Фармацевтическая химия барбитуратов

  • Вид работы:
    Курсовая работа (т)
  • Предмет:
    Медицина, физкультура, здравоохранение
  • Язык:
    Русский
    ,
    Формат файла:
    MS Word
    1,71 Мб
  • Опубликовано:
    2012-05-18
Вы можете узнать стоимость помощи в написании студенческой работы.
Помощь в написании работы, которую точно примут!

Фармацевтическая химия барбитуратов

Содержание


Вступление

Глава 1. Характеристика производных барбитуровой кислоты

.1 Понятие барбитуратов

.2 История открытия барбитуратов

.3 Физиологические эффекты барбитуратов

.4 Применение барбитуратов в медицине

.5 Опасность применения барбитуратов

Глава 2. Фармацевтическая химия производных барбитуровой кислоты

.1 Химическая характеристика барбитуратов

.2 Синтез барбитуратов

.3 Свойства барбитуратов

.4 Определение подлинности барбитуратов

.5 Испытания на чистоту

.6 Количественное определение

.7 Хранение и применение барбитуратов

Глава 3. Практическая часть

.1 Методика исследования

.2 Результаты исследования

Выводы

Список использованной литературы

Вступление


Барбитураты - группа лекарственных веществ, производных барбитуровой кислоты, обладающих снотворным, противосудорожным и наркотическим действием, обусловленным угнетающим влиянием на центральную нервную систему.

Барбитураты вошли в медицинскую практику в начале двадцатого века. Более чем 2500 барбитуратов были синтезированы и на пике их популярности около 50 видов продавались для употребления. На сегодня всего лишь около дюжины из них принимаются.

Барбитураты - снотворные лекарства, к которым при длительном применении возникает привыкание. В последние годы стали предметом повышенного интереса токсикоманов. В медицине наиболее широко используются следующие из них - барбитал, барбамил, фенобарбитал (также называемый люминалом) и этаминал - натрий. Злоупотребление барбитуратами характерно для больных алкоголизмом и опиоманией. Это может быть связано с тем, что склонность к приему барбитуратов наследуется по тому же механизму, что и склонность к потреблению алкоголя и опиатов. Помимо своего основного лекарственного эффекта, барбитураты вызывают слабую эйфорию. Это их свойство все больше и больше привлекает людей, злоупотребляющих снотворными, и в конце концов становиться для них самоцелью. Не догадываясь в большинстве своем об опасности бесконтрольного приема барбитуратов, они могут попасть в физическую зависимость от них. А выражаться эта зависимость может в форме цепкого абстинентного синдрома. При сильной передозировке барбитуратов (более 4-6 г за прием) возможны смертельные исходы вследствие паралича дыхательного центра и развития комы. Следует учитывать, что при слишком частом приеме барбитуратов их дозы суммируются, что создает серьёзную угрозу для здоровья даже при приёме относительно невысоких разовых доз.

Действие барбитуратов противоположно действию амфетаминов: они подавляют центральную нервную систему. В малых дозах они действуют как транквилизаторы, а в больших они снотворные. Сон с барбитуратами - ненормальный сон, т.к. они подавляют все виды нормальной активности во время сна. Продолжительный прием снотворных ведет к полному психологическому сдвигу, т.к. у разума не остается пути реализовать себя. Барбитураты вызывают склонность к суициду.

Барбитураты - это седативное лекарство. Обычно их прописывают как снотворные, но сейчас их использование с этой целью почти полностью прекращено, хотя более слабые представители этой группы, такие как фенобарбитал, могут все еще использоваться для лечения эпилепсии. И тем не менее, барбитураты время от времени появляются. Обычно в виде: натрия амитала - как правило, ярко синие капсулы, содержащие 60 мг лекарства, секонала - оранжевые капсулы по 50 мг и, наконец, туинал, представляющий собой смесь из 50 мг амитала и 50 мг секонала, который, что неудивительно, выпускается в наполовину оранжевых, наполовину синих капсулах. Кто бы не был ответственен за дизайн этих капсул, он несомненно обладал способностями к продаже препаратов опиатникам и ипохондрикам.

Как и опиаты, барбитураты вызывают пристрастие, только в большей степени. Принимая их, чтобы лучше засыпалось, через несколько дней заснуть без них становится невозможным. Как и опиаты, барбитураты вызывают привыкание, поэтому приходится постоянно увеличивать дозу, чтобы получить тот же эффект, но наиболее замечателен синдром отмены. Кроме навязчивой потребности, дискомфорта и неспособности спать, барбитуратная абстиненция также вызывает сильные эпилептические приступы.

В связи с этим изучение свойств барбитуратов является очень актуальным.

Глава 1. Характеристика производных барбитуровой кислоты

 

.1 Понятие барбитуратов


Барбитураты (лат. barbiturate) - группа лекарственных средств, производных барбитуровой кислоты, оказывающих угнетающее влияние на центральную нервную систему. В зависимости от дозы, их терапевтический эффект может проявляться от состояния лёгкой седации до стадии наркоза. Ранее барбитураты широко назначались в качестве успокаивающих и снотворных средств.

В настоящее время сфера их применения существенно ограничена, так как, во-первых, они имеют узкую терапевтическую широту, что может привести к передозировке и возникновению токсических эффектов, а во-вторых, при длительном приёме барбитуратов возможно развитие привыкания и лекарственной зависимости.

В 1978 году Бюро по наркотикам и опасным препаратам США внесло предложение ограничить применение барбитуратов, потому что они оказались «опаснее героина».

