Методы математической физики (линейные и нелинейные уравнения физики)
Вступление
В этой курсовой работе мы
познакомимся с уравнением Бесселя и его применением в уравнениях математической
физики. Функции Бесселя впервые были определены швейцарским математиком
Даниилом Бернулли, а названы в честь Фридриха Бесселя.
1. Фридрих Вильгельм
Бессель
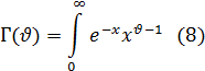
немецкий математик и астроном XIX
века. Родился 22 июля 1784 в Миндене. Самостоятельно изучал математику и
астрономию, в 1804 вычислил орбиту кометы Галлея. В 1806 стал ассистентом
крупного астронома И. Шрётера в Лилиентале, вскоре приобрел репутацию видного
астронома-наблюдателя и вычислителя-математика. В этом качестве в 1810 был
приглашен в Кёнигсбергский университет для организации обсерватории, директором
которой оставался до конца жизни. Полагая, что в результаты наблюдений необходимо
вносить поправки, учитывающие наличие самых незначительных факторов, Бессель
разработал математические методы коррекции результатов наблюдений. Первой
работой в этом направлении стала корректировка положений звезд в каталоге,
составленном в 18 в. английским астрономом Дж. Брадлеем. В дальнейшем Бессель
сам вел наблюдения за звездами; в 1821-1833 он определил положение более 75
тыс. звезд и составил обширные каталоги, которые легли в основу современных
знаний о звездном небе.
Бессель одним из первых измерил
параллаксы звезд и расстояние до них. В 1838 определил расстояние до двойной
звезды 61 Лебедя, оказавшейся одной из самых близких к Солнечной системе.
Наблюдая в течение ряда лет яркие звезды Сириус и Процион, Бессель обнаружил в
их траектории такие особенности, которые можно было объяснить только наличием
спутников. Эти предположения впоследствии подтвердились: в 1862 был обнаружен
спутник Сириуса, а в 1896 - спутник Проциона. Известны работы Бесселя в области
геодезии (определение длины секундного маятника, изобретение базисного
прибора).
Уравнение Бесселя возникает во время
нахождения решений уравнения Лапласа и уравнения Гельмгольца в цилиндрических и
сферических координатах. Поэтому функции Бесселя применяются при решении многих
задач о распространении волн, статических потенциалах и т.п., например:
· электромагнитные
волны в цилиндрическом волноводе;
· теплопроводность в
цилиндрических объектах;
Функции Бесселя применяются и в
решении других задач, например, при обработке сигналов.
.
Уравнение Бесселя
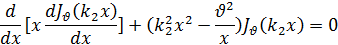
При решении многих
задач математической физики приходят к линейному дифференциальному уравнению:

(1)
где 
- постоянная. Это
уравнение встречается также во многих вопросах физики, механики, астрономии и
т.п. Уравнение (1) называется уравнением Бесселя. Так как уравнение (1)
имеет особую точку x = 0, то его частное
решение следует искать в виде обобщенного степенного ряда:
Подставляя ряд (2) в
уравнение (1), получим
(3)
Приравнивая нулю
коэффициенты при различных степенях x,
будем иметь:

Из первого равенства
находим два значения для р: p1=
и p2=-
Если мы возьмем первый
корень р = 
, то из формул (5) и (6)
получим:
Отсюда следует, что a2k+1=0
(k=2, 3, 4,…), а коэффициенты с четными индексами определяются,
очевидно, по формулам:
Из которых ясно, что
общее выражение для коэффициентов имеет такой вид:
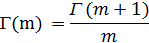
Что касается
коэффициента a0, который был до сих пор совершенно произвольным, то выберем его
таким образом:
где Г (
) - гамма-функция,
которая определяется для всех положительных значений 
(а также для всех
комплексных значений с положительной вещественной частью) следующим образом:
При таком выборе а0
коэффициент а2k
может быть записан в виде:
Это выражение может быть
упрощено, если воспользоваться одним из основных свойств гамма-функции. Для
этого проинтегрируем правую часть равенства (8) по частям; тогда получим
следующую основную формулу:
Отметим, что формула
(10) дает возможность определить гамма-функцию для отрицательных значений 
, а также и для всех
комплексных значений.
