Исследование ассортиментной политики ЧТУП 'Виткрас' и определение путей ее совершенствования
Введение
В торговом предприятии коммерческая
деятельность непосредственно влияет на его экономические результаты, которые
напрямую зависят от предлагаемого ассортимента товаров.
Ассортиментная политика - наиболее
важный из всех инструментов, с помощью которых любое предприятие должно
действовать на постоянно меняющемся рынке. При нерациональной структуре
ассортимента происходит снижение как потенциального, так и реального уровня
прибыли предприятия, потеря конкурентных позиций на перспективных потребительских
и товарных рынках. Обоснованность принимаемых решений по вносимым изменениям в
структуру розничного ассортимента на предприятиях сферы торговли во многом
зависит от правильности разработки и реализации их ассортиментной политики.
Формирование ассортимента составляет основу товарной политики предприятия.
Товарная политика имеет экономическое и социальное значение. Экономическая
важность заключается в том, что умелое управление ассортиментом товаров
позволит предприятию выжить в условиях жесткой конкуренции и стать
преуспевающим. С социальной стороны управление ассортиментом воспитывает у
потребителей вкусы, формирует потребности, и наоборот, вкусы и потребности
потребителей оказывают большое влияние на товарную политику.
Ассортиментная политика приобретает
особую значимость в нынешних условиях, когда к товару со стороны потребителя
предъявляются повышенные требования по ассортименту и качеству, и от
эффективности работы предприятия с производимым товаром зависят его
экономические показатели. Как свидетельствует мировой опыт, лидерство в
конкурентной борьбе получает тот, кто наиболее компетентен в ассортиментной
политике, владеет методами её реализации и максимально эффективно управляет ею.
Вышеизложенное подтверждает
актуальность исследуемой темы.
Объектом исследования данной
дипломной работы является предприятие розничной торговли ЧТУП «Виткрас», а в
частности один из сети магазинов «Азбука красоты», расположенный по адресу ул.
Правды, 58-А. Предметом исследования является политика в области формирования торгового
ассортимента розничного магазина косметики, парфюмерии и бытовой химии.
Целью данной дипломной работы
является усовершенствование ассортиментной политики и структуры товарного
ассортимента в магазине розничной торговли «Азбука Красоты».
Для достижения поставленной цели
необходимо решить следующие задачи:
а) рассмотреть понятие и
сущность ассортимента товаров;
б) исследовать ассортиментную
политику, как процесс формирования ассортимента товаров;
в) изучить методику анализа
товарного ассортимента;
г) провести анализ
ассортиментной структуры и выявить слабые места в торговом ассортименте
магазина «Азбука Красоты»;
д) на основании проведённых
исследований предложить ряд практических рекомендаций по улучшению выявленных
недостатков в структуре ассортимента;
В работе использована учебная
литература, учебно-методические пособия по исследуемой теме, монографии,
научные труды, материалы периодической печати, а также специальные методы
анализа ассортимента
Практическое применение результатов
исследования, проведенного в данной работе, позволит увеличить прибыльность
магазина розничной торговли и повысить рентабельность коммерческой деятельности
за счет внедрения маркетингового комплекса мероприятий.
1 Теоретические основы
формирования ассортимента и ассортиментной политики
.1 Формирование
ассортимента продукции
ассортимент
политика продукция
Ассортимент товаров - совокупность
их видов, разновидностей и сортов, объединённых или сочетающихся по
определённому признаку. Основными группировочными признаками товаров являются
производственный, сырьевой и потребительский. Ассортимент должен оказывать
максимально притягательное воздействие на покупателей.
Формирование ассортимента товаров -
процесс подбора и установления номенклатуры товаров, соответствующей спросу
покупателей и обеспечивающей высокую прибыльность торгового предприятия.
Важнейшим принципом формирования ассортимента товаров является обеспечение его
соответствия характеру спроса населения, обслуживаемого предприятием торговли.
Процесс формирования ассортимента должен предусматривать комплексное
удовлетворение спроса покупателей в рамках избранного сегмента рынка. В связи с
этим ассортимент товаров, предлагаемых покупателям, должен обладать достаточной
широтой и глубиной. При этом широта ассортимента определяется числом товарных
групп, подгрупп и наименований товаров, включённых в номенклатуру, а глубина -
числом разновидностей товаров по каждому наименованию.
Номенклатура, или товарный
ассортимент - это вся совокупность изделий, представленных в торговом зале. Она
включает различные виды товаров. Вид товара делится на ассортиментные группы
(типы) в соответствии с функциональными особенностями, качеством, ценой. Каждая
группа состоит из ассортиментных позиций (разновидностей или марок), которые
образуют низшую ступень классификации.
Широкий ассортимент позволяет
диверсифицировать продукцию; ориентироваться на различные требования
потребителей и стимулировать совершение покупок в одном месте. Одновременно он
требует вложения ресурсов и знаний в различные категории продукции. Глубокий
ассортимент может удовлетворять потребности различных покупательских сегментов
по одному товару; максимизировать использование места в торговых точках;
препятствовать появлению конкурентов; предлагать диапазон цен и стимулировать поддержку
дилеров. Однако он также увеличивает расходы на поддержание запасов,
модификацию продукции и выполнение заказов. Кроме того, могут возникнуть
определенные трудности в дифференциации между двумя схожими ассортиментными
позициями. Обычно сопоставимым ассортиментом легче управлять, чем
несопоставимым. Сопоставимый ассортимент позволяет предприятию
специализироваться в сфере маркетинга, создавать прочный образ. Однако
чрезмерная концентрация может сделать предприятие уязвимым перед угрозами со
стороны внешней среды, колебаний в сбыте, замедления потенциала роста в силу
того, что весь упор делается на ограниченный ассортимент товаров [6].
Номенклатура буквально означает
перечень имен. Таким образом, номенклатура продукции - это перечень групп
товаров, предлагаемых конкретным продавцом. Продавец же может предлагать
покупателям продукцию одного или многих производителей, привлекая номенклатуру
продукции каждого из них в полном объеме либо частично. Номенклатура как
экономическая категория имеет укрупненный характер. Речь может идти, например,
о мужской, женской или детской обуви, о спальных или столовых гарнитурах, о
телевизорах или магнитофонах, о карамели или шоколаде. По существу это
ассортиментные группы, а номенклатура продукции представляет собой перечень
ассортиментных групп продукции или товаров.
Ассортимент продукции буквально
означает подбор предметов, совокупность их наименований по каким-либо
признакам. С этой точки зрения ассортимент может быть простым или сложным,
узким или широким. Такая классификация предусматривает выделение групп
однородной продукции или товаров по признаку вида, сорта, марки и т.п.
Формируются ассортиментные признаки
в пределах товарных групп, внутри которых предметы имеют определенное сходство
[11].
Для распределения ассортимента по
группам, выделяют следующие их виды, которые представлены четырьмя
направлениями.
Виды ассортиментных групп:
а) ассортиментные группы по
местонахождению товаров;
В отношении промышленных предприятий
устанавливается производственный ассортимент продукции, в отношении торговых
предприятий - торговый ассортимент товаров. Первый отражает специализацию
предприятия и служит основанием для заключения договоров поставки. Во втором
случае складываются основания судить о масштабах возможности торгового предприятия
удовлетворять потребности населения и различают специализированные и
универсальные торговые предприятия.
Торговый ассортимент - перечень
товаров, формируемых организацией с учётом спроса, материально - технической
базы и специализации магазина.
б) ассортиментные группы по широте
охвата товаров:
Групповой ассортимент товаров
показывает перечень укрупненных товарных групп, составляющих номенклатуру
товаров. Так, в продовольственном магазине могут продаваться гастрономические и
бакалейные продукты, а в магазине спортивных товаров - летний и зимний
спортивный инвентарь.
Видовой ассортимент товаров отражает
наличие в группе товаров ряда видов. Например, в составе молочных продуктов
могут быть представлены кефир, сливки, творог и т.п. Мужская обувь включает такие
понятия как сапоги, ботинки, туфли, босоножки.
