Барбитураты как лекарственные средства, их соответствующие физико-химические и химические свойства, способы и методы анализа

  • Вид работы:
    Дипломная (ВКР)
  • Предмет:
    Медицина, физкультура, здравоохранение
  • Язык:
    Русский
    ,
    Формат файла:
    MS Word
    242,22 kb
  • Опубликовано:
    2011-05-19
Вы можете узнать стоимость помощи в написании студенческой работы.
Помощь в написании работы, которую точно примут!

Барбитураты как лекарственные средства, их соответствующие физико-химические и химические свойства, способы и методы анализа

КУРСОВАЯ РАБОТА

по теме:

Барбитураты как лекарственные средства, их соответствующие

физико-химические и химические свойства, способы и методы анализа

Введение

Барбитураты - класс седативных препаратов, используемых в медицине для снятия синдромов беспокойства, бессонницы и судорожных рефлексов. Все эти препараты являются производными барбитуровой кислоты.

Химическое имя барбитуровая кислота, или малонилмочевина.

На вид вещество представляет собой бесцветные кристаллы, плохо растворимые в холодной воде.

Химическая формула: CONHCOCH2CONH

Синонимы и сленговые названия: английские: barbiturates, barbies, downers, blues, seccies, nembies

История

Впервые барбитуровая кислота была синтезирована в 1863 году известным химиком Адольфом фон Байером (Baeyer, Adolf von 18351917). Поскольку открытие пришлось на 4 декабря день Св. Барбары отсюда произошла первая часть названия кислоты. Вторая же часть от английского слова «urea» - то есть «моча».

Широко использоваться в медицине барбитураты начали с 1903 года, когда на рынок в качестве успокоительного и снотворного средства был выпущен препарат барбитал (зарегистрированное торговое название Veronal). Вскоре препарат получил довольно широкое распространение. Использование барбиту ратов в медицинской практике росло вплоть до середины 1960х годов, однако начало снижаться в последующие годы. Рост потребления барбитуратов был обусловлен возрастающим количеством пациентов, жалующихся на стресс. В таких условиях любое седативное средство изначальноимело на рынке коммерческий успех. Барбитураты успешно помогали бороться с бессонницей, так что недостатка в желающих их попробовать не было. Однако, с ростом популярности препарата, росло и число случаев негативных эффектов в том числе и случаев наркотической зависимости. Эти последствия и привели к спаду применения барбитуратов в медицине. В последнее время их все чаще заменяют более безопасными бензодиазепинами. Тем не менее, барбитураты, как быстродействующие средства, до сих пор используются для срочной анестезии, а также для снятия судорог и предотвращения эпилептических приступов. Сейчас к классу барбитуратов причисляется свыше двух тысяч различных соединений, хотя в медицинских целях используется лишь некоторые из них. Обычно названия препаратов этого класса оканчивается на «ал». Наиболее распространенными являются такие препараты, как фенобарбитал, бензобарбитал, люминал, секонал, нембутал, а также транквилизаторы либриум, валиума теразин.

Употребление и эффекты

Способы употребления

Барбитураты могут употребляться по разному: внутривенно, внутримышечно, перорально, ректально. Соответствующие лекарственные формы препаратов могут встречаться в виде капсул, таблеток, жидкостей, свечей. Наиболее опасный способ применения инъекционный.

Дозировка

Барбитураты хорошо всасываются в желудке и тонком кишечнике. При употреблении в терапевтических дозах их сывороточная концентрация обычно достигает максимума через 1-4 часа.

Считается, что для взрослого летальная доза барбитуратов длительного действия - таких как барбитал и фенобарбитал, около 4,0-5,0 г. Для коротко действующих этаминалнатрия, барбамила - от 2,3 до 3,0 г. Однако, это во многом зависит от индивидуальной чувствительности к барбитуратам в отдельных случаях смерть может наступить после приема 1,0-2,0 г барбитала. Наиболее опасно применять барбитураты для лечения детей: 12 таблетки обычной снотворной дозы для взрослого могут вызвать у ребенка тяжелое или даже смертельное отравление.

Действие

После приема барбитураты начинают действовать через 15-40 минут. Продолжительность действия зависит от типа вещества, и длится в общей сложности от 6ти до 12ти часов. Эффект от барбитуратов во многом схож с действием алкоголя: небольшие дозы успокаивают и способствуют расслаблению мышц; большие дозы могут вызвать нетвердую походку, невнятную речь, замедление рефлексов. Значительные дозы могут привести к коме или летальному исходу. Механизм действия препаратов данного класса основан на подавлении центральной нервной системы. В отличие от опиатов, барбитураты не вызывают ярко выраженной эйфории. Зато они вызывают очень глубокий псевдоздоровый сон, который напоминает крепкий сон младенца. Собственно, этот эффект и заставляет пациентов снова и снова принимать такие препараты. Считается, что барбитураты вызывают «черное и пустое забвение», и к их применению наиболее склонны люди с низкой самооценкой и суицидальными наклонностями.

