Свойства и методы синтеза краун-эфиров
Введение
В 1960-е гг. были найдены необычные сольватирующие
растворители, получившие название "краун-эфиры" из-за изящной
коронообразной формы их молекул. Это циклические соединения с чередующимися
атомами кислорода и этиленовыми мостиками. Все атомы кислорода как бы выведены
из плоскости цикла и ориентированы в одну сторону, что очень облегчает их
последующее полярное взаимодействие с катионом металла. Для простоты краун-эфир
обычно изображают в виде плоского цикла, в середине которого находится сольватированный
катион металла:
Наиболее ценное свойство этих соединений следующее:
краун-эфиры, различающиеся величиной цикла, оказываются очень точно
"настроенными" на катион определенного размера и избирательно
сольватируют ион соответствующего металла:
1.
Историческая справка
Открытие и синтез краун-эфиров - одна из наиболее ярких
страниц в развитии органической химии последних десятилетий. Первый из этого
класса макроциклических соединений - дибензо-18-краун-6 - был получен Ч.
Педерсеном (США) в 1967 г. (За открытие нового класса соединений он был
удостоен Нобелевской премии по химии в 1987г.) Педерсен изучал свойства
различных стабилизаторов каучуков, нефтяных масел, резиновых материалов.
Основное назначение этих стабилизаторов заключалось в предотвращении разрушения
антиоксидантов, которое инициировалось присутствием следовых количеств
металлов. Синтезируя дезактиватор катиона ванадия VO2+, Педерсен в качестве
побочного продукта выделил макроцикл, содержащий в цикле 12 углеродных и 6
кислородных атомов. Свою эпохальную работу Педерсен сделал в 1962 году, однако
целых пять лет не спешил публиковаться, а синтезировал всё новые и новые
краун-эфиры.
В полученных учёным соединениях фигурировали несколько атомов
кислорода, связанных мостиками CH2CH2, которые, образуя кольцевую цепь (макроцикл того
или иного размера), могут создавать прочные комплексы с ионами щелочных
металлов.
В общей сложности Педерсен к 1967 году, моменту первой
публикации в журнале Американского химического общества, синтезировал более 60
полиэфиров с числом кислородных атомов от 4 до 20 и размером цикла от 12 - до
60-членного.
Обратив внимание на удивительную способность этих макроциклов
заключать в свою полость катионы металлов - "короновать" их, Педерсен
и предложил соответствующее название этому новому классу веществ - краун -
соединения (от англ. crown - корона).
Варьируя размер цикла, учёный установил, что краун-эфиры
способны избирательно связывать некоторые катионы, помещая их в центр своей
"короны".
Рис.1 Образование краун-эфира - комплекса 18-краун-6 и иона K+ (в центре).
Тут уместно привести небольшую цитату, она взята из
Нобелевской лекции, прочитанной Педерсеном в Стокгольме: "Мои первые
действия мотивировались скорее эстетикой, чем наукой. Мне доставляло большое
эстетическое наслаждение созерцать построенную компьютером трёхмерную модель
структуры. Какой простой, изящный и эффективный способ улавливания доселе
непокорённого катиона щелочного металла! Я принял эпитет "crown"
("корона") для первого представителя этого класса, потому что его
молекулярная модель выглядела именно так, и с ним катион мог быть коронован и
декоронован без какого-либо физического ущерба для обоих".
2.
Номенклатура краун-эфиров
Краун-эфиры макрогетероциклические соединения, содержащие в цикле
свыше 11 атомов, из которых не менее 4 - гетероатомы, связанные между собой
этиленовыми мостиками; являются полидентатными лигандами в комплексах с
катионами металлов. Форма таких молекул напоминает корону, что и определило их
название (англ. crown - корона).
Структура простейшего краун-эфира представлена формулой I. Если один или несколько атомов кислорода краун-эфира
заменены атомами N или S, соответствующие соединения называются азакраун - или
тиакраун-эфирами. Краун-эфиры, конденсированные с одним или несколько
бензольными или циклогексановыми кольцами, называют соответственно бензокраун -
и циклогексанокраун-эфирами (ф-лы IV и V). Известны также краун-соединения, содержащие в цикле
гетероатомы Р, Si, As или другие амидные, сложноэфирные или другие функциональные
группы.
