Методы органического синтеза
"Методы органического
синтеза"
Введение
Органический
синтез - раздел органической химии, в котором рассматриваются пути и
методы искусственного создания органических соединений в лаборатории и
промышленности. Широко применим в лабораторных условиях (главным образом для
исследовательских целей) и в промышленности.
Успешное
развитие органического синтеза началось после разработки теории химического
строения и накопления сведений о химических свойствах органических соединений
(2‑я пол. 19 в.). С этого времени органический синтез как основной
источник новых органических соединений играет фундаментальную роль в
становлении органической химии как науки и в ее дальнейшем развитии,
обеспечивая постоянно расширяющийся круг изучаемых объектов. Развитие органического
синтеза в 20 в., особенно в последние десятилетия, характеризуется все
возрастающим вниманием к синтезу природных соединений и их аналогов,
значительным укреплением методической базы (созданием надежных синтетических
методов), началом создания самостоятельной теории органического синтеза.
Осуществление синтеза сложнейших природных соединений (например хлорофилла,
витамина В12, биополимеров), создание материалов с необычными
свойствами (например так называемые органические металлы) показывает,
что для современного органического синтеза практически не существует
неразрешимых задач.
В
реферате рассмотрены вопросы, касающиеся планирования органического синтеза,
т.е. выбора оптимального пути получения соединения с заранее заданной
структурой. Конкретные методы синтеза – образование новой связи С–С, введение
функциональных групп и другое.
Обычно
синтез целевого соединения осуществляют из относительно простых и доступных (т.е.
выпускаемых промышленностью) исходных веществ. Как правило, при синтезе сложных
веществ путь от исходных соединений к целевому разбивается на ряд этапов
(стадий), на каждом из которых происходит образование одной – двух связей
(фрагментов) будущей молекулы или подготовка к образованию таких связей.
Осуществление
органического синтеза сопряжено с решением двух основных вопросов: 1)
разработка общего плана синтеза, т.е. выбор оптимальных исходных соединений и последовательности
стадий, ведущих кратчайшим путем к целевому продукту (стратегия синтеза); 2)
выбор (или разработка новых) синтетических методов, обеспечивающих возможность
построения необходимой связи в определенном месте собираемой молекулы (тактика
синтеза).
Основу
тактики органического синтеза составляют различные синтетические методы, каждый
из которых представляет собой стандартную совокупность одной или нескольких
реакций и приемов выделения продуктов, которые обеспечивают возможность
построения или разрыва определенного типа связи (или связей), необходимой для
синтеза целевого соединения. Важные характеристики эффективного синтетического
метода – общность (слабая зависимость результата от конкретных особенностей
структуры исходных соединений), селективность (участие в основных реакциях
метода лишь определенных функциональных групп) и высокие выходы продуктов.
Типичным примером эффективного синтетического метода может служить синтез
олефинов по Виттигу (реакции 1–3) из алкилгалогенидов и карбонильных соединений:
Основные
методы органического синтеза можно разбить на три группы: 1) конструктивные,
ведущие к образованию новых связей С–С, назначение которых – построение скелета
будущей молекулы (например, реакция Гриньяра, реакция Фриделя-Крафтса, цикло –
присоединение); 2) деструктивные, ведущие к разрыву определенных связей С–С с
целью удаления той или иной группировки из молекулы после того, как ее роль в
синтезе сыграна (например, декарбоксилирование, периодатное окисление диолов);
3) методы трансформации функциональных групп. Последнее важно для введения в
молекулы исходных или промежуточных соединений функциональных групп и их защиты,
требующихся для осуществления очередной конструктивной реакции, а на
заключительных стадиях синтеза-для введения необходимых функциональных групп в
целевое соединение.
Алкилирование
и ацилирование
Реакция
Шоттена-Баумана, ацилирование спиртов или аминов хлорангидридами карбоновых к-т в
присут. водного р-ра щелочи или соды (акцепторов образующегося НС1):
RCOC1
+ HOR' + NaOH
RCOOR' + NaCl + Н2О RCOC1 + H2NR' + Na2CO3
RCONHR'
+ NaCl + CO2 + H2O
В
качестве акцепторов НС1 применяют также NaHCO3, CaO, MgO, CH3COONa.
