Стабильность и сроки годности лекарственных средств

  • Вид работы:
    Реферат
  • Предмет:
    Медицина, физкультура, здравоохранение
  • Язык:
    Русский
    ,
    Формат файла:
    MS Word
    125,72 kb
  • Опубликовано:
    2010-11-25
Вы можете узнать стоимость помощи в написании студенческой работы.
Помощь в написании работы, которую точно примут!

Стабильность и сроки годности лекарственных средств

 















СТАБИЛЬНОСТЬ И СРОКИ ГОДНОСТИ ЛЕКАРСТВЕННЫХ СРЕДСТВ

1. Стабильность как фактор качества лекарственных средств

Стабильность (устойчивость) Л В и его качество тесно связаны между собой. Исследование стабильности ЛС в зависимости от различных факторов, установление сроков годности ЛВ — одна из важнейших проблем, решением которой занимаются специалисты различных областей фармации, в том числе фармацевтической химии.

Критерием стабильности служит сохранение качества Л В. Снижение количественного содержания фармакологически активного вещества в ЛС подтверждает его нестабильность. Этот процесс характеризуется константой скорости разложения Л В. Уменьшение количественного содержания не должно сопровождаться образованием токсичных продуктов или изменением физико-химических свойств Л В. Как правило, уменьшение количества ЛВ на 10% не должно происходить в течение 3-4 лет в готовых лекарственных формах и в течение 3 мес. в ЛС, приготавливаемых в условиях аптеки.

Под сроком годности лекарственных средств понимают период времени, в течение которого они должны полностью сохранять свою терапевтическую активность, безвредность и по уровню качественных и количественных характеристик соответствовать требованиям ГФ или ФС (ФС11), в соответствии с которыми были выпущены и хранились в условиях, пред усмотренных указанными статьями.

По истечении срока годности ЛС не может быть использовано без переконтроля качества и соответствующего изменения установленного срока годности. Существует определенная взаимосвязь между понятием «срок годности», имеющим временной смысл, и понятием «стабильность», обусловливающим качество Л С (его устойчивость).

Разложение Л В можно установить по внешнему виду. Однако образование продуктов разложения не всегда сопровождается заметным снижением фармакологической активности. Это объясняется тем, что внешние изменения могут быть вызваны разложением незначительного количества ЛВ с образованием нетоксичных или индифферентных продуктов разложения. Нормативная документация допускает определенное количество таких примесей в Л В. Иногда внешний вид Л С изменений не претерпевает, а при химическом исследовании обнаруживаются примеси продуктов разложения, отличающиеся токсичностью или иной направленностью фармакологического действия. Контроль наличия таких примесей строго регламентирован НД.

Стабильность — одна из важнейших характеристик лекарственного средства. Предприятие медицинской промышленности должно гарантировать содержание терапевтической дозы JIB в ЛФ в течение определенного срока. Это отражают в ФС или ФСП.

Вопросам стабильности ЛС начали уделять внимание уже в те годы, когда налаживалось их первое промышленное производство, Однако подход к этой проблеме был чисто эмпирический. Оценка качества осуществлялась по изменению вкуса. цвета, консистенции, образованию осадка и т.д. Лишь в последние десятилетия исследование стабильности поставлено на научную основу. Этому способствовали развитие фундаментальных исследований в области химии, биологии, физии. создание новых высокочувствительных методов физико-химического анализа, успехи фармацевтической науки.

Повышение стабильности может быть достигнуто на основе исследования механизма химических процессов, происходящих при хранении ЛС, и создания способов ингибирования этих процессов. Решение этих задач возможно лишь с помощью современных методов анализа ЛВ в присутствии продуктов их разложения. Результаты исследований должны учитываться при отработке технологии получения ЛВ и разработке НД.

 

2. Физические и химические процессы, происходящие при хранении лекарственных средств

Процессы, происходящие при хранении ЛС, могут привести к изменению их химического состава или физических свойств (образованию осадка, изменению окраски или агрегатного состояния). Эти процессы приводят к постепенной потере фармакологической активности или к образованию примесей, изменяющих направленность фармакологического действия.

Из физических факторов наибольшее влияние на стабильность лекарств оказывают температура, свет и влажность.

Особенно велика роль температурного режима на стабильность ЛВ. Известно, что с повышением температуры резко возрастает скорость химических реакций. Даже если принять температурный коэффициент равным 2, то скорость реакции при нагревании реагирующих веществ от 20 до 100°С возрастет в 256 раз. Из этого вытекает необходимость установления оптимальных температурных условий для хранения тех или иных ЛВ.

Снижение температуры оказывает различное воздействие на ЛС. Так, ампулированные растворы, содержащие 0,1% адреналина гидрохлорида, 25-40% глюкозы, 25% магния сульфата, 10% кальция хлорида, 5% эфедрина гидрохлорида, сохраняют свои качества при понижении температуры даже до -43°С. В то же время бактерийные и некоторые другие ЛС разлагаются при температуре ниже 0°С, а растворы некоторых антибиотиков (канамицина сульфата, эритромицина и др.) разрушаются в течение нескольких дней при температуре от б до 20°С.

Свет также по-разному влияет на ЛВ. Обычно воздействие света ускоряет разложение. Сухие кристаллические вещества более устойчивы к свету, чем растворы. Гигроскопичные вещества после растворения в кристаллизационной воде повышают светочувствительность. Воздействие света усиливается в присутствии катализаторов, которые активизируют химические процессы. Фотокаталитические процессы происходят в кристаллических веществах только в поверхностном слое. При хранении на свету некоторых ЛС, особенно относящихся к фенолам, аминам, сульфаниламидам, происходит изменение окраски, формы кристаллов. Другие на свету сохраняются лучше, чем в темноте. ЛС, содержащие соли железа (И), стабильны и повышают устойчивость к свету других ЛВ.

Влажность воздуха — один из факторов, активно снижающих стабильность ЛС. Пониженная влажность воздуха, повышенная температура уменьшают содержание кристаллизационной воды в ЛВ. Это приводит к росту концентрации ЛВ, а также к изменениям физических свойств (формы кристаллов, растворимости и т.д.). Повышенная влажность воздуха влияет на физические свойства гигроскопичных ЛВ. В результате могут измениться внешний вид, окраска, концентрация ЛВ. Вследствие этих процессов образуются продукты разложения и снижается фармакологическая активность.

Химические процессы, происходящие при хранении ЛС, сложны и многообразны. Они тесно связаны с влиянием физических факторов (температуры, света, влажности). Знание механизма и скорости протекания этих процессов дает возможность устранять или замедлять ход химических реакций, а следовательно, повышать стабильность ЛВ. Гидролиз, реакции окисления-восстановления, декарбоксилирования, фотохимическая деструкция, изомеризация — таков далеко не полный перечень химических процессов, которые могут происходить при хранении ЛВ.

Гидролиз — химический процесс, наиболее часто происходящий при хранении ЛВ, производных сложных эфиров, амидов, лактонов, лактамов, имидов, уретанов, уреидов и других классов химических соединений. Некоторые ЛВ гидролизуются даже в кристаллическом виде, особенно при повышенной температуре и влажности воздуха. Значительно активизируется процесс гидролиза в присутствии следов солей металлов (меди, цинка, железа и др.).

Наиболее существенное влияние на скорость гидролиза ЛВ в растворах оказывают растворители и рН среды. Обычно растворителем служит вода. Для приготовления растворов ЛВ, практически нерастворимых в воде, используют растительные масла. Растворителями могут также быть пропиленгликоль, диметилсульфоксид, полиэтиленоксид-400, этилолеат, бензилбензоат. Константа скорости гидролиза при использовании этих растворителей, например пропиленгликоля в сочетании с водой, заметно снижается.

Ингибируют процесс гидролиза, действуя растворами хлороводородной кислоты, буферными растворами или растворами щелочей. Выбор стабилизатора зависит от химических свойств ЛВ. Константа скорости гидролиза зависит от рН раствора. Можно установить интервал значений рН среды, при котором константа скорости реакции имеет минимальную величину. Константа скорости гидролиза зависит также от ионной силы раствора, диэлектрической постоянной. Поэтому з качестве стабилизатора используют хлорид натрия и другие соли.

