Геодезические работы при ведении кадастра

  • Вид работы:
    Курсовая работа (т)
  • Предмет:
    Геология
  • Язык:
    Русский
    ,
    Формат файла:
    MS Word
    568,96 Кб
  • Опубликовано:
    2012-04-13
Вы можете узнать стоимость помощи в написании студенческой работы.
Помощь в написании работы, которую точно примут!

Геодезические работы при ведении кадастра

СОДЕРЖАНИЕ

РЕФЕРАТ

ВВЕДЕНИЕ

.        МЕТОДИКА ПОДГОТОВКИ ГЕОДЕЗИЧЕСКИХ ДАННЫХ ДЛЯ ВОССТАНОВЛЕНИЯ УТРАЧЕННЫХ МЕЖЕВЫХ ЗНАКОВ

1.1 Восстановление утраченных межевых знаков способом полярных координат

1.2 Восстановление утраченных межевых знаков способом прямой угловой засечки

.        ПЕРЕВЫЧИСЛЕНИЕ КООРДИНАТ МЕЖЕВЫХ ЗНАКОВ ПО ГРАНИЦАМ ЗЕМЕЛЬНЫХ УЧАСТКОВ В ЕДИНУЮ СИСТЕМУ

2.1 Перевычисление координат межевых знаков по границам земельных участков в единую систему с использований дифференциальных формул

.        ИНЖЕНЕРНО - ГЕОДЕЗИЧЕСКОЕ ПРОЕКТИРОВАНИЕ ГРАНИЦ ЗЕМЕЛЬНЫХ УЧАСТКОВ

3.1 Определение общей площади земельного участка комбинированными способами

3.1.1 Определение общей площади земельного участка посредством комбинирования аналитического способа и способа А.И. Савича

3.2 Геодезическое проектирование границ земельных участков аналитическими способами

3.3 Проектирование границ земельных участков графическим способом

.        МЕТОДИКА ПОДГОТОВКИ ГЕОДЕЗИЧЕСКИХ ДАННЫХ ДЛЯ ВЫНОСА В НАТУРУ ГРАНИЦ ЗАПРЕКТИРОВАННЫХ УЧАСТКОВ С РАСЧЕТОМ НЕОБХОДИМОЙ ТОЧНОСТИ ГЕОДЕЗИЧЕСКИХ ПОСТРОЕНИЙ

4.1 Методика подготовки геодезических данных и расчет необходимой точности геодезических построений для выноса в натуру границ земельных участков способом полярных координат

4.2 Методика подготовки геодезических данных и расчет необходимой точности геодезических построений для выноса в натуру границ земельных участков способом прямой угловой засечки

4.3 Методика подготовки геодезических данных и расчет необходимой точности геодезических построений для выноса в натуру границ земельных участков проектным теодолитным ходом

4.4 Методика подготовки геодезических данных и расчет необходимой точности для выноса в натуру границ земельных участков способом промеров

ЗАКЛЮЧЕНИЕ

СПИСОК ИСПОЛЬЗУЕМОЙ ЛИТЕРАТУРЫ

РЕФЕРАТ

Курсовая работа «Геодезические работы при ведении кадастра» представлена в виде текстовой части, состоит из 53 формул, 15 таблиц, 12 рисунков и приложений 1-5.

В курсовой работе использовались понятия: кадастр, межевой знак, засечка, перевычисление координат, площадь, проектирование, способ полярных координат, теодолитный ход, промеры, дирекционный угол, угол поворота, оценка точности.

Работа заключается в освоении:

         способов восстановления утраченных межевых знаков;

         способов перевычисления координат из одной системы в другую;

         методик и приемов проектирования границ земельных участков;

         способов выноса в натуру проектных границ (точек);

         методик подготовки геодезических данных с расчетом необходимой точности геодезических построений и выбором геодезических приборов.

Сокращения, используемые в курсовой работе:

ОМЗ - опорные межевые знаки;

ОМС - опорные межевые сети;

Для индивидуализации задания производились изменения в исходных данных на номер варианта. В данном случае № 12.

ВВЕДЕНИЕ

Реализация земельной реформы в России расширила сферу деятельности геодезистов в области землеустройства и кадастров. Значительные объемы геодезических работ выполняются при межевании (установлении, восстановлении границ) земельных участков, при инвентаризации земель поселений.

Курсовой проект содержит четыре раздела:

)        Методика подготовки геодезических данных для восстановления утраченных межевых знаков.

)        Перевычисление координат межевых знаков по границам земельных участков в единую систему.

)        Инженерно-геодезическое проектирование границ земельных участков.

)        Методика подготовки геодезических данных для выноса в натуру границ запроектированных участков с расчетом необходимой точности геодезических построений.

После выполнения курсового проекта будут получены следующие знания:

знание теоретической основы геодезических работ при ведении кадастра, этапы, технологии и точность топографо-геодезических работ и элементы проектирования для целей кадастра;

умение подготавливать геодезические данные для восстановления утраченных межевых знаков, перевычислять координаты границ в единую систему, проектировать границы земельных участков аналитическим способом, применяя различные приемы в зависимости от условий проектирования; выбирать способы разбивочных работ по выносу точек запроектированной границы.