Внутривидовой ассортимент товаров
представляет разновидности продукции, членения вида на части. Так, творог может
быть разной степени жирности, самовары - разной вместимости, обувь - разного
фасона, ткани - разной расцветки и т.п. Внутривидовой ассортимент товаров может
иметь разную глубину развития, детализации. В этом смысле можно говорить о
степени сложности ассортимент. Например, лекарственные препараты, применяемые
при определенном заболевании человека, могут быть представлены средствами для
наружного или внутреннего употребления, в виде таблеток или жидкостей, иметь
разную фасовку, упаковку и т.п.
Простой - набор товаров,
представленный небольшим количеством групп, видов и наименований, которые удовлетворяют
ограниченное число потребителей.
Сложный - набор товаров представлен
значительным количеством групп, видов разновидностей наименований, которые
удовлетворяют разнообразные потребности.
Развёрнутый - набор товаров, который
включает значительное количество групп, подгрупп, разновидностей наименований,
но отличающихся индивидуальными признаками.
Сопутствующий - набор товаров,
который выполняет вспомогательные функции и не относится к основным.
Смешанный - набор товаров разных
групп, отличающихся большим разнообразием функционального назначения.
в) виды ассортиментов по степени
удовлетворения потребителей:
Рациональный ассортимент - набор
товаров наиболее полно удовлетворяющий реально обоснованные потребности,
которые обеспечивают максимальное качество жизни на данном этапе.
Оптимальный - набор товаров,
удовлетворяющий реальные потребности с максимально полезным эффектом для
потребителей при минимальных затратах.
г) разновидности ассортимента по
характеру потребностей:
Реальный - действительный набор товаров
находящийся в магазине у продавца.
Прогнозируемый - набор товаров,
который может удовлетворять предполагаемые потребности.
Учебный - набор товаров для изучения
и достижения учебных целей.
С полным основанием изложенные
положения о номенклатуре и ассортимента продукции могут быть отнесены к
выполнению работ и оказанию услуг, в отношении которых также выделяются группы,
виды, подвиды продукции.
Планирование номенклатуры и
ассортимента продукции может и должно базироваться на знании предпринимателем
потребностей рынка и его состояния. Такое знание достигается в результате
осуществления деятельности, получившей название маркетинга.
Используется множество определений,
посвященных маркетингу в разное время и разными авторами. В совокупности все
они, несмотря на многообразие формулировок, сводятся к одному суждению -
изучение рынка, анализ спроса, прогноз продаж, обеспечение наиболее полного
удовлетворения общественных потребностей. Удовлетворение же, в свою очередь,
достигается предложением соответствующих сложившемуся спросу и новых товаров,
налаживанием коммуникаций сбыта продукции, созданием служб сервиса,
сопровождающих процесс использования товара.
Формирование ассортимента - проблема
подбора конкретных товаров, их отдельных серий, определения соотношений между
«старыми» и «новыми» товарами, товарами единичного и серийного производства,
«наукоемкими» и «обычными» товарами, овеществленными товарами, лицензиями и
«ноу-хау». При формировании ассортимента возникают проблемы установления
ценовой политики, требований к качеству товара, определения гарантий и уровня
сервисного обслуживания и др. Важно также определить, собирается ли фирма
играть роль лидера в предложении принципиально новых видов продуктов, или
вынуждена следовать за другими «игроками» на рынке [15].
Формирование ассортимента
предшествует разработка предприятием ассортиментной концепции. Она представляет
собой направленное построение оптимальной ассортиментной структуры, товарного
предложения, при этом за основу принимаются, с одной стороны, потребительские
требования определенных групп (сегментов рынка), а с другой - необходимость
обеспечить наиболее эффективное использование предприятием сырьевых,
технологических, финансовых и иных ресурсов с тем, чтобы производить изделия с
низкими издержками.
1.2 Планирование
ассортимента. Ассортиментная политика
Ассортиментная политика -
определение набора товарных групп, наиболее предпочтительного для успешной
работы на рынке и обеспечивающего экономическую эффективность деятельности
предприятия в целом [4].
Задачи ассортиментной политики:
а) довлетворение запросов
потребителей - один из основных принципов маркетинга, который соответствует
задаче глубокой сегментации и дифференциации рынка и обеспечивает тесную связь
с потребителями;
б) оптимальное использование
технологических знаний и опыта предприятия;
в) оптимизация финансовых
результатов предприятия - формирование ассортимента основывается на ожидаемой
рентабельности и величине прибыли, что чаще встречается в практике работы
предприятий, однако может быть оправдано при тяжелом финансовом положении,
отсутствии альтернатив и др.;
г) завоевание новых
покупателей путем изменения структуры ассортимента, его глубины, широты,
полноты.
д) соблюдение принципов
гибкости за счет оперативного вмешательства в структуру ассортимента, благодаря
эффективной работе склада, а также за счёт сотрудничества с гибкими
поставщиками [7].
Широкая ассортиментная гамма
предоставляемой продукции укрепляет рыночные позиции предприятия и расширяет
объем продаж.
Ассортиментная политика определяет
оптимальное соотношение набора товаров, разных по стадиям жизненного цикла, но
одновременно находящихся на рынке. Оптимизация номенклатуры товаров,
одновременно находящихся на рынке, но различающихся по степени новизны,
позволяет гарантировать предприятию относительно стабильные общие условия
обеспечения объемов реализации, покрытия расходов и достижения прибыли.
Большое значение имеет выбор
ассортимента реализуемой продукции, который позволил бы предприятию увеличить
выручку от реализации и соответственно прибыль.
Для эффективного управления
ассортиментом прежде всего необходимо составить товарный классификатор и
ассортиментную матрицу.
Правильно составленный и
структурированный товарный классификатор является тем ресурсом, который
позволит магазину анализировать ассортимент и принимать решения об его
обновлении или ротации.
Товарный классификатор
Товарный классификатор - разделение
всех товаров на уровни: классы, товарные группы и товарные категории. При этом
товары на каждом уровне объединяются в класс, или категорию, или позицию по
общим признакам или свойствам.
Выделяют три основных уровня деления
товарного классификатора.
Первый уровень - класс товаров. Чем
крупнее формат магазина, тем больше уровней деления. В ряде случаев первым
(высшим) уровнем классификатора может являться класс товаров, например
«Продовольственные товары» и «Непродовольственные товары» или «Одежда» и
«Обувь», - это то, что в представлении покупателя объединено общим
функциональным назначением. Например: «Продовольственные товары» - это то, что
едят, а «Непродовольственные товары» - то, что никак не едят, «Одежда» - то,
что носят на теле, «Обувь» - то, что носят на ногах. Но в магазинах более
мелкого формата или там, где все товары однородны (например, магазин торгует
только одеждой, причем для определенного покупателя, скажем для молодежи),
выделение класса необязательно.
Второй уровень - товарная группа.
Это совокупность товаров, объединенных некими общими признаками, - видом
товара, способом производства и т.д. Например: «Молочные продукты»,
«Хлебобулочные изделия», «Женская одежда», «Мужская обувь», «Мебель»,
«Светильники», «Аксессуары для дома». Как правило, в магазине любого формата
этот уровень присутствует и часто является высшим уровнем, ниже которого уже
идет товарная категория.
Третий уровень - товарная категория.
Это совокупность товаров, которые покупатель воспринимает как сходные между
собой, или товаров, объединенных совместным использованием. Проще говоря,
товарная категория - это то, за каким товаром покупатель идет в магазин (за
молоком. за хлебом, за кефиром, за туфлями, за сапогами, за моющим пылесосом,
за плазменным телевизором, за обоями для прихожей, за диваном в гостиную).
Здесь важно провести очень четкий детальный анализ своего главного покупателя,
чтобы понять, какими категориями он мыслит, за чем он пришел именно в ваш
магазин? Если ваш магазин имеет глубокую специализацию по тем же компьютерам,
то к вам будут заходить люди, желающие получить подробную консультацию и найти
нечто особенное, например компьютер для домашнего офиса с большим количеством
специальных программ. В таком случае деление в вашем магазине на категории,
возможно, будет следующим: «Компьютеры для офиса», «Компьютеры для дома»,
«Компьютеры для школьников», «Компьютеры для профессионалов», а затем уже -
деление на подкатегории по брендам и производителя [16].
