Синтез, физико-химические и фармакологические свойства производных тиазолидона

  • Вид работы:
    Курсовая работа (т)
  • Предмет:
    Медицина, физкультура, здравоохранение
  • Язык:
    Русский
    ,
    Формат файла:
    MS Word
    1,59 Мб
  • Опубликовано:
    2012-05-18
Вы можете узнать стоимость помощи в написании студенческой работы.
Помощь в написании работы, которую точно примут!

Синтез, физико-химические и фармакологические свойства производных тиазолидона

Вступление


В медицинской практике все большее значение приобретает химиотерапия злокачественных новообразований, которая возникла не так давно и в настоящее время стала самостоятельным и перспективным направлением в онкологии.

Во многих странах мира проводятся интенсивные исследования по разработке методов синтеза, изучению физико-химических и антнбластнческих свойств соединений различных химических групп. Врачи-онкологи располагают значительным количеством противоопухолевых препаратов, арсенал которых из года в год пополняется за счет скрининга, осуществляемого онкологами-экспериментаторами во многих странах мира. Среди оригинальных отечественных и зарубежных антибластических средств различной природы большой удельный вес имеют синтетические соединения.

Проблема злокачественных новообразований, несмотря на значительные успехи, достигнутые в области изучения опухолевого процесса, разработки методов профилактики, диагностики и лечения, и до настоящего времени является одной из важнейших в современной медицине. Среди причин смертности злокачественные опухоли и опухолевые заболевания кроветворной и лимфоидной тканей, по данным мировой статистики, занимают второе место в высокоразвитых странах. Хотя имеются существенные успехи в диагностике и лечении опухолей, количество онкологических больных довольно велико. Это обусловлено увеличением числа канцерогенных факторов, содержащихся в окружающей человека среде, недостаточным знанием фундаментальной природы опухолевого процесса, сущности причин превращения нормальной клетки в опухолевую, патогенеза новообразований, а также условий, способствующих их развитию.

Разработка высокоэффективных средств и методов борьбы с опухолевой болезнью является одной из кардинальных задач здравоохранения. Среди них особое место занимают создание и внедрение в лечебную практику высокоэффективных лекарственных средств для лечения онкологических заболеваний.

Применяемые в онкологической практике методы хирургического, лучевого и лекарственного лечения часто не приводят к полному и стойкому излечению больных. Поэтому изыскание новых эффективных средств борьбы с этим тяжким недугом продолжает интенсивно развиваться.

Лекарственное лечение опухолей уже оформилось как самостоятельное и перспективное направление в онкологии. Противоопухолевые препараты все более широко используются как самостоятельно, так и в комплексном лечении больных. Интерес к химиотерапии опухолей обусловлен не только значительными успехами, которые достигнуты в онкологической практике, но и перспективами использования ее как метода общего воздействия на опухолевый процесс.

Среди различных групп синтетических химических веществ, используемых для лечения опухолевой болезни, наиболее важными продолжают оставаться алкилирующие соединения и антиметаболиты.

Знание физико-химических свойств, особенностей каждого препарата, фармакотоксикологических характеристик, путей и скорости биотрансформации в организме, фармакокинетики, несомненно, может помочь не только в установлении зависимости между химическим строением и биологическим действием, разработке наиболее рациональных лекарственных форм, схем, режимов и методов применения противоопухолевых препаратов у больных, но и в изыскании новых путей синтеза малотоксичных и высокоэффективных антибластических веществ.

Цель данной работы - осветить вопросы синтеза, физико-химические и фармакологические свойства производных тиазолидона.

Глава 1. Классификация противоопухолевых препаратов

 

.1 Направления развития терапии злокачественных опухолей


Последние несколько десятилетий лечение злокачественных опухолей продвигалось по пути объединения всех существующих методов. Во многих случаях главной составляющей лечения онкологических больных была и остается хирургия. Лучевая и лекарственная противоопухолевая терапия (последняя включает в себя все виды системного воздействия: химиотерапевтическое, эндокринное, иммунное, а также генное и таргентное) используются и как дополнение к операции, и в самостоятельном режиме. Позитивные результаты химиотерапии диссеминированного рака многих локализаций послужили основанием для использования противоопухолевых препаратов в адъювантном режиме с целью предупреждения развития рецидивов и метастазов, а также в предоперационном (индукционном) режиме, задачей которого является уменьшение первичной опухоли и ее метастазов, улучшение отдаленных результатов лечения, выживаемости больных и качества их жизни. Достижения индукционной лекарственной терапии позволяют проводить при ряде злокачественных новообразований органосохраняющие операции.

Основные тенденции в развитии лекарственного лечения злокачественных опухолей включают в себя следующие аспекты:

·        значительное расширение классификации противоопухолевых агентов;

·        нарастание каскада новых противоопухолевых агентов, направленных на молекулярные и генетические мишени опухолевого роста;

·        внедрение средств биологической терапии (новые виды иммунотерапии, моноклональные антитела, ингибиторы металлопротеиназ, киназ, ангиогенеза, дифференцирующие агенты и др.);

·        изменение традиционной методики испытаний новых противоопухолевых препаратов (I-III фаза) и оценки их клинической эффективности (оценка длительности стабилизации);

·        расширение исследований по неоадъювантной химиотерапии и расширение показаний, совершенствование режимов адъювантной химиотерапии;

·        предварительное определение наличия или активности мишени опухолевого роста (ферментов, рецепторов, онкогенов, антигенов и др.) с целью определения чувствительности к химиотерапии;

·        комбинация биологических и цитотоксических агентов;

·        путь развития: от неспецифических антипролиферативных лекарств к целевой (targeted) терапии.

Противоопухолевые лекарственные средства разделяют на ряд групп, исходя из их химической структуры, механизма действия, источников получения: алкилирующие вещества, антиметаболиты, антибиотики, агонисты и антагонисты гормонов, алкалоиды и другие средства растительного происхождения.

 

1.2 Алкилирующие средства


Одними из первых в качестве противоопухолевых средств стали применять производные бис-(β-хлорэтил)амина.

Поводом к использованию этих соединений послужили данные, полученные в 40-х годах XX в., во время Второй мировой войны, когда подробно изучалось влияние на организм боевых отравляющих веществ: иприта (или бис-β-хлорэтилсульфида) и азотистого иприта (или трихлорэтиламина). Уже ранее, в 1919 г., установили, что азотистый иприт вызывает выраженную лейкопению и аплазию костного мозга. Дальнейшие исследования показали, что азотистый иприт оказывает специфическое цитотоксическое влияние на лимфоидные ткани и обладает противоопухолевой активностью при лимфосаркоме у мышей. Клинические испытания трихлорэтиламина были начаты в 1942 г., что явилось началом эры современной химиотерапии опухолей.

В настоящее время в медицинской практике используются менее токсичные производные бис-(β-хлорэтил)амина (сарколизин, хлорамбуцил, циклофосфамид, эмбихин и др.). Вслед за бис-(β-хлорэтил)аминами были получены цитостатические алкилирующие соединения других химических групп: этиленимины и этилендиамины (тиофосфамид), алкилированные сульфонаты, производные метансульфоновой кислоты (бусульфан), триазены, препараты платины, нитрозомочевины (ломустин, кармустин, фотемюстин, нитрозометилмочевина) и др.

В основе механизма действия алкилирующих веществ лежит образование в нейтральных или щелочных растворах высокореактивных четвертичных аммониевых (или им подобных) катионов, образующих ковалентные связи с нуклеофильными соединениями, в т.ч. с такими биологически важными группами, как фосфатные, аминные, сульфгидрильные, имидазольные и др. Цитотоксическое действие алкилирующих соединений обусловлено, в первую очередь, алкилированием структурных элементов ДНК (пуринов, пиримидинов) и РНК (в меньшей степени), в результате чего нарушается стабильность, вязкость, целостность нитей ДНК и РНК, жизнедеятельность клеток, блокируется участие различных групп в метаболических реакциях, нарушается митотическое деление и репликация клеток. Клетки при воздействии алкилирующих соединений останавливаются в G1 фазе и не входят в S-фазу. Высокой чувствительностью к этим веществам обладают ядра клеток гиперплазированных (опухолевых) тканей и лимфоидной ткани.

Большая часть хлорэтиламинов применяется при гемобластозах (лимфогранулематоз, лимфо- и ретикулосаркома, хроническая лейкемия). Одним из первых препаратов данной группы, синтезированных на заре химиотерапии, является сарколизин, который активно использовался в 60-х годах прошлого века при метастатической семиноме, саркоме Юинга, миеломной болезни, лимфо- и ретикулосаркомах. В настоящее время из группы хлорэтиламинов наиболее широко применяются циклофосфамид и ифосфамид. Эти лекарственные средства нашли свое место при ряде солидных новообразований - раке яичника, молочной железы, саркомах мягких тканей, мелкоклеточном раке легкого. Циклофосфамид используется также при гемобластозах - остром лимфолейкозе, множественной миеломе.

Этиленимины (тиотепа, дипин, бензотэф, имифос и др.) по механизму действия близки к производным бис-(β-хлорэтил)амина. Они блокируют митотическое деление клеток, образуя поперечные связи между цепями молекулы ДНК, что препятствует ее репликации. Область применения этих лекарственных средств в связи с появлением новых противоопухолевых препаратов несколько сократилась. Уже вышли из клинической практики отдельные препараты этой группы - тиодипин и дийодбензотэф. В настоящее время из производных этиленимина в основном используется тиотепа (рак яичников, молочной железы, опухолевые серозиты).

Механизм противоопухолевого действия производных платины (карбоплатин, цисплатин) связан со способностью к бифункциональному алкилированию нитей ДНК, ведущему к длительному подавлению биосинтеза нуклеиновых кислот и гибели клеток.

Производные платины не обладают специфичностью в отношении клеточного цикла, действуют в фазе G0, на первом этапе тормозят синтез ДНК, РНК и белка, а на втором образуются метаболические продукты, действующие только на синтез ДНК.

Появление платиновых производных в конце 70-х годов прошлого века значительно изменило представление о возможностях химиотерапии злокачественных новообразований.

Лекарственные средства из группы производных нитрозомочевины также обладают широким спектром цитотоксической активности. Противоопухолевый эффект (цикло- и фазонеспецифичный) обусловлен переносом алкильных групп на нуклеофильные центры ДНК, РНК, белков и алкилированием их молекул, что приводит к гибели опухолевой клетки. Отличительной особенностью препаратов данной группы является их способность проходить через ГЭБ и отсутствие перекрестной резистентности с производными хлорэтиламинов и этилениминов. Они эффективны при первичных и метастатических опухолях головного и спинного мозга.