Выбор оптимальных интервалов значений рН среды и других параметров, влияющих на константу скорости реакции, имеет очень большое значение для увеличения срока годности многих растворов ЛВ, особенно применяемых для инъекций. ВЛФ роль катализаторов могут выполнять как ионы водорода, так и гидроксид-ионы, т.е. рН среды оказывает не только стабилизирующее, но и каталитическое воздействие. Для каждого ЛС оптимальные условия хранения устанавливают экспериментально, в соответствии с требованиями ОСТа.

На процесс гидролиза ЛВ ингибирующее воздействие оказывает добавление поверхностно-активных веществ (ПАВ). Особенно эффективны анионактивное ПАВ — лаурилсульфат натрия, катионактивное ПАВ — цетилтриметимаммоний бромид. Они в 10-20раз повышают гидролитическую устойчивость ряда сложных эфиров.

Окисление — процесс, являющийся одной из причин разложения ЛВ. Некоторые из них (производные фенолов) окисляются, находясь в кристаллическом состоянии. Процесс окисления заметно активизируется при растворении. Особенно легко окисляются Л В, проявляющие активные восстановительные свойства (альдегиды, гидразиды, производные фенотиазина и др.). Признаки окисления — изменение окраски ЛВ или его раствора, появление опалесценции.

Основным фактором, вызывающим окисление, является кислород, содержащийся в воздухе. Процесс окисления заметно активизируется при повышенной температуре и влажности, ультрафиолетовом облучении. Процесс окисления катализируют различные примеси. Особенно велика роль даже небольших количеств примесей тяжелых металлов, в частности железа (III), меди (II), свинца, никеля и др. Очень часто процессу окисления предшествует процесс гидролиза (сульфацил-натрия) или, наоборот, гидролитическое расщепление следует за окислительным процессом (аскорбиновая кислота).

Система мер, направленных на предохранение ЛВ от окисления, сводится прежде всего к уменьшению влияния атмосферного кислорода или максимальному удалению примесей, катализирующих процесс окисления. Используя окислители, можно смоделировать процесс окисления. Если затем сравнить полученные продукты окисления стандартного образца и продукты разложения ЛВ, то можно сделать заключение о механизме процесса окисления. Это позволяет решать вопрос о путях стабилизации, так как станут известны факторы, влияющие на скорость реакции окисления.

При хранении ЛВ могут происходить процессы изомеризации. Реакции рацемизации (образования рацематов) являются причиной значительного снижения фармакологического действия ЛВ, обладающих оптической активностью. Оптические изомеры отличаются друг от друга по фармакологической активности иногда в несколько раз. Например, левовращающий оптический изомер адреналина в 15-20 раз активнее правовращающего. Поэтому в медицинской практике применяют /-изомер. В растворе адреналина постепенно происходит процесс рацемизации — образования смеси обоих изомеров. Этот процесс сопровождается заметным снижением активности ЛВ.

 

3. Влияние условий получения и степени чистоты на стабильность лекарственных средств

Физические факторы и химические процессы могут оказывать влияние на стабильность ЛС, начиная с момента их получения и до приема больным.

Стабильность ЛС во многом зависит от соблюдения условий технологического процесса. При этом важная роль принадлежит степени чистоты исходных продуктов синтеза, растворителей, техническому состоянию аппаратуры, соблюдению требований регламента производства по очистке промежуточных продуктов синтеза, а также качеству исходных веществ, используемых для получения Л Ф. Эти факторы могут вызвать побочные химические реакции, привести к образованию веществ, нарушающих нужную степень чистоты и стабильность конечного продукта.

При получении Л В стабильность зависит не только от их химических, но и от физических свойств. Например, в зависимости от условий кристаллизации могут изменяться размер кристаллов, степень их роста, оформление граней и т.д. Физические свойства кристаллов, в свою очередь, оказывают влияние на гигроскопичность, химическую активность, а следовательно, и на стабильность Л В. Форма кристаллов находится в зависимости от природы, степени чистоты растворителя, температурных условий и продолжительности процесса кристаллизации, наличия сопутствующих веществ. Эти факторы (особенно природа растворителя) влияют, например, на процесс образования полиморфных формЛВ.

На физические и химические свойства Л В оказывает существенное влияние воздействие механических сил. Изучением этих свойств при таких процессах, как измельчение, прессование, ультразвуковая обработка, криолиз и др., занимается механохимия. Механические воздействия могут вызвать нарушение структуры ЛВ, разрыв химических связей и соответственно изменение реакционной способности. Особенно значительно меняются физико-химические свойства кристаллических веществ. В них появляются точечные дефекты, уменьшаются размеры кристаллов, разупорядочивается структура, вплоть до полной аморфизации, образуются полиморфные модификации или происходят их взаимные превращения (барбитураты, стрептоцид, левомицетина пальмитат). При механическом измельчении часто может происходить гидролитическое расщепление (кислота ацетилсалициловая, «аминосалициловая и др.).

Для некоторых групп ЛВ, в частности природных биологически активных веществ (гормоны, витамины, гликозиды, антибиотики), оказалось невозможным повысить стабильность. Поэтому в процессе производства в ЛФ вносят избыток этих ЛВ до 110-120%. При хранении в течение определенного срока происходит снижение фармакологической активности, обусловленное уменьшением концентрации ЛВ до 80-90%. Эта технологическая операция носит название избыток для производственных целей. Она привела к необходимости допускать в ФС (ФСП) пределы содержания таких ЛВ в лекарственных формах от 90 до 110% и даже от 80 до 120% для некоторых антибиотиков и гормонов.

 

4. Условия хранения и сроки годности лекарственных средств

Требования к условиям хранения различных групп ЛВ находятся в зависимости от их физико-химических свойств о воздействия различных факторов внешней среды. Они регламентируются «Инструкцией по организации хранения в аптечных учреждениях различных групп лекарственных средств и изделий медицинского назначения», утвержденной при• :; :м МЗ РФ №377 от 13 ноября 1996 г. В Инструкции приведены требования к устройству и эксплуатации помещений лл ~ хранения ЛС и изделий медицинского назначения, а также общие требования к организации их хранения. Требования распространяются на все аптеки и аптечные учреждения вне зависимости от ведомственной подчиненности. В зависимо от физических и физико-химических свойств, а также воздействия факторов внешней среды все ЛС делят на: требующие защиты от воздействия света, влаги, улетучивания и высыхания, повышенной и пониженной температуры, воздействия газов; пахучие, красящие и дезинфицирующие средства. По каждой из групп приведен перечень ЛС, требующих соответствующих условий хранения.

Хранение ГЛС должно отвечать требованиям ФС (ФСП) и общим требованиям данной инструкции. Таблетки, драже и другие ГЛС хранят в сухом, прохладном, защищенном от света месте, в заводской упаковке. Каждый вид ГЛС хранят изолированно от других. Плазмозаменяющие растворы хранят при температуре от 0 до 40°С, экстракты — при 12-15°С, мази. содержащие летучие вещества, — не выше 10°С, аэрозоли — при 3-20"С вдали от огня и отопительных приборов.

Защиты от воздействия света требуют нитраты, нитриты, кислородсодержащие производные галогенов, нитро- и нитрозосоединения, фенолы, амиды и аминососдинения, производные фенотиазина, кортикостероиды, витамины, антибиотики, эфирные и жирные масла, а также галеновые и органопрепараты. Под воздействием света эти ЛВ окисляются с образованием различных веществ, отличающихся по фармакологической активности, полностью теряющих ее или даже имеющих токсическое действие на организм. В зависимости от чувствительности к окислителям данную группу Л В следует хранить в стеклянной таре оранжевого стекла либо в металлической таре, либо в упаковке из алюминиевой фольги или полимерных материалов, окрашенных в темный цвет. Обычно для хранения используют темные помещения, светонепроницаемые ящики и шкафы, которые изнутри окрашивают черной краской. Особо чувствительные к свету вещества (серебра нитрат, неостигмин) хранят в стеклянной таре, оклеенной черной светонепроницаемой бумагой. Некоторые ЛС, например препараты железа (II), наоборот, требуют хранения в стеклянной таре светлого стекла на ярком свету.

