Гендерные особенности поведения в конфликтных ситуациях мужчин и женщин

  • Вид работы:
    Курсовая работа (т)
  • Предмет:
    Психология
  • Язык:
    Русский
    ,
    Формат файла:
    MS Word
    132,94 Кб
  • Опубликовано:
    2012-08-13
Вы можете узнать стоимость помощи в написании студенческой работы.
Помощь в написании работы, которую точно примут!

Гендерные особенности поведения в конфликтных ситуациях мужчин и женщин

Содержание

Введение

Глава 1. Общая характеристика конфликтов и гендерных конфликтов

.1 Классификация конфликтов по различным основаниям

.2 Конфликт как социальное взаимодействие субъектов

.3 Виды и сферы проявления гендерных конфликтов

Глава 2. Структура тестов. Математико-статистический анализ

.1 Описание теста Томаса «Определение стиля поведения, личностной предрасположенности к конфликтному поведению» и теста на оценку уровня конфликтности личности

.2 Обработка тестов методом математико-статистического анализа

Заключение

Приложение

Список литературы

Введение

Актуальность: В современном обществе очень популярна идея равенства полов. Но так ли они равны на самом деле? Или люди до сих пор пользуются веками накопленными стереотипами, но влияют на поведение и отношение полов друг к другу? На наш взгляд это очень важные вопросы, которые крайне актуальны, так как в настоящее время в современной науке большое внимание стало уделяться проблеме гендера (gender - социальный пол) и развития гендерного направления гуманитарных наук, взаимодействия

Темой данной работы является исследование гендерных моделей поведения людей в конфликтных ситуациях.

Объект исследования: конфликтные ситуации

Предмет исследования: гендерные модели поведения в конфликтных ситуациях

Целью данного исследования является выявление типичных моделей поведения в конфликтных ситуациях у мужчин и женщин.

Для этого ставятся следующие задачи:

). Дать теоретический анализ конфликта и его видов.

). Проанализировать литературу на предмет представленности в ней данной проблемы.

). Описать способы взаимодействия в конфликтных ситуациях у мужчин и женщин.

). Исследовать гендерные модели поведения в конфликтных ситуациях с помощью методики Томаса для определения стиля поведения, личностной предрасположенности к конфликтному поведению и теста на определение оценки уровня конфликтности личности и описать.

). Проследить и выявить с помощью t-критерия Стьюдинга, u-критерия Манна-Уитни, различия в гендерных моделях поведениях.

Гипотеза: Преобладающая модель поведения в конфликтных ситуациях у юношей и у девушек различна. У мужчин по сравнению с женщинами более выражено агрессивность, девушки в свою очередь склонны к компромиссу.

Для подтверждения данной гипотезы были использованы методики Томаса для определения стиля поведения, личностной предрасположенности к конфликтному поведению и теста на определение оценки уровня конфликтности личности.

Для обработки полученных в ходе исследования данных использовался несколько методов математико-статистического анализа - t-критерий Стьюдинга, u-критерий Манна-Уитни.

В исследовании приняло участие 37 человека-19 девушек и 18 юношей в возрасте 18-20 лет.

Глава 1. Общая характеристика конфликтов и гендерных конфликтов

1.1 Классификация конфликтов по различным основаниям

Во всех науках, имеющих дело с множеством разнородных объектов, возникает проблема типологии. В социальных и гуманитарных науках эта проблема наиболее сложна, т.к. во-первых, практически невозможно проводить чистые эксперименты (в отличии от естественных наук), во-вторых, имеются трудности методологического характера.

Однако проблема есть, и попытки построения типологии конфликтов были и остаются в поле зрения многих социальных исследователей.

Анализируя их взгляды, можно прийти к одному бесспорному утверждению - произошел отказ от поиска единой типологии как полного и однозначного отображения любого конфликта, что предполагает признание множества типологий.

После вызревания и начала открытого столкновения сторон каждый конфликт начинает развиваться по своим собственным законам. Динамика и тенденции развития конфликтов определяются целым рядом факторов: степенью сложности причин и условий их породивших; силой эмоциональных переживаний участников; степенью решимости сторон добиваться достижения своих целей; реальными возможностями удовлетворения претензий сторон; наличие материальных, финансовых, организационных средств у сторон; готовностью участников идти на уступки друг другу; вмешательством внешних факторов и другими. (1)

Классификация конфликтов очень важна, т.к. она дает возможность ориентироваться в их специфических проявлениях и, следовательно, помогает оценить возможные пути их разрешения.

Исследователи выдвигают различные подходы к классификации конфликтов. Так, социологи обращают внимание, прежде всего, на макро- или микроуровень конфликтов, на такие их основные типы, как социально-экономический, национально-этнический и политический. Юристы различают внутри - и внесистемные конфликты, сферы их проявления, в том числе семейно-бытовые, культурные и социально-трудовые, а также разнообразие хозяйственных, финансовых и имущественных конфликтов, возникающих в условиях рыночной экономики. Для управленческой конфликтологии характерен свой подход - более отчетливо представлять как основные элементы конфликтов, так и многообразие способов их проявления, развертывания и регулирования и т.д.

Многие ученые-исследователи типологизируют конфликты с помощью системного подхода. Согласно этому подходу, действия системы и ее компонентов, направленные на достижение цели с применением определенных средств, есть не что иное как осуществление функций системы, которые они направляют на достижение системных целей.