Вред и зависимость

Динамика барбитуромании схожа с динамикой других видов токсикомании: длительный их прием приводит к повышенной раздражительности, рассеянности, затрудненной концентрации внимания, возможны нарушения памяти. Наблюдаются также гипомимия, смазанная речь, тремор, снижение сухожильных рефлексов и другие неврологические нарушения. В отдельных случаях состояние пациента приближается к псевдопаралитическому. Что касается зависимости, то она гораздо сильнее опиатной. Абстиненция обычно протекает очень тяжело: уже на вторые третьи сутки после прекращения приема возникают бессонница, тревога, мышечные судороги, тошнота и рвота. Абстинентный синдром в отдельных случаях может вызывать эпилептические припадки, кому или даже смерть. Длительный прием барбитуратов вызывает глубокие психологические сдвиги и нередко приводит к суициду. Лечение от барбитуратной зависимости на начальном этапе должно проходить в стационаре, где больному постепенно снижают дозу принимаемых препаратов. Опасность передозировки существенно возрастает, если препараты вводятся внутривенно. Оперативная помощьприпередозировкезаключается в первую очередь в удалении барбитуратов из желудочнокишечного тракта. Самый простой способ - принять активированный уголь. В случае остановки дыхания необходимо применять метод искусственного дыхания, поддерживая работу сердца и легких вплоть до приезда скорой помощи.

Диагностика и лечение

Как уже говорилось, барбитураты вызывают угнетение ЦНС от легкого полусонного состояния вплоть до глубокой комы. Зрачки сужаются. Симптомы достигают своего максимума через 46 часов после приема, в случае употребления препаратов длительного действия через 10 часов и более. Наибольшая опасность применения барбитуратов связана с передозировкой. Без медицинского присмотра принимать эти препараты очень опасно, поскольку во время барбитуратного сна есть вероятность захлебнуться рвотой или просто не проснуться.

Барбитураты и методы их исследования

В современной медицине применяется большое число барбитуратов (производных барбитуровой кислоты). Барбитураты представляют собой одну из групп веществ, имеющих большое токсикологическое значение. Сама барбитуровая кислота (малонилмочевина) не применяется в медицине, зато широко используются ее производные. Барбитуровая кислота со щелочами образует соли. Кислотные свойства барбитуровой кислоты обусловлены наличием атомов водорода в - NH-группах, находящихся рядом с карбонильной группой -СО-. Применяемые в медицине барбитураты являются 5,5-замещен-ными (барбамил, барбитал, фенобарбитал и др.) и 1,5,5-замещен-ными (гексенал, гексабарбитал, бензонал и др.) барбитуровой кислоты.

Обнаружение барбитуратов

Для обнаружения барбитуратов применяются цветные реакции, реакции осаждения, микрокристаллоскопические реакции, методы хроматографии, УФ- и ИК-спектроскопии и др.

Предварительная проба

Для обнаружения барбитуратов в моче применяют предварительную пробу, основанную на реакции этих веществ с ацетатом кобальта и гидроксидом лития. В делительную воронку вносят 50 мл мочи, к которой по каплям прибавляют 10 %-й раствор серной кислоты до рН = 4...5 и 50 мл диэтилового эфира. Содержимое делительной воронки взбалтывают. После разделения фаз отделяют эфирную вытяжку. Водную фазу еще раз взбалтывают с 50 мл диэтилового эфира.

Эфирные вытяжки соединяют и выпаривают досуха. Сухой остаток растворяют в 1 мл хлороформа. К хлороформному раствору прибавляют 2 капли свежеприготовленного 1 %-го раствора ацетата кобальта в метиловом спирте и несколько капель свежеприготовленного 1 %-го раствора гидроксида лития в метиловом спирте. После прибавления каждой капли указанных реактивов жидкость взбалтывают. Появление голубой окраски указывает на наличие барбитуратов в моче.

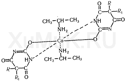
Реакция барбитуратов с изопропиламином и солями кобальта

Для обнаружения барбитуратов Парри (1924) предложил реакцию, основанную на взаимодействии этих веществ с солями кобальта и аммиаком. Позднее другие исследователи аммиак заменили изопропиламином. При взаимодействии барбитуратов с изопропиламином и солями кобальта образуются внутриком-плексные соединения:


Выполнение реакции

К 2 мл хлороформного раствора исследуемого вещества прибавляют 0,3 мл 1 %-го раствора ацетата кобальта в безводном этиловом спирте и 1 мл 5 %-го раствора изопропиламина в этиловом спирте. При наличии барбитуратов появляется фиолетовое окрашивание. Вместо этилового спирта можно использовать метиловый спирт.

Реакция с солями кобальта и щелочами

Цвиккер (1931) установил, что от прибавления хлорида кобальта и гидроксида бария к барбитуратам образуется окрашенное соединение. В 1932 г. Цвиккер вместо гидроксида бария применил гидроксид калия. Другие исследователи вместо гидроксида бария применяли гидроксид лития.

Выполнение реакции

Исследуемое вещество или остаток, полученный после выпаривания вытяжек из соответствующих объектов, растворяют в 0,2-0,5 мл абсолютного этилового спирта. К этому раствору прибавляют 1-2 капли 1 %-го раствора ацетата кобальта в абсолютном этиловом спирте и 1-2 капли 1 %-го раствора гидроксида калия в абсолютном этиловом спирте. При наличии барбитуратов появляется розовая или красная окраска.

