Растворы для инъекций

  • Вид работы:
    Курсовая работа (т)
  • Предмет:
    Медицина, физкультура, здравоохранение
  • Язык:
    Русский
    ,
    Формат файла:
    MS Word
    642,57 Кб
  • Опубликовано:
    2012-05-25
Вы можете узнать стоимость помощи в написании студенческой работы.
Помощь в написании работы, которую точно примут!

Растворы для инъекций













Курсовая работа

на тему

Растворы для инъекций

План

инъекционный раствор лекарственный

I. Введение

II. Цели и задачи

III. Инъекционные растворы как лекарственная форма

IV. Стадии технологического процесса

1.  Подготовительные работы

2.       Изготовление раствора

.        Фильтрование и фасовка

.        Стерилизация раствора

.        Контроль качества готовой продукции

.        Оформление к отпуску

V. Практическая часть

VI. Экспериментальная часть

Вывод

Используемая литература

I.Введение

Одной из важнейших дозированных лекарственных форма являются растворы для инъекций - solutiones pro injectionibus.

Раствор - жидкая лекарственная форма, полученная путем растворения одного или нескольких лекарственных веществ, предназначенная для инъекционного применения.

Необычная широта применения инъекционных растворов обусловлена сравнительно большей действенностью и скоростью наступления эффекта при парентеральном введении лекарственных веществ. Это объясняется тем, что при данном способе введении лекарственные вещества попадают непосредственно во внутренние среды организма, минуя естественные барьеры. Тем самым, во-первых, ускоряется наступление фармакологического эффекта; во-вторых, увеличивается точность дозировки, так как устраняются те естественные потери лекарственного вещества, которые неизбежны при всасывании его слизистой оболочкой системы пищеварения; в-третьих, вещество, реагируя с тканями организма массою всей своей дозой (особенно при внутривенном введении), обусловливает более выраженный эффект, чем при энтеральном пути введения. Еще одним преимуществом этих растворов является то, что инъекции можно делать больному, который не в состоянии принять лекарственные вещества в силу потери сознания, наличия черепно-лицевого ранения и т.д. Кроме того, ампулированные инъекционные растворы являются формой портативной, удобной для хранения и транспортировки. Все это делает их одной из наиболее приемлемых дозированных лекарственных форм в практике лечебных учреждений самого различного профиля. Массовый выпуск ампул-шприцев еще более расширяет возможности применения инъекционных растворов в целях неотложной помощи.

Вместе с тем инъекционному способу введения лекарств присущи и недостатки, что должно быть учтено врачами и фармацевтами. Вследствие того, что лекарства вводятся, минуя защитные барьеры организма, возникает опасность его инфицирования, поэтому одним из важнейших требований, предъявляемых к инъекционным лекарствам, является стерильность. Введение непосредственно в ткань может вызвать изменение осмотического давления, значения рН и другие физиологические нарушения. При этом ощущается резкая боль, жжение, иногда лихорадочные явления. При введении лекарства непосредственно в кровь возникает опасность закупорки мелких кровеносных сосудов твердыми частицами или пузырьками воздуха, размеры которых превышают диаметр сосудов, что является весьма опасным. В связи с этим к инъекционным лекарствам предъявляются строгие требования, исключающие возможность изменения состава крови и закупорку кровеносных сосудов (эмболии).

II. Цели и задачи курсовой

. Изучить теоретические основы технологии приготовления лекарственных форм для инъекций.

. Познакомиться с последними исследованиями и достижениями в данной области (в вопросах подготовки вспомогательного материала, стабилизации, изотонирования и стерилизации растворов для инъекций, а так же контроля их качества).

. В условиях производственной аптеки провести следующую работу:

) Изучить и сравнить с нормативной документацией:

условия изготовления инъекционных лекарственных форм;

условия получения воды для инъекций;

оснащение и оборудование асептического блока, уход за ним;

) Оценить качество инфузионного раствора по микробиологическим показателям, на примере раствора натрия хлорида изотонического.

III. Инъекционные растворы, как лекарственная форма

Различают две формы введения жидкостей в организм - инъекция (injectio - впрыскивание) и инфузия (infusio - вливание). Различие между ними заключается в том, что первые представляют собой сравнительно небольшие объемы жидкости, вводимые с помощью шприца, а вторые - большие объемы, вводимые капельно или струйно.

Инфузионные растворы способны поддерживать функции организма, не вызывая сдвига физиологического равновесия или приводя это равновесие к норме. Они, как правило, содержат макроэлементы, характерные для плазмы крови, но могут быть насыщены и микроэлементами, выполняющими важную физиологическую функцию.

Кровь в организме человека составляет 7,8% по отношению к общей массе, плазмы - 4,4, форменные элементы крови - 3,4%. Диаметр эритроцита в среднем составляет 7,55±0,0009 мкм.

Широкое использование инъекционных лекарственных форм в медицинской практике стало возможным в результате изыскания эффективных способов стерилизации, изобретения специальных сосудов (ампул) для хранения стерильных лекарственных форм.

Идея введения лекарственных веществ с нарушением кожного покрова принадлежит врачу А. Фуркруа (1785). Впервые подкожное впрыскивание с помощью серебряного наконечника, вытянутого в иглу, применил русский врач П. Лазарев (1851). В 1852 г. французский врач Ш.Г. Правац предложил шприц современной конструкции.

Классификация инъекций

Внутрикожные инъекции, или интракутанные (injections intraсutantat). Весьма малые объемы жидкости (0,2 - 0,5 мл) вводятся в кожу между ее наружным (эпидермис) и внутренним (дерма) слоями.

Подкожные инъекции (injections subcutaneae). В подкожную клетчатку могут быть введены растворы (водные или масляные), суспензии, эмульсии, обычно в малых объемах (1 -2 мл). Иногда капельным методом подкожно в течение 30 мин может быть введено до 500 мл жидкости.

При подкожном введении инъекцию проводят в наружную поверхность плеч и подлопаточные области. Всасывание происходит через лимфатические сосуды, откуда лекарственные вещества попадают в ток крови. Скорость всасывания зависит от природы растворителя. Водные растворы всасываются быстро, масляные растворы, суспензии и эмульсии всасываются медленно, обеспечивая пролонгированное действие.

Внутримышечные инъекции (injectiones intramusculares). Малые объемы (иногда до 50 мл) жидкости, обычно 1-5 мл, вводят в толщу мышц, преимущественно в область ягодиц, в верхненаружный квадрат, наименее богатый сосудами и нервами. Всасывание лекарственных веществ происходит через лимфатические сосуды.

Так же как и в случае подкожных инъекций, внутримышечно могут быть введены растворы (водные, масляные) суспензии и эмульсии. Скорость всасывания также зависит от характера дисперсной системы и природы растворителя (дисперсионной среды), но, как правило, всасывание лекарственных веществ идет быстрее, чем в случае подкожных инъекций.

Внутрисосудистые инъекции. Внутрь сосудов можно вводить только водные, совершенно прозрачные растворы, хорошо смешивающиеся с кровью.

Внутривенные инъекции (injections intravenosae) получили наибольшее распространение в медицинской практике. Водные растворы в объемах от 1 до 500 мл и более вводят непосредственно в венозное русло, чаще в локтевую вену. Действие лекарственных веществ развивается быстро. Вливание больших объемов раствора проводят медленно 120-180 мл в течение 1 ч, часто капельно (в этом случае раствор вводят в вену не через иглу, а через канюлю со скоростью 40-60 капель в минуту). Метод позволяет вводить до 3000 мл жидкости.

При внутривенном введении лекарственное вещество поступает немедленно и полно в большой круг кровообращения, проявляя при этом максимально возможный лечебный эффект. Таким путем достигается абсолютная биологическая доступность лекарственного вещества. Одновременно внутривенный раствор может служить стандартной формой при определении относительной биологической доступности лекарственных веществ, назначенных в иных лекарственных формах.

Внутриартериальные инъекции (injections intraartheriales) - это введение растворов обычно в бедренную или плечевую артерию. Действие лекарственных веществ в этом случае проявляется особенно быстро (через 1-2 с).

Буферные свойства крови, регулирующие рН, позволяют вводить в кровь жидкости с рН от 3 до 10. Масляные растворы вызывают эмболию (закупоривание капилляров), а вазелиновое масло в качестве растворителя непригодно даже для внутримышечного и подкожного введения, поскольку образует болезненно устойчивые олеомы (масляные опухоли). Нельзя также вводить в кровь суспензии, можно вводить эмульсии, но только с диаметром частиц, не превышающим диаметр эритроцитов (не более 1 мкм). Такими являются эмульсии для парентерального питания и эмульсии, выполняющие функции переносчиков кислорода.

Инъекции в центральный спинномозговой канал (injectiones intraarachnoidales, s. injections cerebrospinales, s. injections endolumbales0. Небольшие объемы жидкости (1-2 мл) вводят в подпаутинное пространство между мягкой и паутинной оболочками в области III - V поясничных позвонков. Обычно этим методом вводят анестезирующие растворы и растворы антибиотиков. Всасывание при этом идет медленно. Для спинномозговых инъекций применяют только истинные растворы с рН не менее 5 и не более 8.

Спинномозговые инъекции должен проводить только опытный врач-хирург, так как ранее концевой нити спинного мозга может привести к параличу нижних конечностей.

Реже используют другие виды инъекций: подзатылочные (внутричерепные - injectones suboccipitales), околокорешковые (injections paravertebrales), внутрикостные, внутрисуставные, внутриплевральные и т.д. Для внутричерепных инъекций применяют только истинные водные растворы (1 - 2 мл) нейтральной реакции. Действие лекарственного вещества развивается мгновенно.

В последние десятилетия достаточно широко применяют метод введения лекарственного вещества с помощью безыгольных инъекторов. Лекарственные вещества вводят очень тонкой струёй (диаметром в десятые и сотые доли миллиметра) под высоким давлением (до 300 кгс/см). Способ относительно безболезненный, не повреждающий кожу, обеспечивает быстрое наступление фармакологического эффекта, требует более редкой стерилизации инъектора, может обеспечить большое количество инъекций, вводимых в единицу времени (до 1000 инъекций в час).

IV. Стадии технологического процесса

В технологическом процессе производства инъекционных растворов выделяют 6 основных стадий:

. Подготовительные мероприятия.

.1. Создание асептических условий изготовления (подготовка асептического блока, персонала, оборудования, вспомогательного материала, тароукупорочных средств).

.2. Подготовка лекарственных и вспомогательных веществ.

. Растворение и химический контроль.

.1. Дозирование (отмеривание) растворителя.

.2. Добавление лекарственных веществ.

.3. Добавление стабилизатора.

.4. Химический контроль.

. Фильтрование и фасовка.

.1. Фильтрование

.2. Дозирование раствора.

.3. Укупорка резиновыми пробками.

.4. Первичный контроль отсутствия механических включений.

.5. Укупорка (обкатка) металлическими колпачками.

.6. Маркировка флаконов (подготовка к стадии 4)

. Стерилизация.

. Контроль качества изготовленных лекарственных препаратов.

.1. Вторичный контроль отсутствия механических включений.

.2. Физико-химический анализ.

.3. Бракераж.

. Маркировка (оформление к отпуску).

Особое внимание следует обратить на то, что в соответствии с приказом МЗ РФ № 214 от 16 июля 1997г. изготовление стерильных растворов запрещается при отсутствии данных о химической совместимости, входящих в них лекарственных веществ, технологии и режиме стерилизации, а также при отсутствии методик анализа для полного химического контроля.

. Подготовительные работы

Подготовительные работы включают подготовку помещения, оборудования, обеззараживание воздуха, подготовка посуды, тароукупорочных средств, вспомогательных материалов, растворителя, лекарственных веществ, а также персонала. Данные мероприятия регламентируются приказом МЗ РФ №309 от 21 октября 1997г. Перечень предупредительных мероприятий приведен также в п. 3 Инструкции по контролю качества лекарственных средств, изготовляемых в аптеках, утвержденных МЗ РФ от 16 июнь 1997г. приказом №214.

1.1 Требования и подготовка к работе помещения и оборудования асептического блока

Приготовление инъекционных растворов ведут в асептическом блоке. Помещения асептического блока должны размещаться в изолированном отсеке и исключать перекрещения «чистых» и «грязных» потоков воздуха. Асептический блок должен иметь отдельный вход или отделяться от других помещений производства шлюзами.

Перед входом в асептический блок должны лежать резиновые коврики или коврики из пористого материала, смоченные дезинфицирующими средствами ( 0,75% раствор хлорамина Б с 0,5% моющего средства или 3% раствор перекиси водорода с 0,5% моющего средства).

В шлюзе должна быть предусмотрена скамья для переобувания с ячейками для спец. обуви, шкаф для халата и биксов с комплектами стерильной одежды, раковина (кран с локтевым или ножным приводом), воздушная электросушилка и зеркало, гигиенический набор для обработки рук, инструкция о порядке переодевания и обработке рук, правила поведения в асептическом блоке.

В ассистентской-асептической не допускается подводка воды и канализации.

Для защиты стен от повреждений при транспортировки материалов или продукции (тележки и др.) необходимо предусмотреть специальные уголки или другие приспособления.

Для исключения поступления воздуха из коридора и производственных помещений в асептический блок, в последнем необходимо предусмотреть приточно-вытяжную вентиляцию. При этом движение воздушных потоков должно быть направлено из асептического блока в прилежащие к нему помещения, с преобладание притока над вытяжкой.