Изучение структур и механизмов, обеспечивающих устойчивость социальных систем, предпринятое представителями структурно-функционального анализа (Т. Парсонс, Р. Мертон, К. Дэвис и другие), привело к созданию различных типологий структур и функций систем, так или иначе связанных с конфликтами. Т. Парсонс выделяет четыре обязательных требования к системе: адаптация к внешним объектам; целеполагание; поддержание бесконфликтного отношения между элементами системы (интеграция); выполнение институциональных нормативных предписаний. В отличие от Т. Парсонса Р. Мертон сосредоточил внимание на дисфункциональных явлениях, возникающих вследствие противоречий и напряжений в социальной структуре. В своей работе «Социальная структура и аномия» он выделяет пять типов приспособления индивидов в обществе (конформизм, инновация, ритуализм, ретриатизм, мятеж). Отклонение от каждого из этих типов означает неизбежность конфликта либо с властью, либо с так называемой репрезентативной группой. Деление конфликтов на внутри - и внесистемные имеет познавательное и практическое значение.

Особенно важна трактовка внутрисистемных социальных противоречий конфликтов. Л. Козер считал, что общества можно разделить на «ригидные» (закрытые) и плюралистические (открытые). В ригидных обществах большие группы разрешают свои интересы через революционное насилие, в плюралистических же существует возможность решения конфликта через разнообразные социальные институты. Представляют интерес в этом направлении и взгляды Э. Гидденса. По его мнению, каждый отдельный тип общества характеризуется плюрализмом форм господства и эксплуатации, которые не могут быть сведены к единому классовому принципу. Наряду с классовой эксплуатацией существуют другие виды эксплуататорских отношений: между государствами; между этническими группами; между мужчинами и женщинами (эксплуатация по половому признаку). Таким образом, внутрисистемные противоречия могут лежать в основании типологии конфликтов.

Согласно общей теории конфликтов К. Боулдинга, общественные конфликты в соответствии с уровнем организованности сторон делятся на три большие группы: конфликты на уровне индивидуумов; групп; организаций. Для этих уровней обусловлена и соответствующая типология: конфликты между индивидуумами; пограничные конфликты между изолированными в пространстве группами; экологические конфликты между пересекающимися в пространстве группами; конфликты между индивидуумом и организацией, группой и т.д. В общей теории конфликтов А. Рапопорта выделяются три главных типа и одновременно три уровня конфликтов: война, игра и спор. Война - бескомпромиссная борьба до победоносного конца и применение любых, в том числе насильственных средств. Игра - разрешение конфликта на основе действий по заранее определенным правилам: результат - получение выигравшим существенных, но не жизненно важных, преимуществ. Спор - используются только мирные средства; цель- достижение согласия с другой стороной.

Интересную типологию конфликтов предложил профессор Иельского университета Роберт Даль (р. 1915г.). По его мнению, конфликты подразделяются на:

• биполярные (двусторонние) и мультиполярные (многосторонние) - в зависимости от числа противостоящих участников конфликта;

• кумулятивные (усиливающиеся) и перекрещивающиеся - в зависимости от сходства и различия состава участников конфликта;

• конфликты, ведущие к поляризации и сегментации - в зависимости от степени или уровня антагонизма участников.

Под поляризацией понимается глубокий раскол общества на две противоположные группы, между которыми мирными средствами противоречие неразрешимо. Сегментация - это дробление общества на ряд слоев и групп с различными интересами и ценностями, конфликтующими между собой, но при этом стабильность общества гарантирована системой взаимных уступок, переговоров, консультаций.

В конфликтах, которые не затрагивают основ общественно-политического устройства, действия сторон могут разворачиваться в рамках институтов существующей политической системы. Практически такие конфликты развиваются на основе своеобразного соглашения сторон, и их результатом может стать компромисс, т.е. новое социальное соглашение.

В целом, конфликты можно классифицировать по различным основаниям: причинам; составу сторон; динамике развития; формам действия сторон; социальным целям и последствиям.

Наиболее распространенные классификации конфликтов, основаны на таких критериях, как: стороны конфликта; характер потребностей, ущемление которых вызвало конфликт; направленность конфликта; временные параметры конфликта.

В зависимости от сторон, конфликты делятся на: внутриличностные, межличностные; внутригрупповые (между личностью и группой); межгрупповые; международные и т.д. В аспекте потребностей, блокирование которых послужило предпосылкой конфликтов, они могут делиться на: материальные, статусно-ролевые, духовные.

По направленности конфликты подразделяются на: горизонтальные, которые возникают между партнерами, коллегами; вертикальные - между подчиненными и начальством. По временным параметрам конфликты подразделяются на: кратковременные, быстротечные, длительные (государственные, национальные, религиозные).

По критериям результативности конфликты делятся на два типа:

• конструктивные, нормальные, позитивные, где группы сохраняют свою целостность, а отношения

между членами группы носят характер сотрудничества, кооперации;

• деструктивные, патологические, негативные, когда взаимоотношения между людьми приобретают нецивилизованный характер в форме противостояния, борьбы. (2)

Конфликты различаются между собой также по легальности существования (открытые и латентные); по направленности развития (субъекты-цели), по скорости; типам (когнитивные и мотивационные); по «механизму» их разрешения; по сложности и важности. Когнитивными ученые называют конфликты, отражающие противоположные или противоречивые точки зрения на события, факты. Они протекают в форме дискуссий, споров, полемики на страницах газет и журналов и т.д. Если дискуссия ведется цивилизованно, то обычно не возникает опасности перехода этого типа в мотивационное, в основе которых лежат столкновения коренных интересов сторон. В зависимости от интенсивности, уровня антагонизма отношения между сторонами конфликта могут быть двух типов: радикально конфликтными, если какой-либо общий интерес отсутствует; частично конфликтными, когда, несмотря на столкновение, стороны имеют какой-либо общий интерес. Анализ и оценка конфликтов предполагают их группировку, систематизацию, деление по существенным признакам, типам и видам. Такая классификация нужна как своего рода модель изучения предмета в ее целостности, методологический инструмент различения всего спектра конфликтных проявлений.