Выполнению этой реакции мешает вода, которая разлагает окрашенное соединение. Поэтому при выполнении указанной реакции используют реактивы, растворенные в абсолютном этиловом или метиловом спирте. Оттенок и интенсивность окраски зависят от применяемого спирта, что объясняется различной соль-ватирующей способностью образовавшихся соединений этими спиртами. Указанную реакцию дают некоторые гидантоины, сульфаниламидные препараты, пурины, пиримидины и др.

Реакция с пиридином и солями меди

При взаимодействии барбитуратов с пиридином и солями меди образуются труднорастворимые комплексные соединения.

Под влиянием пиридина происходят енолизация и частичная ионизация барбитуратов. Пиридин с ионами меди образует положительно заряженный комплексный ион [Cu(Py)] 2+. При взаимодействии комплекса пиридина с ионами меди и ионизированными молекулами барбитуратов образуется внутрикомплексное соединение:

Минеральные кислоты разлагают это соединение

Осадки, образующиеся при взаимодействии барбитуратов с солями меди и пиридином, могут быть аморфными и кристаллическими.

Выполнение реакции

На предметное стекло наносят несколько капель раствора исследуемого вещества в хлороформе и выпаривают досуха. К сухому остатку прибавляют 2 капли 10 %-го раствора аммиака и 1-2 капли реактива (раствор сульфата меди в аммиаке и пиридине). При наличии барбитуратов через 10-15 мин появляются кристаллические или аморфные осадки.

Мурексидная реакция

Для обнаружения барбитуратов предложено несколько вариантов мурексидной реакции. Один из вариантов этой реакции приводится ниже. В фарфоровую чашку к сухому остатку, полученному после выпаривания вытяжек из биологического материала, или к небольшому количеству сухого вещества прибавляют 3 капли 3 %-го раствора пероксида водорода и 3 капли реактива, содержащего соль Мора и хлорид аммония. Содержимое чашки выпаривают, сухой остаток нагревают до появления белых паров. После охлаждения прибавляют 3 капли 6 н. раствора аммиака. При наличии некоторых барбитуратов и тиобарбитуратов появляется розовая окраска. Мурексидную реакцию дают барбамил, барбитал, фенобарбитал, этаминал-натрий и тиопентал. Не дают этой реакции гек-сенал, гексобарбитал и циклобарбитал (В.И. Попова).

Выделение кислотной формы барбитуратов

На предметное стекло наносят несколько капель раствора барбитурата в хлороформе, который выпаривают при комнатной температуре. После выпаривания исследуемого раствора на то же место наносят следующую каплю этого раствора, который также выпаривают досуха. Сухой остаток растворяют в одной капле концентрированной серной кислоты. Через 3-5 мин после охлаждения раствора рядом с ним наносят каплю воды. Затем эти капли соединяют при помощи капилляра. Через 10-20 мин (а при малых количествах барбитуратов через 1,2ч) появляются кристаллические осадки. Для каждого барбитурата кристаллы имеют определенную форму. Гадамер, а также К.П. Стюарт и А. Стольман указывают, что многие барбитураты могут находиться в нескольких полиморфных модификациях. Поэтому при идентификации барбитуратов по форме кристаллов необходимо учитывать возможность появления нескольких кристаллических форм одного и того же вещества.

Реакция с хлорцинкиодом

На предметное стекло наносят несколько капель хлороформного раствора исследуемого вещества и выпаривают досуха. К сухому остатку прибавляют 1 каплю раствора хлорцинкиода. Через 10-15 мин под микроскопом наблюдают форму образовавшихся кристаллов. При наличии барбитуратов (барбамил, барбитал, бутобарбитал, эта-минал) в исследуемом растворе появляются кристаллические осадки.

Реакция со смесью растворов хлорида железа и иодида калия

На предметное стекло наносят несколько капель раствора исследуемого вещества в хлороформе. Этот раствор выпаривают досуха. К сухому остатку прибавляют каплю реактива. Через 10- 15 мин под микроскопом наблюдают форму образовавшихся кристаллов, которые появляются при наличии ряда барбитуратов (барбамил, бутобарбитал, фенобарбитал, этаминал).

Реакция с дииодокупратом калия в растворе иода

На предметное стекло к сухому остатку, полученному после выпаривания раствора исследуемого вещества, прибавляют каплю реактива. При наличии барбитуратов (барбамил, бутобарбитал, этаминал) образуются кристаллические осадки.

Реакция с подкисленным спиртовым раствором иодида калия

На предметное стекло к сухому остатку, полученному при выпаривании исследуемого раствора, наносят 2 капли реактива. При наличии барбитуратов (барбитал, бутобарбитал, гексенал, этаминал) через 10-15 мин появляются кристаллические осадки.

Реакция с родамином 6Ж

При взаимодействии родамина 6Ж с солями барбитуратов (барбамил, гексенал, этаминал-натрий) образуются окрашенные ионные ассоциаты, экстрагируемые четыреххлористым углеродом.

Выполнение реакции

В делительную воронку вносят 0,1 мл раствора исследуемого вещества, прибавляют 0,2 мл 0,1 %-го раствора родамина 6Ж и 1 мл четыреххлористого углерода. Смесь взбалтывают в течение 1 мин. При наличии солей барбитуратов слой четыреххлористого углерода приобретает светло-оранжевую или оранжево-красную окраску. Эта реакция пригодна для обнаружения барбамила, гексена-ла и этаминал-натрия в фармакопейных препаратах и в лекарственных смесях (В.И. Попова).