Ацилирующими агентами обычно являются трудногидролизуемые хлорангидриды
ароматических к-т (например, бензоилхлорид), а также хлорангидриды высших
алифатических к-т (С10-С18). При ацилировании спиртов
выход сложных эфиров повышается с понижением температуры реакции за счет
снижения гидролиза хлорангидрида и отчасти эфира. Чтобы избежать местных
перегревов, хлорангидрид прибавляют небольшими порциями к р-ру спирта в водной
щелочи при эффективном перемешивании. Поскольку реакционная среда должна
оставаться слабощелочной до конца р-ции, хлорангидрид и щелочь берут с 20–25%-ным
избытком. Эти же правила применимы и для ацилирования аминов. Выходы 60–95%.
Ацилирование легкогидролизующимися хлорангидридами (СОС12, AlkCOCl)
проводят в инертных растворителях (диэтиловый эфир, хлороформ, бензол) в
присутствии мелкоизмельченного порошка щелочи или соды.
Аналогично
спиртам в р-цию вступают тиолы:
RCOC1 + HSR' + NaOH
RCOSR' + NaCl + Н2О
Ш.‑Б.
р. используют для лабораторного и промышленного получения разложение сложных
эфиров и амидов, например бензанилида C6H5NHCOC6H5.
Реакцию применяют в аналитической практике для идентификации хлорангидридов в
виде их анилидов и аминов в виде бензоильных производных.
Метод впервые применен К. Шоттеном в 1884 для ацилирования аминов и Э. Бауманом
в 1886 для ацилирования спиртов.
Модификация Ш.‑Б. р. – метод Айнхорна, в к-ром вместо щелочи
используют пиридин, служащий одновременно растворителем и акцептором НС1:
Метод
находит широкое применение благодаря мягким условиям синтеза и высокой
ацилирующей способности пиридиниевой соли. В ряде случаев вместо пиридина
используют третичные амины, например (C2H5)3N
или (CH3)2NC6H5.
Алкилирование, введение алкильной
группы в молекулу органического соединения, а также получение алкильных
производных химических элементов.
Наиб. часто в
качестве алкилирующих агентов используют алкилгалогениды, алкены,
эпоксисоединения, спирты, реже – альдегиды, кетоны, эфиры, сульфиды,
диазоалканы.
Алкилирование
изопарафиновых и ароматических углеводородов проводят: в жидкой фазе в инертном
растворителе при температурах до 100 °С и давлении, необходимом для
поддержания жидкофазного состояния; в паровой фазе с применением гетерогенных
катализаторов при 200–350 °С и давлением 0,3–3,5 МПа. Например,
алкилирование триметилметана бутеном осуществляют в жидкой фазе при 0–10 °С
(кат. – Н25О4) или – 10 °С (HF), алкилирование бензола этиленом- в жидкой
фазе при 90–100 °С (А1С13) или паровой фазе при 250 °С и давлением
3,5 МПа (BF3), алкилирование бензола пропиленом- в жидкой фазе при 50 °С и
давлением 0,7 МПа (HF) или паровой фазе при 300 °С и давлением 0,3–1,0 МПа
(H3P04/Si02).
О – алкилирование
проводят при температурах не выше 100 С в воде или органических растворителях, например:
N – алкилирование
аминов спиртами осуществляют в газовой фазе в присутствии кислотных
катализаторов при 200–300 °С, напр.:
Получение
алкильных производных металлов проводят в присутствии меди, например:
Алкилирование
углеводородов сопровождается полиалкилированием, изомеризацией и полимеризацией.
Так, при этилировании бензола по р-ции Фриделя – Крафтса, кроме этилбензола,
образуются ди- и полиэтилбензолы. Полиалкилирование объясняется лучшей
растворимостью в образующемся каталитическом комплексе алкилатов по сравнению с
исходным в-вом. При использовании в качестве растворителя нитрометана идет
преимущественное образование моноалкилпроизводных. Для увеличения выхода
моноалкилпроизводных уменьшают мольное соотношение олефин: бензол, а также
проводят рециркуляцию полиалкилпроизводных, в результате которой идет их
деалкилирование.
Механизм
алкилирования наиболее подробно изучен на примере С‑и О – алкилирования
реакции с участием алкилгалогенидов, спиртов, сложных эфиров протекают
следующим образом:

Поскольку
третичные алкилгалогениды ионизируются легче всего, вторичные – труднее, а
первичные практически не ионизируются, вероятность образования соответствующих
карбкатионов уменьшается в том же ряду. Такое же влияние строения алкилирующего
агента отмечено при О – алкилировании, которое в целом протекает как
нуклеофильное замещение у насыщенного атома углерода:
Помимо
приведенных выше реакций, алкилирование применяют в лабораторной практике для
получения алкильных производных карбонильных соединений, дикарбонильных
соединения, при хлорметилировании ароматических углеводородов:
Алкилирование
широко применяется в промышленности, в частности для получения алкилата,
этилбензола, изопропилбензола, высших алкилбензолов.