1. МЕТОДИКА ПОДГОТОВКИ ГЕОДЕЗИЧЕСКИХ ДАННЫХ ДЛЯ ВОССТАНОВЛЕНИЯ УТРАЧЕННЫХ МЕЖЕВЫХ ЗНАКОВ

При проведении межхозяйственного землеустройства основополагающую роль в формировании землепользования играют границы. Обычно на границах землепользований расположены межевые знаки с известными координатами. Со временем некоторые граничные знаки изменяют свое положение, частично разрушаются или полностью утрачиваются под воздействием природных факторов или в процессе хозяйственной деятельности человека. В зависимости от расположения и количества утраченных и сохранившихся межевых знаков, а так же точности геодезической информации восстановление производится несколькими способами. Так при восстановлении одиночных межевых знаков применяется полярный способ или способ угловых засечек.

1.1 ВОССТАНОВЛЕНИЕ УТРАЧЕННЫХ МЕЖЕВЫХ ЗНАКОВ СПОСОБОМ ПОЛЯРНЫХ КООРДИНАТ

В качестве исходных данных представлены: схема восстановления утраченного межевого знака (рис. 1), координаты межевых знаков (табл. 1).


Таблица 1. Координаты межевых знаков для варианта 12

Название пункта межевой сети

Координаты межевых знаков, м


Х

Y

А

1997,6

3388,5

В

2121,3

3216,2

С

2179,5

3295,7


Для подготовки геодезических данных восстановления утраченных межевых знаков решены обратные геодезические задачи, определен угол β и расстояние S. Полученные данные сведены в таблицу 2.

Таблица 2. Геодезические данные восстановления утраченных межевых знаков


В-А

В-С

А-С

Хк Хн ∆Х

1997,6 2121,3 -123,7

2179,5 2121,3 58,2

2179,5 1997,6 181,9

Ук Ун ∆У

3388,5 3216,2 172,3

3295,7 3216,2 79,5

3295,7 3388,5 -92,8

r

54˚19´27´´

53˚47´35´΄

27˚01´46´΄

S

212,11

98,53

204,20

α

125˚40´33´´

53˚47´35´´

332˚58´14´´


αВА=125˚40΄33´´, αВС=53˚47΄35´´

β= αВА- αВС =125˚40΄33´´- 53˚47΄35´´=71˚52΄58´´

В произвольном масштабе составлен разбивочный чертеж, на котором вынесены геодезические данные для восстановления (приложение А).

Точность определения положения утраченного межевого знака С зависит от точности определения и построения на местности угла β и расстояния S:

 (1)

На основании формулы для вычисления ошибки положения точки и принципа равных влияний рассчитаны ошибки mβ и ms:

;  (2)

По инструкции межевания земель городов допустимая ошибка межевого знака mc составляет 0,1м.

;

Для восстановления межевого знака выбрана технология и геодезические приборы. Приборы для построения линии выбраны по относительной ошибке:

Так как ms /S больше, чем 1/2000 ,то используем мерную ленту одним откладыванием.

Технология восстановления выбрана с учетом необходимой точности построения угла. Так как mβ>1΄, следовательно, выбран теодолит Т30 с построением угла одним полуприемом.

В процессе работы рассчитана ожидаемая точность положения восстановленного знака С при выбранной технологии работ, с подстановкой стандартных значений ошибок для выбранных приборов:

 (3)



Вывод: ожидаемое значение mt не превышает допустимого значения 0,1м, значит выбор прибора верный.

1.2 ВОССТАНОВЛЕНИЕ УТРАЧЕННЫХ МЕЖЕВЫХ ЗНАКОВ СПОСОБОМ ПРЯМОЙ УГЛОВОЙ ЗАСЕЧКИ

Подготовлены геодезические данные для восстановления утраченных межевых знаков способом прямой угловой засечки на основе решения обратных геодезических задач. Необходимые геодезические данные - углы β1, β2 и контрольный угол γ вычисляются по формулам:

β1= αАС- αАВ,

β2 = αВА- αВС, (4)

γ =180˚- β1- β2

β1 =332˚58´14´´-305˚40΄33´´=27˚17΄41´´,

β2 =125˚40´33´´-53˚47´35´´=71˚52΄58´´,

γ=180˚-27˚17΄41´´-71˚52΄58´´=80˚49΄21´´.

Составлен разбивочный чертеж в произвольном масштабе, на который вынесены значения углов β1, β2 и контрольный угол γ (приложение Б).

Установлена необходимая точность геодезических построений углов по формуле, исходя из допустимой ошибки восстановления mc , равной 0,1м.

 (4)



Так как mβ превышает 1΄, следовательно, выбранная методика построения и геодезический прибор: теодолит Т30 с построением угла одним полуприёмом.

Рассчитана ожидаемая точность положения восстановленного знака С при выбранной методике построения углов:

 (5)

Для теодолита Т30 ошибка построения угла одним полуприемом составляет 1΄.

Ожидаемое значение mc не превышает допустимого значения 0,1м, значит выбор прибора верный.

2. ПЕРЕВЫЧИСЛЕНИЕ КООРДИНАТ МЕЖЕВЫХ ЗНАКОВ ПО ГРАНИЦАМ ЗЕМЕЛЬНЫХ УЧАСТКОВ В ЕДИНУЮ СИСТЕМУ

Нередко на практике необходимо перевычислить координаты одного полигона в систему координат другого полигона. Решение данной задачи возможно при наличии как минимум двух общих точек с известными координатами в разных системах и образующих связующую линию.