Важно еще раз отметить, что мы
объединяем товары по совокупности общих признаков в представлении нашего
покупателя. Часто бывает, что магазин делает упор на бренды, с которыми удобно работать
закупщику. Например, мы продаем сантехнику финского производителя «ХХХ»,
сантехнику немецкого производителя «ААА», сантехнику французского производителя
«ВВВ» и т.д. Но покупатель мыслит иными категориями - он пришел в магазин за
умывальником, унитазом и ванной. В таком случае правильно сделать так, как
удобно покупателю, а классификацию по производителям «ХХХ», «ААА», «ВВВ»
перенести на уровень субкатегорий (или подкатегорий).
Примеры товарных классификаторов
Товарный классификатор для
продуктового супермаркета. Выделено три уровня деления: классы - «Продукты» и
«Непродовольственные товары», группы - «Винно-водочные изделия», «Молочная
продукция», «Хлебобулочные изделия» и т.д., товарные категории: например, в
группе «Молочная продукция» выделены категории «Масло», «Молоко», «Йогурты» и
т.д.
Товарный классификатор для магазина
«Бытовая техника и электроника». Выделены три уровня деления:
классы - «Черная техника» и «Белая
техника», группы - «Аудио-, видео-, DVD», «Крупногабаритная техника» и т.д., товарные
категории: например, в группе «Мелкая бытовая техника» выделены категории
«Миксеры», «Блендеры», «Утюги», «Кофемолки» и т.д.
Образец товарного классификатора для
магазина строительных и отделочных материалов. Показаны три уровня деления на
примере детализации до уровня категорий: класс - «Сантехника», группа - «Ванны
и кабины», категория, например, «Акриловые ванны».
Ассортиментная матрица
Ассортиментная матрица - это
перечень всех товарных позиций, включая и сезонные товары, которые могут
временно отсутствовать в магазине. Но это не просто список товаров - матрица
строится на основе классификатора и является результатом структурирования
ассортимента. К уровням деления в классификаторе добавятся субкатегории, бренды
и иные единицы учета [9].
Для каждой компании существует своя
матрица, отвечающая задачам конкретного магазина со своими конкретными
клиентами. Причем это должен быть не хаотичный документ в формате MS Word или
Excel с разрозненными колонками, а подробный и структурированный, подверженный определенной
логике перечень всех товарных позиций.
Все товары в матрице утверждены для
продажи, и сюда может быть дополнительно внесена информация о поставщиках,
условиях поставки, упаковке, габаритах, свойствах и т.п. Разрабатывается
ассортиментная матрица на основе документа об ассортиментной политике, в
котором отражен порядок работы с ассортиментом. По сути, грамотно составленная
матрица - это основной документ, на базе которого строится вся работа с
ассортиментом.
Ассортиментная матрица является
результатом изучения и учета таких факторов, как:
покупательский спрос (кто наш
основной потребитель - возраст, уровень доходов, семейное положение,
образование, как отдыхает, что покупает чаще всего, зачем совершает покупки в
нашем магазине, что хочет получить, какие услуги ожидает от нас или
конкурентов);
ассортимент конкурентов (кто из
конкурентов присутствует, какие преимущества имеет, какой уровень цен у
конкурентов, какие услуги предлагают, кто из других сетей еще собирается
«прийти»);
специфика региона или города (город
с развитой инфраструктурой, промышленный, город-порт или областной центр,
столица региона или окраина);
особенности местоположения (спальный
район, центр города, возле оживленной трассы, рядом рынок и т.п.);
требования к формату (магазин самообслуживания
или торговля через прилавок, мини-маркет, супермаркет, дискаунтер или бутик и
т.п.).
На основе существующей
ассортиментной матрицы составляется ассортиментный минимум - перечень товарных
позиций, которые должны постоянно присутствовать в магазине в определенный
период времени. Опять же, ассортиментный минимум зависит от сезонных колебаний
спроса и других факторов, связанных со спецификой магазина, - режим работы
(круглосуточно или традиционно с перерывом на обед), расположение магазина (в престижном
центре, в спальном районе, на оживленной пригородной трассе), основные клиенты
(бабушки-пенсионерки или работающие молодые люди, не имеющие еще семьи и детей)
и т.д.
Примеры построения ассортиментных
матриц на основе классификаторов
Пример 1. Магазин «Продукты».
Рассмотрим структуру группы
«Слабоалкогольные напитки», категория «Пиво», подкатегория «Пиво отечественное,
светлое».
Пример 2. Магазин бытовой техники и
электроники. В магазине два класса товаров - «Белая техника» и «Черная
техника». Рассмотрим подробно часть группы «Крупнобытовая техника», категория
«Холодильники», подкатегория «Однокамерные холодильники». Остальные позиции в
матрице будут сформированы по тому же принципу.
Пример 3. Магазин «Отделка».
Рассматриваем часть группы «Линолеум бытовой», подкатегорию, выделенную на
основе бренда производителя «Graboplast».
Если нет полной уверенности, какая
структура классификатора или ассортиментной матрицы лучше, можно
ориентируйтироваться на последовательность, в которой покупатель принимает решение
о покупке. Необходимо учитывать, что эта последовательность выбора может не
проговариваться и даже не осознаваться покупателем. Если вы относитесь к
покупателям своего магазина, напишите, как бы вы принимали решение. Если не
относитесь, попросите это сделать кого-то из знакомых покупателей или
попробуйте представить себя на месте этого покупателя.
Например:
мне нужны молочные продукты -
йогурты - «Данон» - вишневый;
мне нужен холодильник - однокамерный
- отечественный - «Бирюса»;
мне нужен линолеум - импортный -
торговую марку не знаю - в цветочек;
мне нужен шкаф - трехстворчатый - с
зеркалом - из светлого дерева;
мне нужна ваза - напольная - с
узором - бежевая;
мне нужен рюкзак - для похода -
торговую марку не знаю - 50 литров, лучше зеленый;
мне нужно платье - спортивного стиля
для пляжа - синее.
Не стоит забывать, что внутри
матрицы уровни деления должны быть одинаковыми, чтобы дальше можно было с
легкостью анализировать в сравнении группы, категории и товары внутри
категории.
Широта товарного ассортимента
отчасти определяется целями, которые фирма ставит перед собой. У фирм,
старающихся прослыть поставщиками исчерпывающего ассортимента и / или
добивающихся завоевания большой доли рынка или его расширения, товарный
ассортимент обычно широкий. Их меньше волнует положение, когда те или иные из
производимых ими товаров не дают прибыли. Фирмы же, заинтересованные, прежде
всего в высокой прибыльности своего бизнеса, имеют обычно суженный ассортимент
доходных изделий.
Ассортимент слишком узок, если можно
увеличить прибыль, дополнив его новыми изделиями, и слишком широк, если прибыли
можно увеличить, исключив из него ряд изделий.
Различают следующие виды
ассортимента товаров (АСТ) по широте:
простой АСТ, представленный видами
товаров, которые можно классифицировать не более чем по 3-м признакам;
сложный АСТ, представленный
значительным количеством групп, видов, разновидностей товаров;
видовой, объединяющий товары разных
видов и наименований, которые удовлетворяют аналогичные потребности.
марочный, объединяющий товары одного
вида марочных наименований или относящихся к группе марочных.
развернутый, представленный
разновидностями;
смешанный, состоящий из разных
групп, видов наименований, которые отличаются функциональным назначением [18].
Расширить свой товарный ассортимент
фирма может двумя способами: наращивая его или насыщая.
Есть несколько причин, по которым
прибегают к насыщению ассортимента:
а) стремление получать
дополнительные прибыли,
б) попытки удовлетворить дилеров,
жалующихся на проблемы в существующем ассортименте,
в) стремление задействовать
неиспользуемые мощности,
г) попытки стать ведущей фирмой с
исчерпывающим ассортиментом
д) стремление ликвидировать пробелы
с целью недопущения конкурентов.