Реакции
конденсации
Исторически
закрепившееся в органической химии название большой группы реакций различного
характера. В более узком значении – внутри- и межмолекулярные процессы
образования новой связи С–С в результате взаимодействия двух или более молекул органических соединений. Реакции конденсации
можно разбить на след. группы: 1. Замещение атома или группы атомов с отщеплением простой неорганической или
органической молекулы:
В качестве
конденсирующих агентов используют в-ва, которые связывают отщепляющиеся
соединения, образуют реакционноспособные промежуточные продукты или действуют
как катализаторы. Реакции конденсации с отщеплением воды могут проходить по одной из след. схем:
Схеме (1)
соответствуют алкилирование ароматических и непредельных соединений спиртами, автоконденсация жирных спиртов, например:
По схеме (2)
протекают кротоновая конденсация и многочисленные родственные
процессы, например Перкина реакция, Кнёвенагеля реакция и др.; по схеме (З) –
многие синтезы ряда трифенилметана, например:
Отщепление воды катализируется обычно кислотами и основаниями,
такими, как H2SO4, HCl, АlСl3, ZnCl2,
NaOH, NaOR, NaNH2, NaH, RNH2. Некоторые реакции,
сопровождающиеся образованием связи углерод–гетероатом или гетероатом–гетероатом,
также относят к реакциям конденсации, например:
Под действием
металлов реакции конденсации происходят с отщеплением атомов галогена от двух молекул орг. галогенида (Вюрца реакция, Ульмана реакция). Реакции
конденсации с отщеплением водорода могут осуществляться пиролитически либо под
действием окислителей, например:
Ряд процессов
реакции конденсации сопровождается отщеплением молекул орг. соединения, например спиртов. К этому типу принадлежат сложноэфирная конденсация, Клайзена конденсация, Дикмана реакция. Конденсирующие агенты – щелочные металлы, орг. и неорг.
основания. Обычно к К. р. не относят этерификацию, переэтерификацию, алкилирование и ацилирование по гетероатомам, однако происходящие по
этим схемам процессы образования полимеров называют поликонденсацией. 2. Присоединение молекулы органического соединения по кратной связи другой молекулы:
Сюда относят,
например, многочисленные случаи альдольной конденсации, зачастую представляющей
собой предварительную стадию кротоновой конденсации, Михаэля реакцию, бензоиновую и ацилоиновую конденсации, диеновый синтез, а также реакции гидро- и
карбометаллирования олефинов и ацетиленов.
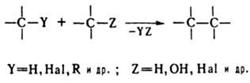
Диазотирование
Способ
получения ароматических диазосоединений, заключающийся обычно в действии NaNO2
на первичные ароматические амины в присутствии минеральной к-ты НХ:
Диазотирование
проводят в воде, концентрированных кислотах, реже – в неводных
средах. Поскольку реакция экзотермична, а диазосоединения при нагревании легко разлагаются,
реакционная смесь обычно охлаждают, поддерживая температуру в интервале 0–10 °С. При
недостатке кислоты могут образовываться диазоамино- и аминоазосоединения.
Производные о-аминонафтолов при диазотировании окисляются; для предотвращения
этого в реакционную смесь добавляют соли Сu или Zn. Механизм диазотирования включает нитрозирование свободного амина с последующим отщеплением Н2О от катиона N‑нитрозаммония (I) или ОН – от
N‑нитрозамина (II):
Нитрозирующий
агент NOX образуется по р-ции: NO2- + + 2Н+ +
Х- D NOX + Н2O, где X = ОН, ОС(О) CН3, OSO3H,
NO2, Hal и др. (X расположены в порядке возрастания активности NOX). Наиболее активный агент – свободный
нитрозоний – катион NO+; он образуется только в концентрированной
серной или хлорной к-те. Если NOX образуется быстрее, чем катион N – нитрозаммония, скорость диазотирования
зависит от концентрации амина. Чем ниже кислотность среды, тем выше концентрация NO2- и ОН-,
а следовательно, и концентрация малоактивных частиц N2O3
и HNO2, в результате чего скорость диазотирования должна снижаться.
