Дифференциальные включения
Дифференциальные
включения
Введение
Курсовая
работа посвящена изучению теории дифференциальных включений. Дифференциальные
включения - разновидность дифференциальных уравнений с многозначной правой
частью, которые являются обобщением обыкновенных дифференциальных уравнений.
Дифференциальные включения моделируют процессы состояний которые в каждый
момент времени описываются некоторым множеством в 
Совокупность
этих множеств образует многозначную траекторию процесса.
Рассмотрим
управляемую систему

(1)
Каждое
конкретное управление порождает свою траекторию, тогда совокупность всех
траекторий порождаемых всеми допустимыми управлениями можно объединить.
Подставим
в (1) вместо u всё множество, тогда получим

.
Таким
образом из (1) получаем включение 
.
Представленное
преобразование уравнения управляемого движения говорит об очевидной
актуальности изучения дифференциальных включений для систем управления. Для
исследования дифференциальных включений необходимо изучать свойства
многозначных отображений.
В
курсовой работе рассматриваются вопросы исторического развития теории
дифференциальных включений, вопросы существования и единственности решений.
1. История развития теории дифференциальных включений
дифференциальное включение математика
Первые работы по уравнениям с многозначной правой частью появились в
середине 30х годов у А. Маршо (A. Marchaud)[] и С.К. Зарембы (S.K. Zaremba)[] где
рассматривались вопросы существования решений и изучались некоторые свойства
множества всех решений. Это были уравнения в контингенциях и паратингенциях.
Авторы расширили понятия производной - ввели соответственно контингентную и
паратингентную производные.
После работ Маршо и Зарембы дифференциальные включения в течении 25 лет
не было публикаций по дифференциальным включениям, кроме двух работ А.Д.
Мышкиса []. Это объясняется тем, что в то время дифференциальные включения не
имели практической реализации в приложениях.
Новые работы по дифференциальным включениям появились в конце 50х, начале
60х годов. В то время активно исследовались задачи теории управления,
рассматривались различные математический модели для описания управляемых
систем, разрабатывались методы решения задач управления и анализа свойств
решений.
Особо следует выделить работы Т. Важевского [] и А.Ф. Филиппова [] в
которых были получены принципиальные результаты по существованию и свойствам
решений дифференциальных уравнений с многозначной правой частью (
дифференциальных включений ).
(1)
Важным
является установление связи между дифференциальными включениями и дифференциальными
уравнениями, описывающими поведение управляемых объектов. Эту связь установил
А.Ф. Филиппов в лемме о неявных функциях []. Уравнения движения объекта
управления обычно записывается в виде дифференциального уравнения