Координаты межевых знаков трех смежных земельных участков приведены в таблице 3, схема межевой сети представлена на рисунке 2.

Таблица 3 - Координаты межевых знаков

№ точки

Координаты, м

№ точки

Координаты, м


Х

У


Х

У


Полигон I


Полигон III

А

63037,6

36487,4

С

61212,2

37774,3

В

63298,5

38311,6

8

60698,8

37364,9

С

61212,2

37774,3

9

60384,8

37051,5


Полигон II

10

60348,2

36498,5

В

62546,3

38871,1

11

60806,9

36125,2

1

62486,8

39762,7

12

61314,9

35596,7

2

62331,9

40473,2

13

62051,8

35146,5

3

61849,5

40425,9

14

62671,9

35437,7

4

61241,7

40489,7

15

63076,4

35921,6

5

60546,4

39953,9

А

63025,4

36471,4

6

60237,9

39211,2




7

60300,9

39624,5




С

60469,9

38297,7





Координаты точек А и В рассчитаны по варианту 12:

Хв=62555,3-0,75·12=62546,3 м; Ув=38835,1+3,0·12=38871,1 м;

ХА=63031,4+0,5 12=63025,4 м; УА=36478,6+0,6 12=36471,4 м.


Произведено вычисление координат межевых знаков по границам участков в единую сеть. Для этого им пользовались следующие формулы:

,,

, (6)

Все результаты вычислений внесены в таблицу 4.

Таблица 4 - Решение обратных геодезических задач

№ полигона

Узловые точки: начальная и конечная

Ук ∆У Унач

Хк ∆Х Хнач

sin α S cos α

r α sin²α+cos²α

I

Акон  Снач

36487,4 -1286,9 37774,3

63037,6 1825,4 61212,2

-0,576198 2233,43 0,817308

35˚11,0΄ 324˚49,0΄ 0,999997

I

Bкон  Снач

38311,6 537,3 37774,3

63298,5 2086,3 61212,2

0,249399 2154,38 0,968399

СВ: 14˚26,52΄ α=14˚26,52΄ 0,999996

II

Bкон  Снач

38871,1 573,4 38297,7

62546,3 2076,4 60469,9

-0,266188 2154,12 0,963920

15˚26,4΄ α=14˚26,4΄ 0,999998



Вычислены углы поворотов осей систем координат смежных полигонов относительно полигона I:

, (7)

где αСB I, αСB II - дирекционные углы замыкающей СB, вычисленные по координатам полигонов I и II;

Оценка качества теодолитных ходов, проложенных по границам участков, произведена по относительной ошибке замыкающей стороны :

 (8)

.

Так как относительные расхождения не превышают 1/1000, то теодолитные ходы считаются удовлетворительными по качеству и могут быть использованы в качестве межевой сети сборного плана:

2.1 ПЕРЕВЫЧИСЛЕНИЕ КООРДИНАТ МЕЖЕВЫХ ЗНАКОВ ПО ГРАНИЦАМ ЗЕМЕЛЬНЫХ УЧАСТКОВ В ЕДИНУЮ СИСТЕМУ С ИСПОЛЬЗОВАНИЙ ДИФФЕРЕНЦИАЛЬНЫХ ФОРМУЛ

Так как получены небольшие углы поворота координатных осей, то координаты межевых знаков полигона III перевычислены в систему координат полигона I с использованием приближенных (дифференциальных) формул. Для реализации данной задачи рассчитаны поправки к координатам:

 , (9)

. (10)

где ∆Хст и ∆Уст - приращения координат в системе полигона III;

- постоянный множитель, равный 0,0174229203.

Поправка за масштабирование рассчитывается по формуле:

 (11)

.

Перевычисление координат с использованием дифференциальных формул представлено в приложении В.

∑∆ХПР = 2086,63; ∑∆УПР=537,3;

∑ХТЕОР = ХC I - ХB I = 2086,3; ∑УТЕОР = УC I - УB I = 537,3

fХр= ∑∆ ХПР - ∑ ХТЕОР = -0,33; fУр=∑∆ УПР - ∑ УТЕОР= 0,0.

Правильность вычислений проверена по контрольным суммам:

[σ(∆Х)]= -К[∆Уст],(12)

[σ(∆У)] = К[∆Хст].

Контроль: -9,99= 9,99,

,16= -36,18

Перевычисление координат с использованием аналитических формул представлено в приложении Г.

(13)

; .

Выполнение условий контроля свидетельствует о правильности перевычисления координат межевых знаков по границам земельных участков в единую систему с использованием дифференциальных формул.

3. ИНЖЕНЕРНО-ГЕОДЕЗИЧЕСКОЕ ПРОЕКТИРОВАНИЕ ГРАНИЦ ЗЕМЕЛЬНЫХ УЧАСТКОВ

геодезический инженерный земельный межевой

В качестве исходных данных по инженерно-геодезическому проектированию границ земельных участков выступают координаты опорных межевых знаков ОМЗ, определенные по программе полигонометрии 1-го разряда.