Однако одновременно увеличивается концентрация свободного амина, что приводит к увеличению скорости
диазотирования. С увеличением кислотности среды, как правило, увеличивается концентрация наиболее активных NOX, однако уменьшается
концентрация свободного амина, что приводит к снижению скорости
диазотирования. Поэтому в слабокислой среде диазотируют более основные амины, в сильнокислой – менее основные, в
концентрированной H2SO4 с помощью нитрозилсерной к-ты – амины крайне низкой основности (например,
полинитроанилины). Чтобы увеличить скорость последней р-ции, среду разбавляют
ледяной СН3СООН, сдвигая равновесие в сторону образования свободного
амина. При диазотировании обычно к р-ру или
мелкодисперсной суспензии соли амина в к-те прибавляют NaNO2, взятый с
небольшим избытком. При использовании плохо растворимых аминосульфокислот к
слабощелочному р-ру амина, содержащему NaNO2, прибавляют
соляную к-ту. Для выделения галогенидов диазония процесс ведут в абсолютном спирте или ледяной СН3СООН, используя #"484380.files/image023.jpg" alt=3053-18.jpg> [Н2NО3]+
+ NO3-
NО2+ + NO-3
+ H2O. Присутствие воды снижает концентрацию NO+2 и в 93 – 95%-ной
HNO3 спектрофотометрически он уже не обнаруживается. Для увеличения
нитрующей активности HNO3 используют ее смеси с H2SO4
или олеумом, к-рые генерируют NO2, связывая воду:
В
безводной H2SO4 при содержании HNO3 меньше 10%
равновесие полностью сдвинуто вправо. Применяют также комбинации HNO3,
разложение оксидов азота и органических нитратов с кислотами
Льюиса (АlСl3, ZnCl2, BF3 и др.); сильным
нитрующим действием обладает смесь HNO3 с (СН3СО)2О
благодаря образованию ацетилнитрата и N2O5 (последний при
содержании в смеси более 90% HNO3 полностью диссоциирует на NO+2
и NO-3); перспективны также смеси HNO3 с
безводным SO3 или N2O5. Вместо HNO3
можно применять ее соли, однако в промышленности такой метод не
используют из-за осложнения процесса регенерации отработанных к-т. В случае слабой
взаимной р-римости нитрующего агента и субстрата, а также для уменьшения побочных процессов
нитрование проводят в органических р-рителях, например нитрометане, сульфолане, уксусной к-те; полярные р-рители способствуют диссоциации [H2NO3]+
и тем самым увеличивают концентрацию NO2.
В
лабораторной практике широко используют апротонные нитрующие агенты (нитраты, соли нитрония, полинитросоед. и др.), активность которых в реакциях электрофильного нитрования
увеличивается в ряду: AlkONO2 < (CH3)2C(CN) ONO2 < < RC(N02)3
RN(N02)2
< NO2F < CH3COONO2 < < N2O5
< NO2+X-.
Субстратами для электрофильного нитрования служат
ароматические и гетероциклические соединения, олефины, относительно сильные СН – кислоты, амины, спирты.
Нитрование
ароматического соединения протекает по схеме:
Возможно
также образование s‑комплекса, в котором группа NO2 связана с атомом углерода кольца, несущим заместитель. Соединения с
электронодопорными заместителями более реакционноспособны и нитруются в орто- и
пара-положения, а с электроноакцепторными – в мета-положение. В промышленности
для нитрования ароматических соединений применяют в основном смесь HNO3
и H2SO4 (выход нитропродуктов ~ 90–95%). Основная
побочная р-ция – окисление, приводящее, как правило, к деструкции
ароматического кольца. В зависимости от реакционной способности субстрата условия нитрования варьируют в широких пределах –
от водной HNO3 при 0 °С (обязательно присутствие оксидов азота) до дымящей HNO3 в олеуме при повышенных температурах. При низких
температурах с высокой скоростью протекает нитрование ароматических соединений солями нитрония; при этом часто лимитирующая
стадия-скорость растворения соли нитрония. Используют также заместительное
нитрование – замещение сульфо-, диазо- и др. функциональных групп. Этим приемом
пользуются, в частности, в случаях, когда невозможно прямое нитрование.