, (2)
где
- вектор управления.
Очевидно,
что уравнение управляемого движения (2) можно интерпретировать как выбор
вектора скорости из множества
т.е.
рассматривать дифференциальное включение (3).
Наличие
установленной связи между управляемыми системами и дифференциальными
включениями позволяло сводить задачи отыскания оптимального управления к
задачам отыскания оптимального решения соответствующего дифференциального
включения.
В
работах Т. Важевского (T. Wazevski) и его учеников было проведено фундаментальное
исследование решений дифференциальных включений: вопросы взаимосвязи между
различными понятиями решений дифференциального включения, существования
глобальных решений, компактности и связности сечений интегральной воронки
дифференциального включения.
Следует
заметить, что все эти свойства были установлены для дифференциального включения
с выпуклой правой частью. На первоначальном этапе изучения дифференциальных
включений центральным вопросом была взаимосвязь определений решения,
дифференциального включения в смысле А. Маршо и С.К. Зарембы с естественным
определением решения, а также вопросы существования и свойств всех решений
дифференциального включения.
Обобщения
полученных результатов на случай выпуклых правых частей являлось проблематичным
в силу наличия трудностей принципиального характера, прежде всего связанных с
обоснованием существования решения.
Только
в конце 70х годов А.Ф. Филиппову удалось доказать теорему существования
локальных решений дифференциальных включений с невыпуклой правой частью.
Затем
появились работы Качинского и Олеха (C. Olech),
Антосевича и Челлини касающихся так же теорем существования дифференциальных
включений с невыпуклой правой частью.
2.Элементы многозначного анализа
.1 Операции над множествами
Пусть
-
- мерное
евклидово векторное пространство с элементами
Пространство
является линейным пространством с обычными операциями
сложения векторов, умножения вектора на число и скалярным произведением
а также нормированным пространством с нормой
.
Рассмотрим
пространство
, состоящее из всех непустых компактных подмножеств
пространства
Определение
1. Алгебраической суммой или просто суммой двух множеств
и
из пространства
называется множество
Сумма
+
двух множеств
и
из пространства
является
также Элементом пространства
Кроме
того, если множества
,
выпуклы, то их алгебраическая сумма
+
также будет выпуклым множеством.
Если
множество
состоит из единственной точки, то есть
, то множество
получается
параллельным сдвигом множества
на
вектор
.
Пусть
шар радиуса
с
центром в точке
то есть
Тогда
то
есть при сложении двух шаров их радиусы суммируются и векторы, задающее центры
шаров, также суммируется.
Из
этой формулы при
мы получаем, что
Операция
алгебраической суммы для любых множеств
удовлетворяет
следующим свойствам:
)
коммутативности
)
ассоциативности
)
существует нулевой элемент
:
Следует
отметить, что если множество
состоит
более чем из одной точки, то у такого множества нет обратного элемента
относительно введенной операции суммы множеств, то есть не существует такое
множество
что
Если же
то
Определение
2. Произведением множества
на число
называется множество
Произведение
на произвольное число
является
элементом пространства
Кроме того, если множество
выпуклое, то и множество
также выпуклое.
При
умножении шара радиуса
с центром в a на число
радиус шара умножается на
а центр - на
то есть
Таким
образом, учитывая формулу , имеем
Непосредственно
проверяется, что для любых чисел
и любых
двух множеств
выполняются следующие свойства:
)
)
)
Пространство
не является линейным пространством с введенными
операциями алгебраической суммы двух множеств и умножения множества не число
хотя бы потому, что не у каждого элемента
есть
обратный элемент
Кроме того, не всегда выполняется необходимый для
линейности закон дистрибутивности, то есть не всегда выполняется равенство:
Вместо
равенства в формуле справедливо лишь одностороннее включение
Оказывается,
что если
и множество
выпукло,
то формула в этом случае справедлива.
Пусть
и в пространстве
задано
линейное преобразование с помощью матрицы
(с
действительными элементами) размером
.
Определение
3. Образом множества
при линейном преобразовании, задаваемом матрицей
, называется множество
Легко
проверить, что образ множества
при
линейном преобразовании также является элементом пространства
Кроме того, если множество
выпуклое, то и множество
также выпукло.
.2 Опорная функция и ее основные свойства
Определение
4. Пусть задано некоторое множество
Опорной
функцией множества
называется скалярная функция
векторного аргумента
определяемая
условием
Множество
также считается одним из аргументов функции
. Зафиксируем множество
. Функция
как функция аргумента
отображает
пространство
в числовую ось
Максимум
в правой части равенства достигается, так как скалярное произведение
непрерывно по
а множество
компактно.
Пусть
некоторый фиксированный вектор, а
один из векторов множества
, на котором достигается максимум в определении
опорной функции для вектора
, то есть
выполняется равенство
В
этом случае вектор
называется опорным вектором к множеству
в точке
, а
совокупность
всех векторов
,
удовлетворяющих равенству , называется опорным множеством к множеству
в направлении вектора
.
Гиперплоскость
в пространстве
определяемая
соотношением
называется
опорной гиперплоскостью к множеству
в
направлении вектора
Для
опорного множества
справедливо представление
Гиперплоскость
разбивает все пространство
на два полупространства
и
Множество
лежит в отрицательном полупространстве
относительно вектора
, так как
для всех точек
выполняется неравенство
Свойства опорных функций
1.
Опорная функция
положительно однородна, то есть
для
любого вектора
и любого числа
. В
частности,
.
.
Для любых двух векторов
опорная функция удовлетворяет неравенству
Следствие
1. Опорная функция
является выпуклой.
.
Пусть
Тогда опорная функция
суммы
равняется сумме двух опорных функций
и
, то есть
4.
Пусть
- матрица размером
, а
Тогда
где
матрица, транспонированная к матрице А.
.
Пусть
a
произвольное
число. Тогда
Следствие
2. Опорная функция
положительно однородна по первому аргументу
, то есть
для
любого числа
.
.
Пусть
Если выполняется включение
, то для любого вектора
справедливо
неравенство
Следствие
3. Пусть
Если точка
принадлежит
множеству
, то для любого вектора
выполняется
неравенство
.
Пусть
Тогда опорные функции множеств
и
совпадают,