Защиты от воздействия влаги требуют гигроскопичные и гидролизующиеся, легко окисляющиеся ЛВ, например соли азотной, азотистой, фосфорной и галогеноводородной кислот, калия ацетат, ряд алкалоидов, гликозидов, ферментов, антибиотиков, сухие органопрепараты. Следует предохранять от воздействия влаги также лекарственные вещества, очень легко растворимые в воде, и те, влагосодержание которых регламентировано определенными пределами ГФ (ФС, ФСП). Защита от воздействия атмосферных паров воды достигается при хранении в сухом прохладном месте, в плотно укупоренной таре из влагонепроницаемых материалов (стекла, металла, алюминиевой фольги, плотной пластмассы). ЛВ с выраженными гигроскопичными свойствами (кальция хлорид, калия хлорид, гипс жженый и др.) следует хранить в стеклянной таре, укупоренной герметично и с залитой парафином пробкой. Гипс хранят в хорошо закрытой таре.

Ряд ЛС может улетучиваться при хранении (йод, йодоформ, камфора, бромкамфора, ментол, тимол, хлоралгидрат, метил салицилат). Их следует хранить в прохладном месте в герметически укупоренной и непроницаемой для улетучивающихся веществ таре. К этой же группе относятся этиловый спирт, спиртовые растворы различных ЛВ, растворы летучих веществ (аммиака, формальдегида, хлороводорода, эфирных масел); лекарственные вещества, в которых регламентирован НД нижний предел содержания влаги, и ЛВ, разлагающиеся с образованием летучих веществ (йодоформ, натрия гидрокарбонат, пероксид водорода, хлорамин Б). Кристаллогидраты могут в зависимости от влажности воздуха терять или притягивать влагу, но в том и в другом случае это может вызвать нарушение доброкачественности ЛВ. Поэтому кристаллогидраты следует хранить в герметично укупоренной таре, в прохладном месте и в помещении с относительной влажностью воздуха 50-55%.

Некоторые ЛС необходимо защищать от воздействия повышенной температуры. К их числу относятся все легкоплавкие и улетучивающиеся при хранении Л В. мази, жиры, масла, а также ЛС, содержащие витамины, гликозиды, гормоны, антибиотики, бактерийные, иммунобиологические, органопрепараты. Указанные группы ЛВ следует хранить при комнатной (18-20°С) или даже более низкой температуре (от 12-15 до 3-5°С), которая указывается на этикетке или в инструкции по применению Л С.

Ряд Л С при хранении необходимо защищать от воздействия пониженной температуры, так как при этом меняются их физико-химические свойства (раствор формальдегида 40%, растворы инсулина, ледяная уксусная кислота, жирные масла и др.).

Формалин и ледяную уксусную кислоту следует хранить при температуре не ниже +9"С, жирные масла — в пределах -4-12"С. Недопустимо замерзание инсулина.

Газы, содержащиеся в окружающей среде, также могут оказывать воздействие на ЛС в процессе их хранения. Следует предохранять от воздействия кислорода воздуха особенно такие Л В, которые содержат в молекуле непредельные связи, производные фенола и полифенолов, тиолы и Л В. содержащие тиоэфирную или тиокетонную серу, а также морфин и его производные, ферменты, органопрепараты. От воздействия содержащегося в воздухе углекислого газа следует предохранять производные солей щелочных металлов и слабых органических кислот (натриевые соли сульфаниламидов и производных барбитуровой кислоты), производные пурина (аминофиллин), неорганические препараты магния, цинка, свинца. Эти лекарственные вещества хранят в сухом помещении в наполненной доверху таре, изготовленной из материалов, проницаемых для газов. Тара должна быть герметически укупорена, пробка залита парафином. Аналогичной укупорки требуют ЛВ, окисляющиеся кислородом воздуха, требующие защиты от других газов.

Лекарственные вещества, обладающие сильным запахом, необходимо хранить изолированно в непроницаемой для проникновения запаха, герметически закрытой таре, как правило, в темном и прохладном месте, раздельно по наименованиям.

К числу красящих ЛС относят оставляющие окрашенный, не смываемый обычной санитарно-гигиенической обработкой след на таре, укупорочных средствах, оборудовании и других предметах (индигокармин, метиленовый синий, бриллиантовый зеленый). Хранить их следует в специальном шкафу, в плотно укупоренной таре в сухом помещении. Для работы с ними выделяют отдельный инвентарь (весы, ступку). Дезинфицирующие средства (хлорамин Б, хлорная известь) хранят в герметично укупоренной таре, в защищенном от света, прохладном изолированном помещении, вдали от места получения воды очищенной и воды для инъекций.

ЛРС должно храниться в сухом, вентилируемом помещении в хорошо закрытой таре, отвечающей требованиям ФС (ФСП). ЛРС, содержащее ядовитые и сильнодействующие вещества, хранят отдельно, под замком. Имеет свои особенности хранение ЛРС, содержащее жирные масла, гигроскопичное сырье, сочные плоды, ЛРС, содержащее сердечные гликозиды. Все виды ЛРС подвергают периодическому контролю в соответствии с требованиями ГФ (ФС, ФСП).

Все большее значение придается соблюдению режима хранения больными в домашних условиях, в особенности термолабильных и светочувствительных ЛС. При отпуске лекарств больному необходимо указывать, какой следует соблюдать режим при хранении ЛС в домашних условиях.

Лекарственные средства, обладающие огнеопасными и взрывоопасными свойствами, хранят в соответствии с утвержденной приказом МЗ РФ №318 (от 5 ноября 1997 г.) «Инструкцией о порядке хранения и обращения в фармацевтических (аптечных) организациях с ЛС и изделиями медицинского назначения, обладающими огнеопасными и взрывоопасными свойствами».

Лекарственные вещества, способные к самовозгоранию или к возгоранию под действием внешнего источника зажигания, относятся к огнеопасным, а способные к взрыву — к взрывоопасным. Взрывоопасные подразделяются на взрывчатые вещества (нитроглицерин) и взрывоопасные (серебра нитрат, калия перманганат). Огнеопасные классифицируют на легковоспламеняющиеся (этанол и его растворы, настойки, экстракты спиртовые и эфирные, эфир медицинский, скипидар, кислота молочная, хлорэтил, коллодий, клеол, жидкость Новикова, органические масла, рентгеновские пленки) и легкогорючие (сера, глицерин, растительные масла, перевязочный материал, лекарственное растительное сырье).

Условия хранения легковоспламеняющихся жидкостей обусловливаются их текучестью, легкой испаряемостью и воспламеняемостью. Пары этих жидкостей взрывоопасны, поэтому их следует хранить в изолированных прохладных помещениях, защищая от света, особенно от прямых солнечных лучей.

Огнеопасные и взрывоопасные вещества хранят в специально оборудованных в соответствии с требованиями строительных норм и правил (СНиП) помещениях, оборудованных специальными несгораемыми стеллажами и шкафами, расположенными на некотором расстоянии от стен. Помещения должны быть оборудованы автоматическими средствами пожаротушения и пожароохранной сигнализацией.

С учетом физико-химических свойств ЛВ этой группы при хранении нужно учитывать их совместимость. Раздельно следует хранить следующие из них: легковоспламеняющиеся и взрывоопасные; легковоспламеняющиеся и минеральные кислоты (особенно азотную и хлороводородную); сжатые или сжиженные газы и легкогорючие вещества (серу, растительные масла, перевязочные материалы); неорганические соли, образующие с органическими соединениями взрывоопасные смеси и вещества, самовозгорающиеся на воздухе, и твердые легковоспламеняющиеся вещества (рентгеновские пленки). Особые требования предъявляются к применяемым в медицине газам, обладающим взрывоопасными или огнеопасными свойствами. Баллоны с ними, в частности с кислородом, должны храниться в отдельных, совершенно изолированных помещениях, в которых ничего больше хранить нельзя.