Перенасыщение ассортимента ведет к
уменьшению общих прибылей, так как товары начинают подрывать сбыт друг друга, а
потребители оказываются сбитыми с толку. При выпуске новых товаров фирме
следует удостовериться, что новинка заметно отличается от уже выпускаемых
изделий.
Таким образом, формирование
ассортимента имеет важное значение для решения проблемы насыщения рынка
высококачественными товарами в необходимом количестве в соответствии с
запросами конкретных потребителей.
ассортимент
политика продукция
1.3 Методы анализа
ассортимента
Разобравшись со структурой ассортимента,
оценив, насколько отлажены бизнес-процессы в компании, достаточно ли современна
информационная база данных, умеют ли наши люди с ней обращаться и правильно ли
ведется учет движения товаров, мы можем взяться за анализ ассортимента.
Предложенные методы практичны,
просты, информативны и очень активно применяются многими успешными компаниями.
С их помощью можно анализировать такие параметры ассортимента, как вклад товара
в результат работы магазина (АВС-анализ), стабильность продаж товара (XYZ-анализ),
статус каждого товара в ассортиментной матрице (сочетание АВС-анализа и
XYZ-анализа) и закупочную политику в отношении каждого вида товара. Также можно
определить положение нового товара в общем ассортименте (анализ по параметрам
влияния), определить необходимость вложения оборотных средств в развитие
поставщика нужного нам товара (QRS анализ) и определить метод подсчета товарных
запасов с целью оптимизации налогообложения (метод оценки товарных запасов по
ФИФО и ЛИФО) [21].
АВС-анализ.
Одним из универсальных и
распространенных методов анализа ассортимента является метод АВС-анализа.
АВС-анализ, который будет рассмотрен
в данной книге, нельзя путать с бухгалтерским Abc анализом (переводится как
«activity-based costing» - расчет себестоимости на основе разнесения затрат по
видам деятельности).
Он основывается на так называемом
принципе Парето, исходящим из того, что за 20% последствий отвечает 80% причин.
Основателем идеи явился доктор Джозеф Джуран, обнаруживший универсальный
принцип, который он назвал «vital few and trivial many» (важного - мало,
обычного - много). Правило 80/20 означает, что в любом процессе малое число
причин (20%) жизненно важно, а 80% не оказывает существенного влияния на
результат. Важно, что данное правило является эмпирическим - конкретная
пропорция может оказаться иной: не 80/20, а, например, 90/10 или 67,48/32,52.
Правило Парето указывает именно на
значительное отклонение от пропорции 50/50 в различных системах, а не на
конкретную величину отклонения. Но пропорция 80/20 все же является
универсальным термином, и мы примем ее для простоты формулировки.
Для нас ценность правила Парето
заключается в том, что позволяет сосредоточиться на тех 20%, которые
действительно важны. Из этих 20% проистекает 80% будущих результатов.
И метод АВС-анализа позволяет
определить наиболее приоритетные позиции в ассортименте магазина, выделить
аутсайдеров процесса и показать, что является базовым ассортиментом [17].
По сути, АВС-анализ - это
ранжирование ассортимента по разным параметрам. Мы далее будем говорить об
ассортименте магазина. Однако ранжировать таким образом можно и поставщиков, и
складские запасы, и покупателей, и длительные периоды продаж - все, что имеет
достаточное количество статистических данных.
В рамках общего рейтингового списка
выделяют три группы объектов - А, В и С, которые отличаются по своей значимости
и вкладу в оборот или прибыль магазина (в зависимости от выбранного
результата):
Товары А - самые важные товары,
приносящие первые 50% результата;
Товары В - «средние» по важности, приносящие
еще 30% результата;
Товары С - «проблемные» товары,
приносящие остальные 20% результата.
Такое соотношение процентов как раз
и обусловлено правилом Парето: мы выделяем главные 80% результата (у нас это
выделено как 50 + 30, но можно использовать и другие пропорции, например 70 +
10 или 65 + 15) и оставшиеся 20%.
Порядок проведения АВС-анализа:
Шаг 1. Выбираем объект анализа (что
будем анализировать?) и параметр (по какому признаку будем анализировать?).
Обычно объектами АВС-анализа являются поставщики, товарные группы, товарные
категории, товарные позиции. Каждый из этих объектов имеет разные параметры
описания и измерения: объем продаж (в денежном или количественном выражении),
доход (в денежном выражении), товарный запас, оборачиваемость и т.д.
Шаг 2. Составляем рейтинговый список
объектов по убыванию значения параметра.
Шаг 3. Выделяем группы А, В или С.
Для этого необходимо: рассчитать долю параметра от общей суммы параметров с
накопительным итогом; присвоить значения групп выбранным объектам.
Доля с накопительным итогом
высчитывается путем прибавления параметра к сумме предыдущих параметров [17].
XYZ-анализ.
XYZ-анализ - метод, позволяющий
анализировать и прогнозировать стабильность тех или иных бизнес-процессов или
бизнес-объектов (например, стабильность продаж отдельных видов товаров,
предсказуемость рыночного поведения различных групп покупателей, колебания
уровня потребления тех или иных ресурсов и т.п.). Ведение точной
сбалансированной закупки является приоритетной задачей как оптового, так и
розничного предприятия, особенно в сфере декоративной косметики. Не секрет, что
любая закупка товаров связана с большими издержками для компании (логистика,
хранение и т.д.), а так же с прямыми рисками, как например списание товара по
сроку годности.
Первый этап: определение объектов
анализа. Объектами анализа могут быть: товарная группа, товарная единица,
поставщики, клиенты и т.д.
Второй этап. Определение параметра
анализа.
Параметрами анализа могут быть:
единицы продаж в шт., объем продаж в рублях. доход в рублях, средний запас в
рублях, количество заказов в рублях и так далее.
Третий этап. Определение периодов
анализа.
Периоды анализа: неделя, месяц,
квартал, полугодие, год.
Признаком, на основе которого
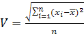
конкретную позицию ассортимента относят к группе X, Y или Z, является коэффициент вариации
спроса (v) по этой позиции. Он рассчитывается по формуле:
(1.1)
где v - коэффициент вариации;
xi - i-ое значение спроса по оцениваемой
позиции;
x - среднеквартальное значение спроса по оцениваемой позиции;
n - число кварталов, за которые произведена оценка.
Результатом XYZ-анализа является
группировка ресурсов по трем категориям:
Категория X - группы товаров, характеризуются
стабильной величиной потребления и высокими возможностями прогнозирования.
Категория Y - группы товаров, характеризуются
известными сезонными колебаниями и средними возможностями их прогнозирования.
Категория Z - группы товаров с нерегулярным
потреблением, какие-либо тенденции отсутствуют, точность прогнозирования
невысокая [11].
Совмещённый ABC-XZY анализ.
Однако, для того чтобы сделать какие
либо осознанные и стоящие выводы о вашем ассортименте (ТОПовые товары,
сопутствующие, неликвидные), ABC-анализа крайне мало. Одного XYZ-анализа тоже
недостаточно. А вот совмещённый ABC-XYZ анализ даст нам неплохие результаты и пищу для размышлений [13].
Как часто следует проводить XYZ-анализ: XYZ-анализ в предприятии
рекомендуется проводить не реже, чем раз в квартал, причем можно придерживать
не строго календарного квартала, а например проводить сезонные аналитические
срезы.
Область применения XYZ-анализа.
Для оптимизации ассортимента:
а) уменьшение доли товаров CZ;
б) увеличение доли товаров AX;
в) группа товаров с рангом X может иметь некоторый запас, в то
же время закупки по группе товаров с рангом Z должны проходить с максимальной
осторожностью (для магазинов работа по таким товарам может идти по
индивидуальному заказу).