Производные метансульфоновой кислоты (бусульфан и др.), применяемые при обострениях хронического миелолейкоза, подвергаются внутримолекулярной циклизации с образованием иона этиленимина, способного прямо или через образование карбокатиона переносить алкильную группу на клеточные структуры. Действуют в первой половине фазы G1, в начале и в конце S и G2 фаз, синхронизируя фазы клеточного цикла раковых клеток. Высокореактивные группы бусульфана образуют с нуклеофильными центрами ДНК и РНК прочные ковалентные связи. При этом сшиваются витки и спирали ДНК, утрачивается возможность ее репликации, происходят разрывы цепей, наступают митотические блоки, учащаются мутации.

Наряду со специфическим тормозящим влиянием на опухоли, алкилирующие соединения, как и другие противоопухолевые средства, действуют на различные ткани и системы организма, что обусловливает их побочные эффекты. Одним из основных побочных эффектов является угнетающее влияние на кроветворение в результате взаимодействия с нуклеопротеидами клеточных ядер кроветворных тканей. Возникает лейкопения, тромбоцитопения, анемия, что требует специального внимания и точного регулирования доз и режима применения препаратов. С целью повышения эффективности и переносимости противоопухолевых препаратов используют дополнительные лекарственные средства. Так для стимуляции кроветворения применяют цитокины - гранулоцитарно-макрофагальный и гранулоцитарный колониестимулирующие факторы (филграстим, молграмостим), а также ряд интерлейкинов и эритропоэтин. Необходимо учитывать, что угнетение гемопоэза усиливается при комбинированных схемах лечения - сочетании нескольких противоопухолевых препаратов, лучевой терапии и др.

При применении хлорэтиламинов, платиновых производных часто наблюдается тошнота, рвота, потеря аппетита, диарея. Для купирования данных эффектов используют антагонисты серотониновых 5-HT3-рецепторов и блокаторы дофаминовых D2-рецепторов. При попадании на кожу и слизистые оболочки возможно раздражающее действие и развитие абсцессов, при введении растворов под кожу возможна некротизация тканей.

Одной из характерных особенностей противоопухолевых препаратов является их иммунодепрессивное действие, которое может ослабить защитные силы организма и облегчить развитие инфекционных осложнений. Для предупреждения возможных инфекций, обусловленных подавлением иммунитета, возможно использование антибиотиков.

Следует отметить, что применение алкилирующих соединений, как и других противоопухолевых препаратов, осуществляется только по назначению врача-онколога и в специализированном лечебном учреждении. В зависимости от особенностей заболевания, его течения, эффективности и переносимости применяемых противоопухолевых препаратов могут меняться: схема их применения, дозы, сочетание с другими препаратами.

 

1.3 Антиметаболиты


Антиметаболитами называют вещества, близкие по химической структуре к эндогенным продуктам метаболизма и ингибирующие, в результате конкурентных отношений, определенные биохимические процессы, что сопровождается нарушением функции клеток и торможением клеточного роста.

Противоопухолевую активность антиметаболитов обнаружили в начале 60-х гг. Оказалось, что метотрексат, являющийся антиметаболитом фолиевой кислоты, эффективен при некоторых опухолях человека, особенно при хориокарциноме у женщин и при острой лейкемии. Позднее в медицинской практике появились и другие антиметаболиты - аналоги пурина и пиримидина.

К антиметаболитам, применяемым в качестве противоопухолевых средств, относят структурные аналоги фолиевой кислоты (метотрексат), пуринов (меркаптопурин, тиогуанин и др.), пиримидинов (фторурацил, тегафур, цитарабин и др.).

Цитостатическое действие всех этих соединений связано с нарушением синтеза нуклеиновых кислот (ДНК и РНК). Антиметаболиты являются фазоспецифичными средствами - они преимущественно действуют в S-фазе клеточного цикла.

Антагонистом фолиевой кислоты является метотрексат. Он связывается с активным каталитическим центром и ингибирует активность фермента дигидрофолатредуктазы, восстанавливающего дигидрофолат до активной формы - тетрагидрофолата, который является коферментом и играет роль переносчика одноуглеродных групп (метильная, метиленовая, метенильная и др.) во многих ферментативных реакциях. Нехватка тетрагидрофолата приводит к нарушению синтеза тимидилата, пиримидиновых нуклеотидов, аминокислот серина и метионина, в результате чего происходит ингибирование синтеза ДНК, РНК и белка. Поскольку метотрексат оказывает действие в S-фазе клеточного цикла, он наиболее активен в отношении тканей с высокой скоростью пролиферации клеток, таких как опухолевая ткань, костный мозг, клетки слизистой оболочки ЖКТ, мочевого пузыря и др. Метотрексат обладает широким спектром противоопухолевой активности. Основными показаниями к его назначению являются лейкозы, лимфомы, хорионэпителиома матки, рак молочной железы, рак легких, рак яичника, мочевого пузыря и др.

Аналоги пуринов нарушают биосинтез пуриновых нуклеотидов, входящих в состав нуклеиновых кислот - аденозин−5`-монофосфата (АМФ) и гуанозин−5`-монофосфата (ГМФ).

Меркаптопурин - первый из тиопуринов, у которого была обнаружена противоопухолевая активность. По строению 6-меркаптопурин близок к аденину, гипоксантину, гуанину.

Цитотоксическая активность проявляется после активации в тканях и обусловлена конкуренцией с гипоксантином и гуанином за фермент гипоксантин-гуанинфосфорибозилтрансферазу. Трансформируется в меркаптопуринфосфорибозил, который под влиянием тиопуринметилтрансферазы превращается в метилмеркаптопурин. Оба они угнетают глутамин-5-фосфорибозилпирофосфатамидотрансферазу - первый фермент в синтезе пуриновых рибонуклеотидов de novo. В результате нарушается синтез нуклеиновых кислот (более выражено ингибирование синтеза ДНК, чем РНК), нарушается митотический цикл (S-фаза), особенно в быстро пролиферирующих клетках опухолей и костного мозга.

Другой антиметаболит из группы аналогов пуринов - тиогуанин - по структуре и механизму действия близок к меркаптопурину. Наибольшее применение антагонисты пурина нашли при лейкозах.

Флударабин - фторированный аналог аденина (фторированный нуклеотидный аналог противовирусного агента видарабина). В организме быстро дефосфорилируется до 2-фтор-арабинофуранозиладенина, который захватывается клетками. Внутри клетки фосфорилируется дезоксицитидинкиназой до активного трифосфата. Этот метаболит ингибирует рибонуклеотидную редуктазу, ДНК-полимеразу (альфа, дельта и эпсилон), ДНК-праймазу, ДНК-лигазу и блокирует синтез ДНК. Кроме того, противоопухолеый эффект частично обусловлен связыванием РНК-полимеразы II и торможением синтеза белка. Широко применяется для лечения лимфопролиферативных заболеваний (в т.ч. В-клеточный хронический лимфолейкоз, неходжкинские лимфомы низкой степени злокачественности).

Структурные аналоги пиримидина (фторурацил, тегафур, цитарабин и др.) являются антиметаболитами пиримидиновых оснований (цитозин, тимин, урацил), входящих в состав нуклеотидов.

Противоопухолевое действие аналогов пиримидинов обусловлено их превращением в опухолевых клетках в активные ингибиторы ферментов - тимидилатсинтетазы (фторурацил и его аналоги, ралтитрексид и др.), ДНК-полимеразы (цитарабин), рибонуклеотидредуктазы (гидроксикарбамид и др.), участвующих в синтезе нуклеиновых кислот.

Фторурацил (антиметаболит урацила) был создан в 1962 г. Активность фторурацила обусловлена его биотрансформацией в тканях в активные формы. В процессе внутриклеточных превращений 5-фторурацила (5-ФУ) образуются цитостатически активные метаболиты (5-фтор-2`-дезоксиуридин монофосфат и 5-фторуридина трифосфат). Возможны два механизма повреждения клеток под действием активных метаболитов 5-фторурацила. Во-первых, 5-фтор−2`-дезоксиуридин монофосфат и фолатный кофактор N5-10метилентетрагидрофолат ковалентно связываются с тимидилатсинтетазой с образованием единого комплекса, что приводит к подавлению образования тимидилата - предшественника тимидина трифосфата, необходимого для синтеза ДНК. Во-вторых, в процессе синтеза РНК транскрипционные ферменты ядра могут ошибочно включить в нее 5-фторуридина трифосфат вместо уридина трифосфата, что приводит к нарушению процессинга РНК и синтеза белка.

Вводят фторурацил внутривенно, т.к. он плохо всасывается из ЖКТ. Он имеет высокую токсичность, проявляющуюся миелосупрессией, язвенным поражением слизистых оболочек пищеварительного тракта (в т.ч. язвенный стоматит, энтерит и др.). По спектру противоопухолевого действия фторурацил отличается от аналогов фолиевой кислоты (метотрексат) и пуринов (меркаптопурин и др.) и проявляет наибольшую активность при лечении колоректального рака, злокачественных опухолей молочной железы, желудка, поджелудочной железы и др.

Аналогичными фторурацилу свойствами обладает тегафур (пролекарство), фтористое производное пиримидина, который в организме гидролизуется с образованием фторурацила. По сравнению с фторурацилом тегафур является менее токсичным соединением.

Новой модификацией фторурацила является еще одно производное фторпиримидина - капецитабин, который, в отличие от фторурацила, применяется как пероральный цитостатик. В организме под влиянием тимидинфосфорилазы капецитабин превращается в 5-фторурацил (5-ФУ). Последовательная ферментная биотрансформация капецитабина в 5-ФУ создает более высокие его концентрации в тканях опухоли, чем в окружающих здоровых тканях.

Механизм противоопухолевого действия тегафура и капецитабина, таким образом, обусловлен образованием фторурацила и его последующей биотрансформацией.

Цитарабин после активации в тканях образует цитарабин-5`-трифосфат, который конкурентно ингибирует ДНК-полимеразу (фермент, катализирующий реакцию синтеза ДНК из предшественников - дезоксирибонуклеозид-5`-трифосфатов), что приводит к ингибированию синтеза ДНК. Кроме того, цитарабин незначительно влияет на синтез РНК (может встраиваться в ДНК и РНК). Цитарабин обладает противолейкозной активностью. Особенно активен в отношении миелобластов, лимфобластов, лимфоцитов, в меньшей степени - гранулоцитов, эритроцитов и тромбоцитов.

Гидроксикарбамид был синтезирован в 1869 г., но его противоопухолевая активность в клинических исследованиях была доказана только в 80-х гг. Цитотоксическое действие гидроксикарбамида обусловлено ингибированием фермента рибонуклеотидредуктазы, в результате нарушается синтез ДНК при отсутствии эффекта на синтез РНК и белка.

К новым структурным аналогам антиметаболитов, полученным путем направленного химического синтеза, принадлежат гемцитабин и ралтитрексед.