В Инструкции подробно изложены требования к помещениям для хранения и условиям хранения каждого из указанных огнеопасных и взрывоопасных веществ, установленные нормы в отношении допустимых количеств, условиям обращения, таре, используемой для хранения и т.д. Каждый поступающий на работу сотрудник должен быть ознакомлен с Инструкцией, строго ее соблюдать, уметь оказать первую помощь пострадавшему при несчастном случае.

Физические факторы внешней среды (температура, влажность) необходимо учитывать при транспортировке ЛС, особенно по железной дороге и морским (речным) транспортом. В зависимости от времени года при перевозке, например, железнодорожным транспортом транспортируемые ЛС подвергаются воздействию максимально высоких или, наоборот, низких температур.

В пароходных трюмах, где ЛС транспортируются по несколько месяцев в условиях тропического климата, температура может достигать 65°С. Еще большее колебание температуры происходит при многодневном хранении транспортируемых ЛС в портах, расположенных в различных климатических зонах.

 

5. Хранение ЛФ, изготавливаемых в аптеках

Стабильность лекарственных веществ (субстанций) значительно выше, чем ЛФ. Наименее стабильны ЛФ, приготовленные в условиях аптеки. Поэтому сроки их хранения менее продолжительны, чем у ГЛС. Они находятся в зависимости от состава ЛФ и сроков годности каждого из ингредиентов, их физической и химической совместимости, условий приготовления и стерилизации, характера упаковки флакона или бутылки, условий хранения, в том числе температурного режима. Сроки годности, условия хранения и режим стерилизации ЛС, которые готовят в аптеках, приведены в приложении к приказу №214 от 16 июля 1997 г. «О контроле качества лекарственных средств, изготавливаемых в аптеках». Эти сведения приведены для изготавливаемых в аптеках стерильных растворов во флаконах, герметично укупоренных резиновыми пробками под обкатку (в т.ч. капель глазных, офтальмологических растворов и концентратов для их изготовления), ЛС для новорожденных детей, мазей, порошков, микстур и растворов для внутреннего применения, концентратов и полуфабрикатов для изготовления ЛФ для внутреннего и наружного применения, гомеопатических ЛС.

Растворы для инъекций и другие стерильные растворы, герметично укупоренные резиновыми пробками под обкатку, имеют срок годности (при 25"С) 30 дней. Исключение составляют, например, раствор кальция глюконата 10% и раствор натрия пара-аминосалицилата 3%, раствор фурагина растворимого 0,1 %, срок годности которых 7 дней, раствор норсульфазола-натрия 10% — 5 дней, раствор новокаина 2,5 и 10% и дикаина 1 и 2% — 90 дней, раствор дибазола 0,5 и 1% и кислоты никотиновой 1% — 60 дней. Растворы для инъекций, укупоренные «под обвязку», имеют срок годности не более 2 сут.

Растворы для внутреннего употребления новорожденным детям, подвергнутые стерилизации, герметически укупоренные во флаконах пробками «под обкатку», также имеют, как правило, срок годности 30 дней. Исключение составляют раствор глюкозы 5% и раствор кислоты аскорбиновой 1%, которые можно хранить только 5 дней, раствор кальция глюконата 1,3 и 5% — 7 дней, раствор аминофиллина 0,05 или 0,5% — 15 дней.

Растворы и масла для наружного применения новорожденным детям, герметично укупоренные во флаконах резиновыми пробками «под обкатку», имеют срок годности 30 дней, за исключением растворов калия перманганата, которые можно хранить не более 2 дней, и перекиси водорода — не более 15 дней. Большинство из них предварительно стерилизуют, а растворы калия перманганата 5%, колларгола 2%, перекиси водорода 3% готовят в асептических условиях. Большинство растворов для инъекций, растворов и масел для новорожденных следует хранить в защищенном от света месте.

Сроки годности глазных капель и офтальмологических растворов, герметично укупоренных во флаконах резиновыми пробками «под обкатку», составляют от 7 до 30 дней, причем они зависят от температурного режима при хранении. Растворы, содержащие лекарственные вещества, чувствительные к воздействию света, хранят в защищенном от света месте. Растворы цитраля 0,01%, фетанола 3%, рибофлавина 0,01-0,02%, кислоты аскорбиновой 0,2%, а также глазные капли, укупоренные «под обвязку», имеют срок годности не более 2 сут.

Концентраты для изготовления глазных капель после стерилизации могут храниться от 5 (содержащие рибофлавин, кислоту аскорбиновую) до 30 дней, за исключением цитр аля 0,02%, который готовят в асептических условиях и хранят не более 2 сут при 3-5"С.

Сроки годности лекарственных форм, изготавливаемых в аптеках, но не вошедших в указанное приложение к приказу №214, составляют для водных растворов, содержащих бензилпенициллин и глюкозу, — 1 сут, для глазных капель — 2, инъекционных растворов — 2, настоек, отваров, слизей — 2, эмульсий и суспензий — 3, остальных лекарственных форм — 10 сут. Гранулы гомеопатические хранят 2 года, промежуточные гомеопатические разведения — 6 мес. в сухом, защищенном от света месте.

 

6. Влияние химического состава упаковочного материала на стабильность ЛС

Упаковочным материалом для ЛС обычно служат металлы, стекло, полимеры, резина, из которых изготавливают различного рода емкости или упаковки. Каждое из этих веществ характеризуется целым рядом свойств.

Из металлов для изготовления туб используют чаще всего алюминий или луженую жесть. В тубах обычно хранят мази, кремы, пасты. Очень важно иметь четкое представление о возможных химических реакциях между ЛВ и металлом упаковки.

Стекло как упаковочный материал индифферентно по отношению ко многим ЛВ. В герметичной упаковке стекло предохраняет ЛС от воздействия содержащейся в окружающей атмосфере влаги, кислорода и т.д. Важное значение для предотвращения влияния ультрафиолетового излучения имеет цвет стекла. Бесцветное стекло прозрачно для лучей, имеющих длину волны более 300 нм, а оранжевое — задерживает излучение с длиной волны до 470 нм. Поэтому оранжевое стекло в несколько раз лучше предохраняет ЛС от фотохимического разложения.

При хранении растворов в стеклянных ампулах происходит выщелачивание, которое может привести к изменению рН среды. Кроме того, может происходить процесс вымывания из стекла мельчайших нерастворимых частиц (блесток). Их образование зависит от сорта стекла и от правильности его подготовки для упаковки.

Изменение рН среды внутри стеклянной упаковки может привести к потере фармакологической активности ЛВ. Особенно важно учитывать эти свойства стекла при хранении малых доз высокоактивных Л В, легко инактивирующихся в щелочной среде (витамины, антибиотики, гликозиды). Кроме того, в щелочной среде может происходить процесс выделения осадков органических оснований из их солей, а также значительно ускоряться процесс окисления производных фенолов. Щелочность стекла может также способствовать развитию микрофлоры.

Предотвратить или свести к минимуму процесс выщелачивания можно специальной обработкой (покрытием внутренних стенок тонким слоем силиконов), использованием особых сортов стекла, а также добавлением в раствор ЛВ допустимых количеств минеральных кислот, нейтрализующих образующуюся примесь щелочи.

С каждым годом расширяется использование полимеров в качестве упаковочного материала для ЛС. Например, применяют такие полимеры, как полиэтилен, полипропилен, поливинилхлорид и др. Следует иметь в виду, что полимеры могут содержать в своем составе исходные и промежуточные продукты синтеза, катализаторы, вспомогательные вещества (стабилизаторы, наполнители, красители, пластификаторы и т.д.), а также продукты окислительной деструкции, образовавшиеся в процессе производства или хранения полимеров. Природа и качество полимеров влияют на стабильность ЛС.

Требования к полимерам, применяемым в качестве упаковочных материалов для ЛВ, изложены в соответствующих ГОСТах. Полимерные материалы, используемые для упаковки, должны быть непроницаемы для содержащихся во внешней среде кислорода, углекислого газа, паров воды, а также для микроорганизмов. Переход их внутрь полимерной упаковки приводит, например, к очень быстрой инактивации антибиотиков (пенициллина, стрептомицина и др.).