Формально все краун-эфиры можно отнести к классу гетероциклических
соединений, однако необычные свойства таких соединений позволили выделить их в
самостоятельный класс, в связи с чем для составления названий были предложены
специальные правила. Название содержит слово "краун", цифра перед
этим словом обозначает общее число атомов в цикле, а цифра в конце названия
указывает на количество гетероатомов O, N и S (рис.1). В
названии не указывают наличие в цикле атомов О (это подразумевается), но если в
цикле есть иные гетероатомы (кроме кислорода), например, азот или сера, то их
количество указывают, добавляя к названию приставки ди - или три-,
а положение в цикле - с помощью числовых индексов, предварительно нумеруются
все атомы в цикле.
В тривиальных названиях краун-эфирах общее число атомов в цикле и
число гетероатомов обозначают цифрами, которые ставят соответственно перед и
после слова "краун", например 12-краун-4 (ф-ла I), 1,10-диаза-18-краун-6 (И), 1,7-дитиа-15-краун-5 (III), дибензо-18-краун-6 (IV), циклогексано-15-краун-5 (V). Такие названия однозначно не определяют структурную
формулу соединения. По номенклатуре ИЮПАК. соединения I и II называются соответственно 1,4,7,10,13-тетра-оксациклододекан
и 1,4, 10,13-тетраокса-7,16-диаза-циклооктадекан.
Рис.2. СОСТАВЛЕНИЕ НАЗВАНИЙ ДЛЯ КРАУН-ЭФИРОВ
3.
Свойства краун-эфиров
Краун-эфиры - вязкие жидкости или кристаллические вещества; хорошо
растворимые в большинстве органических растворителей, слабо - в
воде.12-граун-4, 15-краун-5 и азакраун-эфиры хорошо растворимы в воде.
Химические свойства определяются природой гетероатома и функциональных групп в
молекуле.
Краун-эфиры содержат фрагмент С-О-С, характерный для простых
эфиров, а также могут включать фрагменты амина C-NH-C, или
тиоэфира C-S-C. Характерное свойство этих классов соединений -
образовывать комплексы за счет неподеленных электронных пар кислорода, азота и
серы. Это свойство многократно усилено в краун-эфирах из-за большого числа
гетероатомов в цикле, к тому же неподеленные электронные пары ориентированы
внутрь цикла. В результате ионы щелочных и щелочноземельных металлов входят
внутрь цикла, образуя прочные комплексы.
Меняя величину цикла и, соответственно, размер внутренней полости,
можно точно настроить краун-эфир на удерживание катиона определенного размера,
например, 12-краун-4 (рис.2) наиболее прочно захватывает катион лития,
15-краун-5 соответствует по размеру катиону натрия, а 18-краун-6 "подходит
по размеру" катиону калия (рис.3).
Рис.3. КОМПЛЕКСЫ КРАУН-ЭФИРОВ с катионами щелочных металлов
(пунктирными линиями показаны координационные связи)
У краун-эфиров склонность к "захвату" катионов выражена
настолько сильно, что даже если катион не соответствует по размеру внутренней
полости цикла, то все равно оказываются возможными варианты, при которых катион
все же удерживаеся. Например, если катион по размеру много больше внутренней
полости, то он может окружить себя двумя молекулами краун-эфира, образуя
подобие бутерброда (рис.4А) если же ситуация обратная, то внутрь молекулы
краун-эфира может поместиться два катиона (рис.4Б).
Рис.4. Варианты объединения краун-эфиров с катионами различного
размера. А - две молекулы 12-краун-4 в комплексе с К+. Б - два
катиона Na+ в полости молекулы 24-краун-8.
Подобные комплексы менее устойчивы, чем те, у которых размер
катиона точно соответствует величине внутренней полости.
Краун-эфиры образуют устойчивые липофильные комплексы с катионами
металлов, в основном щелочных и щелочно-земельных. При этом катион включается
во внутримолекулярную полость краун-эфира и удерживается там благодаря
ион-дипольному взаимодействую со всеми гетероатомами. Наиболее устойчивы
комплексы с катионами, геометрические параметры которых соответствуют полости
краун-эфира (табл.). Растворимость соединений, катион которого попадает в
полость краун-эфира, возрастает, что позволяет солюбилизировать соли щелочных и
щелочноземельных металлов в малополярных растворителях. Анион в растворе слабо
сольватирован, что приводит к росту его нуклеофильности и основности.