Нитрование олефинов апротонными нитрующими агентами в зависимости от
условий и строения реагентов может идти по разным направлениям, включая
отщепление Н+, присоединение элементов р-рителя и противоиона, полимеризацию и др., например:
При
нитровании олефинов тетранитрометаном в зависимости от строения олефина образуются либо алифатическое полинитро – соединение,
либо производные изоксазолидина, например:
Некоторые
СН – кислоты при нитровании образуют анионы соответствующих нитросоединений; например, при
действии на флуорен этил – нитрата в присутствии С, Н5ОК
образуется К – соль 9‑нитро-флуорена, примером нитрования карбанионов может служить также превращение солей моно- и динитросоединений соответственно в
геминальные ди- и тринитропроизводные при действии FNO2. Соединения
с активированной метиленовой группой можно нитровать и в кислых условиях;
например, при обработке диэтилмалоната HNO3 образуется
нитродиэтилмалонат, нитрование в аналогичных условиях 1,3 – индандиона с
последующим щелочным гидролизом образующегося a – нитрокетона – удобный метод
синтеза первичных нитроалканов:
Электрофильное
нитрование аминов в отличие от нитрования по атому С – обратимый процесс и протекает по схеме:
В
промышленности нитрование аминов проводят кислыми нитрующими агентами (конц. HNO3
или ее смесями с H2SO4, уксусной к-той или ангидридом).
Слабоосновные амины и амиды нитруются с высокими выходами.
Высокоосновные амины (первичные и вторичные), протонирующая форма
которых не реагирует с NO2+, превращают либо в амиды,
которые нитруют и затем снимают защитную ацильную группу щелочным гидролизом, либо в N‑хлорамины; в последнем случае
нитрование проводят в присутствии катализаторов (НСl, ZnCl2).
Нитрование
третичных аминов конц. HNO3 или ее смесью с уксусным
ангидридом сопровождается разрывом связи С– N (такой тип нитрирования
называется нитролизом). Эту реакцию широко используют в промышленности,
например для получения гексагена и октогена из уротропина. Жирно – ароматические амины типа ArNHR часто нитруются в ядро, что
происходит в результате непосредственного нитрования по атому С или перегруппировки N‑нитропроизводного;
при этом группа NO2 вступает в ортo – положение к аминной функции. В
ряде случаев нитрования по атому N проводят через стадию образования соли. Для этого амин обрабатывают разб. HNO3 и на
образовавшийся нитрат действуют конц. HNO3 или уксусным ангидридом:
В
лабораторных условиях заместительное нитрование ацетамидов, сульфамидов, уретанов, имидов или их солей проводят в апротонной среде апротонными
нитрующими агентами, например солями нитрония:
Из
первичных аминов можно синтезировать N, N‑дини-троамины,
которые, в свою очередь, являются нитрующими агентами.
Спирты нитруют любыми нитрующими агентами, содержащими
NO+2 (в кислых средах р-ция обратима), например: RCH2OH
+ NO2+X-
RCH2ONO2
+ НХ.
Нуклеофильное
нитрование осуществляют солями HNO2:
В
реакцию вступают алкилгалогениды, в основном бромиды и иодиды, a‑галогенкарбоновые к-ты и их эфиры, алкилсульфаты. В качестве нитрующих агентов используют
нитриты щелочных металлов в апротонных диполярных
р-рителях или проводят нитрование в присутствии краун – эфиров. Побочные
продукты реакции – органические нитриты, что связано с двойственной реакционной
способностью NO-2. Реакцию используют для получения алифатических
нитросоединений.
Радикальное
нитрование. Характерно в основном для парафинов и олефинов. Источником NO.2 служат
HNO.3 и оксиды азота. Нитрование парафинов проводят разб. HNO3 под давлением при повышенной температуре (Коновалова реакция).
Р-ция нитрования протекает по схеме:
Наряду
с нитрованием идет также процесс окисления, связанный с взаимодействием NO.2
с орг. радикалом по атому кислорода. Наиболее легко протекает нитрование по
третичным атомам углерода, трудно – по первичным. В промышленности
нитропарафины получают жидкофазным и парофазным нитрованием смеси парафинов. Жидко-фазное нитрование проводят HNO3
при нормальном или повышенном давлении и температуре выше 180 °С, или оксидами азота при давлении 2–4,5 МПа, 150–220 °С, время контакта ~15 с.
В этих условиях линейные углеводороды нитруются быстрее, чем их разветвленные изомеры. Парофазное нитрование (метод Хэсса)
осуществляют HNO3 при давлении 0,7–1,0 МПа, 400–500 °С, время контакта ~ 1 с.