Конфликты, как уже отмечалось при характеристике их основных черт, явление не только неизбежное и повсеместное, но и многоликое. Каждое конфликтное столкновение по-своему уникально, неповторимо по причинам возникновения, формам взаимодействия двух или более сторон, исходу и последствиям.

1.2 Конфликт как социальное взаимодействие субъектов

Среди основных качеств конфликтного взаимодействия ученые-исследователи называют следующие:

конфликт, как и консенсус, есть одно из свойств общественных отношений; конфликт есть внутреннее, психическое состояние человека, характеризующееся острой напряженностью и другими патологическими явлениями; конфликт есть не только внутреннее состояние человека, но и внешне выраженная на вербальном и невербальном уровне форма человеческого поведения; конфликт - не просто состояние психической напряженности, а особое эмоциональное состояние, которое характеризуется преобладанием негативных эмоций, пронизывающих и психику, и действия конфликтных сторон. Именно этим признаком конфликт отличается от близких к нему по форме, но иных по существу, видов социального взаимодействия, таких, как соревнование, конкуренция, спортивные состязания и т.п.

В целом, конфликт всегда есть некоторое состояние тех или иных социальных взаимоотношений, которые и выступают в качестве его общей основы. Однако при всей своей распространенности конфликт все же представляет собой явление временное. Следует учитывать, что в качестве постоянного состояния общества все же выступает согласие, партнерство, сотрудничество, дружеские и любовные отношения.

Необходимо также отметить, что конфликт может выступать не только как средство для достижения цели, но и заключать «в самом себе цель и содержание». Впервые на это обратил внимание Г. Зиммель. Так, различного рода хиппи, панки, фанаты и иные группы часто устраивают демонстрации протеста, хулиганские действия ради самого протеста, демонстрации девиантного (от позднелат. - deviatio - отклонение) поведения, которое может носить и конфликтный характер. К девиантному поведению относится не только негативное поведение. Часто к нему относят стремление к новому, решительность в преодолении консервативных традиций, различные виды научно-технического и художественного творчества. Однако новаторство одних нередко оборачивается непониманием со стороны других, необходимостью вступать в конфликт.

Назначение конфликта было и есть преодоление чрезмерно обострившихся противоречий, нахождение оптимального выхода из возникшего противостояния, поддержание взаимодействия субъектов социальных связей в условиях серьезного расхождения их интересов, оценок и целей. За многие века, выработанное «золотое правило», где человек в отношениях с другими людьми должен проявлять лояльность, терпимость, добрую волю, справедливость и т.д., указывает на то, что он должен строить свои отношения на взаимном доверии, надежности в словах и на деле.

Известно, что всякие взаимоотношения (как деловые, так и сугубо личностные) эффективны только при уступчивости и сдержанности сторон, партнерстве, обоюдном стремлении к разрешению противоречий и конфликтов. Практика же показывает, что так не всегда бывает в реальной жизни. Каждый человек, каждая людская общность сталкивается с трудно разрешаемыми проблемами, разного рода ограничениями.

Человек в процессе взаимодействия с другими субъектами проявляет присущие ему отношение к партнерам, которое может порождать противоречия и напряженность, непримиримость и вражду.

Как отмечалось выше, в зависимости от субъектов конфликтного взаимодействия существуют четыре основных типа конфликтов: внутриличностный, межличностный, внутригрупповой и межгрупповой.

Внутриличностный конфликт - в этом случае сторонами конфликта могут выступать две или более составляющие одной или той же личности; в этом случае мы имеем дело с конфликтно - генным столкновением отдельных особенностей личности и поведения человека;

Межличностный конфликт - это столкновение между отдельными индивидами в процессе их социального и психологического взаимодействия. Это открытое столкновение взаимодействующих субъектов на основе возникших противоречий, выступающих в виде противоположных целей, не

совместимых в какой-то конкретной ситуации. Противоречия могут возникать в различных сферах общественной жизни: бытовой, экономической, политической и т.д. Конфликт между индивидами может

возникнуть из-за собственности, а может и из-за того, что люди не сошлись характерами, не могут уступить друг другу в мелочах. Люди с разными характерами, несовместимыми темпераментами просто не в состоянии ладить друг с другом.

Межличностные конфликты имеют свои отличительные особенности:

• здесь проявляется весь спектр известных причин: общих и частных, объективных и субъективных;

• являются своеобразным «полигоном» проверки характеров, темпераментов, проявления способностей, интеллекта, воли и других особенностей;

• отличаются высокой эмоциональностью;

• затрагивают интересы не только конфликтующих, но и тех, с кем они непосредственно связаны.

Для возникновения межличностного конфликта необходимо наличие противоречий. Противоречия, возникающие из-за несовпадения во взглядах, оценках людей по самым различным явлениям, ведут к ситуации спора. Если она представляет угрозу одному из участников, то возникает конфликтная ситуация.

Конфликтная ситуация характеризуется наличием у сторон противоположных целей и стремлений по овладению одним объектом. Например, вопрос лидерства в учебной группе между студентами. Для возникновения конфликта необходим повод, который активизирует действие одной из сторон. В качестве повода могут выступать любые обстоятельства вплоть до участия третьей стороны. В данном случае поводом может послужить негативное мнение об одном из претендентов в лидеры любого студента.

В конфликтной ситуации выявляются субъекты и объект конфликта. К субъектам межличностного конфликта относят тех участников, которые отстаивают свои собственные интересы, стремятся к достижению своей цели. Объектом конфликта считается то, на что претендуют его участники. Это та цель, к достижению которой стремится каждый из противоборствующих субъектов. Предметом конфликта в такой ситуации служат противоречия, в которых проявляются противоположные интересы субъектов.

