Теорема Франсуа Виета и её значение в математике
Департамент
образования Владимирской области
Муниципальное
образовательное учреждение средняя школа №38
с
углубленным изучением предметов художественно-эстетического профиля
Реферат
Теорема
Франсуа Виета и её значение в математике
Выполнила:
ученица 10 «А» класса
Коркина
Анастасия
Научный
руководитель: учитель математики
Тарханова
Светлана Александровна
Владимир
2010
Содержание
1.
Биография Франсуа Виета
.
История числа π
Список
литературы
1. Биография Франсуа Виета
Франсуа Виет родился в 1540 г. во Франции в Фонтене-ле-Конт
французской провинции Пуату - Шарант. Отец Виета был прокурором. Сын выбрал
профессию отца и стал юристом. Учился сначала в местном францисканском
монастыре, а затем - в университете Пуатье, где получил степень бакалавра
(1560). С 19 лет занимался адвокатской практикой в родном городе, но через три
года перешел на службу в знатную гугенотскую семью де Партене. Он стал
секретарем хозяина дома и учителем его дочери двенадцатилетней Екатерины.
Именно преподавание пробудило в молодом юристе интерес к математике. Когда
ученица выросла и вышла замуж, Виет не расстался с ее семьей и переехал с нею в
Париж, где ему было легче узнать о достижениях ведущих математиков Европы. Он
общался с видным профессором Сорбонны Рамусом, с крупнейшим математиком Италии
Рафаэлем Бомбелли вел дружескую переписку.
Около 1570 года подготовил «Математический Канон»
- труд по тригонометрии, - который издал в Париже в 1579 году.
В 1571 году переехал в Париж и вскоре перешёл на
государственную службу, но увлечение его математикой продолжало расти.
Благодаря связям матери и браку своей ученицы с
принцем де Роганом, Виет сделал блестящую карьеру и стал советником сначала
короля Генриха III, который назначил Виета на важный государственный пост
рекетмейстера, который давал право контролировать выполнение распоряжений в
стране и приостанавливать приказы крупных феодалов, а после его убийства -
Генриха IV. Во время когда Виет занимал этот пост голландский математик Андриан
ван-Роумен, известный, пожалуй, тем, что вычислил число π; с восемнадцатью верными знаками, повторив тем самым через 150 лет
результат среднеазиатского математика ал-Каши, в конце 16 столетия решил
бросить вызов всем математикам мира. Он разослал во все европейские страны
уравнение 45-й степени: x45 - 45x43 + 945x41 - 12300x39 +... + 95634x5 - 3795x3
+ 45x = a, Французским математикам он решил это уравнение не посылать, считая,
что там нет способных справиться с задачей: Декарт в то время еще не родился,
Пьера Рамуса в 1572 убили в Варфоломеевскую ночь, о других математиках не было
слышно. Так французские математики не смогли принять вызов. Больше всего было
ущемлено самолюбие Генриха IV. - И все же у меня есть математик! - воскликнул
король. - Позовите Виета!
В приемную короля вошел пятидесятитрехлетний
седоволосый советник короля Франсуа Виет. Он тут же, в присутствие короля,
министров и гостей, нашел один корень предложенного уравнения. Король ликовал,
все поздравляли придворного советника. На следующий день Виет нашел еще 22
корня уравнения, описываемые выражением: при n=1,2,...,22. Этим он и
ограничился, так как остальные 22 корня - отрицательные, а Виет не признавал ни
отрицательных, ни мнимых корней.
После такого успеха Виета составитель
злополучного уравнения Роумен стал ревностным почитателем его. Нельзя сказать,
что во Франции о Виете ничего не знали. Громкую славу он получил еще раньше,
при Генрихе III во время франко-испанской войны. Испанские инквизиторы изобрели
очень сложную тайнопись (шифр), которая все время изменялась и дополнялась.
Благодаря этому шифру воинствующая и сильная в то время Испания могла свободно
переписываться с противниками французского короля даже внутри Франции, и эта
переписка оставалась неразгаданной. После бесплодных попыток найти ключ к шифру
король обратился к Виету. Рассказывают, что Виет, две недели подряд дни и ночи
просидев за работой, все же нашел ключ к испанскому шифру. После этого
неожиданно для испанцев Франция стала выигрывать одно сражение за другим.
Испанцы долго недоумевали. Наконец им стало известно, что шифр для французов
уже не секрет и что виновник его расшифровки - Виет. Будучи уверенными, в
невозможности разгадать способ тайнописи людьми, они обвинили Францию перед
папой римским и инквизицией в кознях дьявола, а Виет был обвинен в союзе с
дьяволом и приговорен к сожжению на костре. К счастью для науки, он не был
выдан инквизиции.