1.2 История открытия барбитуратов

барбитурат барбамил

Впервые барбитуровая кислота была синтезирована в 1863 году известным химиком Адольфом фон Байером (Baeyer, Adolf von - 1835-1917). Поскольку открытие пришлось на 4 декабря - день Св. Барбары - отсюда произошла первая часть названия кислоты. Вторая же часть - от английского слова «urea » - то есть «моча». Другие источники гласят, что Байер, был увлечен молодой девушкой по имени Барбара и новое соединение назвал в ее честь.

Широко использоваться в медицине барбитураты начали с 1903 года, когда на рынок в качестве успокоительного и снотворного средства был выпущен препарат барбитал (зарегистрированное торговое название Veronal). Вскоре препарат получил довольно широкое распространение.

Использование барбитуратов в медицинской практике росло вплоть до середины 1960-х годов, однако начало снижаться в последующие годы. Рост потребления барбитуратов был обусловлен возрастающим количеством пациентов, жалующихся на стресс. В таких условиях любое седативное средство изначально имело на рынке коммерческий успех.

Барбитураты успешно помогали бороться с бессонницей, так что недостатка в желающих их попробовать не было. Однако, с ростом популярности препарата, росло и число случаев негативных эффектов - в том числе и случаев наркотической зависимости. Эти последствия и привели к спаду применения барбитуратов в медицине. В последнее время их все чаще заменяют более безопасными бензодиазепинами. Тем не менее, барбитураты, как быстродействующие средства, до сих пор используются для срочной анестезии, а также для снятия судорог и предотвращения эпилептических приступов.

Сейчас к классу барбитуратов причисляется свыше двух тысяч различных соединений, хотя в медицинских целях используется лишь некоторые из них. Обычно названия препаратов этого класса оканчивается на «-ал». Наиболее распространенными являются такие препараты, как фенобарбитал, бензобарбитал, люминал, секонал, нембутал, а также транквилизаторы либриум, валиум и теразин.

1.3 Физиологические эффекты барбитуратов


Действие барбитуратов противоположно действию амфетаминов: они подавляют центральную нервную систему. В малых дозах они действуют как транквилизаторы, а в больших они снотворные. Сон с барбитуратами - ненормальный сон, т.к. они подавляют все виды нормальной активности во время сна.

В умеренных дозах барбитураты вызывают состояние эйфории, близкое к состоянию опьянения. По аналогии с алкоголем, барбитураты могут вызывать потерю координации, нетвердую походку и невнятную речь. Нарушение координации движений и атаксия связаны с угнетением спинальных полисинаптических рефлексов и супраспинальной регуляции. Потеря контроля над эмоциями и неконтролируемое поведение также являются типичными последствиями применения барбитуратов и обусловлены их влиянием на лимбическую систему. Противотревожный эффект и сон вызываются высокими дозами, ещё более высокие дозы вызывают хирургический наркоз. Барбитураты нарушают концентрацию внимания, память и способность к обучению. Могут вызывать фиксационную амнезию. Вегетотропные эффекты включают в себя повышение тонуса блуждающего нерва, приводящего к бронхоспазму, являющемуся причиной большинства смертельных исходов, связанных с употреблением барбитуратов. Нередко это возникает при внутривенном введении тиопентала натрия, использующегося для вводного наркоза. Для профилактики бронхоспазма в качестве премедикации в этом случае применяют М-холиноблокаторы. В больших дозах барбитураты, также благодаря повышению тонуса блуждающего нерва, оказывают кардиодепрессивный эффект, понижают артериальное давление и нарушают деятельность желудочно-кишечного тракта.

Барбитураты, подобно бензодиазепинам, взаимодействуют с барбитурат-бензодиаземиновым рецептором, нековалентоно связанным с ГАМК-рецептором. В результате повышается его сродство к ГАМК, что приводит к открытию калиевых и хлорных каналов и снижению возбудимости нервной системы. Передача нервных импульсов в ЦНС замедляется, что клинически выражается следующими эффектами:

·        Седативным

·        Снотворным

·        Наркотическим

·        Противосудорожным

·        Анксиолитическим

·        Мышечно-расслабляющиим

·        Амнестическим

По длительности действия барбитураты могут быть разделены на 4 группы: ультра короткого, короткого, среднего и длительного действия. Люди, злоупотребляющие барбитуратами, предпочитают барбитурат непродолжительного или же среднего воздействия.

Барбитураты ультракороткого действия

Барбитураты ультракороткого действия вызывают медикаментозный сон в течение приблизительно одной минуты после внутривенного введения и используются для вводного наркоза.

·        метохекситал (бревитал),

·        тиамилал (суритал)

·        тиопентал (пентотал).

Барбитураты короткой и средней продолжительности действия

К барбитуратам короткой и средней продолжительности воздействия относятся:

·        пентобарбитал (нембутал),

·        секобарбитал (амитал),

·        буталбитал (фиоринал, фиорицет),

·        бутабарбитал (бутизол),

·        тальбутал (лотузат)

·        апробарбитал (алюрат).

После применения наркотика внутрь действия начинается в течение 15-40 минут, а эффекты продолжаются до 6 часов.

Барбитураты длительного действия

Для получения снотворного или успокаивающего эффекта, а также для лечения эпилепсии применяют препараты с длительным действием:

·        барбитал

·        фенобарбитал (люминал)

·        барбитал-натрий

·        мефобарбитал (мебарал)

Воздействие от этих барбитуратов появляется примерно через один час и продолжается в течение 12 часов. Кроме того, они употребляются для успокоения в дневное время и лечения приступов или небольшой тревожности.

Барбитураты производят широкий спектр расстройств центральной нервной системы, начиная со слабого успокоения и доходя до комы. В барбитуратах отсутствует эйфорический потенциал опиатов и социально-сглаживающие свойства, связанные с алкоголем. Они просто вызывают черное и пустое забвение.