Гемцитабин является нуклеозидным (дезоксицитидин) аналогом. Имеет фазовую специфичность действия: останавливает жизнедеятельность клеток в S-фазе и блокирует опухолевую прогрессию клеток в G1/S-фазе. Гемцитабин подвергается внутриклеточному метаболизму под действием нуклеозидкиназ с образованием активных ди- и трифосфатного нуклеозидов. Цитотоксический эффект обусловлен комбинированным влиянием этих активных метаболитов. Дифосфатные нуклеозиды ингибируют рибонуклеотидредуктазу, катализирующую реакции образования дезоксинуклеозидтрифосфатов, необходимых для синтеза ДНК. Трифосфатные нуклеозиды активно конкурируют с дезоксицитидинтрифосфатом за встраивание в молекулы нуклеиновых кислот. После встраивания внутриклеточных метаболитов гемцитабина в цепь ДНК, к ее растущим нитям добавляется еще один дополнительный нуклеотид, что приводит к полному ингибированию дальнейшего синтеза ДНК и обусловливает невозможность репарации ДНК. Гемцитабин эффективен при раке поджелудочной железы, немелкоклеточном раке легких, раке мочевого пузыря и др.

Ралтитрексед специфически ингибирует тимидилатсинтетазу - ключевой фермент в синтезе тимидинтрифосфата (необходим для синтеза ДНК), вызывает фрагментацию ДНК и гибель клетки. Применяется при раке толстой кишки.

В целом, антиметаболиты обладают выраженным противоопухолевым действием и эффективны при ряде злокачественных новообразований. Некоторые из них обладают иммуносупрессивными свойствами (метотрексат, цитарабин и др.). В настоящее время уточняются клеточные механизмы действия известных антиметаболитов и ведется направленный поиск новых соединений этой группы.

1.4 Противоопухолевые антибиотики

Первый противоопухолевый антибиотик - дактиномицин - был получен в 1963 году. В последующем скрининг продуктов жизнедеятельности микробов привел к открытию целого ряда эффективных химиотерапевтических противоопухолевых препаратов, являющихся продуктами разных видов почвенных грибов или их синтетическими производными.

В настоящее время из противоопухолевых антибиотиков наибольшее практическое применение имеют антрациклины (антрахиноновые соединения), блеомицин, относящийся к флеомицинам, дактиномицин, являющийся актиномицином, и митомицин - своеобразный антибиотик с алкилирующим механизмом действия.

Антрациклиновые антибиотики (даунорубицин, доксорубицин, идарубицин, карубицин и эпирубицин) относятся к наиболее эффективным противоопухолевым средствам.

Структурной основой антрациклиновых противоопухолевых антибиотиков является тетрагидротетраценхиноновый хромофор, состоящий из шестичленного алифатического и трех ароматических колец. В химическом отношении они отличаются друг от друга заместителями в хромофоре и наличием сахарных остатков.

Механизм цитотоксического действия антрациклиновых антибиотиков связан, главным образом, с ингибированием синтеза нуклеиновых кислот путем интеркаляции между парами азотистых оснований, нарушением вторичной спирализации ДНК за счет взаимодействия с топоизомеразой II, а также связыванием с липидами клеточных мембран, сопровождающимся изменением транспорта ионов и клеточных функций. Такой механизм обусловливает высокую антимитотическую активность при низкой избирательности действия. Антрациклиновые антибиотики оказывают также иммунодепрессивное (миелосупрессивное) и антибактериальное действие, однако в качестве антимикробных средств не применяются.

Антрациклиновые противоопухолевые антибиотики применяют при многих злокачественных новообразованиях - различных гематологических видах рака, саркомах мягких тканей, карциномах и других сулидных опухолях. Спектр показаний к применению конкретного антибиотика определяется его химическим строением, индивидуальными фармакокинетическими и фармакодинамическими свойствами и степенью его изученности. Помимо терапевтического действия все противоопухолевые антрациклиновые антибиотики вызывают ряд побочных эффектов, обусловленных низкой избирательностью действия. Главным из этих эффектов является потенциально необратимая кумулятивная дозозависимая кардиотоксичность, которая предположительно вызвана свободнорадикальным повреждением клеточных мембран миокарда. Антрациклиновые антибиотики обладают также эмбриотоксическими, мутагенными и тератогенными свойствами. Применение их в комбинации с другими противоопухолевыми средствами позволяет уменьшить дозы и снизить частоту и выраженность токсических эффектов.

Блеомицин представляет собой смесь различных гликопептидов, продуцируемых Streptomyces verticillus. Он также подавляет синтез нуклеиновых кислот (главным образом ДНК) и белка, индуцируя фрагментацию ДНК с последующим образованием свободных радикалов. Более активен на ранних стадиях опухолевого процесса, относительно мало угнетает костно-мозговое кроветворение, не оказывает существенного иммуносупрессивного действия. Применяют блеомицин главным образом при комбинированном лечении тестикулярных видов рака, карцином и лимфом. Так же как и другие противоопухолевые антибиотики, блеомицин вызывает ряд побочных эффектов, наиболее тяжелыми из которых являются анафилактический шок, респираторная токсичность и лихорадка.

Дактиномин, как и антрациклиновые антибиотики, встраивается между парами азотистых оснований, образуя стойкий комплекс с ДНК, и нарушает ДНК-зависимый синтез РНК. Применяют его в сочетании с хирургическим вмешательством, лучевой терапией и/или в комбинации с винкристином, циклофосфамидом и метотрексатом при лечении опухоли Вильмса, рабдомиосаркомы, хориокарцином и некоторых других видов опухолей. Основной дозозависимый токсический эффект дактиномицина - угнетение функции костного мозга, вплоть до развития апластической анемии.

Митомицин, в отличие от других противоопухолевых антибиотиков, проявляет свойства алкилирующего агента, вызывая избирательное ингибирование синтеза ДНК, а в высоких концентрациях и супрессию клеточной РНК и синтеза белка. Применяют его в качестве вспомогательного средства при лучевой терапии и в комбинации с другими противоопухолевыми средствами (в т.ч. и противоопухолевыми антибиотиками) при лечении диссеминированных аденокарцином различной локализации, хронического лимфо- и миелолейкоза. Основным побочным эффектом митомицина является тяжелая миелосупрессия с относительно поздним токсическим действием на все три ростковых элемента костного мозга.

Кроме названных антибиотиков противоопухолевой активностью обладает ряд средств, продуцентами которых являются различные актиномицеты (оливомицин, руфокромомицин, реумицин).

 

1.5 Противоопухолевые гормональные средства и антагонисты гормонов


В качестве противоопухолевых средств в клинической практике применяют ряд гормональных препаратов - агонистов и антагонистов андрогенов, эстрогенов, гестагенов и других гормонов. Эти средства показаны преимущественно при гормональнозависимых опухолях. Гормональная противоопухолевая терапия имеет важное значение при лечении рака молочной железы, эндометрия, предстательной железы. Применяют гормональные средства также для лечения рака почки, карциноида, некоторых опухолей поджелудочной железы, меланомы и др.

Взаимодействие между гормонами и гормонально зависимыми опухолями было выявлено впервые в 1896 г., когда хирург из Глазго J. Beatson опубликовал данные успешного лечения трех женщин с прогрессирующим раком молочной железы, которым была произведена двусторонняя овариэктомия.

Эстрогены назначают для подавления действия в организме андрогенов (например при раке предстательной железы), андрогены, напротив, - для уменьшения активности эстрогенов (при раке молочной железы и др.). При раке молочной железы и матки используют также прогестины (медроксипрогестерон).

К противоопухолевым гормональным средствам и антагонистам гормонов относят:

. Андрогенные средства - тестостерон, метилтестостерон, дростанолон (медротестрона пропионат), пролотестон.

. Эстрогенные средства - фосфэстрол, диэтилстильбэстрол, полиэстрадиола фосфат, эстрамустин, этинилэстрадиол, хлоротрианизен, полиэстрадиола фосфат, гексэстрол.

. Гестагенные средства (прогестины) - гестонорона капроат, медроксипрогестерон, мегестрол и др.

. Антагонисты эстрогенов (антиэстрогены) - тамоксифен, торемифен.

. Антагонисты андрогенов (антиандрогены): бикалутамид, флутамид, ципротерон и др.

. Гипоталамические факторы («рилизинг-факторы»), высвобождающие гормоны гипофиза: бусерелин, гозерелин, лейпрорелин, трипторелин и др.

. Ингибиторы ароматазы (аминоглутетимид, анастрозол, эксеместан, летрозол).

. Ингибиторы биосинтеза гормонов надпочечников (аминоглутетимид, митотан).

. Глюкокортикоиды (преднизолон, дексаметазон и др.).

. Аналоги соматостатина (октреотид, ланреотид).

Андрогены иногда применяют при метастатическом раке молочной железы. Назначают их женщинам с сохраненным менструальным циклом и в том случае, когда продолжительность менопаузы не превышает 5 лет. Нежелательными эффектами андрогенов, особенно при применении больших доз, являются вирилизация у женщин (огрубение голоса, чрезмерный рост волос на лице), задержка воды и солей в организме и др. Начало применения андрогенов (в частности тестостерона) для лечения рака молочной железы относят к 40-м гг. XX в.

Начиная с 1951 г. при лечении рака молочной железы широко используются прогестины. Гестагенные препараты применяют также для лечения рака эндометрия и рака почек, но мало используют для лечения рака простаты.

Основным показанием к назначению эстрогенов, начало использования которых в онкологической практике также относится к 40-м гг. XX в., является рак предстательной железы. При раке молочной железы их теперь назначают очень редко.

Важную роль в механизме действия гормональных препаратов играет их связывание со специфическими рецепторами, обнаруженными в тканях и некоторых опухолях.

Антиэстрогены конкурентно связываются с эстрогеновыми рецепторами в органах-мишенях и препятствуют образованию эстрогенрецепторного комплекса с эндогенным лигандом - 17-β-эстрадиолом. В результате они тормозят стимулируемый эстрогенами рост опухоли. Чем больше эстрогенных рецепторов в опухоли - тем благоприятнее результат лечения антиэстрогенами.

Эффективным антиэстрогеном является тамоксифен - эталонный препарат для лечения рака молочной железы (особенно у женщин в менопаузе). Клиническое использование тамоксифена было начато в 1973 г. В настоящее время тамоксифен является широко используемым препаратом как для проведения адъювантной терапии, так и при лечении больных с диссеминированным процессом. Показано, что тамоксифен эффективен при всех стадиях заболевания, хорошо переносится при приеме в терапевтических дозах. Кроме основного показания - рак молочной железы у женщин - тамоксифен применяют при лечении рака грудной железы у мужчин, рака эндометрия, рака предстательной железы, опухолей гипофиза и др.