Причины межличностных конфликтов могут быть самыми разнообразными в зависимости от сферы проявления. Так, в организации конфликты могут возникнуть из-за противоречий в области распределения ресурсов, неудовлетворительных коммуникаций, различия в целях, индивидуально-психологических особенностей, социально-психологических явлений (статус, роль, позиция и т.д.). В семье - из-за ограничения свободы, активности и действий, девиантного поведения одного или нескольких членов семьи, наличия противоположных интересов и т.д.

Групповые конфликты представляют собой не что иное, как противоборство, в котором хотя бы одна из сторон представлена малой социальной группой. Такое противоборство возникает на основе столкновения противоположно направленных групповых мотивов.

Выделяются два основных типа групповых конфликтов: внутригрупповой (или конфликт «личность - группа»); межгрупповой (или конфликт «группа-группа»).

Внутригрупповой конфликт (между личностью и группой) возникает тогда, когда эта личность занимает позицию, отличную от позиции группы. Этот тип конфликта имеет много общего с межличностным конфликтом, однако, он более многоплановый. Группа включает в себя целую систему отношений, она определенным образом организована, в ней имеются формальный и/или неформальный лидер и т.д. К внутриличностным и межличностным причинам конфликта добавляются еще и причины, обусловленные групповой организацией.

Конфликты между личностью и группой возникают в среде групповых взаимоотношений или отличаются некоторыми особенностями. Первая особенность - связана со структурой конфликта, конфликтное взаимодействие происходит на основе столкновения личностных и групповых мотивов. Вторая особенность - отражает специфику причин рассматриваемого конфликта. Причины же непосредственно связаны с положением индивида в группе, которое характеризуется такими понятиями, как «позиция», «статус», «внутренняя установка», «роль», «групповые нормы». Причины конфликтов, возникающих между личностью и группой всегда связаны: с нарушением ролевых ожиданий; с неадекватностью внутренней установки статусу личности; с нарушением групповых норм. Третья особенность - находит свое отражение в формах проявления данного конфликта - применение групповых санкций; существенное ограничение или полное прекращение неформального общения членов группы с конфликтующим; резкая критика в адрес конфликтующего; эйфория со стороны конфликтующего и т.д.

Межгрупповой конфликт (между группами) выражается в столкновении противоположно направленных групповых мотивов, интересов, ценностей, целей различных групп. В этом состоит одна из существенных особенностей таких конфликтов. К такому типу относятся конфликты между социальными группами самого разного размера: малыми, средними и большими.

Характер любого разногласия существенно определяется внешней средой, в которой возникает конфликт. Укажем на три важнейшие условия протекания конфликта:

пространственно - временные: место осуществления противоречия и время, в течение которого оно должно быть разрешено;

социально - психологические: климат в конфликтующей группе, тип и уровень общения;

социальные: вовлечённость в противоречие интересов различных социальных групп (половых, семейных, профессиональных, этнических и национальных).

конфликт гендерный тест томас

1.3 Виды и сферы проявления гендерных конфликтов

Социально-экономические и политические изменения в современном мире, жесткий темп общественной жизни требует от мужчин и женщин мобилизации таких личностных ресурсов, как способность корректировать образ «Я», умение правильно понимать собственные чувства и желания, а также мотивы и поступки других людей.

Многокомпонентная структура гендера определяется четырьмя группами характеристик: биологический пол, гендерные стереотипы, гендерные нормы и гендерная идентичность. (5)

Как отмечалось в предыдущих лекциях, гендерная идентичность - аспект самосознания, описывающий переживание человеком себя как представителя определенного пола. Это одна из базовых характеристик личности и формируется в результате психологической интериоризации (от лат. interior - внутренние) мужских или женских черт, в процессе взаимодействия «Я» и других, в ходе социализации. Осознание собственной половой принадлежности и становление гендерной идентичности человека - одно из направлений его социализации. Процесс гендерной социализации определяется и направляется с помощью различных социальных и культурных средств. Для этого в каждом обществе существуют определенные гендерные роли. (6)

Американские социальные психологи М.Дойч и Р.Краусс отмечают, что нецелесообразно пытаться искать всеобъемлющее определение понятия «роль», а достаточно указать те аспекты социального поведения, которые имеют в виду большинство авторов. Они выделяют следующие аспекты:

• роль как существующая в обществе система ожиданий относительно поведения индивида в его взаимодействии с другими;

• роль как система специфических ожиданий по отношению к себе индивида, т.е. как он представляет модель своего поведения во взаимодействии с другими;

• роль как открытое, наблюдаемое поведение индивида, занимающего определенное положение. (7)

В широком смысле понятие роли обозначает способ поведения людей в системе межличностных отношений, зависящий от их позиций в обществе и отвечающий принятому в данном обществе набору норм, предписаний и ожиданий. Под гендерной ролью понимают систему социальных стандартов, стереотипов, которым человек должен соответствовать, чтобы его признавали как мужчину или женщину.

Стереотип - это мнение о личных качествах группы людей, которое может быть чрезмерно обобщенным и неточным. Стереотипы, в том числе и гендерные, часто порождают слишком условное и упрощенное представление о людях, формируют ожидания и установки в отношении других. Даже собственные представления личности о себе могут быть тесно связаны со стереотипами. Женщина, проявившая свои способности, желая реализовать свой потенциал, часто приходит к конфликту с традиционными взглядами окружающих на место женщины в обществе, и возможно, к конфликту с собственным представлением о себе как о личности. Они сталкиваются с завышенными требованиями, дискриминацией при приеме на работу, при служебном продвижении - все это препятствует реализации женщиной себя как личности, приводит к различного рода конфликтам.

