Выделение и применение терпенов
КАЗАХСКИЙ
НАЦИОНАЛЬНЫЙ УНИВЕРСИТЕТ ИМЕНИ АЛЬ-ФАРАБИ
ХИМИЧЕСКИЙ
ФАКУЛЬТЕТ
КАФЕДРА
ОРГАНИЧЕСКОЙ ХИМИИ И ХИМИИ ПРИРОДНЫХ СОЕДИНЕНИЙ
Реферат
на
тему: Терпеноиды
Выполнили: студентки
Виноградова Анастасия, Маева Ксения.
Проверила: Музычкина Р.А.
Алматы,
2009.
Содержание
Введение
.
Классификация терпеноидов
.
Физические свойства
.
Химические свойства
.1
Гемитерпены
.2
Монотерпены
.2.1
Ациклические монотерпены
.2.2
Моноциклические монотерпены
.2.3
Бициклические монотерпены
.3
Сесквитерпены
.3.1
Ациклические сесквитерпены
.3.2
Циклические сесквитерпены
.3.2.1
Моноциклические сесквитерпены
.3.2.2
Бициклические сесквитерпены
.3.2.3
Трициклические сесквитерпены
.4
Дитерпены
.5
Тритерпены
.6
Тетратерпены
.7
Политерпены
.
Идентификация
.
Выделение терпенов и терпеноидов
.
Применение терпенов и терпеноидов
Список
литературы
Введение
Обычно термин терпены применяется для
обозначения соединений, содержащих целое число изо-С5-фрагментов
независимо от того, содержаться ли в их молекулах другие элементы. Терпеноиды -
это кислородзамещенные производные терпенов. Иногда терпенами называют только
углеводороды соответствующего состава и структуры, а терпеноидами - любые их
производные и метаболиты. Но эти два понятия, как и сами классы соединений, так
тесно связаны между собой, что принципиального различия в терминологии можно не
делать. [5]
Таким образом, терпеноиды - это химические
соединения, которые содержат помимо углерода и водорода еще и кислород, они
построены из изопреновых фрагментов, связанных между собой по типу
присоединения «голова к хвосту». Это исключительно многочисленный (более 10 000
представителей) и разнообразный по химическому строению класс природных
соединений. К таким соединениям относятся: спирты (алкоголи), альдегиды, эфиры
(простые и сложные), кетоны, окислы, хиноны, лактоны. [1]
Особенности строения молекул терпеноидов
приводит к заметному их отличию от других органических соединений повышенной
активностью, лабильностью, склонностью к изомеризации, циклизации и
полимеризации. Изомеризация и трансформация нередко проходит в мягких условиях,
под действием света, кислорода воздуха, паров воды и т.п. Из-за легкой
перегруппировки углеродного скелета терпеноидов русский ученый С. Вагнер назвал
их «химическими хамелеонами». Большинство терпенов существуют в виде
гликозидированных форм - от 1 до 8 углеводных фрагментов с типом связи С-О-С.
Терпены и терпеноиды широко распространены в
растительном мире: это эфирные масла практически всех пахнущих растений,
смолообразование и смоловыделение хвойных растений под общим названием
«живица». Живицы хвойных являются наиболее богатыми источниками самых различных
терпенов. В животных организмах терпены встречаются нечасто.
Терпеноиды входят в состав многих растений, в
основном - как компоненты эфирных масел. Так, оцимен содержится в листьях
базилика, фенхон - в фенхеле и туе, ментол является главной составной частью
мятного масла, камфен выделен из масла пихты сибирской, борнеол содержится во
многих эфирных маслах
Сесквитерпены представлены кадиненом - из масла
перца, азуленом - из ромашки, гермакранолидами - из семейства сельдерейных.
Эфирные масла обнаружены более чем в 2500 видах
растений различных семейств, наиболее богаты ими представители сложноцветных,
яснотковых, зонтичных, розоцветных, миртовых, лавровых, рутовых. Они
накапливаются в различных органах растений: в цветках (ромашка, тысячелистник),
траве (полынь, тысячелистник, тимьян, душица), плодах (анис, фенхель, тмин,
ажгон), листьях (мята, шалфей), коре (коричное дерево), подземных органах (валериана,
аир, девясил), почках (береза, сосна) - чаще в свободном состоянии или в виде
гликозидов (семена горчицы). Количественное содержание их в различных растениях
разное - от тысячных долей до 2 - 5%.
1. Классификация терпеноидов
Классификация терпеноидов основана на количестве
изо-С5-остатков в молекуле, за единицу терпена принят фрагмент из
двух изопреновых звеньев, так как до недавнего времени найденные в природе
терпены имели минимальный углеводородный состав C10.