К антиандрогенам относят ряд соединений стероидной и нестероидной структур, способных подавлять физиологическую активность эндогенных андрогенов. Их действие связано с конкурентным блокированием рецепторов андрогенов в тканях-мишенях, биосинтез и секрецию андрогенов они не нарушают. Антиандрогенное действие свойственно в той или иной степени ряду эндогенных стероидных соединений, в т.ч. прогестинам, эстрогенам и их синтетическим производным, а также некоторым производным самих андрогенов. Из стероидных антиандрогенов наиболее известен ципротерон. В 70-х гг. XX в. появились сообщения о высокой антиандрогенной активности нестероидных соединений - производных карбоксианилида (флутамид и др.). Применяют антиандрогены в основном при раке предстательной железы. Область их использования включает также гиперандрогенные состояния у женщин (гирсутизм, облысение и др.), раннее половое созревание у детей.

Среди антиандрогенов выделяют вещества, которые только блокируют андрогенные рецепторы (т.н. чистые андрогены) - бикалутамид, флутамид, и вещества, которые, кроме способности блокировать рецепторы, имеют гонадотропную активность (т.н. антиандрогены двойного действия) - ципротерон.

Флутамид и бикалутамид блокируют связывание андрогенов с клеточными рецепторами, вследствие чего препятствуют проявлению биологических эффектов андрогенов в андрогенчувствительных органах, в т.ч. в клетках предстательной железы, и таким образом препятствуют росту опухоли. После приема флутамида отмечается повышение плазменных уровней тестостерона и эстрадиола.

Ципротерон обладает более выраженным андрогенным действием, т.к. помимо блокирования действия дигидротестостерона на уровне рецепторов, подавляет высвобождение гонадотропинов и, следовательно, синтез андрогенов. Одновременно с тестостероном в крови снижается содержание ЛГ и ФСГ.

Особым видом антиандрогенной активности обладают соединения, ингибирующие 5-альфа-редуктазу - внутриклеточный фермент предстательной железы, способствующий превращению тестостерона в более активный андроген - дигидротестостерон (ДГТ). Одним из ингибиторов 5-альфа-редуктазы является финастерид, применяющийся при лечении доброкачественной гиперплазии предстательной железы.

Гипоталамические рилизинг-факторы - эндогенные пептидные соединения, оказывающие влияние на высвобождение гипофизом гонадотропных гормонов (в т.ч. лютеинизирующего и фолликулостимулирующего). В настоящее время в медицинских целях используют не естественные рилизинг-факторы из гипоталамуса животных (овец, свиней), а их синтетические аналоги. Аналоги (как агонисты, так и антагонисты) полипептидных гормонов создают путем присоединения, выделения, замещения или изменения некоторых аминокислот в полипептидной цепочке природного гормона. Гонадотропин-рилизинг-гормон (ГнРГ) - гонадорелин, гонадолиберин, гонадотропин-рилизинг фактор - один из представителей класса рилизинг-гормонов гипоталамуса. ГнРГ в большей степени влияет на секрецию ЛГ, нежели ФСГ, поэтому часто его называют также рилизинг-гормоном лютеинизирующего гормона (ЛГРГ).

ГнРГ представляет собой декапептид, состоящий из 10 аминокислот. Установлено, что аминокислоты в положении 2 и 3 ответственны за биологическую активность ГнРГ. Аминокислоты в положении 1, 6, 10 имеют структурную конфигурацию, необходимую для связывания с рецепторами клеток гипофиза. Замещение молекулы ГнРГ в положении 6 и 10 позволило создать агонисты рилизинг-гормона.

Синтетические гонадолиберины - нафарелин, гозерелин, гистрелин, лейпрорелин - аналоги гонадотропин-рилизинг-гормона - содержат D-аминокислоты в положении 6 и этиламидзамещающий глицин в положении 10. Результатом замены аминокислотных остатков в молекуле природного гормона является более выраженное сродство к рецепторам ГнРГ и более продолжительный период полураспада, поэтому аналоги имеют более сильное и более длительное действие, чем нативный гонадотропин-рилизинг-гормон. Так, активность гозерелина превышает активность нативного ГнРГ в 100 раз, трипторелина - в 36 раз, бусерелина - в 50 раз, а T1/2 синтетических гонадотропинов - 90-120 мин - намного превышает T1/2 нативного ГнРГ.

В мировой клинической практике известно более 12 лекарственных препаратов-аналогов ГнРГ: бусерелин, гистрелин, гозерелин, лейпрорелин, лутрелин, нафарелин, трипторелин, фертирелин и др. В России зарегистрированы лишь некоторые из них. Применяемые в России аналоги ГнРГ (гозерелин, лейпрорелин, трипторелин, бусерелин) сходны по структуре, механизму действия, основным фармакокинетическим и фармакодинамическим характеристикам, а также клинической эффективности и безопасности.

Гонадорелин секретируется гипоталамусом не постоянно, а в импульсном режиме, при этом пики следуют друг за другом с определенными интервалами, различными у мужчин и женщин: у женщин ГнРГ выделяется каждые 15 мин (фолликулярная фаза цикла) или 45 мин (лютеиновая фаза цикла и период беременности), у мужчин - 90 мин. ГнРГ обнаружен у всех млекопитающих. Пульсирующее выделение ГнРГ из гипоталамуса поддерживает выработку гонадотропинов в гипофизе.

Аналоги ГнРГ были предложены для клинического использования в 80-е гг. XX в. Эти лекарственные средства оказывают двухфазное действие на гипофиз: взаимодействуя с рецепторами ГнРГ клеток передней доли гипофиза, вызывают кратковременную стимуляцию с последующей длительной десенситизацией, т.е. снижением чувствительности рецепторов аденогипофиза к ГнРГ. После однократной инъекции аналога ГнРГ в результате стимулирующего эффекта усиливается секреция из передней доли гипофиза ЛГ и ФСГ (проявляется повышением содержания тестостерона в крови у мужчин и эстрогенов у женщин), обычно этот эффект наблюдается в первые 7-10 дней. При постоянном длительном применении аналоги гонадорелина подавляют высвобождение ЛГ и ФСГ, снижают функцию яичек и яичников и, соответственно, содержание половых гормонов в крови. Эффект проявляется примерно через 21-28 дней, при этом концентрация тестостерона в крови у мужчин снижается до уровня, наблюдаемого после хирургической кастрации (т.н. «лекарственная кастрация»), а уровень эстрогенов в крови у женщин - до уровня, наблюдаемого в постменопаузе. Эффект является обратимым и после окончания приема препаратов физиологическая секреция гормонов восстанавливается.

Применяют аналоги ГнРГ при раке предстательной железы - они способствуют регрессу опухоли простаты. Женщинам назначают при гормонозависимых опухолях молочной железы, эндометриозе, фиброме матки, т. к. они вызывают истончение эндометрия, уменьшение симптоматики и размеров объемных образований. Кроме того, аналоги ГнРГ применяют при лечении бесплодия (в программах экстракорпорального оплодотворения).

Побочные эффекты этих ЛС, возникающие в начале лечения и обусловленные временной стимуляцией гипофиза, проявляются в усилении симптомов, либо появлении дополнительных симптомов основного заболевания. Эти явления не требуют отмены препарата. Избежать их при лечении рака предстательной железы позволяет одновременное назначение на 2-4 неделе антиандрогена.

Наиболее часто встречающимися нежелательными эффектами у мужчин являются «приливы», снижение либидо, импотенция, гинекомастия. У женщин часто отмечаются «приливы», усиление потоотделения и изменение либидо. При применении аналогов ГнРГ у женщин существует риск усиления снижения плотности костных трабекул в позвонках (может быть необратимым). За период 6-месячного лечения это снижение плотности незначительно, за исключением больных с факторами риска (например остеопороз).

Аналоги ГнРГ выпускаются в различных лекарственных формах - для п/к, в/м, интраназального применения. Внутрь эти ЛС не назначаются, т.к. декапептиды легко расщепляются и инактивируются в ЖКТ. Учитывая необходимость длительного лечения, аналоги ГнРГ выпускаются также в виде лекформ пролонгированного действия, в т.ч. микрокапсул, микросфер.

Большая скорость разрушения ГнРГ (2-8 мин) не позволяет использовать его в клинической практике для длительного применения. Для ГнРГ величина T1/2 из крови составляет 4 мин, при п/к или интраназальном введении его аналогов - примерно 3 ч. Биотрансформация осуществляется в гипоталамусе и гипофизе. При почечной или печеночной недостаточности коррекции режима дозирования, как правило, не требуется.

Ингибиторы ароматазы начали применяться в онкологической практике в 70-80-е гг. XX в. Ароматаза - цитохром Р450-зависимый фермент, отвечающий за превращение синтезирующихся в коре надпочечников андрогенов в эстрогены. Ароматаза присутствует в различных тканях и органах, включая яичники, жировую ткань, скелетные мышцы, печень, а также ткань опухоли молочной железы. У женщин в пременопаузе основным источником циркулирующих эстрогенов являются яичники, тогда как в постменопаузе эстрогены образуются главным образом вне яичников. Ингибирование ароматазы приводит к уменьшению образования эстрогенов у женщин как в пременопаузе, так и в постменопаузе. Однако в пременопаузе снижение биосинтеза эстрогенов компенсируется усилением синтеза гонадотропинов по принципу обратной связи - снижение синтеза эстрогенов в яичниках стимулирует выработку гипофизом гонадотропинов, которые, в свою очередь, усиливают синтез андростендиона, и уровень эстрогенов вновь повышается. В связи с этим ингибиторы ароматазы неэффективны у женщин в пременопаузе. В постменопаузе, когда яичники перестают функционировать, ось гипоталамус - гипофиз - надпочечники разорвана, и ингибирование ароматазы приводит к значительному подавлению биосинтеза эстрогенов в периферических тканях, а также в ткани опухоли молочной железы.

Первым и фактически единственным представителем ингибиторов ароматазы I поколения является аминоглутетимид - неселективный ингибитор ароматазы. Поскольку аминоглутетимид ингибирует целый ряд ферментов, участвующих в стероидогенезе (подавляет секрецию надпочечниками глюкокортикоидов (кортизола) и используется поэтому при болезни Иценко - Кушинга и др.), при его применении необходимо следить за функциональным состоянием коры надпочечников (может развиться ее гипофункция).

Поиски новых средств, обладающих большей селективностью, лучшей переносимостью и более удобным режимом дозирования, привели к появлению ингибиторов ароматазы II и III поколений. К настоящему времени созданы новые нестероидные (летрозол, анастрозол и др.) и стероидные (экземестан) соединения этой группы.

Основным показанием для ингибиторов ароматаз является рак молочной железы у женщин в постменопаузе, в т.ч. при резистентности к терапии антиэстрогенами.

К группе ингибиторов биосинтеза гормонов надпочечников, используемых в онкологии, относят митотан и аминоглутетимид. Они подавляют секрецию глюкокортикоидов и могут вызывать деструкцию нормальной и опухолевой ткани коры надпочечников.