Но и на мужчин гендерные стереотипы также оказывают негативное влияние. Для многих из них полное соответствие нормам успешности (статус, умственная, физическая твердость, антиженственность) недостижимо, что вызывает стресс и приводит к компенсаторным реакциям: ограничение эмоциональности, гомофобия, навязчивое стремление к соревнованию и успеху и т.п.

Социально-психологический анализ гендерных ролей дает ключ к осознанию таких психологических проблем, как межличностные и внутриличностные ролевые конфликты. Когда поведение индивида, который выполняет какую-либо социальную роль, соответствует ожидаемому образцу, оно считается успешным. Успешность выполнения роли индивидом зависит от ряда факторов: знание роли; значимость выполняемой роли; умение выполнять данную роль; способность рефлексировать свое ролевое поведение. Неуспешное выполнение той или иной роли может вызвать конфликт. Под ролевым конфликтом обычно понимается ситуация, в которой индивид, имеющий определенный статус, сталкивается с несовместимыми ожиданиями. Различают два типа ролевых конфликтов: межролевые и внутриролевые. К межролевым относятся конфликты, вызываемые тем, что индивиду одновременно приходится исполнять слишком много ролей, поэтому он не может исполнять все роли одинаково качественно. Внутриролевой конфликт порождается противоречивыми требованиями, предъявляемыми к исполнителю одной роли значимыми для него людьми или разными социальными группами.

Гендерный стереотип закрепления социальных ролей за определенным полом влияет на возникновение гендерных конфликтов, в первую очередь, на интраиндивидуальном уровне (внутриличностные). Они представляют собой внутреннее состояние человека, вызванное его противоречивыми представлениями, мотивами, моделями поведения. (8) Наиболее ярким проявлением столкновения традиционных нормативных требований к ролевому поведению женщин и реальной ситуации их жизнедеятельности служит феномен, который в социально-психологической литературе описан как «ролевой конфликт работающей женщины». Этот конфликт возникает вследствие большого количества социальных ролей, которые выполняет женщина, и нехватки физических ресурсов для полноценного выполнения этих ролей.

Ролевой конфликт работающей женщины - это комплекс субъективных негативных переживаний, возникающих у женщин при отрицательной оценке ею того, как она справляется с совмещением ролей в профессиональной и семейной сферах.

Наиболее выраженный деструктивный показатель ролевого конфликта это чувство вины, которое рождается из модели восприятия женщиной своих ролей. Чувство вины характеризуется высокой устойчивостью и множеством сфер проявления - это отношение женщины к детям, мужу, работе, самой себе. Вероятность внутриличностных гендерных конфликтов возрастает, если человек, вопреки своим желаниям и потребностям, следует социокультурным предписаниям («мужчины так себя не ведут», «женщины так не поступают»).

Еще одним примером внутриличностного конфликта является экзистенциальная (от позднелат. exsistentia - существование) кризисная ситуация. Эта ситуация, которая затрагивает основы существования человека и обращает его к проблеме своего отношения с миром, поиску и обретению смысла своего бытия.

Данный конфликт может быть инициирован событиями, которые неожиданно ставят человека лицом к лицу с фундаментальными вопросами его жизни, например, принятие важного решения, разрушение некоторых фундаментальных моделей поведения или способов взаимодействия с другими. Мужчины, воспринимающие профессиональную деятельность и карьеру как единственное и самое главное предназначение своей жизни, оказываются в ситуации экзистенционального конфликта в случае потери работы или выхода на пенсию. Женщины же, реализуя «истинно женское предназначение быть матерью и хранительницей домашнего очага», часто переживают экзистенциональный кризис в период психологического отделения повзрослевших детей от семьи. Экзистенциональный конфликт, нарушая привычный образ существования, требует от человека переосмысления своей жизни. Успешное преодоление конфликта является жизненно значимой задачей для человека, а результатом его разрешения часто становится появление каких-то новых качеств и условий жизни.

В повседневной жизни не так просто сразу выделить существенные характеристики той или иной модели отношений (партнерские или доминантно-зависимое). Наиболее явно они проявляются в поведении людей в ситуации гендерного межличностного конфликта. В психологической литературе описаны продуктивные и непродуктивные способы поведения в конфликтной ситуации. К продуктивным способам относятся такие типы поведения, как сотрудничество, компромисс, а к непродуктивным - соперничество, вражда, приспособление и избегание. Здесь любое возникшее противоречие интерпретируется в терминах борьбы между мужчиной и женщиной, в которой кто-то обязательно должен одержать победу (чаще всего мужчина). Участник конфликта использует все доступные ему средства, чтобы добиться своего, получить максимум желаемого и утвердиться в своем превосходстве над партнером.

Маскулинные мужчины часто ориентированы на позицию доминирования в отношениях, а женщины - на систему зависимости и подчинения.

Современные психологи связывают будущее человека с партнерским стилем взаимодействия. Доминирование, борьба за власть, должность, положение могут привести общество к краху. Гендерный подход помогает прогрессивно мыслящим психологам развивать универсальную человеческую психологию, опирающуюся на партнерский стиль взаимодействия и равноправие.

Построение правового государства и формирование гражданского общества в Азербайджане ставит много социальных проблем, связанных с гендерным подходом как в теории, так в практической жизни.

Острые социальные противоречия приводят к выводу о насильственном воспроизводстве гендерной иерархии - сохранения власти и социальных ролей по половому признаку. Проблемы гендерной иерархии создают конфликтное поле в современном азербайджанском обществе. Конституция Азербайджанской Республики и многочисленные законодательные акты, принимаемые в стране, декларируют равенство между мужчиной и женщиной. Так, Конституцией Азербайджана в ст. 25 (право на равенство) гарантируется и мужчинам, и женщинам равные права и свободы, равенство независимо от расы, национальности, религии, языка, пола, происхождения, имущественного и служебного положения, они должны обладать и равными возможностями и т.д. (9). Однако на деле дискриминация скрытым, а иногда и прямым образом в стране усугубляется.