 

.4 Применение барбитуратов в медицине


Барбитураты впервые были введены в медицинскую практику в 1903 году, когда барбитал получил рыночное название Veronal. Вскоре препарат стал часто использоваться в качестве успокоительного и в качестве первого снотворного.

Сейчас гексенал, тиобутал и тиопентал-натрий применяют для наркоза. Барбитураты часто сочетают с другими успокаивающими, спазмолитическими, холинолитическими и другими средствами. Барбитураты используют в анестезиологии для подготовки больного к наркозу - предварительное введение барбитуратов усиливает действие наркотических, местноанестезирующих и обезболивающих средств.

Ветеринары используют пентобарбитал как обезболивающее средство и средство для эвтаназии.

Барбитураты могут употребляться по-разному:

·        внутривенно,

·        внутримышечно,

·        перорально,

·        ректально.

Соответствующие лекарственные формы препаратов могут встречаться в виде капсул, таблеток, жидкостей, свечей. Наиболее опасный способ применения - инъекционный. Барбитураты хорошо всасываются в желудке и тонком кишечнике. При употреблении в терапевтических дозах их сывороточная концентрация обычно достигает максимума через 1 - 4 часа.

Считается, что для взрослого летальная доза барбитуратов длительного действия - таких как барбитал и фенобарбитал, - около 4,0-5,0 г.

Для коротко действующих - этаминал-натрия, барбамила - от 2,3 до 3,0 г. Однако, это во многом зависит от индивидуальной чувствительности к барбитуратам - в отдельных случаях смерть может наступить после приема 1,0-2,0 г барбитала. Наиболее опасно применять барбитураты для лечения детей: 1-2 таблетки обычной снотворной дозы для взрослого могут вызвать у ребенка тяжелое или даже смертельное отравление.

 

1.5 Опасность применения барбитуратов


Продолжительный прием барбитуратов ведет к полному психологическому сдвигу, так как у разума не остается пути реализовать себя. Барбитураты вызывают склонность к суициду. Потребитель барбитуратов производит отталкивающее впечатление. У него отсутствует координация, он шатается и падает со стульев в баре, засыпает в середине беседы, пища вываливается у него изо рта. Он застенчив, ворчлив и глуп.

Злоупотребление барбитуратами характерно для больных алкоголизмом и опиоманией. Это может быть связано с тем, что склонность к приему барбитуратов наследуется по тому же механизму, что и склонность к потреблению алкоголя и опиатов. Помимо своего основного лекарственного эффекта, барбитураты вызывают слабую эйфорию. Это их свойство все больше и больше привлекает людей, злоупотребляющих снотворными, и в конце концов становиться для них самоцелью.

Барбитураты вызывают пристрастие, в большей степени чем опиаты. Принимая их, чтобы лучше засыпалось, через несколько дней заснуть без них становится невозможным. Приходится постоянно увеличивать дозу, чтобы получить тот же эффект, но наиболее замечателен синдром отмены. Если опиатные ломки - это холодная индейка, то ломки от барбитуратов можно сравнить с дохлой вороной. Кроме навязчивой потребности, дискомфорта и неспособности спать, барбитуратная абстиненция также вызывает сильные эпилептические приступы. Никто не умирает от опиатных ломок, но это очень даже возможно с барбитуратами.

В семидесятых множество людей умирало каждый год от отравления барбитуратами. Многие из этих людей умирали, просто приняв их, как снотворное. Обычно все происходит следующим образом. Немного выпиваете, чтобы заснуть. Затем принимаете пару капсул Нембутала (барбитурат) и наливаете себе еще в ожидании действия лекарства. Через некоторое время вы не помните, приняли вы капсулы или нет, так что лучше принять еще парочку, чтоб уж точно. С утра находят ваш труп. Даже если вы не захлебнулись собственной рвотой, ваше дыхание постепенно замедлялось, пока не прекратилось вовсе. Смерть наступает в результате паралича дыхательного центра и острого нарушения кровообращения.

Возможность передозировки сильно возрастает, если барбитураты принимать внутривенно, а не перорально. Следует учитывать, что при слишком частом приеме барбитуратов их дозы суммируются, что создает серьёзную угрозу для здоровья даже при приёме относительно невысоких разовых доз.

В основном барбитураты используют только те люди, у которых переключатели установлены в режим автоматического саморазрушения. Они всегда будут популярны среди людей, настолько ненавидящих себя и свою жизнь, что их поведение управляется необходимостью уничтожить саму возможность мысли и самооценки.

 

Глава 2. Фармацевтическая химия производных барбитуровой кислоты

 

.1 Химическая характеристика барбитуратов


Производные барбитуровой кислоты, или циклические уреиды, в отличие от ациклических уреидов представляют собой продукты взаимодействия полного амида угольной кислоты (мочевины) с производными малоновой кислоты:


Поскольку в результате конденсации образуется замкнутая циклическая система с двумя атомами азота (в положения 1 и 3), то барбитураты рассматривают как производные пиримидина.

Снотворное действие барбитуратов впервые обнаружено в начале XX в. Э. Фишером и Ф. Мерингом. В 1904 г. Э. Фишером получен барбитал. В последующие годы было синтезировано большое число барбитуратов и установлен ряд закономерностей между их химической структурой и действием на организм.