Для оценки рентабельности товарных
групп:
Понятно, что группа товаров с
индексом X имеет высокую оборачиваемость, и товары данной группы входят в
так называемые ТОПы (лидеры) продаж. Как правило, для таких товаров
дистрибуторы стараются поставить привлекательные (специальные) цены, дать
дополнительные скидки, но эти группы при оценке показывают высокие издержки
обращения в виду высокой интенсивности оборота. Такая ситуация может
существенно сказаться общей рентабельности групп. Менеджеры компаний -
дистрибуторов принимая решение по снижению цены в TOTAL на весь прайс-листы
должны учитывать этот факт и более детально рассматривать программы скидок на
категории товаров с индексом X.
Для оценки логистики:
Группа товаров AX, AY - это товары с высокой
скоростью оборота, производя расчеты потребности по ним необходимо учитывать
скорость доставки, чтобы исключить ситуацию с отсутствием в магазине этих
товаров. Компании - дистрибьюторы, как правило, вводят дополнительный временной
фактор для данных групп.
Матрица БКГ
Матрица БКГ (BCG - Boston Consulting
Group) является одним из наиболее известных методов анализа портфеля продуктов
компании. С помощью этого метода можно анализировать продукты компании,
направления деятельности компании, хозяйственные единицы, проекты и т.п. Для
простоты будем говорить о продуктах [5].
Метод заключается в оценке доли
каждого продукта на рынке и оценке степени роста соответствующего рынка
(отрасли). Оценка доли на рынке является результатом анализа продаж всех
участников отрасли и определении доли в этих продажах, приходящихся на
компанию. Доля выражается в процентах к объему рынка. Оценка роста рынка
является результатом анализа временных рядов, показывающих в ретроспективе
продажи данного вида продукта. Темпы роста выражаются в процентах к предыдущему
периоду.
Далее рисуем оси координат.
Горизонтальная ось соответствует доле рынка, занимаемой продуктами. Крайняя
левая точка соответствует 100%, крайняя правая - 0%. При движении слева направо
доля рынка, таким образом, убывает. Вертикальная ось соответствует темпам роста
рынка. Крайняя верхняя точка соответствует максимальному темпу роста, крайняя
нижняя - минимальному. Крайняя нижняя точка может иметь и отрицательное
значение - это означает, что имеется продукт, рынок которого сокращается. При
движении сверху вниз темп роста, таким образом, убывает. В осях координат доля
на рынке / рост рынка каждый продукт фиксируется как окружность, центр которой
имеет координаты, соответствующие полученным оценкам доли и роста рынка, а
радиус пропорционален доле продукта в объеме продаж компании.
Далее весь диапазон долей продуктов
на рынках разбивается на две части: высокая доля и низкая доля. Диапазон темпов
роста также разбивается на две части: высокие темпы и низкие темпы. Определение
границ квадрантов матрицы БКГ в каждом конкретном случае происходит исходя из
целей анализа. Однако наблюдается общая тенденция разделения матрицы на
примерно равные по величине квадранты. Однако не всегда есть возможность
построить классическую матрицу БКГ. Это связано, как правило, с
труднодоступностью информации, и, как результат, отсутствие необходимых данных.
В таких случаях прибегают к адаптированной матрице БКГ, которая строится на
основании внутренней информации по предприятию. Такая матрица даёт не меньший
результат, а в некоторых случаях, в зависимости от целей анализа, является
более эффективной. Однако и классическая и адаптированная матрицы БКГ имеют
общий вид и принцип построения, а также общую схему разделения на квадранты.
Общий вид матрицы БКГ представлен на рисунке 1.1.
Рисунок 1.1 - Пример матрицы БКГ
Роль продукта определяется его
местом в матрице. Всего возникает четыре квадранта, и соответственно четыре
типа продуктов:
«Звезда» - продукт, который имеет
значительную долю в растущем рынке. Компания, имеющая такие продукты, особенно
если они имеют значительные доли в продажах компании (то есть радиусы кругов,
изображающих эти продукты, велики), затрачивают значительные средства на
поддержание этих продуктов [5].
«Дойная корова» - продукт, имеющий
значительную долю на малорастущем или сокращающемся рынке. Потребность в
расходах на поддержания и сбыт такого продукта низка, а за счет высокой доли,
занимаемой на рынке, такой продукт приносит доход. Такой продукт обычно
является донором средств для развития новых продуктов [5].
«Вопросительный знак» («Трудный
ребенок», «Дикая кошка», «Темная лошадка») - это продукт с низкой долей на
быстрорастущем рынке. Рынок (то есть потребность) в таком продукте растет, но
для увеличения его выпуска и захвата значительной доли рынка, требуются
значительные средства. Эти средства могут быть получены за счет «дойных коров».
Однако может быть принято и решение о снятии такого продукта.
«Собака» («Хромая утка») - продукт с
низкой долей на стабильном или уменьшающемся рынке. Как правило, такие продукты
требуют непропорционально больших объемов ресурсов [5].
Преимущества:
Матрица BCG позволяет наглядно, на
одном листе бумаги увидеть структуру портфеля продуктов и определить источники
финансовых ресурсов (то есть, какие продукты являются донорами, а какие
акцепторами финансовых ресурсов), а также принимать решения о снятии и развитии
тех или иных продуктов.
Недостатки:
Матрица BCG достаточно условна по
следующей причине. Естественно задать вопрос - в каком месте провести
разделительную линию между «Высокой» и «Низкой» долями рынка, а также другой
вопрос - какие темпы роста считать «Высокими», а какие «Низкими»? Понятно, что
от ответов на эти вопросы зависят положения границ квадрантов матрицы и,
следовательно, отнесение продуктов к тем или иным классам. Метод не дает ответа
на эти вопросы, оставляя их на совесть экспертов. Это и означает, что
полученные оценки являются в значительной степени субъективными [7].
2. Анализ ассортимента и
ассортиментной политики ЧТУП «ВитКрас»
.1 Краткая
характеристика предприятия ЧТУП «Виткрас»
На основании свидетельства о
государственной регистрации коммерческой организации, выданным Витебским
исполнительным комитетом 18 сентября 2006 года, было основано частное унитарное
предприятие «Виткрас».
Орган управления: Юридическое лицо
без ведомственной подчиненности.
ЧТУП «Виткрас» реализуетнаселению
товары следующих категорий: бытовая химия, косметика и парфюмерия. В магазинах
представлены товары, как отечественного производства, так и зарубежного
(Польша, Чехия, Германия, Россия и др.). Осуществляется розничная торговля
через сеть специализированных магазинов «Азбука красоты», а также через
торговые точки во всех торговых центрах в городе Витебске.ЧТУП «Виткрас»
является оптово-розничным продавцом бытовой химии, парфюмерии и косметики. С
момента появления и по сей день основной задачей ЧТУП «Виткрас» является
комплексное и качественное удовлетворение широкого круга запросов покупателей.
Слоганом ЧТУП «Виткрас» является:
Всё для тебя, от А до Я!
История розничной сети ЧТУП
«Виткрас» началась в 2007 году с открытия магазина «Азбука Красоты» на ул.
Правды, 58-А. С самого начала своей деятельности со стороны руководства было
принято решение о принятии во внимание и использование на практике различных
инструментов маркетинга. Для успешного внедрения на рынок с расчётом на долгую
перспективу была привлечена консалтинговая фирма «GreatDeal». В задачи которой,
входило разработать общую концепцию для магазина, а также определить, на какой
сегмент потребителей ориентироваться. Также в задачи входила разработкадизайна
интерьера магазина с учётом зональности и возможности привлечения внимания
посетителей к необходимым товарам. «Азбука Красоты» единственным
специализированным магазином на товарах бытовой химии, косметики и парфюмерии,
выбравшим при этом в качестве своих целевых потребителей прослойку среднего
класса. Это позволило избежать прямой конкуренции с уже существовавшими на рынке
магазинами «Планета здоровья» и «DolcheVita». Это помогло иметь чистую прибыль уже после первого года работы.
В 2009 году был введен в строй магазин «Азбука красоты» на ул. Чкалова 28, а
также торговая точка в ТДЦ «Беларусь». А в 2011 году был открыт магазин на ул.