то есть
.
Пусть заданы множество
и его опорная функция
. Тогда
выпуклая оболочка
множества
представляется
в виде
Здесь
и далее S - единичная сфера с центром в начале координат.
9. Пусть
Если для любого вектора
выполняется неравенство
то
точка
принадлежит выпуклой оболочке
множества
Следствие
4. Пусть множество
В таком случае точка
принадлежит
множеству
тогда и только тогда, когда неравенство выполняется
для любого вектора
.
.
Пусть
Если для любого вектора
выполняется неравенство
то справедливо включение GÌ coF.
Следствие
5. Пусть
и множество
выпукло.
Тогда включение
справедливо тогда и только тогда, когда для любого
вектора
выполняется неравенство (8).
.
Пусть
Если множества
и
равны, то их опорные функции совпадают. Наоборот,
если их опорные функции совпадают, то
Следствие
6. Множества
равны тогда и только тогда, когда их опорные функции
совпадают. Таким образом, множество
можно
однозначно восстановить по его опорной функции
.
.
Пусть
. Если множества
и
пересекаются, то есть
, то для
любого вектора
выполняется неравенство
Наоборот,
если выполняется соотношение для любого вектора
, то
Следствие
7. Два множества
пересекаются тогда и только тогда, когда неравенство
выполняется для любого вектора
.
.
Опорная функция
для любых двух множеств
и любых двух векторов
удовлетворяет
неравенству
Следствие
8. Опорная функция
непрерывна по совокупности переменных
в любой точке
и,
следовательно, непрерывна по каждой из переменных
в отдельности.
.
Пусть
Если точка
является
внутренней точкой множества
, то для
любого вектора
выполняется неравенство
Наоборот,
если соотношение выполняется для любого вектора
, то
Следствие
9. Точка
принадлежит внутренности множества 
тогда и
только тогда, когда неравенство справедливо для любого вектора
.
.
Пусть заданы два множества
Тогда
справедливо соотношение
Следствие
10. Для множеств
справедливо равенство
Заметим,
что если множества
не являются выпуклыми, то в формуле может быть
строгое неравенство.
Многозначные отображения. Интеграл Ауманна
Определение
5. Многозначным отображением будем называть произвольную функцию
то есть функцию, аргументом которой является время
а значениями - элементы пространства
то есть непустые компактные множества из
Так
как пространства
и
метрические,
то можно говорить о непрерывности многозначного отображения.
Определение
6. Многозначное отображение
непрерывно
в точке
если для любого
существует
такое, что при всех
удовлетворяющих
условию
справедливо неравенство
По
определению расстояния по Хаусдорфу это означает, что многозначное отображение
непрерывно в точке
если для
любого
существует
такое,
что при всех
удовлетворяющих условию
выполняются одновременно следующие два включения
В
случае, когда выполняется лишь первое включение, многозначное отображение
называется полунепрерывным сверху в точке
Если же выполняется второе включение, то многозначное
отображение
называется полунепрерывным снизу в точке
Таким образом, многозначное отображение
непрерывно в точке
тогда и только
тогда, когда оно полунепрерывно сверху и снизу в данной точке.
Определение
7. Многозначное отображение
назовем
непрерывным на отрезке
, если оно непрерывно в каждой точке этого отрезка.
Теорема
1 [Благодатских]. Пусть
непрерывное многозначное отображение. Тогда опорная
функция
непрерывна по
при
каждом фиксированном значении
Наоборот,
если функция
непрерывна по
при
каждом фиксированном значении
то
многозначное отображение
непрерывно.
Следствие
11. Многозначное отображение
непрерывно
тогда и только тогда, когда опорная функция
непрерывна
по
при каждом фиксированном значении
Определение
8. Многозначное отображение
назовем
измеримым на отрезке
если его опорная функция
измерима по
на
отрезке
для каждого фиксированного вектора
Такое
определение измеримости является очень общим, и широкий класс отображений
измерим в указанном смысле. Обычно в литературе по
многозначным отображениям измеримость определяют для более узкого класса
отображений
Поскольку по опорной функции
можно восстановить лишь выпуклую оболочку
данное определение измеримости накладывает
ограничение на поведение лишь многозначного отображения
и никак не отражает того, что происходит с той частью
множества
которая лежит внутри
Тем не менее
все приводимые ниже результаты справедливы для многозначных отображений
измеримых в указанном смысле.
Любое
непрерывное многозначное отображение
измеримо,
поскольку его опорная функция
непрерывна
по
при каждом фиксированном
и, следовательно, измерима.
Определение
9. Функция
называется однозначной ветвью многозначного
отображения
если при всех
выполняется
включение
Ясно,
что однозначная ветвь
всегда существует, поскольку множество
непусто при всех
Теорема
2 (теорема А.Ф.Филиппова) [ ]. Если многозначное отображение
измеримо, то у него существует измеримая однозначная
ветвь
Пусть
заданы отрезок времени
и некоторое отображение 
Здесь
в правой части интеграл Лебега берется по всем однозначным ветвям отображения
для которых он существует. Ясно, что
является подмножеством пространства
Теорема
3 (теорема А.А. Ляпунова) [ ]. Пусть многозначное отображение
измеримо на отрезке
и
где
суммируема
на
Тогда интеграл от этого многозначного отображения
является непустым выпуклым компактным множеством в пространстве
то есть
Следствие
12. Пусть многозначное отображение
непрерывно
на отрезке
Тогда
Теорема
4 [Благодатских]. Пусть многозначное отображение
измеримо
на отрезке
и
где
суммируема на
Тогда
имеет место равенство
Следствие
4. Пусть многозначное отображение
непрерывно
на отрезке
Тогда имеет место равенство .
С
помощью данной теоремы можно довольно просто находить интегралы от многозначных
отображений
Действительно, для этого достаточно в соответствии с
формулой построить опорную функцию
проинтегрировать
уже однозначную функцию
по
при
каждом значении
а затем восстановить по полученной опорной функции
непустое выпуклое компактное множество
Заметим,
что для восстановления выпуклого множества
достаточно
подобрать такое множество
, чтобы его опорная функция
совпадала с
Тогда
согласно следствию 6 из свойства 11 опорных функций
3.Дифференциальные включения
.1 Уравнения в паратингенциях и контингенциях
Паратингенцией функции
в точке
будем называть множество
Контингенцией функции
в точке
будем называть множество
Пример.
Пусть 
, тогда 
.
Рассматривая
уравнения с многозначной правой частью, С.Заремба ввел понятие
дифференциального уравнения в паратингенциях