Глюкокортикоиды - преднизолон, дексаметазон в связи с их лимфолитическим действием и способностью угнетать митоз лимфоцитов - применяют при острых лейкозах (главным образом у детей) и злокачественных лимфомах.

В качестве противоопухолевых средств применяют также некоторые аналоги соматостатина. Например, октреотид и ланреотид используют для симптоматической терапии эндокринных опухолей гастроэнтеропанкреатической системы.

 

1.6 Противоопухолевые средства растительного происхождения


Основными средствами этой группы являются винбластин, винкристин, винорелбин, доцетаксел, иринотекан, паклитаксел, тенипозид, топотекан, этопозид и др.

Согласно классификации Д.А. Харкевича, противоопухолевые средства растительного происхождения могут быть представлены следующими группами:

. Алкалоиды барвинка розового - винбластин, винкристин.

. Алкалоиды тисового дерева (таксаны) - паклитаксел, доцетаксел.

. Подофиллотоксины, выделяемые из подофилла щитовидного,- этопозид, тенипозид.

. Алкалоиды безвременника великолепного - демекольцин (колхамин), колхицин.

Большинство алкалоидов являются фазоспецифичными противоопухолевыми средствами, т.е. эффективны в определенных фазах клеточного цикла.

Алкалоиды можно разделить на две группы по точке приложения действия:

действующие на микротрубочки клетки (колхицин, винкаалкалоиды, таксаны);

ингибиторы топоизомераз (этопозид, тенипозид, иринотекан, топотекан).

Винкаалкалоиды - структурно родственные вещества, в химической структуре которых присутствуют две полициклические единицы - виндолин и катарантин. К винкаалкалоидам относятся винбластин и винкристин - алкалоиды, выделенные из растения барвинок розовый (Vinca rosea L.), а также виндезин и винорелбин - полусинтетические производные винбластина. Винорелбин отличается по структуре от других алкалоидов барвинка наличием 8-членного кольца катарантина (вместо 9-членного). Противоопухолевое действие этих алкалоидов обусловлено влиянием на клетки в М-фазе клеточного цикла (фаза митоза).

При нормальном (правильном) течении митоза в стадии профазы начинается формирование ахроматинового веретена, которое завершается в стадии метафазы. К концу клеточного деления веретено распадается (митотическое веретено образуется при каждом делении эукариотической клетки и регулирует ориентацию и распределение хромосом в двух дочерних клетках). В построении нитей веретена деления (микротрубочек) участвует цитоплазматический глобулярный белок тубулин.

Тубулин представляет собой димерный белок, состоящий из двух сходных, но не идентичных субъединиц - альфа-тубулин и β-тубулин. Обе субъединицы имеют молекулярную массу около 50кД каждая (53 кД и 55 кД) и несколько различаются по изоэлектрической точке. При определенных условиях, в зависимости от потребностей клетки, димеры тубулина полимеризуются и образуют линейные цепочки, состоящие из чередующихся молекул альфа-тубулина и β-тубулина (протофиламенты), из которых формируются микротрубочки.

Микротрубочки составляют основу митотического аппарата (митотическое веретено) в период деления клетки, а также являются важным компонентом цитоскелета клетки. Они необходимы для осуществления многих клеточных функций в интерфазе, в т.ч. для поддержания пространственной формы клеток, внутриклеточного транспорта органелл. В нейронах пучки микротрубочек участвуют в передаче нервных импульсов.

Каждая микротрубочка - это цилиндр с наружным диаметром около 24 нм и внутренним каналом около 15 нм в диаметре, длина микротрубочки - несколько микрон. Стенки построены из 13 протофиламентов, расположенных в виде спирали вокруг центральной полости. Микротрубочки представляют собой динамические полярные структуры с (+)- и (−)-концами. Как полимеризация, так и деполимеризация тубулина происходят на концах микротрубочек, при этом наибольшие изменения происходят на (+)-конце.

Антимитотическое действие винкаалкалоидов опосредовано преимущественно действием на микротрубочки: связываясь с молекулами тубулина микротрубочек (благодаря выраженному сродству), они препятствуют полимеризации этого белка, тормозят образование веретена деления (сборку микротрубочек) и останавливают митоз на стадии метафазы. Винкаалкалоиды могут также изменять метаболизм аминокислот, цАМФ, глютатиона, активность кальмодулинзависимой Ca2+транспортной АТФазы, клеточное дыхание, биосинтез нуклеиновых кислот и липидов.

Считают, что в механизме действия разных алкалоидов барвинка имеются некоторые отличия, что может быть обусловлено различиями в их химической структуре, взаимодействием с разными участками молекулы тубулина и различным взаимодействием с белками, ассоциированными с микротрубочками. Эти белки могут изменять характер взаимодействия алкалоидов с тубулином микротубул, что в результате также определяет некоторые нюансы в действии разных алкалоидов. Так, в условиях in vitro, винбластин, винкристин и винорелбин обладают примерно сходной активностью в отношении сборки тубулина в микротубулы, однако винорелбин не оказывает специфического действия в отношении индукции образования спиралей.

При экспериментальном сравнительном исследовании действия винбластина, винкристина и винорелбина на микротрубочки митотического веретена и микротрубочки аксонов у эмбрионов мышей на ранней стадии развития нейронов было показано, что винорелбин более избирательно действует на микротрубочки митотического веретена.

Природные винкаалкалоиды (винкристин, винбластин) применяют для лечения быстро пролиферирующих новообразований. Один из широко используемых винкаалкалоидов - винкристин, применяют в основном в комбинированной химиотерапии острого лейкоза, лимфогранулематоза, а также других опухолевых заболеваний (вводят в/в 1 раз в неделю). Нейротоксическое действие винкристина может проявляться нарушением нервно-мышечной передачи, неврологическими осложнениями, в т.ч. парестезией, двигательными расстройствами, выпадением сухожильных рефлексов, возможен парез кишечника с возникновением запоров, вплоть до паралитического илеуса и др.

В отличие от винкристина, другой алкалоид барвинка - винбластин, является менее нейротоксичным лекарственным средством, но вызывает миелосупрессию, имеет выраженный раздражающий эффект с риском развития флебита, некроза (при экстравазальном попадании). Как и винкристин, винбластин применяется в комплексной терапии ряда опухолевых заболеваний, включая болезнь Ходжкина, лимфо- и ретикулосаркомы.

К алкалоидам безвременника великолепного (Colchicum Speciosum Stev.) семейства лилейных (Liliaceae) относятся демекольцин (колхамин) и близкий к нему по строению колхицин, содержащиеся в клубнелуковицах растения. тиазольный производный противоопухолевый препарат

В средние века настой семян и клубней безвременника применяли в качестве средства от подагры, ревматизма, невралгии. В настоящее время демекольцин и колхицин применяются ограниченно.

Оба алкалоида обладают антимитотической активностью. Механизм действия колхицина обусловлен, в первую очередь, тем, что, связываясь с тубулином, он приводит к дезагрегации митотического аппарата и вызывает т.н. К-митоз (колхициновый митоз) - клеточное деление нарушается на стадии метафазы и последующей анафазы, при этом хромосомы не могут разойтись к полюсам клетки, в результате образуются полиплоидные клетки. Колхицин широко используется в экспериментальных исследованиях в качестве мутагена, а также для получения полиплоидных форм растений.

Демекольцин, являющийся в 7-8 раз менее токсичным, чем колхицин, применяют в основном в качестве наружного средства (в виде мази) при опухолях кожи (ингибирует рост опухолевой ткани, при непосредственном контакте вызывает гибель опухолевых клеток). Колхицин используют для купирования и предупреждения приступов подагры. Колхицин, наряду с антимитотической активностью, обладает способностью препятствовать образованию амилоидных фибрилл и блокировать амилоидоз, оказывает урикозурическое действие, препятствует развитию воспалительного процесса (тормозит митотическое деление гранулоцитов и других подвижных клеток, уменьшает их миграцию к очагу воспаления). Назначают колхицин при подагре, главным образом при неэффективности НПВС или противопоказаниях к ним.

К средствам, антимитотическая активность которых преимущественно обусловлена действием на микротрубочки клеток, относят, кроме винкаалкалоидов и алкалоидов безвременника великолепного, новую группу алкалоидов - таксаны.

Таксаны - химиотерапевтические средства, получившие широкое распространение в клинической практике в 90-е гг.

Паклитаксел - первое таксановое производное с противоопухолевой активностью, был выделен в 1967 г. из коры тиса тихоокеанского (Taxus brevifolia), в 1971 г. была расшифрована его химическая структура (является дитерпеноидным таксаном). В настоящее время паклитаксел получают также полусинтетическим и синтетическим путем.

Доцетаксел, близкий к паклитакселу по структуре и механизму действия, получают путем химического синтеза из природного сырья - игл тиса европейского (Taxus baccata).

Таксаны относятся к классу препаратов, действующих на микротрубочки. В отличие от винкаалкалоидов, тормозящих образование митозного веретена, таксаны, связываясь со свободным тубулином, повышают скорость и степень его полимеризации, стимулируют сборку микротрубочек, стабилизируют сформировавшиеся микротрубочки, препятствуют деполимеризации тубулина и распаду микротрубочек. Таксаны нарушают функционирование клетки при митозе (М-фаза) и в интерфазе.

Паклитаксел и доцетаксел имеют сходный механизм действия. Однако различия в химической структуре определяют некоторые нюансы в механизме действия этих веществ, обнаруженные в эксперименте. Например, доцетаксел обладает более выраженным эффектом в отношении активирования полимеризации тубулина и торможения его деполимеризации (примерно в два раза). При действии на клетку паклитаксела характерны некоторые изменения в строении микротрубочек, не обнаруженные при действии доцетаксела. Так, в экспериментальных исследованиях показано, что образовавшиеся в присутствии паклитаксела микротрубочки содержат только 12 протофиламентов (вместо 13 в норме) и имеют диаметр 22 нМ (в отличие от 24 в норме).

Кроме того, паклитаксел индуцирует аномальное расположение микротрубочек в виде пучков на протяжении всего клеточного цикла и образование множественных звездчатых сгущений (астеров) во время митоза.

Механизмы действия разных препаратов, влияющих на микротрубочки, остаются до конца не понятыми, несмотря на большое количество накопленной информации. Установлено, что участки связывания с тубулином различны для природных винкаалкалоидов, винорелбина, колхицина, таксанов. Так, в экспериментальных исследованиях паклитаксела показано, что он, преимущественно, связывается с β-субъединицей тубулина, при этом его способность связываться с микротрубочками выше, чем у димеров тубулина.

Таксаны эффективны при раке молочной железы, яичников, немелкоклеточном раке легких, опухолях головы и шеи и др.