Возможны явления адсорбции ЛВ полимером. Может происходить процесс разрушения полимера под воздействием ЛВ. Это приводит не только к нарушению стабильности ЛВ и его инактивации, но и к образованию токсичных примесей. Нужно также установить, как эти вещества влияют на стабильность ЛВ, не оказывают ли они сами или продукты их взаимодействия с ЛС токсического или побочного фармакологического действия.

Резина используется для упаковки ЛС обычно в виде пробок. Известно, что резины содержат в своем составе различные соединения, которые могут привести к значительному изменению стабильности Л В. Эти соединения могут не только нарушать доброкачественность ЛС при вымывании, но и вступать с ними в химические реакции или выполнять роль катализаторов процессов разрушения ЛВ (гидролиза, окисления, восстановления и др.).

7. Испытания стабильности и установление сроков годности лекарственных средств

 

7.1 Порядок проведения испытаний

Процессы, происходящие при получении, хранении и транспортировке ЛС, влияние при этом различных факторов требуют проведения необходимых исследований для установления условий хранения и сроков годности. Порядок испытаний стабильности ЛС, проводимых в целях установления сроков их годности и оптимальных условий хранения, регламентируется отраслевым стандартом (ОСТ) «Лекарственные средства. Испытания стабильности и установление сроков годности».

Этот стандарт распространяется на все предприятия и организации, которые разрабатывают и производят лекарственные вещества (субстанции) и ГЛС промышленного изготовления, независимо от их ведомственной подчиненности и форм собственности.

Исследование стабильности осуществляют, изучая механизм физических или химических процессов, происходящих при длительном хранении ЛС. Оценивают стабильность, определяя в ЛВ количество основного компонента и продуктов его разложения. Процессы разложения ЛВ происходят очень медленно при обычных условиях хранения. Это весьма положительный момент с точки зрения стабильности. Однако он создает трудности в исследованиях, так как даже в течение длительного времени образуются очень малые количества продуктов разложения.

Результаты исследования стабильности используются для установления условий хранения, периодов переконтроля Л В и сроков годности ГЛС, для разработки на них НД (ФС, ФСП), выбора аналитических методов, позволяющих надежно определить ЛВ и продукты его деструкции, а также для выбора упаковочно-укупорочных материалов.

Первоначальный срок годности ЛС и, соответственно, условия хранения устанавливаются организацией-разработчиком на основе результатов изучения стабильности. Как правило, вначале определяется не срок годности, а период переконтроля (за исключением нестойких биологических субстанций). Для ГЛС не рекомендуется устанавливать срок годности более 5 лет.

Процесс изучения стабильности строится в зависимости от особенностей исследуемых ЛВ, ЛФ и упаковочно-укупорочной системы. Испытывают ЛФ, изготовленные из различных серий субстанции. Если упаковка представляет собой непроницаемый для внешних воздействий барьер (ампулы), влияние влажности не изучается. Для растворов должно быть предусмотрено изучение влияния отрицательных температур на стабильность.

Обязательно учитывается зависимость условий хранения от среднеклиматической температуры (СКТ) и относительной влажности в регионе предполагаемого рынка сбыта. При этом руководствуются данными о климатических зонах мира (табл. 8.1).

Климат

Примеры регионов

СКТ, "С

Относительная влажность, %

I — умеренный

Северная Европа, Канада

21

45

11 — субтропический

Средиземноморье

25

60

111 — сухой тропический

Зона пустынь

30

35

IV — влажный тропический

Зона тропических лесов

30

70


Для Российской Федерации при исследовании стабильности ЛС используют условия 1-И климатических зон. Если предполагается выход производимых Л С на мировой рынок, то следует исходить из условий IV зоны.

В основу проведения аналитических операций при исследовании стабильности должны быть положены методы, изложенные в ОФС Государственной фармакопеи. Вначале экспериментальные образцы ЛС контролируются по всем показателям соответствующей ФС (ФСП) или ее проекта. В дальнейшем контролируются только те показатели, которые могут изменяться в процессе хранения. Для определения продуктов деструкции и изучения дополнительных физико-химических или биологических характеристик образцов можно использовать специальные методы анализа.

Классические химические методы, как правило, не позволяют обнаружить и определить малые количества продуктов разложения. Важную информацию о наличии в молекулах исследуемых органических Л В тех или иных функциональных групп, подтверждающих образование продуктов разложения, может дать ИК-спектроскопия. Высокой специфичностью и чувствительностью отличаются методы ЯМР-, ЭПР- и масс-спектроскопии. Особенно широко для исследования стабильности ЛВ применяют различные виды хроматографии, сочетая их с другими физико-химическими методами. Газожидкостная хроматография (ГЖХ) и высокоэффективная жидкостная хроматография (ВЭЖХ) оказались весьма перспективными для оценки стабильности многих ЛВ. Важно, что применение этих методов требует очень малых количеств анализируемых веществ.

Проводимый организацией-разработчиком анализ образцов, заложенных на долгосрочное хранение, проводится каждые 3 месяца в течение первого года, каждые 6 месяцев в течение второго года и затем ежегодно. При проведении ускоренных испытаний анализ осуществляется через 1, 2 и 3 месяца после закладки и, в случае необходимости, через 6 месяцев.

Установленные сроки годности и сроки переконтроля ЛС могут быть пересмотрены по мере накопления экспериментальных данных. Полученные данные об их изменениях, а также о рекомендуемых условиях хранения оформляются как изменения к ФС (ФСП).

Работники аптечной сети должны осуществлять постоянный контроль за условиями и сроками хранения ЛС, выявлять ЛП с признаками нестабильности, а также знакомить потребителей с требованиями к хранению ЛС в домашних условиях.

 

7.2 Цели и виды испытаний стабильности

Основная цель изучения стабильности — получение информации об изменениях качества ЛС с течением времени в зависимости от влияния факторов окружающей среды (температуры, влажности, освещения). Для достижения этой цели используют три вида испытаний: стресс-тесты, ускоренные испытания, долгосрочные испытания.

Стресс-тесты — применяют, как правило, при испытаниях образцов одной серии новых ЛВ (субстанций). Их основное назначение — получение исходных данных, которые затем используются для планирования и проведения испытаний стабильности другими методами. С помощью стресс-тестов определяют характер и течение реакции деструкции, выявляют их важнейшие продукты, подбирают оптимальные аналитические методики для определения исходного ЛВ и продуктов его распада в присутствии друг друга. Обычные условия стресс-тестов: температура 50, 60 или 70°С, т.е. минимум на Ю'С выше, чем в ускоренных испытаниях, влажность не ниже 75%. Однако следует учитывать, что характер происходящих при этом химических процессов не всегда может совпадать с ходом реакций при более мягких условиях. Для светочувствительных ЛВ могут быть предусмотрены испытания фотостабильности.

Ускоренные испытания стабильности используют в процессе разработки новых Л С с целью ускорения сравнительного изучения различных вариантов экспериментальных прописей, технологических приемов, упаковочно-укупорочной системы. Ускоренные испытания проводят при более высокой, не менее чем на 15°С, по сравнению с долгосрочными испытаниями температуре и при влажности более высокой по сравнению с ожидаемыми условиями хранения. В предрегистрационный период подготовки НД ускоренные испытания проводят для того, чтобы подтвердить результаты исследований в реальном времени. Это позволяет установить более длительный первоначальный срок годности, чем тот, который вытекает из имеющихся результатов долгосрочного хранения. В пострегистрационный период ускоренные испытания проводят для предварительного подтверждения возможности изменений утвержденных условий производства (прописи, технологии, перенос площадки и др.). Однако в дальнейшем эти результаты могут быть подтверждены данными испытаний в реальном времени.

Следует учесть, что возможности ускоренных испытаний термолабильных ЛВ и некоторых ЛФ (эмульсии, мази) весьма ограничены. Для них основным методом изучения стабильности являются долгосрочные испытания. Вместе с тем положительные результаты ускоренных испытаний дают возможность сделать заключение о том, что эти ЛС проявят устойчивость при краткосрочных отклонениях условий хранения от нормальных.