Таблица 6. Координаты ОМЗ, м

№ ОМЗ

Х, м

У, м

1

2018,87

3357,87

2

2439,55

3146,41

3

2719

3677,37

4

2304,32

3865,83


Схема опорной межевой сети и абрис съемки границы, идущей по живому урочищу (р. Земка), представлены на рис. 3.


На листе ватмана формата А1, с помощью линейки Дробышева была разбита и оцифрована координатная сетка масштаба 1:2000, на которую в последующем по координатам (таб.6) были нанесены пункты ОМС. Так же методом промеров была нанесена р.Земка по линии 3 - 4.

3.1 ОПРЕДЕЛЕНИЕ ОБЩЕЙ ПЛОЩАДИ ЗЕМЕЛЬНОГО УЧАСТКА КОМБИНИРОВАННЫМИ СПОСОБАМИ

.1.1 ОПРЕДЕЛЕНИЕ ОБЩЕЙ ПЛОЩАДИ ЗЕМЕЛЬНОГО УЧАСТКА ПОСРЕДСТВОМ КОМБИНИРОВАНИЯ АНАЛИТИЧЕСКОГО СПОСОБА И СПОСОБА А.И. САВИЧА

Способ Савича применяют для определения больших площадей землепользований, когда их границы проходят по кривым линиям живых урочищ. В данном случае площадь участка 1-2-А-Б-В-Г-4-1 вычислена аналитическим способом, так как межевые знаки данной части землепользования имеют вычисленные значения координат.

Площадь полигона Р1-2-А-Б-В-Г-4-1, образованного опорными межевыми знаками 1, 2, 4 и вспомогательными точками А, Б, В и Г определяется по формуле:

Р=∑Yк(Хк-1 - Хк+1),

Р=∑Хк(Yк+1 -Yк-1). (14)

Координаты вспомогательных точек рассчитаны следующим образом:

точка Б лежит на пересечении осей координатной сетки, следовательно ее координаты известны (ХБ=2400,00; УБ=3600,00);

точка В лежит на пересечении осей координатной сетки, следовательно ее координаты известны (ХВ=2400,00; УВ=3800,00);

для точки А известна ордината УА=3600,00, так как она лежит на координатной оси, ХА найдем по следующей формуле:

 (15)

- для точки Г известна ордината УА=3800,00, так как она лежит на координатной оси, ХГ найдем по следующей формуле:

 (16)

Получив необходимые координаты, по формуле 14 определена площадь полигона Р1-2-А-Б-В-Г-4-1.

Таблица 7. Вычисление площади полигона

NT

x

y

xk-1-xk+1

yk-1-yk+1

(xk-1-xk+1)*y

(yk-1-yk+1)*x

1

2018,87

3357,87

-135,23

719,42

-454084,76

1452415,46

2

2439,55

3146,41

-659,41

-242,13

-2074774,22

-590688,24

А

2678,28

3600

39,55

-453,59

142380

-1214841,03

Б

2400

3600

278,28

-200

1001808

-480000

В

2400

3800

-49,17

-200

-186846

-480000

Г

2449,17

3800

95,68

-65,83

363584

-161228,86

2304,32

3865,83

430,3

442,13

1663466,65

1018809,00

Σ



0

0

455533,67

-455533,67


ΣPср=227766,84 м2, Рга=22,78.

Значит, Р=26,88 га.

Площади фигур а и b определены по способу Савича. Для этого намечены секции, включающие один или несколько квадратов координатной сетки с известными площадями. В данном случае выделяется два квадрата координационной сетки.

Планиметром измеряем 2 раза площади фигур a и b. Результаты занесены в таблицу 8.

Таблица 8.Вычисление площади фигур а и b.

Название секции

Отсчеты

Р

Рср

Р

Р

а1

0771 1746 2723

975  977

 976

  8 га 

 4,1

b2

9499 10407 11310

908  903

 905,5


 3,9


Определили цену деления планиметра:

 (17)

С=0,004.

Достоинство способа Савича в том, что его применением механически учитывается деформация бумаги, на которой составлен план, уменьшается площадь обводимых фигур, чем повышается точность определения площади.

Общая площадь землепользования:

Робщ= Р1-2-А-Б-В-Г-4-1а. (19)

Робщ=22,78+4,1=26,88 га.

3.2 ГЕОДЕЗИЧЕСКОЕ ПРОЕКТИРОВАНИЕ ГРАНИЦ ЗЕМЕЛЬНЫХ УЧАСТКОВ АНАЛИТИЧЕСКИМИ СПОСОБАМИ

Аналитическим способом запроектирован к выделению участок заданной площади:

Р=6+0,18·12=8,16 га = 81600 м2

Проектирование выполнено в трех вариантах:

)        Проектная линия MN проходит параллельно стороне S1-2 (рис. 4).

Рисунок 4. Проектирование границы земельного участка приемом трапеции

При этом условии заданная площадь спроектирована приемом трапеции. Из решения обратных геодезических задач определены дирекционные углы сторон α1-2, α4-1, α3-2 и длина стороны S1-2, используя таблицу 9.