Рекомендуется с помощью специального оборудования создание горизонтальных или вертикальных ламинарных потоков чистого воздуха во всем помещении или в отдельных локальных зонах для защиты наиболее ответственных участков или операций (чистые камеры), или столы с ламинарным потоком воздуха. Они должны иметь рабочие поверхности и колпак из гладкого прочного материала.

Скорость ламинарного потока в пределах 0,3-0,6 м при регулярном контроле стерильности не реже 1 раза в месяц.

В помещении асептического блока необходимо поддерживать безупречную чистоту. Влажную уборку ассистентской - асептической проводят не реже одного раза в смену в конце смены с использованием дезинфицирующих средств. Ни в коем случае не допускается сухая уборка помещения. Один раз в неделю проводиться генеральная уборка, по возможности с высвобождением от оборудования.

Необходимо строго соблюдать последовательность стадий при уборки асептического блока. Начинать следует с асептической. Вначале моют стены и двери от потолка к полу. Движения должны быть плавными, обязательно сверху вниз. Затем моют и дезинфицируют стационарное оборудование и, в последнюю очередь, полы.

Все оборудование и мебель, вносимые в асептический блок, предварительно обрабатывают дезинфицирующим раствором.

Для уборки и дезинфекции поверхностей рекомендуется использовать поролоновые губки или салфетки с заделанными краями из не волокнистых материалов. Для протирки полов можно использовать тряпки с заделанными краями из грубых тканей.

Приготовление растворов дезинфицирующих средств должно осуществляться специально обученным персоналом в соответствии с действующими инструкциями.

Для дезинфекции твердых поверхностей, стен и полов допускается использование следующих дез.средств.

Дезинфицирующее средство

 Кон-центрация, %

Экспо-зиция,мин

 Способ применения

Хлорамин Б  Хлорамин Б с 0,5% моющего средства  Гипохлорит натрия  Гипохлорит натрия, полученный в электрохимической установки ЭЛМА-1  Перекись водорода с 0,5% моющего средства

 1  0,75 1  0,5   3

3   60 60    60

2-кратное протирание или орошение поверхностей из расчета 300 мл/м²   Орошение  2-кратное протирание с интервалом 15 мин.   Орошение из расчета 300 мл/м². Для мебели с последующим протиранием сухой чистой тряпкой.


Отходы производства и мусор должны собираться в специальные контейнера с приводной крышкой. Удаление мусора должно осуществляться не реже одного раза в смену. Раковины для мытья рук и контейнера для мусора моют и дезинфицируют ежедневно.

.2 Обеззараживание воздуха

Для дезинфекции воздуха и различных поверхностей в асептическом помещении устанавливают бактерицидные излучатели (стационарные или передвижные) с открытыми или экранированными лампами. Количество и мощность бактерицидных ламп должна подбираться из расчета не менее 2-2,5 Вт мощность неэкранированного излучателя на 1 м³ объема помещения. При экранированных бактерицидных лампах - 1 Вт на 1 м³.

Настенные бактерицидные облучатели ОБН-150 устанавливают из расчета 1 облучатель на 30 м³ помещения; потолочные ОБП-300 - из расчета один на 60 м³; передвижной ОБП-450 с открытыми лампами используется для быстрого обеззараживания воздуха в помещениях объемом до 100 м³. Оптимальный эффект наблюдается на расстоянии 5 м от облучаемого объекта.

Открытые бактерицидные лампы применяются в отсутствии людей в перерывах между работой, ночью или в специально отведенное время до начала работы на 1-2 часа. Включатели для открытых ламп следует располагать перед входом в производственное помещение и оборудовать сигнальной надписью «Горят бактерицидные лампы» или «Не входить, включен бактерицидный облучатель». Нахождение в помещениях, в которых работают неэкранированные лампы, запрещается. Вход в помещение разрешается только после отключения неэкранированной бактерицидной лампы, а длительное пребывание в указанном помещении - только через 15 мин после отключения.

При использовании экранированных ламп дезинфекцию воздуха в присутствии людей проводить можно. В этих случаях лампы размещают в специальной арматуре на высоте не ниже 2 м от пола. Арматура должна направлять поток лучей лампы вверх под углом в пределах от 5 до 80º над горизонтальной поверхностью.

Экранированные бактерицидные лампы могут работать до 8 часов в сутки. Если после 1,5-2 часов непрерывной работы ламп при отсутствии достаточной вентиляции в воздухе будет ощущаться запах озона, рекомендуется выключить лампы на 30-60 мин.

При использовании штативной облучательной установки для специального облучения каких-либо поверхностей, ее необходимо максимально приблизить для проведения облучения в течение не менее 15 мин.

.3 Подготовка персонала

Персонал является одним из основных источников загрязнения окружающего воздуха и растворов лекарственных средств микроорганизмами и посторонними частицами. Поэтому к нему предъявляются повышенные требования ответственности, аккуратности и дисциплинированности. Персонал, работающий в асептическом блоке, должен знать основы гигиены и микробиологии санитарные требования и правила работы в асептических условиях.

Периодически (ежегодно) персонал должен проходить переподготовку, а вновь поступающие на работу должны быть ознакомлены с соответствующими документами, регламентирующими процесс производства стерильных растворов.

Для работы в асептических условиях (на участке приготовления, розлива, укупорки) комплект одежды должен быть стерильным и состоять из халата, шапочки, резиновых перчаток, бахил и повязки (например, 4-слойной марлевой типа "лепесток"). Оптимальным является использование брючного костюма со шлемом или комбинезона. При этом одежда должна быть собрана на запястьях и высоко на шее. Не допускается наличие у персонала одежды, в которой он находится на улице, а также объемной, ворсистой одежды под стерильной санитарной одеждой.

Комплект одежды стерилизуют в биксах в паровых стерилизаторах при 1200С в течение 45 минут или при 132оС - 20 минут и хранят в закрытых биксах не более 3-х суток.

Обувь персонала асептического блока перед началом и после окончания работы дезинфицируют снаружи (2-кратное протирание дезраствором) и хранят в закрытых шкафах или ящиках в шлюзе.

При входе в шлюз надевают обувь, моют руки, надевают халат, шапочку, повязку, которую меняют каждые 4 часа, бахилы, дезинфицируют руки. На обработанные руки персонала, занятого на участке розлива и укупорки раствора, особенно не подвергаемого термической стерилизации, должны быть надеты стерильные резиновые перчатки (6ез талька), при этом рукава должны быть заправлены в перчатки.

При обработке рук необходимо свести до минимума количество микроорганизмов на кожном покрове рук и замедлить поступление новых из глубины кожи.

Для механического удаления загрязнений и микрофлоры руки моют теплой проточной водой с мылом и щеткой в течение 1 - 2 мин., обращая внимание на околоногтевые пространства. Для удаления мыла руки ополаскивают водой и вытирают насухо, после того, как надета стерильная одежда, руки смывают водой и обрабатывают дезсредствами. Оптимально использовать такие сорта мыла, как подарочное, банное, детское, хозяйственное, обладающие высокой пенообразующей способностью. Сорта с добавлением специальных компонентов (сульсеновое, дегтярное, борно-тимоловое, карболовое мыло) не являются достаточно эффективными для снижения микробной обсемененности кожи рук персонала.

Щетки предварительно моют, сушат и стерилизуют в паровом стерилизаторе при температуре 120оС в течение 20 минут, или кипятят в воде или растворе натрия гидрокарбоната 2 % в эмалированной посуде в течение 15 минут. Хранят их в стерильных биксах или посуде, вынимая по мере надобности стерильным корнцангом, который должен храниться в стакане с 0,5 % раствором хлорамина Б.

Для дезинфекции рук используют следующие средства: раствор хлоргексидина биглюконата (гибитана) 0,5%, раствор иодопирона 1%, раствор хлорамина 0,5 %. Их необходимо чередовать кaждыe 5 -6 дней для предотвращения появления устойчивых форм микроорганизмов.

При обеззараживании рук иодопироном или раствором хлоргексидина препарат наносят на ладони в количестве 5 - 8 мл и втирают в кожу рук; при обработке рук раствором хлорамина их погружают в раствор и моют в течение 2-х минут, затем дают рукам высохнуть.

После окончания работы руки обмывают теплой водой и обрабатывают смягчающими средствами, например, смесью из равных частей глицерина, 10 % раствора аммиака и воды.

При работе в асептических условия:

запрещается входить в асептическую комнату в не стерильной одежде и выходить из асептического блока в стерильной одежде; курить и принимать пищу; поднимать и повторно использовать предметы, упавшие на пол во время работы; движения персонала должны быть медленными, плавными и рациональными. Целесообразно предусмотреть в специальной одежде персонала отличительные знаки, например, головные уборы другого цвета, кроме белого, чтобы было легко распознать нарушения порядка перемещения кого-нибудь из персонала в асептической зоне, между помещениями или за пределами асептического блока.

следует ограничить разговоры и перемещения в асептическом блоке, чтобы не увеличивать число выделяемых микроорганизмов и частиц. При необходимости устного общения с сотрудником; находящимся вне асептического блока, следует использовать телефон или другое переговорное устройство.

очищать нос следует в шлюзе с использованием стерильного платка или салфетки; руки после этого необходимо вымыть и продезинфицировать.

рекомендуется носить короткую стрижку при этом волосы должны. быть убраны под плотно прилегающую шапочку или косынку, делать гигиенический маникюр без покрытия ногтей лаком, не пудриться до и во время работы, красить губы только жирной помадой, не носить ювелирные изделия (серьги, кольца, броши и т. п.).

Во избежание распространения микроорганизмов обо всех случаях заболевания (кожные, простудные, порезы, нарывы и т. п.) необходимо ставить в известность администрацию.

.4 Подготовка посуды и тароукупорочных средств

1. Подготовка посуды включает следующие операции: paстаривание, просмотр и отбраковка, дезинфекция (при необходимости), замачивание и мойка (или моюще-дезинфицирующая обработка), ополаскивание, стерилизацию, контроль качества обработки.

. Для расфасовки стерильных растворов используют бутылки и флаконы из нейтрального стекла марки НС-1 и НС-2.

Для растворов со сроком хранения не более 2-х суток допускается использование флаконов из щелочного стекла типа АБ-1 после их предварительной обработки (Приложение N 2). В случае поступления в аптеку посуды без указания марки стекла определяют его щелочность (Приложение N 3) и при необходимости посуду подвергают соответствующей обработке и контролю.

. Посуду новую и бывшую в употреблении (в неинфекционных отделениях лечебно-профилактических учреждений) обмывают снаружи и внутри водопроводной водой для удаления механических загрязнений и остатков лекарственных веществ, замачивают в растворе моющих средств на 25 - 30 мин. Сильно загрязненную посуду замачивают более продолжительное время ( до 2 -3 часов) (Приложение N 4).

. Посуду, бывшую в употреблении в инфекционном отделении, перед мытьем дезинфицируют (Приложение N 5).

После дезинфекции посуда должна быть промыта в проточной воде. Повторное использование одного и того же дезинфицирующего раствора не допускается.

. После замачивания в моющем или моюще-дезинфицирующем средстве посуду моют в этом же растворе с помощью ерша или моечной машины.

Для полноты смываемости моющих средств, содержащих поверхностно-активные вещества посуду ополаскивают 5 раз проточной водопроводной и 3 раза очищенной водой, заполняя флаконы и бутылки полностью. При машинном ополаскивании в зависимости от типа моечной машины время выдержки в режиме ополаскивания 5 - 10 мин.

После обработки моющими растворами горчицы или натрия гидрокарбоната с мылом достаточна пятикратная обработка водой (2 раза водопроводной и 3 раза очищенной). Оптимально последнее ополаскивание посуды проводить водой очищенной или водой для инъекций (для инъекционных растворов), профильтрованной через микрофильтр с размером пор не более 5 мкм.

. Контроль качества вымытой посуды проводят визуально по отсутствию пятен и подтеков, по равномерности стекания воды со стенок флаконов после их ополаскивания.

В смывах с внутренней поверхности посуды не должно быть видимых невооруженным глазом механических включений.

При необходимости полноту смываемости синтетических моющих и моюще-дезинфицирующих средств определяют по величине рН потенциометрическим методом, рН воды после последнего ополаскивания посуды должен соответствовать рН исходной воды.

После ополаскивания целесообразно каждый флакон или бутылку накрыть алюминиевой фольгой для предотвращения загрязнения посуды в процессе стерилизации перемещения.

. Чистую посуду стерилизуют горячим воздухом при 180оС в течение 60. мин. или насыщенным паром под давлением при 120оС в течение 45 мин. После снижения температуры в стерилизаторе до 60 . 70оС посуду вынимают, закрывают стерильными пробками и сразу же используют для розлива растворов. Допускается хранение посуды в течение 24 часов в условиях, исключающих ее загрязнение.

. Крупноемкие баллоны в порядке исключения разрешается после мытья обеззараживать пропариванием острым паром в течение 30 мин. После стерилизации (или обеззараживания емкости) закрывают стерильными пробками, фольгой или обвязывают стерильным пергаментом и хранят в условиях, исключающих их загрязнение, не более 24часов.

.5 Обработка укупорочных средств, вспомогательного материала

1. Процесс подготовки дает возможность получить стерильные пробки, не содержащие видимых механических включений и состоит из следующих операций: просмотр и отбраковка, мойка, стерилизация, сушка (при необходимости).

