих прав и интересов и при законодательном наделении сторон определенными правами и возложении на них определенных обязанностей. Баланс интересов работодателя и работника означает возможность осуществления реальной защиты социально-трудовых прав и интересов работников при учете интересов работодателя в повышении эффективности производства. Вот основные начала и смысл, которыми должны руководствоваться законодатели при реформировании трудового законодательства, а не какими-либо посылками типа: действующее трудовое законодательство является советским, не соответствует рыночным отношениям или зарубежным трудовым нормам права. Во-первых, в советском трудовом праве содержалось немало норм, которые с успехом могут использоваться в условиях рынка. Во-вторых, действующее трудовое законодательство в настоящее время не является сдерживающим фактором в повышении эффективности производства (это другие факторы и они известны). В-третьих, использование зарубежного опыта не может и не должно являться определяющим признаком при формировании российского трудового права. Использовать зарубежный опыт необходимо с обязательным учетом российских особенностей.

Одной из важнейших национальных особенностей является наша правовая система, в которой определяющую роль играет государство. На ее формирование и функционирование большое влияние оказывают состояние экономики, уровень культуры, исторические особенности, традиции и обычаи. Российская правовая система отличается от многих правовых систем западных стран, но близка к французской. Многие аспекты трудовых отношений в обеих системах регулируются преимущественно законодательным методом.

Другая российская национальная особенность - патерналистская психология россиян, сформировавшаяся в процессе осуществления в России в течение всего периода ее существования жесткой государственной власти. Россияне обладают слаборазвитой способностью к самозащите своих прав и интересов. Им необходима государственная защита, то есть трудовое законодательство должно обеспечить работникам реальную защиту их прав и интересов. Оно должно способствовать самоорганизации работников. Работники могут быть равной стороной в трудовых отношениях с работодателем только при своем объединении. Формой объединения работников для защиты своих социально-трудовых прав и интересов, как правило, являются профсоюзы. В настоящее время в России, несмотря на формальное многочленство работников в профсоюзах, фактически сильных профсоюзных организаций, способных противостоять работодателям и быть равной стороной в трудовых отношениях, очень мало.

Уровень государственного вмешательства в сферу законодательного регулирования социально-трудовых отношений, жесткость норм трудового законодательства зависит от уровня развития способности работников к защите своих прав и интересов. По мере укрепления профсоюзов роль государственного регулирования должна снижаться, а договорного - возрастать.

К реформированию трудовых отношений должен быть особый подход, так как от их состояния зависит быть или не быть гражданскому и социальному миру в обществе. Законодатели должны быть консерваторами, когда затрагиваются интересы работников. Ослабление установленных государством прав и гарантий для работников и их представителей должно отставать от либерализации в сфере экономики. В настоящее время и, наверное, еще на долгий период, объективно необходимо законодательное усиление защищенности работников, как более слабой стороны в трудовых отношениях. Это должно выразиться в совершенствовании как материальных норм трудового законодательства, так и процессуальных. Кроме того, при реформировании трудового законодательства необходимо провести его систематизацию.

Систематизация законодательства проводится с целью создания условий для обеспечения его доступности субъектам правореализации и удобства пользования законодательными актами. Такая систематизация в настоящее время должна производиться при использовании ее обоих видов: инкорпорации и кодификации. Основным нормативным правовым актом, непосредственно регулирующим трудовые и связанные с ним отношения, должен стать Трудовой кодекс. В нем необходимо сосредоточить большинство трудовых правовых норм, сохранив при этом оправдавшие себя в современных условиях наиболее принципиальные положения действующих законодательных и подзаконных актов.

Во избежание коллизий в трудовом законодательстве в Трудовом кодексе следует закрепить общее правило о недопустимости включения норм, регулирующих трудовые отношения, в другие законы, кроме случаев, когда это непосредственно предусмотрено в самом Трудовом кодексе.

Трудовой кодекс должен включать нормы прямого действия. К компетенции исполнительных органов власти может быть отнесено решение лишь отдельных вопросов, предусмотренных в Кодексе. На основе нормативных актов о труде, не включенных в Трудовой кодекс, следует издать сборник нормативных актов о труде.

Особо следует сказать о международно-правовых актах о труде. Согласно Конституции РФ (ст. 15 п. 4) общепризнанные принципы и нормы международного права и международные договоры Российской Федерации являются составной частью ее правовой системы. Если международным договором Российской Федерации установлены иные правила, чем предусмотренные законом, то применяются правила международного договора. Т.е. с принятием Конституции РФ российское трудовое право получило новый важный свой источник. В настоящее время многие международные договоры и соглашения в сфере трудового законодательства Россией ратифицированы и даже применяются как в законотворческом процессе, так и в правоприменительном. Международные источники трудового права способствуют повышению защищенности работников, а также мировой унификации законодательства. В условиях рынка и глобализации экономики унификация трудового права приведет к оздоровлению на международной арене конкуренции между странами и предприятиями, т.к. способствует выравниванию расходов на социальные нужды. В настоящее время у законодателей и субъектов правоприменительного процесса существует проблема пользования международными правовыми актами о труде по причине их издательской разбросанности или отсутствия изданий вовсе.

Правовую основу деятельности местного самоуправления в сферах занятости составляют нормативные и правовые акты, которые по уровню разработки и принятия можно разделить на три группы.

К первой группе относятся правовые акты федерального уровня. Среди них можно выделить законодательные акты «общего плана», закрепляющие начала и основные принципы местного самоуправления и порядок взаимодействия его органов с органами государственного управления, различными государственными службами и отдельными учреждениями, организациями и предприятиями. Это Конституция Российской Федерации от 12 декабря 1993 г., Федеральный закон «Об общих принципах организации местного самоуправления в Российской Федерации» от 28 августа 1995 г. №154-ФЗ, Указ Президента Российской Федерации «О гарантиях местного самоуправления в Российской Федерации» от 22 декабря 1993 г. №2265, послания Президента Российской Федерации Федеральному Собранию, постановления Государственной Думы Российской Федерации, Правительства Российской Федерации, других государственных органов.

Конституция Российской Федерации гарантирует каждому гражданину право на труд и защиту от безработицы, а также право на социальное обеспечение по возрасту, болезни и инвалидности и социальную защиту определенных законодательством категорий населения.

Федеральным законом «Об общих принципах организации местного самоуправления в Российской Федерации» от 28 августа 1995 г. №154-ФЗ к предметам ведения органам местного самоуправления отнесены (п. 28 ст. 6) «обеспечение социальной поддержки и содействие занятости населения».

На федеральном уровне разрабатывается и принимается также система специальных нормативных актом, регулирующих деятельность органов управления различных региональных уровней, специализированных государственных и муниципальных служб и отдельных учреждений, организации и предприятий в сферах занятости. В первую очередь по Закону Российской Федерации «О занятости населения в Российской Федерации» и другие законодательные акты. Согласно существующему законодательству, деятельность в сфере занятости населения осуществляется специализированными государственными и муниципальными службами. Так, проблемами занятости занимается Федеративная государственная служба занятости населения, структуры которой не являются подразделениями соответствующих органов государственного и муниципального управления.

Вторую группу правовых актов образуют документы, принимаемые на уровне субъекта Федерации. Это конституции (уставы) субъектов Федерации, законы и постановления администраций, представительных и исполнительных органов субъектов Федерации по вопросам местного самоуправления

Третью группу образуют правовые акты, принимаемые органами и должностными лицами местного самоуправления - это уставы муниципальных образований, постановления и распоряжения их представительных и исполнительных органов и отдельных должностных лиц.

Взаимодействие между уровнями управления и сфере занятости регламентируется федеральными нормативными актами, определяющими источники и порядок формирования муниципальных внебюджетных фондов и их отношения с вышестоящими фондами, регламентирующими деятельность центров занятости и критерии отнесения муниципальных образований к категории «кризисных» по состоянию рынка труда.

.3 Управление безработицей на уровне муниципалитета моногорода

Что такое моногорода? Этот термин совсем недавно стал появляться в выступлениях президента Дмитрия Анатольевича Медведева и премьер-министра страны Владимира Владимировича Путина. Почему необходимо решать проблемы таких территорий? Почему правительство страны и президент озабочены задачей их развития?

Моногорода - это те населённые пункты, которые экономически и социально существуют за счёт одного-двух градообразующих предприятий. Или речь идёт о нескольких технологически связанных предприятиях, где работает не менее четверти экономически активного населения, дающего более половины объёма промышленного производства. Население таких территорий обычно не может самостоятельно бороться с внешними рисками - например, падением спроса на продукцию. В России 460 моногородов, и золотодобывающий Пласт вполне можно отнести к этой категории.

Конечно, моноэкономика проблема всей страны. Города с одним предприятием, безусловно, экономически наиболее уязвимы. Особенно - в условиях кризиса. Контролирующим, инспектирующим организациям легче подчинить, «подстроить под себя» такой бизнес, а это чревато весьма негативными последствиями. Конечно, хочется, чтобы наше правительство остановило произвол некоторых контрольных или инспектирующих служб, рост этих пиявок на теле предприятий и бюджетников, которые живут за счёт организаций и их же буквально душат по всем направлениям.

Мировая история знает разные примеры решения проблем моногородов. Есть успешные: в Англии, например, город Бермингем, в Германии - Рур, в Чехии - Острава, где спад производства привёл в своё время к 20-процентной безработице, но за счёт развития других сфер производства или туризма, при поддержке государства территории выжили и развиваются.

Задача, поставленная в этом разделе - показать значимость социологических исследований в выявлении такой серьезной проблемы городов России как безработица.

Рассмотрим критерии, принятые по отношению к уровню занятости. В связи с необходимостью применения регулярно разрабатываемых, распространенных и доступных показателей занятости населения был использован ограниченный состав показателей и критериев.

С учетом сказанного, к городским поселениям с критической ситуацией в сфере занятости были отнесены следующие населенные пункты:

с уровнем официально зарегистрированной безработицы более 7%;

с уровнем официально зарегистрированной безработицы от 5,0% до 7,0% и (одновременно) с уровнем скрытой безработицы (неполной занятости) более 20,0%;

с уровнем скрытой безработицы (неполной занятости) более 50%.

В соответствии с уточненными критериями в состав общероссийского перечня было отобрано 330 населенных мест, в которых проживает более 5 миллионов человек.

По официальному статусу эти поселения разбиваются следующим образом: 111 городов (в том числе, 92 малых города с населением до 50 тыс. жителей), 101 поселок городского типа и 118 сельских поселений, связанных преимущественно с лесной промышленностью.