Таблица 9. Геодезические данные для проектирования границ земельных участков


1 - 2

3 - 2

4 - 1

3 - 4

∆У

420,68

-279,45

-285,45

-414,68

∆Х

-211,46

-530,96

-507,96

188,46

r

26˚41΄13΄΄

62˚14΄30΄΄

60˚39΄58΄΄

24˚26΄26΄΄

S

470,84

600,01

582,67

455,50

α

333˚18΄47΄΄

242˚14΄30΄΄

240˚39΄58΄΄

155˚33΄34΄΄


Углы β1 и β2 вычислены по разности дирекционных углов по формулам:

β1= α1-2- α4-1; (20) β2= α3-2- α2-1;

β1=92˚38΄49΄΄; β2=88˚55΄43΄΄.

Значение нижнего основания трапеции определено:

 (21)

где Р - площадь участка, м2.

SM-N=466,04 м.

Высоты трапеции вычислены:

 (22)

h=174,20 м

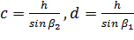
Боковые стороны, необходимые для перенесения проекта в натуру вычислены по формулам:

 (23)

с=174,23 м, d=174,39 м

Координаты M и N рассчитаны по следующим формулам:

ХМ2+с·cos α2-3, YМ=Y2+с·sin α2-3,

ХN= Х1+d·cos α1-4, YN=Y1+d·sin α1-4 (24)

ХМ=2018,87+174,39*cos 60˚39΄58΄΄=2104,30 м,

YМ=3357,87+174,39*sin 60˚39΄58΄΄=3509,90 м

ХN=2439,55+174,23*cos 62˚14΄30΄΄=2520,70 м

YN=3146,41+174,23 sin 62˚14΄30΄΄=3300,59 м

Для контроля вычислена площадь по координатам P1-2-N-M в таблице10.

Таблица 10. Вычисление площади по координатам 1-2-N-M

NT

x

y

xk-1-xk+1

yk-1-yk+1

(xk-1-xk+1)*y

(yk-1-yk+1)*x

1

2018,87

3357,87

-335,25

363,49

-1125725,92

733839,06

2

2439,55

3146,41

-501,83

57,28

-1578962,93

139737,42

N

2520,70

3300,59

335,25

-363,49

1106522,80

-916249,24

M

2104,30

3509,90

501,83

-57,28

1761373,12

-120534,30

Σ



0

0

163207,07

-163207,06


Pср=81603,53 м2=8,16 га.

)        Проектная линия LK перпендикулярна стороне 2-3 (рис. 6).

Опущен перпендикуляр из точки 4 к стороне S2-3. Определены дирекционные углы сторон α3-2, α3-4, длина стороны S3-4 из решения обратных геодезических задач.

Рисунок 6. Проектирование линией, перпендикулярной заданному направлению

α3-2=242˚14΄30΄΄; α3-4=155˚33΄34΄΄; S3-4=455,50 м

Вычислен угол ω по разности дирекционных углов и сторона S0-4 по формулам:

ω = α 3-2 - α З-4,O-4 = S3-4 . sin ω, (25)О-3== S3-4 . cos ω

ω =86˚40΄56΄΄,O-4 = 455,5. sin 86˚40΄56΄΄=454,74м, О-3 = 455,5 cos 86˚40΄56΄΄=26,36м.

Площадь треугольника 0-3-4 определена в соответствии с формулой:

О-3-4 = SО-3 S3-4 sin ω (26)

О-3-4=26,36 455,5 sin86˚40΄56΄΄)=11986,86 м2,

РО-3-4=5993,43 м2

Вычислена площадь четырехугольника 1-2-0-4, для этого рассчитана площадь фигуры Р1-2-З-4 по координатам (табл. 11), используя формулу (14), и соотнесена с заданной площадью проектируемого участка Р, таким образом получена площадь трапеции Ртр.

Ртр=Pl-2-О-4 - Р (27)

Ртр=267453,33-81600=185853,33 м2

Таблица 11. Вычисление площади по координатам 1-2-3-4

NT

x

y

xk-1-xk+1

yk-1-yk+1

(xk-1-xk+1)*y

(yk-1-yk+1)*x

1

2018,87

3357,87

-135,23

719,42

-454084,76

1452415,46

2

2439,55

3146,41

-700,13

-319,5

-2202896,03

-779436,23

3

2719

3677,37

135,23

-719,42

497290,75

-1956102,98

4

2304,32

3865,83

700,13

319,5

2706583,56

736230,24

Σ



0

0

546893,52

-546893,51


Рср=273446,76 м2

Р1-2-О-41-2-З-4 - РО-3-4 (28)

Pl-2-О-4 =267453,33 м2

Угол β получается равным:

β= а4-З - а4-1 - (900 - ω). (29)

β=91˚34΄32΄΄

Вычислена сторона SL-K по формуле:

 (30)

SL-K=465,85 м

Определены стороны SL и SK-4 по формулам:

 (31)

SO-L=403,77 м;

SК-4=403,92 м.

Координаты точек получены по формулам:

XL = ХЗ + (Sо-з + SO-L)·cos а3-2,L = У3 + (S о-з + SO-L) sin аЗ-2, (32)

ХК = X4 +SK-4 .cos а4-1,к = У4 + SK-4· siп a4-1.

XL =2719,00+(26,36+403,77) cos 242˚14΄30΄΄=2518,67 м,L =3677,37+(26,36+403,77) sin 242˚14΄30΄΄=3296,74 м,

ХК =2304,32+403,92 cos 240˚39΄58΄΄=2106,44 м,к=3865,83+403,92 sin 240˚39΄58΄΄=3513,70 м.