Структура молекул обусловливает особенности химических свойств барбитуратов. Производные барбитуровой кислоты способны проявлять лактим-лактамную таутомерию (за счет водородов имидных групп):


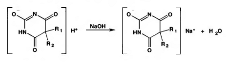
Лактимная или аци-форма обусловливает кислотный характер производных барбитуровой кислоты. В присутствии гидроксид-ионов они диссоциируют как кислоты и образуют соли с металлами:


Применяемые в медицинской практике производные барбитуровой кислоты можно разделить на две группы: барбитураты (лактамная форма) и натриевые соли барбитуратов (лактимная форма). Общие формулы могут быть представлены следующим образом:


Указанная структура натриевых солей была подтверждена в результате исследований ИК-спектров этих соединений. Барбитураты - барбитал, фенобарбитал, бензобарбитал (бензонал) и натриевые соли - барбитал-натрий, гексобарбитал-натрий (гексенал), тиопентал-натрий различаются по характеру радикалов R1, R2 и R3:

 

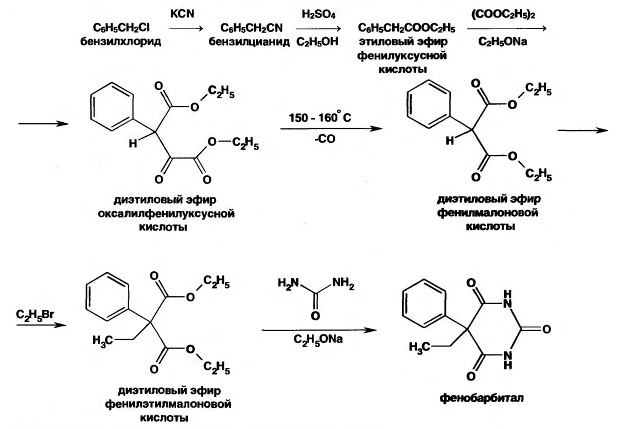
.2 Синтез барбитуратов


Синтез производных барбитуровой кислоты состоит из двух этапов. Вначале получают соответствующий эфир малоновой кислоты. На втором этапе синтеза осуществляют его конденсацию с мочевиной (в присутствии алкоголята натрия в среде абсолютного спирта).

Барбитал получают по схеме:


Для получения фенобарбитала в качестве исходного продукта берут бензилхлорид, из которого синтезируют диэтиловый эфир фенилэтилмалоновой кислоты. Последний затем конденсируют с мочевиной:


Из фенобарбитала получают бензобарбитал, действуя бензоилхлоридом:


Бензобарбитал является показательным примером наличия зависимости биологической активности от изменения химической структуры. Довольно простое бензоилирование фенобарбитала приводит не просто к изменению уровня снотворной активности, а и к ее полному исчезновению. При этом слабое антиконвульсивное действие фенобарбитала развивается в мощный противосудорожный эффект у бензобарбитала.

Для получения натриевых солей соответствующие барбитураты растворяют в эквивалентном количестве гидрокеида натрия (спиртовой раствор), а затем натриевую соль осаждают эфиром.

 

.3 Свойства барбитуратов


По свойствам барбитураты и их натриевые соли отличаются между собой.

Барбитураты представляют собой белые кристаллические порошки без запаха. Они практически нерастворимы или очень мало растворимы в воде (барбитал - мало растворим), растворимы или умеренно растворимы в этаноле и эфире (фенобарбитал - легко растворим в этаноле). Водные и спиртовые растворы барбитуратов имеют кислую реакцию (константа диссоциации барбитала 1,3*10-8, фенобарбитала 4,8*10-8). Барбитал - мало, фенобарбитал - умеренно, а бензобарбитал легко растворим в хлороформе. Барбитураты легко растворимы в растворах щелочей.

Натриевые соли барбитуратов (гексобарбитала и тиопентала) представляют собой белые мелкокристаллические порошки или сухую пористую массу (тиопеитал-натрий желтоватого цвета со своеобразным запахом). Они гигроскопичны, легко растворимы или очень легко растворимы в воде и этаноле, практически нерастворимы в эфире. Водные растворы натриевых солей барбитуратов имеют щелочную реакцию (рН 9,0-11,0).

 

2.4 Определение подлинности барбитуратов


Подлинность барбитуратов можно установить по ИК-спектрам. ФС рекомендует этот метод для идентификации бензобарбитала, МФ - для фенобарбитала и тиопентала-натрия. ИК-спектры, снятые после прессования в таблетках с бромидом калия в области 4000-400 см-1, должны иметь полное совпадение полос поглощения с прилагаемым к ФС рисунком спектра или со спектром сравнения.

УФ-спектры барбитуратов в области 220-280 нм имеют максимумы и минимумы поглощения, используемые для идентификации. Раствор фенобарбитала в этаноле после добавления буферного раствора с рН 10 имеет максимум поглощения при 240 нм и минимум - при 224 нм. Бензобарбитал (раствор в этаноле и 0,1 М растворе хлороводородной кислоты) в области 220-350 нм имеет максимум при 257 нм и минимум при 230 нм. Отношение оптических плотностей бензобарбитала в максимуме к минимуму составляет 2,2. Барбитал и его натриевая соль имеют максимум при 239-240 нм.

Для испытания барбитуратов и их натриевых солей используют химические реакции, основанные на соле- и комплексообразовании с солями тяжелых металлов, сплавлении со щелочами, окислении, нейтрализации натриевых солей, обнаружении ионов натрия и функциональных групп.

Производные барбитуровой кислоты образуют нерастворимые соли с ионами серебра, ртути (II), меди (II), кобальта (II). Эта реакция происходит только с ионизированной формой, поэтому кислотную форму барбитурата предварительно необходимо перевести в ионную. Однако при этом нельзя допускать избытка щелочи, так как он при последующем выполнении реакции приведет к образованию гидроксидов металлов. Поэтому более целесообразно выполнять эту реакцию в смеси растворов гидрокарбоната и карбоната натрия.

Все барбитураты и их натриевые соли образуют с ионом кобальта комплексные соединения, окрашенные в сине-фиолетовый цвет (в присутствии хлорида кальция). Цветная реакция с раствором сульфата меди (II) позволяет отличать производные барбитуровой кислоты друг от друга.