Помимо того, что населенные пункты, включенные в Перечень, отличаются по размеру и категории, они имеют и различную хозяйственную специализацию. Условно их можно разделить на пять больших групп:

поселения, связанные с природно-ресурсным потенциалом страны. Они, как правило, возникли в связи с разработкой и промышленным освоением тех или иных природных ресурсов (нефтяных, газовых, угольных, лесных и др.). Проблемы в сфере занятости таких городов возникают по следующим причинам: исчерпание добываемых ресурсных запасов; нерентабельностью дальнейшей эксплуатации месторождений; неконкурентоспособностью или не востребованностью продукции на внутреннем и внешнем рынках (что может носить временный характер). В вышеупомянутый Перечень было включено 203 поселения этого типа;

поселения, монопрофильность которых обусловлена узкоспециализированными предприятиями обрабатывающей промышленности (в том числе и по первичной переработки сырья). В связи с разнообразием отраслевой специализации этого типа городов проблемы в сфере занятости в них также многообразны и сложны. Причинами их возникновения, как правило, служат: общеэкономический кризис в стране, несовершенная государственная налоговая система, разрыв ранее действующих экономических связей (по поставкам сырья и реализации продукции), отсталость применяемых технологий, изношенность основных фондов, не конкурентоспособность и невостребованность продукции, отсутствие квалифицированного управления. В Перечень монопрофильных городов с критической ситуацией в сфере занятости вошло 77 поселений рассматриваемой специализации;

поселения, в которых в качестве основных градообразующих предприятий являются объекты промышленного комплекса. По характеру специализации и проблемам эти поселения примыкают к предыдущей группе, однако, одной из главных причин кризисного состояния этих городов стало обвальное сокращение государственных заказов на оборонную продукцию. Кроме того, ситуация в таких городах усугубляется, как правило, полной неопределенностью перспектив развития основного производства, а также крайней ограниченностью свободы действий руководителей предприятий промышленного комплекса. В состав этой группы входит 11 городов;

поселения, специализация которых обусловлена размещением наукоемких предприятий и организаций (научные центры и близкие к ним по профилю города и закрытых административно-территориальных образований (ЗАТО). Специфика проблем экономической деятельности (а, следовательно, и занятости населения) в этих муниципальных образования обусловлена резким сокращением государственного заказа и объемов финансирования научной деятельности (как фундаментального, так и прикладного характера). Что касается ЗАТО, то здесь проблемы те же, что и в городах с объектами промышленного комплекса. Вместе с тем, острота проблем в ЗАТО несколько сглаживается особым порядком их финансирования через федеральный бюджет. В вышеупомянутый Перечень было включено 4 таких поселений;

поселения, связанные с обслуживанием различных видов транспорта (главным образом, железнодорожного). Проблемы занятости в этого рода населенных пунктах связаны с падением объема перевозок, разгрузочно-погрузочных и других работ на транспорте. В Перечень было включено 19 транспортных поселений.

К регионам с преобладанием монопрофильных городов отнесены 4 области, 2 республики и один автономный округ. В этих регионах России доля моногородов колеблется от 68% в Нижегородской области до 100% в Чукотском АО.

Одной из главных проблем монопрофильных городов является безработица. Постановлением Правительства Российской Федерации «О мерах по поддержанию занятости населения» Минтруду России, Минэкономики России и ряду других министерств и ведомств поручено разработать поэтапно по городам с монопрофильной структурой хозяйства и высоким уровнем безработицы специальные программы создания и сохранения рабочих мест. Для реализации данного постановления в настоящее время по заказу Минтруда России при Минэкономики России («Города России») выполняется работа по подготовке методических рекомендаций по составлению территориальных специальных программ содействия развития занятости в монопрофильных городах. Цель разработки рекомендаций - методическая помощь муниципальным органам в обосновании путей выхода из кризисного состояния и повышения занятости населения, а также в обосновании финансового обеспечения соответствующих мероприятий программы, в том числе и за счет оказания государственной помощи.

Одной из главных задач программы является стабилизация и совершенствование экономической базы города путем ее диверсификации и проведения селективной политики (активизация работы действующих предприятий, отвечающих требованием рынка и стратегическим интересам страны, перепрофилирование и реструктуризация предприятий, теряющих сырьевую базу и устойчивый спрос на продукцию). Преобразование монопрофильного города в многофункциональный одновременно будет способствовать формированию более гармоничной структуры занятости, что в конечном счете окажет благотворное влияние на социально-демографический состав населения в целом. При определении основных направлений развития монопрофильных городов, необходимы:

объективная оценка сложившейся ситуации, анализ и постановка диагноза, установление причин, приведших город к кризисной ситуации;

оценка благоприятных и лимитирующих факторов дальнейшего развития города;

подход к городу не как к автономному, изолированному образованию, а как части региона и страны, а во многих случаях - как к фокусной точке территории («малой столице»);

особое внимание уделить формированию в городе среды благоприятной для привлечения инвестиций, функционирования субъектов хозяйственной деятельности и, что особенно важно, - для жизнедеятельности проживающего населения;

обеспечение информационно-психологического сопровождения, учет и формирование общественного мнения, т.е. обеспечить учет интересов населения, адекватное восприятие жителями замысла разработчиков и городских органов власти, его поддержку и, главное - его заинтересованное, конкретное участие в реализации программы.

Важное значение для осуществления программных материалов имеет правильный отбор мероприятий для их поэтапной реализации.

В качестве основных критериев для обоснования этапов и соответствующих мероприятий могут служить: повышенная актуальность, определяемая, прежде всего, уровнем социальной напряженности; возможность финансового обеспечения мероприятий, степень обоснованности и готовности к их реализации (например, обеспеченность проектной документацией).

Применительно к первому этапу (в условиях дефицита финансовых возможностей) целесообразно:

максимально использовать (с учетом потребностей рынка) возможности существующих предприятий, во многих случаях для их «оживления» достаточно скромных ресурсов для пополнения оборотных средств;

развитие малого и среднего предпринимательства, особенно сфер деятельности, ориентированных на использование местных возможностей и предпосылок, дающих быстрый оборот капитала и рост мест приложения труда;

налаживание внутригородской и внутрирайонной межотраслевой кооперации, расширение сферы межселенного обслуживания;

формирование системы прогнозно-проектных материалов, обеспечивающих проектное сопровождение мероприятий следующего этапа;

заблаговременная подготовка и переподготовка кадров для предприятий и организаций, намечаемых к развитию (размещению) в городе;

осуществление не капиталоемких мер по повышению привлекательности городской среды;

проведение комплекса традиционных мероприятий по улучшению занятости населения и его социальной защите.

Применительно к последующему этапу (в условиях расширения инвестиционных возможностей) приоритетное внимание может быть отдано мероприятиям, обеспечивающих проведение диверсификации, перепрофилированию и реструктуризации экономической базы, а также существенному повышению качества и привлекательности городской среды.

Духовный мир современного горожанина характеризуется сложным переплетением различных идеологий, мировоззрений, ценностных систем. Разнобой ценностных ориентации имеет своим следствием исключительную пестроту типов поведения, образов жизни, качественную дифференциацию ценностных позиций по отношению к труду, учебе, семье, политике, городу, что позволяет выделить в городском сообществе множество разных систем ценностей. Именно они, в конечном итоге, определяют вектор развития общества. В этом контексте представляет интерес монопромышленный город, являющийся своеобразной социокультурной и социотерриториальной общностью. Для монопромышленных городов характерны в основном те же проблемы, что и для других категорий городов, однако в условиях односторонней направленности хозяйства эти проблемы приобретают наибольшую остроту. Сложность заключается в том, что градообразующее предприятие несёт на себе социальную нагрузку, то есть его нельзя рассматривать в отрыве от города, без учета социально-экономического положения, дальнейших судеб и возможного поведения людей, в нем проживающих.

Специфическая социокультурная среда монопромышленного города играет значительную роль в иерархизации ценностных ориентации населения. Градообразующее предприятие преднамеренно направляет, культивирует определённую систему ценностей и жизненные приоритеты.

В заключение следует отметить, что формирование общероссийского перечня монопрофильных городов и других населенных мест с кризисной ситуацией, а также разработка конкретных программ и мер государственной поддержке позволит обеспечить существенное снижение социальной напряженности и повышение роли этих населенных мест в подъеме экономики России.

2. 
Анализ проблем безработицы, путей ее решения на примере муниципального образования г. Лесосибирска

.1 Внешние и внутренние факторы, влияющие на рынок труда

 

Рынок труда представляет собой совокупный спрос и предложение рабочей силы, который за счет взаимодействия этих двух составляющих обеспечивает размещение экономически активного населения по сферам хозяйственной деятельности в отраслевом, территориальном, демографическом и профессионально-квалификационных разрезах относительно рабочих мест. На рынке труда складываются отношения между работодателями и наемными работниками, способствующие соединению рабочей силы со средствами производства. Тем самым удовлетворяется потребность первых в труде, а вторых в заработной плате.

Можно выделить внешние и внутренние факторы, влияющие на рынок труда:

·   внешние - кризисный спад общественного производства, структурная перестройка производства, сокращение вооруженных сил, изменение отношений собственности, денежно - кредитная и финансовая политика государства;

·   внутренние (они являются систематизирующими и воздействуют на предложение труда, а не на его спрос) - демографическая ситуация, образование, подготовка и переподготовка кадров, миграция.

Исследование всех этих факторов позволяет определить взаимосвязи между ними и ситуацией на рынке труда:

·   рост безработицы - сокращение инвестиций и потребительского спроса - сокращение совокупного спроса - уменьшение объема производства - дальнейший рост безработицы;

·   кризис производства - снижение производительности труда - усиление спада производства;

·   безработица - перераспределение национального дохода в пользу элитных слоев - рост бедности - падение производства - дальнейший рост безработицы;

·   высокая производительность труда - рост уровня благосостояния - дополнительная покупательная способность населения - дополнительные новые потребности - рост производства - рост занятости;

·   неполная занятость - низкая зарплата - низкая производительность труда - дальнейшее уменьшение занятости.

Все эти факторы и «порождаемые» ими тенденции в совокупности определили достаточно быстрый «скачок» безработицы в условиях формирования рынка труда.

Коротко рассмотрим, деятельность города Лесосибирска и предприятия являющиеся градообразующим для данного моногорода. Город Лесосибирск Красноярского края находится в 300 километрах севернее Красноярска на берегу реки Енисей, чуть ниже впадения в него Ангары, входя в состав региона, называемого Нижним Приангарьем.

Лесосибирск, в силу ряда факторов, является ключевым звеном, плацдармом для развития Нижнего Приангарья:

Через Лесосибирск проходит направленная на север края автомобильная трасса республиканского значения, он является конечным пунктом железной дороги (пропускная способность станции 2,5 млн. тн. в год), имеет на территории мощный речной порт, способный перерабатывать в год более миллиона тонн грузов. Енисеем город связан с Северным Морским путем, Ангарой - с районами Приангарья.