Но все свое свободное время, весь свой досуг он
отдавал занятиям математикой, а также астрономией. Особенно усиленно он начал
работать в области математики с 1584 г. после отстранения от должности при
королевском дворе. Виет детально изучил труды, как древних, так и современных
ему математиков.
Франсуа Виет по существу создал новую алгебру. Он
ввел в нее буквенную символику. Основные его идеи изложены в труде «Введение в
аналитическое искусство». Он писал: «Все математики знали, что под их алгеброй
и альмукабалой были скрыты несравненные сокровища, но не умели их найти:
задачи, которые они считали наиболее трудными, совершенно легко решаются с
помощью нашего искусства». Благодаря этому стало впервые возможным выражение
свойств уравнений и их корней общими формулами и сами алгебраические выражения
превратились в объекты, над которыми можно было производить те или иные
действия. Ему принадлежит установление единообразного приема решения уравнений
2-й, 3-й 4-й степени, новый метод решения кубического уравнения,
тригонометрическое решение в т.н. неприводимом случае, различные рациональные
преобразования корней и пр. Среди этих открытий сам Виет особенно высоко ценил установление
зависимости между корнями и коэффициентами уравнений (формулы Виета).
Действительно, все мы знаем, как легко решать,
например, квадратные уравнения. Для их решения имеются готовые формулы. До Ф.
Виета решение каждого квадратного уравнения выполнялось по своим правилам в
виде очень длинных словесных рассуждений и описаний, довольно громоздких
действий. Даже само уравнение в современном виде не могли записать. Для этого
тоже требовалось довольно длинное и сложное словесное описание. На овладение приемами
решений уравнений требовались годы. Общих правил, подобных современным, а тем
более формул решения уравнений не было. Постоянные коэффициенты буквами не
обозначались. Рассматривались выражения только с конкретными числовыми
коэффициентами.
Виет показал, что, оперируя с символами, можно
получить результат, который применим к любым соответствующим величинам, т. е.
решить задачу в общем виде. Это положило начало коренному перелому в развитии
алгебры: стало возможным буквенное исчисление.
Знаменитая теорема, устанавливающая связь
коэффициентов многочлена с его корнями, была обнародована в 1591 году. Теперь
она носит имя Виета, а сам автор формулировал ее так: "Если В+D,
умноженное на А, минус А в квадрате равно ВD, то А равно В и равно D".
В трактате "Дополнения к геометрии" он
стремился создать некую геометрическую алгебру, используя геометрические методы
для решения уравнений третьей и четвертой степеней. Любое уравнение третьей и
четвертой степени, утверждал Виет, можно решить геометрическим методом трисекции
угла или построением двух средних пропорциональных.
Математиков столетиями интересовал вопрос решения
треугольников, так как он диктовался нуждами астрономии, архитектуры, геодезии.
Виет первым явно сформулировал в словесной форме теорему косинусов, хотя
положения, эквивалентные ей, эпизодически применялись с первого века до нашей
эры. Известный ранее своей трудностью случай решения треугольника по двум
данным сторонам и одному из противолежащих им углов получил у Виета
исчерпывающий разбор. Глубокое знание алгебры давало Виету большие
преимущества. Причем интерес его к алгебре первоначально был вызван
приложениями к тригонометрии и астрономии. Не только каждое новое применение
алгебры давало импульс новым исследованиям по тригонометрии, но и полученные
тригонометрические результаты являлись источником важных успехов алгебры.
Виету, в частности, принадлежит вывод выражений для синусов (или хорд) и
косинусов кратных дуг.
В мемуарах некоторых придворных Франции есть
указание, что Виет был женат, что у него была дочь, единственная наследница
имения, по которому Виет звался сеньор де ла Биготье. В придворных новостях
маркиз Летуаль писал: "...14 февраля 1603 г. господин Виет, рекетмейстер,
человек большого ума и рассуждения и один из самых ученых математиков века
умер... в Париже. Ему было более шестидесяти лет".
Отметим также, что Виет дал первое в Европе
аналитическое (с помощью формулы) представление числа π.
Умер Виет в возрасте 63 лет в 1603 г.