Подофиллотоксины. К противоопухолевым средствам растительного происхождения относят подофиллин - смесь природных веществ, выделяемая из корневищ с корнями подофилла щитовидного (Podophyllum peltatum L.) семейства барбарисовых (Berberidaceae). Подофиллин содержит не менее 40% подофиллотоксина, альфа- и β-пельтатины. Экстракт из корневищ подофилла издавна применялся в народной медицине как слабительное средств при хронических запорах, в качестве рвотного и противоглистного средства. В дальнейшем была обнаружена его цитостатическая активность, проявляющаяся блокадой митоза на стадии метафазы (по действию напоминает колхицин). Подофиллотоксин применяют местно при лечении папиллом и других новообразований кожи.

В клинической практике широко используются полусинтетические производные подофиллотоксина - эпиподофиллотоксины (этопозид и тенипозид), по механизму действия относящиеся к ингибиторам топоизомераз.

Топоизомеразы - ферменты, непосредственно участвующие в процессе репликации ДНК. Эти ферменты меняют топологическое состояние ДНК: осуществляя кратковременные разрывы и воссоединения участков ДНК, они способствуют быстрому раскручиванию и скручиванию ДНК в процессе репликации. При этом целостность цепей сохраняется.

Ингибиторы топоизомераз, связываясь с комплексом топоизомераза-ДНК, воздействуют на пространственную (топологическую) структуру фермента, снижают его активность и тем самым нарушают процесс репликации ДНК, тормозят клеточный цикл, задерживая пролиферацию клеток.

Ингибиторы топоизомераз оказывают фазоспецифичное цитотоксическое действие (в период S и G2 фазы клеточного цикла).

Этопозид и тенипозид являются ингибиторами топоизомеразы II.

Камптотецины - полусинтетические производные алкалоида камптотецина, выделенного из стеблей кустарника Camptotheca acuminata, представлены иринотеканом и топотеканом. В соответствии с механизмом действия они относятся к группе ингибиторов топоизомераз. В отличие от эпиподофиллотоксинов, камптотецины являются ингибиторами топоизомеразы I. В настоящее время иринотекан является препаратом первой линии для лечения рака толстой кишки. Топотекан широко применяется при лечении рака легкого и яичников.

Глава 2. Синтез, физико-химические и фармакологические свойства производных тиазолидона

 

.1 Практическое значение тиазольных производных


Тиазольный цикл входит в состав витамина В1 (тиамина) (1):


Из грибка Xerocumus subtomemtosus выделена новая аминокислота, а из Pseudomonas aeruginosa - аэрогиноевая кислота (2):


Бензотиазольное ядро играет важную роль в биолюминисценции светлячков, причем хромофор, ответственный за свечение, очень близок по структуре к люциферину (3):

При люминисценции промежуточно образуются диоксетаны, которые разлагаются с образованием электроновозбужденных частиц, ответственных за хемилюминесценцию. Интересной группой природных соединений, включающих фрагменты бензотиазола, являются фемеланины - высокомолекулярные пигменты перьев птиц.

Производные тиазола используются для приготовления лекарственных веществ. Одним из них является сульфамидный препарат - сульфотиазол (норсульфозол) (4), обладающий сильным бактерицидным действием:


Известны и другие сульфамидные препараты, содержащие тиазольное кольцо. В качестве средств против глистных инфекций в настоящее время имеется несколько сильнодействующих препаратов. Одним из них является тиабендазол (5), синтезированный в 1961 г. химиками фирмы Мerck:


Выдающимися антигельминтными свойствами обладает тетрализон, открытый бельгийским ученым Янссеном (6):

Тетрализон оптически активен, причем биологическая активность присуща лишь l-изомеру. В настоящее время освоена технология разделения образующегося при синтезе рацемата с рециркуляцией неактивного d-изомера.

Тиазольный цикл также входит в состав пенициллинов. Наиболее ценными являются ампицилин и метицилин. Ампицилин (7) отличается широтой противомикробного действия, возможностью применения в виде таблеток и относительной стойкостью к кислотам.


Однако он легко разрушается ферментом пенициллиназой и поэтому не может быть использован для лечения заболеваний, вызываемых резистентными стафилококками. В тоже время метицилин (8) лишен указанного недостатка:


Интерес представляет такая группа соединений как мезоионные тиазолы типа А. Для этих соединений в литературе описан широкий спектр биологической активности. Так, например, производные 1,3-тиазолийолата-4 (9) являются стимуляторами центральной нервной системы и противоопухолевыми препаратами.


Производные 1,3-тиазол-4-имина (10) могут быть использованы как противоопухолевые, седативные вещества и как стимуляторы центральной нервной системы:


Большой интерес представляют конденсированные производные тиазола, которые могут быть использованы, а некоторые используются как потенциальные биологически активные вещества.

Так бром(хлор)гидрат 6-фенилимидазо[2,1-b]тиазолидин (ФИАНТ-2) (11) применяют в ветеринарной медицине как иммуностимулятор для повышения иммунитета птиц. ФИАНТ-2 оказался менее токсичным, более технологичным, экологически безопасным и дешевым заменителем импортного препарата ''тетрамизол''.


Тиазольные бетаинальдегиды (12) обладают выраженным противовирусным действием, а 2-окси-3-тиазолино[4,5-d]-4-R2-пиримидо[1,2-b]пиримидины представляют собой мезоионные структуры (13) и привлекают внимание как ''молекулярные клины'' с присущим им комплексом свойств: антимикробные, противовирусные, противоопухолевые.

 

2.2 Механизм противоопухолевого действия производных тиазолидона


Циклооксигеназа (ЦОГ) - энзим, который отвечает за биохимические преобразования арахидоновой кислоты, в том числе синтез ее метаболитов - простаноидов, среди которых простагландины (ПГ), простациклин и тромбоксан. На сегодня известно трех изоформы энзима - ЦОГ-1, ЦОГ-2 и ЦОГ-3. ЦОГ-3 рассматривается как аналог ЦОГ-1, связанный с интроном, поэтому часто для обозначения этой изоформы используют аббревиатуру ЦОГ-1b. ЦОГ-3 идентифицирован в ткани мозга, тем не менее к настоящему времени биологическая роль изоформы четко не определена.

Кристаллические структуры ЦОГ-1 и ЦОГ-2 были установленны в 1994 г. и 1996 г. соответственно, что сделало значительный взнос у понимания действия и следствий ингибирования этого фермента. В частности, ЦОГ-1 принимает участие в регуляции жизненно необходимых функций, в том числе работы желудка и системы свертывания крови, контролирует продукцию ПГ, которые регулируют целостность слизистой оболочки желудочно-кишечного тракта (ЖКТ), функцию тромбоцитов и почечное кровообращение. Несмотря на то, что данная изоформа есть конституционной, ее экспрессия может быть стимулирована при нарушениях целостности нервных волокон. Изофермент ЦОГ-2 принимает участие в возникновении боли и воспалении, синтезе ПГ при воспалении, активации Р-гликопротеина (транспортный протеин ответственный за резистентность к лекарственным средствам (ЛС). Кроме того, в почках и нервных тканях также происходит конституционная экспрессия указанной изоформы. Конституционная ЦОГ-2 играет важную роль в спинном мозге, которая состоит в синтезе ПГ-Е2, что ведет к гипералгезии.и соавторы предполагают, что блокирование спинальной ЦОГ-2 может привести к снижению чувствительности (центров и периферии), что ведет к определенным повреждениям. ЦОГ-2 сыграет важное значение в пролиферации клеток. Результаты многочисленных исследований свидетельствуют про ее чрезмерную экспрессию при плоскоклеточном раке, аденокарциноме пищевода, толстого кишечника, легких, начиная из ранних стадий рака в 80-90% пациентов. Ранняя экспрессия ЦОГ-2 вероятна при раке желудка, пищевода, предстательной, молочной, поджелудочной желез, гепатоцелюлярних видов рака и наибольшая при высоко или умеренно дифференцированных опухолях, чем при низкодифференцированных.

Рис 1. Цикл арахидоновой кислоты

Во время онкогенезу опухолей щитовидной железы отмечают экспрессию ЦОГ-2, что сопровождается высоким уровнем ПГ, в особенности ПГ-G2, а повышение уровня матричной металопротеинази-2 (matrix metalloproteinase2/MMP-2) имеет важное значение для метастатического потенциала этих опухолей. Повышение уровней ЦОГ-2 и ММР-2 в опухолях зависит от возраста пациентов, который предопределяет более агрессивное развитие злокачественных опухолей щитовидной железы у больных старшего возраста сравнительно с молодыми. Аналогичная ситуация характерная для болезни Хашимото, фолликулярного рака и аденомы, медулярной карциномы, рака и аденомы из клеток Гюртле. По данным литературы особое внимание отводится раку толстой кишки, который обусловлен изученными механизмами действия ЦОГ-2 в онкогенезе, а именно активацией PPARγ рецепторов и антиапоптического гену Bcl-x (повышение уровня антиапоптического белка Bcl-2) ПГ-E.

Как ЦОГ-1, так и ЦОГ-2 используют арахидонову кислоту для образования ПГ-H (PGH2), который со временем модифицируется с образованием биоактивних липидов - простаноидов, что включают простациклин, тромбоксан A2 и ПГ-D2, E2 и F2 (рис. 1), которые влияют на иммунную, сердечно-сосудистую, желудочно-кишечную, реноваскулярну, легочную системы, ЦНС и репродуктивную функцию.

Неселективное ингибування ЦОГ такими ЛЗ, как аспирин, ибупрофен, индометацин и напроксен, которые подавляют как энзим ЦОГ-1, так и энзим ЦОГ-2, обеспечивает эффективное уменьшение болевого синдрома при воспалении, тем не менее, вместе с тем, несет риск возникновения эрозивного гастрита и желудочно-кишечного кровотечения.

Рис 2. Селективные ингибиторы ЦОГ-2

Селективные ингибиторы ЦОГ-2 (целекоксиб, еторикоксиб, рофекоксиб, вальдекоксиб, мелоксикам (рис. 2) и прочие производные, которые находятся в процессе разработки) были созданы с целью минимизации токсичного влияния на ШКТ, что обусловлено относительно небольшой экспрессией ЦОГ-2 в ШКТ и значительной - в воспаленных тканях и при всех вышеупомянутых патологических процессах (онкозаболевания, резистентность к ЛЗ).и сотрудники провели эпидемиологическое исследование влияния противовоспалительных средств на риск возникновения рака толстой кишки, груди, легких и простаты. Установлено, что при приеме на протяжении двух лет и больше 200 мг целекоксиба или 25 мг рофекоксиба ежедневно наблюдается высокий уровень профилактики этих видов рака.

Одним из перспективных классов гетероцикличних соединений как потенциальных селективных ЦОГ-2 ингибиторов есть производные 4-тиазолидонов (рис. 4).