Воинов-интернационалистов, 35.
В планах дальнейшего развития своей
деятельности ЧТУП «Виткрас» нацелено на открытие магазина в микрорайоне
«Билево», а также открытие с первого апреля торговой точки в ТРК «MarkoCity».
Для более детального рассмотрения
деятельности ЧТУП «Виткрас» обратим внимание на технико-экономические
показатели хозяйственной деятельности фирмы на примере магазина «Азбука
Красоты», расположенного по адресу ул. Правды, 58-А (таблица 2.1).
Таблица 2.1 - Технико-экономические
показатели хозяйственной деятельности ЧТУП «Виткрас»
|
Наименование показателей
|
Годы
|
Темп роста, %
|
|
2008
|
2009
|
2010
|
2009 год к 2008 году
|
2010 год к 2009 году
|
|
Выручка от реализации продукции, млн. руб.
|
3117,80
|
3210,39
|
3271,20
|
102,97
|
101,89
|
|
Налоги и сборы, включаемые в выручку, млн. руб.
|
155,89
|
160,52
|
163,56
|
102,97
|
101,89
|
|
Себестоимость реализованной продукции, млн. руб.
|
2511,50
|
2285,00
|
2333,38
|
90,98
|
102,12
|
|
Затраты на реализацию продукции, млн. руб.
|
151,74
|
379,36
|
391,48
|
250,00
|
103,19
|
|
Заработная плата, в т.ч. ФСЗН, млн. руб.
|
172,04
|
193,82
|
210,15
|
112,66
|
108,43
|
|
Кредиторская задолженность, млн. руб.
|
96,40
|
72,50
|
74,28
|
75,21
|
102,46
|
|
Прибыль отчетного периода, млн. руб.
|
282,51
|
352,21
|
336,20
|
124,67
|
95,45
|
|
Рентабельность, %
|
9,44
|
11,67
|
10,85
|
123,53
|
92,99
|
|
|
|
|
|
|
|
|
Как видно из таблицы 2.1, ЧТУП
«Виткрас» постоянно имеетприбыль. Рост прибыли и показателей рентабельности
связан со снижением затрат на себестоимость продукции. Это было достигнуто за
счёт открытия нового магазина, а также торговой точки в ТДЦ «Беларусь». За счёт
большего объёма закупок удалось добиться значительных скидок у поставщиков, тем
самым распределив затраты на все магазины. Прирост показателя выручки за 2009
год составил 2,97%, в 2010 году также наблюдался прирост выручки. Что касается
размеров прибыли, то она составила 352,21 млн. рублей и 336,2 млн. рублей в
2009 и 2010 годах соответственно. Однако, несмотря на рост выручки, прибыль в
2010 году снизилась на 4,45%. Такое снижение было вызвано спадом объёмов продаж
на некоторые товары, а также ростом цен у поставщиков. Размер кредиторской
задолженности в 2009 году удалось снизить на 25%, однако в 2010 году он
увеличился на 2,46% также из-за роста цен у поставщиков. Это вызвано тем, что
около 85% продукции берётся с отсрочкой платежа. Рост расходов на заработную
плату составил 12,66% в 2009 году и 8,43% в 2010 году. Он связан с покрытием
потерь персонала в заработной плате из-за инфляции, а также небольшим чистым
приростом, в качестве стимула к продуктивной работе.
Об эффективной деятельности говорит
такой показатель, как рентабельность в 11,67% и 10,85% в 2009 и 2010 годах
соответственно. Снижение рентабельности в 2010 году связано с тем, что
предложение товаров на данном рынке продолжало увеличиваться, а объём
потребления на макроуровне не изменялся. Увеличение рентабельности деятельности
фирмы ЧТУП «Виткрас» в 2009 году связано с тем, что благодаря новым точкам
сбыта продукции появилась возможность получать скидки с объёма покупаемой
продукции у поставщиков, а также экономить на доставке продукции и рекламе на
единицу реализованного товара. Таким образом, данные из таблицы 2.1 говорят об
общей успешности деятельности фирмы и возможностях дальнейшего развития.
Исходя из того, что в 2010 году
начал снижаться объём выручки, а на рынке стали появляться новые конкуренты,
необходимо уделять больше внимания использованию в своей деятельности различных
инструментов маркетинга для дальнейшего успешного пребывания на данном рынке
товаров. Экономическая стабильность организации, её выживаемость и её
эффективность деятельности в условиях рыночных отношений неразрывно связаны с
её непрерывным совершенствованием и развитием. Совершенствование организации
осуществляется по принципу адаптации к внешней среде, что достигается за счёт
эффективного применения различных инструментов маркетинга.
На рассматриваемом предприятии
отсутствует отдел маркетинга, как таковой. Это связано с тем, что выделять
такой отдел, а тем более дробить на подразделения, а также содержать
дополнительный персонал на данном этапе развития фирмы является нецелесообразным.
В данный момент издержки на содержание данной структуры будут превышать
возможную отдачу.
Маркетинговой деятельностью на ЧТУП
«Виткрас» занимается один специалист по рекламе и маркетингу. Данный работник
непосредственно подчиняется начальнику предприятия.
Организация маркетинговой
деятельности на предприятии предусматривает решение следующих задач:
·
планирование маркетинговой деятельности;
·
исследование конъюнктуры рынка и изучение спроса на продукцию
предприятия;
·
разработка программ по повышению спроса и стимулирования сбыта;
·
организация рекламы и стимулирования сбыта продукции;
·
рекламно - информационная поддержка товаропроводящей сети;
·
оценка коммуникационной и экономической эффективности рекламы и
маркетинга, их влияния на информированность потребителей и показатели продаж.
Специалист по рекламе и сбыту в ходе
своей работы руководствуется:
а) законодательными актами,
регулирующими соответствующую сферу деятельности;
б) нормативно - методическими
документами, другими материалами, касающимися рекламы и маркетинга;
в) уставом предприятия;
г) приказами руководителя
предприятия;
д) правилами трудового
распорядка;
е) должностной инструкцией.
В соответствии с должностной
инструкцией специалист по маркетингу проводит следующие мероприятия:
а) выполняет работу по
исследованию основных факторов, влияющих на динамику потребительского спроса на
товары, соотношение спроса и предложения на аналогичные виды товаров;
б) проводит категоризацию и
выявляет приоритетные группы потенциальных потребителей для разработки
мероприятий, способствующих расширению рынка продаж товаров;
в) определяет требуемый
ассортимент товаров, ценовую политику на товары;
г) поддерживает связь с рынком
с помощью рекламы, службы информации для информирования потребителей и продвижения
товаров; организует разработку стратегии рекламных мероприятий;
д) разрабатывает меры по
стимулированию (как активному - через систему скидок, поощрений и т.д., так и
пассивному - через качество и дизайн товара, имиджевую политику) продаж;
е) готовит предложения по
формированию фирменного стиля предприятия и фирменного оформления рекламной
продукции;
ж) анализирует эффективность
проведения маркетинговых мероприятий; наблюдает за маркетинговыми кампаниями
конкурентов, анализирует вносит коррективы в собственные маркетинговые
мероприятия.
Для оценки отдельных характеристик
маркетинга на предприятии будем использовать следующую таблицу:
Что касается раздела «Финансирование
маркетинговых мероприятий», то в данном случае такая цифра связана с
отсутствием необходимости в закупке специального программного обеспечения, а
также с тем, что не прибегают к обращению в сторонние организации для получения
консультационных услуг в области маркетинга.
Низкое значения параметра
«Взаимосвязь отдела маркетинга с другими службами предприятия» связано с тем,
что общее количество отделов, гораздо меньше, чем на предприятиях, занимающихся
производством. Поэтому для анализа данный фактор можно считать несущественным.
И если его не принимать в расчёт, то эффективность работы службы маркетинга
можно оценить на 77%, что является вполне допустимым значением.
Для получения информации,
необходимой для успешного проведения маркетинговых мероприятий на ЧТУП
«Виткрас» используются как внутренние, так и внешние источники получения информации.