Промышленный потенциал города выражается наличием нескольких лесопильных предприятий, два из которых входят в число крупнейших лесоэкспортных предприятий России:

ЛЕСНАЯ, ДЕРЕВООБРАБАТЫВАЮЩАЯ И ЦЕЛЛЮЛОЗНО-БУМАЖНАЯ ПРОМЫШЛЕННОСТЬ

ОАО "Лесосибирский лесоперевалочный комбинат"

, Красноярский край, г. Лесосибирск,

Предлагает: Продукция лесопиления, производство шпал, лесоперевалочные работы

ДЕРЕВООБРАБАТЫВАЮЩАЯ ПРОМЫШЛЕННОСТЬ

ЗАО "Лесосибирский лесопильно-деревообрабатывающий комбинат N1" (ЛДК-1)

, Красноярский край, г. Лесосибирск, ул. Белинского, 16

Предлагает: продукция лесопиления, производство ДВП, мебели

ЗАО "Маклаковский комбинат"

, Красноярский край, г. Лесосибирск, ул. Восстания, 9

Предлагает: пиломатериалы, опилки древесные, щепа гидролизная

ЗАО "Новоенисейский ЛДК"

, Красноярский край, г. Лесосибирск, ул. 40 лет Октября, 1

Предлагает: Продукция лесопиления, производство ДВП

ЛЕСОХИМИЧЕСКАЯ ПРОМЫШЛЕННОСТЬ

ОАО "Лесосибирский канифольно-экстакционный завод"

, Красноярский край, г. Лесосибирск, ул. Привокзальная, 2

Предлагает: Продукция лесохимии, лакокрасочная продукция

Сегодня объемы лесопиления на ряде предприятий снизились, но лидеры деревообработки работают устойчиво - и ЛДК-1, и Новоенисейский ЛХК отправляют на экспорт около 350 тыс. кбм пиломатериалов в год каждый, кроме этого они продают за рубеж большие объемы ДВП.

Общий объем экспорта предприятиями города составляет более 100 млн. долларов в год.

Из других сфер промышленного производства в Лесосибирске наиболее развита лесохимия, представленная канифольно-экстракционным заводом (ОАО “Лесосибирский КЭЗ”), выпускающим канифоль, скипидар, флотационное масло, лаки, краски и другую продукцию.

В Лесосибирске имеется мощная база строительной индустрии и крепкий костяк строителей, что в недавнем прошлом позволило всего за полтора десятка лет на базе трех небольших поселков создать город с развитой промышленностью и инфраструктурой.

Число жителей - 64 тысячи человек.

Имея два высших учебных заведения (технологический и педагогический), два профессионально-технических училища (строительного и лесоперерабатывающего профиля), лесотехнический колледж и медицинское училище, две музыкальных и две художественных школы, Лесосибирск отличается высоким образовательным и профессиональным уровнем его жителей, имеет потенциальную возможность быстро развернуть обучение в любом новом направлении.

В городе располагается отделение Красноярской таможни, имеется две гостиницы, четко работающая связь с выходом на интернет.

Администрация Лесосибирска, с целью выстраивания стратегии развития города, произвела анализ информации о ресурсах региона и города, тенденциях в экономике края и страны. На основе этой работы сделаны четыре базовых вывода:

. Лесосибирск и впредь будет развиваться как крупный центр лесопиления (с постепенным увеличением глубины переработки) и лесохимии.

. Лесосибирск станет не только перевалочным пунктом для грузовых потоков, идущих в регионы освоения минеральных ресурсов и обратно, но и местом, где часть добываемого сырья будет перерабатываться.

. Лесосибирск станет своего рода центром оптовой торговли, через который будет осуществляться обеспечение Приангарья, Севера края и близлежащих районов промтоварами и продовольствием.

. В городе необходимо развивать малый бизнес в области производства промтоваров, продуктов питания, заготовке и переработке даров природы, сфере обслуживания, что позволит смягчить последствия моноструктурного развития города, трудоустроить высвобождающихся из лесоперерабатывающей отрасли работников.

Для оживления малого бизнеса, внедрения в городе новых технологий, оборудования, материалов, Ноу-хау, в администрации создан инвестиционно-аналитический отдел, который выступает посредником между владельцами информаций, технологий и их потребителями - предпринимателями, предприятиями города.

Особое внимание администрация города уделяет развитию всех видов деревопереработки:

внедрению новых технологий оборудования и лесопиления;

кардинальному развитию углубленной деревопереработки (выпуск столярных изделий, погонажа, мебельных заготовок, мебели и т.д., а также изделий народного промысла);

лесохимии.

Одним из этапов работы в данном направлении станет нынешняя ярмарка.

В настоящее время чрезвычайно важным для города является поиск инвестора под проект по организация в городе производства по выпуску химико-термомеханической массы, который окажет чрезвычайно сильное положительное влияние на экономическую, социальную и демографическую сферы жизни как города Лесосибирска, так и целого ряда лесозаготовительных районов.

Объясняется это следующими причинами:

химико-термомеханическая масса (ХТММ) является исходным сырьем для производства бумаги, поэтому спрос на нее за рубежом велик и постоянно возрастает (бумага высоких сортов производится при смешивании ХТММ с целлюлозой, при производстве массовых видов бумаги ХТММ заменяет целлюлозу);

производство ХТММ требует большого количества древесины, а Лесосибирск как раз находится вблизи от лесоресурсов;

на предприятии будут использованы современные технологии, что позволит:

а) для получения продукции использовать малоценную и низкосортную древесину (которая сегодня попросту бросается на лесосеках в связи с невостребованностью), в т.ч. лиственную - осину, березу, заготовка которой практически свернута из-за отсутствия спроса, т.е. целый ряд лесозаготовительных районов увеличат производство и сбыт продукции;

б) коэффициент полезного выхода довести до 95% (сложившийся коэффициент выхода целлюлозы - 45-50%);

в) осуществлять отбеливание без применения жидкого хлора, что поможет значительно лучше решить проблему окружающей среды (в настоящее время развитые страны отказываются покупать бумагу и сырье, произведенное с использованием жидкого хлора, а почти все предприятия России используют именно этот способ отбеливания);

поставки ХТММ на Красноярский ЦБК позволят нарастить его объемы производства (сегодня завод испытывает проблемы с сырьем).

В силу ряда факторов организовать такое производство целесообразно на базе АО “Лесосибирский КЭЗ”, где имеются действующий высококлассный коллектив специалистов, свободные производственные площади, ресурсы по электроэнергии, воде, очистным сооружениям.

Менее проработанным, но также чрезвычайно значимым для экономики не только города, но и края, имеет проект создания в Лесосибсирке производства изделий из вермикулита.

Области применения вермикулита весьма разнообразны - высокотемпературная изоляция печных агрегатов, строительство и ЖКХ (десятисантиметровый слой вспученного вермикулита по теплозащите равен полутораметровой кирпичной стене), судостроение, энергомашиностроение, автомобилестроение, металлургия, деревообрабатывающая, химическая и лакокрасочная промышленность, сельское хозяйство (применение агровермикулита повышает урожайность зерновых культур на 30-60%) и множество других отраслей. Использование вермикулита в мире постоянно возрастает, причем наиболее интенсивно - в развитых странах, цены на него растут.

В Лесосибирске состоялось совещание по вопросу обеспеченности предприятий лесного комплекса города трудовыми ресурсами. На совещании присутствовали представители служб занятости населения из городов и районов края: Красноярска, Лесосибирска, Енисейска, Ачинска, Казачинского, Пировского, Северо-Енисейского районов. В обсуждении проблем и выработке конкретных предложений от коллег и работодателей принял руководитель агентства труда и занятости населения Виктор Новиков.

Открывая заседание, глава города, председатель городского совета Борис Золин подчеркнул, что подобного рода совещания имеют большое значение как для руководителей предприятий и муниципалитета, так и для развития лесного комплекса в целом.

В Лесосибирске стоит не столько проблема безработицы, сколько нехватка квалифицированных кадров и молодых специалистов на предприятиях лесного комплекса. Угрозу всплеска безработицы в период кризиса удалось преодолеть совместными усилиями. В администрации реализуется программа "Поддержка малого и среднего предпринимательства". Как отметил заместитель главы администрации Димитрий Маслодудов, активная работа в этом направлении позволила сформировать антикризисную программу, в городе осуществляется переход от "пожарных" мер к выбору дальнейшего пути развития.

Сергей Ранович, директор городского Центра занятости, в своем докладе представил информацию о деятельности власти и органов самоуправления, службы занятости и работодателей в решении вопросов, возникших в период кризиса на рынке труда. По его словам, Центр занятости населения справился с поставленными задачами в полном объёме. За последние два года зарегистрировано около 12 тыс. обратившихся, из них более 5 тыс. человек трудоустроено.

Эти факты и послужили поводом для обсуждения на совещании таких вопросов, как привлечение трудовых ресурсов из соседних городов и районов, а также иностранных граждан. Руководители крупных лесосибирских предприятий лесной отрасли выступили с сообщениями о кадровой обстановке и с предложениями установить более тесное и продуктивное сотрудничество со службой занятости.

Подводя итоги совещания, Виктор Новиков сказал: "За последние годы впервые на базе крупного муниципального образования мы собрались обсудить не сокращение трудовых ресурсов, а проблему заполнения вакансий".

Важное направление в деятельности агентства труда и занятости населения - информирование населения о положении на рынке труда.

Информация о положении на рынке труда включает в себя сведения об уровне регистрируемой безработицы и напряженности на рынке труда, законодательстве в области занятости и защиты от безработицы, спросе и предложении на рабочую силу в профессионально-квалификационном разрезе, востребованности трудовых услуг с учетом уровня профессиональной квалификации, подготовки, переподготовки и вовлечения граждан в процесс производства, межтерриториального и межотраслевого перераспределения рабочей силы, использования иностранных работников.

Вся информация по этим темам является общедоступной, ориентирована на неопределенный круг лиц, предоставляется и распространяется свободно, обновляется ежемесячно.

Информация о положении на рынке труда предоставляется:

в информационных залах центров занятости населения;

в справочно-информационных, раздаточных материалах, наглядной информации;

на информационных стендах и терминалах центров занятости населения;

в специализированных консультационных пунктах, в том числе выездных;

в средствах массовой информации;

на Интернет-ресурсах;

при обращении за государственной услугой в органы службы занятости населения.

Получателями государственной услуги являются:

граждане Российской Федерации;

иностранные граждане;

лица без гражданства;

юридические лица;

индивидуальные предприниматели.

Документом, необходимым для получения услуги при личном обращении, является заявление-анкета (образец)

Предоставление документов для получения услуги неопределенным кругом лиц не требуется.

Результат предоставления государственной услуги:

Получение информации о положении на рынке труда.

Основания для отказа в предоставлении государственной услуги отсутствуют.

Получатели государственной услуги имеют право на неоднократное обращение за государственной услугой.

Государственная услуга по информированию предоставляется бесплатно.

.2 Анализ законодательной базы по управлению безработицей

Сфера занятости является одной из главных сфер жизнедеятельности человека, важнейшим сегментом социально-экономического развития общества. В ней формируется большая часть доходов населения, закладываются основы материального благосостояния семей, реализуются важнейшие потребности и интересы индивидов, социальных групп, общностей.

В последние годы акценты в проведении политики содействия занятости все больше переносится на территориальный, муниципальный уровень, набор инструментов государства в регулировании занятости сужает. Регулирующим инструментом проведения политики занятости является региональные и муниципальные программы содействия занятости населения. В рамках реализации этих программ разрабатываются подпрограммы активных и пассивных мер помощи безработным, определению профиля подготовки кадров в учреждениях профессионального образования и прочие.

Инструментом проведения политики содействия занятости населения на местном рынке труда служат муниципальные программы содействия занятости населения. В рамках реализации этих программ разрабатываются мероприятия по оказанию помощи безработным, определению профиля подготовки кадров в учреждениях профессионального образования. Такие программы и мероприятия содействия занятости разрабатываются и в нашем городе Лесосибирск Центром занятости населения. 662547, Красноярский край, г. Лесосибирск, ул. Горького, 124. тел./факс: (8-391-45) 5-42-27 e-mail: ivan@dszn09.krasnoyarsk.ru. «Горячая линия» - тел. 8 (391-45) 2-89-50 Диспетчер по вакансиям - Поспелова Ирина Валентиновна.