Обнаружение барбитуратов по спектрам поглощения в УФ-области

Описанный ниже метод позволяет обнаружить отдельные барбитураты и определить принадлежность их к соответствующим группам барбитуратов.

К сухому остатку, полученному при выпаривании вытяжек из биологического материала или лекарственных форм, прибавляют 5 мл воды. После растворения сухого остатка полученный раствор фильтруют, затем к фильтрату прибавляют 1 каплю 2 н. раствора аммиака (рН~10) и снимают спектр поглощения. При этом 5,5-замещенные (барбамил, барбитал, бутобарбитал, фенобарбитал, циклобарбитал, этаминал) и 1,5,5-замещенные (гексенал, гексобарбитал) барбитуровой кислоты имеют максимум поглощения при длине волны около 240 нм, а производные тиобарбитуровой кислоты имеют 2 максимума (при 305 и при 255 нм). Если к этому раствору прибавить 1-2 капли 2 н. раствора серной кислоты (рН~2), то максимум поглощения 1,5,5- и 5,5-замещенных барбитуровой кислоты исчезает. В этих условиях для тиобарбитуратов максимумы поглощения смещаются до 290 и 239 нм. После прибавления к указанным растворам 1-2 капель 4 н. раствора гидроксида натрия (рН~13) появляется максимум поглощения 1,5, 5-замещенных барбитуровой кислоты при 240 нм, а для 5,5-производных этой кислоты - при 255 нм. Для тиобарбитуратов появляется максимум при 305 нм, а второй максимум исчезает. Обнаружение барбитуратов методом хроматографии в тонком слое сорбента. Для обнаружения барбитуратов применяют метод хроматографии в тонком слое сорбента. Этот метод позволяет не только обнаружить отдельные барбитураты, но и отличить их друг от друга.

Способы обнаружения отдельных барбитуратов приведены ниже.

барбитурат препарат седативный фармакологический

Для количественного определения барбитуратов, выделенных из биологического материала, применяют фотоколориметрические и спектрофотометрические методы. Один из фотоколориметрических методов количественного определения барбитуратов, разработанный В. И. Поповой, приводится ниже. Сухие остатки барбитуратов, выделенных из биологического материала методом изолирования этих веществ водой, подкисленной серной кислотой (см. выше), в зависимости от исследуемого барбитурата растворяют в хлороформе или в метиловом спирте. Сухие остатки барбитала, гексенала, фенобарбитала и циклобарбитала растворяют в 6 мл хлороформа, а сухие остатки барба-мила и этаминала - в 2 мл метилового спирта. Объемы растворов барбамила и этаминала в метиловом спирте доводят хлороформом до 6 мл. К полученным растворам барбитуратов прибавляют по 5 мл 0,125 %-го раствора ацетата кобальта в метиловом спирте и по 1 мл 50 %-го раствора изопропиламина в метиловом спирте. Оптическую плотность окрашенных в фиолетовый цвет растворов измеряют при помощи фотоэлектроколориметра ФЭК-М (светофильтр зеленый, кювета 20 мм) или с помощью другой марки фотоэлектроколориметра. В качестве раствора сравнения применяют смесь перечисленных выше реактивов.

Барбамил

Барбамил (амитал-натрий, амобарбитал-натрий, амилобарбитал-натрий) - 5-изоамил-5-этилбарбитурат натрия - белый аморфный гигроскопический порошок без запаха. Хорошо растворяется в воде и этиловом спирте, практически нерастворим в диэтиловом эфире, экстрагируется органическими растворителями из кислых водных растворов.

Применение. Действие на организм. Барбамил оказывает снотворное действие, а в более высоких дозах он проявляет наркотические свойства. Этот препарат применяется в качестве успокаивающего и противосудорожного средства. Выпускают его в виде порошков и таблеток; входит в состав таблеток «бромитал», «барбафен» и др.

Метаболизм. Часть барбамила выделяется из организма с мочой в неизмененном виде. Около 45 % барбамила подвергается различным превращениям. В качестве метаболита барбамила является 5-этил-5-(3-гидрокси-3-метилбутил)-барбитуровая кислота, которая выделяется с мочой. В моче обнаружено еще 2 метаболита барбамила, состав которых не установлен.

Обнаружение барбамила

1. Барбамил с изопропиламином и солями кобальта дает фиолетовую окраску.

. При взаимодействии барбамила с солями кобальта и щелочами появляется розовая или красная окраска.

. Барбамил дает положительную мурексидную реакцию.

. Барбамил с родамином 6Ж образует ионный ассоциат, раствор которого в четыреххлористом углероде имеет оранжевую окраску.

. При действии H 2 SO 4 на барбамил выделяется кислотная форма этого препарата, образуется осадок, частицы которого имеют форму пластинок или призм, сгруппированных в виде сфероидов. Предел обнаружения: 21 мкг барбамила в пробе.

. Хлорцинкиод с барбамилом образует темно-красные или золотистые прямоугольные пластинки или сростки из них. Предел обнаружения: 7 мкг барбамила в пробе.