К внутренним источникам получения
информации относятся:
а) отчёт о продажах по каждому
магазину и по всей сети в целом, как в денежном, так и в натуральном выражении;
б) сведения о товарных запасах
на складе и в каждом из магазинов;
К внешним источникам получения
информации относятся:
а) информация об уровне цен
конкурентов;
б) информация из печатной
рекламной продукции конкурентов;
в) информация, полученная от
поставщиков;
г) информация, полученная от
своих покупателей, как розничных, так и оптовых;
д) национальный статистический
комитет Республики Беларусь;
е) интернет и СМИ.
Для сбора вторичной информации
используются различные методы. Так для получения информации об уровне цен
конкурентов специалист по маркетингу «выходит в поле», т.е. посещает несколько
выбранных магазинов и записывает цены на диктофон. Это связано с тем, что
магазины, как правило, не составляют, а тем более не придают всеобщей огласке
свои прайс-листы. Преимуществом получения информации таким способом является
обширная база данных, а также достоверность и актуальность полученной
информации. Если не предвидится никаких сезонных явлений, связанных с
изменением цен, то данная информация будет достоверной достаточное количество
времени для принятия правильных решений. Недостатком в данном случае является
трудоёмкость процесса сбора получения информации, тратится довольно много
времени.
Другой источник получения знаний об
уровне цен конкурентов - это различные рассылки об акциях, как в бумажном, так
и в электронном виде. Преимуществом является то, что тратится минимальное
количество времени и усилий для получения информации. Недостатком здесь
является то, что информация, полученная таким образом, касается незначительного
числа товаров, а также имеет свою ценность непродолжительный период времени.
Также можно составить примерную
картину об уровне цен исходя из уровня закупочной цены у поставщика.
Преимуществами в данном случае также является низкая трудоёмкость и
незначительные затраты времени. Также получение информации сразу о большом количестве
товарных позиций. Недостатком же является то, что стоимость товаров у
поставщиков для различных клиентов варьируется в зависимости от объёма закупок,
от того, на сколько давно поддерживаются отношения, а также от многих других
факторов.
Важную роль при получении
маркетинговой информации играют покупатели. На основании их опросов можно
получить множество различной информации. Это могут быть данные о частоте
покупок того или иного товара, о приверженности покупателей к той или иной
марке, информация о собственном имидже в глазах потребителей и многое-многое
другое. При общении с оптовыми покупателями можно узнать о том, у кого они ещё
закупаются, по каким ценам, узнать, почему именно у вас закупаются. Также можно
получить информацию о том рынке, где они реализуют свою продукцию, что даёт
возможности для собственного расширения сбыта как в региональном, так и в
количественном выражении.
Что касается данных полученных от
Национального статистического комитета Республики Беларусь, то положительными
моментами являются:
а) низкая стоимость;
б) большой объём;
в) достоверность;
К недостаткам относится значительный
временной лаг.
2.2 Общая характеристика
ассортимента
Товарный ассортимент представляет
собой всю совокупность изделий, предлагаемых предприятием. Он включает
различные виды товаров. Вид товара обычно делится на ассортиментные группы или
типы, в соответствии с функциональными особенностями, качеством, ценой. Каждая
группа состоит из ассортиментных позиций (разновидностей или марок), которые
образуют низшую ступень классификации. Товарный ассортимент характеризуется
широтой, глубиной и сопоставимостью. Под широтой понимают количество
ассортиментных групп. А под глубиной - количество позиций в каждой
ассортиментной группы. Сопоставимость представляет собой соотношение между
предлагаемыми ассортиментными группами с точки зрения общности потребителей,
использование конечным, каналов распределения и цен.
Следует отметить, что главной
задачей службы маркетинга предприятия является принятиеследующих принципиальных
решений относительно ассортимента:
а) совершенствование уже имеющихся
ассортиментных групп;
б) внесение новых продуктов в
ассортиментные группы;
в) изъятие нерентабельных видов
продукции.
Создание ассортимента должно
происходить за счёт соблюдения таких принципов, как:
а) ассортимент должен полностью
отражатьсостояние покупательского спроса;
б) формирование ассортимента должно
осуществляться в рамках точно определенной потребности в разрезе номенклатурных
позиций с учетом технико-экономических характеристик, качества цены, системы
стимулирования продаж;
в) ассортимент должен быть
достаточно полным с позиции получения стабильного дохода;
г) управление ассортиментной
политикой должно осуществляться с учетом регулярного обновления в
теснойвзаимосвязи с уровнем спроса, требованиями моды и реальных возможностей
компании.
Далее рассмотрим более подробно
структуру ассортимента продукции ЧТУП «Виткрас». Ассортимент продукции
изучаемого предприятия состоит из 8 укрупнённых ассортиментных групп, которые,
в свою очередь подразделяются на составляющие их подгруппы.
Ассортимент продукции ЧТУП «Виткрас»
представлен следующими ассортиментными группами товаров (таблица 2.2).
а) «Бытовая химия»;
б) «Косметика»;
в) «Парфюмерия»;
г) «Средства для умывания»;
д) «Бритьё»;
е) «Уход за полостью рта»;
ж) «Гигиена х/б»;
з) «Другое»;
Таблица 2.2 - Объём проданной
продукции ЧТУП «Виткрас» за 2009-2010 года
|
Объём реализации продукции
|
Годы
|
Темп роста, %
|
|
2009
|
2010
|
|
|
млн. руб.
|
%
|
млн. руб.
|
%
|
|
|
Парфюмерия
|
377,10
|
12,08
|
417,18
|
12,75
|
110,63
|
|
Бытовая химия
|
531,67
|
17,04
|
552,87
|
16,90
|
103,99
|
|
Косметика
|
1000,25
|
32,06
|
30,88
|
100,99
|
|
Средства для умывания
|
598,97
|
19,20
|
594,00
|
18,16
|
99,17
|
|
Бритьё
|
135,18
|
4,33
|
134,96
|
4,13
|
99,84
|
|
Гигиена х/б
|
358,47
|
11,49
|
360,40
|
11,02
|
100,54
|
|
Уход за полостью рта
|
93,93
|
3,01
|
97,34
|
2,98
|
103,63
|
|
Другое
|
24,82
|
0,80
|
25,14
|
0,77
|
101,27
|
|
Всего
|
3120,39
|
100
|
3271,2
|
100,00
|
104,83
|
На основании таблицы 2.2 можно
сделать вывод о том, что наибольший удельный вес в общём объёме предлагаемой
продукции занимают товары из группы «Косметика». Их доля в общем объёме продаж
составляет 30,88% или 1010,13 млн. рублей в 2010 году. Наименьшую же долю
занимает группа товаров из категории «Другое» - 0,77% (25,14 млн. рублей) в
2010 году. Такое название у данной группы обусловлено тем, что представляется
затруднительным дробить данные товары на более мелкие категории, а также это
неэффективно с практической точки зрения. В общем, прирост выручки по всему
объёму реализованной продукции в 2010 году составил 104,83%. Что говорит об
общей положительной динамике. Но для боле полного анализа необходимо углубиться
в структуру ассортимента, чтобы выявить, какие позиции товаров приносят
наибольший вклад в общий объём выручки, а какие снижают его, что приводит к
неэффективному использованию ресурсов ЧТУП «Виткрас».
Для оценки структуры ассортимента
такое укрупнённое разделение не подходит. Поэтому следует углубиться в каждую
группу и рассмотреть её составляющие.
Наибольший удельный вес в
ассортименте продукции ЧТУП «Виткрас» занимают товары из группы «Косметика».
Данная группа состоит из следующих подгрупп:
а) «Карандаш
для губ»;
б) «Карандаш
для глаз»;
в) «Румяна»;
г) «Пудра»;
д) «Лак для
ногтей»;
е) «Губная
помада»;
ж) «Тени»;
з) «Крема для
кожи»;
и) «Тушь»;
к) «Средства
для укладки волос»;
л) «Тональные
крема»;
м) «Детская
косметика»;
н) «Средства
для(после) загара».