Основной задачей Государственного учреждения Центра занятости является:

Информирование о положении на рынке труда;

Организация ярмарок вакансий и учебных рабочих мест;

Содействие гражданам в поиске подходящей работы;

Содействие работодателям в подборе работников;

Организация профессиональной ориентации граждан в целях выбора сферы деятельности, трудоустройства, профессионального обучения;

Психологическая поддержка безработных граждан;

Профессиональная подготовка, переподготовка и повышение квалификации безработных граждан;

Осуществление социальных выплат безработным гражданам;

Организация оплачиваемых общественных работ;

Организация временного трудоустройства несовершеннолетних граждан в возрасте от 14 до 18 лет в свободное от учебы время, безработных граждан, испытывающих трудности в поисках работы, безработных граждан в возрасте от 18 до 20 лет из числа выпускников образовательных учреждений начального и среднего профессионального образования, ищущих работу впервые;

Социальная адаптация безработных на рынке труда;

Содействие самозанятости безработных граждан;

Содействие гражданам в переселении для работы в сельскую местность;

Выдача работодателям заключений о привлечении и об использовании иностранных работников.

В структуру Центра занятости входят различные отделы, такие как:

- Отдел программ занятости и рынка труда;

- Отдел трудоустройства, профориентации и профессионального обучения;

Отдел финансово-бухгалтерского учета и социальных выплат;

Отдел по организации работы с работодателями;

Отдел трудоустройства и специальных программ.

Персонал центра

Директор Ранович Сергей Александрович

Заместитель директора Рагозина Людмила Александровна

Приемная Таскаева Елена Викторовна

Главный бухгалтер Катаева Нина Васильевна

Начальник отдела соц.поддержки Ячменева Елена Александровна

Начальник отдела анализа рынка труда Царькова Зоя Александровна

Начальник отдела профориентации Исмагилова Зульфия Алексеевна

Начальник отдела АСИ Пакилев Иван Николаевич

Центр занятости населения города Лесосибирска создан 21 августа 1991 года.

На 01.01.2010 года в городе насчитывалось 64 тыс. человек.

Программа содействия занятости г. Лесосибирска на 2010 год разработана в соответствии со статьей 14 Закона Российской Федерации «О занятости населения в российской Федерации». Ведущее место в обеспечении высоких темпов экономических показателей принадлежит химической и лесоперерабатывающей промышленности, на долю которой приходится 84 процента всей выпускаемой в городе продукции.

Основными задачами, на решение которых ориентирована Программа по снижению роста безработицы, являются:

развитие активных программ содействия занятости;

повышение мобильности трудовых ресурсов;

оказание адресной поддержки гражданам, особо нуждающимся в социальной защите;

совершенствование системы регулирования рынка труда и рынка образовательных услуг;

повышение качества и конкурентоспособности рабочей силы за счет развития системы профессионального обучения и профессиональной ориентации безработных и незанятых граждан;

осуществление превентивных мер по предупреждению увольнения работников в связи с ликвидацией организации либо сокращением численности, смягчению последствий массовых увольнений работников;

повышение роли коллективных договоров в вопросах регулирования оплаты и условий труда;

улучшение информирования граждан о спросе на рабочую силу, расширение доступа населения к информации о вакансиях.

социальная поддержка безработных граждан в период активного поиска работы.

Программа содержит мероприятия, которые направлены на содействие занятости незанятой части населения и его социальную защиту от безработицы.

Из числа зарегистрированных безработных 1099 человек назначено пособие по безработице. Постановлением Правительства Российской Федерации №812 от 12 октября 2010 года определен минимальный и максимальный размер пособия по безработице на 2011 год:

и 4900 рублей соответственно.

Согласно Федеральному закону «О занятости населения в РФ», минимальный размер пособия по безработице выплачивается гражданам:

 впервые ищущим работу (ранее не работавшим);

 стремящимся возобновить трудовую деятельность после длительного (более 1 года) перерыва;

 уволенным за нарушение трудовой дисциплины и иные виновные действия, предусмотренные трудовым законодательством;

 уволенным по любым основаниям в течение 12 месяцев, предшествовавших началу безработицы, и имевшим в этот период оплачиваемую работу менее 26 календарных недель.

В остальных случаях размер пособия по безработице устанавливается в процентном отношении к среднему заработку, исчисленному за последние три месяца по последнему месту работы, но не ниже минимального и не выше максимального размера пособия по безработице, увеличенных на размер районного коэффициента.

С целью сокращения до минимума сроков трудоустройства граждан, предотвращения перерастания безработицы в застойную форму, предполагается осуществлять контроль за предоставлением работодателями информации об ожидаемом высвобождении работников и о наличии потребности в работниках в установленные Законом Российской Федерации «О занятости населения в Российской Федерации» сроки.

Формировать банк данных вакансий, перечень профессий, имеющих постоянный спрос на рынке труда для обеспечения граждан, ищущих работу достоверной, полной и оперативной информацией о возможностях трудоустройства.

Подбирать безработным подходящее место работы и разъяснять возможности выбора иных форм и видов временной занятости.

Привлекать работодателей для проведения «Ярмарок вакансий» с целью подбора кадров для работы на их предприятиях. По запросам работодателей подбирать работников.

В целях расширения возможностей трудоустройства безработных граждан, их профессиональной адаптации организовать дополнительные рабочие места на предприятиях, организациях за счет собственных средств работодателей и средств бюджета.

Организовать общественные работы. Всего планируется задействовать в общественных работах 592 человек. Преимущественное право на участие в общественных работах будут иметь безработные, не получающие пособия по безработице, безработные граждане, состоящие на учете в Центре занятости свыше шести месяцев.

В целях снижения напряженности на рынке труда за счет вовлечения части наемных работников в сферу самостоятельной предпринимательской деятельности в 2010 году будут организованы групповые консультации для 56 безработных граждан, из них 10 человек - в сельской местности.

В организации временного трудоустройства выпускников начального и среднего профессионального образования в возрасте от 18-20 лет будет охвачено 54 безработных.

В целях оказания помощи в трудоустройстве людям, которые являются безработными длительное время, как правило, более 6 месяцев и испытывают трудности при планировании своего трудоустройства, направляются на курсы «Навыки эффективного поиска работы» и «Активный поиск работы» - 60 безработных.

Проводится работа по организации ярмарок вакансий. Предполагается проводить ярмарки ежемесячно.

В случаях массовых высвобождений предусмотреть работу по заключению соглашений о сотрудничестве в условиях реализации мероприятий по оптимизации численности персонала.

Проводится работа по оказанию содействия в трудоустройстве специалистов музыкального искусства.

В части реализации мероприятий Лесосибирской комплексно-целевой программы развития системы профессиональной ориентации и психологической поддержки молодежи в городе на 2011 год обеспечить взаимодействие с администрацией, управлениями образования, по делам молодежи, социальной защиты по профориентации учащихся и выпускников образовательных учреждений в количестве 3500.

Проводится профессиональная работа с выпускниками межшкольного учебного комбината. Традиционными стали ярмарки вакансий учебных мест для выпускников школ и ПТУ №14, №48. В 2011 году будут проведены 2 ярмарки «Образование. Карьера - 2011 г.» в городе Лесосибирске.

По мере обращения граждан уволенных с военной службы и членов их семей, освобожденных из мест лишения свободы, инвалидов будут оказываться услуги по профессиональной ориентации.

В текущем году планируется оказать профориентационные услуги 9000 человек.

Исходя из выше изложенного, следует, что количество безработных, обратившихся в Центр занятости, увеличилось к началу 2010 года по сравнению с 2009 годом. Количество безработных граждан уменьшилось по сравнению с 2010 годом на 44 человека.

2.3 Анализ проблем безработицы

безработица самоуправление занятость трудоустройство

Состояние региональных рынков труда зависит, прежде всего, от макроэкономических тенденций, и кризис вновь это подтвердил. Но общие для страны тенденции «преломляются» в регионах по-разному. Спрос на рабочую силу зависит от структуры экономики и уровня развития территории, предложение - от динамики численности и половозрастного состава населения, уровня образования.

Поведение на рынке труда обусловлено и социокультурными особенностями населения. Региональное разнообразие проявляется не только в уровне экономической активности, занятости и безработицы, но также в структуре занятости, условиях труда, гендерных и возрастных различиях работающего населения.

Социальный портрет безработного на рынке труда г. Лесосибирска по состоянию на 1 января 2011 года выглядит следующим образом:

СОСТАВ БЕЗРАБОТНЫХ

По состоянию на 01.01.2011 численность безработных граждан, зарегистрированных в органах службы занятости города Лесосибирска, составила 814 человек (снижение в течение года отмечено на 431 человека, на 01.01.2010 - 1245 человек).

ПОЛОВОЗРАСТНОЙ СОСТАВ

В числе безработных граждан преобладают женщины 63,5% или 517 человек. По сравнению с началом прошлого года удельный вес в числе безработных увеличился на 5,7 процентного пункта, (на 01.01.2011 - 63,5%, на 01.01.2010 -57,8%).

Доля женщин в числе безработных граждан увеличивается.

В числе безработных 35,5% (1289 человек) составляет молодежь в возрасте 16-29 лет. По сравнению с началом прошлого года удельный вес в числе безработных сократился на 7,9 процентного пункта (на 01.01.2011 - 35,5%, на 01.01.2010-43,4%).

Большая часть безработной молодежи (173 человека - от общего числа безработных) относится к в возрастной группе 16-24 лет (большинство из них не имеет профессионального образования либо опыта работы). Доля молодежи в возрасте 16-24 лет в общем числе безработных уменьшается (на 01.01.2011-21,2%, на 01.01.2010 - 27,5%).

Доля молодежи в числе безработных снижается.

Доля лиц предпенсионного возраста в числе безработных снижается.

РАСПРЕДЕЛЕНИЕ ПО СОСТОЯНИЮ ЗДОРОВЬЯ

В числе безработных немалую часть занимают ограниченно трудоспособные граждане. По состоянию на 01.01.2011 численность безработных инвалидов составила 91 человек или 11,2% всех безработных граждан, состоящих на учете в органах службы занятости. По сравнению с началом прошлого года удельный вес в числе безработных увеличился на 1,2 процентного пункта, к (на 01.01.2011 -11,2%, на 01.01.2010-10,0).

Доля инвалидов в числе безработных граждан увеличивается.

ОБРАЗОВАТЕЛЬНЫЙ СОСТАВ

Имеющие высшее профессиональное образование составили 15,6% или 127 человек. По сравнению с началом прошлого года их доля увеличилась на 1,2 процентного пункта (на 01.01.2010-14,4%).

Имеющие среднее профессиональное образование составили 15,5% или 126 человек. По сравнению с началом прошлого года их доля увеличилась 0,8 процентного пункта (на 01.01.20-14,7%).