. Барбамил со смесью, растворов хлорида железа (III) и иодида калия образует кристаллический осадок (призмы или сростки из них) оранжево-коричневого или коричневого цвета. Предел обнаружения: 1,8 мкг барбамила в пробе.

. Дииодокупрат калия в растворе иода с барбамилом образуют призматической формы кристаллы или сростки из них. Предел обнаружения: 2,1 мкг барбамила в пробе.

. Обнаружение барбамила по УФ-и ИК-спектрам. Способ обнаружения барбамила по светопоглощению в УФ-области спектра описан выше

В ИК-области спектра барбамил (диск с бромидом калия) имеет основные пики при 1716, 1689 и 1745 см -1.

. Обнаружение барбамила методом хроматографии. На хроматографической пластинке (9X12 см), покрытой тонким слоем силикагеля, закрепленным гипсом, отмечают линию старта, на которую наносят каплю хлороформной вытяжки из кислого раствора, а правее на расстоянии 2 см от нее наносят каплю раствора «свидетеля» (0,01 %-й раствор препарата в метиловом спирте). Пятна на пластинке подсушивают на воздухе, а затем пластинку помещают в камеру для хроматографирования, насыщенную парами растворителей (хлороформ- н -бутанол-25 %-й раствор аммиака в соотношении 70 : 40 : 5). Когда фронт растворителей поднимется на 10 см выше линии старта, пластинку вынимают из камеры, подсушивают и опрыскивают 0,02 %-м хлороформным раствором дифенилкарбазида, затем раствором сульфата ртути.

При наличии барбамила пятна на хроматограмме приобретают сине-фиолетовую или красно-фиолетовую окраску.

Барбитал

Барбитал (веронал)-5,5-диэтилбарбитуровая кислота-представляет собой белый кристаллический порошок. В качестве фармацевтического препарата применяется натриевая соль барбитала, которая называется мединал. Барбитал растворяется в этиловом спирте (1 : 15), диэтиловом эфире (1 : 40), хлороформе (1 : 75), воде (1 : 160). Он также растворяется в растворах щелочей и карбонатов щелочных металлов. Мединал растворяется в воде (1:5), слабо растворяется в этиловом спирте (1 :600), практически не растворяется в диэтиловом эфире и хлороформе.


Барбитал экстрагируется органическими растворителями из кислых водных растворов.

Применение. Действие на организм. Барбитал применяется в качестве успокаивающего и снотворного средства. Он относится к барбитуратам продолжительного действия. Иногда его назначают больным в смесях с бромидами, амидопирином, антипирином и др. Барбитал по сравнению с другими барбитуратами медленно всасывается из пищевого канала и еще медленее выделяется из организма. Его можно обнаружить в организме даже через 10 суток после приема.

Метаболизм. Большая часть дозы принятого барбитала выделяется с мочой в неизмененном виде. Незначительная часть дозы этого препарата выделяется с мочой в виде метаболитов, к числу которых относятся: 5-этил-5-β-оксиэтилбарбитуровая кислота, ее глюкуронид и 5-этил-барбитуровая кислота.

Обнаружение барбитала

. Барбитал с изопропиламином и солями кобальта дает фиолетовую окраску.

. От прибавления солей кобальта и щелочей к барбиталу появляется розовая или красная окраска.

. Барбитал дает мурексидную реакцию.

. После прибавления серной кислоты к барбиталу образуется кислотная форма этого препарата. Под микроскопом наблюдается появление бесцветных прозрачных прямоугольных призм. Предел обнаружения: 80 мкг барбитала в пробе.

. При взаимодействии барбитала с раствором хлорцинкиода образуются темно-красные, фиолетовые или серовато-розовые прямоугольные пластинки. Предел обнаружения: 4 мкг барбитала в пробе.

. Барбитал с солями меди и пиридином образует фиолетовые кристаллы, имеющие форму прямоугольников, друз или звездочек. Предел обнаружения: 14 мкг барбитала в пробе.

Выполнение перечисленных реакций описано выше

. Обнаружение барбитала по УФ- и ИК-спектрам. Способ обнаружения барбитала и других барбитуратов по УФ-спектрам описан выше

В ИК-области спектра барбитал (диск с бромидом калия) имеет основные пики при 1674, 1754, 1380 и 1707 см -1.

. Обнаружение барбитала методом хроматографии. Для обнаружения барбитала методом хроматографии применяется тот же способ, который описан для обнаружения барбамила (см. гл. V, § 13).

При наличии барбитала на хроматограмме появляются фиолетово-синие или красно-фиолетовые пятна.

Фенобарбитал

Фенобарбитал (люминал) -5-фенил-5-этилбар-битуровая кислота - белый кристаллический порошок слабогорького вкуса, растворяется в этиловом спирте (1 : 15), хлороформе (1 : 50), в растворах щелочей, слабо растворяется в воде (1 : 1000).


Фенобарбитал экстрагируется органическими растворителями из кислых водных растворов.

Применение. Действие на организм. Фенобарбитал оказывает снотворное, успокаивающее и противосудорожное действие. Он применяется для лечения эпилепсии, хореи и других заболеваний. В малых дозах фенобарбитал применяется при начальных стадиях гипертонической болезни, стенокардии и др. Фенобарбитал, по сравнению с другими барбитуратами, относительно медленно всасывается из пищевого канала и имеет продолжительное действие.