И
только недавно во многих растениях были найдены изопрен и его производные в
очень малых концентрациях. [5]
|
Тип
|
Эмпирическая
формула
|
Строение
|
Название
|
Распространение
в природе
|
|
Гемитерпены
|
С5Н8
|
|
Изопрен
|
Изовалериановая,
ангеликовая кислоты
|
|
Монотерпены
|
С10Н16
|
|
Гераниол
|
Ментол,
камфора,эфирное масло герани
|
|
Сесквитерпены
|
С15Н24
|
|
Фарнезол
|
Терпеновые
спирты, альдегиды, кетоны
|
|
Дитерпены
|
С20Н32
|
|
Геранил-гераниол
|
Эфирное
масло шалфея витамин А, смоляные кислоты
|
|
Тритерпены
|
С30Н48
|
|
Сквален
|
|
Тетратерпеноиды
|
С40Н64
|
|
Фитоин
|
Каратиноиды,
ксантофиллы
|
|
Политерпеноиды
|
(С5Н8)n
|
|
Каучук
|
Гуттаперча
|
По функциональным группам все терпеноиды делятся
на:
) Спирты;
) Альдегиды;
) Кетоны
2. Физические свойства
Терпеноиды имеют разное агрегатное состояние.
Большинство терпеноидов являются жидкостями, но много среди них и
кристаллических веществ, находящихся в эфирном масле в растворенном состоянии
(например, ментол, камфорва, некоторые азулены). Имеют различную растворимость
в воде, обычно хорошо растворимы в органических растворителях, в том числе в
спиртах. Монотерпеноиды хорошо перегоняются с водой и водяным паром, сескви- и
дитерпеноиды несколько труднее, три-, тетра-, политерпеноиды не перегоняются. Оптически
активные вещества, существует в виде двух оптически активных форм (+) и (-). В
отличие от эфирных масел, моно- ди-, тритерпеноиды не имеют запаха.
Терпеноиды широко распространены в природе,
входят в состав многих эфирных масел. Особенно много в масле камфорного.
3. Химические свойства
Терпеноиды весьма реакционноспособны: легко
окисляются на воздухе, особенно на свету, часто превращаясь при этом в
кислородсодержащие соединения; при нагревании изомеризуются (прежде всего при
взаимодействии с кислыми агентами); диспропорционируют в присутствии
катализаторов (Pd, Pt, Ni); по двойным связям легко гидрируются, гидратируются,
присоединяют галогены, галогеноводороды, органические кислоты и т. д. При
сильном нагревании без доступа воздуха (400-500 °С) кольца терпенов
раскрываются, причем из бициклических терпенов можно получить моноциклические и
даже алифатические (например, камфеновые перегруппировки). При нагревании до
700 °С и выше все терпны разлагаются с образованием сложной смеси продуктов
(изопрен, ароматические углеводороды и др.).
Так как все терпеноиды по функциональным
признакам делят на спирты, альдегиды, кетоны, следовательно, по этим группам
могут проходить характерные им реакции.
По гидроксильной группе возможны реакции с
активными металлами, с галогенводородами, межмолекулярная дегидратация
(образование простых эфиров), внутримолекулярная дегидратация (образование
алкенов), этерификация, окисление до альдегидов и кетонов и карбоновых кислот.
По карбонильной группе могут протекать реакции
присоединения водорода, синильной кислоты, спиртов (образование полуацеталей и
ацеталей), гидросульфитов, реактива Гриньяра, воды, реакция «серебряного
зеркала», поликонденсация.
Кроме реакций по функциональным группам, у
каждой группы терпеноидов есть химические реакции, характерные именно для них.
Рассмотрим каждый класс терпенов поотдельности.
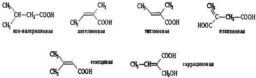
3.1 Гемитерпены
В растениях часто обнаруживают связанные
гемитерпены, т.е. соединения другого класса, содержащие изо-С5-заместитель,
это некоторые алкалоиды, пурины, пирановые гетероциклы. Во всех растениях
присутствуют фосфорилированные гемитерпены - Δ2-изопентилпирофосфат
и Δ3-изопентилпирофосфат,
они являются ключевыми в биосинтезе всех терпенов.
Формально (т.е. на основании структуры
углеродного скелета) к гемитерпенам могут быть отнесены часто встречаемые в
природных объектах кислоты: изовалериановая, тиглиновая, ангелиновая, итаковая
и другие, следовательно, им присущи химические свойства карбоновых кислот:
реакия с металлами или их осноовными гидроксидами, этерификация, образование
амидов.