Долгосрочные испытания (испытания в реальном времени). Результаты этих испытаний являются важнейшим основанием для установления и подтверждения оптимальных сроков годности ЛС как при их регистрации, так и в пострегистрационный период. Они проводятся в условиях, максимально приближенных к предполагаемым условиям хранения ЛС в процессе реализации.

 

7.3 Условия изучения стабильности новых и серийно производимых ЛВ

Для регистрации новых ЛС и содержащих их ГЛС должны быть проведены, как минимум, следующие долгосрочные и ускоренные испытания (табл. 8.2).

2. Условия и продолжительность испытаний

Испытания

Условия

Минимальная продолжительность

Температура, °С

Влажность, %

Долгосрочные Ускоренные

25±2°С 40±2"С

60±5% 75+5%

12 мес. 6 мес.


Если при проведении ускоренных испытаний обнаруживаются значительные изменения, то проводят дополнительные испытания в промежуточных условиях, например температура 30±2°С и относительная влажность 60±5%. Значительные изменения — показатель, который характеризует результаты ускоренных испытаний стабильности. В отношении субстанций термин «значительные изменения» означает выход за пределы стандарта (ФС, ФСП), а для ГЛС — снижение количественного содержания, а также несоответствие стандарту по любому показателю. Дополнительные испытания в промежуточных условиях проводят минимум 12 месяцев. На регистрацию могут быть представлены результаты первых 6 месяцев испытаний, но с условием, что производитель будет их продолжать до получения данных в полном объеме.

Если значительные изменения обнаружены в ходе испытания в промежуточных условиях, то необходимо рассмотреть вопрос об установлении для данного ЛВ (ГЛС) режима хранения при пониженной температуре. Соответственно необходимо пересмотреть всю программу испытаний. В нее нужно включить долгосрочные испытания в режиме, приближенном к новым условиям хранения, а ускоренные испытания провести при повышенной влажности и температуре на 15-20°С выше избранной для хранения.

Образцы для долгосрочных и ускоренных испытаний отбирают минимум от 3-х серий ЛВ, изготовленных в условиях полномасштабного или опытно-наработочного производства, полностью идентичного серийному. Качество ЛС, образцы которого закладываются на экспериментальное хранение, должно соответствовать тому, на котором проводились клинические испытания, а также не отличаться от качества будущей серийной продукции.

Изложенные положения относительно новых ЛВ применимы и к воспроизведенным препаратам (дженерикам). Однако в зависимости от наличия и характера информации о стабильности субстанции, сложности ГЛС объем необходимых испытаний для регистрации данных может быть сокращен.

Постоянное наблюдение за стабильностью ЛС должно продолжаться в ходе их серийного производства. Это необходимо для подтверждения или уточнения сроков годности (переконтроля) и условий хранения, включенных в стандарты качества. С этой целью ежегодно отбираются и закладываются на долгосрочное хранение образцы одной серии. Для субстанций и ГЛС, отличающихся высокой стабильностью, образцы могут отбираться из одной серии раз в два года. Если в течение длительного времени такая продукция была бездефектной и в се пропись и технологию изменения не вносились, то периодичность контроля может быть снижена до одной серии в 3-4 года.

Дополнительные испытания стабильности должны проводиться в случаях внесения изменений: в пропись ГЛС, в технологический процесс, в упаковочно-укупорочную систему.

7.4 Маркировка и хранение

После изучения стабильности ЛС в рекомендованных условиях хранения на этикетке помещают одно из нижеприведенных указаний:

-   «Хранить при температуре 15-25°С»;

-   «Хранить при температуре 2-8°С (замораживание не допускается)»;

-   «Хранить при температуре от -5 до 0°С (в морозильной камере)»;

-   «Хранить при температуре ниже -18°С (глубокая заморозка)».

Если есть необходимость, то должны быть предусмотрены и другие указания: «Защищать от света», «Хранить в сухом месте» и др.

В ГФ X были выделены две группы ЛВ, которые обозначены списком А (ядовитые вещества) и списком Б (сильнодействующие вещества). Это определило особые условия их хранения («под замком» и «с предосторожностью»)

Приказом министра здравоохранения РФ №326 от 10 ноября 1997 г. введены в действие новые списки А и Б. При этом указано, что они не имеют альтернативного названия «ядовитые и сильнодействующие вещества». Такой термин получили теперь и имеют правовой характер вещества, включенные в списки №1 и №2 официального документа, изданного в 1998 г. Постоянным комитетом по контролю наркотических веществ.

Список А и список Б сохранились теперь как имеющие сугубо профессиональные цели в области определения порядка хранения, выписывания, контроля и применения входящих в эти списки лекарственных веществ. В утвержденные МЗ РФ списки А и Б включены в основном лекарственные средства, производимые в России, и некоторые имеющие широкое применение ЛС, производимые за рубежом. Однако близкие по химической структуре и действию к ЛС списков \ и Б зарубежные препараты нужно хранить и отпускать аналогичным образом.

8. Методы ускоренного определения стабильности лекарственных средств

Рекомендуемые ГОСТом для определения стабильности ЛС долгосрочные испытания проводятся в реальном времени. Они заключаются в том, что ЛС в течение периода, отводимого на его реализацию (обычно от 2 до 5 лет), хранят при комнатной температуре. Через определенные промежутки времени оценивают качество хранящегося ЛС по ФС (ФСП). На основании результатов анализа делают заключение об оптимальном сроке хранения. Такой метод позволяет получить наиболее объективное заключение, но на проведение испытаний уходит несколько лет.

Используемые ускоренные испытания и стресс-тесты исследования стабильности ЛС основаны на определении их качества путем испытаний в более жестких условиях.

Методы ускоренного хранения (ускоренного старения) позволяют за 15-115 дней при 40-70°С установить сроки хранения, которые, как правило, совпадают с результатами, полученными при хранении Л В при комнатной температуре в течение 3-5 лет. Исследования ведут в климатических шкафах или комнатах, которые имеют устройства, позволяющие автоматически регулировать заданные условия хранения: температуру, влажность, свет. Оценку стабильности осуществляют, исследуя физические и химические изменения ЛВ.

Таким образом, методы ускоренного старения основаны на изучении кинетики реакций разложения лекарственных веществ. Используя факторы, ускоряющие химические реакции (температуру, свет, влагу, рН среды, кислород), можно в течение короткого промежутка времени количественно установить те изменения, которые происходят с ЛС при длительном хранении. Из перечисленных факторов чаще всего используют температуру. На основе полученных результатов устанавливают оптимальные параметры хранения ЛС: температурный режим, влажность, освещенность, рН среды, характер упаковки и т.д.

Цель исследования стабильности ЛС методами ускоренного хранения может быть различной. Если исследуется лекарственное вещество (субстанция), то устанавливают влияние температуры, света и других факторов на процесс разложения (скорость химических реакций). Для лекарственных форм также устанавливают влияние вспомогательных веществ, стабилизаторов и других компонентов на стабильность.

Выполнение исследований методом ускоренного старения осуществляют, запаивая образцы в стеклянные трубки или ампулы в количестве, необходимом для однократного испытания. При изучении влияния на стабильность ЛВ атмосферного кислорода выполняют сравнительные испытания при одинаковой температуре, но помещая одну порцию испытуемого ЛВ в открытый сосуд, а другую — в запаянную ампулу, из которой вытеснен воздух.

В течение всего эксперимента необходимо строгое соблюдение температурного режима, Для этого используют ультратермостаты, позволяющие поддерживать температуру на заданном уровне с точностью ±(0,2-1)°. При повышении температуры, как правило, ускоряются протекающие в Л В физико-химические процессы. Зависимость скорости реакции от температуры лежит в основе ускоренных методов старения и определяется либо правилом Вант-Гоффа, либо уравнением Аррениуса.