Метаболизм. Фенобарбитал метаболизируется несколькими путями. Основными метаболитами фенобарбитала являются 5-этил-5- п -гидроксифенилбарбитуровая кислота, п -оксифенилбарбитал. Эти метаболиты частично выделяются с мочой в виде глюкуронидов. Некоторое количество фенобарбитала превращается в о -оксифенобарбитал. Обнаружены еще 3 метаболита фенобарбитала, состав которых не изучен. Часть принятой дозы фенобарбитала выделяется с мочой в неизмененном виде.

Обнаружение фенобарбитала

1. При взаимодействии фенобарбитала с изопропиламином и солями кобальта появляется фиолетовая окраска.

. Фенобарбитал с солями кобальта и щелочью дает розовую или красную окраску.

. Фенобарбитал можно обнаружить при помощи реакции образования мурексида.

. От прибавления концентрированной серной кислоты к фенобарбиталу образуется кристаллический осадок кислотной формы этого препарата (бесцветные игольчатые кристаллы, сростки из них, сфероиды). Предел обнаружения: 41 мкг фенобарбитала в пробе.

. Фенобарбитал со смесью соли железа (III) и иодида калия образует оранжево-коричневые или коричневые кристаллы (призмы и их сростки). Предел обнаружения: 4 мкг фенобарбитала в пробе.

Способы выполнения перечисленных реакций приведены выше (см. гл. V, § 12).

. Реакция образования п-нитрофенилэтилбарбитуровой кислоты. Небольшое количество вещества растворяют в 3 мл концентрированной серной кислоты. К этому раствору прибавляют 0,5 г нитрата калия и нагревают в течение 10 мин на кипящей водяной бане. Затем жидкость охлаждают и прибавляют 10 мл воды. При наличии фенобарбитала образуется кристаллический осадок /г-нитрофенилэтилбарбитуровой кислоты. Осадок отфильтровывают и перекристаллизовывают из этилового спирта. Высущенный осадок имеет температуру плавления 279 °С. Нитрогруппу в /г-нитрофенилэтилбарбитуровой кислоте можно восстановить в аминогруппу, а затем п -аминофенилэтилбарбитуровую кислоту можно обнаружить при помощи реакции диазотирования. Эта реакция специфична для фенобарбитала, но малочувствительна. Ее можно использовать для обнаружения фенобарбитала в порошках, таблетках и др. Эту реакцию дает и бензонал. Ее не дают барбитураты, не содержащие фенильной группы.

. Обнаружение фенобарбитала по УФ- и ИК-спектрам. Обнаружение фенобарбитала по УФ-спектрам производится так, как и обнаружение других барбитуратов (см. гл. V, § 12). В ИК-области спектра фенобарбитал (диск с бромидом калия) имеет основные пики при 1703, 1756 и 1406 см -1.

. Обнаружение фенобарбитала методом хроматографии. Условия обнаружения фенобарбитала методом хроматографии в тонком слое силикагеля такие же, как и условия обнаружения барбамила (см. гл. V, § 13).

Бутобарбитал

Бутобарбитал - 5-бутил-5-этил-барбитуровая кислота - белый кристаллический порошок или белые гранулы слабогорького вкуса, без запаха, растворяется.


Бутобарбитал экстрагируется органическими растворителями из кислых водных растворов.

Применение. Действие на организм. Бутобарбитал является барбитуратом средней продолжительности действия на организм. Он входит в состав таблеток «беллоид», который кроме бутобарбитала содержит эрготоксин и сумму алкалоидов белладонны.

Метаболизм. Метаболитом бутобарбитала является 5-(3'-гид-роксибутил) -5-этилбарбитуровая кислота.

Обнаружение бутобарбитала

1. При взаимодействии бутобарбитала с изопропиламином и солями кобальта появляется фиолетовая окраска.

. Бутобарбитал с солями кобальта и щелочами образует соединение, имеющее розовую или красную окраску.

. При взаимодействии бутобарбитала с пиридином и солями меди образуются фиолетовые сростки в виде сфероидов. Предел обнаружения: 16 мкг бутобарбитала в пробе.

. От прибавления к бутобарбиталу концентрированной серной кислоты образуются кристаллы в виде прозрачных призм и сростков из них. Предел обнаружения: 16 мкг бутобарбитала в пробе.

. Хлорцинкиод с бутобарбиталом дает ромбической формы кристаллы или сростки из них, имеющие темно-коричневую окраску. Предел обнаружения: 6 мкг бутобарбитала в пробе.

. При взаимодействии бутобарбитала со смесью хлорида железа (III) и иодида калия образуются призматические кристаллы, имеющие коричневую или оранжевую окраску. Предел обнаружения: 6 мкг бутобарбитала в пробе.

. Бутобарбитал с дииодокупратом калия в растворе иода образует осадок, частицы которого напоминают форму чечевицы. Предел обнаружения: 6 мкг бутобарбитала в пробе.

Выполнение перечисленных реакций описано выше (см гл. V, § 12).

Обнаружение бутобарбитала по УФ- и ИК-спектрам. Обнаружение барбитуратов, в том числе и бутобарбитала, по спектрам поглощения в УФ-области описано выше (см. гл. V, § 12). В ИК-области спектра бутобарбитал (диск с бромидом калия) имеет основные пики при 1683, 1712 и 1745 см- 1.