3.2 Монотерпены
Монотерпены, как наиболее летучие среди терпенов
(tкип=150-220 оС)
и имеющие разнообразный запах, представляют особый интерес, многие - в качестве
душистых ингридиентов парфюмерно-косметических товаров. [3]
Главные источники монотерпенов - эфирные масла
ароматических растений, полученные перегонкой с водяным паром, экстракцией с
помощью растворителей и жиров. Для монотерпенов характрен обширный набор
структур, обладающий широким спектром биологического действия. Наиболее
известным представителем монотерпеноидов является камфора - средство,
усиливающее сердечную деятельность. [4]
Монотерпеноиды деляться на 3 группы:
) Ациклические (с открытой цепью) с тремя
двойными связями;
) Моноциклические (с двумя двойными связями в
молекуле);
) Бициклические (с одной двойной связью). [2]
.2.1 Ациклические монотерпены
всегда представлены ненасыщенными соединениями,
различаются между собой лишь количеством и положением двойных связей, а так же
присутствием функциональных групп: в основном спиртовых, реже карбонильных, еще
реже - карбоксильных. [5]
химический молекула терпеноид углерод
Ациклические монотерпены, содержащие, как
правило, две несопряженные олефиновые связи, вступают в различные реакции
электрофильного присоединения. Например, реакция эпоксидироваиня гераниола [5]:
При мягком окислении гераниол образует альдегид
- цитраль а (геракиаль):
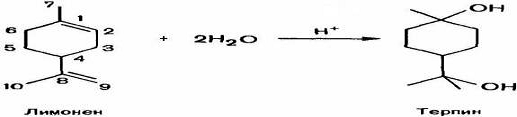
А под влиянием кислот они легко циклизуются. Так
гераниол сначала изомеризуется в монотерпен нерол, который далее циклизуется в
дигидроксипроизводное терпин. Последний может быть получен и при кислотной
гидратации лимонена, содержащегося в скипидаре и многих эфирных маслах [4]:
Терпеноиды с открытой цепью не нашли применения
в медицине, а среди циклических монотерпеноидов известно много лекарственных
средств: ментол, терпингидрат (моноциклические терпеноиды), камфора
(бициклический терпеноид). Эта группа имеет наибольшее значение для медицины и
фармации. Медицинское применение монотерпеноидов основано на их антисептических
и дезинфицирующих свойствах.
Циклические терпеноиды делятся на моно- и
бициклические, в структурах которых присутствуют соответственно один или два
цикла. [2], [6]
.2.2 Моноциклические монотерпены
Представляют собой циклические соединения с
двумя двойными связями, преимущественно производные ментана, используются
как ценные лекарственные средства в индивидуальном виде (ментол) и являются
основными компонентами ряда эфирных масел. [1], [7]
Двойные связи могут быть обе в кольце (тип
терпинена) или одна из них в кольце, а другая - в изопропильной группе (тип
лимонена). [1]
Родоначальной структурой моноциклических
терпеноидов является углеводород ментан
[6]:

Широко распространены спирты ментанового ряда,
особенно ментол, существующий в виде (-)-ментол, широко использующийся в
пищевой промышленности, фармации и фармацевтической а так же парфюмерной
промышленности.
Ментол является вторичным спиртом, так как при
его окислении образуется кетон (ментон). [2]
Многие кислородные производные ментанового ряда
обладают определенной биологической активностью: тимол - мягкий антисептик и
антигельминтное средство. [5]
Многие моноциклические монотерпеноиды обладают
оптической активностью и существуют в природе в виде оптических изомеров и
рацематов.
Монотерпеноиды ментанового ряда суммируют
свойства составляющих их функциональных групп, например, легко вступают в
реакции дегидрирования и дегидратации в случае ментола, с образованием либо
п-цимола, либо тимола, в зависимости от используемых катализаторов:
При гидратации лимонена в кислой среде,
протекающей по правилу Марковникова, получают двухатомный спирт терпин
(метандиол-1,8). В виде кристаллогидрата он, под названием терпингидрат,
применяется как отхаркивающее средство.
Идентификация.
. Присутствие ментола можно определить,
используя реакцию его с 1% раствором ванилина в присутствии концентрированной
серной кислоты - образуется желтое окрашивание, переходящее в малиново-красное
от добавления небольшого количества воды.
. Для определения терпингидрата
используют следующие реакции:
· Дегидратация в присутствии серной
кислоты; при этом образуется непредельный спирт терпинеол, обладающий ароматным
запахом:
· При добавлении к раствору 3%
спиртового раствора хлорида железа (ΙΙΙ) и
выпаривании образуется карминово-красное, фиолетовое и зеленое окрашивание. При
добавлении бензола последний окрашивается в синий цвет. [8]
Так как терпингидрат является третичным спиртом,
он не может окисляться хлоридом железа (ΙΙΙ) и
другими окислителями, можно предполагать, что окрашивание происходит за счет
образования продуктов расщепления терпингидрата. Бензол извлекает эти продукты,
окрашиваясь при этом в синий цвет. [2], [8]
.2.3 Бициклические монотерпены
Представляют собой соединения с двумя
конденсированными неароматическими кольцами и одной этиленовой связью, они
наиболее интересны в плане химической реакционной способности. У углеводородов
этой группы терпенов выделяются четыре типа соединений:
. Пинена;
. Сабинена;
. Камфена.
Эти четыре углеводорода, имеющие общую формулу С10Н16,
отличаются друг от друга по положению малого цикла, или как еще иначе
называют, «мостика». У карена он снаружи между С3 и С4; у
всех остальных он внутренний между С2 и С4 - у пинена, С1
и С4 - у камфена и С6 - С4 - у сабинена.

Кислородные производные в бициклических терпенах
отличаются большим разнообразием. Из спиртов типичны сабинол, туйол, борнеол,
миртенол, из кетонов - камфора, фенхон, туйон. [1]
Бициклические монотерпены легко окисляются
кислородом воздуха в присутствии различных катализаторов с образованием
стабильных гидроперекисей в случае насыщенных соединений и карбонильных
оксирановых производных в случае непредельных терпенов [5]:
α-Пинен (от лат. Pinus
- сосна) - один из самых распространенных в природе терпенов, главный компонент
скипидаров, получаемых из хвойных деревьев. α-Пинен
находит широкое применение как растворитель и сырье для многих органических
соединений, в частности в производстве тропина и камфоры.