Пусть k - некоторое целое положительное число. Применяя несколько раз
формулу (10), получим
Полагая в этой формуле 
= 0, найдем, в силу
равенства
другое важное свойство
гамма-функции, выражаемое
Г (k+1) = k! (12)
бессель уравнение функция
ортогональность
С помощью формулы
(11) выражение (9) для коэффициента а2k примет следующий вид:
Внося найденные значения
коэффициентов а2k+1
и а2k
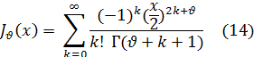
в ряд (2), получим частное решение уравнения (1). Это решение носит название
функции Бесселя 1-го рода 
- го порядка и
обозначается обычно через JV
(x).
Таким образом,
Ряд (14) сходится
при любом значении x, в чем нетрудно убедиться, применяя признак Даламбера.
Используя второй корень p2 =-
, можно построить второе
частное решение уравнения (1). Оно может быть получено, очевидно, из решения
(14) простой заменой 
на -
, так как уравнение (1)
содержит только 
2
и не меняется при замене 
на -
:
Если 
не равно целому числу,
то частные решения JV (x)
и J-V (x). уравнения Бесселя (1) будут линейно
независимыми, так как разложения, стоящие в правых частях формул (14) и (15),
начинаются с разных степеней х. Если же 
есть целое
положительное число n, то в этом случае легко
обнаружить линейную зависимость решений Jn(x)
и J-n(x).
Действительно, при целом 
для к = 0, 1, 2,…, n- 1 величина -
+k+1 принимает целые отрицательные значения или нуль. Для этих
значений k: Г(-
+k+1)=
, что следует из
формулы:
Таким образом, первые n членов в разложении (15) обратятся в нуль и мы получим
или, положив k= n + l, получим
т.е.
Отсюда следует, что при
целом n функции Jn(x)
и J-n(x)
линейно зависимы.
Для того чтобы найти
общее решение уравнения (1), когда 
равно целому числу n, необходимо найти второе, линейно-независимое от JV (x), частное решение. Для этого введем новую функцию Yv (х), положив
Очевидно, что эта
функция также является решением уравнения (1), так как она представляет собою
линейную комбинацию частных решений JV
(x) и
J-V
(x) этого уравнения. Затем нетрудно убедиться, на основании соотношения
(16), что при 
, равном целому числу n, правая часть равенства (17) принимает неопределенный вид 
. Если раскрыть эту
неопределенность по правилу Лопиталя, то в результате ряда выкладок (которые
ввиду их сложности здесь не воспроизводятся) получим следующее представление
функции Yn(x) при целом положительном n:
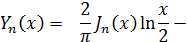
В частном случае, при n = 0, функция Yo(х)
представляется таким образом:
Введенная здесь функция Yv (х)
называется функцией Бесселя 2-го рода 
- го порядка или
функцией Вебера.
Функции JV (x) и Yv (х), очевидно, линейно независимы, следовательно, эти функции при
всяком 
- дробном или целом -
образуют фундаментальную систему решений. Отсюда вытекает, что общее решение
уравнения (1) может быть представлено в виде
где С1 и С2
- произвольные постоянные.
3. Частные случаи
уравнения Бесселя
В математической физике
наиболее часто встречаются функции Бесселя

где п-целое число.
Первые две из этих функций
представляются следующими рядами:
Для них имеются
подробные таблицы. Графики функций J0(x), J1(x) и У0(x)
приведены на рис. 1 и 2.
Рис. 1 Рис.
2
Из формулы (23) видно,
что вычисление функций J2(x), J3(x) и т.д. сводится к вычислению соответствующих значении функций J0(x) и J1(x).
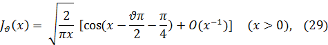
Обратимся теперь к
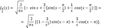
функции Jn+1/2 (x), где n
- целое число.