(3.1.1.)
а
А. Маршо - понятие дифференциального уравнения в контингенциях

(3.1.2.)
где

-
многозначное отображение.
3.2 Понятия решения ДВ: обычные, обощенные и R-решения
Теоремы

Примеры.
Определение
Непрерывная функция 
,
называется решением дифференциального уравнения в паратингенциях
(контингенциях), если включение (3.1.1.) (соответственно (3.1.2.)) справедливо
для всех 
.
Ниже
Определение
Абсолютно непрерывная функция 
называется
обычным решением дифференциального включения (3), если

(3.2.1.)
почти
всюду на отрезке 
Теоремы
существования обычных дифференциальных включений
Дифференциальное
включение 
с
начальным условием 
-
существует, если выполняется одно из следующих условий:

-непрерывно
и 
-непустое
замкнутое подмножество для всех

)
-
измеримо
Для
почти всех t, для каждой точки х, 
имеет
замкнутый график и 
-
выпукло или 
в
некоторой окрестности х полунепрерывно снизу
Функция

-
локально интегрально ограничена, т.е. для каждого ограниченного подмножества 
существует
функция 
такая,
что 
для 
)
-
измеримо.
Для
каждого t, 
имееет
замкнутый график и в каждой точке х, для которой 
невыпукло,

-
полунепрерывно снизу.