. Для укупорки флаконов и бутылок с водными, водно-спиртовыми и масляными растворами используют пробки из резиновой смеси марок ИР-21 (светло-бежевого цвета), ИР-119, ИР-119А (серого цвета), 52-369, 52-369/1, 52-369/2 (черного цвета), допускается использование пробок из резиновой смеси марки 25П (красного цвета) для водных растворов экстемпорального изготовления.

. Новые резиновые пробки моют вручную или в стиральной машине в горячем (50-60оС) 0,5 % растворе моющих средств "Лотос" или "Астра" в течение 3-х минут (соотношение веса пробок и раствора моющего средства 1 : 5); промывают 5 раз горячей водопроводной водой, каждый раз заменяя ее свежей, и 1 раз очищенной водой; кипятят в 1 % растворе натрия гидрокарбоната в течение 30 минут, промывают 1 раз водопроводной водой и 2 раза очищенной. Затем помещают в стеклянные или эмалированные емкости, заливают очищенной водой, закрывают и выдерживают в паровом стерилизаторе при -120оС в течение 60 минут. Воду после этого сливают и пробки еще раз промывают очищенной водой.

. После обработки пробки стерилизуют в биксах в паровом стерилизаторе при 120оС в течение 45 мин. Стерильные пробки хранят в закрытых биксах не более 3-х сут. После вскрытия биксов пробки должны быть использованы в течение - 24 часов.

При заготовке впрок резиновые пробки после обработки (п. 2.3.), не подвергая стерилизации, сушат в воздушном стерилизаторе при температуре не выше 50оС в течение 2 часов и хранят не более 1 года в закрытых биксах или банках в прохладном месте. Перед использованием резиновые пробки стерилизуют в паровом стерилизаторе при 120оС в течение 45 минут.

. Резиновые пробки, бывшие в употреблении, промывают очищенной водой, кипят в очищенной воде 2 раза по 20 минут, каждый раз заменяя воду свежей, и стерилизуют, как указано выше.

Резиновые пробки, бывшие в употреблении в инфекционном отделении, подвергаются дезинфекции и повторно не используются.

. В смывах с обработанных пробок не должно быть механических включений, видимых невооруженным глазом.

. Алюминиевые колпачки после просмотра и отбраковки выдерживают 15 минут в 1 - 2% растворе моющих средств, подогретом до 70 - 80оС. Соотношение массы колпачков к объему моющего раствора 1: 5. Затем раствор сливают и колпачки промывают проточной водопроводной водой, затем водой очищенной. Чистые колпачки помещают в биксы и сушат в воздушном стерилизаторе при температуре 50 - 60оС. хранят в закрытых емкостях (биксах, банках, коробках) в условиях, исключающих их загрязнение.

. Вспомогательный материал (вата, марля, пергаментная бумага, фильтры и т. п.) помещают в биксы или банки и стерилизуют в паровом стерилизаторе при 120оС в течение 45 минут. Хранят в закрытых биксах или банках в течение 3-х суток, после вскрытия материал используют в течение 24 часов.

. Различные стеклянные, фарфоровые и металлические предметы (колбы, цилиндры, воронки и т. п.) стерилизуют в воздушном стерилизаторе при 180оС- 60 минут или в паровом стерилизаторе при 120оС в течение 45 минут, используя стерилизационные коробки, биксы, двухслойные упаковки из бязи или пергамента.

. Съемные части технологического оборудования, непосредственно соприкасающиеся с раствором ЛС (трубки резиновые и стеклянные, фильтр-держатели, мембранные микрофильтры, прокладки и др.) обрабатывают, стерилизуют и хранят в режимах, описанных в документации по использованию соответствующего оборудования.

.6 Подготовка и выбор растворителя

Лекарственные вещества и растворители, применяемые для приготовления инъекционных растворов, должны соответствовать требованиям ГФ, ФС или ВФС. Особые требование предъявляются к растворителям для приготовления инъекционных растворов.

Стерилизация приводят лишь к гибели микроорганизмов; убитые микробы, продукты их жизнедеятельности и распада остаются в воде и обладают пирогенными свойствами, вызывая резкий озноб и другие не желательные явления. Наиболее резко пирогенные реакции проявляются при сосудистых, спинномозговых и внутричерепных инъекциях.

Поэтому приготовление инъекционных растворов должно производится на воде, не содержащей пирогенные вещества.

Введена методика обнаружения и нормы содержания пирогеннообразующих микроорганизмов до стерилизации для инъекционных и инфузионных растворов аптечного изготовления, на которые имеется нормативно-техническая документация.

Для предупреждения окисления лекарственных веществ, необходимо, чтобы используемая вода содержала минимальное количество растворенного кислорода. Поэтому необходимо применять свежепрокипяченную воду для инъекций.

Вода для инъекций должна отвечать требованиям к воде очищенной и быть апирогенной. Её можно хранить не более 24 часов в асептических условиях

В аптеки контроль и испытания на пирогенность воды для инъекций проводят не реже 2 раз в квартал. Воду очищенную и воду для инъекций обязательно подвергают качественному анализу (пробы берут из каждого баллона, а при подаче воды по трубопроводу на каждом рабочем месте) на отсутствие Cl²¯ , SO ²¯солей Ca²+. Вода, предназначенная для приготовления стерильных растворов, кроме указанных выше испытаний, проверяют на отсутствие восстанавливающих веществ, солей аммония и двукислого углерода в соответствие с требованиями действующей ГФ.

Ежеквартально вода для инъекций и вода очищенная направляются в контрольно-аналитическую лабораторию для полного химического анализа.

Результаты контроля воды очищенной и воды для инъекций должны регистрироваться в журнале, форма которого приведена в приложении 3 к инструкции приказа МЗ РФ №214.

Требования к получению, транспортировки и хранению воды для инъекций приведены в п.7 инструкции приказа №309.

Получение воды для инъекций должно осуществляться в помещении дистилляционной асептического блока, где категорически запрещается выполнять какие-либо работы не связанные с перегонкой воды при помощи аквадистилляторов марки АЭ-25, ДЭ-25, АА-1, А-10, АЭВС-4 и др. Аквадистилляторы этих марок снабжены сепараторами, которые препятствуют прохождению капелек воды, которые могут содержать микроорганизмы, в конденсационную камеру.

Воду для инъекций используют свежеприготовленной и хранят при температуре 5-10°С или 80-95°С в закрытых емкостях, изготовленных из материалов, не изменяющих свойств воды, защищая её от попадания механических включений и микробиологических загрязнений, не более 24 часов.

Полученную воду для инъекций собирают в простерилизованные обработанные паром сборники промышленного производства (в порядке исключения стеклянные баллоны). Сборники должны иметь четкую надпись «Вода для инъекций», прикрепляется бирка с указанием даты её получения, № анализа и подписью проверившего. Если используются одновременно несколько сборников, их номеруют. На этикетках емкостей для сбора и хранения воды для инъекций должно быть обозначено, что содержимое не простерилизовано.

В дополнение к инструкции приказа №309, в настоящее время разработаны несколько ФС, регламентирующих качество воды для инъекций:

ФС42-2620-97 «Вода для инъекций»

ФС42-213-96 «Вода для инъекций в ампулах»

ФС42-2980-99 «Вода для инъекций во флаконах».

В качестве растворителя при приготовлении растворов для инъекций применяются также персиковое, миндальное, оливковое и другие жирные масла. Это маловязкие, легкоподвижные жидкости, способные пройти через узкий канал иглы.

ГФХI требует, чтобы масла для инъекций были получены методом холодного прессования из свежих семян, хорошо обезвожены, не содержащие белка. Кроме того, особое значение имеет кислотность масла. У масел для инъекций кислотное число должно быть не менее 2,5 иначе они могут вызвать болезненность в месте введения.

Растворителем для инъекционных растворов могут быть также спирты (этиловый, бензиловый, пропиленгликоль, полиэтиленоксид 400, глицерин), некоторые эфиры (бензилбензоат, этиоолеат).

Недопустимо применения в качестве растворителя для инъекций вазелинового масла, которое не усваивается организмом, а при введении под кожу образует не рассасывающиеся масляные опухоли.

.7 Подготовка лекарственных и вспомогательных веществ

Лекарственные вещества, используемые при изготовлении инъекционных растворов должны отвечать требованиям ГФ, ФС, ВФС, ГОСТ, квалификации х.ч. (химически чистый) и ч.д.а. (чистый для анализа). Некоторые вещества подвергаются дополнительной очистки и выпускаются повышенной чистоты, квалификации «Годен для инъекций». Примеси в последних могут оказать или токсическое воздействие на организм больного, или снизить стабильность инъекционного раствора.

В глюкозе и желатине (благоприятная среда для развития микроорганизмов) могут содержаться пирогенные вещества. Поэтому для них определяется тест-доза на пирогены в соответствии со статьей ГФХ1 «Проверка пирогенности». Глюкоза не должна давать пирогенный эффект при введении 5% раствора из расчета 10 мг/кг массы кролика, желатин при введении 10% раствора.

Бензилпеницеллина каливую соль также проверяют на пирогенность и испытывают на токсичность.

Для некоторых препаратов проводят дополнительные исследования на чистоту: кальция хлорид проверяют на растворение в этаноле и содержание железа, гексаметилентетрамин - на отсутствие аминов, солей аммония и хлороформа; коффеина-бензоат натрия - на отсутствие органических примесей (раствор не должен мутнеть или выделять осадок в течение 30 мин при нагревании); магния сульфат для инъекций не должен содержать марганец и другие вещества, что отмечено в нормативной документации.

Некоторые вещества влияют на стабильность инъекционных растворов. Например, натрия гидрокарбонат квалификации х.ч. и ч.д.а., отвечает требованиям ГОСТа 4201-66, а также «Годен для инъекций», должен выдерживать дополнительные требования на прозрачность и бесцветность 5% раствора, ионов кальция и магния должно быть не более 0,05%, иначе в процессе термической стерилизации раствора будет выделяться опалесценция карбонатов этих катионов. Эуфилин для инъекций должен содержать повышенное количество этилендиамина (18-22%), используемый как стабилизатор этого вещества в количестве 14-18% в растворах для перорального применения, и выдерживать дополнительные испытания на растворимость. Натрия хлорид (х.ч.), выпускаемый по ГОСТу 4233-77, должен соответствовать требованиям ГФ, калия хлорид (х.ч.) должен отвечать требованиям ГОСТа 4234-65 и ГФ. Натрия ацетат квалификации ч.д.а. должен отвечать требованиям ГОСТа 199-68, натрия бензоат не должен содержать более 0,0075% железа. Раствор тиамина бромида для инъекций должен выдерживать дополнительные испытания на прозрачность и бесцветность.

Лекарственные вещества, используемые для приготовления инъекционных растворов хранят в отдельном шкафу в стерильных штангласах, закрытыми притертыми пробками и надписью «Для стерильных лекарственных форм». Термостойкие вещества перед наполнением штангласа подвергают термической стерилизации.

Штангласы перед наполнением моют и стерилизуют. На каждом штангласе должна быть прикреплена бирка с указанием: № серии, предприятия изготовителя, № анализа контрольно-аналитической лаборатории, сроком годности, датой заполнения и подписью, заполнившего штанглас. Заполнение и контроль за сроками годности осуществляется в соответствии с приказом МЗ РФ № 214 от 16 июля 1997г.

2. Изготовление раствора

.1 Загрузка сырья и растворение

Стерильные растворы изготавливают массо-объемным способом.

В мернике-смесителе или другой емкости в части воды растворяют лекарственные вещества, при необходимости добавляют вспомогательные вещества (стабилизаторы, изотонирующие и др.), раствор перемешивают и доводят растворителем до определенного объема. При отсутствии мерной посуды объем воды рассчитывают, пользуясь значениями плотности раствора данной концентрации или коэффициентом увеличения объема.

Последовательность отмеривания или смешивания растворов определяется особенностями прописи. Объем инъекционных растворов во флаконах в соответствии с ГФ всегда должен быть больше номинального.

Номинальный объем, мл

Объем заполнения, мл

Число сосудов для контроля заполнения, шт


Невязкие растворы

Вязкие растворы

1

1,1

1,15

20

2

2,15

2,25

20

5

5,3

5,5

20

10

10,5

10,7

10

20

20,6

20,9

10

50

51

51,5

5

более 50

На 2% больше номинального

На 3% больше номинального

5


При отсутствии мерной посуды больших объемов для определения количества растворителя следует использовать таблицы (см. табл. №1). Изотонические эквиваленты лекарственных веществ по хлориду натрия приведены в приложении приведены в табл. №2.