Рис 4. Селективные ингибиторы ЦОГ-2 - производные 4-тиазолидонов

 

2.3 Методики синтеза производных тиазолидона


Тиазолидиндион-2,4 был получен впервые в 1865 году Хейнцом при нагревании продукта взаимодействия этилового эфира монохлоруксусной кислоты с роданидом калия с разбавленной соляной кислотой. Препарат именовался в старой химической литературе ''горчичноуксусная кислота''.

Кроме того встречаются также названия: лактам аминоформилтиогликолевой кислоты, 2,4-тиазолидиндион, 2,4-дикетотиазолидин, 2,4-дикетотетрагидротиазол, 2,4-дикетотиазол. Для получения тиазолидиндиона-2,4 могут быть использованы 4 метода синтеза в зависимости от исходного серусодержащего соединения. Первый метод основан на использовании тиоционатов (роданидов) или изотиоционатов (горчичных масел); второй метод - на использовании солей или эфиров тиокарбаминовой кислоты; третий метод - на применении тиогликолевой кислоты; четвертый метод - на превращениях других производных тиазолидона-4 и псевдотиогидантоинов.

Тиоцианатный (изотиоцианатный) метод синтеза

Тиоцианатный метод синтеза основывается на взаимодействии монохлоруксусной кислоты (15) с роданистым калием и гидролизе полученного продукта минеральными кислотами:


Вместо монохлоруксусной кислоты в реакцию могут быть введены её сложные эфиры, а также другие а-моногалогенкарбоновые кислоты, их сложные эфиры или амиды. В последнем случае конечными продуктами реакции являются 5-замещенные производные тиазолидиндиона-2,4.

Все промежуточные продукты синтеза тиазолидиндиона-2,4 могут быть легко выделены. Для дегидротации S-карбоминилтиогликолевых кислот (16) могут быть применены как минеральные кислоты (HCl, H2SO4), так и уксусный ангидрид. Если в реакцию конденсации с монохлоруксусной кислотой (15) ввести горчичные масла (17) вместо роданидов, тогда конечными продуктами реакции являются 3-замещенные производные тиазолидиндионы-2,4 (18):

При замене монохлоруксусной кислоты бензиловой (19), в молекуле которой a-углеродный атом имеет выраженный электрофильный характер, происходит образование 3,5,3-трифенил тиазолидиндиона-2,4 (20) по схеме:


Аналогично при конденсации бензиловой кислоты с другими арилизотиоцианатами были получены 3-о-толил-, 3-м-толил, 3-п-толилпоизводные 5,5-дифенилтиазолидиндиона-2.

Тиокарбаминатный метод синтеза

Исходными веществами при тиокарбаминатном методе синтеза являются соли или сложные эфиры (тиоуретаны, ксантогенамиды) тиокарбаминовой кислоты (21). Этот метод был впервые применен Либерманом и Фельцковым в 1880 г. Промежуточными продуктами реакции являются, аналогично как и при тиоцианатном методе синтеза, S-карбаминилтиогликолевые кислоты:


При взаимодействии аминов (или аммиака) с COS в щелочной среде образуются тиокарбаматы (22), которые легко взаимодействуют с монохлоруксусной кислотой (её солями или сложными эфирами) с образованием тиазолидиндионов-2,4 (14).

Тиогликолевый метод синтеза

Исходным веществом при тиогликолевом методе синтеза является тиогликолевая кислота (23) которую конденсируют с цианатом калия или с изоцианатами (24) согласно схеме:


Реакция с изоцианатами имеет только теоретическое значение для доказательства строения тиазолидиндионов-2,4. В тоже время разработанный А. Е. Кретовым и А. С. Беспалым метод конденсации тиогликолевой кислоты с цианатом калия в кислой (R=H) или нейтральной (R=K) средах дает возможность получить тиазолидиндион-2,4 и его калиевую соль с выходом 96 или, соответственно, 78%.

Превращения роданинов и псевдотиогидантоинов



Образовавшийся первоначально в реакции псевдотиогидантоин или его 5-арилиденпроизводное подвергаются кислотному гидролизу, в результате чего конечными продуктами реакции являются 5-арилидентиазолидиндионы-2,4. Метод дает хорошие выходы. Позже был разработан препаративный метод синтеза незамещенного тиазолидиндиона-2,4 с выходом 64,7%,основанный на конденсации монохлоруксусной кислоты (15) с тиомочевиной (16) в соляной кислоте:


Хлористоводородный псевдотиогидантоин (27), образующийся как промежуточное соединение, подвергается медленному гидролизу уже при кипячении с водой. Принимаем данный метод синтеза для получения незамещенного тиазолидиндиона-2,4. Особый теоретический интерес представляет получение тиазолидиндиона-2,4 из хлорацетонитрила (28):


При конденсации хлорацетонитрила (28) с тиомочевиной (25) образуется хлористоводородный 2,4-диаминотиазол, который при взаимодействии с концентрированной соляной кислотой легко превращается в тиазолидиндион-2,4 (14).

 

2.4 Свойства производных тиазолидона

 

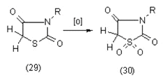
Замещение в положение 1

Установлено, что 3-замещенные производные тиазолидиндиона-2,4 (29) образуют при окислении в уксусной кислоте при 0°С с помощью KMnO4 сульфоны (30):

 

Замещение в положениях 2 и 4

Нагревание производных 3-этилтиазолидиндиона-2,4 (31) с P2S5 в пиридине при 100°С приводят к 4-тиоаналогам (32). Дальнейшее нагревание 4-тиоаналогов с P2S5 в коллидине при 172°С ведет к образованию 4-тиороданинов (33):


По данным патента Гаверта кипячение производных 3-этилтиазолидиндиона-2,4 в ксилоле с P2S5 в присутствии MgO приводит к смеси производных 4-тиотиазолидона-4 и тиазолидиндиона-2,4.

Замещение в положении 3

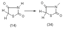
Алкилирование тиазолидиндионов-2,4 (14) с помощью алкилгалогенидов, диазометана или диметилсульфата приводит к образованию 3-алкилпроизводных (34):


Реакция может быть проведена с выделением Ag - или К-солями тиазолидиндионов-2,4, а также в присутствии водных и спиртовых растворов щелочей, CH3ONa, K2CO3 и др. Ни в одном случае не наблюдалось замещение алкильными радикалами по положению 2. Калиевые соли тиазолидиндиона-2,4 легко вступают в реакцию с трихлорметилсульфонилхлоридом в хлороформе и образуют и образуют 3-производное (35) с хорошими выходами:


Тиазолидиндион-2,4 также легко вступает в реакцию с формальдегидом и аминами. Введение в реакцию диметиламина приводит к образованию 3-диметиламинометилтиазолидиндиона-2,4 (36):

 

Замещение в положении 4 и 5

При сплавлении тиазолидиндиона-2,4 (14) с антраниловой кислотой (37) в присутствии ацетата натрия образуется производное хинолина (38) по уравнению:


Образование производных хинолина (40) наблюдается также при восстановлении 5-о-нитробензилидентиазолидиндиона-2,4 (39):

 

Замещение в положении 5

Подвижность атомов водорода в положении 5 молекул тиазолидиндионов-2,4 была установлена в 1889 году Андреашем, который проводил конденсацию с ароматическими альдегидами (41) в присутствии минеральных кислот:


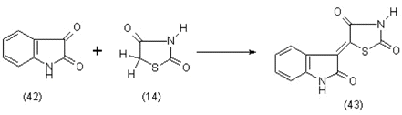
Тиазолидиндион-2,4 (14) при кратковременном нагревании с изатином (42) в ледяной уксусной кислоте образует (индол-3)-(2-оксотиазолидонил-5)-индиго (43):


Аналогично альдегидам реагируют с тиазолидиндионами-2,4 шиффовые основания (44):


Установлено, что 3-замещенные производные тиазолидиндиона-2,4 (29), взаимодействуют с соединениями диазония (45) с образованием 5-арилазопроизводных (46):

 

2.5 Исследования противоопухолевой активности производных тиазолидона


Гетерилзамещеные тиазолидоны как перспективная группа противоопухолевых агентов являются объектами углубленных исследований в современной фармацевтической химии. На молекулярном уровне антинеопластические свойства тиазолидонов и родственных гетероциклов связывают с афинитетом к ряду противораковых биомишеней, среди которых энзим JSP-1, фактор ракового некроза TNF, биокомплекс Bcl-XL-BH3 и т.п.. Кроме того установлено, что 3-замещенные производные 5-арилиден-2-тиоксо-4-тиазолидона ингибируют протеин-тирозин фосфатазы трех типов, а также угнетают рост опухолевых клеток линий Н460 и РС3. Указанные соединения запатентованны как потенциальные средства для лечения и профилактики рака, воспалительных процессов, автоимунных состояний и других нарушений, которые сопровождаются дисрегуляцией клеточного деления и связанные с активностью ферментов протеин-тирозин фосфатаз типов PTPN12 и PTPN2. В последнее время повышается интерес научных работников к гетероциклам с бензтиазольным фрагментом. Так, идентифицировано соединение МКТ 077, которое является зарегистрированным противораковым агентом. Исследование других гетерилзамещенных бензтиазолов также дали возможность выделить ряд перспективных производных.

Проведено исследование 12 производных 5-илиден-2-тиоксо-4-тиазолидону и их 3-бензтиазолиламинозамещенных (Рис. 5).

Противораковую активность синтезированных соединений изучали в Национальном институте рака (США) на 60 линиях клеток, которые охватывают 9 основных групп рака: лейкемию, меланому, рак легких, почек, яичника, ЦНС , толстого кишечника, простаты и молочной железы. Как количественная характеристика использован параметр GР%, что характеризует процент угнетения роста раковых клеток (величина GР% от 100 до 0 %) или их гибели (величина GР% от 0 % к -100 %) при действии исследуемого вещества в концентрации 5 - 10 моль/л.

Рис 5. Структура исследованных производных тиазолидона

Следует отметить, что производные 3-(бензтиазол-2-иламино)-2-тиоксо-4-тиазолидона проявляют умеренную противораковую активность с высокой селективностью действия на определенные линии раковых клеток. Так, соединение 4 обнаружило цитостатичний эффект на линию рака почек RXF 393 (GP = -0,71 %), а соединение 9 - на линию HOP-92 (немелкоклеточный рак легких, GP = 0,74 %). Интересно, что введение ацетамидних остатков в арилиденовий фрагмент (в особенности в о-положение) имеет существенное влияние на проявление противораковой активности, о чем свидетельствуют результаты действия соединений 6 и 7 (табл. 1). Так, соединение 7 оказалось эффективным относительно линий лейкемии RPMI-8226 (GP = 20,02 %), MOLT-4 (GP = 36,83 %) и SR (GP = 38,52 %). Высочайшую противораковую активность обнаружило соединение 6, результаты основательного скринингу in vitro которой стали основанием для патентования и углубленных доклиничних исследований иn vivo. Кроме того, заслуживают внимания результаты противораковой активности соединения 12 на такие линии: IGROV1 (рак яичников, GP = 4,59 %), RXF 393 (рак почек, GP = 25,00 %) и SK-MEL-2 (меланома, GP = 25,27 %). Введение атома брома в изатинилиденовий фрагмент (12) оказывает содействие появлению активности, поскольку соединения с остатками изатина (10) или 5-метилизатину (11) не обнаружили такого действия.