Этаминал-натрий

Этаминал-натрий (нембутал, пен-тобарбитал-натрий, пентал) - 5-этил-5-(2-амил)-барбитурат натрия - представляет собой белый порошок, растворимый в воде и этиловом спирте, практически не растворимый в диэтиловом эфире. Этаминал экстрагируется органическими растворителями из кислых водных растворов.


Применение. Действие на организм. Этаминал по строению и действию близок к барбамилу. Однако этаминал-натрий быстрее разлагается в организме и действует менее продолжительно, чем барбамил. Этаминал применяется как снотворное средство.

Метаболизм. Этаминал-натрий быстро всасывается из пищевого канала и подвергается метаболизму. Основными метаболитами этаминал-натрия являются: этил-5-(окси-3-метил-1-бутил)--5-барбитуровая кислота, метил-5-(окси-3-метил-1-бутил)-5-барбитуровая кислота, этил-5-(карбокси-3-метил-1-пропил)-5-барбитуровая кислота. Одним из метаболитов этаминал-натрия является мочевина.

Обнаружение этаминал-натрия

1. Этаминал-натрий дает фиолетовую окраску с солями кобальта и изопропиламином.

. С солями кобальта и щелочами этаминал-натрий дает розовую окраску.

. Этаминал-натрий дает реакцию образования мурексида.

. Этаминал-натрий дает оранжево-красную окраску с родамином 6Ж.

Окрашенное соединение хорошо экстрагируется четыреххло-ристым углеродом. Эта реакция может быть использована для обнаружения этаминал-натрия в порошках, таблетках и др.

. После прибавления концентрированной серной кислоты к этаминал-натрию через 10-15 мин образуется осадок (сростки из призматических кристаллов). Предел обнаружения: 5 мкг этаминал-натрия в пробе.

. При взаимодействии этаминал-натрия с хлорцинкиодом образуется коричневый или оранжево-коричневый кристаллический осадок (призмы или сростки из них). Предел обнаружения: 4 мкг этаминал-натрия в пробе.

. Этаминал-натрий со смесью хлорида железа (III) и иодида калия дает кристаллический осадок коричневого или оранжево-коричневого цвета (призмы и сростки из них). Предел обнаружения: 0,5 мкг этаминал-натрия в пробе.

. Обнаружение этаминала-натрия по УФ- и ИК-спектрам.

Этаминал, как и некоторые другие барбитураты, являющиеся производными 5,5-барбитуровой кислоты, определяют по светопоглощению в УФ-области спектра так, как описано выше; в ИК-области спектра этаминал (диск с бромидом калия) имеет основные пики при 1685, 1719 и 1744 см -1.

. Обнаружение этаминала методом хроматографии. На хроматографической пластинке, покрытой закрепленным тонким слоем силикагеля, отмечают линию старта, на которую наносят каплю хлороформной вытяжки из биологического материала или каплю хлороформного раствора исследуемого вещества. Правее на расстоянии 2 см от нее на линию старта наносят каплю раствора «свидетеля» (0,01 %-й раствор препарата в метиловом спирте). Пятна на пластинке подсушивают на воздухе, а затем пластинку вносят в камеру для хроматографирования, насыщенную парами растворителей (хлороформ - бензол - ацетон в соотношении 70 : 15 : 15). После того как система растворителей поднимется на 10 см выше линии старта, пластинку вынимают из камеры, подсушивают на воздухе, а затем опрыскивают смесью, состоящей из 0,25 г безводного сульфата меди, 1,5 мл диэтиламина и 48,5 мл метилового спирта. Пластинку дополнительно опрыскивают насыщенным раствором нитрата ртути (I).

При наличии этаминала в пробе на желтом фоне хроматографической пластинки появляются черные пятна (Rf = 0,58...0,62).

Бензонал

Бензонал (бензобарбитал) - 1-бензо-ил-5-этил-5-фенилбарбитуровая кислота - представляет собой белый кристаллический порошок горького вкуса.

Растворимость. Бензонал трудно растворяется в воде и этиловом спирте, легче - в диэтиловом эфире, хлороформе и диметилформамиде.


Бензонал экстрагируется органическими растворителями из кислых водных растворов.

Применение. Действие на организм. Бензонал в основном применяется для лечения судорожных форм эпилепсии. Иногда он применяется для лечения больных, страдающих припадками, не сопровождающимися судорогами.

Метаболизм. Метаболитами бензонала являются бензойная кислота и фенобарбитал, который, в свою очередь, подвергается метаболизму (см. гл. V, § 15). Бензонал и его метаболиты в основном выделяются с мочой.