Гидратация α-пинена
протекает с разрывом π-связи и неустойчивого
четырехчленного цикла и приводит к моноциклическому терпеноиду терпину [6]:
α-Пинен присоединяет
хлористый водород с образованием неустойчивого 2-хлорпинана, которй
претерпевает перегруппировку Вагнера-Меервейна с образованием борнилхлорида.
Действием гидроксида щелочного металла от последнего отщепляют хлористый
водород, при этом образуется камфен. Из него в результате присоединения
муравьиной кислоты получают изоборнилформиат (эфир борнанола-2 с муравьиной
кислотой) При омылении изоборнилового эфира муравьиной кислоты получается
изоборнеол, который в заключение окисляют до камфоры [9]:
Камфора при нагревании в хлороформномрастворе
взаимодействует с бромом с образованием бромкамфоры [2]:
Замещение атома водорода на атом брома
обусловлено подвижностью протона, находящегося в α-положении
к карбонильной группе.
Благодаря наличию оксигруппы камфора способна
реагировать с соединениями, содержащими аминогруппу. Например, с
гидроксиламином камфора образует кристаллический оксим
[6]:
Идентификация.
Подвижный водород рядом с кетонногруппой камфоры
может вступать в реакции конденсации с альдегидами. Продукты конденсации часто
бывают окрашенными, поэтому эта реакция может быть использована для
подтверждения подлинности камфоры. Например при конденсации с фрфуролом
образуется сине-фиолетовое окрашивание:
Аналогично с формальдегидом образуется красное
окрашивание. [2]
3.3 Сесквитерпены
Сесквитерпены представляют собой самую обширную
группу среди всех терпенов как по количеству соединений, обнаруженных в природе
(их несколько тысяч), так и по множеству структурных вариантов и разнообразию
типов углеродного скелета (их около двухсот). [5]
Развитие химии сесквитерпенов в значительной
степени связано с трудами швейцарских ученых П.Ружички, А. Эшенмозера.
Сесквитерпены содержатся в различных эфирных маслах растений и смолах. В эту же
группу входят высокоактивные соединения, такие, как фитоалексины, защищающие
растения от болезней, ихтиотоксины, обладающие высокой токсичностью для рыб, а
также, многочисленные сесквитерпеновые лактоны, сходные, например, с
глауколидом проявляющие высокий спектр биологической активности. Некоторые из
сесквитерпенов (аналогично би - и тритерпенам) в качестве биохимических
маркеров нефти используются для прогнозирования нефтяных запасов в недрах
земли. [4]
Классификация сесквитерпенов, построена так же,
как и у монотерпенов - по степени циклизации углеродного скелета. Но так как
число соединений и структурных вариантов весьма велико в ряду сесквитерпенов,
то в настоящее время при отнесении сесквитерпена к определенному типу
учитывается не только углеродный скелет, но и пространственная структура
молекулы.
.3.1 Ациклические сесквитерпены
Можно рассматривать как ненасыщенные соединения
жирного ряда с 4 двойными связями. Их структуру можно изобразить двояко:
линейно или в виде незамкнутого бициклического соединения [1]:
Важными ациклическими сесквитерпенами являются
фарнезаны, производные 2,6,10-триметилдодекана. В природе найдены фарнезен
(живицы хвойных семейства Pinaceae,
масло хмеля), нероледол (широко распространен), фарнезол (эфирное масло липы и
ландыша) и некоторые другие оксипроизводные этого ряда [5]:
.3.2 Циклические сесквитерпены
Различают моноциклические, бициклические и
трииклические сесквитерпены.