- локально
слабо интегрально ограничено, т.е. для каждого 
, 
- слабо
интегрально ограничено для 
c
функцией 
.
При
выполнении одного из данных предположений, будет существовать хотя бы одно
обычное решение включения 
на
некотором сегменте 
.
Если
же в 3ем предположении заменить последнее условие на более жесткое:

- слабо
интегрально ограничено, т.е. существуют 
такая,
что для почти всех t и x 
, то
обычное решение дифференциального включения (3) будет существовать на всём 
.
Теорема
Пусть 
полунепрерывно
сверху по 
на 
Тогда
система соотношений
) 
непрерывна на 
.
) 
всюду на 
.
эквивалентна системе следующих соотношений:
3) 
абсолютно непрерывна на 
.
) 
почти
всюду на 
.
Определение
Непрерывная функция 
называется
решением уравнения (2), если для почти всех 

.
Можно
сделать следующее утверждение: Пусть 
и
)отображение

измеримо
по x при каждом фиксированном х;
)отображение

полунепрерывно
по х при каждом фиксированном t.
Тогда
множество OB(F) совпадает с множеством решений в смысле последнего
определения.
Но
данное утверждение неверно, а указанная в нём эквивалентность не может быть
получена ни при каких условиях, накладываемых на правые части, если решение
уравнения в контингенциях понимается в смысле последнего уравнения. Покажем это
на примере:
Пусть

Обычным
решением включения 
является
единственная функция 
. В
качестве решения уравнения в контингенциях в смысле последнего определения можно
взять, например, функцию 
где 
-
произвольная константа, а 
-
непрерывная монотонно возрастающая функция производная которой почти всюду
равна 0 и 
Построим
такую функцию: Выберем 
,
зададим по индукции последовательность функций 
следующим
образом: положим 
пусть 
определена,
непрерывна и линейна на каждом интервале вида 
, где 

; тогда 
мы
зададим так, чтобы 
равнялось

для 
; в
средних точках указанных интервалов; т.е. при 
,
положим

а
в интервалах 
будем
считать 
линейной.
Определённые таким образом функции 
,
очевидно, возрастают. Далее,

поэтому
последовательность 
сходится
к некоторой неубывающей функции 
.
Докажем, что 
строго
возрастает, непрерывна и

почти
всюду.
Пусть
x - какая-нибудь точка интервала [0,1]. Возьмем
последовательность вложенных интервалов вида 
где

окружающих
точку х. Мы имеем, очевидно,

Так
как 
, то

откуда
получаем

.
Отсюда
следует, что

и
таким
образом, 
-
функция непрерывная и строго возрастающая. Далее, производная 
там, где
она существует, равна пределу выражения

при

; но
такой предел либо не определён, либо бесконечен, либо, наконец, равен 0.
Следовательно 
во всех
точках, где 
существует,
т.е. почти всюду.
Тем
самым данная функция не является абсолютно непрерывной, а значит не является
решением 
, т.е.
эквивалентности решений нет. Очевидно, что данная функция будет решением любого
уравнения в контингенциях в смысле последнего определения при любой правой
части, которая содержит точку 0 при всех 
Так
же очевидно, что 
Определение
Функция 
называется
обобщенным решением включения (3), если 
и
интегральное включение

(6)
справедливо
для всех 
Обозначим
через G(F) множество обобщенных решений включения (3).
Теорема
Пусть 
-
удовлетворяет следующим условиям:
) 
-
измеримо для всех 
;
) 
-
непрерывно для всех 
) 
Тогда OB(F) = G(F).
Следствие
Пусть 
-
многозначное отображение, удовлетворяющее условиям 1)-3) теоремы.
Тогда OB(conv F) = G(F).
Определение
Функция 
называется
квазирасширением дифференциального включения (3), если существует
последовательность функций 
такая,
что
1) 
) 
) 
= x(t), 
) 
Множество квазирешений включения (3) обозначим через Q(F).
Теорема
Пусть 
-
удовлетворяет следующим условиям:
) 
-
измеримо для всех 
;
) 
-
непрерывно для всех 
) 
Тогда

Следствие
При предположениях теоремы имеем:

Определение
Функция 
называется
римановым решением дифференциального включения (3), если 
-
интегрируема по Риману и 
для всех

Обозначим
через Ri(F) множество всех римановых решений.
Определение
Функция 
называется
классическим решением дифференциального включения (3), если 
для всех 
.
Обозначим
множество всех классических решений через KL(F).
Непосредственно
из определения следует, что 
.
Теорема
Пусть многозначное отображение F(t, x) в каждой точке (t, x)
области 
удовлетворяет
следующим условиям: 1)множество F(t, x) - непусто и замкнутое;
)
F(∙,x) - измеримо на D;
)множество
F(t, x) - выпукло;
)
для любого r > 0 при |x - y|
r для
почти всех t имеем