Научная деятельность
Виет чётко представлял себе конечную цель - разработку нового
языка, своего рода обобщённой арифметики, которая даст возможность проводить
математические исследования с недостижимыми ранее глубиной и общностью:
Все математики знали, что под их алгеброй… были скрыты
несравненные сокровища, но не умели их найти; задачи, которые они считали
наиболее трудными, совершенно легко решаются десятками с помощью нашего
искусства, представляющего поэтому самый верный путь для математических
изысканий.
Виет всюду делит изложение на две части: общие законы и их
конкретно-числовые реализации. То есть он сначала решает задачи в общем виде, и
только потом приводит числовые примеры. В общей части он обозначает буквами не
только неизвестные, что уже встречалось ранее, но и все прочие параметры, для
которых он придумал термин «коэффициенты» (буквально: содействующие). Виет
использовал для этого только заглавные буквы - гласные для неизвестных,
согласные для коэффициентов.
Новая система позволила просто, ясно и компактно описать
общие законы арифметики и алгоритмы. Символика Виета была сразу же оценена
учёными разных стран, которые приступили к её совершенствованию.
Другие заслуги Виета:
знаменитые «формулы Виета» для коэффициентов многочлена как
функций его корней;
новый тригонометрический метод решения неприводимого
кубического уравнения, применимый также для трисекции угла;
первый пример бесконечного произведения:
полное аналитическое изложение теории уравнений первых четырёх
степеней;
идея применения трансцендентных функций к решению алгебраических
уравнений;
оригинальный метод приближённого решения алгебраических уравнений
с числовыми коэффициентами;
частичное решение задачи Аполлония о построении круга, касающегося
трёх данных, в сочинении Apollonius Gallus (1600). Решение Виета не проходит
для случая внешних касаний.
виет теорема алгебраический многочлен формула
История числа π
Многие полагают, что раз число π обозначается буквой
греческого алфавита, то придумали его непременно древние греки. Конечно же,
такой аргумент несостоятельный - мало ли что сегодня обозначается буквами
греческого алфавита: α-лучи (физика), σ-орбитали (химия), β-рецепторы (биология)...
Древние эллины оставили исключительно глубокий след в истории человеческой
цивилизации, но приписывать все исключительно им было бы не в согласии с
исторической правдой.
Мы сегодня прекрасно осведомлены о том, кто построил первый
самолет, придумал радио и телевизор, оставил первый след подошвы на поверхности
Луны. А вот кто первый догадался о замечательной связи длины окружности и ее
диаметра - увы, не знает никто. Возможно, об этом догадался какой-нибудь
дотошный мастер, изготавливающий колесо для легкой колесницы, или землекоп,
обустраивающий круглый колодец. А, может быть, гончар, лесоруб, строитель... -
кто бы это ни был, имя этого гения история нам не сберегла.
А вот когда появилось первое обозначение знаменитого числа
буквой π мы можем сказать с большой степенью уверенности. Его мы находим в
работе "Synopsis Palmoriorum Matheseos" («Обозрение достижений
математики») английского преподавателя Уильяма Джонса (1675-1749), вышедшей в
1706 году. Несколько раньше, в 1647 году, английский математик Оутред
(1574-1660) (кстати, автор знакомого нам знака умножения « х ») букву π применил для обозначения длины окружности. По-видимому, к этому
обозначению его подвигла первая буква греческого слова жернрерш - окружность
(отсюда наше: периферия).
Обозначение π для отвлеченного числа
3,141592... широко распространилось и, по сути, стало международным стандартом
после того, как его стал применять выдающийся математик Леонард Эйлер
(1707-1783) в своих получивших всемирную известность трудах. К этому
обозначению Леонард Эйлер, скорее всего, пришел независимо от Джонса.
Представления о числе π претерпели удивительную
эволюцию - от смутных представлений древних, экспериментально - буквально
ощупью открывавших количественные закономерности окружающего мира до
чрезвычайно глубоких математических теорий современности.
Натиск зыбучих песков забвения выдержали величественные
«скалы-останцы» - памятник древней шумеро-вавилонско-ассирийской культуры конца
IV тысячелетия до нашей эры - начала нашей эры. Возможно, они уцелели под
безжалостными ветрами истории лишь потому, что «сложены» были из обожженных на
огне клинописных глиняных табличек. Из них мы узнаем о многогранных талантах и
умениях древних жителей Междуречья.
Древние мастера уже делали многое из того, чем можем
похвастаться мы. Делением года на 12 месяцев - по числу знаков зодиака, а также
суток - на 24 часа мы обязаны древним халдеям. Прикладывая, школьный
транспортир к углу, и определяя его величину в градусах, мы также отдаем дань
памяти вавилонским ученым, впервые разделивших круг на 360 равных частей.