Табл. №1. Коэффициенты увеличения объема водного раствора при растворении лекарственных веществ*

Наименование лекарственных веществ

Коэффициенты увеличения объема, мл/г

Амизил

0,80

Амидопирин

0,90

Аммония хлорид

0,72

Анальгин

0,68

Антипирин

0,85

Барбамил

0,76

Барбитал-натрий

0,64

Бензилпенициллина натриевая соль

0,63

Гексаметилентетрамин

0,78

Глюкоза

0,64

 -//- (влажность 10 %)

0,69

Дибазол

0,82

Дикаин

0,86

Димедрол

0,86

Желатин

0,75

Желатоза

0,73

Изониазид

0,72

Йод (в растворе калия йодида)

0,23

Калия бромид

0,27

 -//- йодид

0,25

Калия перманганат

0,36

 -//- хлорид

0,37

Кальция глюконат

0,50

 -//- лактат

0,67

 -//- хлорид

0,58

Карбамид

0,73

Кислота аскорбиновая

0,61

 -//- борная

0,68

Кислота глютаминовая

0,62

 -// лимонная

0,62

Колларгол

0,61

Крахмал

0,68

Кофеин-бензоат натрия

0,65

Магния сульфат

0,50

Мезатон

0,77

Метилцеллюлаза

0,61

Натрия ацетат

0,71

 -//- ацетат (безводный)

0,52

 -//- бензоат

0,60

 -//- бромид

0,26

 -//- гидрокарбонат

0,30

 -//- гидроцитрат

0,46

 -//- йодид

0,38

 -//- нитрат

0,38

Натрия нитрит

0,37

 -//- нуклеинат

0,55

 -//- пара-аминосалицилат

0,64

 -//- салицилат

0,59

 -//- сульфат (кристаллический)

0,53

 -//- тетраборат

0,47

 -//- тиосульфат

0,51

Натрия хлорид

0,33

 -//- цитрат

0,48

Новокаин

0,81

Новокаинамид

0,83

Норсульфазол-натрий

0,71

Осарсол (в растворе натрия гидрокарбоната)

0,67

Папаверина гидрохлорид

0,77

Пахикарпина гидройодид

0,70

Пепсин

Пилокарпина гидрохлорид

0,77

Пиридоксина гидрохлорид

0,71

Поливинилпирролидон

0,81

Протаргол

0,64

Резорцин

0,79

Сахароза

0,63

Свинца ацетат

0,30

Серебра нитрат

0,18

Спазмолитин

0,86

Спирт поливиниловый

0,77

Стрептомицина сульфат

0,58

Стрептоцид растворимый

0,54

Сульфацил-натрий

0,62

Танин

0,65

Тиамина бромид

0,61

Тримекаин

0,89

Фенол кристаллический

0,90

Хинина гидрохлорид

0,82

Хлорамин Б

0,61

Хлоралгидрат

0,76

Холина хлорид

0,89

Цинка сульфат (кристаллический)

0,41

Экстракт-концентрат горицвета сухой стандартизованный 1:1

0,60

Экстракт-концентрат корня алтея сухой стандартизованный 1:1

0,61

Этазол-натрий

0,66

Этилморфина гидрохлорид

0,76

Эофиллин

0,70

Эфедрина гидрохлорид

0,84

* - Коэффициент увеличения объема (мл/г) показывает прирост объема раствора в мл при растворении 1 г лекарственного вещества при 20оС.

Пример расчета:

. Приготовить раствор магния сульфата 20% - 1000 мл.

Коэффициент увеличения объема магния сульфата - 0,5.

При растворении 200 г магния сульфата объем раствора увеличивается на 100 мл (0,5 х 200).

Необходимый объем воды определяется по разности: 1000 - (0,5 х 200) = 900 мл.

Табл. №2. Изотонические эквиваленты лекарственных веществ по хлориду натрия

Наименование препарата

Эквивалент

Адреналина гидротартрат

0,17

 -//- гидрохлорид

0,27

Амидопирин

0,15

Амизил

0,19

Анальгин

0,18

Антипирин

0,13

Апоморфина гидрохлорид

0,14

Атропина сульфат

0,10

Ацеклидин

0,20

Барбитал-натрий



Категорически запрещается одновременное изготовление на одном рабочем месте нескольких стерильных растворов, содержащих лекарственные вещества с различными наименованиями или одного наименования, но в разных концентрациях.

После изготовления раствора берут пробу для полного химического контроля и при получении удовлетворительных результатов анализа раствор фильтруют.

.2 Изотонирование растворов для инъекций

Растворы, у которых осмотическое давление равно осмотическому давлению крови, называют изотоническими. Кровяная плазма, лимфа, слезная и спинная жидкость имеют постоянное осмотическое давление, поддерживаемое специальными осморецепторами. Введение в кровяное русло больших количеств инъекционных растворов с другим осмотическим давлением может привести к сдвигу осмотического давления и вызвать тяжелые последствия. Объясняется это следующими обстоятельствами. Клеточные оболочки, как известно, обладают свойством полупроницаемости, т. е. Пропуская воду, не пропускают многие растворенные в ней вещества. Если снаружи клетки будет находиться жидкость с иным осмотическим давлением, чем внутри клетки, то жидкость движется в клетку (экзоосмос) или из клетки (эндоосмос) до момента выравнивания концентрации. Если ввести в кровь раствор с высоким осмотическим давлением (гипертонический раствор), то в результате и в окружающей их плазме жидкость из эритроцитов направляется в плазму, эритроциты при этом, лишаясь части воды, сморщиваются (плазмолиз). Напротив, если вводить раствор с малым осмотическим давлением (гипотонический раствор), то жидкость пойдет внутрь клетки, эритроциты будут разбухать, оболочка может лопнуть, а клетка погибнуть (произойдет гемолиз). Чтобы избежать указанных осмотических сдвигов, следует вводить в кровяное русло растворы с осмотическим давлением, равным осмотическому давлению крови, спинномозговой и слезной жидкости, т.е. 7,4 атм и соответствовать осмотическому давлению раствора натрия хлорида 0,9%.

Изотонические концентрации лекарственных веществ в растворах можно рассчитать разными способами:

Расчет по закону Вант-Гоффа. По закону Вант-Гоффа растворенные вещества ведут себя аналогично газам и поэтому к ним с достаточным приближением применимы газовые законы. Если учесть, что 1 грамм-молекула любого недиссоциируемого вещества занимает в водном растворе при температуре 0°С и давлении 760 мм. рт. ст. - 22,4 л, т. е. точно так же, как 1 грамм-молекула газа. Это значит, что если растворить в 22,4 л растворителя 1 грамм-молекулу вещества, то раствор будет создавать давление равное 1 атм. Для применения данного раствора необходимо поднять давление до осмотического давления плазмы крови. Для этого уменьшим объем растворителя для 1 грамм-молекулы вещества, до момента, когда раствор будет создавать давление 7,4 атм.

Осмотическое давление раствора будет равно осмотическому давлению плазмы крови, если в 22,4 л воды растворить 7,4 грамм-молекулы вещества или если в Х1 л воды растворить 1 грамм-молекулу вещества.

Т. к. закон действителен при температуре 273〫К(0〫С), то необходимо ввести поправку на температуру тела человека. Т. к. осмотическое давление воздуха пропорционально температуре, то объем растворителя увеличим, чтобы сохранить осмотическое давление равное осмотическому давлению плазмы крови.

При температуре равной 273К 1 грамм-молекула занимает объем 3,03 л, а при температуре 310К (температура тела человека) - Х2 л.

Отсюда,


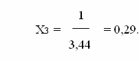
Для приготовления 3,44 л раствора требуется 1 грамм-молекула вещества, а

для приготовления 1л раствора - Х3 грамм-молекула.


По закону Вант-Гоффа, чтобы приготовить изотонический раствор необходимо 0,29 грамм-молекул вещества растворить в воде и довести объем раствора до 1 л.

Выведем формулу для расчета

mлв =0,29M,

где M - молекулярная масса вещества,

,29 - фактор изотонирования неэлектролита.

Фактор изотонирования проще выводить из уравнения Клайперона:

pV=nRT,

где р - осматическое давление плазмы крови (атм),- объем раствора,- число грамм-молекул частиц,- газовая постоянная, выраженная в атмосферных литрах (0,082),- абсолютная температура.

Отсюда,


Приведенные расчеты верны, если мы имеем дело с неэлектролитами, т.е. не распадающимися при растворении на ионы (глюкоза, уротропин, сахароза и т.д.). Если приходится растворять электролиты, нужно учитывать, что они диссоциируют в водных растворах и их осмотическое давление тем выше, чем выше степень диссоциации.

Допустим, установлено, что вещество в растворе диссоциирует на 100%:

NaCl                 Na+ + Cl.

Тогда число элементарных частиц увеличивается вдвое, следовательно, если раствор натрия хлорида содержит в 1 л 0,29 грамм-молекул вещества, то его осмотическое давление в 2 раза больше. Следовательно, фактор изотонирования 0,29 для электролитов не применим. Он должен быть уменьшен в зависимости от степени диссоциации. Для этого в уравнение Клайперона необходимо ввести коэффицент, показывающий во сколько раз число частиц увеличивается вследствие диссоциации. Этот множитель называют изотоническим коэффицентом и обозначается i.

Таким образом, уравнение Клайперона примет вид:


Коэффицент i зависит от степени и характера электролитической диссоциации и может быть выражен уравнением:

i=1+α(n+1),

где α - степень электролитической диссоциации,- число элементарных частиц, образующихся из 1 молекулы при диссоциации.

Для разных групп электролитов i может быть подсчитан следующим образом:

А) для бинарных электролитов с однозарядными ионами типа К+А:

α=0,86, n=2;= 1+0,86*(2-1)=1,86

Например, натрия хлорид, калия хлорид, эфедрина гидрохлорид и т.д.

Б) Для бинарных электролитов с двузарядными ионами типа К+²А²:

α=0,5; n=2;

i = 1+0,5*(2-1)=1,5

Например, магния сульфат, атропина сульфат и т.д.

В)Для тринарных электролитов типа К²+А2 и К2 +А²:

α=1; n=3;= 1+1*(3-1)=3

Например, кальция хлорид, натрия гидрофосфат и т.п.

Для изотонирования раствора другим веществом, что встречается очень часто, когда вещества прописаны в небольших количествах и их концентрации недостаточно для изотонирования раствора. При этом расчеты усложняются.

Например: Rp.: Cocaini hydrochloridi 0,1chloride q.s. ut f. sol. isotonici 10 ml.S. Для инъекций по 1 мл.

Рассчитаем его изотоническую концентрацию:


По расчету выписанная концентрация кокаина, значительно ниже, чем необходимая для изотонирования раствора. Определим объем, который изотонирует 0,1 г кокаина.

,57г изотонируют 100 мл раствора, а

,1 г - Х мл раствора.


Из этого следует, что натрия хлорида необходимо для изотонирования 10-1,5 = 8,5 мл.

Рассчитаем необходимую массу натрия хлорида:


для изотонирования 100 мл раствора надо взять 0,91 г натрия хлорида,

а для изотонирования 8,5 мл - Х г.


В практической работе расчеты можно упростить путем применения общих формул:

. Если изотоничность достигается одним веществом, для его расчета применяют формулу:


m - количество вещества, добавляемого для изотонирования раствра,- объем изотонируемого раствора (мл),- молекулярная масса вещества,

- число миллилитров.

. Если изотоничность раствора лекарственного вещества достигается с помощью другого (дополнительного) вещества, то применяют формулу:


 - молекулярная масса дополнительного вещества;

 - изотонический коэффицент для дополнительного вещества;

 - количество дополнительного вещества (г);

, , i - масса(г), молекулярная масса и изотонический коэффицент для основного вещества.

При более сложных прописях (с тремя и более компонентами) первоначально рассчитывается какой объем раствора изотонируют вещества, чей массы известны. Затем определяется масса изотонирующего компанента.

Криоскопический метод. По этому методу изотоничные по отношению к сыворотке крови растворы должны иметь депрессию (понижение) температуры замерзания, равную депрессии сыворотки крови. Депрессия её равна 0,52ºС. При расчетах необходимо учитывать, константы депрессии в справочнике даны 1% раствора.

Расчеты будут выглядеть следующим образом:

% раствор вещества имеет депрессию Δt º, а

Х% раствор вещества - 0,52º.

Следовательно,


Иногда используются графический метод расчета изотонической концентрации, позволяющий по разработанным диаграммам (нонограммам) быстро, но с некоторой приближенностью, определить количество вещества необходимое для изотонирования раствора лекарственного вещества.

Недостатком этих методов можно считать то, что либо расчеты изотонической концентрации ведутся по одному компоненту, либо расчеты массы второго вещества слишком громоздки. И т.к. ассортимент однокомпонентных растворов не так велик, и все чаще используют дву- и более компонентные прописи, гораздо проще проводить расчеты с использованием изотонического эквивалента. В настоящее время другие методы расчета не используются.

Изотоническим эквивалентом по натрию хлориду называют то количество натрия хлорида, которое создает в одинаковых условиях осмотическое давление равное осмотическому давлению 1 г вещества. Зная эквивалент по натрию хлориду, можно изотонировать любые растворы, а так же определить их изотонические концентрации.

Таблица изотонических эквивалентов по натрию хлориду приведены в ГФ I издания, выпуск 2.

Пример расчета: Rp.: Dicaini 3,0chloridi q.s. ut f. sol. isotonici 1000 ml.S.

Для приготовления изотонического раствора только из натрия хлорида, его нужно взять 9 г для приготовления 1 л раствора (изотоническая концентрация натрия хлорида равна 0,9 %). По таблице ГФXI определяем, что изотонический эквивалент по натрию хлориду у дикаина равен 0,18 г. Это означает, что

г дикаина равноценен 0,18 г натрия хлорида, а

г дикаина - 0,54 г натрия хлорида.

Следовательно, по прописи натрия хлорида необходимо взять: 9,0 - 0,54 = 8,46 г.

.3 Стабилизация инъекционных растворов

Под стабильностью инъекционных растворов понимают неизменяемость состава концентрации находящихся в растворе лекарственных веществ в течение установленных сроков хранения. Она в первую очередь зависит от качества исходных растворителей и лекарственных веществ, которые должны полностью отвечать требованиям ГФ или ГОСТов.