(7)
где
функция 
измерима
по t и непрерывна по х,


.
Пусть
при 
функция 
абсолютно
непрерывна, её график содержится в D, 
и при
почти всех 

где

Тогда
для
найдётся
такое решение 
задачи

, (8)
что

(9)
при
почти всех 

,

- любое
такое, что 
.
Замечание
Если в данной теореме вместо условия 5) выполняется условие Липшица, т.е.
то
от требования 3) можно отказаться, а в (9)
Функция

называется
функцией Камке, если она непрерывна по r, измерима по t, 

для
любого c и при 
единственным
решением задачи 
является
функция 
.
Например, если функция 
суммируема,
то k(t)r - функция Камке 
Теорема
Пусть многозначное отображение 
удовлетворяет
следующим условиям:
)
множество 
непустое
и замкнутое;
)
функция 
суммируема;
)
функция 
измерима
по t при каждом фиксированном x;
)

-
функция Камке.
Тогда каждое решение включения
cначальным
условием 
является
пределом равномерно сходящейся последовательности решений включения (7).
Теорема
Пусть в ограниченной замкнутой области D выполнены
следующие условия:
1) множество F(t,x) - невыпуклое и замкнуто
2) 
) 
-
полунепрерывна сверху на D;
) 
измерим
на D;
) множество

выпукло.
Определение
Многозначная функция 
называется
R-решением, порожденным дифференциальным включением
(7), если при каждом t множество R(t) замкнуто,
функция R(∙) абсолютно непрерывна и для почти всех t
Теорема
Пусть F(x, t) при каждом t, x - выпуклый
компакт и как многозначная функция непрерывна по совокупности переменных. Тогда
существует 
такое,
что на полуинтервале 
существует
R- решение, попрождённое многозначной функцией F(t,x).
Теорема
Пусть F(t,x) удовлетворяет условию Липшица в некоторой
окрестности 
Тогда при
всех 
, для
которых решение 
определено
и 
, оно
единственно. Более того, имеет место непрерывная зависимость решения от
начального множества 
.
Теорема
Пусть 
при 
, где
множество 
открыто
и ограничено и в 
функция F(t,x)
липшецева. Тогда множество R(t) при 
является
множеством достижимости в момент t из 
.
Теорема
Для любого компакта 
существует
R-решение с начальным условием 
.
Интегральная воронка является графиком R-решения R(∙).
Если выполнено условие 5) с функцией Камке 
, то R-
решение с начальным условием 
единственно,
непрерывно зависит от К и его график 
является
интегральной воронкой.
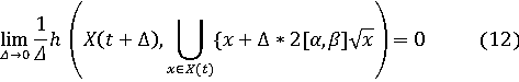
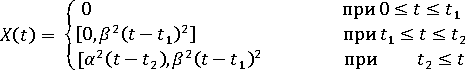
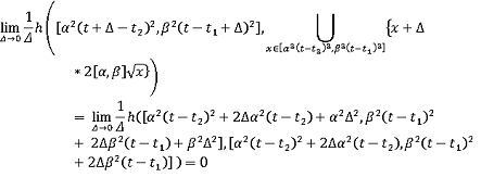
Пример
Пусть

.
При

отображение

не
удовлетворяет условию Липшица.
Пусть

Проверим,
что многозначное отображение
является
R - решением дифференциального включения

,
т.е. удовлетворяет уравнению
При

очевидно,
что 
удовлетворяет
(12).
Пусть

Пусть

При


совпадает
с интегральной воронкой 
.
Все
остальные 
соответствующие
произвольным значениям 
, таковы,
что 
Если

единственно
и совпадает с интегральной воронкой.
Выводы
Таким образом в курсовой работе изучена теория дифференциальных
включений, рассмотрен исторический аспект рассматриваемого объекта, изучены
основы многозначного анализа. Для дифференциальных включений рассмотрены
различные понятия решения: обычные, обобщенные и R-решения, изучены условия существования и единственности этих
решений, рассмотрены примеры.