Краун-эфиры способны экстрагировать соли металлов и некоторые органические
соединения (амины, аминокислоты и др.) из водной фазы в органическую и
осуществлять их транспорт через жидкие мембраны. Биологическая активность
краун-эфиров обусловлена их влиянием на ионную и субстратную проницаемость
биологических мембран, а также на ферментные системы.
Краун-эфиры проявляют психотропную, кардиотропную,
противомикробную и противопаразитарную активность, обеспечивают выведение
тяжелых металлов из организма.
4.
Получение краун-эфиров
Существует множество методов синтеза краун - соединений,
однако наиболее важный аспект любого из них заключается в подавлении побочных
реакций, приводящих к линейным полимерам, для преимущественного протекания
реакции циклизации, приводящей к циклическим соединениям.
Обычно для синтеза краун - соединений используют реакцию Вильямсона:
.
или галогенов b, b
’ - дигалогеналкиловых эфиров.
Для подавления образования побочных линейных полимеров часто
применяются следующие методы: способ высокого разбавления, двухстадийная
конденсация, матричные реакции.
С 1978 г. с использованием вышеупомянутых методов
промышленностью производятся такие краун-эфиры, как дибензо-18-краун-6,
дибензо-24-краун-8, дициклогексил-18-краун-6 и др.
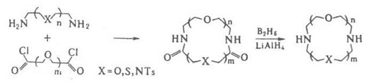
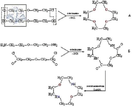
При конденсации дихлоралкилов, содержащих в цепи простые
эфирны группировки С-О-С, с полиэтиленгликолями протекает циклизация,
приводящая к образованию краун-эфира (А). В зависимости от длины цепочки
исходных соединений получают краун-эфиры с различной величиной цикла.
Азотсодержащие краун-эфиры получают конденсацией диаминов, содержащих эфирные
группировки, с хлорангидридами дикарбоновых кислот. В результате получаются
циклические амиды, которые затем восстанавливают, при этом карбонильные группы
С=О превращаются в метиленовые СН2 (Б). Серосодержащие краун-эфиры
получают по схеме А, при этом исходные соединения содержат тиоэфирные
группировки С-S-С.
Выход краун-эфира зависит от природы присутствующего катиона
металла, что объясняется его координацией с образующимися на первой стадии
алкоголят-анионами, например:

Азакраун-эфиры получают:
I) ацилированием ди - или полиаминов с частично защищенными
аминогруппами хлорангидридами дикарбоновых кислот в условиях большого
разбавления с последующем восстановлением образующихся макроциклических
диамидов:
) алкилированием дитозилдиаминов дигалогенопроизводными или
дитозилатами гликолей в присутствии гидридов или гидроксидов щелочных металлов,
а также в условиях межфазного катализа, например:
Тиакраун-эфиры получают из тиааналогов полиэтиленгликолей
аналогично обычным краун-эфирам или алкилированием дитиолов дигалогенидами или
дитозилатами в присутствии оснований.
5.
Применение краун-эфиров
Применение краун-эфиров определяется, прежде всего, их
избирательной способностью захватывать катионы определенного размера.
Наибольшее распространение получили краун-эфиры, содержащие только гетероатомы
О. Их применяют в технологических процессах, связанных с выделением и очисткой
солей щелочных и щелочноземельных металлов, в аналитических исследованиях и
работах, связанных с синтезом, когда нужно перевести неорганические соединения
из водной фазы в органическую среду.
Краун-эфиры обладают противомикробной и противопаразитарной
активностью, кроме того, из организма с их помощью выводятся ионы токсичных
тяжелых металлов, а также радиоактивных изотопов цезия и стронция.
В радиохимии краун-эфиры помогают решать проблему переработки
отходов ядерных производств. Первый этап - удаление с помощью краун-эфиров из
переработанного ядерного горючего наиболее активных изотопов (стронций-90,
цезий-137, технеций-99), на этой стадии предпочтительны S-содержащие краун-эфиры,
поскольку они обладают повышенной радиационной стойкостью. Извлеченные изотопы
используются затем в установках радиодиагностики, заменяющих рентгеновские
аппараты, а также при создании долговременных источников тока для метеостанций,
метеозондов и космических аппаратов. Следующий этап переработки ядерного
топлива - извлечение с помощью краун-эфиров (специально подобранного состава)
неизрасходованных урана и плутония, после чего объем подлежащих утилизации
отходов становятся заметно меньше и к тому же отходы обладают слабой
радиоактивностью.