Как явствует из клинописных табличек, возраст которых - ни
много, ни мало - несколько тысяч лет! - жители Междуречья могли извлекать
квадратные и кубические корни, решать квадратные уравнения, рассчитывать объемы
плотин и осадных насыпей, имеющих довольно сложные геометрические очертания.
Но вот что удивительно: будучи искусными мастерами и
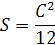
инженерами, жители Междуречья применяли довольно грубое значение для числа π. Как следует из древних решений ряда задач, в своих расчетах они
неявно пользовались значением π ≈ 3.
где S - площадь круга, а С - длина ограничивающей его
окружности.
Способ, применявшийся для вывода этой формулы, неизвестен.
Если в нее подставить знакомые современному школьнику выражения площади круга S =πr 2 и длины окружности С = 2πr, то из равенства
получим π=3.
Следующая задача содержится в одном из клинописных текстов,
принадлежащих Британскому музею:
«60 длина окружности. 2, на сколько я спустился. Что есть
хорда?» Речь в этой задаче идет о вычислении длины хорды АВ, стрелка которой CD
равна 2, причем длина окружности равна 60.
Вот как нам предлагает решать эту задачу неизвестный
вавилонский математик (числа записаны в удобной для нас десятичной системе
счисления, которой в Междуречье не пользовались):
«Ты возведи 2 в квадрат, 4 ты видишь. 4 от 20, диаметра,
отними, 16 ты видишь. 20, диаметр, возведи в квадрат, 400 ты видишь. 16 возведи
в квадрат, 256 ты видишь. 256 от 400 отними, 144 ты видишь. Что есть квадратный
корень из 144? 12, квадратный корень, это хорда. Таков способ».
Если не обращать внимания на одну вычислительную погрешность,
то приведенный рецепт нахождения хорды соответствует формуле,
которую может вывести современный школьник (здесь а = АВ, h -
CD, d - диаметр окружности).
Примечательно, что в приведенном тексте при длине окружности
С = 60 диаметр d получается равным 20 - это соответствует значению π = 3. Тот факт, что радиус помещается в окружности в качестве
хорды 6 раз, оставил неизгладимый отпечаток в мировоззрении жителей Междуречья.
Они разделили год на 360 дней и сообразно этому круг (видимую орбиту Солнца) на
360 градусов.
В одной из глиняных табличек, найденных при раскопках 1936
года города Сузы, более чем в 200 милях к востоку от Вавилона, обнаружены
расчеты, использующие более точное приближение для числа π: π ≈ 3⅛. Известный историк науки
профессор Отто Нейгебауэр полагает, что древним месопотамским вычислителям было
известно лучшее приближение для π, применявшееся в тех
случаях, когда грубое приближение π ≈ 3 приводило к
явно неправильным результатам. Однако не все специалисты разделяют его точку
зрения. Например, Айзик Абрамович Вайман считает, что в «математических задачах
значение π = 3⅛. - обнаружено лишь в одном
случае, и то сомнительном».
Более точное значение для π использовали древние
египтяне. В Лондоне и Нью-Йорке хранятся две части древнеегипетского папируса,
который цитируют как «папирус Ринда (или Райнда)» - по имени Henry Rhind
мецената, приобретшего этот папирус в 1858 году. Гораздо логичнее было бы
называть документ именем писца Ахмеса, составившего его в промежутке между 2000
и 1700 годами до нашей эры. Этот папирус был найден в 1858 году, расшифрован и
опубликован А. Эйзенлором в 1877 году.
Стиль изложения Ахмеса близок к стилю древневавилонских
табличек. В его записях мы также находим рецепты решения различных практических
задач. В одной из таких задач папируса дается «наставление, как вычислить
круглый хлебный амбар», имеющий форму круглого цилиндра с диаметром у основания
9 локтей. Для вычисления площади основания предлагается такой рецепт:
Из каких соображений получена эта формула? - Неизвестно. Тем
не менее, современные исследователи пытаются найти теоретические обоснования,
которыми могли бы руководствоваться древние при ее выводе. Мы остановимся на
двух современных реконструкциях вывода этой формулы, не лишенных изящества.

Одно из ранних приближений для числа π можно извлечь из канонического текста Библии, датируемого
примерно X-V веками до нашей эры. В третьей книге Царств подробно
рассказывается о том, как мастер Хирам сооружал по заказу правителя Иудейского
Израильского царства Соломона храм. Это культовое сооружение украшал большой
бассейн для омовения священнослужителей под названием «медного моря»:
Нетрудно подсчитать, что в данном случае используется
приближение для числа π=30/10 = 3.