Вычислена для контроля по координатам точек площадь P1-2-L-K в табл. 12.

Таблица 12. Вычисление площади по координатам 1-2-L-K

NT

X

y

xk-1-xk+1

yk-1-yk+1

(xk-1-xk+1)*y

(yk-1-yk+1)*x

1

2018,87

3357,87

-333,11

367,29

-1118540,08

741510,76

2

2439,55

3146,41

-499,8

61,13

-1572575,72

149129,69

L

2518,67

3296,74

333,11

-367,29

1098177,06

-925082,30

K

2106,44

3513,70

499,8

-61,13

1756147,26

-128766,68

Σ



0

0

163208,52

-163208,53


Pср=81604,26 м2 =8,16 га

Проектная линия проходит через заданную точку (рис. 7).

Проектирование участка выполнено треугольником, поэтому необходимыми геодезическими данными из решения обратных геодезических задач являются α1-4, α1-2, S1-2:

α1-4=60˚39΄58΄΄, α1-2=333˚18΄47΄΄, S1-2=470,84 м

Рис. 7. Проектирование линией, проходящей через заданную точку

Угол β и S1-T определены в соответствии с формулами:

β= α1-4- α1-2 (33)


β=87˚21΄11΄΄,

S1-T=346,98 м

Координаты точки Т вычислены согласно формулам:

ХТ= Х1+S1-T·cos α1-4, (34)

YТ=Y1+ S1-T ·sin α1-4.

ХТ=2018,87+346,98 cos 60˚39΄58΄΄=2188,85 м,Т=3357,87+346,98 sin 60˚39΄58΄΄ =3660,36 м

Для контроля по координатам вычислена площадь по координатам 1-2-Т (табл.13).

Таблица 13. Вычисление площади по координатам 1-2-Т

NT

X

y

xk-1-xk+1

yk-1-yk+1

(xk-1-xk+1)*y

(yk-1-yk+1)*x

1

2018,87

3357,87

-250,7

513,95

-841818,01

1037598,24

2

2439,55

3146,41

-169,98

-302,49

-534826,77

-737939,48

Т

2188,85

3660,36

420,68

-211,46

1539840,25

-462854,22


Рср=8,16 га

3.3 ПРОЕКТИРОВАНИЕ ГРАНИЦ ЗЕМЕЛЬНЫХ УЧАСТКОВ ГРАФИЧЕСКИМ СПОСОБОМ

В фигуре 1-2-Т, образованной при проектировании линией, проходящей через заданную точку, запроектировали три участка равной площади графическим способом (рис. 8).

Рисунок 8. Проектирование участков равной площади

Проектирование выполнено способом трапеции, так как проектная линия должна проходить параллельно стороне S1-Т.

Площадь проектируемых участков определена:

, (35)

Руч зад =81600/3=27200 м2.

На плане предварительно выбрано приблизительное положение границы участка и измерена измерителем по масштабной линейке средняя линия полученной трапеции.

Отложена половина высоты и, таким образом, получено уточненное положение средней линии на плане. Через новую точку проведена линия параллельная стороне 1-Т и измерено новое приближенное значение средней линии. Разделив Руч зад на вновь полученное значение длины средней линии, вычислено новое более точное значение высоты.

Действия повторялись до тех пор, пока две соседние высоты не попали в допуск hi - hi-1≤ 0,6 мм в масштабе кадастрового плана. После того, как разность высот не превысила допуска, было отложено полное значение высоты и проведена линия - граница первого участка, параллельная линии S1-T. Для контроля площадь треугольника вычислена дважды по двум различным высотам и основаниям.

Все вычисления и увязка запроектированной площади произведена в таблице 14.

Таблица 14. Проектирование земельного участка графическим способом

№ участка

Текущее значение Sср, м

Текущее значение , мОкончательное значение Sср, мОкончательное значениеh, мРзад, м2Рув, м2





1

316,8

85,86






314,4

86,51

314,4

86,51

27200

27200

2

238,2

114,19

 241,6

 112,58

 27200

 27200


240,6

113,05






241,6

112,58





3

330

163



26980

27200


200

269,6





ΣP





81380

81600


Для определения правильности расчетов определена невязка и проверена на допустимость:

 (36)


Рпр=2,72+2,72+2,70=8,14 га,

fдоп=0,023 га,

f=8,16-8,14=0,02 га.

Распределена допустимая невязка на запроектированные участки:

: 27200+0=27200 м2,

: 27200+0=27200 м2,

: 26980+0=27200 м2

При решении данных задачи освоили инженерно-геодезическое проектирование границ земельных участков, а в частности:

. Определение общей площади земельного участка комбинированными способами.

. Геодезическое проектирование границ земельных участков аналитическим способом.

. Проектирование границ земельных участков графическим способом.

4. МЕТОДИКА ПОДГОТОВКИ ГЕОДЕЗИЧЕСКИХ ДАННЫХ ДЛЯ ВЫНОСА В НАТУРУ ГРАНИЦ ЗАПРОЕКТИРОВАННЫХ УЧАСТКОВ С РАСЧЕТОМ НЕОБХОДИМОЙ ТОЧНОСТИ ГЕОДЕЗИЧЕСКИХ ПОСТРОЕНИЙ

Три геодезических процесса: проектирование границ, подготовка геодезических данных и вынос проектных границ в натуру, по точности осуществляется согласовано. Если проектирование выполняется аналитическим способом, то и подготовка геодезических данных должна вестись аналитически, так как этот способ подготовки сохраняет точность получаемой информации. Графический способ подготовки геодезических данных применяется при механическом, графическом способе проектирования или при их комбинации.