В ряде случаев предусматривается особая очистка лекарственных веществ, предназначенных для инъекций. Повышенной степенью чистоты должны обладать гексаметилентетрамин, глюкоза, кальция глюконат, кофеин-натрия бензоат, натрия бензоат, натрия гидрокарбонат, натрия цитрат, эуфиллин, магния сульфат и др. Чем выше чистота препаратов, тем более стабильны получаемые из них растворы.

Неизменность лекарственных веществ достигается также путем соблюдения оптимальный условий стерилизации (температуры, продолжительности), использование допустимых консервантов, позволяющих достигать необходимого эффекта стерилизации при более низкой температуре, и применения стабилизаторов, соответствующих природе лекарственных веществ.

Выбор стабилизатора зависит от физико-химических свойств лекарственных веществ. Условно их делят на три группы:

) соли, образованные слабыми основаниями и сильными кислотами, стабилизируются хлористоводородной кислотой;

) соли, образованные сильными основаниями и слабыми кислотами, стабилизируются щелочами;

) легко окисляющиеся вещества стабилизируются антиоксидантами (противоокислителями).

Стабилизация растворов солей слабых оснований и сильных кислот

К этой группе относится большое количество солей алкалоидов и синтетических азотистых оснований, широко применяемых в форме инъекционных растворов. Такие соли в водном растворе могут показывать слабокислую реакцию вследствие гидролиза. При этом образуются слабо диссоциированное основание и сильно диссоциированная кислота с образованием свободных ионов гидроксония.

D

DD

Добавление к таким растворам свободной кислоты создает избыток ионов гидроксония, чем подавляется гидролиз (вызывает сдвиг равновесия влево). Уменьшению концентрации ионов гидроксония способствует щелочь, выделяемая стеклом, в связи с чем равновесие сдвигается вправо и растворы обогащаются малодиссоциированным основанием.

Нагревание раствора повышает интенсивность гидролиза солей, сдвигая реакцию вправо, поэтому при тепловой стерилизации и последующем хранении pH инъекционных растворов повышается. Основания алкалоидов, обладающие малой растворимостью в воде, могут при этом выделиться в осадок. При стерилизации инъекционных растворов в щелочном стекле наблюдается выделение даже сравнительно сильных свободных оснований, например, новокаина, что видно по замасливанию стенок сосуда.

Необходимо отметить, что некоторые алкалоиды и синтетические препараты со сложной эфирной и лактонной группировками (атропина сульфат, скополамина гидробромид, гоматропина гидрохлорид, физостигмина салицилат, новокаин) при нагревании в слабощелочных или даже нейтральных средах могут частично гидролизоваться с образованием продуктов, обладающих измененным фармакологическим действием.

Препараты, содержащие фенольные гидроксилы (морфина гидрохлорид, апоморфина гидрохлорид, сальсолина гидрохлорид, адреналина гидротартрат и др.) при нагревании в слабощелочных растворах окисляются с образованием более ядовитых окрашенных продуктов.

Пахикарпина гидройодид даже в слабощелочном растворе осмоляется. Все это вызывает необходимость стабилизации растворов солей слабых оснований и сильных кислот добавлением 0,1 н. хлористоводородной кислоты. Количество кислоты, необходимое для стабилизации растворов, варьирует в зависимости от свойства препарата, но, как правило, не зависит от концентрации стабилизируемого раствора, так как основным назначением добавляемой кислоты является создание оптимальных границ pH раствора. Обычно 1 л инъекционного раствора стабилизируют 10 мл 0,1 н. раствора хлористоводородной кислоты. Так стабилизируют растворы стрихнина нитрата (pH 3.0 - 3.7), 1% раствора морфина гидрохлорида (pH 3.0 - 3.5). Растворы лобелина гидрохлорида стабилизируют добавлением 15 мл 0,1 н. раствора кислоты на 1 л, а растворы скополамина гидробромида (pH 2.8 - 3.0) - 20 мл 0,1 н. кислоты на 1 л.

Стабилизация растворов солей сильных оснований и слабых кислот

К числу таких препаратов относятся натрия нитрит, натрия тиосульфат, кофеин-бензоат натрия. Их водные растворы вследствие гидролиза имеют щелочную реакцию. Для подавления гидролиза добавляют щелочь. Согласно указанию ГФ ХI, растворы натрия нитрита стабилизируют добавлением 2 мл 0,1 н. раствора едкого натра на 1 л раствора. Раствор натрия тиосульфат, имея среду, близкую к нейтральной, при незначительном понижении pH разлагается с выделением серы, поэтому его стабилизируют добавлением 20 г натрия гидрокарбоната на 1 л раствора (pH 7,8 - 8,4).Для стабилизации кофеина-бензоата натрия добавляют 4 мл 0,1 н. раствора едкого натра на 1 л раствора.

Стабилизация растворов легкоокисляющихся веществ

Для стабилизации растворов легкоокисляющихся веществ различные антиоксиданты. К ним относятся восстановители и отрицательные катализаторы.

Восстановители, обладая большим окислительно-восстановительным потенциалом, легче окисляются, чем стабилизируемые ими препараты. К данной группе относятся, например, натрия сульфит, бисульфит и метабисульфит, ронгалит (натрия формальдегидсульфоксилат), аскорбиновая кислота, унитиол и др. За рубежом применяют также тиомочевину, параминофенол, ангидрид метиаминоуксусной кислоты (саркозиновый ангидрид) и др.

Отрицательные катализаторы образуют комплексные соединения с ионами тяжелых металлов, катализирующих нежелательные окислительные процессы. К этой группе относятся комплексоны: ЭДТУ - этилендиаминтетрауксусная кислота, трилон Б - динатриевая соль этилендиаминтетрауксусной кислоты и др.

Добавление антиоксидантов необходимо для приготовления растворов аскорбиновой кислоты для инъекций, которая легко окисляется с образованием неактивной 2,3-дикетогулоновой кислоты. В кислых растворах (при pH 1,0 - 4,0) аскорбиновая кислота разлагается с образованием альдегида фурфурола, что обусловливает желтую окраску разложившихся растворов. Растворы аскорбиновой кислоты готовят в присутствии натрия гидрокарбоната. В качестве антиоксиданта добавляют натрия сульфит безводный 0,2% или натрия метабисульфит 0,1%. Растворы готовят на воде, насыщенной углекислотой, и стерилизуют при 100 гр. С текучим паром в течение 15 мин (ГФ Х, ст. 7).

К легкоокисляющимся препаратам относятся производные фенотиазина аминазин, дипразин. Водные растворы указанных веществ легко окисляются даже при кратковременном воздействии света с образованием продуктов, окрашенных в темно-красный цвет (образуются оксиды, карбонильные производные и другие продукты окисления. Для получения стабильных растворов аминазина и дипразина на 1 л раствора добавляют по 1 г безводного натрия сульфита и метабисульфита, 2 г аскорбиновой кислоты и 6 г натрия хлорида (в асептических условиях, без проведения тепловой стерилизации).

Легко окисляются многие производные ароматических аминов: ПАСК, новокаинамид, стрептоцид растворимый и др. Растворы этих препаратов, окисляясь, образуют более ядовитые окрашенные продукты вследствие образования хинонов, хинониминов и продуктов их конденсации. Для получения стабильных жидкостей растворы стрептоцида растворимого стабилизируют натрия сульфитом (2 г на 1 л), растворы новокаинамида - натрия метабисульфитом (5г на 1 л), 3% растворы натрия пара-аминосалицилата - ронгалитом (5 г на 1 л).

Растворы адреналина г/хл и гидротартрата легко окисляются вследствие содержания фенольных гидроксилов с образованием адренохрома. ГФ Х (ст. 616 и ст. 26) приводит прописи, в которых указаны стабилизаторы и режим стерилизации при приготовлении растворов указанных препаратов.

Растворы глюкозы сравнительно нестойки при длительном хранении. Основным фактором, определяющим устойчивость глюкозы в растворе, является pH среды. При pH 1,0 - 3,0 в растворах глюкозы образуется альдегид оксиметилфурфурол, вызывающий окрашивание раствора в желтый цвет. При pH 3,0 - 5,0 реакция разложения замедляется, а при pH выше 5,0 разложение оксиметилфурфурола снова усиливается. Повышение pH обусловливает разложение с разрывом цепи люкозы. Среди продуктов разложения найдены следы уксусной, молочной, муравьиной, глюконовой кислот. Следы тяжелых металлов (Cu, Fe) ускоряют процесс разложения. Оптимальное значение pH раствора глюкозы 3,0 - 4,0. Для получения стойких растворов глюкозы их рекомендуется предварительно обработать активированным углем (0,4%) для удаления железа и окрашенных продуктов. Затем растворы стабилизируют, фильтруют и стерилизуют при  С текучим паром 60 мин или при 119-121С - 8 мин при объеме до 100 мл.

ГФ Х предписывает стабилизировать растворы глюкозы (независимо от их концентрации) натрия хлоридом 0,26 г на 1 л и 0,1 н. раствором хлористоводородной кислоты до pH 3,0 - 4,0. В условиях аптеки для удобства работы стабилизатор изготавливают по следующей прописи: натрия хлорида - 5,2 г, хлористоводородной кислоты разведенной - 4,4 мл, воды для инъекций - до 1 л. Этого стабилизатора берут 5%.

Механизм стабилизирующего действия, по мнению некоторых авторов, заключается в том, что натрия хлорид образует по месту альдегидной группы глюкозы комплексные соединения. Комплекс этот непрочен, и натрия хлорид, перемещаясь от одной молекулы к другой, защищает альдегидные группировки, тем самым подавляя окислительно-восстановительные реакции. Хлористоводородная кислота нейтрализует щелочь, выделяемую стеклом, и создает оптимальное значение pH раствора.

Существует другая теория, объясняющая сложность протекающих процессов. Как известно, в твердом состоянии глюкоза находится в циклической форме. В растворе происходит частичное раскрытие колец с образованием альдегидных групп, причем между ациклической и циклической формами устанавливается подвижное равновесие. Добавление натрия хлорида создает в растворе условия, способствующие сдвигу равновесия в сторону образования более устойчивой к окислению циклической формы. Имеются также указания о взаимодействии натрия хлорида с некоторыми формами глюкозы с образованием стойких двойных комплексных солей.

Стабилизаторы

Раствор

Концентрация раствора, %

Стабилизатор и его масса, г/л, или объем, мл/л

рН раствора

Апоморфина гидрохлорида

1

Анальгин 0,5 г Цистеин 0,2 г Раствор кислоты хлористоводородной 0,1М - 10 мл

2,3 - 3,0

Атропина сульфата

0,05; 0,1; 1; 2,5; 5

Растворы кислоты хлористоводородной 0,1М - 10 мл

3,0 - 4,5

Викасола

1

Натрия метабисульфит (1,0 г) или натрия бисульфит (2,0 г) раствор кислоты хлористоводородной 0,1М - 1,84 мл

2,5 - 3,5

Глюкозы безводной

5; 10; 20; 25; 40

Растворы кислоты хлористоводородной 0,1М - до рН 3,0 - 4,1 Натрия хлорид 0,26 г

рН 3,0 - 4,1

Глюкозы

40

Натрия гидрокарбонат 6,0 г

нет данных

Кислоты аскорбиновой

1

Натрия метабисульфит 2,0 г


Дибазола

0,5; 1; 2

Раствор кислоты хлористоводородной 0,1 М - 10 мл

2,8 - 3,5

Дикаина

0,1; 0,25; 0,3

То же

4,0 -6,0

Дикаина

1;2

Натрия тиосульфат 0,5 г

4,0 -6,0

Кислоты аскорбиновой

5; 10

Нария гидрокарбонат 23,85 г; 47,70 г Натрия сульфит безводный 2,0 г

6,0 - 7,0

Кофеина-натрия бензоата

10; 20

Раствор натрия гидроксида 0,1 М - 4 мл

6,8 - 8,5

Натрия гидрокарбоната

3; 4; 5; 7; 8,4

Трилон Б: 0,1г 0,2 г

8,1 - 8,9

Натрия нитрита

1

Раствор натрия гидроксида 0,1 М - 2 мл

7,5 - 8,2

Натрия пароаминосалицилата

3

Натрия сульфит 5,0 г

8,5 - 9,5

Натрия салицилата

3; 10

Натрия метабисульфит 1,0 г

5,0 - 6,0

Натрия тиосульфата

30

Натрия гидрокарбонат 20,0 г

7,8 - 8,4

Новокаинамида

10

Натрия метабисульфит 5,0 г

3,8 - 5,0

Новокаина

0,25; 0,5; 1 2; 5; 10

Раствор кислоты хлористоводородной 0,1М: 3 мл; 4 мл; 9мл Натрия тиосульфат 0,5 г Раствор кислоты хлористоводородной 0,1 М: 4 мл; 6 мл; 8 мл

3,8 - 4,5 4,0 - 5,0

Рингер-ацетата

Натрия хлорид 0,526 г Натрия ацетат 0,410 г Кальция хлорид 0,028 г Магния хлорид 0,014 г Калия хлорид 0,037 г

Раствор кислоты хлористоводородной 8% - 0,2 мл

6,0 - 7,0

Солюзида растворимого

5

Динатриевая соль этилендиаминтетрауксусной кислоты 0,1 г

6,0 - 7,0

Скополамина гидробромида

0,05

Раствор кислоты хлористоводородной 0,1М - 20 мл

2,8 - 3,0

Совкаина

0,5; 1

Раствор кислоты хлористоводородной 0,1М - 6 мл

3,8 - 5,0

Спазмолитина

0,5; 1

Раствор кислоты хлористоводородной 0,1М - 20 мл

2,6 - 3,0

Сульфацил-натрия

30

Натрия метабисульфит 3,0 г Раствор натрия гидроксида 1М - 18 мл

7,5 - 8,5

Стрептоцида растворимого

0,5; 5; 10

Натрия сульфит 2,0 г или натрия тиосульфат 1,0 г

8,8 - 9,7

Стрихнина нитрата

0,1

Раствор кислоты хлористоводородной 0,1М - 10 мл

3,0 - 3,7

Тамина бромида Тиамина хлорида

3; 6 2,5; 5

Унитиол 2,0 г

2,7 - 3,6



То же

2,7 - 3,4

Этазол-натрия

10; 20

Натрия сульфит безводный 3,5 г Натрия гидроцитрат 1,0 г; 2,0 г

7,0 - 8,5


.4 Полный химический анализ

После изготовления раствора для инъекций и до его стерилизации он обязательно подвергается полному химическому контролю, включающий качественный и количественный анализ входящих в него компонентов, определении рН, изотонирующих и стабилизирующих веществ.