Имеющие начальное профессиональное образование составили 21,9% или 179 человек. По сравнению с началом прошлого года их доля уменьшилась на 1,7 процентного пункта,(на 01.01.2010-23,6%).

Доля лиц, имеющих профессиональное образование (53,1%), с начала прошлого года увеличилась (на 01.01.2010 - 52,7%).

В числе безработных граждан доля выпускников учреждений профессионального образования (в течение года после окончания учебного заведения) (4,0% или 33 человека) с начала прошлого года уменьшилась на 0,5 процентного пункта (на 01.01.2010 - 4,5%).

Доля выпускников учреждений профессионального образования в числе безработных граждан снижается

Имеющие среднее (полное) общее образование составили 29,9 или 244 человека. По сравнению с началом прошлого года их доля уменьшилась на 1,2 процентного пункта, (на 01.01.2010-31,1%).

Не имеющие среднего общего образования составили 1,2% или 10 человек. По сравнению с началом прошлого года их доля увеличилась (на 01.01.2010 - 0,9%)

По опыту работы и квалификации

Не имеют опыта работы (ищут работу впервые) 9,1% безработных или 74 человека.. По сравнению с началом прошлого года их доля уменьшилась на 3 процентных пункта, на 01.01.2010 - 12,1%), при этом не имеют профессии (специальности) 3,4% безработных (на 01.01.2010-4,1%).

Доля ранее не работавших граждан в числе безработных граждан уменьшается.

В числе безработных с начала года уменьшилась доля тех, кто к моменту обращения в службу занятости имел длительный (более года) перерыв в работе 24,6% на 01.01.2010 -29,6%.


В условиях жесткой конкуренции предприятия вынуждены принимать все возможные меры для снижения себестоимости выпускаемой продукции. Одной из них является оптимизация численности работников, что явилось основной причиной роста безработицы. Другая причина - увеличение доли выпускников учебных заведений, получивших профессии, не пользующиеся спросом на рынке труда.

За I квартал 2010 года численность высвобождаемых работников составила 25 человек.

Таким образом, на конец года ожидается увеличение безработных, что неизбежно повлечет за собой соответствующие корректировки показателей рынка труда.

Численность отправленных на профессиональное обучение, переобучение в 2010 году составила 660 человек. В их числе безработные составили 45,3 процента, женщины 71,5 процента, молодежь (16-29 лет) 66,8 процента.

Общественными работами были заняты 586 человек, 20 безработных работали в рамках программы «Первое рабочее место».

Особое место в деятельности Центра занятости населения занимает трудоустройство несовершеннолетних граждан, в свободное от учебы время и в период летних каникул. Трудоустройство подростков ежегодно организовывается в соответствии с постановлением Главы администрации г. Лесосибирска, которым определяются размеры и условия оплаты труда и количество трудоустраиваемых школьников.

По состоянию на 1 января 2010 года было зарегистрировано 3907 безработных граждан. Их количество уменьшилось по сравнению с 2009 годом на 1843 человека. (Приложение 1)

Анализ профессионального состава безработных показывает, что наименее востребованы на рынке труда бухгалтера, инженеры, экономисты, юристы; по рабочим профессиям: оператор ЭВМ, повара.

В структуре безработных преобладают граждане, уволенные в связи с ликвидацией организации, либо сокращением численности или штата работников. 24% безработных составляют граждане, добровольно уволившиеся с места работы, в соответствии с Приложением 3.

Преобладающим спросом на рынке труда пользуются продавцы, штукатуры-маляры и, конечно, рабочие на основные предприятия ЛДК.

Потребность в работниках на новых рабочих местах, предусмотренных к вводу в прогнозируемом периоде, ожидается - 800 человек.

В течение 2011 года будет трудоустроено - 2770 человек. Рост числа трудоустроенных обусловлен тем, что число вакансий увеличилось, в основном, благодаря программе «развитие предпринимательства», в городе за 2010 год появилось более десятка новых организаций, преимущественно в сфере малого бизнеса.

Будет оказано содействие в организации предпринимательской деятельности - 56 безработным.

Одним из приоритетных направлений деятельности Центра занятости населения, как и в предыдущем году, является организация профессионального обучения безработных граждан.

Планируется обучить 238 безработных, с последующим трудоустройством.

В организации временного трудоустройства безработных граждан, особо нуждающихся в социальной защите, будет задействовано 70 безработных. В рамках временного трудоустройства безработных граждан в возрасте от 18-20 лет из числа выпускников будет охвачено 54 человек.

Общественными работами будет охвачено 592 безработных.

гражданина (с учетом переходящих) из числа безработных будут оформлены на досрочную пенсию.

Вопросы назначения пенсии по старости досрочно гражданам, признанным безработными, регулируются в соответствии со статьей 32 Закона Российской Федерации от 19.04.1991 №1032-1 «О занятости населения в Российской Федерации».

По предложению органов службы занятости при отсутствии возможности для трудоустройства безработным гражданам, уволенным в связи с ликвидацией организации либо сокращением численности или штата работников организации, с их согласия может назначаться пенсия на период до наступления возраста, дающего право на трудовую пенсию по старости, в том числе досрочно назначаемую трудовую пенсию по старости, но не ранее чем за два года до наступления соответствующего возраста.

Пенсия по старости досрочно может быть назначена мужчинам, достигшим возраста 58 лет, и женщинам, достигшим возраста 53 года;

При наличии двадцати пяти лет страхового стажа, соответственно для мужчин и двадцати лет для женщин, а также необходимого стажа на соответствующих видах работ, дающего право на досрочное назначение трудовой пенсии по старости, предусмотренной статьями 27 и 28 Федерального закона от 17.12.2001 №173-ФЗ «О трудовых пенсиях в РФ».

Под страховым стажем понимается суммарная продолжительность периодов работы и (или) иной деятельности, в течение которых уплачивались страховые взносы в Пенсионный фонд РФ, а также иных периодов, засчитываемых в страховой стаж.

К иным периодам, засчитываемым в страховой стаж, относятся периоды прохождения военной службы, временной нетрудоспособности, ухода за детьми, получения пособия по безработице, участия в оплачиваемых общественных работах, ухода за инвалидом, ребенком-инвалидом или лицом, достигшим возраста 80 лет и др. (в соответствии со статьей 11 Федерального закона от 17.12.2001 №173-ФЗ «О трудовых пенсиях в РФ»).

Расходы, связанные с назначением пенсии, осуществляются за счет средств Пенсионного фонда РФ с последующим возмещением затрат из федерального бюджета.

Будет оказано содействие в организации трудоустройства 758 безработных граждан, особо нуждающихся в социальной защите (по квоте).

Услуги по профориентации получат 9000 человек.

Наличие вакантных мест на конец периода (2010 г.) - 90.

3. 
Пути решения проблемы безработицы муниципального образования г. Лесосибирска

В соответствии с постановлением Правительства Российской Федерации от 14.12.2009 года №1011 разработана Долгосрочная целевая программа «Снижение напряженности на рынке труда Красноярского края» (Программа) на 2009-2010 годы, которая утверждена Правительством Красноярского края 31.12.2009 года (постановление №690-п). По этой программе работает и КЦЗ г. Лесосибирска. В рамках программы выделено несколько направлений:

1. Организация общественных работ, временного трудоустройства работников, находящихся под угрозой увольнения, а также признанных в установленном порядке безработными граждан и граждан, ищущих работу.

2.      Стажировка выпускников образовательных учреждений в целях приобретения ими опыта работы.

.        Содействие самозанятости безработных граждан и стимулирование создания рабочих мест для трудоустройства безработных граждан.

.        Содействие трудоустройству инвалидов.

Основными видами общественных работ являются:

-  подсобные работы по подготовке к отопительному сезону;

-       очистка железнодорожных путей и прилегающих территорий от снега, льда и мусора;

-       содержание автомобильных дорог, очистка дорожных покрытий от грязи и снега;

-       ремонт производственных цехов;

-       содержание жилого фонда, очистка крыш от снега;

-       социальные работы, уход за престарелыми, инвалидами, больными.

При организации общественных работ в организациях, работники которых находятся под угрозой увольнения виды работ должны определяться приказами их руководителей об организации общественных работ. Общественные работы организуются на основании договора между центром занятости населения и организацией, работники которой находятся под угрозой увольнения, или организацией, создающей временные рабочие места для проведения общественных работ.

Стажировка выпускников образовательных учреждений в целях приобретения ими опыта работы.

Содействие самозанятости безработных граждан и стимулирование создания безработными гражданами, открывшими собственное дело, дополнительных рабочих мест для трудоустройства безработных граждан.

Планируется оказать помощь 56 жителям города в открытии собственного дела, предполагается, что они создадут 27 дополнительных рабочих мест для трудоустройства безработных граждан. Финансовая поддержка безработным гражданам осуществляется в виде субсидий на организацию самозанятости и стимулирование создания дополнительных рабочих мест для трудоустройства безработных граждан. Механизм реализации направления - субсидии на организацию самозанятости и создание рабочих мест для трудоустройства безработных граждан. Участниками программы могут быть граждане Российской Федерации, признанные в установленном порядке безработными, достигшие 18-ти лет, и желающие организовать предпринимательскую деятельность. В рамках программы они могут получить информацию о возможности организовать собственное дело, консультации специалистов, пройти тестирование на выявление способностей к ведению предпринимательской деятельности, обучение по курсу «Основы предпринимательства», им может быть оказана помощь в составлении бизнес-плана и предоставлена финансовая поддержка на организацию самозанятости и создание рабочих мест для трудоустройства безработных граждан. Субсидия на организацию самозанятости предоставляется в размере 12-кратной максимальной величины пособия по безработице и составляет (12*4900) = 58 800 рублей, увеличенной на размер районного коэффициента. В перечень предусмотренных расходов на организацию предпринимательской деятельности входят:

а) расходы на аренду нежилых помещений, используемых для осуществления предпринимательской деятельности;

б) расходы на косметический ремонт здания (части здания), сооружения, используемых для осуществления предпринимательской деятельности и находящихся в собственности безработного гражданина или предоставленных ему в аренду;

в) расходы на приобретение (строительство, реконструкцию) основных средств (здания (части здания), сооружения, оборудования, мебели (в том числе офисной), инструментов, электронно-вычислительной техники и иного оборудования для обработки информации, периферийных устройств, копировально-множительного оборудования, контрольно-кассовой техники, телефонных аппаратов, факса и другое);

г) транспортные расходы, связанные с доставкой приобретенных основных средств, сырья, материалов, топлива, запасных частей, товаров, животных и продукции растениеводства;

д) расходы на приобретение сырья, расходных материалов, топлива, запасных частей;

е) расходы на лицензирование предпринимательской деятельности и сертификацию продукции и услуг;

ж) расходы на организацию доступа телефонной связи (установку телефонов);

з) расходы, связанные с технологическим присоединением энергопринимающих устройств (энергетических установок) к электрическим сетям;

и) расходы на приобретение программного обеспечения;

к) расходы на приобретение животных и продукции растениеводства (при виде экономической деятельности - сельское хозяйство);

л) расходы на приобретение товаров (при виде экономической деятельности - торговля);

м) иные расходы, предусмотренные бизнес-планом.