Для идентификации барбитуратов могут быть использованы реакции образования моно- и дизамещенных комплексов с солями меди (II) в присутствии пиридина. Комплексы имеют лиловую окраску.

При взаимодействии с ионами серебра происходит образование однозамещенных (растворимых в воде) и двузамешенных (нерастворимых в воде) солей серебра. В присутствии карбоната натрия барбитураты образуют вначале натриевую соль, затем однозамещенную серебряную:


Однозамещенная серебряная соль при добавлении избытка нитрата серебра превращается в нерастворимую двузамещенную серебряную соль:


Гексобарбитал-натрий и бензобарбитал, содержащие заместители в положении 1, образуют только однозамещенные соли серебра.

Барбитураты могут быть обнаружены с помощью общих цветных реакций на производные пиримидина, основанных на их окислении. При взаимодействии с концентрированной серной кислотой и 1-2 каплями раствора дихромата калия появляется стойкое зеленое окрашивание. Если вместо дихромата калия взять раствор ванадата аммония, то после нагревания на водяной бане раствор приобретает травянисто-зеленое окрашивание, переходящее в голубое. При сплавлении барбитурата с резорцином и концентрированной серной кислотой, последующем охлаждении и подщелачивании раствором гидроксида натрия возникает зеленая флуоресценция.

Отличающиеся по окраске продукты конденсаций образуют барбитураты и их натриевые соли с альдегидами: формальдегидом в присутствии концентрированной серной кислоты; с раствором и-диметиламинобензальдегида в концентрированной серной кислоте. При использовании в качестве реактива ванилина в присутствии концентрированной серной кислоты после кипячения появляется вишневое окрашивание, переходящее в сине-фиолетовое:


Барбитураты и их натриевые соли можно идентифицировать сплавлением с едкими щелочами, так как они при этом разрушаются с выделением аммиака:


При последующем подкислении хлороводородной кислотой выделяется диоксид углерода и ощущается запах соответствующей жирной кислоты:


Для натриевых солей барбитуратов выполняют испытание, основанное на нейтрализации растворов разведенной хлороводородной кислотой:


Выпавший осадок барбитурата отфильтровывают, промывают водой, сушат и определяют температуру плавления. В гексобарбитале-натрии устанавливают наличие диметилциклогексилбарбитуровой кислоты (143-147°С), а в тиопентале-натрии - 5-(1-метилбутил-5-этил)-2-тиобарбитуровой кислоты (156-161°С).

Кроме того, обнаруживают ион натрия (по окраске пламени).

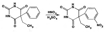
Для отличия барбитуратов друг от друга могут быть использованы реакции на функциональные группы, имеющиеся в их молекулах в положениях 1 и 5. Так, фенильный радикал в фенобарбитале обнаруживают по образованию нитросоединений, окрашенных в желтый цвет. Реакция происходит после прибавления концентрированных азотной и серной кислот. Появление желтого окрашивания обусловлено образованием м-нитропроизводного фенобарбитала:


Эту реакцию дает также бензобарбитал.

Подлинность фенобарбитала можно установить по образованию соли с ионом ртути (II) в щелочной среде. Образуется белый осадок, растворимый в избытке раствора аммиака. Фенобарбитал дает цветную реакцию с нитритом натрия в присутствии серной кислоты. При нагревании на водяной бане в течение 10 мин появляется оранжево-желтое с коричневым оттенком окрашивание.

Специфичной для бензобарбитала является реакция с хлоридом железа (III). Предварительно его взбалтывают в течение 1-2 мин с 0,1 М раствором гидроксида натрия и фильтруют. Образующийся при гидролизе бензобарбитала бензоат-ион переходит в фильтрат. Он образует с ионом железа (III) розовато-желтый осадок.

Тиопентал-натрий, содержащий атом серы в молекуле, при нагревании в присутствии гидроксида натрия и ацетата свинца образует черный осадок сульфида свинца:


2.5 Испытания на чистоту


При испытании на чистоту барбитала обнаруживают примесь этилбарбитуровой кислоты, а в фенобарбитале - примесь фенилбарбитуровой кислоты. Поскольку обе эти кислоты проявляют более сильные кислотные свойства (К = 4*10-5). чем соответствующие барбитураты, их примесь легко обнаружить потенциометрически по значению рН суспензии барбитала с водой (5,0-6,0) или иным методом. Посторонние примеси (ФС) в бензобарбитале устанавливают методом ТСХ на пластинках Силуфол УФ-254 в системе растворителей хлороформ-ацетон. В УФ-свете должно появиться только одно пятно. Методом ТСХ выполняют испытание на наличие посторонних примесей в тиопентале-натрии (МФ). При испытание чистоты натриевых солей барбитуровой кислоты устанавливают предельное содержание примеси свободной щелочи, метилового спирта и др.

2.6 Количественное определение


Барбитураты количественно определяют методом нейтрализации в среде неводных растворителей. Навески растворяют в нейтрализованном диметилформамиде или смеси диметилформамида и бензола (барбитал). Диметилформамид используют в качестве растворителя при титровании более сильных кислот (рКа 7,3-7,8), например барбитала, фенобарбитала. Титруют 0,1 М раствором гидроксида натрия (в смеси метанола и бензола), используя индикатор тимоловый синий Диметилформамид, являясь основным растворителем, присоединяет протон, усиливая при этом кислотные свойства барбитуратов:


При последующем титровании гидроксидом натрия выделяются диметилформамид, вода и ион натрия. Последний с анионом барбитурата образует натриевую соль:

При титровании очень слабых кислот титрантом служит 0,1 М раствор метилата натрия.

Барбитураты можно также титровать в присутствии индикатора тимолфталеина в среде этанола или ацетона. Водно-спиртовые растворы усиливают кислую реакцию. Присутствие спирта (ацетона) улучшает растворимость и предотвращает гидролиз образующихся натриевых солей барбитуратов.