Побочные процессы – деструкция углеводородной цепи и окисление. Эти методы используют также для нитрования
алифатических боковых цепей жирно – ароматических соединений (р-цию проводят в
присутствии катализаторов – О2, О3, галогенов и др.),
Нитрование
непредельных соединений HNO3 приводит к формальному замещению атома водорода у sp2-гибридизованного атома углерода на группу NO2. Условия нитрования
зависят от строения непредельных соединений. Обычно применяют 70–80%-ную HNO3
или разб. HNO3 в присутствии оксидов азота.
Галогенирование (галоидирование)
Введение
галогена в молекулу орг. соединения. Осуществляют путем р-ций
замещения (заместительное галогенирования) или присоединения (присоединительное
галогенирование).
Заместительное
галогенирование. При действии галогенов на насыщ. углеводороды (металепсия) процесс протекает при инициировании светом по свободнорадикальному цепному
механизму, например:
По
свободнорадикальному механизму идет также галогенирование углеводородных цепей
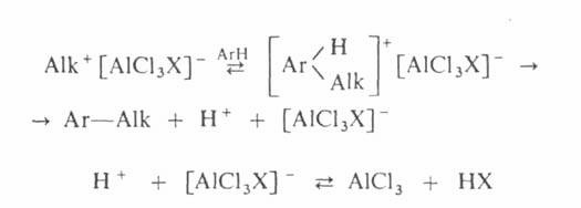
жирноароматических соединений. В присутствии к-т Льюиса р-ция протекает по электрофильному
механизму, напр.:
Галогенирование
алифатических карбоновых к-т в
-положение проводят с помощью
С12 или Вг2 в присутствии красного Р
(Гелля-Фолъгарда-Зелинского реакция). Замещение
водородных атомов в алифатических и жирноароматических
карбонильных соединений идет через присоединение галогена к фенольной форме, например:
Действием
N – галогенамидов, главным образом N – бромсукцинимида, в присутствии
пероксидов осуществляют свободнорадикальное галогенирование олефинов, жирноароматических и гетероароматических
соединений по метальной или метиленовой группе, соседней с двойной связью или циклом (Воля – Циглера реакция).
Замещение
атомов Н на F с образованием полифторзамешенных
соединений проводят путем электрохимеского фторирования в безводном HF (р-ция Саймонса),
действием CoF3 и др.
Заместительное
галогенирование в ядро ароматических и гетероароматических соединений протекает
по механизму электрофильного замещения; обычно его осуществляют с
использованием катализаторов (гл. обр. апротонных или протонных к-т),
например:
Если
в ядре этих соединений присутствуют пассивирующие заместители, процесс можно
проводить действием катиона галогена, образующегося из молекулярного галогена и соли Ag в среде сильной протонной к-ты (р-ция
Биркенбаха-Губо-Уотерса), например:
Замещение
на галоген атомов, отличных от водорода, или группы атомов осуществляется чаще всего по нуклеофильному
механизму. В алифатических соединениях для замены атомов галогенов на иод используют Nal (Финкелъштапна реакция), а на
фтор-SbF3 (р-ция Свартса). Группы ОН замещают на хлор или бром действием соответствующих галогеноводородов,
тригалогенидов или оксигалогенидов фосфора, а также тионилгалогенидов, а на фтор – действием
диэтил – 1,1,2 – трифтор‑2‑хлорэтиламина или SF4.
Карбоксильную группу замещают на С1, Вг или I действием на серебряные соли карбоновых к-т соответствующего галогена (Бородина – Хунсдиккера реакция). Заменой
карбонильного кислорода в альдегидах или кетонах на галоген (например, с помощью РС15, PBr5,
SF4, MoF6) получают геминальные галогензамещенные.
В
ароматическом ряду для получения галогензамсщеиных используют замену групп NH2
на С1, Вr или I каталитическим разложением соответствующих солей диазония в присутствии порошка Сu (Гаттермана – Коха реакция) или действием солей Сu (Зандмепера реакция), а на F‑разложением
гидрофторидов диазония (Шимана реакция). Для галогенирования ароматические и
гетероароматические соединения используют также р-цию замещения (в т.ч. обмен
галогенов), протекающую по механизму присоединения-отщепления с промежуточным
образованием анионных
комплексов, напр.:
Присоединительное
галогенирование. К ароматическим и гетероароматическим соединениям галоген присоединяется, как правило, по радикальному
механизму под действием света или при нагревании, например:
Если
цикл активирован, р-ция может протекать по ионному механизму, к-рый включает
стадию присоединения аниона галогена к промежуточно образующемуся в процессе
электрофильного замещения
комплексу, например:
Присоединение
галогенов по кратной связи происходит по электрофильному или
радикальному механизму. Его можно осуществлять действием галогсноводородов,
межгалогенных соединений или гипогалогенитов. В случае электрофильного
присоединения может нарушаться правило Марковникова, что обусловлено
образованием промежуточного мостикового катиона, например:
Сульфирование (сульфонирование).