.3.2.1 Моноциклические сесквитерпены
Представляют собой соединения с одним замкнутым
гидроароматическим кольцом и с двумя двойными связями. Одна из связей находится
в кольце, другая - в алифатической цепи. [1]
Моноциклические сесквитерпены
представлены несколькими группами, различающимися по размеру цикла. Это
соединения с циклогексановым фрагментом - циклофарнезаны, бисаболены, элеманы;
соединения 1-изопропил-4,8-диметил-циклодекановой структуры - гермакраны;
сесквитерпены гумуланового типа с 1,1,4,8-тетраметилциклоундекановым скелетом
[5]:
Соединения гермакрановой группы
интересны тем, что среди их функциональных производных на первое место выходят
лактоны. Они многочисленны также во многих других группах сесквитерпенов, что и
послужило причиной выделения их в отдельный класс природных соединений -
сесквитерпеновые лактоны. Эти лактоны образуются взаимодействием спиртовой
группы, находящейся в цикле и карбоксильной группой окисленного α-изопропильного
фрагмента, формируя таким образом γ-лактоновое
кольцо с разветвлением. В качестве разветвления выступают обычно метильная или
метиленовая группа, последняя иногда функционализируется до эпоксидной,
спиртовой или гликолевой. Сочленение углеводородного и лактонового циклов
обычно имеет транс-конфигурацию, но иногда встречаются сесквитерпеновые лактоны
цис-конфигурации [5]:
3.3.2.2
Бициклические сесквитерпены
Это
соединения с двумя конденсированными неароматическими кольцами и двумя
этиленовыми связями. [1] Бициклические сесквитерпены являются самой
многочисленной группой терпенов по структурным типам. Наиболее
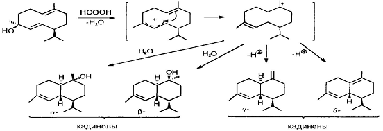
распространенными из них являются: кадинаны, эудесманы, эремофиланы
(4,4,0-бициклодекан); гваяны и каротаны (5,3,0-бициклодекан); кариофиланы (7,2,0-бициклодекан);
спироциклические - ветиваны и шамиграны [5]:
Особой группой среди
бициклических сесквитерпенов являются производные азулена - высоконепредельного
соединения с пятью двойными связями [1]:
Если проанализировать
структурные формулы сесквитерпенов, приведенных выше, то можно достаточно
однозначно предсказать целый ряд их химических превращений в соответствии со
свойствами функциональных групп, у них имеющихся. Во-первых, это серия реакций
олефиновых связей: электрофильное галогенирование, гидратация в присутствии
кислот, различные реакции окисления - от способа Вагнера, ведущего к гликолям,
до полного расщепления двойных связей до соответствующих кислот и т.д. Также
для сесквитерпенов, содержащих гидроксильные, кетонные, альдегидные и
карбоксильные группы, характерны реакции дегидратации, этерификации, окисления
и т.д.
Структурное богатство
сесквитерпенов делает их весьма лабильными соединениями. Конформационное и конфигурационное
разнообразие их молекул, сочетание нескольких функциональных групп - все это
служит предпосылкой для достаточно сложных и неоднозначных превращений
сесквитерпеновых соединений.
Наиболее интересны и
многогранны превращения сесквитерпенов, включающие образование промежуточных
соединений и переходных состояний карбокатионного типа, провоцирующих
рототропию и скелетные перегруппировки. Так, α-гумулен
является неустойчивым соединением и легко изомеризуется на окиси алюминия в
3-изомер:
Прототропия имеет место и при
дегидратации сесквитерпеновых спиртов: из эпиэлемола при отщеплении воды (в
зависимости от используемого реагента) образуются изомерные эпи-элемены:
Некоторые реакции дегидратации
сесквитерпеновых спиртов сопровождаются раскрытием циклов, особенно если
исходная углеродная система существенно напряжена:
Часто при дегидратации
сесквитерпеновых спиртов в кислых условиях происходят перегруппировки
углеродного скелета. Так, гермакра-1,6-диен-5-ол при обработке муравьиной
кислотой образует продукты трансаннулярной циклизации [5]:
.3.2.3
Трициклические сесквитерпены
Соединения с тремя конденсированными
без этиленовых связей, встречаются нечасто. Они найдены в эфирных маслах
эвкалипта (аромадендрен), некоторых видов сосны (геераболен), санталовой
древесины (санталеин) и др. В трициклических сесквитерпенах часто имеется
азуленовый бицикл. [1]
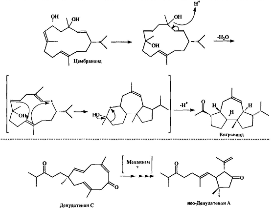
3.4 Дитерпены
Дитерпены широко распространены
в природе и выделяются обычно из высококипящих фракций эфирных масел растений.
Дитерпенами являются: фитол, входящий в состав молекул хлорофилла и
токоферолов, витамин А, смоленные кислоты и другие соединения. [4]
Таблица
|
Основные
типы и некоторые представители дитерпенов
|
|
Название
|
Структура
|
Источник
и свойства
|
|
Фитол
|
|
Распространен
повсеместно как компонент хлорофиллов.
|
|
Из
водяного папортника
|
|
Цембрен(цембрановые)
|
|
Выделен
из сосновой смолы, существует несколько изомеров по положению двойных связей
и их гидроксипроизвод-ные.
|
|
Агатовая
кислота (лабдановые
|
|
Представитель
лабдано-вых терпенов, распространенных существенно шире, чем цембрановые,
особенно в виде кислородных производных - спиртовых, карбонильных и
карбоксильных.
|
|
Eunicillin
|
|
Из
средиземноморских кораллов Eunicella stricta
|
|
Абиетиновая
кислота (абиетановые)
|
|
Наряду
с изомерными ей кислотами представляет группу смоляных кислот, основной
компонент нелетучей части живиц хвойных - канифоль.
|
|
Циататриол
|
|
Агликон
некоторых гли-козидных антибиотиков.
|
|
Таксицин
(таксаны)
|
|
Выделен
из различных видов Тисса (Taxus spp.J.
|
|
Euphoreppinol
|
|
Из
растения семейства Euphorbiacea
|
Ациклические дитерпены очень
немногочисленны, можно сказать, представлены единичными представителями - это
фитол и его производные. Из последних интересен дитерпеноид, являющийся сложным
эфиром фитола и соответствующей ему карбоновой кислоты.
