Противоопухолевые антибиотики

  • Вид работы:
    Реферат
  • Предмет:
    Медицина, физкультура, здравоохранение
  • Язык:
    Русский
    ,
    Формат файла:
    MS Word
    908,34 Кб
  • Опубликовано:
    2012-05-25
Вы можете узнать стоимость помощи в написании студенческой работы.
Помощь в написании работы, которую точно примут!

Противоопухолевые антибиотики

Санкт-Петербургская государственная химико-фармацевтическая академия

Кафедра органической химии










Реферат

на тему: «Противоопухолевые антибиотики»

Выполнил: Перхин Р.В.

Проверил: Зайцев В. В.






СПб 2012 г.

Оглавление

Введение

Антибиотики с противоопухолевой активностью

Химиотерапевтический спектр действия при опухолевых заболеваниях ряда средств из группы антибиотиков, алкалоидов и гормональных препаратов

ДАКТИНОМИЦИН (Dactinomycinum)

МИТОМИЦИН (Mitomycin)

БРУНЕОМИЦИН (Bruneomycinum)

РЕУМИЦИН (Reumycinum)

АДРИАМИЦИН (Доксорубицин) (Adriamycinum)

ДАУНОМИЦИН (Daunomycin), РУБОМИЦИНЫ (Rubomycinum)

ОЛИВОМИЦИН (Olivomycinum)

Список используемой литературы и Интернет-ресурсов

ВВЕДЕНИЕ

Бактерии растут и на чашке образуются хорошо видные точки разных размеров - колонии микробов. Колонии наносят на особые стеклышки, красят особыми красителями, затем изучают под микроскопом. Множество чашек, свое отслуживших, скапливается в лаборатории. Одна из них оказалась зараженной плесенью. Флеминг «всего-навсего» обратил внимание на то, что колонии бактерий (это были стафилококки) вокруг плесени растворились - т. е. бактерии погибли. Вывод ученого о том, что плесень вырабатывает некое вещество, способное уничтожать микробы, и привел к открытию пенициллина. В случае с открытием пенициллина таким «производителем» антибиотика оказался особый вид плесени. Осталось «совсем немного» - позаимствовать у плесени лишь ей присущее оружие, придумать, как это оружие создавать в количествах, адекватных потребностям человечества, и научиться этим оружием пользоваться. С 1943 года началось промышленное производство пенициллина. И с этого времени антибиотики стали обязательным компонентом современной медицины. Ведь как, на первый взгляд, просто и логично выглядит использование этих средств. Есть некий микроб, вызывающий болезнь. Есть лекарство, способное уничтожить микроб, вызывающий болезнь. Назначаем лекарство, уничтожаем микроб, исчезает болезнь. Очень все просто и здорово получается. Но чем больше назначаем и чем больше уничтожаем, тем большее количество проблем появляется... Ибо антибиотики - оружие очень серьезное. А пользоваться серьезным оружием надобно умеючи. Отсюда, казалось бы, вполне закономерный и вполне логичный вывод - применять антибиотики может только специалист, должным образом этому делу обученный, короче говоря, врач. На практике, тем не менее, это происходит не всегда так.

Принципиальная возможность бороться с инфекциями людям так понравилась, что человека, ни разу не пытавшегося какого-нибудь микроба «задавить» в себе самостоятельно, встретить почти невозможно. Любой антибиотик в любой аптеке вам продадут без всякого рецепта. В последнее время, правда, число любителей лечиться самостоятельно медленно уменьшается в связи с общим снижением платежеспособности населения, но на детей денег не жалеют, а на врачей обижаются, если те ничего серьезного не назначают. Автор вовсе не ставит своей целью научить читателей пользоваться антибиотиками! Задача видится в том чтобы:- еще раз подчеркнуть сложность и небезопасность антибиотикотерапии; - обратить внимание на очевидное: и сам факт назначения, и доза, и сроки использования, и непосредственный выбор антибиотика требуют высочайшего профессионализма - определенных и немалых знаний, опыта, интуиции, здравого смысла; - объяснить значение некоторых особо мудрых медицинских слов, непременно сопровождающих процесс лечения антибиотиками; - перечислить и настоять на обязательном выполнении правил применения антибиотиков. Правил, актуальных именно для того, кто антибиотиками лечится (знание этих правил тем, кто антибиотиками лечит, подразумевается).