Для получения субсидии безработный гражданин представляет следующие документы: заявление на предоставление субсидии; бизнес-план организации предпринимательской деятельности. Бизнес-планы направляются центром занятости на экспертизу. После получения положительного заключения экспертизы бизнес-плана между безработным гражданином и центром занятости заключается договор на предоставление субсидии. Безработный гражданин регистрирует в установленном порядке предпринимательскую деятельность, предоставляет центру занятости выписку из Единого государственного реестра юридических лиц или Единого государственного реестра индивидуальных предпринимателей. После этого центр занятости населения перечисляет субсидию на лицевой счет гражданина.

До истечения 3-х месяцев с момента получения субсидии гражданин должен предоставить в центр занятости населения документы о целевом использовании субсидии, в соответствии с представленным бизнес-планом (кассовые чеки и копии кассовых чеков, товарные чеки, квитанции к приходным кассовым ордерам, квитанции - бланки строгой отчетности, счета-фактуры, платежные поручения, договора, товарно-транспортные накладные, акты приема-передачи выполненных работ (оказанных услуг) и другие документы), и в случае создания рабочих мест для трудоустройства безработных граждан документы, подтверждающие трудоустройство безработных граждан на созданные рабочие места (копии трудовых договоров, заключенных с безработными гражданами, трудоустроенными по направлению Центра занятости на созданные дополнительные рабочие места и копии приказов о приеме их на работу). Субсидию безработный гражданин может получить один раз.

) Содействие трудоустройству инвалидов. Программой предусматривается создание (оснащение) специальных рабочих мест на условиях возмещения затрат работодателя на приобретение, монтаж и установку оборудования рабочего места.

Кроме того, предусмотрены следующие программы.

) Досрочный выход на пенсию. Если возраст близок к пенсионному, и человек зарегистрирован в качестве безработного и не может найти подходящую работу, то, по предложению службы занятости населения, при одновременном соблюдении ряда условий, может быть с его согласия назначена досрочная пенсия. Основными условиями оформления гражданам досрочно назначаемой пенсии являются:

-  Признание граждан в установленном порядке безработными;

-       Отсутствие у органов службы занятости возможности для трудоустройства граждан;

-       Наличие у безработных граждан страхового стажа работы, дающего право выхода на полную пенсию по старости (по возрасту), включая пенсию на льготных условиях. Под страховым стажем понимается суммарная продолжительность периодов работы и (или) иной деятельности, в течение которых уплачивались страховые взносы в Пенсионный фонд Российской Федерации, а также иных периодов, засчитываемых в страховой стаж. К иным периодам, засчитываемым в страховой стаж, относятся периоды получения пособия по безработице, участия в оплачиваемых работах, переезд по направлению в другую местность для трудоустройства и т. д.;

-       Достижение безработными гражданами определенного возраста. Пенсия по старости (по возрасту) на общих основаниях оформляется досрочно не ранее чем через два года до предусмотренного законодательством Российской Федерации срока выхода на пенсию: женщинам - по достижении 53 лет при общем страховом стаже не менее 20 лет; мужчинам - по достижении 58 лет при общем страховом стаже не менее 25 лет. При наличии льготных оснований, определяющих право на пенсию в соответствии с законодательством Российской Федерации, пенсия по старости оформляется досрочно не ранее чем за два года до наступления этого права.

-       Увольнение граждан в связи с ликвидацией организации либо сокращением численности или штата работников организации.

-       Согласие безработных граждан с направлением их на пенсию по старости (по возрасту), включая пенсию на льготных условиях, досрочно.

При отсутствии хотя бы одного из указанных условий оформление пенсии по старости (по возрасту), включая пенсию на льготных условиях, досрочно не производится.

) Одной из форм содействия трудоустройству безработных граждан является профессиональное обучение. Государственное учреждение Центр занятости населения города Лесосибирска предлагает безработным гражданам пройти обучение (переобучение) по профессиям, востребованным на рынке труда нашего города.

Служба занятости дает возможность жителям города, зарегистрированным как безработные, пройти обучение бесплатно, т.е. за счет средств службы занятости.

На профессиональное обучение в первую очередь направляются безработные граждане, особо нуждающиеся в социальной защите: молодежь, инвалиды, женщины, имеющие малолетних детей, беженцы и вынужденные переселенцы, лица, продолжительное время не имеющие работы.

Профессиональная подготовка осуществляется по направлению органов службы занятости, если:

невозможно подобрать подходящую работу из-за отсутствия у безработного необходимой профессиональной квалификации;

необходимо сменить профессию (специальность, род занятий) в связи с отсутствием работы, отвечающей имеющимся у безработного профессиональным навыкам;

безработным утрачена способность к выполнению работы по прежней профессии, специальности.

Если устройство на работу с помощью службы занятости невозможно по любой из перечисленных выше причин, вам предложат пройти обучение. В отделе профобучения будут проведены профессиональное тестирование, которое позволит выявить склонности к той или иной профессии, а также беседа с профконсультантом. После чего вы будете направлены на обучение в образовательное учреждение.

С помощью службы занятости можно:

получить профессию или специальность тем, кто ее не имеет (например, молодежи, только что окончившей школу);

пройти переподготовку, т.е. обучиться новой профессии, востребованной на рынке труда;

освоить вторую смежную специальность, что повысит шансы найти новую работу;

повысить свою квалификацию: обновить знания, умения, навыки;

пройти стажировку для формирования и закрепления на практике теоретических знаний, умений и навыков.

Обучение безработных граждан проводится в учебных заведениях высшего, среднего и начального профессионального образования, учреждениях дополнительного - образования, учебных центрах городов Лесосибирска и Красноярска.

Продолжительность профессионального обучения не превышает 6 месяцев.

Обучение проводится по очной и очно-заочной (вечерней) формам, оно может быть курсовым (группой) и индивидуальным.

Во время обучения выплачивается стипендия, для иногородних обучающихся предоставляется койко-место в общежитие.

Центр занятости населения г. Лесосибирска организует обучение безработных граждан по следующим специальностям:

бухгалтер-пользователь ПЭВМ

секретарь-референт

пользователь ПЭВМ

менеджер офиса

повар-кондитер

помощник руководителя

программист

менеджер по продажам

специалист компьютерной графики

современный бухгалтер

С:Бухгалтерия

машинист паровых и водогрейных котлов

продавец, контролер-кассир

электрогазосварщик

парикмахер - стилист

косметолог

маникюрша

официант-бармен

электромонтажник по вторичным цепям

водитель кат.«В,С», «С», «Е»

машинист крана автомобильного

машинист башенных, мостовых и козловых кранов

контролер-бракер круглого леса и пиломатериалов

станочник лесопильно-деревообрабатывающего производства

помощник бурильщика.

Одним из видов профессионального обучения безработных граждан и незанятого населения является стажировка специалистов для формирования и закрепления на практике теоретических знаний, умений и навыков, приобретения профессиональных и организаторских качеств для выполнения профессиональных обязанностей.

Стажировка может быть как самостоятельным видом обучения, так и одним из разделов учебного плана.

Продолжительность стажировки согласовывается с руководителем организации или учреждения, но не превышает 6 месяцев.

Стажировка носит индивидуальный характер и может предусматривать:

самостоятельную теоретическую подготовку;

приобретение профессиональных и организаторских навыков;

изучение организации и технологии производства, работ;

непосредственное участие в планировании работы организации;

работу с технической, нормативной и другой документацией;

выполнение функциональных обязанностей должностных лиц (в качестве временно исполняющего обязанности или дублера);

участие в совещаниях, деловых встречах и др.

т. е. стажер выполняет те функции, которые на него возлагаются руководителем.

Набирая персонал посредством стажировок, организация исключает вероятность принять некомпетентного, не соответствующего рекомендациям, не способного вписаться в коллектив сотрудника - ведь в течение стажировки предоставляется возможность узнать о нем многое и реально увидеть его в деле.

Во время стажировки на рабочем месте служба занятости выплачивает работнику стипендию.

Т. о., стажировка - реальная возможность для молодых специалистов трудоустроиться, а для организации - найти перспективные кадры.

В процессе стажировки выявляются личностные и деловые качества человека: коммуникабельность, взаимоотношения в коллективе, ответственность и т. д.

) Особо важная социальная проблема - это занятость молодежи. Как правило, в зоне молодежной политики находятся граждане в возрасте 14-29 лет. Именно в этот период важны государственная поддержка и стимулирование потенциала молодежи.

Необходима активизация работы по целенаправленному формированию профессиональных ориентаций молодежи, адекватных структуре рынка труда. Именно в этом направлении видится наиболее оптимальное решение в профилактике молодежной безработицы. Для выполнения данных задач служба занятости Лесосибирска инициировала ряд проектов, которые были поддержаны другими профильными структурами:

. Проведение массовых профориентационных акций для молодежи:

ü  Городской профориентационный фестиваль «Дороги, которые мы выбираем» в г. Лесосибирске.

апреля 2011 года а актовом зале МБОУ «Средняя общеобразовательная школа №9 г. Лесосибирска» прошел финальный этап V Городского профориентационного фестиваля «Дороги, которые мы выбираем». Фестиваль проводился с целью содействия профессиональному и личностному самоопределению школьников, раскрытию их творческого потенциала, выстраиванию ими осознанных личностных и профессиональных планов, а также организации тематического общения учащихся и педагогов города, и обмена творческими находками по вопросам профессионального и личностного самоопределения школьников.

ü  Конкурс видеопрезентаций стендов по профессиональной ориентации в школах г. Лесосибирска

ü  «Волонтерское движение как ресурс профессиональной ориентации молодежи».

ü  Профориентационная игра-квест «Профессиональный перекресток».

. Услуги «Мобильного центра занятости населения»

февраля 2011 года «Мобильный центр занятости населения» ЦЗН г. Лесосибирска совершил запланированный выезд в поселок Стрелка. Цель выезда - профессиональная ориентация выпускников 9-х и 11-х классов школы поселка.

Специалисты службы занятости провели для старшеклассников следующие мероприятия:

Профессиональная консультация и беседа "Как правильно выбрать профессию?"

Информация об учреждениях профессионального образования, в которые можно поступить для обучения.

Тестирование на выявление самоопределения в профессии.

Государственные услуги «Мобильного центра занятости» в поселке Стрелка получили 56 учащихся выпускных классов.

Внедрение в общеобразовательных школах края профориентационного курса «Азбука XXI века».

. Выезд мобильного центра занятости к школьникам поселка Колесниково

. Использование Интернет-технологий для формирования профориентационной культуры у молодежи.

Рассматривая вопрос о соответствии содержания профессионального образования требованиям рынка труда, следует иметь в виду два аспекта. С одной стороны - это востребованность выпускников учебных заведений по каждой конкретной специальности, по которой проводилась подготовка. С другой - качество подготовки молодых специалистов, соответствие учебной программы современным требованиям производства. Наряду с объективными трудностями при трудоустройстве (высокая конкуренция на рынке труда, дефицит рабочих мест по специальности, отсутствие опыта работы), свое влияние оказывают и субъективные причины, имеющие социальный и личностный характер.