Кроме того, возможен дополнительный опросный контроль после изготовления раствора.

Результаты контроля заносятся в журнал, форма которого приведена в приложении 2 к Инструкции по контролю качества, утвержденных приказом МЗ РФ № 214 от 16 июля 1997г.

. Фильтрование и фасовка растворов

Этот этап изготовления инъекционных растворов проводится только при удовлетворительных результатах полного химического анализа.

.1 Фильтрование и розлив во флаконы, укупорка

Фильтрование проводится для освобождения инъекционных растворов от механических включений.

Для надежного выбора фильтровальной системы желателен анализ следующей информации о технологии очистки:

характер фильтруемой среды (наименование, ингредиенты, плотность, вязкость, концентрация);

характер загрязнений (размер частиц);

требования к фильтрату (визуальная прозрачность);

используемое оборудование и фильтроэлементы с указанием типа, марки, материала, основных эксплутационных характеристик по паспорту.

Первые порции фильтрата подвергаются повторному фильтрованию.

Фильтрование раствора сочетается с одновременным розливом его в приготовленные стеклянные флаконы. Во время фильтрования и розлива персонал не должен наклоняться над пустыми или полными флаконами. Оптимален розлив и укупорка в ламинарном потоке воздуха с использованием соответствующего оборудования.

Для фильтрования растворов для инъекций используют фильтровальные воронки со стеклянным фильтром (размеры пор 3-10 мкм). При этом используются установки двух конструкций:

Аппарат штативного типа

Аппарат карусельного типа.

Кроме того, используют установки для фильтрования и розлива жидкостей УФЖ-1 и УФЖ-2 с их помощью можно фильтровать несколько растворов одновременно.

С ориентацией на фильтрование больших количеств инъекционных растворов применяют фильтры, работающие под вакуумом по принципу «грибка» с использованием перевернутой воронки Бюнхера. На дно воронки последовательно один на другой укладывается фильтровальный материал, чем достигается более тщательное фильтрование.

В качестве фильтровального материала применятся комбинированные фильтры в сочетании с различным фильтрующим материалом (фильтровальная бумага, марля, вата, ткань хлопчатобумажная бязевой группы, бельтинг, ткани из натурального шелка).

Следует обратить внимание на то, что в настоящее время все чаще применяют метод микрофильтрации через мембранные фильтры.

Микрофильтрация - процесс мембранного разделения коллоидных растворов и микровзвесей под давлением. При этом разделению подвергаются частицы размером 0,2-10 мкм (неорганические частицы, крупные молекулы). Обычный фильтровальный материал эти частицы пропускает, что очень опасно, т.к. они капилляронепроницаемы и склонны к конгломерации.

Применение микрофильтрации позволяет освободиться от механических включений при визуальном контроле и снизить общее микробное число. Это обусловлено тем, что мембраны задерживают не только частицы, которые более размеров пор, но и частицы меньших размеров. В этом процессе важную роль играют следующие эффекты: 1) капиллярный эффект; 2) явление адсорбции; 3) электростатические силы; 4) Ван-дер-ваальсовые силы.

Наиболее часто используют фильтры зарубежных марок - МЕЛИПОР, САРТЕРИДЕ, СИНПОР и другие. Также часто используются фильтры отечественной марки ВЛАДИПОР, которые представляют собой мелкопористые ацетат целлюлозные пленки белого цвета, различной толщены.

Фильтрование растворов с использование мембранных микрофильтров предполагает применение мембранной установки, которые представляют из себя комплексное устройства, состоящее из мембранодержателей и другого вспомогательного оборудования.

После розлива растворов с одновременной фильтрацией флаконы укупоривают резиновыми пробками(марки смотри «Подготовка посуды и тароукупорочных средств») и подвергают первичному визуальному контролю на отсутствие механических включений в соответствии с приложением 8 к Инструкции по контролю качества лекарственных средств, изготовляемых в аптеках, утвержденным приказом № 214 МЗ РФ от 16 июля 1997г.

.2 Первичный контроль на отсутствие механических включений

Под механическими включениями понимают постоянно подвижные не растворимые вещества, кроме пузырьков газа, случайно присутствующих в растворах.

Первичный контроль осуществляется после фильтрации и фасовки раствора. Просмотру подлежит каждая бутылка или флакон с раствором. При обнаружении механических включений раствор повторно фильтруют и вновь просматривают, укупоривают, маркируют и стерилизуют.

Для растворов подвергаемых мембранной микрофильтрации допускается проведение выборочного первичного контроля на отсутствие механических включений.

Для просмотра растворов должно быть специально оборудованное рабочие место, защищенное от попадания прямых солнечных лучей. Проведения контроля осуществляется с помощью «Устройства для контроля раствора на отсутствие механических включений» (УК-2), допускается использование черно-белого экрана, освещенного таким образом, чтобы исключить попадания света в глаза проверяющего непосредственно от его источника.

Контроль раствора осуществляется путем просмотра невооруженным глазом на черном и белом фонах, освещенных электрической матовой лампой в 60 Вт или лампой дневного света 20 Вт; для окрашенных растворов соответственно 100 Вт и 30 Вт. Расстояние от глаз до просматриваемого объекта должно быть 25-30 см, а угол оптической оси просмотра к направлению света около 90º. Линия зрения должна быть направлена книзу при вертикальном положении головы.

Провизор-технолог должен иметь остроту зрения равную единице. При необходимости корректируется очками.

Поверхность проверяемых бутылок или флаконов должна быть снаружи чистой и сухой.

В зависимости от объема бутылки или флакона просматривают одновременно от одной бутылки до 5 штук. Бутылки или флаконы берут в одну или обе руки за горловины, вносят в зону контроля, плавными движениями переворачивают в положение «вверх донышками» и просматривают на черном и белом фонах. Затем плавными движениями, без встряхивания переворачивают в первоначальное положение «вниз донышками» и так же просматривают на черном и белом фонах.

Время контроля соответственно составляет:

одна бутылка вместимостью 100-500 мл - 20 сек;

две бутылки вместимостью 50-100 мл - 10 сек;

от двух до пяти бутылок вместимостью 5-50 мл - 8-10 сек.

Указанное время контроля не включает времени на вспомогательные операции.

.3 Укупорка и маркировка

Флаконы с растворами для инъекций, укупоренные резиновыми пробками, после удовлетворительно контроля на отсутствие механических включений, обкатывают металлическими колпачками.

Для этой цели используют аллюминевые колпачки типа К-7 с просечкой (отверстием) диаметром 12-14 мм.

После обкатки у флаконы проверяют качество укупорки: металлический колпачок не должен прокручиваться при проверки в ручную и раствор не должен выливаться при опрокидывании флакона. Затем бутылки и флаконы маркируют путем подписи, штамповки на крышке или с использованием металлических жетонов с указанием наименования раствора и его концентрации.

. Стерилизация

Стерилизация - полное уничтожение в том, или ином объекте живых микроорганизмов и их спор. Стерилизация имеет большое значение при изготовлении всех лекарственных форм и особенно инъекционных. В данном случае следует стерилизовать посуду, вспомогательный материал, растворитель и готовый раствор. Таким образом, работа по изготовлению растворов для инъекций должна начинаться со стерилизации и стерилизацией заканчиваться.

ГФ XI определяет стерилизацию как процесс умерщвления в объекте или удаление из него микроорганизмов всех видов, находящихся на всех стадиях развития.

Сложность процесса стерилизации заключается, с одной стороны, в высокой жизнестойкости и большом разнообразии микроорганизмов, с другой стороны - термолабильностью многих лекарственных веществ и лекарственных форм или невозможностью по ряду причин использовать другие методы стерилизации. Отсюда, исходят требования к методам стерилизации: сохранить свойства лекарственных форм и освободить их от микроорганизмов.

Методы стерилизации должны быть удобны для использования в аптеки, особенно в аптеках ЛПУ, в рецептуре которых инъекционные растворы составляют до 60-80%.

В технологии лекарственных форм используют разные методы стерилизации: термические методы, стерилизация фильтрованием, радиационная стерилизация, химическая стерилизация.

Термическая стерилизация.

К термическим методам стерилизации относят стерилизацию паром под давлением и воздушную стерилизацию, стерилизация текучим паром исключена из ГФXI.

Воздушная стерилизация

Этот метод стерилизации осуществляется горячим воздухом в воздушном стерилизаторе при температуре 180-200ºС . При этом погибают все формы микроорганизмов за счет пирогенетического разложения белковых веществ.

Эффективность воздушной стерилизации зависит от температуры и времени. Равномерность прогрева объектов зависит от степени теплопроводности и правильности расположения внутри стерилизационной камеры для обеспечения свободной циркуляции горячего воздуха. Стерилизуемые объекты должны быть расфасованы в соответствующую тару или укупорены и свободно размещены в стерилизаторе. В связи с тем, что воздух обладает не высокой теплопроводностью, прогрев стерилизуемых объектов происходит довольно медленно, поэтому загрузка должна производится в не нагретые стерилизаторы, или когда температура внутри них не превышает 60ºС. Время, рекомендуемое для стерилизации, должно отсчитываться с момента нагрева в стерилизаторе до температуры 180-200°С.

Воздушный метод стерилизации используется для стерилизации термостойких лекарственных веществ, масел, жиров, ланолина, вазелина, воска, а также изделий из стекла, металла, силиконовой резина, фарфора, установки для стерилизации фильтрованием с фильтрами, мелкие стеклянные и металлические предметы.

Для стерилизации растворов этот метод не используют.

Паровая стерилизация

При этом методе стерилизации происходит комбинированное действие на микроорганизмы высокой температуры и влажности. Надежным методом стерилизации является стерилизация насыщенным паром при избыточном давлении, а именно: давлении 0,11 мПа (1,1 кгс/см²) и температуре 120°С или давлении0,2 мПа (2,2 кгс/см²) и температуре 132°С .

Насыщенный пар - это пар, находящийся в состоянии равновесия с жидкостью, из которой он образуется. Признаком насыщенного пара является строгая зависимость его температуры от давления.

Стерилизацию паром под давлением проводят в паровых стерилизаторах.

Стерилизация паром при температуре 120°С рекомендуется для растворов термостабильных лекарственных веществ. Время стерилизационной выдержки зависит от физико-химических свойств веществ и объема раствора.

 Объем, мл

Минимальное время выдержки, мин

 До 100 От 100 до 500 От 500 до 1000

 8 12 15


Стерилизация инъекционных лекарственных веществ проводят в герметично укупоренных, предварительно простерилизованных флаконах.

Этим методом также стерилизуют жиры и масла в герметично укупоренных сосудах при температуре 120°С в течение 2 часов; изделия из стекла, фарфора, металла, перевязочный и вспомогательный материал (вата, марля, бинты, халаты, фильтровальную бумагу, резиновые пробки, пергамент) - время выдержки 45 мин при температуре 120°С или 20 мин при температуре 132°С .

В исключительных случаях стерилизуют при температуре ниже 120°С . Режим стерилизации должен быть обоснован и указан в частных статьях ГФ XI или другой нормативно-технической документации.

Контроль эффективности термических методов стерилизации осуществляется с помощью контрольно-измерительных приборов с термометрами, а также химическими и биологическими методами.

В качестве химических тестов используют некоторые вещества, изменяющие свой цвет или физиологическое состояние при определенных параметрах стерилизации. Например, бензойная кислота (температура плавления 122-124,5°С), сахароза (180°С) и другие вещества.

Бактериологический контроль осуществляется с помощью стерилизации объекта, осемененным тест-микробами, могут быть использованы пробы садовой земли.

Данный метод стерилизации наиболее часто используется в аптечных учреждениях для стерилизации инъекционных растворов при этом надо учитывать следующие требования:

Стерилизация должна проводится не позднее, чем 3 часа с момента изготовления раствора;

Стерилизация проводится только один раз, повторная стерилизация не допускается;

К заполненным коробкам или упаковкам должна быть прикреплена бирка с наименованием содержимого и датой стерилизации;

Проведение контроля термической стерилизации при стерилизации инъекционных растворов обязательно;

Стерилизацию имеет право проводить только человек, прошедший специальную подготовку и проверку знаний и имеющий документ удостоверяющий это.