На основе изучения противораковой активности производных роданину с бензтиазольним фрагментом идентифицировано «соединение-лидер» 2-{2-[3-(бензтиазол-2-иламино)-4-оксо-2-тиоксотиазолидин-5-илиденметил]-4-хлорфенокси}-N-(4-метоксифенил)-ацетамид (6) с высокими показателями ингибирования опухолевого роста без выраженной селективности действия, которое отобрано для углубленного исследования противораковой активности иn vivo.

Выявлено, что наиболее существенное влияние на противораковую активность 3-бензтиазолзамещенних производных роданину имеет размер молекулы и ее разветвленность.

3. Экспериментальная часть

 

.1 Методика исследования


Раствор тиамина хлорида (витамина В1) 5% для инъекций

Solutio Thiamini chloridi (Vitamini B1) 5% pro injectionibus

Состав:

·        Тиамина хлорида                   50 г

·        Воды для иньекций      до 1 л

Раствор фильтиуют, разливают в ампулы нейтрального стекла по 1 мл и стерилизуют при 100° в течение 30 минут или при 120° в течение 15 минут.

Описание. Бесцветная или слегка желтоватая прозрачная жидкость со слабым характерным запахом.

Подлинность. 1 мл препарата разводят водой до 25 мл.

К 5 мл раствора приливают 1 мл раствора феррицианида калия, 1 мл раствора едкого натра, 5 мл бутилового или изоамилового спирта, хорошо встряхивают и дают отстояться В верхнем слое возникает наблюдаемая в ультрафиолетовом свете синяя флюоресценция, исчезающая при подкислении и вновь возникающая при подщелачивании раствора.

К 5 мл того же раствора добавляют 1 мл соляной кислоты, 1 мл раствора хлорамина, 1 мл хлороформа и взбалтывают; в хлороформном слое не должно появляться желтое окрашивание.

К 5 мл того же раствора прибавляют 0,5 мл разведенной азотной кислоты и 0,5 мл раствора нитрата серебра; образуется белый творожистый осадок, растворимый в растворе аммиака (реакция на хлорид).

pH 2,7-3,4 (потенциометрически).

Цветность раствора. Окраска раствора не должна быть интенсивнее эталона № 5а.

Количественное определение. 1 мл препарата помещают в коническую колбу емкостью 50 мл, приливают 10 мл уксусного ангидрида, колбу закрывают пробкой с воздушным холодильником и нагревают на кипящей водяной бане в течение 30 минут. Колбу вынимают, с горлышка осторожно удаляют фильтровальной бумагой капли паров воды, содержимое колбы охлаждают, прибавляют 10 мл безводной уксусной кислоты, 5 мл растзора ацетата окисной ртути и титруют 0,1Н раствором хлорной кислоты до изумрудно-зеленой окраски (индикатор - кристаллический фиолетовый).

Параллельно проводят контрольный опыт.

мл 0,1 н. раствора хлорной кислоты соответствует 0,01686 г C12H17ClN4OS * HCl, которого в 1 мл препарата должно быть 0,0475-0,0525 г.

Хранение. В защищенном от света месте.

 

3.2 Результаты исследования


Название и лекарственная форма препарата

Пока-затель

№ п/п

Методика исследования

Результат

Раствор тиамина хлорида (витамина В1) 5% для инъекций

Подлин-ность

1

1 мл препарата разводят водой до 25 мл.  К 5 мл раствора приливают 1 мл раствора феррицианида калия, 1 мл раствора едкого натра, 5 мл бутилового или изоамилового спирта, хорошо встряхивают и дают отстояться В верхнем слое возникает наблюдаемая в ультрафиолетовом свете синяя флюоресценция, исчезающая при подкислении и вновь возникающая при подщелачивании раствора.

Соответ-ствует

Раствор тиамина хлорида (витамина В1) 5% для инъекций

Подлин-ность

2

1 мл препарата разводят водой до 25 мл.  К 5 мл раствора добавляют 1 мл соляной кислоты, 1 мл раствора хлорамина, 1 мл хлороформа и взбалтывают; в хлороформном слое не должно появляться желтое окрашивание.

Соответ-ствует

Раствор тиамина хлорида (витамина В1) 5% для инъекций

3

1 мл препарата разводят водой до 25 мл.  К 5 мл раствора прибавляют 0,5 мл разведенной азотной кислоты и 0,5 мл раствора нитрата серебра; образуется белый творожистый осадок, растворимый в растворе аммиака (реакция на хлорид).

Соответ-ствует

Выводы

Фармакотерапия опухолевой патологии, наряду с лучевой терапией и хирургией, является наиболее важной составляющей борьбы с онкологическими заболеваниями. За последние годы она обогатилась многочисленными новыми препаратами, повысившими ее эффективность и безопасность.

Все противоопухолевые препараты разделяют на ряд групп, исходя из их химической структуры, механизма действия, источников получения: алкилирующие вещества, антиметаболиты, антибиотики, агонисты и антагонисты гормонов, алкалоиды и другие средства растительного происхождения.

Среди различных групп синтетических химических веществ, используемых для лечения опухолевой болезни, наиболее важными продолжают оставаться алкилирующие соединения и антиметаболиты.

Исследование производных 4-тиазолидону является важной проблемой современной органической и фармацевтической химии.

В медицинскую практику внедрены стимуляторы эндогенного инсулина (троглитазон, пиоглитазон), ингибитор альдозоредуктазы (епальрестат).

Ряд производных тиазолидину находятся на разных стадиях доклинических и клинических исследований как потенциальные антитиреоидное, противовоспалительные, антимикробные, сердечно-сосудистые, тромболитические средства.

В фармакологическом спектре указанных гетероциклов важное место занимает и противоопухолевая активность.

Производные тиазолидонов как перспективная группа противоопухолевых агентов являются объектами углубленных исследований в современной фармацевтической химии.

Список использованной литературы


1.   Фармацевтична хімія. Підручник для студентів вищ. фармац. начальних закладів і фарм. фак. вищих мед. навчальних закладів III-IV рівня акредитації / За заг. ред. П.О. Безуглого. - Вінниця: Нова книга, 2008. - 560 с.

2.       Арзамасцев А.П. Фармакопейный анализ - М.: Медицина, 1971.

.        Атаманюк Д.В. Синтез, перетворення та біологічна активність поліциклічних конденсованих систем на основі 4-тіазолідонів: Автореф. дис... канд. фарм. наук. - Л.., 2008. - 22 с.

.        Беликов В.Г. Фармацевтическая химия. В 2 частях. Часть 1. Общая фармацевтическая химия: Учеб. для фармац. ин-тов и фак. мед. ин-тов. - М.: Высш. шк., 1993. - 432 с.

.        Гаврилюк Д.Я. Синтез, перетворення та біологічна активність нових спіранових та неконденсованих біциклічних похідних на основі 4-тіазолідонів: Автореф. дис... канд. фарм. наук. - Л.., 2007. - 22 с.

.        Глущенко Н.Н. Фармацевтическая химия: Учебник для студ. сред. проф. учеб. заведений / Н. Н. Глущенко, Т. В. Плетенева, В. А. Попков; Под ред. Т. В. Плетеневой. - М.: Издательский центр «Академия», 2004. - 384 с.

.        Голота С.М. Синтез арил- та гетерилзаміщених 4-тіазолідонів та їх біологічна активність: Автореф. дис... канд. фарм. наук. - Л.., 2006. - 21 с.

.        Зіменковський Б.С., Лесик Р.Б. 4-Тіазолідони. Хімія, фізіологічна дія, перспективи. Монографія. Вінниця: Нова Книга, 2004. -106с.

.        Зіменковський Б.С., Лесик Р.Б. Спрямований синтез біологічно активних сполук на основі 4-тіазолідонів // Журнал органічної та фармацевтичної хімії -т.1, вип. 1-2 .-2003. -С.24-30.

10.     Истомин А.Л. Изучение химических свойств гетероциклических β-галогенвинилальдегидов и разработка подходов к синтезу конденсированных азолидонов: Автореф. дис... канд. хим. наук. - Дон.., 2004. - 18 с.

.        Лесик Р.Б., Зіменковський Б.С. Синтез та вивчення протиракової активності діамінів 5-карбоксиметиліден-2.4-тіазолідиндіон-3-оцтової кислоти // Фармацевтичний журнал -2005. -№5. -С.70-75.

.        Лесик Р.Б., Зіменковський Б.С., Ярмолюк С.М., Бджола В.Г., Вовк О.І. Сполука 5-[(4-хлорфеніл)метиліден]-2-(4-оксіаніліно)-4,5-дигідротіазол-4-он, яка проявляє протипухлинну активність // Деклараційний патент на корисну модель 2004031889. 15.02.2005. Бюл. №2.

.        Лесик Р.Б. Синтез та біологічна активність конденсованих і неконденсованих гетероциклічних систем на основі 4-азолідонів: Автореф. дис... докт. фарм. наук. - Л.., 2004. - 35 с.

.        Логинова Н.В., Полозов Г. И. Введение в фармацевтическую химию: Учеб. пособие - Мн.: БГУ, 2003.-250 с.

15. Мелентьева Г.А., Антонова Л.А. Фармацевтическая химия. - М.: Медицина, 1985.- 480 с.

16.     Труонг Пхуонг. Синтез и биологическая активность некоторых производных бициклических неконденсированных тиазолидонов: Автореф. дис... канд. фарм. наук. - Л.., 1993. - 20 с.

17. Фармацевтическая химия: Учеб. пособие / Под ред. Л.П.Арзамасцева. - М.: ГЭОТАР-МЕД, 2004. - 640 с.

18.     Фармацевтический анализ лекарственных средств / Под общей редакцией В.А.Шаповаловой - Харьков: ИМП «Рубикон», 1995

19. Фармацевтичний аналіз: Навч. посіб. для студ. вищ. фармац. навч. закл. III-IV рівнів акредитації/П.О. Безуглий, В. О. Грудько, С. Г. Леонова та ін.; За ред. П.О. Безуглого,- X.: Вид-во НФАУ; Золоті сторінки, 2001.- 240 с.

20.     Халецкий A.M. Фармацевтическая химия - Ленинград: Медицина, 1966

Похожие работы на - Синтез, физико-химические и фармакологические свойства производных тиазолидона

 

Не нашли материал для своей работы?
Поможем написать уникальную работу
Без плагиата!
Без нейросетей!