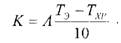
I, Наиболее простая методика определения сроков годности лекарственных веществ и лекарственных форм изотермическим методом основана па использовании правила Вант-Гоффа: при повышении температуры на 10°С скорость химической реакции возрастает в 2-4 раза. Это правило справедливо только для реакций, протекающих в сравнительно небольшом температурном интервале. Так как для установления сроков хранения обычно используют температурный интервал Ю°С и ведут исследования при температуре от 40 до 70°С, то правило Вант-Гоффа оказывается вполне приемлемым. На основании этого правила была разработана «Временная инструкция по проведению работ для определения сроков годности лекарственных средств на основе метода ускоренного старения при повышенной температуре».

Она определяет единый порядок экспериментального хранения ЛС при повышенной температуре с целью установления сроков их годности. Инструкция распространяется только на индивидуальные ЛВ (субстанции) и их ЛФ. Она не может быть использована для установления сроков годности растительного сырья, полипептидов, белковых, эндокринных и других ЛС биологического происхождения с неустановленной химической структурой или не имеющих определенного состава. Работу по установлению сроков годности в соответствии с инструкцией выполняют организации-разработчики пли предприятия-изготовители.

В соответствии с требованиями этой инструкции испытуемое ЛС в заводской упаковке подвергают воздействию температур, превышающих среднюю температуру его хранения. При этом сокращается промежуток времени, в течение которого происходят физические и химические процессы, приводящие к разрушению Л В в обычных условиях хранения до допустимых пределов (10%). При удачном подборе температурного интервала изменяются практически те же контролируемые показатели качества ЛВ, что и в условиях обычного хранения, но в значительно меньшем интервале времени. Это искусственное моделирование дает возможность в более короткие промежутки времени установить сроки хранения ЛС при 20-25'С. Кроме того, метод позволяет решать и другую задачу — найти температуру хранения, обеспечивающую заданный срок годности (для ЛВ, имеющих ограниченный срок годности при комнатной температуре).

Как правило, предельные температуры экспериментального хранения составляют 60°С для индивидуальных Л В, таблеток, капсул, присыпок (при высокой термической устойчивости этих ЛС она может быть и выше), 60°С — для инъекционных растворов, 40°С — для мазей, линиментов, шприц-тюбиков, 30°С — для суппозиториев и аэрозолей. При проведении испытаний влияние света на испытуемые образцы должно быть исключено.

Срок годности (С) при температуре хранения (Тхр) связан с экспериментальным сроком годности (С,) при температуре экспериментального хранения (Т,) зависимостью

С = КСЭ,

где К — коэффициент соответствия:




Исходя из правила Вант-Гоффа, температурный коэффициент скорости химической реакции (А) при увеличении температуры на !0°С принят равным А = 2.

Методы ускоренного старения, основанные на использовании уравнения Аррениуса, в зависимости от способа термостатирования делятся на изотермические и неизотермические. Суть изотермического метода, каки при использовании правила Вант-Гоффа, сводится к экспериментальному определению констант скорости химической реакции для нескольких фиксированных температур. Выбор последних осуществляют с таким расчетом, чтобы скорость протекающей реакции была приемлемой для выполнения эксперимента. С учетом порядка реакции рассчитывают время, в течение которого концентрация активного вещества уменьшается на 10%, при условии, что продукты разложения не токсичнее исходного соединения. Этот период времени принимают за срок годности данного JIC. Для выполнения испытаний изотермическим методом необходимо предварительно доказать идентичность процесса разложения при различных температурах.


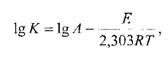
Зависимость скорости реакции от температуры определяется уравнением Аррениуса:

где К— константа скорости при некоторой температуре; Е — энергия активации, кДж/моль; Я — молярная газовая постоянная, равная 8,314 ДжДмоль • К); А — эмпирическая константа; Т— абсолютная температура.

Многочисленными экспериментами было установлено, что уравнение Аррениуса с достаточной точностью описывает зависимость скорости реакции от температуры в широком температурном интервале для реакций различных порядков.

Определение срока годности лекарственного средства с помощью уравнения Аррениуса осуществляют, выполняя следующие операции:

1.   Определение константы скорости разложения ЛС и порядка реакции, которые устанавливают экспериментально по трем-четырем значениям температуры (обычно в интервале от 40 до 70°С). Для этого из смеси ЛВ (с известной начальной концентрацией) и продуктов его разложения через определенные промежутки времени отбирают пробы. В каждой из них устанавливают концентрацию испытуемого ЛВ и подставляют это значение в уравнения для констант скоростей реакций различных порядков. На основании сделанных вычислений устанавливают, в каком из уравнений полученная величина будет иметь постоянное значение. Постоянство значений констант скорости указывает на пригодность того или иного уравнения и соответственно на порядок реакции. Затем производят вычисление среднего значения констант скоростей при всех температурах опыта.

2.   Построение графика зависимости в аррениусовых координатах — !"(1/7). Используя полученные значения различных температурах, строят график зависимости между логарифмом константы скорости реакции (-\%К) и обратным значением абсолютной температуры (1/7). Прямолинейная зависимость графика позволяет путем экстраполяции определить значения для 20°С (или другой заданной температуры) с последующим вычислением значения константы скорости К.

Константу скорости реакции разложения ЛВ можно рассчитать не только по графику, но и по выведенной из уравнения Аррениуса формуле:




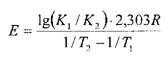
где Кт2 и Кп — константы скорости реакции при температурах 7^ и 7/.

Определив константу скорости реакции при более высокой температуре 72, можно рассчитать константу скорости для комнатной (или другой заданной) температуры Ту. При расчетах исходят из предположения, что энергия активации Е для данной реакции не зависит от температуры (или меняется незначительно).

3. Расчет энергии активации Е процесса разложения исследуемого Л В и вычисление эмпирической константы А уравнения Аррениуса.


По двум константам скорости реакции К1 и К2 (при условии, что К1 > К2), соответственно установленным при двух различных температурах Т/ и Т2( Т/> Т2), вычисляют энергию активации Е:

4. Вычисление времени разложения ЛВ (при заданной температуре) по соответствующему кинетическому уравнению и полученной величине К. По найденному значению А"рассчитывают время и в течение которого происходит разложение ЛВ при 20°С (или другой заданной температуре). Если процесс представляет собой химическую реакцию первого порядка, то расчет ведут по уравнению




где со — концентрация реагирующего вещества; с, — концентрация этого вещества, прореагировавшего к моменту времени Л

 

9. Пути повышения стабильности лекарственных средств

Методы стабилизации можно разделить на три группы: физические, химические и антимикробные. Они нередко дополняют друг друга.

Методы физической стабилизации. Эти методы основаны на изолировании ЛВ от влияния на их стабильность внешних факторов. Методы используют для замедления химических процессов, происходящих при разложении ЛВ (гидролиза, окисления-восстановления, изомеризации и др.), а также для предотвращения микробного загрязнения ЛС. Так, замедление реакции гидролиза ЛВ можно достигнуть максимальным снижением влажности. Это позволяет нередко увеличивать срок годности в десятки раз.

Существуют различные способы максимального обезвоживания ЛС. Наиболее широко используют ампулирование или герметизацию во флаконах предварительно обезвоженных и простерилизованных ЛВ или ЛФ. Их растворяют непосредственно перед применением. Довольно часто используют неводные растворители (пропиленгликоль, полиэтиленгликоль и др.) для приготовления стабилизированных ЛФ.

Можно повышать стабильность ЛВ, совершенствуя технологический режим процесса получения, повышая степень чистоты исходных и промежуточных продуктов. Существуют и другие пути повышения стабильности ЛФ в условиях промышленного производства. Это приготовление и ампулирование ЛС в токе инертных газов, получение жидких ЛФ в виде лиофилизированных порошков, приготовление сухих суспензий и эмульсий, применение новых способов стерилизации, подбор основ, растворителей, эмульгаторов, консервантов, антноксидантов и других вспомогательных веществ, обеспечивающих высокую стабильность, использование одноразовых герметических упаковок. Повышает до 2 лет сроки хранения использование различных ЛВ в составе глазных пленок. Растворы в шприц-тюбиках или тюбиках-капельницах имеют срок хранения 1-3 года.