Разрыв между приватной и публичной сферой жизни, в доходах мужчин и женщин, высокий уровень безработицы, практическое отсутствие женщин на всех уровнях принятия решений, рост насилия по отношению к ним, отсутствие достаточных ресурсов обеспечения немногих программ по защите материнства и детства - это далеко не полный перечень проблем, которые приводят к гендерным конфликтам в республике.

Проведенные в республике Центром АРЕАТ исследования показывают, что осуществление женщинами своих прав затруднено из-за:

• несоответствия между действующим законодательством и исполнительным механизмом;

• недостаточной юридической и правовой грамотности и знания процедур;

• ограниченного участия женщин в работе законодательных, исполнительных и судебных органах;

• неполной информации о существующих правах и свободах мужчин и женщин.

Глава 2. Общая характеристика конфликтов и гендерных конфликтов

2.1 Описание теста Томаса «Определение стиля поведения, личностной предрасположенности к конфликтному поведению» и теста на оценку уровня конфликтности личности

Тест К. Томаса предназначен для изучения стиля поведения в конфликтной ситуации. Методика разработана американским психологом К. Томасом в 1973 году. По мнению К. Томаса, центральным механизмом, определяющим поведение человека в конфликте, является соотношение интересов конфликтующих сторон. Для описания поведения в конфликте, он предложил двухмерную модель регулирования конфликта, основополагающими измерениями которой являются: кооперация - направленность на интересы другого человека, вовлеченного в конфликт, и напористость - направленность на собственные интересы. Соответственно этим двум измерениям К. Томас выделил следующие пять основных способов (стили) поведения в конфликтной ситуации: соперничество, сотрудничество, компромисс, избегание и приспособление. В тесте каждый способ поведения в конфликте описывается с помощью 12 суждений. В различных сочетаниях они представлены в 30 парах, в каждой из которых обследуемому предлагается выбрать только одно суждение, которое в наибольшей степени соответствует его поведению в конфликтной ситуации. Подсчитывается количество ответов, соответствующих каждому способу поведения, и, в зависимости от набранных баллов, делается вывод о преобладании того или иного стиля поведения в конфликте и степени его выраженности.

Согласно К.Томасу:

§ В случае избегания конфликта, ни одна из сторон не достигнет успеха;

§  В случае соперничества, уступчивости и компромисса, кто-то выигрывает, кто-то проигрывает, или обе стороны проигрывают, потому что идут на компромисс;

§  Только в ситуации сотрудничества обе стороны оказываются в выигрыше.

«Тест на оценку уровня конфликтности личности» позволил определить как в каждом отдельном случае, так и общий уровня конфликтности личности.

2.2 Обработка тестов методом математико-статистического анализа

Таблица 1


Девушки

Юноши

1. Противоборство

92

87

2. Сотрудничество

116

116

3. Компромисс

145

126

4. Избегание

110

125

97

96

Оценка УКЛ

28,84

28,39




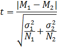
Рассчитаем t-критерий Стьюдента.

Критерий Стьюдента направлен на оценку различий величин средний значений двух выборок, которые распределены по нормальному закону. Одним из главных достоинств критерия является широта его применения. Он может быть использован для сопоставления средних у связных и несвязных выборок, при чем выборки могут не равны по величине.

Для применения t-критерия Стьюдента необходимо соблюдать следующие условия:

1.   Измерение может быть проверено в шкале интервалов и отношений.

2.       Сравниваемые выборки должны быть распределены по номерному знаку.

В данном случае с незначительно отличающимся размером выборки применяется упрощённая формула приближённых расчетов:


Где M1, M2 - средне арифметические,σ1, σ2 - стандартные отклонения, а N1, N2 - размеры выборок.

Таблица 2

выборки

Отклонения от среднего

Квадраты отклонений


В.1

В.2

В.1

В.2

В.1

В.2

1

87

92

-23

-20

529

400

2

116

116

6

4

36

16

3

126

145

16

33

256

1089

4

125

110

15

-2

225

4

5

96

97

-14

-15

196

225

Суммы

550

560

0

0

1242

1734

среднее

110






Результат: tэмп=0,2

Критические значения

tКр

p≤0,05

р≤0,01

2,31

3,36


Ось значимости:

            …               0,05                            0,01                 !

зона незначимости                              ?                          зона значимости

                                       2,31                                  3,36

Полученное эмпирическое значение t(0,2) находится в зоне незначимости.

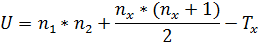
U-критерий Манна-Уитни.

Критерий предназначен для оценки различий между двумя выборками по уровню какого-либо признака, количественно измеренного.

Для применения u-критерия нужно произвести следующие операции.

·    Составить единый ранжированный ряд из обеих сопоставляемых выборок, расставив их элементы по степени нарастания признака и приписав меньшему значению меньший ранг. Общее количество рангов получается равным:


Где n1 - количество единиц в первой выборке, а n2 - количество единиц во второй выборке.

·    Разделить единый ранжированный ряд на два, состоящие соответственно из единиц первой и второй выборок. Подсчитать отдельно сумму рангов, пришедшихся на долю элементов первой выборки, и отдельно на долю элементов второй выборки. Определить большую из двух рангов сумму(Тх), соответствующую выборке с nх единиц. Определить значение U-критерия по формуле:


По таблице для избранного уровня статистической значимости определить критическое значение критерия для данных n1 и n2.