Моноциклические дитерпены в
наибольшей степени представлены макроциклическими производными цембранового
типа с 14-ти углеродным скелетом цикла.
Бициклические дитерпены
представлены углеродными системами декалина - лабданами и дриманами,
являющимися одними из главных групп этого типа. Также многочисленны бициклы,
образованные из цембранов за счет дополнительного мостика внутри этого большого
цикла.
Трициклические дитерпены чаще
обнаруживаются в хвойных. Из них наиболее интересны производные абиетана и таксана.
В последнее время найдено немало трициклических дитерпенов с конденсированными
циклами различного размера и в различных сочетаниях - циатановые соединения,
например.
Химические возможности
дитерпенов, порожденные многообразием углеродных скелетов и насыщенности их
разнообразными функциональными группами, очень велики.
Многие химические свойства
дитерпеноидов можно предсказать, анализируя их химические структуры. Как
правило, это перегруппировочные процессы, следствием которых являются
взаимопереходы одних структурных типов дитерпенов в другие. Особенно к этому
склонны дитерпены, содержащие углеродные циклы большого размера: цембрановые,
вибсановые и др. Ненасыщенные циклы большого размера, ввиду своей
конформационной подвижности, при инициировании, (обычно каталитическом)
электрофильного центра, имеют тенденцию к образованию новых эндоциклических
углерод-углеродных связей, в результате чего молекула увеличивает свою степень
цикличности: моноциклические дитерпены преобразуются в бициклические, бициклические
- в трициклические и т.д. [5]:
Нередки в группе дитерпенов
соединения и с тетрациклическим углеродным скелетом: например, эуфоретинол
содержит уникальную 5-7-6-3 конденсированную циклическую систему.
3.5 Тритерпены
Это довольно сложные в
структурном соотношении природные терпены построенные из 6 изопреновых единиц.
Тритерпеноиды отличаются от
всех предыдущих групп изопреноидов, во-первых - меньшим разнообразием
структурных типов, во-вторых - большим распространением в разнообразных
организмах: их находят в растениях, в микроорганизмах, в животных, в морских
организмах и в органических геологических сферах (нефть, осадочные породы) как
в свободном виде, так и в виде гликозидов (сапонины). Следующая особенность этих
соединений - некоторые тритерпеноиды претерпевают деградацию углеродного
скелета, причем иногда весьма существенную - от С30 до С|8.
Эти деградированные тритерпены образуют группу соединений специфической и очень
важной физиологической активности под общим названием стероиды, которые
характерны, в основном, для высших животных и человека, в том числе. [5]
Основополагающим тритерпеном всего класса
тритерпеноидов является сквален. Этот изопреноид найден во многих растениях,
микроорганизмах, животных (в том числе, морских).
Растительные тритерпены, повсеместно
встречающиеся в различных растениях, обычно накапливаются в последних в виде
эфиров различных кислот или в виде гликозидов. В последнем случае они образуют
так называемые стероидные сапонины, а тритерпены, участвующие в этих
образованиях, выделяют в группу сапогенинов.
Самое большое количество
тритерпеновых сапогенинов приходится на тип олеонена - более 50%. Достаточно
часто встречается сапонины манестановой и даммарановой структуры.
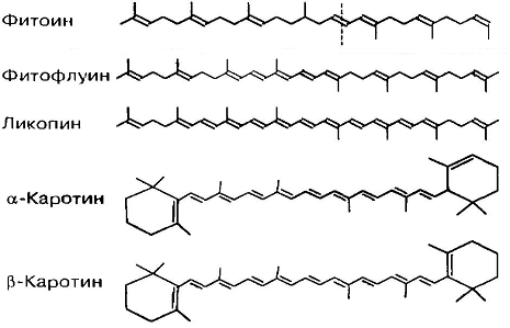
3.6 Тетратерпены
Тетратерпены включают одну единственную
структурную группу - каратиноиды.
Каратиноиды - (от лат. carota - морковь и греч.
eidos -вид), природные пигменты от желтого до красно-оранжевого цвета,
синтезируемые бактериями, водорослями, грибами, высшими растениями, некоторыми
губками, кораллами и др. организмами; обусловливают окраску цветов и плодов.
Молекулы всех каратиноидов представляют собой
полиеновые сопряженные системы, система сопряжения которых, как минимум,
составляет девять олефиновых фрагментов, а чаще - десять или одиннадцать таких
фрагментов, т.е. это мощная делокализованная π-система
(исключение - фитоин и фитофлуин, имеющие три и пять сопряженных двойных связей
соответственно).
Все каратиноиды можно разделить на три группы:
. Каратиноиды ациклической структуры;
. Дициклогексановые каратиноиды, молекулы
которых на концах углеводородной цепочки имеют два циклогексановых фрагмента;
. Моноциклогексановые каратиноиды,
имеющие только на одном конце цепи циклогексановый фрагмент.