Найдем прежде всего
значения функций J1/2 (x) и J-1/2 (x), для чего обратимся к разложению (14); из него видно,
что
Но из формулы (11)
непосредственно вытекает, что
Таким образом,
Последняя сумма
представляет собой разложение sin x в степенной ряд, вследствие чего
Аналогично, из
разложения (15) вытекает, что
Если теперь
воспользоваться формулой (23), то нетрудно видеть, что
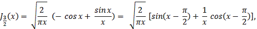
Вообще, функция
Бесселя Jn+1/2 (x) при целом n выражается через элементарные
функции, а именно:
где Рn (1/x) - многочлен степени n относительно 1/x, а
Qn-1 (1/x) - многочлен степени n-1, причем Pn(0) = 1, 0n-1(0)=0. Отсюда следует, что при больших значениях х имеет место
асимптотическое представление функции Бесселя:
где через О(x-1) обозначена величина порядка 1/x.
Отметим, что
асимптотическая формула (29) справедлива не только при 
=n+1/2, но и при всех значениях 
.
4. Ортогональность
функций Бесселя и их корни
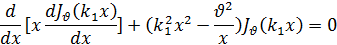
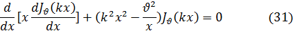
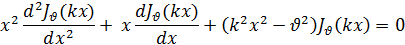
Рассмотрим уравнение
где k - некоторая постоянная, отличная от нуля.
Введем вместо x новую независимую переменную t
= kx. Тогда уравнение (30) преобразуется в такое:
а это есть уравнение
Бесселя. Следовательно, функция y=Jv (kx) будет решением уравнения
которое разделив на x, можем написать в виде
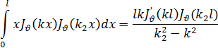
Возьмем два различных
значения k и напишем соответствующие дифференциальные уравнения:
Умножая первое из этих
равенств на Jv (k2 x), а второе - на Jv (k1 x) и вычитая одно из другого, после несложных преобразований
получим:
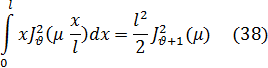
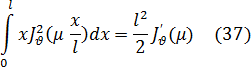
Если теперь
воспользоваться формулой (14), то нетрудно убедиться, что выражение, стоящее
здесь в квадратных скобках, может быть разложено по степеням x, причем наинизшая степень х будет х2(v+1). Отсюда ясно, что это выражение будет обращаться в нуль при х =
0, если 
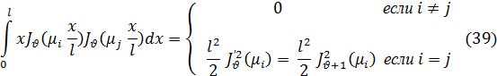
> -1. Приняв это во
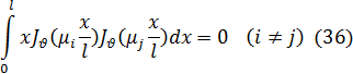
внимание, проинтегрируем равенство (32) по некоторому конечному промежутку (0, l); тогда получим
где через (')
обозначается, как обычно, дифференцирование по аргументу. При l = 1 эта формула принимает вид:
Покажем теперь, что при 
>-1 функция Бесселя JV(x) не может иметь комплексных корней. Допустим, что она имеет
такой корень а+ib, причем а
. В разложении (14) все
коэффициенты разложения вещественны и, следовательно, функция J1(x) кроме корня a+ib должна иметь и сопряженный корень a-ib. Обратимся к формуле (34) и положим k1=a+ib и k2=a+ib; при этом k12≠k22 и формула дает
Величины JV(k1x) и JV(k2x) будут комплексно сопряженными, следовательно, в предыдущей
формуле под знаком интеграла стоит положительная величина и эта формула не
может иметь места.
Функция Бесселя Jv(x) не может иметь и чисто мнимых
корней. Действительно, подставив ± ib
в формулу (14), получим разложение, содержащее только положительные члены:
так как, согласно
формуле (8), гамма-функция Г(x)
принимает положительные значения при х > 0.
Покажем теперь, что
функция Jv(x) имеет вещественные корни. Для
этого обратимся к асимптотическому разложению функции Бесселя (29):
Из этой формулы видно,
что при беспредельном удалении x:
вдоль положительной части оси Ох второе слагаемое в квадратных скобках
стремится к нулю, а первое - бесчисленное множество раз изменяется от -1 к +1.