Способы и приборы, применяемые для выноса проектных границ, выбираются в зависимости от требуемой точности работ и местных условий. Наиболее часто применяют полярный способ, способ промеров в створе между двумя межевыми знаками, способ прямой угловой засечки, способ проектного теодолитного хода. Любой из способов может обеспечить достаточную точность выноса проектных точек, но для этого нужно правильно выбрать прибор и методику построения.

После подготовки геоданных и выбора геодезических приборов составляется разбивочный чертеж, который является обязательным техническим документом при выносе проекта в натуру.

Таким образом, общий порядок работы при подготовке к выносу запроектированных границ следующий:

подготовка геодезических данных;

расчет необходимой точности геодезических построений;

выбор геодезических приборов и методики построения, необходимых для выноса проектных точек;

оценка ожидаемой точности положения установленных границ;

составление разбивочного чертежа.

4.1 ПОДГОТОВКА ГЕОДЕЗИЧЕСКИХ ДАННЫХ И РАСЧЕТ НЕОБХОДИМОЙ ТОЧНОСТИ ГЕОДЕЗИЧЕСКИХ ПОСТОЕНИЙ ДЛЯ ВЫНОСА В НАТУРУ ГРАНИЦ ЗЕМЕЛЬНЫХ УЧАСТКОВ СПОСОБОМ ПОЛЯРНЫХ КООРДИНАТ

Подготовлены геодезические данные, необходимые для выноса границы земельного участка в натуру, для чего решены обратные геодезические задачи:

α1-4=60˚39΄58΄΄;

α1-2=333˚18΄47΄΄;

α2-3=62˚14΄30΄΄;

с=174,23м;

S2=174,39м.








Рисунок 9. Схема выноса в натуру точек способом полярных координат

Углы β1, β2 вычислены по формулам:

β1= α1-4- α1-2, (38)

β2 = α2-1- α2-3.

β1=87˚21΄11΄΄,

β2=91˚04΄17΄΄.

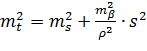
Точность определения выноса проектной границы в натуру зависит от точности определения и построения на местности угла β и расстояния S:

На основании формулы для вычисления ошибки положения точки и принципа равных влияний угловых и линейных ошибок, рассчитаны ошибки mβ и ms при выносе в натуру:

,  (39)

По инструкции межевания земель городов допустимая ошибка взаимного положения для городских земель не должна превышать 0,1м.

mβc=1,4´, mβd=1,4´ >1´, выбрали Т-30 с построением угла одним полуприемом.

ms=0,07

Для выноса проектных точек в натуру выбраны геодезические приборы по относительной ошибке.

c: ,  <  - выбираем светодальномер CТ-5.

Выбрав приборы для отложения линии и направления подставили стандартные значения для выбранных приборов в следующую формулу:

 (40)

,

, =0,05 <0,1 м

Ожидаемое значение mt не превышает допустимого значения в инструкции по межеванию для городских земель 0,1м.

В масштабе составлен разбивочный чертеж, на котором перенесены геодезические данные для выноса в натуру границ земельных участков способом полярных координат (приложение Д).

4.2 МЕТОДИКА ПОДГОТОВКИ ГЕОДЕЗИЧЕСКИХ ДАННЫХ И РАСЧЕТ НЕОБХОДИМОЙ ТОЧНОСТИ ГЕОДЕЗИЧЕСКИХ ПОСТРОЕНИЙ ДЛЯ ВЫНОСА В НАТУРУ ГРАНИЦ ЗЕМЕЛЬНЫХ УЧАСТКОВ СПОСОБОМ ПРЯМОЙ УГЛОВОЙ ЗАСЕЧКИ

Подготовлены геодезические данные (рис. 10) для выноса проектной границы в натуру способом прямой угловой засечки на основе решения обратных геодезических задач (табл. 15).






Рисунок 10. Схема выноса в натуру точки способом прямой угловой засечки

Таблица 15. Геодезические данные для выноса проектных точек в натуру


2 - Т

3 - Т

∆У

513,95

-17,01

∆Х

-250,7

-530,15

r

63˚59΄50΄΄

1˚50΄16΄΄

S

571,83

530,42

α

116˚0΄10΄΄

181˚50΄16΄΄



Необходимые геодезические данные - углы β1, β2 и контрольный угол γ вычислен по формуле:

β1= α2-Т - α2-3,

β2 = α3-2- α3-Т, (41)

γ = αТ-3- αТ-2.


β1=53˚45΄40΄΄,

β2=60˚24΄14΄΄,

γ=65˚50΄6΄΄

Установлена необходимая точность геодезического построения угла для выноса точки в натуру по формуле, исходя из допустимой ошибки mt для городских земель, равной 0,1м.

 (42)

´

Так как 10"≤mβ<1΄, следовательно, выбранный геодезический прибор: теодолит 2Т5К с построением угла одним полуприёмом.