Академик Российской академии образования профессор Г. Глейзер
сравнительно недавно исследовал первоисточник процитированного выше текста. И
вот к каким удивительным выводам пришел (поистине: удивительное рядом, только
не нужно закрывать на него, глаза!)
В оригинальном тексте Ветхого завета слово линия (снурок)
имеет два значения. Рядом с этим словом приписана буква ГЕЙ, про которую
инструкция на полях указывает, что эта буква не произносится. Древним иудеям
было свойственно придавать буквам ивритского алфавита определенные числовые
значения. Если подсчитать сумму значений букв удлиненного слова (с буквой ГЕЙ),
и укороченного (без этой буквы), то отношение двух полученных чисел оказывается
равным 111\106=1,0471698 ... Профессор Г. Глейзер предполагает, что упоминаемую
в тексте длину снурка 30 локтей нужно умножить на этот коэффициент, тогда более
точное значение длины окружности «литого моря» окажется равным 31,415094...
Соответственно этому новому значению длины снурка получаем π = 3,1415094..., что совпадает с точным значением π = 3,141592... в первых четырех знаках. Это дало повод профессору
Г. Глейзеру выдвинуть сенсационную гипотезу: еще в Древнем мире времен царя
Соломона знали о числе π с точностью до 4-5
знаков.
В дошедших до нас с незапамятных времен математических
текстах встречаются приближения для числа π различной точности. Все
их можно охарактеризовать одной фразой: значение для π есть, но из каких соображений оно было получено - неизвестно.
Скорее всего, древние тщательно анализировали и сопоставляли результаты
измерений окружающих их предметов. Любой здравомыслящий человек, столкнувшись с
практической проблемой измерения длины окружности, может предложить множество
способов, как это сделать: «померить» окружность ниточкой, «обкатать» ее
линейкой или, наоборот, «прокатить» окружность вдоль линейки. В этой связи не
вызывает удивления способ средневекового магистра Франкона из Льежа, который
догадался сравнивать площади круга и квадрата взвешиванием фигур на весах.
Опыт, практика, эмпирические данные играют важную роль в осмыслении
закономерности окружающего мира и помогают выдвигать гипотезы, относящиеся к
миру идей и абстракций - миру математики. Ниже приводятся некоторые сведения о
найденных древними математиками приближениях для числа π. Происхождение их неизвестно.
Любопытно, что живший в раннехристианскую эпоху римский
архитектор Витрувий пользовался достаточно грубым приближением для числа π. Он проектировал внушительных размеров Римский театр и даже
разрабатывал проекты городов. Но точность 3⅛ для числа π его вполне удовлетворила!
В приведенной выше таблице обнаруживаются и удивительно
точные значения. Результат китайского математика и астронома Цзу Чун-чжи
отличается от точного значения π= 3,14159265... лишь в
седьмом знаке после запятой! Очень долго (вплоть до реформ Петра-I)
математическая мысль России находилась в глубоком летаргическом сне. В одной из
берестяных грамот XVII века «Чта какое место по округе ведать вдоль и поперег»
мы находим различные приближенные способы определения площадей круглых полей.
Например, для решения задачи: «Было поле кругом 1 488 сажен. И ты скажи: что в
том будет четвероугольном сажен и что вереди круга в дол и поперег до окольной
меры мерою» предлагается такой рецепт: «... возьми меры, что кругом ево будет
сажен и ту окружную меру раздели на четыре части; а четвертым паем таковожь
число умножь: столько в том поле четвероугольных сажен будет, единую сажен не
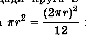
поте-ряешь.» В нашей символике этот рецепт можно записать в виде формулы:
Французскому математику Франсуа Виету (1540-1603) удалось
выразить число π бесконечным произведением
радикалов:

При выводе своей формулы Виет исходил из следующего свойства
правильных вписанных в круг единичного радиуса многоугольников:
где Sk, S2k -площади правильных вписанных в
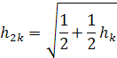
круг единичного радиуса k -угольника и 2k -угольника; hk -апофема
k-угольника. Отсюда
Между апофемами h2k и hk правильных
вписанных в круг единичного радиуса 2k- и k-угольника существует следующая
связь:
Ее можно получить из соотношения

между апофемой h и стороной a правильного вписанного в круг
единичного радиуса многоугольника. Поскольку 
, то из предыдущего равенства получаем:

;

и т.д.
Список литературы
http://www.hrono.ru/biograf/bio_we/viet.html