Отсюда непосредственно вытекает, что функция Jv(x)
имеет бесчисленное множество вещественных корней.
Таким образом, приходим
к следующему результату: если
> -1, то функция Jv(x) имеет все корни вещественные.
Заметим, кроме того, что
из разложения (14), содержащего только четные степени, непосредственно
вытекает, что корни Jv(x)
будут попарно одинаковыми по абсолютной величине и обратными по знаку, так что
достаточно рассматривать только положительные корни.
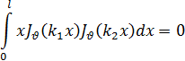
Пусть k1=
, k2=
, где µi и µl-два
различных положительных корня уравнения.
Тогда формула (33) дает
непосредственно следующее свойство ортогональности функций Бесселя:

При k2 - >правая часть этого равенства становится
неопределенной так как числитель и знаменатель стремятся к нулю. Раскрыв эту
неопределенность по правилу Лопиталя, получим
Положив в формуле (22)
х=µ и приняв во внимание, что есть корень уравнения (35), получим
и формулу (37) можно
записать еще следующим образом:
Таким образом, мы имеем
(
> -1)
где µi и µj-положительные
корни уравнения JV(x)=0.
Рассмотрим теперь более
общее уравнение
где α
и β-заданные вещественные числа.
5. Применение теории
функций Бесселя к анализу скин-эффекта
Переменный ток в
отличие от постоянного не распределяется равномерно по сечению проводника, а
имеет большую плотность у его поверхности. Это явление называют скин-эффектом
(по-английски skin - кожа).
Рассмотрим, для
простоты, бесконечный однородный цилиндрический провод (
) по которому течет
переменный ток. Будем предполагать, что полный ток I=
I0eiwt,
протекающий через сечение провода, известен.
Пренебрегая токами
смешения по сравнению с током проводимости и считая процесс установившимся,
т.е. зависящим от времени по закону eiwt,
получим, после сокращения на множитель eiwt,
уравнения Максвелла в виде:

(1)

(2)

(3)

(4)
где 
. Уравнения (3) и (4) в
данном случае, очевидно, следуют из уравнений (1) и (2).
Введем цилиндрическую систему
координат (
) так, чтобы ось z совпадала с осью провода. Тогда в силу осевой симметрии тока все
величины можно считать зависящими только от переменной r.
Так как в нашем случае вектор
Е направлен вдоль оси z,
то из уравнений (1) и (2) будем иметь:
Исключая отсюда H
, найдем:
Введем граничное условие
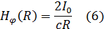
на поверхности провода при r=R. Для этого воспользуемся тем, что нам известен полный ток I0, протекающий по цилиндру.
Запишем первое уравнение
Максвелла (1) в интегральной форме:
где С - контур, охватывающий провод,
Нs - тангенциальная составляющая вектора H на С. Если в качестве
такого контура взять окружность r=R, то получим:
или
Отсюда, пользуясь
соотношением (2), находим:
Таким образом, мы
должны решить уравнение Бесселя:
при граничном
условии -
и условии ограниченности
при r = 0: 
Общее решение уравнения
(5') имеет вид:
где J0 и N0
- функции Бесселя первого и второго рода, А и В - постоянные, подлежащие
определению.
Функция N0 имеет логарифмическую особенность при r=0.
Поэтому в силу условия (8) B=
0 и, следовательно,
Коэффициент A определим из граничного условия (7):
Отсюда для плотности
тока получаем:
В правой части этой
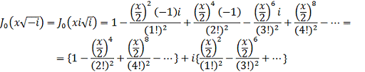
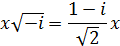
формулы стоят функции Бесселя от комплексного аргумента:
Обычно пользуются
для этих функций следующими обозначениями:
Нетрудно найти
выражения для вещественных функций ber x и bei x, пользуясь разложением функций Бесселя в ряд. Например,
откуда получаем:
Нетрудно убедиться
подобным же образом, что
В приложениях
встречаются также производные: ber0' x и bei0' x причем
Пользуясь введенными функциями,
выражение (12) для тока можно записать в виде:
или
Вычисляя абсолютную
величину этого выражения, получим:
Величиной,
характеризующей распределение тока по сечению, является отношение:
Так же отмечу, что
скин-эффект широко используется на практике для закалки металлов.