Антибиотики - вовсе не единственное средство, способное уничтожать в организме болезнетворные микроорганизмы. Принципиальная возможность использования любых антимикробных препаратов основана на том, что в определенной бактериальной клетке есть определенные структуры, которые не имеют аналогов в организме человека. Проще говоря, необходимо найти в микроорганизме нечто такое (белок, фермент), без чего он существовать не может, но это «нечто» должно быть свойственно именно микробу - т. е. в человеке таких ферментов или таких белков быть не должно. Пример: клеточная оболочка некоторых бактерий по своей анатомии не имеет ничего общего с любыми клетками любого млекопитающего. Естественно, что вполне возможно (хотя совсем непросто) создание вещества, разрушающего оболочку бактерии, но не повреждающего при этом клетки человеческого организма.

Кстати, именно так, разрушая оболочку бактерии, действуют знаменитые пенициллин, ампициллин, цефалексин. Еще пример: почти у всех бактерий имеется фермент, который носит сложное название «ДНК-гираза». Без него бактерии теряют способность размножаться и быстро погибают. Созданы препараты, разрушающие ДНК-гиразу и, разумеется, обладающие выраженным антибактериальным действием на очень многие бактерии - норфлоксацин, офлоксацин и т. п. Но перечисленные препараты не являются антибиотиками! Такое положение вещей не слишком понятно и требует объяснения. Еще раз подчеркиваю: антибиотики - это вещества, которые одни микроорганизмы вырабатывают для уничтожения других микроорганизмов.

Некоторые грибы (пеницилиум, цефалоспориум и т. д.) производят антибиотики - например, пенициллин, цефалоспорин. Некоторые бактерии (актиномицеты) производят антибиотики - например, тетрациклин, стрептомицин. В то же время любой естественный антибиотик ученые пытаются модернизировать (изменить, улучшить, сделать более активным против микробов и менее опасным для человека). Так, путем изменения структуры пенициллина получены его синтетические производные - оксациллин, ампициллин; путем изменения тетрациклина - доксициклин, метациклин, и т. д. Таким образом, антибиотики бывают естественными и синтетическими. В то же время, антимикробное средство может не иметь ничего общего с живой природой - оно может быть продуктом исключительно человеческого разума, т. е. быть веществом, которое человек придумал сам. О многих таких препаратах вы, конечно же, слышали. Это знаменитые сульфаниламиды (стрептоцид, этазол, бисептол), нитрофураны (фуразолидон, фурагин), фторхинолоны (уже названные нами норфлоксацин, офлоксацин и т. п.). Смысл вышеизложенного: антибактериальные средства и антибиотики - это не одно и тоже. Есть в медицине такой термин - «химиотерапия».

Химиотерапия - это лечение инфекционных заболеваний лекарственными препаратами. И все перечисленные нами лекарственные препараты - и сульфаниламиды, и антибиотики, и фторхинолоны, и нитрофураны - представляют собой химиотерапевтические средства, или, что более понятно, антимикробные средства. Приведенная информация имеет больше теоретическое, чем практическое значение, поскольку принципы и правила применения любых антимикробных средств одинаковы. Все, что мы расскажем про антибиотики, в равной мере будет распространяться и на почитателей бисептола и на поклонников фуразолидона, и на всех остальных любителей побороться с микробами. Антибиотики бывают разными и это вполне очевидно. Но, применяя в каждом конкретном случае совершенно определенный антибиотик, врачи (еще раз повторяю, именно врачи) исходят из совершенно определенных свойств, конкретного препарата.

противоопухолевый антибиотик химиотерапевтический гормональный

АНТИБИОТИКИ С ПРОТИВООПУХОЛЕВОЙ АКТИВНОСТЬЮ

Ряд антибиотиков наряду с противомикробной активностью обладает выраженными цитотоксическими свойствами, обусловленными угнетением синтеза и функции нуклеиновых кислот. К их числу относится дактиномицин (актиномицин D), продуцируемый некоторыми видами Streptomyces. Применяют дактиномицин при хорионэпителиоме матки, опухоли Вильмса у детей, при лимфогранулематозе. Вводят препарат внутривенно, а также в полости тела (при наличии в них экссудата).

Противобластомным эффектом обладает также антибиотик оливомицин, продуцируемый Actinomyces olivoreticuli. В медицинской практике используют его натриевую соль. Препарат вызывает некоторое улучшение при опухоли яичка - семиноме, эмбриональном раке, тератобластоме, лимфоэпителиоме, ретикулосаркоме, меланоме. Вводят его внутривенно. Кроме того, при изъязвлении поверхностно расположенных опухолей оливомицин применяют местно в виде мазей.