Стерилизация фильтрованием

Микробные клетки и споры могут рассматриваться как не растворимые образования с очень малым (1-2 мкм) поперечником. Подобно другим включениям они могут быть отделены от жидкости механическим путем - фильтрованием сквозь мелкопористые фильтры. Этот метод стерилизации также включен в ГФXI для стерилизации растворов термолабильных веществ.

Радиационная стерилизация

Лучистая энергия губительно действует на клетки живых организмов, в том числе и на различные микроорганизмы. Принцип стерилизующего эффекта радиационного излучения основан на способности вызывать в живых клетках при определенных дозах поглощенной энергии такие изменения, которые неизбежно приводят их к гибели за счет нарушения метаболических процессов. Чувствительность микроорганизмов к ионизирующему излучению зависит от многих факторов: наличия влаги, температуры и др.

Радиационная стерилизация является эффективной для крупных производств.

Химическая стерилизация

Этот метод основан на высокой специфической чувствительности микроорганизмов к различным химическим веществам, что обуславливается физико-химической структурой их оболочки и протоплазмы. Механизм антимикробного действия веществ еще недостаточно изучен. Считают, что некоторые вещества вызывают коагуляцию протоплазмы клетки, другие действуют как окислители, ряд веществ влияют на осмотические свойства клетки, многие химические факторы вызывают гибель микробной клетки благодаря разрушению окислительных и других ферментов.

Химическую стерилизацию применяют для стерилизации посуды, вспомогательных средств, изделий из стекла, фарфора, металла, применяют также для дезинфекции стен и оборудования.

Контроль стерильности инъекционных лекарственных препаратов, изготовленных в аптеки, по приказу МЗ РФ № 309 от 21 октября 1997г. осуществляется санэпиднадзором. Последний обязан не реже двух раз в квартал проводить контроль растворов для инъекций, глазных капель и воды для инъекций на стерильность; ежеквартально проводить выборочный контроль воды для инъекций и инъекционных растворов, изготовленных в аптеки, на пирогенные вещества в соответствии с требованиями ГФXI.

. Контроль качества готовой продукции

Контроль качества растворов для инъекций должен охватывать все стадии их приготовления с момента поступления лекарственных веществ в аптеку и до отпуска их в виде лекарственной формы.

В соответствии с Инструкцией по контролю качества лекарственных средств, изготовляемых в аптеки, утвержденной приказом № 214 от 16 июля 1997г, в целях предупреждения поступления в аптеку некачественных лекарственных средств проводится приемочный контроль, который заключается в проверке присутствующих лекарственных средств на соответствие требованиям по показателям: «Описание», «Упаковка», «Маркировка»; в проверки правильности оформления различных документов и наличие сертификатов соответствующего производителя и другой документации, подтверждающей качество лекарственного средства. При этом на этикетке упаковки с лекарственными веществами, предназначенным для изготовления растворов для инъекций и инфузий, должно быть указано «Годен для инъекций».

В процессе изготовления должен присутствовать письменный, органолептический контроль и контроль при отпуске - обязательно; опросный, физический - выборочно и полный химический в соответствии с требованиями раздела 8 приказа № 214.

При письменном контроле, кроме общих правил оформления паспортов, следует помнить, что концентрация и объем (масса) изотонирующего и стабилизирующего вещества, добавленных в растворы для инъекций и инфузий, должны быть указаны не только в паспортах, но и на рецептах.

Опросный контроль проводиться выборочно после изготовления не более пять лекарственных форм.

Органолептический контроль заключается в проверке лекарственной формы по показаниям:

описание (внешний вид, цвет, запах);

однородность;

отсутствие видимых механических включений (в жидких лекарственных формах).

Физический контроль заключается в проверке массы или объема лекарственной формы, количества и массы отдельных компонентов, входящих в данную лекарственную форму.

При этом проверяется каждая серия раствора лекарственного препарата, требующая стерилизации, после расфасовки и до их стерилизации. При проверке также контролируется качество упаковки (аллюминевый колпачок не должен прокручиваться вручную и раствор не должен выливаться при опрокидывания флакона).

Все растворы для инъекций и инфузий до стерилизации подвергаются полному химическому контролю обязательно, включая определение величины рН, изотонирующих и стабилизирующих веществ.

Все стадии изготовления растворов для инъекций и инфузий должны отражаться в журнале регистрации результатов контроля отдельных стадий изготовления растворов для инъекций и инфузий.

.1 Вторичный контроль на отсутствие механических включений

После стерилизации закупоренные растворы подвергаются вторичному контролю на отсутствие механических включений.

«Первичный контроль на отсутствие механических включений». При этом также одновременно проводится проверка на полноту заполнения флакона и качества укупорки.

.2 Полный химический контроль

Для проведения полного химического контроля после стерилизации отбирают один флакон от каждой серии препарата. За серию считают продукцию, полученную в одной емкости.

Полный химический контроль включает в себя, помимо проведения качественного и количественного определения действующих веществ, также и определение величины рН. Стабилизирующие и изотонирующие вещества проверяются в случаях, предусмотренных действующей нормативной документацией (Методическими указаниями).

.3 Бракераж

Стерильные растворы считаются забракованными при несоответствии требованиям нормативной документации по внешнему виду, величине рН; подлинности и количественному содержанию входящих веществ; наличию видимых механических включений; недопустимым отклонениям от номинального объема раствора; нарушения фиксирующей укупорки; нарушениям действующих требований к оформлению лекарственных средств, предназначенных к отпуску.

. Оформление

Лекарственные вещества ля инъекций, как и другие лекарственные формы, оформляются этикеткой. В данном случае этикетки должны иметь синюю сигнальную полосу на белом фоне и четкие надписи: «Для инъекций», «Стерильно», «Беречь от детей», отпечатанные типографическим способом. Размеры этикеток не должны превышать 120 ›‹ 50 мм. Кроме того, этикетки должны иметь следующее:

эмблему;

месторасположение учреждения изготовителя;

наименование учреждения изготовителя;

№ больницы;

наименование отделения;

способ применения (внутривенно, внутривенно (капельно), внутримышечно);

дата приготовления____;

срок годности____;

анализ №___;

приготовил________;

проверил___________;

оптустил___________.

V. Практическая часть

Практическая часть работы была выполнена на основании данных, полученных в период прохождения мною производственной практики.

Приготовление лекарственных форм для инъекций осуществляется в рецептурно-производственном отделе.

Характеристика условий изготовления инъекционных растворов.

Изготовление инъекционных растворов осуществляется в изолированном помещении асептического блока.

Ассистентская асептического блока отделена от других производственных помещений шлюзом, но при этом соединена окнами с кабинетом провизора-аналитика и автоклавной.

В шлюзе расположены шкафы для одежды персонала и для хранения биксов с комплектами стерильной одежды, зеркало, раковина, электросушилка, а также инструкции по правилам обработки рук, последовательности переодевания и правилам поведения в асептическом блоке.

Помещение ассистентской-асептической отделано с использованием материалов, способных выдержать частые дезинфицирующие обработки. Пол покрыт неглазированной керамической плиткой, пол и стены отделаны пластиковым покрытием, что удовлетворяет требованиям приказа № 309 от 21 октября 1997г.

Пластиковые окна, защищенные воздушными фильтрами, обеспечивают проникновение в помещение достаточного количества естественного света. Искусственный свет создают люминесцентные лампы дневного света.

В помещении присутствует приточно-вытяжная вентиляция с преобладанием притока над вытяжкой.

Перед работой в асептическом блоке производится обеззараживание воздуха с помощью настенных бактерицидных неэкранированных ламп, установленных на реле времени (с 6.00 до 8.00).

Работа персонала осуществляется в комплекте стерильной одежды, который состоит из бахил, брючного костюма, одноразовой маски и шапочки. Обработка рук производится спиртовым раствором хлоргексидина биглюконата 0,5%.

В конце смены обязательно проводится уборка помещения с использованием дезсредств. В качестве дезинфицирующих средств используют 0,75% раствор хлорамина Б с 0,5% раствором моющего средства. Уборка осуществляется по правилам, регламентирующимся приказом № 309 от 21 октября 1997г.: сначала моют стены плавными движениями сверху вниз от окна к двери, а затем моют и дезинфицируют мебель и оборудование. Один раз в неделю производится генеральная уборка помещения, для этого помещение освобождают от оборудования.

Оборудование асептического блока

Для облегчения работы специалистов в асептическом блоке применяются средства малой механизации.

Розлив и фильтрование растворов осуществляется вакуумным хирургическим отсасывателем УС-НС-11, снабженным двумя (воздушным и механическим) погруженными бактериальными фильтрами из нержавеющей стали.

Для отвешивания сыпучих веществ используют весы ТУ-64-1-3849-84 до 1 кг, для этой же цели применяются и ручные весы до 100г, до 20 г, до 5г и до 1 г.

С помощью устройства для контролирования инъекционных растворов УК-2 осуществляется первичный контроль растворов на отсутствие механических включений.

Обкатка флаконов, емкостью 250 и 500 мл, проводится посредством полуавтоматов закаточных ЗПУ-00 ОПС (производительность труда 1000 фл/ч) и ПЗР (1440 фл/ч). Пенницилинки обкатывают с помощью приспособления для отжима колпачков ПОК-1.

Стерилизация растворов осуществляется в трех автоклавах ГК-100-3М.

Получение воды для инъекций и проверка её качества

Воду для инъекций получают посредством аквадистилляторов ДЭ-25 и

АЭ-25, снабженных сепараторами, препятствующие прохождению капелек воды в конденсационную камеру.

Дистилляция воды осуществляется в отдельном помещении. Перед началом работы 15 мин проводят пропаривание аквадистиллятора при закрытых вентилях подачи воды в аквадистиллятор и холодильник. Первые порции полученной воды в течение 15-20 мин сливают.

Воду для инъекций собирают в чистые простерилизованные баллоны с четкой надписью «Вода для инъекций» и указанием номера баллона; на баллонах имеется бирка, где указана дата стерилизации. Кроме того, имеется этикетка с указанием того, что содержимое баллонов не простерилизовано, дата, № химического анализа и подпись проводившего анализ.

Перед поступлением воды в асептический блок берется проба из каждого баллона для анализа. Провизор-аналитик проводит испытание воды для инъекций на отсутствие хлоридов, сульфатов, солей кальция, а также на отсутствие восстанавливающих веществ, солей аммония и углерода диоксида в соответствие с требованиями действующей ГФ.

Результаты контроля воды очищенной и воды для инъекций регистрируют в журнале, форма которого приведена в приложении 3 к инструкции приказа МЗ РФ №214.

Наиболее часто в аптеке осуществляется приготовление следующих прописей:

Rp.: Sol. Novocaini 0,25% - 200 ml 10 фл..S. Внутримышечно.

Приготовление ведут массо-объемным методом: в мерной посуде в ⅔ объемах воды растворяют рассчитанное количество новокаина и стабилизатора, а затем доводят водой до нужного объема.

В качестве стабилизатора используют 0,1 н. раствор кислоты хлороводородной в соотношение на 1 литр раствора новокаина: 0,25% - 3 мл,

,5% - 4 мл,

% - 9 мл,

% - 12 мл.

Добавление данного количества кислоты хлороводородной снижает рН среды до 3,8-4,5, что соответствует прописи, указанной в приложении приказа МЗ РФ № 214 от 16 июля 1997г.

В данном случае рассчитываем объем раствора: 200 * 10 = 2000 мл.

Рассчитываем массу новокаина:

Рассчитываем объем стабилизатора: 3мл в 1 л,

Х мл в 2 л.

Х =2*3=6 мл.

Исходя из расчетов, готовим раствор. В емкость на 2 л набираем ⅔ объема воды для инъекций, растворяет в ней 5 г новокаина, перемешиваем. Затем добавляем 6 мл 0,1 н раствора кислоты хлороводородной, приготовление которого см. «Стабилизация растворов». Доводим раствор водой для инъекций до нужного объема и вновь перемешиваем, отдаем раствор на химический анализ.

После получения удовлетворительных результатов анализа раствор фасуем с одновременной фильтрацией с помощью вакуумного хирургического отсасывателя УС-НС-11, подвергаем растворы первичному контролю на отсутствие механических включений, укупориваем резиновыми пробками и обкатываем колпачками.

Затем раствор стерилизуем в стерилизаторе паром под давление при температуре 120 С в течение 12 минут. После вторичного контроля на отсутствие механических включений и повторного химического анализа оформляем флаконы к отпуску.

Rp.: Sol. Nаtrii chloridi 0,9% - 200 ml 10 фл..S. Внутривенно.

С целью разрушения пирогенных веществ порошок натрия хлорид перед приготовлением раствора прокаливают в воздушном стерилизаторе при температуре 180 С в течении 2 часов с толщиной слоя не более 2 см, после чего посуду закрывают и используют в течении 24 часов. Данные о прокаливании заносятся в журнал. Приготовление растворов ведут массо-объемным методом.

Исходя из расчетов, готовим раствор. В емкость на 2 л набираем ⅔ объема воды для инъекций, растворяет в ней 18 г натрия хлорида, перемешиваем. Доводим раствор водой для инъекций до нужного объема и перемешиваем, отдаем раствор на химический анализ.