Количественное определение бензобарбитала выполняют в спиртовом растворе, титруя его 0,1 М раствором гидроксида натрия до синего окрашивания (индикатор тимоловый синий).

Реакцию взаимодействия производных барбитуровой кислоты с ионом ртути (II), в результате которой образуются нерастворимые в воде соединения, используют для меркуриметрического определения, сочетая его с комплексонометрией. Кислотные формы барбитуратов растворяют в этаноле, натриевые соли - в воде, добавляют 10%-ный раствор ацетата натрия и избыток 0,1 М раствора нитрата ртути (II). Осадок барбитурата ртути (II) отфильтровывают, а в фильтрате комплексонометрическим методом (титрант 0,05 М раствор трилона Б, индикатор ксиленоловый оранжевый) в присутствии гексаметилентетрамина оттитровывают избыток нитрата ртути (II).

В основе меркуриметрического определения лежит реакция между барбитуратом и нитратом ртути (II):


При комплексонометрическом титровании избытка нитрата ртути (II) раствором трилона Б (ЭДТА) образуется комплексное соединение ртути:


Точку эквивалентности устанавливают по изменению окраски индикатора.

Количественное определение барбитуратов и их натриевых солей можно выполнить и аргентометрическим методом, основанным на образовании одно- и двузамешенных солей серебра.

Натриевые соли барбитуратов имеют в водных растворах щелочную реакцию (рН 9-11). Их титруют в водной среде 0,1 М раствором хлороводородной кислоты (индикатор метиловый оранжевый). Процесс основан на гидролизе и нейтрализации образовавшегося гидроксида натрия:


Параллельно выполняют контрольный опыт, чтобы учесть возможную примесь свободной щелочи.

Барбитураты и их натриевые соли можно также количественно определить гравиметрическим методом, осаждая или извлекая кислотные формы барбитуратов. Натриевые соли предварительно переводят в кислотные формы. В качестве экстрагентов используют эфир или хлороформ, который затем отгоняют, остаток сушат и взвешивают. Указанный гравиметрический метод рекомендован ФС для количественного определения тиопентала натрия. Он основан на многократном извлечении хлороформом (после подкисления хлороводородной кислотой) 5-(1-метилбутил)-5-этил-2-тиобарбитуровой кислоты. После отгонки хлороформа и высушивания этой кислоты должно быть 84,0-87,0% (в пересчете на сухое вещество). По МФ хлороформные извлечения выпаривают досуха (на водяной бане) и остаток растворяют в диметилформамиде. Затем титруют, используя в качестве титранта 0,1 М раствор метилата лития (индикатор тимоловый синий). Кроме того, в тиопентале-натрии устанавливают содержание карбоната натрия (10,0-11,0%) путем титрования 0,1 М раствором хлороводородной кислоты (индикатор метиловый красный). Тиопентал-натрий можно определить йодхлорометрическим методом, основанным на окислении серы избытком 0,25 М раствора йодмонохлорида при температуре 80-90°С.

Для количественной оценки барбитуратов и их натриевых солей используют спектрофотометрическое определение в области 239-240 нм. Растворителями при этом служат боратный буферный раствор с рН 10 (барбитал, гексобарбитал-натрий) или 1%-ный раствор аммиака (фенобарбитал). В указанных условиях барбитал имеет максимум поглощения при 240 нм (550), барбитал-натрий при 239 нм (500), фенобарбитал при 240 нм (440), гексобарбитал-натрий при 224 нм (340). тиопентал-натрий при 255 нм (363), 305 нм (825) и 239 нм (488). В скобках указана величина удельного показателя поглощения, по которой рассчитывают содержание барбитурата. Разработана унифицированная методика спектрофотометрического определения фенобарбитала в таблетках при длине волны 240 нм (растворитель боратный буферный раствор с рН 9,6-9,8). В аналогичных условиях, но при 257 нм определяют бензобарбитал. Известны многочисленные методики фотометрического определения барбитуратов в лекарственных формах, основанные на рассмотренных выше цветных реакциях.

2.7 Хранение и применение барбитуратов


Барбитураты и их натриевые соли хранят по списку Б в хорошо укупоренной таре. Фенобарбитал и бензобарбитал следует хранить в банках из темного стекла, в защищенном от света месте. Гексобарбитал-натрий и тиопентал-натрий хранят в стеклянных флаконах по 0,5-1,0 г, герметически закрытых резиновыми пробками, обжатыми алюминиевыми колпачками, в сухом, прохладном, защищенном от света месте. Такие условия хранения необходимы, так как эти соли барбитуратов вводят внутривенно, а под влиянием света и кислорода воздуха они постепенно разлагаются.

Производные барбитуровой кислоты применяют как успокаивающие и снотворные средства. Бензобарбитал назначают в качестве противоэпилептического средства. Барбитал назначают внутрь перед сном по 0,25-0,5 г; фенобарбитал - с той же целью по 0,1-0,2 г. Гексобарбитал-натрий (в виде 1-2%-ных растворов) и тиопентал-натрий (2,0-2,5%-ные растворы) применяют для вводного наркоза внутривенно.

Глава 3. Практическая часть

 

.1 Методика исследования


Таблетки Барбамил - 0,2 г.


Описание. Таблетки белого цвета, гигроскопичны.

Подлинность.

. 0,5 г порошка растертых таблеток встряхивают с 10 мл воды, фильтруют. К 1 мл фильтрата, после прибавления 2 мл 95% спирта, прибавляют 1 каплю раствора хлорида кальция и 2 капли раствора нитрата кобальта; появляется сине-фиолетовое окрашивание.