Химиотерапевтический спектр действия при опухолевых заболеваниях ряда средств из группы антибиотиков, алкалоидов и гормональных препаратов

Антибиотики группы антрациклинов - доксорубицина гидрохлорид (образуется Streptomycespeuceticus varcaesius) и карминомицин (продуцент Actinoma-durci carminata sp. nov.) - привлекают внимание в связи с эффективностью при саркомах мезенхимального происхождения. Так, доксорубицин (адриамицин) используют при остеогенных саркомах, раке молочной железы и других опухолевых заболеваниях.

Активный в отношении ряда опухолей антибиотик рубомицин продуцируется Actinomyces coeruleorubidus. Применяется он в виде гидрохлорида. По химической структуре и свойствам близок к доксорубицину. Рубомицина гидрохлорид (даунорубицин, дауномицин, рубидомицин) вызывает ремиссии при хорионэпителиоме матки, остром лейкозе, ретикулосаркоме. Вводят препарат внутривенно.

При применении указанных антибиотиков наблюдаются нарушение аппетита, стоматит, тошнота, рвота, диарея. Возможно поражение слизистых оболочек дрожжеподобными грибами. Угнетается кроветворение. Иногда отмечается кардиотоксическое действие. Нередко происходит выпадение волос. Имеются у этих препаратов и раздражающие свойства. Следует учитывать также их выраженное иммунодепрессивное действие.

Антибиотик блеомицин (бленоксан), продуцируемый Streptomyces verticillus, и близкий к нему отечественный препарат блеомицетина гидрохлорид оказались активными при раке слизистой оболочки ротовой полости, миндалин, гортани, лимфогранулематозе, при комбинированной химиотерапии злокачественных опухолей яичка и ряде других опухолевых заболеваний. Применение блеомицина ограничивают его токсическое действие на легкие, кожные поражения, диспепсические явления. На кроветворение блеомицин влияет в относительно небольшой степени.

К антибиотикам с противоопухолевой активностью относятся также брунеомицин (руфокромомицин, стрептонигрин), митомицин.

Структурной основой антрациклиновых противоопухолевых антибиотиков является тетрагидротетраценхиноновый хромофор, состоящий из шестичленного алифатического и трех ароматических колец. В химическом отношении они отличаются друг от друга заместителями в хромофоре и наличием сахарных остатков.

ДАКТИНОМИЦИН (Dactinomycinum)

Акриноцинил-ди- (L-треонил-D-валинил-L-пролинил-саркозил-N-метил- L-валинил)-лактон

Содержит феноксановую хромоформную группу, к которой присоединены полипептидные цепочки, состоящие из 8-10 аминокислот

Структурная формула:













В основе механизма действия лежит образование комплекса антибиотика с ДНК и нарушение ее матричной активности.

Механизм действия <#"557129.files/image003.gif">

Содержат бензохиноновое кольцо, соединенное с двумя пятичленными структурами; термостабилен, легко растворяется в органических растворителях. Проникая в клетки, Митомицин становится би- и трифункциональным алкилирующим веществом. Митомицин селективно ингибирует синтез дезоксирибонуклеиновой кислоты (ДНК).

Механизм действия связан с образованием поперечных сшивок между нитями ДНК. В высоких концентрациях Митомицин также снижает количество РНК в клетке и ингибирует синтез белка, особенно в поздних (G1 и S) фазах митоза.

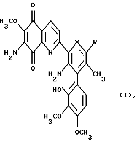
БРУНЕОМИЦИН (Bruneomycinum)

 

-Амино-6-(6-метокси-5,8-дигидро-7- амино-5,8-диоксохинолил-2) -4(2-окси-3,4-диметоксифенил )-3-метилпиколиновая кислота.

Антибиотическое вещество, выделенное из культуральной жидкости Actinomyces albus var . bnmeomycini

Структурная формула:


В механизме действия препарата важную роль играет ингибирование синтеза ДНК (подавление образования дезоксирибонуклеиновой кислоты - составной части ядра клетки, ответственной за перенос наследственной информации).

РЕУМИЦИН (Reumycinum)

, 8-Дигидро-6-метил-пиримидо [5, 6-е] - 1, 2, 4-триазин-5, 7-дион

Этот отечественный противоопухолевый антиантибиотик образуется культурой Streptomyces rectus bruneus subsp.

По своему химическому строению реумицин отноотносится к группе пиримидотриазиновых антибиотиков.