Заключение
В данной курсовой работе рассмотрено
уравнение Ф.В. Бесселем, относительно его применения в таких науки как
математика, физика, астрономия и др.
Доказали такие важные свойства
уравнения Бесселя как
Применили данное уравнение к такому
физическому процессу как скин-эффект.
Список литературы
1. Агошков В.И., Дубовский П.Б., Шутяев В.П. Методы решения
задач математической физики / Под ред. Г.И. Марчука: Учеб. пособие. - М.:
ФИЗМАТЛИТ, 2002. - 320 с.
2. Будак Б.М., Самарский А.А., Тихонов А.Н. Сборник задач по
математической физике. - 4-е изд., испр. - М.: ФИЗМАТЛИТ, 2003. - 688 с.
. Тихонов А.Н., Самарский А.А. Уравнения математической физики:
Учебник. 7-е изд. / Тихонов А.Н., Самарский А.А. - М.: Изд-во МГУ; Изд-во
«Наука», 2004. - 798 с.
. Шарма Дж.Н., Сингх К. Уравнения в частных производных для
инженеров. М.: - Техносфера, 2002. - 320 с.
5. Араманович И.Г., Левин В.И. Уравнения математической физики.
- М.: Изд-во «Наука», 1964. - 286 с.
6. Бицадзе А.В. Уравнения математической физики: Учебник. -
2-е изд., перераб. и дополненное. - М.: Наука, Главная редакция
физико-математической литературы, 1982. - 336 с.
. Владимиров В.С. Уравнения математической физики. - М.:
Изд-во «Наука», 1967. - 436 с.
. Власова Е.А., Зарубин В.С., Кувыркин Г.Н. Приближенные
методы математической физики: Учеб. для вузов / Под ред. В.С. Зарубина, А.П.
Крищенко. - М.: Изд-во МГТУ им. Н.Э. Баумана, 2001. - 700 с.
. Вазов В., Форсайт Дж. Разностные методы решения
дифференциальных уравнений в частных производных. - М.: Изд-во «Мир», 1963. -
488 с.
. Годунов С.Г. Уравнения математической физики. - М.:
Изд-во «Наука», 1971. - 416 с.
. Джеффрис Г., Свирлс Б. Методы математической физики. -
М.: Изд-во «Мир» Выпуск 1, 1969. - 424 с.
. Джеффрис Г., Свирлс Б. Методы математической физики. -
М.: Изд-во «Мир» Выпуск 2, 1970. - 352 с.
. Джеффрис Г., Свирлс Б. Методы математической физики. -
М.: Изд-во «Мир» Выпуск 3, 1970. - 344 с.
. Зайцев В.Ф., Полянин А.Д. Справочник по дифференциальным
уравнениям с частными производными первого порядка. - М.: ФИЗМАТЛИТ, 2003. -
416 с.
. Кошляков Н.С., Глинер Э.Б., Смирнов М.М. Дифференциальные
уравнения математической физики. - М.: Выс.школа, 1962. - 767 с.
. Кузнецов А.В. Методы математической физики: Учеб. пособие
/ Яросл. гос. ун-т. Ярославль, 2004. - 200 с.
. Курант Р., Гильберт Д. Методы математической физики. -
М.: ОГИЗ Том 1, 1933. - 525 с.
. Полянин А.Д. Справочник по линейным уравнениям
математической физики. - М.: ФИЗМАТЛИТ, 2001. - 576 с.
. Прямые и обратные задачи математической физики: Сборник /
Под ред. А.Н. Тихонова, А.А. Самарского. - М.: Изд-во Моск. Ун-та, 1991. - 258
с.
. Сабитов К.Б. Уравнения математической физики: Учеб. пособие
для вузов. - М.: Высш. шк., 2003. - 255 с.
. Уроев В.М. Уравнения математической физики. - М., В.
Секачев, ИФ «Яуза», 1998. - 373 с.