Циклогексановый цикл молекул каратиноидов имеет
всегда три метильных группы, часто - двойные связи, спиртовые и карбонильные
функции, иногда - метокси-, эпоксти-, алленовые и ацетиленовые фрагменты. В
плане электронного строения каратиноиды характеризуются высокой степенью
электродонорности (легко отдают электроны) и высокой степенью
электроноацепторности (легко принимают электроны).
Отсюда вытекают такие свойства каратиноидов как
легкость окисления и восстановления, их способность поглощать фотоны малой и
средней энергии (т.е. видимый и УФ-свет). [5]
Каротиноиды - кристаллические вещества желтого
или оранжевого цвета, нерастворимые в воде, плохо - в спирте; хорошо растворимы
в неполярных органических растворителях (хлороформ, петролейный эфир, бензин),
жирных маслах. Растворы имеют окраску от желтой до оранжевой и оранжево-красной
с желтовато-зеленой флуоресценцией.
Каротиноиды в силу своей химической природы
(длинная алифатическая цепочка и большое количество ненасыщенных связей) легко
окисляются кислородом воздуха, разрушаются на свету. Кислая среда ускоряет
окисление.
При окислении β-каротина
образуется ретиналь (витамин А). Реакция идет по центральной связи С=С с
образованием циклического пероксида в качестве промежуточного соединения [5]:
Гидрироваине в присутствии катализаторов
приводит к частичному или полному восстановлению двойных связей.
Идентификация.
· Для качественного обнаружения
каротиноидов можно использовать химические реакции и хроматографию на
силикагеле. Каротиноиды извлекают из сырья хлороформом и к хлороформному
извлечению прибавляют концентрированную серную кислоту (синее окрашивание,
переходящее в слой серной кислоты) или концентрированную азотную кислоту (синее
окрашивание, переходящее в зеленое и грязно-желтое). Хроматограммы проявляют
10% этанольным раствором фосфорно-молибденовой кислоты, нагревают в сушильном
шкафу при температуре 60-80°С несколько минут. На желто-зеленом фоне появляются
синие пятна каротиноидов.
· Каротиноиды поглощают свет с длиной
волны 280-550 нм (это зеленая, синяя, фиолетовая, ультрафиолетовая области
спектра). Чем больше в молекуле сопряженных двойных связей, тем больше длина
волны поглощаемого света. Соответственно меняется и окраска пигмента.
Каротиноиды, имеющие 3-5 сопряженных двойных связей, бесцветны, они поглощают
свет в ультрафиолетовой области. Дзета-каротин с семью связями имеет желтую
окраску, нейроспорин с девятью связями - оранженвую, ликопин с 11 связями - оранжево-красную.
Следовательно, каратиноиды определяют по интенсивности максимума поглощения
света в видимой области
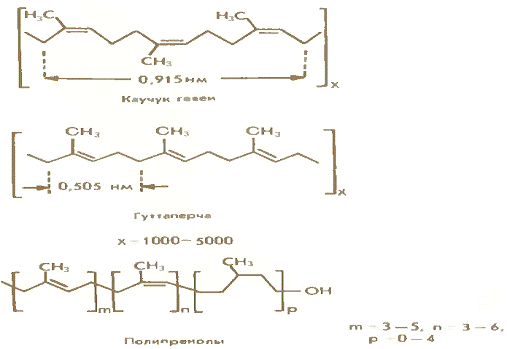
3.7 Политерпены
К терпенам этой группы относятся такие природные
соединения, как каучук (цис-1, 4-полиизопрен), гуттаперча (транс-1, 4-полиизопрен)
и полипренолы.
Каучук легко вступает в химические реакции с
целым рядом веществ: кислородом, водородом, галогенами, серой и другими. Эта
высокая реакционная способность каучука объясняется его ненасыщенной химической
природой. Особенно хорошо реакции проходят в растворах каучука, в которых
каучук находится в виде молекул сравнительно крупных коллоидных частиц. Почти
все химические реакции приводят к изменению физических и химических свойств
каучука: растворимости, прочности, эластичности и других. Кислород и особенно
озон, окисляют каучук уже при комнатной температуре. Внедряясь в сложные и
большие молекулы каучука, молекулы кислорода разрывают их на более мелкие, и
каучук, деструктируясь, становится хрупким и теряет свои ценные технические
свойства. Процесс окисления лежит также в основе одного из превращений каучука
- перехода его из твёрдого в пластичное состояние.
Важным свойством каучука и гуттаперчи является
вулканизация с помощью серы:
Доказательство строения каучука доказано
озонолизом, при котором образуется левулиновый альдегид (4-оксипентаналь). [9]
4. Идентификация
Качественных реакций для доказательства скелета
терпенов нет, так как это либо цикл, либо углеводородная цепочка, с сопряженной
системой.
Так как терпены являются карбоциклами, их
строение доказывается с помощью рентгеноструктурного анализа (РСА). С помощью 13С
можно отличить сесквитерпены от других.
С помощью качественных реакций можно доказать
наличие функциональных групп. Например, реакция с марганцовкой на спиртовую
функциональную группу. Если марганцовка обесцветилась и появился приятный
запах, следовательно образовался эфир. Это доказывает первичную -ОН группу.