Структурная формула:


Антибиотик является ингибитором тканевого дыхания.

Механизм его биологического действия связан с нарушением энергеэнергетического обмена опухолевых клеток.

Реумицин in vitro оказывает цитотоксическое действие на опуопухолевые клетки человека (меланома, рак почки, опухоли яичка), он показал хорошие результаты при лечении злокачественных опухолей головного мозга. Препарат не обладает антимикробной активностью.

(8S-цис)-10-(3-амино-2,3,6-тридезокси-альфа-L-ликсогексо-пиранозил)окси-7,8,9,10-тетра-гидро-6,8,11-тригидрокси-8-(гидроксилацетил)-1-метокси-5,12-нафтацендион (также в виде гидрохлорида)

Один из антрациклиновых антибиотиков <#"557129.files/image006.gif">

Молекула доксорубицина состоит из тетрациклического антрахиноидного <#"557129.files/image007.gif">

Механизм биологического действия дауномицина и его аналогов связан с подавлением репликации ДНК. Молекулы этих антиантибиотиков интеркалируют (внедряются, встраиваются) между ососнованиями ДНК, в результате чего препятствуют связыванию РНК-полимеразы с ДНК, что приводит к подавлению синтеза РНК.

Дауномицин и родственные ему соединения, обладая протипротивоопухолевым действием, используются в химиотерапии рака. Их не применяют для лечения инфекционных заболеваний.

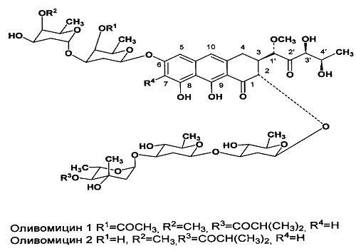
ОЛИВОМИЦИН (Olivomycinum)

Противоопухолевое средство - антибиотик, продуцируемый лучистым грибом Actinomyces olivoreticuli.

Структурная формула:


Механизм действия <http://smed.ru/guides/current/g_farmagroup/65980/?search_type=alf>:

Вызывает селективное ингибирование ДНК-зависимого синтеза РНК. Препарат встраивается (интеркалирует) между парами азотистых оснований гуанин-цитозин ДНК и препятствует движению РНК-полимеразы, нарушая, таким образом, транскрипцию. Имеются сведения об ингибирующем влиянии на топоизомеразу II. Противоопухолевый эффект не зависит от фазы клеточного цикла.

Список используемой литературы и Интернет-ресурсов

1)      Егоров Н.С. - «Основы учения об антибиотиках» - Учебник / 2004г.

)        Ланчини Д., Паренти Ф - «Антибиотики» / 1985г.

)        Харкевич Д. А. - «Фармакология» / 2006г.

)        Коротяев А.И., Бабичев С.А. «Медицинская микробиология, иммунология и вирусология» / 2008г.

)        Антибиотики - «Химиотерапия инфекционных заболеваний» - Хоменко А.И. - Учебное пособие / 2002г.

6)      <http://www.webapteka.ru/drugbase/name4618.html>

)        <http://pilulkin.com.ua/show_drug/5883/reumitsin/>

) <http://kataloglekarstv.ru/rub/preparaty-primenyaemye-dlya-lecheniya-onkologicheskix-zabolevanij/protivoopuxolevye-antibiotiki>

)        <http://medicul.ru/rus/medtabl/index298.html>

)        <http://www.webapteka.ru/drugbase/name10876.html>

)        <http://www.rlsnet.ru/mnn_index_id_979.htm>

)        <http://reles.ru/cat/drugs/Mitomycin/>

)        <http://ill.ru/drugs/drug1631.shtml>

)        <http://medicinacom.ru/mehanizmyi-deystviya-olivomitsina-rubomitsina-i-bruneomitsina.html>

)        <http://www.xumuk.ru/encyklopedia/2633.html>

)        http://smed.ru/guides/43335/#article <http://smed.ru/guides/43335/>

)        <http://www.breast-cancer.ru/chemotreapy-drugs/mytomicine.html>

)        http://mashkovsky.ru/tiki-index.php?page=Дактиномицин

)        <http://www.hospital1.ru/lekarstva/daktomecin.php>

)        <http://pharmabook.net/protivoopuxolevye-sredstva/protivoopuxolevye-antibiotiki/>

Похожие работы на - Противоопухолевые антибиотики

 

Не нашли материал для своей работы?
Поможем написать уникальную работу
Без плагиата!
Без нейросетей!