. К оставшейся часть фильтрата прибавляют 0,2 мл раствора гидрокарбоната и карбоната калия и 0,1 мл раствора сульфата меди; выпадает осадок розовато-сиреневого цвета, не изменяющийся при стоянии.

. Оставшаяся часть фильтрата дает характерную реакцию Б на натрий: раствор подкисляют разведенной уксусной кислотой, затем прибавляют 0,5 мл раствора цинк-уранил-ацетата; образуется желтый кристаллический осадок.

Количественное определение. Порошок растертых таблеток в количестве около 0,5 г (точная навеска) растворяют в 30 мл свежепрокипяченной и охлажденной воды и титруют 0,1 н. раствором соляной кислоты до появления розового окрашивания (индикатор - метиловый оранжевый).

мл 0,1 н. раствора соляной кислоты соответствует 0,02483 г С11Н17N2NaО3, которого соответственно должно быть 0,185-0,210 г, считая на средний вес одной таблетки.

Применение. Снотворное средство. Хранение. Список Б.

 

.2 Результаты исследования


Название и лекарственная форма препарата

Показатель

№ п/п

Методика исследования

Барбамил Таблетки по 0,2 г  

Подлинность

1

0,5 г порошка растертых таблеток встряхивают с 10 мл воды, фильтруют. К 1 мл фильтрата, после прибавления 2 мл 95% спирта, прибавляют 1 каплю раствора хлорида кальция и 2 капли раствора нитрата кобальта; появляется сине-фиолетовое окрашивание.



2

К оставшейся часть фильтрата прибавляют 0,2 мл раствора гидрокарбоната и карбоната калия и 0,1 мл раствора сульфата меди; выпадает осадок розовато-сиреневого цвета, не изменяющийся при стоянии.



3

Оставшаяся часть фильтрата подкисляют разведенной уксусной кислотой, затем прибавляют 0,5 мл раствора цинк-уранил-ацетата; образуется желтый кристаллический осадок.

Барбамил Таблетки по 0,2 г

Количествен ное определение

4

Порошок растертых таблеток в количестве около 0,5 г (точная навеска) растворяют в 30 мл свежепрокипяченной и охлажденной воды и титруют 0,1 н. раствором соляной кислоты до появления розового окрашивания (индикатор - метиловый оранжевый). 1 мл 0,1 н. раствора соляной кислоты соответствует 0,02483 г С11Н17N2NaО3, которого соответственно должно быть 0,185-0,210 г, считая на средний вес одной таблетки.


Выводы

Барбитуровая кислота представляет собой циклический уреид - продукт конденсации мочевины с двухосновной малоновой кислотой. Она обладает кислыми свойствами за счет водородов метиленовой (=СН2) и имидных групп (=NH), которые могут замешаться на металлы с образованием солей. Барбитуровая кислота существует в двух таутомерных формах.

Барбитуровая кислота сама не является лекарственным препаратом, но она интересна тем, что может давать огромное: число производных, большинство из которых получаются за счет замещения водородов метиленовой группы различными радикалами.

В связи с этим получено огромное число терапевтически активных лекарственных препаратов, главным образом снотворного действия. Некоторые барбитураты наряду со снотворным эффектом проявляют противосудорожное действие (фенобарбитал), другие применяются как наркотические средства (гексенал).

Поскольку барбитураты отличаются друг от друга в основном характером радикалов, а остальная часть молекулы у них одинакова, то они имеют много общего как в способах получения, так и в физических, химических свойствах и методах анализа.

Общий принцип метода получения барбитуратов сводится к конденсации мочевины с диэтиловым эфиром диалкилмалоновой кислоты. Малоновую кислоту в виде эфира берут потому, что свободная кислота может легко декарбоксилироваться, и циклический уреид может не образоваться.

Предварительно в диэтиловый эфир малоновой кислоты вводят соответствующие радикалы одним из химических методов органической химии, например действием металлического натрия и сооответствующего бромистого алкила.

Барбитураты могут вступать в реакцию с солями тяжелых металлов (AgNО3, CuSО4, СоС13 и др.) с образованием комплексов.

С раствором нитрата кобальта Co(NО3)2 в присутствии хлорида кальция все барбитураты образуют комплекс, окрашенный в сине-фиолетовый цвет. Поэтому эта реакция является общей для всех барбитуратов и является фармакопейной.

Реакция сплавления барбитуратов с твердой щелочью также является общей реакцией, так как независимо от характера барбитурата продуктами разложения являются аммиак, карбонат натрия и Na-соль диалкилуксусной кислоты. При подкислении реакционной смеси выделяются пузырьки газа (СО2) и ощущается запах диалкилуксусной кислоты.

В зависимости от характера радикала для каждого барбитурата могут быть различные варианты синтеза.

Барбитураты - мелкокристаллические белые порошки. Кислые формы барбитуратов (барбитал, фенобарбитал) мало растворимы в воде, но растворимы в органических растворителях, растворах щелочей и карбонатов. Барбитураты-соли хорошо растворимы в воде.

Со щелочами барбитураты образуют только однозамещенные соли. Двузамещенные соли настолько легко гидролизуются, что практически не существуют.

Частные реакции на барбитураты определяются главным образом характером радикалов. Так, например, барбитураты, имеющие в качестве одного из радикалов фенильное ядро (фенобарбитал) или циклогексениловое кольцо (гексенал) при нагревании с формалином и концентрированной серной кислотой образуют розовое колечко на границе двух сред (фенобарбитал) или буровато-красное колечко с зеленоватой флюоресценцией (гексенал). Эта реакция рекомендуется ГФ X для Подтверждения подлинности этих препаратов.

ГФ X рекомендует для отличия одного барбитурата от другого реакции с солями тяжелых металлов: с сульфатом меди в присутствии гидрокарбонатного буфера (смесь Na2CO3 и NaHCO3 в определенных соотношениях). При этом в зависимости от индивидуальности барбитурата цвет образующегося комплекса бывает различный.