Если появился неприятный запах и марганцовка так же обесцветилась, значит была
вторичная спиртовая группа, так как образовался кетон. А если ничего не
произошло, значит спиртовая группа третичная.
5. Выделение
терпенов и терпеноидов
Основным методом выделения и разделения нейтральных
терпеноидов из хвойных является газожидкостная и адсорбционная хроматография.
Методом ГЖХ идентифицируют моно- и сесквитерпены и их кислородсодержащие
производные. [10]
Хроматография на оксиде алюминия позволяет
отделять сесквитерпеновые углеводороды от их кислородсодержащих производных
(терпеноидов), разделять последние на спирты, кетоны, лактоны. С помощью этого
метода можно получать сесквитерпены в индивидуальном состоянии. [11]
6. Применение терпенов и терпеноидов
Терпены и терпеноиды широко применяют
(индивидуально или в виде скипидара, смол, эфирных масел, бальзамов и т.п.) в
производствах парфюмерных композиций, косметических изделий, бумаги и картона.
Применяют как пищевые эссенции, лекарственные средства, растворители,
пластификаторы, инсектициды, например полихлорпинен и полихлоркамфен,
флотационное масло, иммерсионные жидкости и др.
Медицинское применение терпеноидов основано на
их антисептических, дезинфицирующих свойствах. Все терпеноиды обладают
спазмолитическим действием, седативные, отхаркивающие средства (терпингидрат),
противовоспалительные и бактерицидные, возбуждающие сердечную деятельность и
дыхание (камфора).
Монотерпены оказывают бактерицидное, мочегонное,
возбуждающее действие; обладают антивирусными свойствами; применяются в
качестве фунгицидов (убивают грибки), антисептики, инсектициды.
Полезные свойства сесквитерпенов достаточно
разнообразны. Некоторые из них обладают приятным и устойчивым запахом, что
позволяет использовать их в парфюмерии (пачулевый спирт, эфиры фарнезола,
санталол) в качестве душистых компонент и фиксаторов запаха. Они оказывают
обезболивающее, бактерицидное, противовоспалительное, успокаивающее,
противовирусное действие; применяются как антибиотики, антисептики,
противогрибковые средства; снимают мышечные боли (спазмолитики); понижают
кровяное давление.
По многим данным перспективными в качестве
лекарственных препаратов являются сесквитерпеновые лактоны. Спектр их действия
достаточно широк: они обладают бактерицидной, фунгицидной, антифидантной и
аттрактантной активностью; проявляют свойства регуляторов роста растений.
Биологическая активность дитерпенов ярко
выражена. Они очень часто проявляют цитотоксическую активность, например,
таксол - это потенциальное противовоспалительное лекарство. Некоторые дитерпеноиды
обладают росторегуоирующим действием в растениях, проявляют антифунгицидную
активность и антифидантную активность и др. Природные дитерпеноиды являются
ценными лекарственными препаратами. [4]
Гликозиды тритерпеноидов, т.е. сапонины,
являются поверхностно-активными веществами, образуют устойчивую мыльную пену,
обладают гемолитическим действием, ядовиты для животных дышащих жабрами. Многие
тритерпеновые гликозиды являются активными компонентами лекарственных растений
восточной медицины, обеспечивая им противовоспалительный эффект,
цитотоксическое действие и др. [5]
Список литературы
[1]
Муравьева Д.А. Фармакогнозия, Москва, «Медицина», 1978.
[2]
Мелентьева Г.А., Антонова Л.А. Фармацевтическая химия, Москва, «Медицина»,
1985.
[3]
Ким А.М. Органическая химия. Учебное пособие. Новосибирск, 2002.
[4]
Овчинников Ю.А. Биоорганическая химия, Москва, «Просвещение», 1987.
[5]
Племенков В.В. Введение в химию природных соединений, Казань, 2001.
[6]
Тюкавкина Н.А., Бауков Ю.И. Биоорганическая химия: Учебник для студ. мед.
институтов, Москва, «Медицина», 1991
<http://rushim.ru/books/biochemie/tukavkina.djvu>.
[7]
Гринкевич Н.И. Химический анализ лекарственных растений, Москва, «Высшая
школа», 1983.
[8]
Государственная Фармакопея СССР 10-е изд., Москва, «Медицина», 1968.
[9]
Гауптман З., Грефе Ю., Ремане Х. Органическая химия, Москва, «Химия», 1979.
[10]
Семенов А.А. Терпеноиды хвойных рвстений, Новосибирск, 1987.
[11]
Пигулевский Г.В. Терпены и кумарины, «Наука», Москва, 1965.
.
Грандберг И.И. Органическая химия. Учеб. для студ. вузов. 4-е изд. Москва,
«Дрофа», 2001.
.
Робертс Дж. Основы органической химии, «Мир», 1978.
.
Бриттон Г. Биохимия природных пигментов, Москва, «Мир», 1986.
.
Eberhard
Breitmaier. Terpens, WILEY-VCH Verlag Gmbh & Co. KGaA, Weinheim.