Также предусмотрены следующие программы:

Интерактивные ярмарки вакансий для обеспечения кадрами лесопромышленных предприятий г. Лесосибирска

В январе 2011 года в Лесосибирске состоялось совещание руководителя агентства труда и занятости населения Красноярского края и главы города Лесосибирска, на котором было принято решение об обеспечении кадрами предприятий деревообрабатывающего комплекса г. Лесосибирска.

Специалистами центра занятости населения г. Лесосибирска был разработан комплекс мер, направленных на выполнение данной задачи, в рамках которых составлен график проведения интерактивных ярмарок по подбору кадров для предприятий:

ЗАО «Новоенисейский ЛХК», ОАО «Маклаковский ЛДК», ОАО «Лесосибирский ЛДК-1» и ООО ПК «Сибирский лес».

В ярмарках принимают участие безработные граждане городов Енисейска, Ачинска, Красноярска, Канска, Назарово.

Предприятия лесной отрасли представили следующие вакансии: водитель автомобиля, контроллер деревообрабатывающего производства, машинист бульдозера, оператор манипулятора, станочник-распиловщик, сортировщик и другие.

А также 10 февраля 2011 года «Мобильный центр» занятости г. Лесосибирска совершил запланированный выезд в поселок Стрелка. Цель выезда: информирование безработных граждан об услугах, оказываемых КГБУ «ЦЗН г. Лесосибирска».

Государственные услуги предоставлялись гражданам по следующим направлениям:

О положении на рынке труда

О возможностях профессионального обучения

Об организации общественных работ.

А также было проведено тестирование граждан на выявление способности к предпринимательской деятельности и организован семинар по организации собственного дела

Таким образом, только совместная работа поможет достигнуть поставленной цели. Можно сделать вывод о необходимости активизации работы по целенаправленному формированию профессиональных ориентаций жителей города, адекватных структуре рынка труда. Именно в этом направлении видится наиболее оптимальное решение в профилактике безработицы вообще, и молодежной в частности.

.1 Социально-экономическая значимость внедрения разработанных мероприятий

Вопросы обучения безработных новым профессиям, специальностям, равно как и вопросы повышения их квалификации, становятся особенно актуальными, и в связи с ухудшением состояния экономики страны отчетливо выявляется тенденция сворачивания предприятиями системы профессионального обучения, упразднения образовательных структур, ведающих профессиональным обучением работников. Разумеется, такой подход ведет к резкому сокращению численности обучаемых и прежде всего молодежи. Количество рабочих, прошедших подготовку, переподготовку или обучение впервые, уменьшилось вдвое.

Дело в том, что люди, оказывающиеся безработными, часто теряют работу потому, что работодателей больше не устраивает уровень их квалификации, подготовки, а также по причине невостребованности их профессий и специальностей на рынке труда.

Возникает проблема не только трудоустройства безработных, но и резкого повышения потенциала их конкурентоспособности на рынке рабочей силы.

Рынок профессий во многом зависит от уровня развития экономики, ее технической и технологической оснащенности, экономичного положения страны в тот или иной отрезок времени. Он в сущности своей подвижен, возникают и исчезают определенные профессии, но остается тенденция, присущая группе развитых экономик, тенденция исчезновения и роста определенных профессий, которая при достаточной научной проработке может помочь составить картину рынка профессий на ближайшее будущее, а тем самым способствовать его формированию в нужном направлении.

В курсовой работе были рассмотрены Проекты по поддержке незанятого трудоспособного населения, на примере города Лесосибирска. Данные мероприятия по обучению проводятся в специализированных учебных заведениях города.

С помощью Проекта по поддержке незанятого трудоспособного населения, путем переквалификации или получения дополнительного образования, возможно достижение эффективной занятости, которая способствует:

увеличению доходов населения, обеспечение высокой покупательской способности граждан при снижении числа бедных семей;

уменьшению социальной напряженности. Создание благоприятной среды для всех слоев общества;

- понижению девиантного поведения. При безработице создается атмосфера неуверенности в завтрашнем дне, вызывает состояние стресса у большого числа безработных, и может привести к употреблению наркотических средств, алкоголя. И в последствии к деградации личности и распаду семей.

Полная занятость - цель, к которой необходимо стремиться. Она достигается тогда, когда имеется соответствующий уровень развития производительных сил и спрос на рабочую силу совпадает с ее предложением.

Эффективная занятость - важнейшее условие социально-экономического благополучия стран, цель функционирования рынка труда, индикатор адаптивной способности рынка труда и населения к экономической трансформации.

Эффективной может считаться занятость населения, которая обеспечивает достойный доход, здоровье, развитие личности, рост образовательного и профессионального уровня для каждого члена общества на основе роста общественной производительности труда. Таким образом, эффективную занятость можно охарактеризовать с двух точек зрения:

с экономической, как наиболее рациональное использование человеческого ресурса;

с социальной, как наиболее полное соответствие интересам человека труда.

Вопросы трудоустройства безработных, профессиональной подготовки и переподготовки рассматриваются преимущественно как социально-экономические.

Эффективная занятость проявляется как на развитии экономики общества в целом, так и на жизнедеятельности отдельного человека и его семьи, разграничив их с позиции макроуровня и микроуровня, включая личность человека с его потребностями, интересами, способностями и возможностями.

На макроуровне:

повышение валового национального продукта;

сокращение мобильности рабочей силы;

уменьшение объемов скрытой безработицы;

рост престижа квалифицированного труда.

На микроуровне:

рост материального достатка семей безработных;

понижение девиантного поведения, депрессивных состояний, чувства неуверенности в будущем; сохранение квалификации.

Целесообразно рассмотреть и мобильность занятого населения как одно из важнейших условий эффективного использования занятого населения. В современную эпоху мобильность населения приобретает особо важное значение. И здесь речь должна идти не только о горизонтальной мобильности, имея в виду перемещение население по территории страны. Сегодня гораздо большее значение приобретает вертикальная мобильность, то есть повышение квалификации, профессиональный и служебный рост и так далее. Мобильность сегодня не только выступает инструментом необходимого производству распределения и перераспределения работников экономики по видам деятельности, но и выполняет определенные селективные функции, способствующие развитию экономики знаний.

Приобретение профессионально-квалификационных характеристик и их повышение представляет собой эффективный способ повышения производительности труда, но требующих значительных затрат времени и средств. В долгосрочной перспективе социально-экономического развития региона образовательная программа выполняет не только социальную задачу повышения культурно-образовательного уровня народа, но и экономическую - создание предпосылок роста производительности труда и снижения дефицита рабочей силы.

При создании совершенной программы обучения и переобучения, повышения квалификации для безработных, лиц, высвобождаемых из производства, из системы управления, из вооруженных сил.

Такой проект помог бы расширить возможности трудоустройства, повысить мобильность и производительность трудовых ресурсов, для чего необходимо организовать более широкое привлечение предприятий (при финансовой поддержке муниципального образования) к обучению и переобучению.

Чтобы такая программа осуществилась (хотя бы в значительной ее части), необходима очень четкая и слаженная работа службы занятости и муниципального образования.

Заключение

На основании исследования, можно сделать следующие выводы. Рассмотрев основные теоретико-методологические подходы к проблеме занятости и безработицы, сложившиеся в русле экономической парадигмы, можно сделать следующий вывод. В марксистской и кейнсианской концепции рынка труда факт безработицы рассматривался как «неизбежная безработица» и «вынужденное» явление, то есть обусловленное внешними общественными причинами. В неоклассической же и монетаристской концепциях безработица рассматривается как «добровольное» и «естественное» явление, то есть здесь подчеркиваются причины личностного начала. Обобщая отмеченные подходы можно определить занятость, во-первых, как экономическую категорию, существующую во всех общественных формациях. Во-вторых, это совокупность экономических отношений, связанных с обеспечением рабочими местами и участием людей в хозяйственной деятельности.

Ни один из рассматриваемых подходов в отдельности не характеризует в полном объеме ни явление безработицы, ни явление занятости, да и все они вместе взятые не охватывают всех проблем рынка труда и рабочей силы. Новые подходы и идеи теперь уже рассматриваются в рамках социальной (социально-экономической) парадигмы, которая не столько отрицает экономический подход, сколько развивает его.

Для достижения более полной и эффективной занятости населения как в стране в целом, так и в отдельных регионах и муниципальных образованиях необходимо четкое разграничение функций между ними. Основными направлениями деятельности служб занятости населения являются: подбор подходящей работы с помощью компьютерных банков вакансий, интенсивный поиск вариантов занятости в первые 10 дней с момента обращения в службу занятости до признания обратившегося безработным, использование групповых форм работы с гражданами, совершенствование информационного обслуживания населения. Наряду с вышеперечисленным службы занятости осуществляют работу по приему безработных граждан, их регистрации в целях оказания им содействия в трудоустройстве, признанию их безработными, назначению, выплате пособий по безработице, оказанию материальной и иной помощи безработным гражданам и членам их семей; организуют профессиональную подготовку, переподготовку и повышение квалификации безработных граждан; осуществляют специальные мероприятия, способствующие обеспечению занятости граждан, особо нуждающихся в социальной защите, такие как разработка региональных программ содействия занятости инвалидов, молодежи и женщин, организация общественных работ, работы по созданию дополнительных рабочих мест для инвалидов и молодежи.

Правовую основу деятельности местного самоуправления в сферах занятости составляют нормативные и правовые акты, которые по уровню разработки и принятия можно разделить на три группы.

К первой группе относятся правовые акты федерального уровня. Среди них можно выделить законодательные акты «общего плана», закрепляющие начала и основные принципы местного самоуправления и порядок взаимодействия его органов с органами государственного управления, различными государственными службами и отдельными учреждениями, организациями и предприятиями.

Вторую группу правовых актов образуют документы, принимаемые на уровне субъекта Федерации. Это конституции (уставы) субъектов Федерации, законы и постановления администраций, представительных и исполнительных органов субъектов Федерации по вопросам местного самоуправления

Третью группу образуют правовые акты, принимаемые органами и должностными лицами местного самоуправления - это уставы муниципальных образований, постановления и распоряжения их представительных и исполнительных органов и отдельных должностных лиц.

Взаимодействие между уровнями управления и сфере занятости регламентируется федеральными нормативными актами, определяющими источники и порядок формирования муниципальных внебюджетных фондов и их отношения с вышестоящими фондами, регламентирующими деятельность центров занятости и критерии отнесения муниципальных образований к категории «кризисных» по состоянию рынка труда.

Служба занятости, действуя в установленных законом рамках, осуществляет комплексное регулирование занятости населения. Федеральная служба занятости России была создана в 1991 г. в соответствии с Законом РФ «О занятости населения в Российской Федерации» и является организационно самостоятельной службой на территории РФ. Территориальные органы службы занятости являются структурными подразделениями соответствующих органов исполнительной власти субъектов РФ, органов местного самоуправления Органы занятости совместно с органами государственной власти РФ, органами местного самоуправления разрабатывают и осуществляют государственную политику занятости населения, проводят всю необходимую работу по ее реализации.

Целью деятельности территориальной службы занятости населения является обеспечение реализации государственной политики занятости населения с учетом экономических и социальных особенностей того или иного региона. Исходя из цели, задачи службы занятости населения включают в себя: трудоустройство, предоставление консультаций и информации о рынке труда гражданам, ищущим работу, а также оказание ряда других услуг, включая осуществление социальных выплат безработным гражданам в виде пособия по безработице, стипендии в период обучения по направлению служб занятости населения, оказание психологической, материальной и иной помощи безработным гражданам и членам их семей, находящимся на их содержании.