Индивидуальность барбитуратов-кислот определяется по их температуре плавления, которая вполне определенна для каждого барбитурата.

Натриевые соли барбитуратов (гексенал, барбамил, барбитал-натрий, этаминал-натрий) при действии минеральных кислот выделяют кислые формы соответствующих барбитуратов, которые выпадают в осадок. После высушивания осадка определяют температуру плавления соответствующей кислоты. Эта реакция рекомендуется ГФ X для определения подлинности солей барбитуратов и отличия их друг от друга.

Методы количественного определения барбитуратов основаны на нх химических свойствах.

Поскольку барбитураты проявляют кислые свойства, а натриевые соли их легко гидролизуются с образованием щелочи, основным методом их количественного определения является метод нейтрализации.

Барбитураты-соли (барбитал-натрий, этаминал-натрий, барбамил, гексенал) титруются кислотой по метиловому оранжевому или метиловому красному в присутствии эфира, извлекающего образовавшуюся в процессе титрования кислоту.

Барбитураты - кислоты (барбитал, фенобарбитал) количественно определяют методом кислотно-основного титрования в неводных средах, поскольку их константа диссоциации в водных растворах мала, и они являются слабыми кислотами.

Титрантом в этом случае служит 0,1 и. раствор гидроксида натрия в смеси метанола и бензола или метилат натрия. Неводным растворителем является диметилформамид индикатором служит тимоловый синий или фенолфталеин. Метод фармакопейный.

Физиологическая активность барбитуратов тесно связана с химической структурой их молекул и обусловлена главным образом характером радикалов.

Выпускаются барбитураты в порошке и таблетках. Гексенал- в стеклянных флаконах (1 г), герметически закрытых резиновыми пробками, обжатыми алюминиевыми колпачками. Растворы гексенала для внутривенного наркоза готовят на физиологическом растворе в асептических условиях непосредственно перед употреблением.

Хранить следует в хорошо укупоренной таре. Гигроскопичные препараты - в сухом, прохладном, защищенном от света месте. Все барбитураты относятся к списку Б.

Барбитураты при длительном приеме и повышенных дозах могут вызвать отравление, поэтому применение их должно контролироваться врачом. Долгое время медицина не располагала достаточно эффективными лекарственными средствами для борьбы с отравлениями барбитуратами. Обычно для этой цели использовали стимуляторы центральной нервной системы - стрихнин и др.

Впоследствии было установлено, что специфическим антагонистом барбитуратов является 2-метил-2-этилглутаримид, который получил название бемегрид. Препарат является фармакопейным.

Список использованной литературы


1.   Фармацевтична хімія. Підручник для студентів вищ. фармац. начальних закладів і фарм. фак. вищих мед. навчальних закладів III-IV рівня акредитації / За заг. ред. П.О. Безуглого. - Вінниця: Нова книга, 2008. - 560 с.

2.       Арзамасцев А.П. Фармакопейный анализ - М.: Медицина, 1971.

.        Беликов В.Г. Фармацевтическая химия. В 2 частях. Часть 1. Общая фармацевтическая химия: Учеб. для фармац. ин-тов и фак. мед. ин-тов. - М.: Высш. шк., 1993. - 432 с.

.        Гетероциклические лекарственные вещества. Учебное пособие по фармацевтической химии / Д.В. Крыльский, А.И. Сливкин. - Воронеж: Воронежский государственный университет, 2007. - 234 с.

.        Глущенко Н. Н. Фармацевтическая химия: Учебник для студ. сред. проф. учеб. заведений / Н. Н. Глущенко, Т. В. Плетенева, В. А. Попков; Под ред. Т. В. Плетеневой. - М.: Издательский центр «Академия», 2004. - 384 с.

.        Драго Р. Физические методы в химии - М.: Мир, 1981

.        Кольтгоф И.М., Стенгер В.А. Объемный анализ В 2 томах - М.: Государственное научно-техническое издательство химической литературы, 1950

.        Коренман И.М. Фотометрический анализ - М.: Химия, 1970

.        Коростелев П. П, Фотометрический и комплексометрический анализ в металлургии - М.: Металлургия, 1984, 272 с.

.        Краснов Е.А., Ермилова Е.В. Курс лекций по фармацевтической химии: учебное пособие. В 2-х ч. Ч. 1. Лекарственные средства гетероциклического ряда - Томск: СибГМУ, 2010. - 196 с.

.        Логинова Н. В., Полозов Г. И. Введение в фармацевтическую химию: Учеб. пособие - Мн.: БГУ, 2003.-250 с.

12. Мелентьева Г. А., Антонова Л. А. Фармацевтическая химия. - М.: Медицина, 1985.- 480 с.

.     Фармацевтическая химия: Учеб. пособие / Под ред. Л.П.Арзамасцева. - М.: ГЭОТАР-МЕД, 2004. - 640 с.

14.     Фармацевтический анализ лекарственных средств / Под общей редакцией В.А.Шаповаловой - Харьков: ИМП «Рубикон», 1995

.        Фармацевтичний аналіз: Навч. посіб. для студ. вищ. фармац. навч. закл. III-IV рівнів акредитації/П.О. Безуглий, В. О. Грудько, С. Г. Леонова та ін.; За ред. П.О. Безуглого,- X.: Вид-во НФАУ; Золоті сторінки, 2001.- 240 с.

.        Халецкий A.M. Фармацевтическая химия - Ленинград: Медицина, 1966

.        Эшворт М.Р. Титриметрические методы анализа органических соединений кн.1,2 - М.: Химия, 1972


Не нашли материал для своей работы?
Поможем написать уникальную работу
Без плагиата!
Без нейросетей!