Рассчитана ожидаемая точность выноса проектной границы в натуру при выбранной методике построения углов:

 (43)

Для теодолита 2Т5К ошибка построения угла одним полуприемом составляет 10΄΄.

Ожидаемое значение mt не превышает согласно инструкции по межеванию допустимого значения положения для городских земель 0,1м для масштаба 1:2000 mt≤0,1 м.

Составлен разбивочный чертеж в масштабе, на который перенесены геодезические данные для выноса в натуру границ земельных участков способом прямой угловой засечки (приложение Е).

4.3 МЕТОДИКА ПОДГОТОВКИ ГЕОДЕЗИЧЕСКИХ ДАННЫХ И РАСЧЕТ НЕОБХОДИМОЙ ТОЧНОСТИ ГЕОДЕЗИЧЕСКИХ ПОСТРОЕНИЙ ДЛЯ ВЫНОСА В НАТУРУ ГРАНИЦ ЗЕМЕЛЬНЫХ УЧАСТКОВ ПРОЕКТНЫМ ТЕОДОЛИТНЫМ ХОДОМ

Координаты точек a, b, (рис. 11) сняты с плана графически. Проложение проектного теодолитного хода производится через точки, которые необходимо вынести в натуру.








Рисунок 11. Вынос в натуру проектных границ земельных участков теодолитным ходом

При решении обратных геодезических задач определены приращения координат, по которым вычислены расстояния и дирекционные углы (приложение Ж). По дирекционным углам рассчитаны углы поворота:

 (44)

∑βпр=718˚25΄30΄΄

∑βтеор=60˚40΄0΄΄+180°*4=718˚25΄30΄΄

Необходимая точность геодезических построений на основе формулы А. В. Гордеева, справедливая для ошибки в конце вытянутого хода с равными сторонами и неуравненными углами, рассчитана следующим образом:

 (45)

По этой формуле можно вычислить погрешность положения любой проектной точки хода до его середины, так как от середины хода погрешность положения проектных точек после увязки их в натуре по мере приближения к конечной точке хода будут уменьшаться. Применяя принцип равных влияний, и полагая, что наиболее слабым местом является середина хода, рассчитаны mβ и ms:

 (46)

ms=0,08м, mβ=12,55΄ - выбираем 2Т-5К

 - полигонометрия II разряда

Рассчитана ожидаемая точность выноса проектной границы в натуру при выбранной методике построения и необходимых приборов:

М2=0,003, М=0,06

Ожидаемое значение не превышает согласно инструкции по межеванию допустимого значения 0,1м.

Составлен разбивочный чертеж, на который перенесены геодезические данные для выноса в натуру границ земельных участков проектным теодолитным ходом (приложение З).

4.4 МЕТОДИКА ПОДГОТОВКИ ГЕОДЕЗИЧЕСКИХ ДАННЫХ И РАСЧЕТ НЕОБХОДИМОЙ ТОЧНОСТИ ДЛЯ ВЫНОСА В НАТУРУ ГРАНИЦ ЗЕМЕЛЬНЫХ УЧАСТКОВ СПОСОБОМ ПРОМЕРОВ

Геодезические данные (S1, S2 и S´к, S´к - для контроля), необходимые для выноса границы в натуру (рис. 12), определены путем решения обратных геодезических задач (табл. 11).

Рисунок 12. Схема выноса в натуру точек способом промеров

Контрольные расстояния рассчитываются по формулам:

2= S2-3- S2,

1= S1-4- S1 (47)

2=600,01-174,23=425,78,

1=582,67-174,39=408,28

На точность точки М может влиять ошибка исходных данных и ошибка отложения длины линии:

,

 (48)

 (49)

,  - светодальномер СТ-5

Вычислили ожидаемую точность, подставим стандартные значения:

,

Полученные значения в допуске ,т. е. не превышают 0,1 м.

Составлен разбивочный чертеж (приложение И), на который перенесены геодезические данные для выноса в натуру границ земельных участков способом промеров.

ЗАКЛЮЧЕНИЕ

В результате выполнения курсовой работы освоены геодезические работы при ведении кадастра. Такие как: методика расчетов при подготовке геодезических данных для восстановления утраченных межевых знаков; перевычисление координат межевых знаков по границам земельных участков в единую систему; инженерно-геодезическое проектирование границ земельных участков при межевании; методики расчетов при подготовке геодезических данных для выноса в натуру границ запроектированных участков с расчетом необходимой точности построений. Освоен процесс оценки точности полученных результатов. Получены навыки по камеральной обработке результатов. Вследствие этого, полученные знания, могут применяться в процессе проведении полевых геодезических работ при ведении кадастра и их камеральной обработке.

СПИСОК ИСПОЛЬЗУЕМОЙ ЛИТЕРАТУРЫ

. Инструкция по межеванию земельных участков.- М.: Росземкадастр, 2002.-29с.

. Маслов А. В. Геодезические работы при землеустройстве / А. В. Маслов, А. Г. Юнусов, Г. И. Горохов.- М.: Недра,1990.-215с.

. Методические рекомендации.- Омск.: ФГОУ ВПО ОмГАУ,2004.-32 с.

. Лекционный материал.

Похожие работы на - Геодезические работы при ведении кадастра

 

Не нашли материал для своей работы?
Поможем написать уникальную работу
Без плагиата!
Без нейросетей!