Краун-эфиры открыли новые горизонты в синтетической
органической химии, с их помощью оказалось возможным вводить в растворенном
виде (т.е. гомогенно), неорганические реагенты в органическую среду. Например,
широко применяемый окислитель перманганат калия KMnO4 практически нерастворим
в органических растворителях, но в присутствии 18-краун-6 он легко растворяется
в бензоле, приобретая при этом высокую окисляющую способность. Причина в том,
что в водном растворе анионы MnO4-, осуществляющие окисление, окружены водной
сольватной оболочкой, а в бензольном растворе они как бы обнажены и потому
высокоактивны.
Очень эффектно применение краун-эфиров в создании
принципиально новых материалов. Известно, что щелочные металлы достаточно легко
растворяются в жидком аммиаке (tкип. = - 36°С). Как и в случае растворения
большинства неорганических соединений, при этом происходит сольватация ионов.
Возникающий в растворе катион хорошо известен - это Na+. А вот анион необычный -
сольватированный аммиаком электрон е-.
Na0 + (n + m) NH3
(ж.) = Na+ (NH3) n + е-
(NH3) m.
При длительном хранении такого раствора натрий реагирует с
аммиаком, образуя амид натрия NaNH2. Если из этого раствора сразу удалить весь
аммиак (он легко удаляется при комнатной температуре), то электрон вернется к
иону натрия и получим исходный металлический натрий.
Теперь заменим аммиак на такой краун-эфир, который хорошо
сольватирует именно катион натрия. Добавим в раствору натрия в аммиаке
соответствующий краун-эфир в количестве, точно соответствующем количеству
ионов натрия в растворе, а аммиак при комнатной температуре испарим. Теперь
электрон не может вернуться к натрию, т.к. катион Na+ надежно укрыт
краун-эфиром. В итоге получим вещество, в кристаллической решетке которого
располагаются ионы натрия, защищенные краун-эфиром, а в межкристаллическом
пространстве находятся свободные несольватированные электроны (краун-эфир
сольватирует только частицы с положительным зарядом):
На первый взгляд это строение типичного ионного соединения, в
узлах кристаллической решетки которого располагаются катионы и анионы, как,
например, в случае NaCl. Так оно и есть, но электрон совсем не то же самое, что анион
хлора. Благодаря исключительно малым размерам электроны в таком соединении
могут свободно перемещаться в межкристаллическом пространстве. По этой причине
вещества такого типа обладают довольно высокой электропроводностью, подобной
металлам. Все это довольно необычно. Ионное соединение, обладающее
электропроводностью металлического типа. Описанные соединения получили название
"электриды".
Есть несколько иной способ построения электридов. Добавим к
раствору металлического натрия в жидком аммиаке не эквивалентное количество
краун-эфира (см. выделенное выше), а вдвое меньшее количество, т.е.
соотношение натрия и краун-эфира 2:
. Одна половина атомов натрия в виде ионов Na+ будет связана
краун-эфиром, другая - присоединит освободившиеся электроны, образуя необычные
анионы Na.
Возникнет кристаллическая ионная структура, содержащая
катионы и анионы натрия:

краун эфир сольватирующий растворитель
Заключение
Появление краун-эфиров заметно расширило возможности
экспериментальной химии. Стало возможным переводить в органическую среду
типичные неорганические соединения и проводить с ними различные реакции.
Литература
1.
Хараока М. Краун-соединения. М., Мир, 1986.363с
.
Давыдова С.Л. Удивительные макроциклы. Л., 1989
.
Овчинников Ю.А., Иванов В.Т., Шкроб А.М., Мембранно-активные комплексены, М.,
1974;
.
Химия комплексов "гость-хозяин". Под ред.Ф. Фегтле, Э. Вебера. - М.:
Мир, 1988.511с.
.
Лен Ж. супрамолекулярная химия-масштабы и перспективы. Нобелевская лекция. - М.
№2. с.3-36