Таблица 3

Выборка 1

Ранг 1

Выборка 2

Ранг 2

1

87

1

92

2

2

116

6,5

116

6,5

3

126

9

145

20

4

125

8

110

5

5

96

3

97

4

Сумма


27,5


27,5

Результат: Uэмп=12,5

Критические значения

UКр

p≤0,01

р≤0,05

1

4


Ось значимости:

!                          0,01                                    0,05

зона значимости                         ?          зона незначимости

1                            4

Полученное эмпирическое значение Uэмп (12,5) находится в зоне незначимости.

Выводы: Качественный анализ показал, что уровень конфликтности средний по результатам у девушек выше чем у юношей на 0,45 единиц. Для юношей (7) и для девушек (7,63) преобладающей моделью поведения является компромисс, самые низкие показатели по противоборству, (4,83); (4,84); избегание преобладает больше у юношей (6,94), чем у девушек(5,79), сотрудничество у юношей (6,4) и у девушек (6,1) и уступчивость девушек (5,11) немного меньше, чем у юношей.

Заключение

Целью данного исследования явилось выявление типичных моделей поведения в конфликтных ситуациях у мужчин и женщин. Проведя тесты и сделав обработку мы выявили, что уровень конфликтности средний по результатам у девушек выше чем у юношей на 0,45 едениц. Для юношей(7) и для девушек(7,63) преобладающей моделью поведения является компромисс, самые низкие показатели по противоборству , (4,83);(4,84); избегание преобладает больше у юношей(6,94), чем у девушек( 5,79), сотрудничество у юношей (6,4) и у девушек(6,1) и уступчивость девушек(5,11) немного меньше, чем у юношей.

Во второй главе исследовала гендерные модели поведения в конфликтных ситуациях с помощью методики Томаса для определения стиля поведения, личностной предрасположенности к конфликтному поведению и теста на определение оценки уровня конфликтности личности и описать; проследила и выявила с помощью t-критерия Стьюдента, u-критерия Манна-Уитни, различия в гендерных моделях поведениях.

Сформулированная гипотеза была подтверждена использованием методики Томаса для определения стиля поведения, личностной предрасположенности к конфликтному поведению и теста на определение оценки уровня конфликтности личности.

Приложение

Тест на оценку уровня конфликтности личности

. Характерно ли для Вас стремление к доминированию, то есть к тому, чтобы подчинить своей воле других?

а) нет; б) когда как; в) да.

. Есть ли в Вашем коллективе люди, которые Вас побаиваются, а возможно, и ненавидят?

а) да; б) ответить затрудняюсь; в) нет

. Кто вы в большей степени?

а) да; б) затрудняюсь ответить; в) нет.

. Кто вы в большей степени?

а) пацифист; б) принципиальный; в) предприимчивый.

. Как часто вам приходится выступать с критическими суждениями?

а) часто; б) периодически; в) редко.

. Что для вас было бы наиболее характерно, если бы вы возглавили новый коллектив?

а) разработал бы программу работы коллектива на год вперёд и убедил бы коллектив в его целесообразности;

б) изучил бы кто есть кто и установил контакт с лидерами;

в) чаще бы советовался с людьми.

. В случае неудачи, какое состояние вам характерно?

а) пессимизм; б) плохое настроение; в) обида на самого себя.

. Характерно ли для вас стремление отстаивать и соблюдать традиции коллектива?

а) да; б) скорее всего да; в) нет.

. Относите ли вы себя к людям, которым лучше сказать горькую правду, чем промолчать?

а) да; б) скорее всего да; в) нет.

. Из трёх личных качеств, с которыми вы боретесь, чаще всего стараетесь изжить в себе:

а) раздражительность; б) обидчивость; в) нетерпимость критики других.

. Кто вы в большей степени?

а) независимый; б) лидер; в) генератор идей.

. Каким человеком считают вас друзья?

а) экстравагантным; б) оптимистом; в) настойчивым.

. Против чего вам чаще всего приходится работать?

а) с несправедливостью; б) с бюрократизмом; в) с эгоизмом.

. Что для вас наиболее характерно?

а) недооцениваю свои способности;

б) оцениваю свои способности объективно;

в) переоцениваю свои возможности.

. Что вас приводит к столкновению и конфликту с людьми чаще всего?

а) излишняя инициативность; б) излишняя критичность; в) излишняя прямолинейность.

Ключ

А Б В

. 1 2 3

. 3 2 1

. 1 3 2

. 3 2 1

. 3 2 1

. 2 3 1

. 3 2 1

. 3 2 1

. 2 1 3

. 3 1 2

. 2 1 3

. 3 2 1

. 3 2 1

. 1 2 3

Уровни развития конфликтности

- 17 - очень низкий уровень

- 20 - низкий

- 23 - ниже среднего

- 26 - чуть ниже среднего

- 29 - средний

- 32 - чуть выше среднего

- 35 - выше среднего

- 38 - высокий

-42 - очень высокий

Оценка способов реагирования в конфликте.

. а) Иногда я представляю возможность другим взять на себя ответственность за решение спорного вопроса;

б) Чем обсуждать то, в чём мы расходимся, я стараюсь обратить внимание на то, в чём мы оба согласны.

. а) Я стараюсь найти компромиссное решение;

б) Я стараюсь уладить его с учётом интересов другого человека и моих собственных.

. а) Обычно я настойчиво стремлюсь добиться своего;

. а) Я стараюсь найти компромиссное решение;

б) Я стараюсь не задеть чувств другого человека.

. а) Улаживая спорную ситуацию, я всё время пытаюсь найти поддержку у другого;

б) Я стараюсь делать то, чтобы избежать бесполезной напряжённости.