На ЛВ, содержащиеся в таблетках, оказывают влияние не только внешние факторы (температура, влага, ультрафиолетовое облучение и т.д.), но и наполнители, вспомогательные вещества, гранулирующие жидкости, тип грануляции, технология изготовления таблеток. Вспомогательные вещества могут вступать с ЛВ в различные физические и химические взаимодействия, выступать в роли катализатора и т.д. Из физических процессов наиболее часто в таблетках может происходить явление адсорбции ЛВ такими наполнителями, как крахмал, производные метилцеллюлозы и др. Для физической стабилизации таблеток используется применение различного рода покрытий, защищающих Л В от воздействия внешних факторов, а также от микробной загрязненности.

Если процесс представляет собой реакцию второго порядка и реагирующие вещества взяты в эквивалентных количествах, то время хранения рассчитывают по уравнению

Важной характеристикой, определяющей защитные свойства упаковочных материалов, является светопроницаемость. Особенно большое значение имеет проницаемость упаковки для УФ-лучей, которые интенсифицируют процессы деструкции самих ЛВ и могут вызывать деструктивные изменения в полимерных материалах. Они воздействуют на карбонильные и ароматические циклы, входящие в структуру полимеров, и приводят к образованию продуктов распада карбонильного. гидроксильного и пероксидного типа, способных вызвать усиление поглощения УФ-лучей.

Методы химической стабилизации. Эти методы основаны на введении в лекарственную форму веществ, предотвращающих или замедляющих химические процессы (гидролиз, окисление, каталитическое влияние примесей), приводящие к разложению ЛВ. Стабильность ЛС химическим путем можно повышать после предварительного исследования кинетичи процессов, происходящих в них под влиянием различных факторов. Если известен механизм химической реакции, то можно предусмотреть кинетику разложения ЛВ в зависимости от влияния растворителя, pH среды, температуры, влажности, света. Исходя из этого, можно рассчитывать или устанавливать опытным путем оптимальные условия, в которых ЛС будет наиболее стабильным.

Обычно для химической стабилизации используют антиоксиданты, комплексообразователи и другие стабилизаторы, которые добавляют в ЛФ.

Антиоксиданты, являясь сильными восстановителями, обладают более высокой реакционной активностью по отношению к кислороду, чем ЛВ. Точнее говоря, значения окислительно-восстановительных потенциалов у антиоксидантов выше, чем у большинства ЛВ. Окисляясь сами, антиоксиданты предохраняют ЛВ от окисления. В качестве антиоксидантов используют натрия гидросульфит, аскорбиновую кислоту, тиомочевину и др.

Восстановительные свойства многих антиоксидантов обусловлены присутствием или образованием сульфит-ионов. Механизм защитного действия сульфитов сводится к разложению гидропероксидных соединений, образующихся в процессе окисления органических ЛВ. Действие сульфитов при стабилизации связано с их способностью окисляться значительно быстрее, чем стабилизируемое ЛВ. При этом из ЛФ (водный раствор) удаляется кислород. Прямая реакция между сульфит-ионом и кислородом протекает с низкой скоростью, так как молекулы находятся в разных мультиплетных состояниях. Чистые растворы сульфита натрия не окисляются кислородом, но присутствие незначительных количеств ионов меди (10"'3 ммоль/л) значительно ускоряет реакцию. Аналогичное влияние оказывает даже небольшая примесь других ионов металлов.

Для удаления примесей ионов металлов используют различные химические вещества, например комплексообразователи, которые связывают примеси ионов металлов, катализирующих окислительно-восстановительные реакции. В качестве комплексообразователей наиболее часто применяют производные этилендиаминтетрауксусной кислоты, дигидроксиэтилглицин, инозитфосфорную, лимонную и винную кислоты. С их помощью стабилизируют растворы производных кислоты салициловой, фенотиазина, кислоты изоникотиновой, адреналина, глюкозы, некоторых антибиотиков, витаминов, рентгеноконтрастных и других Л В.

Пролонгировать сроки годности Л С можно добавлением к ним малых количеств стабилизаторов. Подбор необходимого стабилизатора осуществляют эмпирически, поскольку механизм процессов, происходящих под действием стабилизаторов, не всегда исследован. При этом учитывают, что процессы разложения ЛВ зависят как от их химической структуры, так и от влияния различных внешних факторов. Стабилизаторами могут быть неорганические вещества: кальция хлорид, монокалийфосфат (калия фосфат однозамещенный); органические вещества: ацетат натрия, этанол, глицерол, поливиниловый спирт, этиленгликоль, лактоза, глюкоза, мочевина, тиомочевина, метионин, цистеин, лимонная кислота, аскорбиновая кислота. Весьма эффективными стабилизаторами являются органические соединения, в т.ч. лекарственные вещества гетероциклической структуры: поливинилпирролидон, изониазид, никотиновая кислота, изоникотиновая кислота, кофеин, аденозинтрифосфорная кислота.

В решении проблемы химической стабилизации лекарственных средств важное место принадлежит соединениям включения. Они образуются вследствие внедрения молекул одного вещества («гостя») в полости, имеющиеся в кристаллической решетке другого вещества («хозяина»), В зависимости от формы полости соединения включения могут иметь тоннельные, клеточные и слоистые структуры. Соединения включения с клеточным строением полостей называют клатратами. Процесс включения возможен только при соответствии размеров полостей «хозяина» и молекул «гостей». Поэтому для выполнения функций «хозяина» наиболее пригодны мочевина, тиомочевина, циклодекстрины, холевые кислоты, оксифлавоны, целлюлоза и другие вещества, внутренний диаметр молекул у которых 5-10 пм (пикометров) и более. Одно из основных направлений применения соединений включения в фармацевтической практике — возможность получения стабильных композиций ЛВ и пролонгирование сроков их годности.

Важная роль в пролонгировании сроков годности лекарств принадлежит антимикробной стабильности. Ряд ЛВ и особенно Л Ф служат хорошей средой для развития микроорганизмов, среди которых могут быть не только сапрофита, но и патогенные микроорганизмы. Микробному загрязнению способствуют вспомогательные вещества (крахмал, сахара и др.). В общей номенклатуре Л С около 82% выпускаются для неинъекционного введения, в том числе 65% из них для приема внутрь. Они не стерилизуются, не имеют фармакопейных требований по стерильности и готовятся в условиях, не гарантирующих микробиологическую чистоту. Микроорганизмы, в том числе и патогенные, могут быть внесены в ЛС с сырьем, технологической водой, во время фасовки, упаковки, перевозки, при хранении, применении и т.д.

Проблема микробной загрязненности возникла после того, как в целом ряде стран в результате перорального приема ЛС появились случаи лекарственной инфекции у больных, в том числе сальмонеллезом. Были также обнаружены в ЛВ ряд энтеробактерий, стафилококков, споровых палочек, дрожжевых и плесневых грибов, причем число микроорганизмов в 1 г (I мл) достигало нескольких десятков миллионов. Поэтому ВОЗ и Международная федерация фармацевтов (МФФ) установили нормы, ограничивающие микробную загрязненность нестерильных готовых ЛС. Разработаны схемы и методы определения микробной загрязненности ЛС. Эти нормы и методы включены в фармакопеи большинства стран мира, в т.ч. в ГФ XI (в. 2, с. 193). Периодически в них вносятся изменения.

Развитие микрофлоры можно приостановить с помощью консервантов — веществ, оказывающих бактериостатическое и бактерицидное действие. В качестве консервантов используют неорганические соединения (борную кислоту, соли тяжелых металлов, пероксид водорода), органические соединения (фенолы, этиловый спирт, бензойную кислоту и др.). Пользуясь консервантами, всегда следует иметь в виду, что некоторые из них являются токсическими веществами или обладают аллергическим, канцерогенным, мутагенным действием. Поэтому следует строго контролировать концентрацию консервантов в ЛС.


Не нашли материал для своей работы?
Поможем написать уникальную работу
Без плагиата!
Без нейросетей!