Введение
сульфо – группы SO2OH в молекулу орг. соединения; в широком смысле сульфирование –
введение группы SO2X (X = ОН, ONa, OAlk, OAr, Hal, NAlk2 и
т.п.). О введении группы SO3H с образованием связей О–S (О – сульфирование,
сульфатирование, сульфоэтерификация).
Процесс,
обратный сульфированию (удаление группы SO2X из молекулы орг. соединения), называется десульфированием (десульфонированием).
Сульфирование осуществляют прямым путем с использованием сульфирующих агентов
либо косвенным путем, например введением сульфогруппы в составе сульфоалкильных
фрагментов (СН2)nSО2Х. Сульфирующие агенты: H2SO4,
SO3 и его комплексы с орг. соединениями (эфирами, третичными аминами и фосфинами, амидами карбоновых кислот, триалкилфосфатами и
др.), олеум, SOCl2, галогенсульфонрвые и
сульфаминовые к-ты, диалкилсульфаты, ацилсульфаты.
Сульфирование
ароматических углеводородов протекает по механизму электрофильного
замещения:
Реакцию
осуществляют как в паровой, так и в жидкой фазе (р-рители: SO2, СС14,
хладоны и т.п.). При сульфировании серной к-той для
смещения равновесия вправо применяют избыток к-ты или связывают воду добавлением олеума, азеотропной отгонкой и т.п.
Соединение
с электронодонорными заместителями более реакционноспособны и сульфируются
преимущественно в орто- и пара-положения; соединения с электроноакцепторными
заместителями- в мета-положение. В большинстве случаев при сульфировании
замещенных бензолов образуются смеси изомеров, соотношение к-рых зависит от природы
заместителя, сульфирующего реагента и условий р-ций (концентрации реагентов,
т-ры, р-рителя, наличия катализаторов и т.д.). Путем подбора оптимальных
условий возможно селективное сульфирование. Так, сульфирование толуола серной к-той при 20 °С приводит к равным
кол-вам о- и n‑толуолсульфокислот, а при, использовании SO3 в
тех же условиях – исключительно к n‑изомеру; при сульфировании фенола на холоду преимущественно образуется
о-фгнолсульфокислота, тогда как при 100 °С-n‑фенолсульфокислота. Как
правило, подобные различия обусловлены превращением одних изомеров в другие, термодинамически более стабильные,
благодаря изомеризации или обратимости сульфирования. Например, нафталин при температурах ниже 100 °С первоначально образует a‑наф-талинсульфокислоту,
к-рая во времени превращается в b‑изомер в результате последовательного
десульфирования – ресульфирования. Сульфирование при 160 °С приводит
исключительно к b‑нафталинсульфокислоте.
Для
сульфирования гетероциклических соединений (фуран, пиррол, тиофен, индол и др.) используют комплексы SO3 с диоксаном или пиридином. Эти же реагенты применяют для сульфирования
алифатических соединений, содержащих сильные электроноакцепторные группы; при
этом образуются, как правило, a‑сульфопроизводные:
X = СНО, COR:, COOH, CN, NO2, SO3H и др.
Повышение
СН-кислотности алифатических соединений способствует тому, что последующее
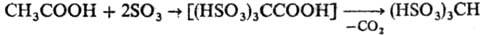
сульфирование протекает более однозначно, чем моносульфирование. Например, ацетальдегид и уксусная к-та с высоким выходом
образуют соответствующие да- и трисульфосоединения:
СН3СНО
+ 2SO3·Диоксан: (HSO3)2CHCHO
Легко
реагируют с SO3 и его комплексами алкены, которые образуют в зависимости от структуры и
условий b- или d‑сультоны (см. Сулътоны) либо a, b- или b, g‑ненасыщ.