. а) Я пытаюсь избежать неприятности для себя;

б) Я стараюсь добиться своего.

. а) Я стараюсь отложить решение спорного вопроса, с тем чтобы со временем решить его окончательно;

б) Я считаю возможным в чём - то уступить, чтобы добиться в другом.

. а) Обычно я настойчиво стремлюсь добиться своего;

б) Я первым делом стараюсь определить то, в чём состоят все затронутые интересы и спорные вопросы.

. а) Думаю, что не всегда стоит волноваться из- за каких- то возможных разногласий;

б) Я предпринимаю усилия, чтобы добиться своего.

. а) Я твёрдо стремлюсь добиться своего;

б) Я пытаюсь найти компромиссное решение.

. а) Первым делом я стремлюсь ясно определить то, в чём состоят все затронутые интересы и спорные вопросы;

б) Я стараюсь успокоить другого, и главным образом, сохранить наши отношения.

. а) Зачастую я избегаю занимать позицию, которая может вызвать споры;

б) Я даю возможность другому в чём-то остаться при своём мнении, если он также идёт навстречу.

. а) Я предлагаю среднюю позицию;

б) Я настаиваю, чтобы всё было сделано по-моему.

. а) Я сообщаю другому свою точку зрения и спрашиваю о его взглядах;

б) Я пытаюсь доказать другому логику и преимущество моих взглядов.

. а) Я стараюсь успокоить другого и сохранить наши отношения;

б) Я стараюсь сделать всё необходимое, чтобы избежать напряжение.

. а) Я стараюсь не задеть чувств другого;

б) Я обычно пытаюсь убедить другого в преимуществах моей позиции.

. а) Обычно я настойчиво стремлюсь добиться своего;

б) Я стараюсь сделать всё, чтобы избежать бесполезной напряжённости.

. а) Если это сделает другого счастливым, я дам ему возможность настоять на своём;

б) Я дам настоять на своём мнении другому, если он идёт мне навстречу.

. а) Первым делом я пытаюсь определить то, в чём состоят все затронутые вопросы и интересы;

б) Я стараюсь отложить спорные вопросы, с тем чтобы со временем решить их окончательно.

. а) Я пытаюсь немедленно преодолеть наши разногласия;

б) Я стараюсь найти наилучшее сочетание выгод и потерь для нас обоих.

. а) Во время переговоров стараюсь быть внимательным к другому;

б) Я всегда склоняюсь к прямому обсуждению проблемы.

. а) Я пытаюсь найти позицию, которая находится посередине между моей и позицией другого человека;

б) Я отстаиваю свою позицию.

. а) Как правило я озабочен тем, чтобы удовлетворить желания каждого из нас;

б) Иногда представляю другим взять на себя ответственность за решение спорного вопроса.

. а) Если позиция другого кажется ему очень важной, я стараюсь идти ему навстречу;

б) Я стараюсь убедить другого пойти на компромисс.

. а) Я пытаюсь убедить другого в своей правоте;

б) Ведя переговоры, я стараюсь быть внимательным к аргументам другого.

. а) Я обычно предлагаю среднюю позицию;

б) Я почти всегда стремлюсь удовлетворить интересы каждого из нас.

. а) Зачастую стремлюсь избежать споров;

б) Если это сделает другого человека счастливым, я дам ему возможность настоять на своём.

. а) Обычно я настойчиво стремлюсь добиться своего;

б) Улаживая ситуацию, я обычно стремлюсь найти поддержку у другого.

. а) Я предлагаю среднюю позицию;

б) Думаю, что не всегда стоит волноваться из - за возникающих разногласий.

. а) Я стараюсь не задеть чувств другого;

б) Я всегда занимаю такую позицию в споре, чтобы мы совместно могли добиться успеха.

Ключ для опросника.

Соперничество: 3а, 6б, 8а, 9б, 10а, 13б, 14б,16б, 17а, 22б, 25а, 28а.

Сотрудничество: 2б, 5а, 8б, 11а, 14а, 19а, 20а, 21б, 23а, 26б, 28б, 30б.

Компромисс: 2а, 4а, 7б, 10б, 12б, 13а, 18б, 20б, 22а, 24б, 26а, 29а.

Избежание: 1а, 5б, 7а, 9а, 12а, 15б, 17б, 19б, 21а, 23б, 27а, 29б.

Приспособление: 1б, 3б, 4б, 6а, 11б, 15а, 16а, 18а, 24а, 25б, 27б, 30а.

Список литературы

1. Мельник В.А. Политология. Учеб. 2-е изд. - Минск, 1997

. Конфликтология. / Под ред. В.П.Ратникова. - М., 2001

. Робер М.-А., Тильман Ф. Психология индивида и группы. - М., 1988

. Анцупов А.Я., Шипилов А.И. Конфликтология. - М., 1999

. Майерс Д. Социальная психология. - СПб., 1997

. Хрестоматия к курсу «Основы гендерных исследований» / Отв. ред. О.А.Воронина и др. - М., 2000

. Андреева Г.М. и др. Зарубежная социальная психология XX столетия. Теорет. подходы: учеб. пособ. для вузов. - М., 2001

. Клецина И.С. Гендерный подход и внутриличностные конфликты / Женщина. Образование. Демократия. Материлаы второй международной междисциплинарной научно-практической конференции. - Минск, М., 2000

. Azərbaycan Respublikasının Konstitusiyası. - B., 2003

. Сидоренко Е.В. Методы математической обработки в психологии. - СПб.: Речь, 2003.

Похожие работы на - Гендерные особенности поведения в конфликтных ситуациях мужчин и женщин

 

Не нашли материал для своей работы?
Поможем написать уникальную работу
Без плагиата!
Без нейросетей!