Стабилизация в данном случае не требуется, т. к. вещество является солью, образованную сильной кислотой и сильным основанием.

После получения удовлетворительных результатов анализа раствор фасуем с одновременной фильтрацией с помощью вакуумного хирургического отсасывателя УС-НС-11, подвергаем растворы первичному контролю на отсутствие механических включений, укупориваем резиновыми пробками и обкатываем колпачками. Один флакон отправляем на бактериальный анализ с указанием на этикетке того, что содержимое не простерилизовано, № серии и времени начала изготовления раствора.

Затем раствор стерилизуем в стерилизаторе паром под давление при температуре 120 С в течение 12 минут. После вторичного контроля на отсутствие механических включений и повторного химического анализа оформляем флаконы к отпуску.

Состав и технология раствора, соответствует прописи, указанной в приложении приказа МЗ РФ № 214 от 16 июля 1997г.

Rp.: Sol. Kalii chloridi 3% - 200 ml 10 фл..S. Внутривенно (капельно).

Приготовление растворов ведут массо-объемным методом.

Исходя из расчетов, приготавливаем раствор. В емкость на 2 л набираем ⅔ объема воды для инъекций, растворяет в ней 60 г калия хлорида, перемешиваем. Доводим раствор водой для инъекций до нужного объема и вновь перемешиваем, отдаем раствор на химический анализ.

Стабилизация в данном случае не требуется, т. к. вещество является солью, образованной сильной кислотой и сильным основанием.

После получения удовлетворительных результатов анализа раствор фасуем с одновременной фильтрацией с помощью вакуумного хирургического отсасывателя УС-НС-11, подвергаем растворы первичному контролю на отсутствие механических включений, укупориваем резиновыми пробками и обкатываем колпачками.

Затем раствор стерилизуем в стерилизаторе паром под давление при температуре 120 С в течение 12 минут. После вторичного контроля на отсутствие механических включений и повторного химического анализа оформляем флаконы к отпуску.

Состав и технология раствора, соответствует прописи, указанной в приложении приказа МЗ РФ № 214 от 16 июля 1997г.

Rp.: Sol. Natrii hydrocarbonatis 4% - 180 ml 20 фл..S. Внутривенно

Для приготовления растворов используют натрия гидрокарбонат, соответствующий требованиям ГОСТа 4201-79 квалификации х.ч. и ч.д.а. В процессе приготовления раствора, натрия гидрокарбонат подвергается гидролизу с образованием натрия карбоната и углекислого газа, что в свою очередь приводит к увеличению рН раствора. В связи с этим, целесообразно соблюдать условия, препятствующие потере углекислоты: растворение препарата проводить при температуре не выше 20 С, в закрытом сосуде, избегая при этом сильного взбалтывания.

Приготовление растворов ведут массо-объемным методом.

Исходя из расчетов, приготавливаем раствор. В емкость на 5 л набираем ⅔ объема воды для инъекций, растворяет в ней 144 г натрия гидрокарбоната, осторожно перемешиваем. Доводим раствор водой для инъекций до нужного объема и отдаем раствор на химический анализ.

После получения удовлетворительных результатов анализа раствор фасуем с одновременной фильтрацией с помощью вакуумного хирургического отсасывателя УС-НС-11, При фасовки флаконы заполняют на ⅔ объема, чтобы при стерилизации не было разрыва склянок. Подвергаем растворы первичному контролю на отсутствие механических включений, при этом строго запрещается взбалтывание флакона. Затем укупориваем растворы резиновыми пробками и обкатываем колпачками. Один флакон отправляем на бактериальный анализ с указанием на этикетке того, что содержимое не простерилизовано, № серии и времени начала изготовления раствора.

Затем раствор стерилизуем в стерилизаторе ГК-100-3М паром под давление при температуре 120 С в течение 12 минут. Во избежания разрыва флаконов из-за выделения углекислого газа разгрузку стерилизатора следует проводить не ранее, чем через 20-30 мин после того, как давление внутри стерилизационной камеры упадет до нуля. После вторичного контроля на отсутствие механических включений и повторного химического анализа оформляем флаконы к отпуску.

Состав и технология раствора, соответствует требованиям, предъявляемым к раствору приказом МЗ РФ № 214 от 16 июля 1997г.

Rp.: Sol. Calcii chloridi 1% - 200 ml 100 фл..S. Внутривенно

Приготовление растворов ведут массо-объемным методом.

Исходя из расчетов, приготавливаем раствор. В емкость на 2 л набираем ⅔ объема воды для инъекций, растворяет в ней 200г кальция хлорида, перемешиваем. Доводим раствор водой для инъекций до нужного объема и вновь перемешиваем, отдаем раствор на химический анализ.

Стабилизация в данном случае не требуется, т. к. вещество является солью, образованной сильной кислотой и сильным основанием.

После получения удовлетворительных результатов анализа раствор фасуем с одновременной фильтрацией с помощью вакуумного хирургического отсасывателя УС-НС-11, подвергаем растворы первичному контролю на отсутствие механических включений, укупориваем резиновыми пробками и обкатываем колпачками.

Затем раствор стерилизуем в стерилизаторе ГК-100-3М паром под давление при температуре 120 С в течение 12 минут. После вторичного контроля на отсутствие механических включений и повторного химического анализа оформляем флаконы к отпуску.

Состав и технология раствора, соответствует прописи, указанной в приложении приказа МЗ РФ № 214 от 16 июля 1997г.

Анализ экстемпоральной рецептуры

Промышленность выпускает следующие аналоги инъекционных растворов, изготовляемых в аптеки:

Раствор лекарственного вещества

Аналог, выпускаемый промышленностью

Раствор новокаина 0,25% - 200 мл

Раствор новокаина 0,25% - 200 мл

Раствор натрия гидрокарбоната 4% - 180 Раствор натрия гидрокарбоната 2% - 100

Только таблетки по 500 мг №10

Раствор натрия хлорида 0,9% - 200 мл

Раствор натрия хлорида 0,9% - 200 мл

Раствор калия хлорида 3% - 200 мл

Раствор калия хлорида 4% - 10 мл в амп. №10

Раствор новокаина 1% - 200 мл

Раствор новокаина 1% - 10 мл в амп. №10

Раствор кальция хлорида 1% - 200 мл

Раствор кальция хлорида 1% - 10 мл в амп. №10

Раствор натрия хлорида 10% - 200

Раствор натрия хлорида 10% - 200 мл

Раствор глюкозы 5% - 200 мл

Раствор глюкозы 5% - 200 мл


Из таблицы видно, что не на все инъекционные лекарственные формы, изготовляемые в аптеке, есть промышленные аналоги.

Растворы новокаина, кальция хлорида выпускаются в ампулах, что не всегда удобно при их использовании в ЛПУ. Растворы калия хлорида необходимой концентрации не выпускаются, а официнальной лекарственной формы раствора натрия гидрокарбоната вообще не существует.

Следовательно, ни одно ЛПУ не может обойтись без инъекционных лекарственных форм, изготовляемых в аптеках.

Сроки годности большинства инъекционных растворов варьируются от 20 до 30 дней, что позволяет приготавливать их в качестве внутриаптечной заготовки во флаконах под обкатку, что и делается в аптеке с ориентацией на спрос инъекционных растворов в отделениях ЛПУ.

VI. Экспериментальная часть

Объекты: Натрия хлорид раствор для инфузий 0,9% 200 мл

Материалы: чашка Петри, пробирки, колба, пипетка.

Цель: Овладеть методикой определения стерильности инъекционного раствора.

Задача: Сравнить микробиологические показатели и оценить качество 2-ух растворов, учитывая, что один из них изготовлен без соблюдения технологии изготовления (отсутствует стадия стерилизации).

. Приготовление раствора.

Rp.: Sol. Nаtrii chloridi 0,9% - 200 ml 2 фл

D.S. Внутривенно.

С целью разрушения пирогенных веществ порошок натрия хлорид перед приготовлением раствора прокаливаем в воздушном стерилизаторе при температуре 180 С в течении 2 часов с толщиной слоя не более 2 см, после чего посуду закрываем и используем только в течении 24 часов. Данные о прокаливании заносим в журнал. Приготовление растворов ведем массо-объемным методом.


Исходя из расчетов, готовим раствор. В емкость на 500 мл отмериваем ⅔ объема воды для инъекций, растворяем в ней 3,6 г натрия хлорида, перемешиваем. Доводим раствор водой для инъекций до нужного объема и перемешиваем, отдаем раствор на химический анализ.

Стабилизация в данном случае не требуется, т. к. вещество является солью, образованная сильной кислотой и сильным основанием.

Фильтруем с помощью УС-НС-11, подвергаем растворы первичному контролю на отсутствие механических включений, укупориваем резиновыми пробками и обкатываем колпачками.

Один флакон (А) отправляем на бактериальный анализ с указанием на этикетке того, что содержимое не простерилизовано, № серии и времени начала изготовления раствора.

Другой флакон (Б) стерилизуем в стерилизаторе паром под давление при температуре 120 С в течение 12 минут.

2. Определение стерильности раствора натрия хлорида изотонического

Флаконы с исследуемым раствором отправляем в термостат до посева, и выдерживаем 3 суток при 37С для выявления споровых форм микроорганизмов, которые в течение этого времени переходят в вегетативные. Далее из каждого флакона для выявления аэробов производим высев по 2 мл в 5 флаконов с 50 мл мясопептонного бульона с глюкозой.

Для выявления анаэробов производим высев по 0,5 мл в 4 пробирки со средой Китта-Тароцци. Для выявления плесневых грибов и дрожжей производим высев по 0,5 мл в 4 пробирки с жидкой средой Сабуро.

Засеянные среды выдерживаем в термостате: при 37С - 3 флакона МПБ с глюкозой, 4 пробирки со средой Китта-Тароцци; при 24С-2 флакона МПБ с глюкозой, 4 пробирки со средой Сабуро. Пробы выдерживают в течение 8 суток при ежедневном просмотре.

3. Результаты микробиологического исследования

При визуальном осмотре сред, засеянных раствором А (изот. р-р натрия хлорида изотонического, не прошедший стерилизацию) наблюдаем:

Флаконы с мясопептонным бульоном с глюкозой.

Раствор мутный, на дне флаконов белый хлопьевидный осадок.

Пробирки со средой Китта-Тароцци.

Раствор мутный, непрозрачный, с осадком.

Пробирки со средой Сабуро. Раствор прозрачный, без осадка и мути.

При визуальном осмотре сред, засеянных раствором Б (стерильный раствор натрия хлорида изотонический), мы видим, что помутнение и наличие осадка отсутствует.

Заключение

В первом и во втором случаях, мы наблюдали изменения, которые свидетельствуют о росте микробной культуры. В третьем случае (среда Сабуро), раствор остался неизменным, что говорит об отсутствии плесневых грибов и дрожжей.

Вывод

Все препараты, выпускаемые для инъекций, должны быть стерильными. Стерильность лекарственных средств достигается соблюдением санитарных условий изготовления и режима стерилизации, установленных Государственной фармакопеей РФ или соответствующими Техническими условиями.

Вывод

Инъекционные растворы являются одной из наиболее важных лекарственных форм, изготовляемых в аптеке. Приготовление этих растворов требует особого внимания и тщательного контроля качества. В аптеке изготавливаются инъекционные лекарственные формы, большинство из которых не выпускаются промышленностью, что крайне необходимо для многих отделений ЛПУ. Инъекционные растворы готовятся в условиях, соответствующих всем требованиям приказа МЗ РФ № 309 от 21 октября 1997г. Изготовление растворов для инъекций осуществляется в максимально удобных и комфортных условиях асептического блока, согласно графика работы. Провизор-аналитик тщательно контролирует процесс приготовления инъекционных растворов, согласно приказу МЗ РФ №214 от 16 июля 1997г.

Для облегчения работы специалистов на оснащение аптеки имеются различные средства малой механизации. Аптека соответствует стандарту по всем требованиям нормативной документации и выполняет все рекомендации МЗ.



Используемая литература

инъекционный раствор лекарственный

1.       Технология лекарственных форм. учеб. для студ. высш. учеб. заведений; под ред. И.И. Краснюка, Г.В. Михайловой. - М.:Издательский центр «Академия»,2006.-592с.

.        Приказ МЗ РФ №309 от 21.10.1997 «Об утверждении инструкции по санитарному режиму аптек»

.        Приказ МЗ РФ №214 от 16.07.1997 «О контроле качества ЛС в аптеках».

.        В.М. Грецкий, В.С. Хоменок, Руководство к практическим занятиям по технологии лекарств - Мед., Москва, 1984

.        Государственная фармакопея издание X, XI издания

6.       Технология лекарственных форм. учеб. для студ. высш. учеб. заведений; под ред. И.И. Краснюка, Г.В. Михайловой. - М.:Издательский центр «Академия»,2006.-592с.

7.       Учебно-методическое пособие к практическим занятиям по аптечной технологии лекарственных средств (часть 3, 4) - Смоленск: СГМА, 2006. Лосенкова С.О

.        Основы фармацевтической биотехнологии: Учебное пособие/Т.П. Прищеп, В.С. Чучалин.-Ростов н/Д.: Феникс; Изд-во НТЛ, 2006.- 256 с.

.        Микробиология, В.С. Дукова Издательство 2007 274 с.

Похожие работы на - Растворы для инъекций

 

Не нашли материал для своей работы?
Поможем написать уникальную работу
Без плагиата!
Без нейросетей!