Сфера занятости является одной из главных сфер жизнедеятельности человека, важнейшим сегментом социально-экономического развития общества. В ней формируется большая часть доходов населения, закладываются основы материального благосостояния семей, реализуются важнейшие потребности и интересы индивидов, социальных групп, общностей.

В последние годы акценты в проведении политики содействия занятости все больше переносится на территориальный, муниципальный уровень, набор инструментов государства в регулировании занятости сужает. Регулирующим инструментом проведения политики занятости является региональные и муниципальные программы содействия занятости населения. В рамках реализации этих программ разрабатываются подпрограммы активных и пассивных мер помощи безработным, определению профиля подготовки кадров в учреждениях профессионального образования и прочие.

Проведенный анализ показывает, что в городе Лесосибирске с каждым годом увеличивается количество граждан, обращающихся за содействием в службу занятости. Также возрастает количество обращений в центры занятости населения пенсионеров по инвалидности. При этом уровень общей безработицы снизился от численности экономически активного населения.

Социологическое исследование свидетельствует, в службы занятости прежде всего обращаются те безработные, которые как правило, владеют одной специальностью, длительное время не повышали свою квалификацию, не знают основ рыночной экономики рынка труд, новых профессиональных требований, некоммуникативны, не имеют навыков самообразования и нередко находятся в состоянии психологического стресса. Что касается молодежи, то здесь прибавляются отсутствие опыта, низкий профессионализм, снижение уровня образования.

Несмотря на различные модификации структур служб занятости в различных странах, все они в той или иной степени исповедуют принцип «вертикали», укладывая все «модификации» в соотношении «центр-периферия». Управляющее воздействие на сферу занятости и рынок труда оказывают три основных субъекта: работодатели (предприниматели, администрация предприятий и организаций), государственная служба занятости (прежде всего ее местные органы), и государство (прежде всего через законодательную, а также исполнительную власть).

Можно отметить три основных момента: во-первых, структура служб занятости во всех странах достаточно сходна, в том числе и в России, имея вертикальную структуру; во-вторых, имея определенную самостоятельность и независимость, служба занятости, тем не менее, находится под сильным влиянием и контролем государства, и, в третьих, ей все чаще приходится конкурировать и координировать свою работу с частными учреждениями, занимающимися подбором кадров, создающими информационные банки вакансий и другими агентствами, занимающимися устройством на работу.

Опыт, накопленный зарубежной службой занятости, необходим России. И разумеется, очень важно знать и понимать, как становится и развивается сегодня служба занятости Российской Федерации.

Важное значение имеет уровень образования и профессиональной подготовки населения. Почти половина безработных имеют среднее специальное или начальное профессиональное образование, что соответствует среднему уровню образования безработных. Это лишний раз подчеркивает актуальность проблемы квалифицированных рабочих кадров на российском рынке труда.

Полученные расчеты не дают оснований говорить и о существенном улучшении положения лиц с высшим и средним специальным образованием.

Вопросы обучения безработных новым профессиям, специальностям, равно как и вопросы повышения их квалификации, становятся особенно актуальными, и в связи с ухудшением состояния экономики страны отчетливо выявляется тенденция сворачивания предприятиями системы профессионального обучения, упразднения образовательных структур, ведающих профессиональным обучением работников. Разумеется, такой подход ведет к резкому сокращению численности обучаемых и прежде всего молодежи. Количество рабочих, прошедших подготовку, переподготовку или обучение впервые, уменьшилось вдвое.

Дело в том, что люди, оказывающиеся безработными, часто теряют работу потому, что работодателей больше не устраивает уровень их квалификации, подготовки, а также по причине невостребованности их профессий и специальностей на рынке труда.

Возникает проблема не только трудоустройства безработных, но и резкого повышения потенциала их конкурентоспособности на рынке рабочей силы.

Рынок профессий во многом зависит от уровня развития экономики, ее технической и технологической оснащенности, экономичного положения страны в тот или иной отрезок времени. Он в сущности своей подвижен, возникают и исчезают определенные профессии, но остается тенденция, присущая группе развитых экономик, тенденция исчезновения и роста определенных профессий, которая при достаточной научной проработке может помочь составить картину рынка профессий на ближайшее будущее, а тем самым способствовать его формированию в нужном направлении.

Вынужденная смена профессии - явление весьма болезненное и сложное. Переход от одной деятельности к другой осложняется тем, что имевшиеся навыки и оказываются ненужными, что весьма нерационально, ибо ведет к значительным потерям, которые болезненно переживаются человеком. К смене профессии человек должен быть психологически подготовлен. Психологическая готовность к смене профессии должна базироваться на информационности о потребностях в кадрах и специалистах на местном рынке труда, о профессиях, пользующихся спросом на рынке труда и о проблемах трудоустройства различных сферах деятельности, о перспективности выбранной профессии на рынке труда. Важным компонентом психологической готовности к смене профессии является освоение техники самоопределения (определение целей поиска работы, создание собственного позитивного имиджа, обучение способам саморекламы для успешного трудоустройства и так далее).

Приобретение профессионально-квалификационных характеристик и их повышение представляет собой эффективный способ повышения производительности труда, но требующих значительных затрат времени и средств. Социально-экономического развития города образовательная программа выполняет не только социальную задачу повышения культурно-образовательного уровня народа, но и экономическую - создание роста производительности труда и снижения дефицита рабочей силы.

Такая программа помогла бы расширить возможности трудоустройства, повысить мобильность и производительность трудовых ресурсов, для чего необходимо организовать более широкое привлечение предприятий при финансовой поддержке муниципального образования к обучению и переобучению.

Библиографический список

1. Федеральный закон «Об общих принципах организации местного самоуправления в Российской Федерации» от 28 августа 1995 г. №154-ФЗ.

. Закон о занятости населения в Российской Федерации от 25.07.2002 №116-ФЗ.

. Трудовой кодекс Российской Федерации. - М. : Омега-Л, 2005. - с. 183

. Авраамова, Е.М. Правовое регулирование на российском рынке труда / Е.М. Авраамова, Ю.Б. Вернаховская // Вопросы экономики. - 2006. - №4. - с. 37-41.

. Агабекян, Р.Л. Современные теории занятости : учебное пособие для вузов / Р. Л. Агабекян, Г.А. Авагян. - М. : ЮНИТИ-ДАНА, 2001. - 190 с.

. Адамчук, В.В. Экономика и социология труда: учебник для вузов / В.В. Адамчук, О.В. Ромашов, М.Е. Сорокин. - М. : ЮНИТИ, 2001. - 407 с.

. Барсукова, С.Ю. Формальное и неформальное трудоустройство, парадоксальное сходство на фоне очевидного различия // Социологические исследования. - 2003. - №7. - с. 129-131.

. Боровик, В.С. Занятость населения : учебное пособие / В.С. Боровик, Е.Е. Ермакова, В.А. Похвощев. - Ростов-на-Дону: «Феликс», 2001. - 320 с.

. Бочарова, И. Программы содействия занятости // Экономист. - 2005. - №5. - с. 77-84.

. Бреев, Б. О качестве занятости населения России // Общество и экономика. - 2005. - №7-8. - с. 305-325.

. Буланов, В.С. Рынок труда: учебник / Под ред. проф В.С. Буланова и проф. Н.А. Волгина. - М. : «Экзамен», 2000. - 448 с.

. Вертешев, С.М. Региональная социально-экономическая политика: разработка, реализация, оценка эффективности (учебно-методическое пособие) / под рук. д.т.н. проф. С.М. Вертешева, проф. Рохчина В.Е. - СПб : Издательство СПб ГПУ, 2003. - 320 с.

. Винокуров, М.А. Экономика труда / Под ред. М.А. Винокурова, Н.А. Горелова. - СПб. : Питер, 2004. - 656 с.

. Вишневская, Н. Реформа законодательства о защите занятости и рынок труда // Мировая экономика и международные отношения. - 2006. - №10. - с. 34-42.

. Волгин, Н.А. Социальная политика : учебник / под общ. ред. Н.А. Волгина. - М. : Издательство «Экзамен», 2002. - 736 с.

. Ворожейкин, И.Е. Управление социальным развитием организации: учебник / И.Е. Ворожейкин. - М.: ИНФРА-М, 2001. - 176 с.

. Выборнова, В.В. Муниципалитеты управляют занятостью / В.В. Выборнова, Е.А. Дунаева // Трудовое право. - 2006. - №4. - с. 54.

. Генкин, Б.М. Экономика и социология труда: учебник для вузов / Б.М. Генкин. - 2-е изд., испр. и доп. - М.: Издательская группа НОРМА - ИНФРА-М, 1999. - 412 с.

. Зотов, В.Б. Муниципальное управление: учебник для вузов / В.Б. Зотова, З.М. Макашева. - М.: ЮНИТИ-ДАНА, 2002. - 279 с.

. Иванова, В.Н. Управление занятостью населения на местном уровне: учебное пособие / В.Н. Ивановой, Т.И. Безденежных. - М.: Финансы и статистика, 2002. - 192 с.

. Ильин, С.П. Рынок рабочих мест для социально не защищенных категорий населения // ЭКО. - 2005. - №12. - с. 128-135.

. Кнорринг, В.И. Основы государственного и муниципального управления: учебник / В.И. Кнорринг. - М.: Издательство «Экзамен», 2004. - 416 с.

. Морозова, Т.Г. Региональная экономика: учебник для вузов / Т.Г. Морозова, М.П. Победина, Г.П. Поляк и др. - 3-е изд., перераб. и доп. - М.: ЮНИТИ-ДАНА, 2004. - 519 с.

. Рофе, А. Рынок труда, занятость населения, экономика ресурсов для труда / А. Рофе, Б. Зобченко, В. Ильин. - М. : Наука, 1997. - 85 с.

. Семенов, А. Принципы и механизмы создания рабочих мест // Экономист. - 2002. -№2. - с. 40-47.

. Скутнева, С.В. Социально-правовые аспекты проблем занятости // Социологические исследования. - 2006. - №10. - с. 88-90.

. Старовойтова, Л.Н. Занятость населения и ее регулирование: учебное пособие для студентов высших учебных заведений / Л.Н. Старовойтова, Т.Ф. Золотарева. - М.: Изд. центр Академия, 2001. - 192 с.

28. Официальный сайт спикера парламента Миронова С.М. www.mironov.ru

. Министерство региональной политики www.minregion.ru

. Общероссийская общественная организация «Всероссийский совет местного самоуправления» www.vsmsinfo.ru

. Плакся, В.И. Безработица: теория и современная российская практика / В.И. Плакся. - М: Наука, 2006. - 262 с.

. Зиброва, Е. Официальная безработица в России: последние данные / Е. Зиброва - 2010 г [Электронный ресурс]. - URL: #"558090.files/image005.gif">

Похожие работы на - Государственное регулирование занятости и безработицы в г. Лесосибирске

 

Не нашли материал для своей работы?
Поможем написать уникальную работу
Без плагиата!
Без нейросетей!