сульфокислоты, а также b‑гидроксисульфокис-лоты,
напр.:
Прямое
С. алканов протекает с трудом и сопровождается, как
правило, окислением. Подобные р-ции редко используют для
препаративных целей, но находят им практич. применение для С. полимеров, напр. полиэтилена, с целью их модификации. Значительно
легче сульфируются углеводороды при совместном действии SO2 и
О2 (сульфо-окисление), а также SO2 и Сl2
(сульфохлорирование). Обе р-ции имеют радикальный характер и инициируются
пе-роксидами, УФ или g‑облучением:
Эти
процессы имеют важное значение в пром. произ-ве ПАВ.
Для
С. орг. соединений широко используют H2SO3 и ее
производные. Гидросульфиты присоединяются к альдегидам и кетонам (р-ция 1), а также в условиях радикального инициирования к алкенам и алкинам (2,3); взаимод. с трифенил- и три (n‑толил)
карбинолами (4); реагируют с оксиранами, тииранами с раскрытием кольца (5):
Диазоалканы
сульфируют SO2 в присутствии воды, спиртов, тиолов и аминов (6), последоват. действие SO2 и галогена на реактивы Гриньяра приводит к
сульфонил-галогенидам (7):
К
косвенным методам С. относят сульфометилирование, сульфоэтилирование и т.д.,
напр.:
Амины. N‑ОКСИДЫ (N‑окиси аминов).
Производные
третичных аминов и гетероароматич. соединений, содержащие
семиполярную связь
–О- Большинство хорошо раств. в воде, ограниченно-в неполярных орг. р-рителях.
Образуют с к-тами устойчивые кристаллич. соли
R3
OHX-
Расположение четырех заместителей у атома азота тетраэдрическое.
Свойства
n‑оксидов аминов
|
Показатель Т. пл., °С
|
(СН3Ь -O-212,0
|
С5Н5 -O-65,6
|
|
Т. кип., °С
|
–
|
154,0
|
100*
|
|
*10-30,
Кл-м
|
16,7
|
16,15
|
14,11
|
|
рКа
|
4,65
|
4,21
|
1,90
|
|
Потенциал полуволны восстановления, В
|
-0,456
|
-0,705
|
– 1,278
|
|
v( ->O-),
см-1
|
930–970
|
–
|
1230–1320
|
А.о.-более
слабые основания, чем исходные амины. Их основные св-ва определяются отрицат. зарядом
на кислороде, по к-рому происходит как присоединение протона, так и алкилирование. При действии
арилгалогенидов образуются соли тетразамещенного гидроксиаммония, разлагающиеся
при обработке щелочью:
При
ацилировании А.о. происходят след. превращения:
При
нагр. алифатич. А. о. образуют замещенные гидроксиламины (перегруппировка Майзенхаймера) или олефины (перегруппировка Коупа), напр.:
где
R – Alk, Ar; R' = СН2С6Н5, СН(С6Н5)2,
СН2СН=СН2.
А.
о. восстанавливаются до аминов гидрированием на Ni или Pd, а также действием
производных трехвалентного фосфора, напр. (С6Н5bР- В
электронной
системе цикла гетероциклич. А. о. группа
–О – может играть
роль как донора, так и акцептора электронов. Поэтому А. о. такого типа вступают в р-ции
электроф. и нуклеоф. замещения легче, чем соответствующие амины. Ацилирование гетероциклич. А. о. происходит след.
образом:
N‑Оксиды
пиридина и его гомологов, производных хинолина нитруются до 4‑нитропроизводных. При р-ции
с РОС13, РС15, SOC12 образуются 1- и 4‑хлорпроизводные,
с ангидридами и галогенангидридами к-т‑2‑ацилоксипроизводные с
металлоорг. соед. – 2‑алкилпроизводные, с анионом CN- в присут. хлористого бензоила‑4‑цианпиридин.
Общий
метод получения А.о.-окисление третичных аминов действием Н2О2 в
нейтральной (алифатич. амины) или кислой (ароматич. амины) средах, реже – озоном или надкислотами (азотистые гетероциклы). Применяется
также исчерпывающее алкилирование гидроксиламина и его производных, циклизация нитро- и нитрозосоединений. Методы анализа А. о. основаны
на восстановлении группы
– О – (потенциометрия).
Алифатич.
А.о.-ПАВ в космети-ке и парфюмерии, коагулирующие и желатинизирующие агенты, ингибиторы полимеризации, р-рители целлюлозы. Нек-рые А. о. обладают противомикробной и
противогрибковой активностью.