Выделение бензонала из биологического материала. В стакан вносят 100 г измельченного биологического материала, прибавляют 10 мл раствора соляной кислоты (1 : 1), перемешивают и прибавляют 50 г сульфата аммония. Содержимое стакана хорошо перемешивают и прибавляют 200 мл смеси равных объемов этилового спирта и хлороформа. Смесь биологического материала с указанными растворителями настаивают в течение 2 ч при постоянном перемешивании. Вытяжку сливают с твердых частиц биологического материала и фильтруют через плотный бумажный фильтр, который затем промывают 5-10 мл смеси этилового спирта и хлороформа (1 : 1). Фильтрат и промывную жидкость переносят в делительную воронку и оставляют для разделения фаз. Водную фазу, насыщенную сульфатом аммония, отделяют и в дальнейшем не исследуют. Слой органических растворителей выпаривают досуха. К сухому остатку прибавляют 200 мл горячей воды (порциями по 50 мл), полученную жидкость перемешивают и фильтруют. Фильтрат охлаждают и взбалтывают с тремя порциями хлороформа (20, 15 и 15 мл). Хлороформные вытяжки соединяют и взбалтывают с 10 мл фосфатного буферного раствора (рН = 7,4) в течение 5 мин. Хлороформный слой отделяют от водной фазы (раствор А) и фильтруют через небольшой плотный бумажный фильтр, смоченный хлороформом. Фильтрат собирают в мерную колбу вместимостью 50 мл. Объем хлороформной вытяжки доводят хлороформом до метки. Хлороформную вытяжку используют для идентификации и количественного определения бензонала (М.Д. Швайкова с сотр.). Поскольку бензонал частично разлагается в организме на фенобарбитал и бензойную кислоту, наличие последней определяют в водной фазе (в растворе А). С этой целью водную фазу подкисляют раствором соляной кислоты (1 : 1) до рН = 2 и взбалтывают с Ю мл хлороформа. От водной фазы отделяют хлороформную вытяжку, которую исследуют на наличие бензойной кислоты.

Обнаружение бензонала

. Бензонал с изопропиламином и солями кобальта дает фиолетовую окраску

. С солями кобальта и щелочами бензонал дает сине-фиолетовую окраску

. Бензонал можно обнаружить по форме кристаллов, которые образуются после прибавления к нему метилового спирта и концентрированной соляной кислоты. С этой целью на предметное стекло, на котором находится сухой остаток этого препарата, наносят каплю смеси равных объемов метилового спирта и концентрированной соляной кислоты. Жидкость на предметном стекле накрывают покровным стеклом. Через несколько минут в поле зрения под микроскопом появляются ромбической формы кристаллы или сростки из них.

. Обнаружение методом хроматографии. Для обнаружения бензонала используется методика, которая применяется для обнаружения барбамила (см. гл. V, § 13). Пятна бензонала на пластинке имеют Rf = 0,40...0,45

Гексенал

Гексенал (эвипан натрия) - 1,5-диметил-5-(циклогексен-1-ил)-барбитурат натрия - представляет собой натриевую соль гексобарбитала. Это белая или слегка желтоватая пенообразная горькая масса. Под влиянием влаги воздуха гексенал расплывается, а под влиянием углекислого газа - разлагается. Хорошо растворяется в воде, этиловом спирте и хлороформе, слабо - в диэтиловом эфире. Гексенал экстрагируется органическими растворителями из кислых водных растворов.

Применение. Действие на организм. Гексенал проявляет снотворное действие, а в больших дозах он имеет наркотические свойства. Его применяют для наркоза в сочетании с оксидом азота (I), фторотаном и с некоторыми другими веществами. Гексенал и сам может применяться для кратковременного наркоза (продолжительностью 15-20. мин).

Метаболизм. Гексенал относится к барбитуратам короткого периода действия. В организме он подвергается метаболизму несколькими путями. При метаболизме может гидроксилироваться циклогексильная группа гексенала. Образовавшийся при этом продукт гидроксилирования может подвергаться окислению с образованием 3'-кетогексабарбитала. Этот метаболит, в свою очередь, может подвергаться N-деметилированию. Некоторая часть гексенала подвергается метаболизму путем N-деметилирования при атоме азота в третьем положении. В результате этого образуется норгексабарбитал. Определенное количество гексенала, поступившего в организм, метаболизируется путем разрыва цикла барбитуровой кислоты.

Обнаружение гексенала

1. От прибавления солей кобальта и изопропиламина к гексеналу появляется фиолетовая окраска.

. Гексенал с солями кобальта и щелочью дает розовую или красную окраску.

. От прибавления концентрированной серной кислоты к гексеналу образуется осадок, состоящий из сростков игольчатых кристаллов.

. Гексенал с подкисленным спиртовым раствором иодида калия образует кристаллический осадок.

Способы выполнения перечисленных реакций описаны выше.

. Обнаружение гексенала по УФ-спектрам. Гексенал в ходе химико-токсикологического анализа выделяется из биологического материала в виде гексобарбитала, который можно обнаружить по спектрам поглощения.

В ИК-области спектра гексенал (диск с бромидом калия) имеет основные пики при 1712, 1660, 1390, 1358 см -1.

Список литературы

1.       Беликов В.Г., Фармацевтическая химия, M., 2007;

.        Руководство к лабораторным занятиям по фармацевтической химии, под ред. А.П. Арзамасцева, M., 2001;

.        Халецкий А.М. ,Фармацевтическая химия, Л. 1966;

.        Глущенко Н.Н., Плетнева Т.В., Попков В.А., Фармацевтическая химия, М., 2004

Похожие работы на - Барбитураты как лекарственные средства, их соответствующие физико-химические и химические свойства, способы и методы анализа

 

Не нашли материал для своей работы?
Поможем написать уникальную работу
Без плагиата!
Без нейросетей!