Объём выручки за период 2008-2009
года, а также удельный вес каждой подгруппы представлены в таблице 2.3.
Таблица 2.3 - Объём проданной
продукции из ассортиментной группы «Косметика»
|
Косметика
|
Годы
|
Темп роста, %
|
|
2009
|
2010
|
|
|
тыс. руб.
|
%
|
тыс. руб.
|
%
|
тыс. руб.
|
%
|
|
Карандаш для губ
|
41869
|
4,157
|
42510,9
|
4,208
|
641,90
|
101,53
|
|
Карандаш для глаз
|
40355,3
|
4,007
|
42480,1
|
4,205
|
2124,80
|
105,27
|
|
Румяна
|
50127,2
|
4,977
|
49870,15
|
4,937
|
-257,05
|
99,49
|
|
Пудра
|
72856,5
|
7,234
|
73378,1
|
7,264
|
521,60
|
100,75
|
|
Лак для ногтей
|
85945,5
|
8,533
|
87969,38
|
8,709
|
2023,88
|
102,36
|
|
Губная помада
|
90846,89
|
9,020
|
95628,3
|
9,467
|
4781,41
|
105,26
|
|
Тени
|
100634,2
|
9,992
|
98685,38
|
9,770
|
-1948,88
|
98,06
|
|
Крема для кожи
|
266984,8
|
26,508
|
266298,75
|
26,363
|
-686,05
|
99,743
|
|
Тушь
|
94723,983
|
9,405
|
92866,65
|
9,194
|
-1857,33
|
98,04
|
|
Средства для укладки волос
|
92405,04
|
9,175
|
84338,425
|
8,349
|
-8066,61
|
91,27
|
|
Тональник
|
34684,2
|
3,444
|
39482,3
|
3,909
|
4798,10
|
113,83
|
|
Детская косметика
|
17950,2
|
1,782
|
18380,2
|
1,820
|
430,00
|
102,4
|
|
Средства для(после) загара
|
17784
|
1,77
|
18240,3
|
1,806
|
456,30
|
102,57
|
|
Всего
|
1007166,9
|
100
|
1010128,93
|
100
|
2962,07
|
100,29
|
|
|
|
|
|
|
|
|
|
|
|
В данном случае наблюдается «лидер»
продаж в рассматриваемой ассортиментной группе: «Крема для кожи». Это связано с
тем, что данная подгруппа довольно многочисленна, однако руководство
предприятия для удобства не посчитало нужным дробить ещё глубже данную
подгруппу товаров. Такая ситуация сложилась «исторически» и не меняется для
«удобства» пользования специальным программным обеспечением для кассы. У
подгруппы «Средства для укладки волос» наблюдается снижение в объёме продаж на
8,73% (8066,22 тысячи рублей). Такой спад в объёме продаж вызван тем, что из-за
недостаточно высокого объёма реализации у предприятия нет возможности получать
более высокую скидку с поставщиков, тем самым проигрывая своим конкурентам по
цене. Наименьшую же долю занимает подгруппа «Детская косметика», а также
подгруппа «Средства до (после) загара». В 2010 году объём продаж по товарам из
подгруппы «Детская косметика» составил 18380,2 тысяч рублей, что в процентном
выражении составляет 1,82% от общего объёма продаж по рассматриваемой группе.
Данная подгруппа не исключается из общей структуры ассортимента, так как, она
является дополнительным товаром, «в нагрузку» при посещении магазина родителей
вместе с детьми. У подгруппы «Средства для (после) загара» также наблюдается
низкая доля в объёме продаж по всей группе в 1,81%. Но так как товары из этой
подгруппы имеют ярко выраженный сезонный характер спроса, то данные за год не
совсем правильное отображение.
Следующая ассортиментная группа,
которую мы рассмотрим, занимает в общем объёме продаж 17%. Это группа товаров
«Бытовая химия». Данная ассортиментная группа состоит из восьми подгрупп, в
которые входят товары следующих категорий:
а) «Средства для стирки»;
б) «Средства для мытья окон»;
в) «Средства для посудомоечных
машин»;
г) «Моющие средства»;
д) «Средствадля мытья унитаза»;
е) «Ополаскиватель для белья»;
ж) «Средствадля мытья посуды»;
з) «Освежители».
Таблица 2.4 - Объём проданной
продукции из ассортиментной группы «Бытовая химия»
|
Бытовая химия
|
Годы
|
|
2009
|
2010
|
|
тыс. руб.
|
%
|
тыс. руб.
|
%
|
|
Средства для стирки
|
292310,50
|
54,48
|
293717,25
|
54,64
|
|
Для мытья окон
|
15630,25
|
2,91
|
15287,89
|
2,84
|
|
Для посудомоечных машин
|
20155,25
|
3,76
|
21669,25
|
4,03
|
|
Моющие средства
|
25896,50
|
4,83
|
24317,02
|
4,52
|
|
Для мытья унитаза
|
39059,75
|
7,28
|
36579,30
|
6,81
|
|
Ополаскиватель для белья
|
36743,00
|
6,85
|
38210,23
|
7,11
|
|
Для мытья посуды
|
54239,25
|
10,11
|
55086,00
|
10,25
|
|
Освежитель
|
52538,25
|
9,79
|
52637,60
|
9,79
|
|
Всего
|
536572,8
|
100
|
537504,53
|
100
|
По данным таблицы 2.4 можно увидеть,
что наибольшую долю в категории товаров «Бытовая химия», занимают «Средства для
стирки», причём, товары данной категории имеют удельный вес в 54,64%. В
денежном выражении это составляет 293717,25 тысяч рублей за 2010 год.
Наименьший удельный вес среди группы товаров «Бытовая химия» принадлежит
подгруппе «Средства для мытья окон» - 2,84% или 15287,89 тысяч рублей в 2010
году. Данная ситуация складывается из-за того, что пики потребления данного
товара приходятся на осень и весну. А у предприятия в данное время отсутствовал
товар из-за проблем с поставками. Так как данная ситуация является
неординарной, то не следует учитывать такое положение дел, как тенденцию.
Перейдём к рассмотрению следующей
ассортиментной группы. Товары из группы «Парфюмерия» представлены четырьмя
подгруппами:
а) «Парфюм женский»;
б) «Парфюм мужской»;
в) «Дезодорант женский»;
г) «Дезодорант мужской».
Структура группы «Парфюмерия», а
также показатели по выручке за два года представлены в таблице 2.5.
Таблица 2.5 Объём проданной
продукции из ассортиментной группы «Парфюмерия»
|
Парфюмерия
|
Годы
|
Темп роста, %
|
|
2009
|
2010
|
|
|
тыс. руб.
|
%
|
тыс. руб.
|
%
|
тыс. руб.
|
%
|
|
Парфюм женский
|
68552,72
|
18,18
|
86959,88
|
20,84
|
18407,16
|
126,851
|
|
Парфюм мужской
|
109506,46
|
29,04
|
123805,96
|
29,68
|
14299,50
|
113,058
|
|
Дезодорант женский
|
123937,45
|
32,87
|
130460,475
|
31,27
|
6523,02
|
105,263
|
|
Дезодорант мужской
|
75101,80
|
19,92
|
75956,4
|
18,21
|
854,60
|
101,138
|
|
Всего
|
377098,43
|
100
|
417182,714
|
100
|
40084,29
|
110,63
|
По данным таблицы 2.5 видно, что
объём продаж дезодорантов, как женских, так и мужских, практически не меняется
с 2009 по 2010 год. Это связано с тем, что спрос на данный товар неэластичен по
цене. А вот что касается парфюма, то наблюдается тенденция роста объёма продаж
женской парфюмериив 2010 году на 26,85%, что в денежном выражении составляет
18407,16 тысяч рублей. Объём продаж товаров из подгруппы «Парфюм мужской» также
вырос, в 2010 годурост составил13%, в денежном выражении 14299,50 тысяч рублей.
Это связано с тем, что со стороны ЧТУП «Виткрас» были внесены изменения в
состав подгрупп «Парфюм женский» и «Парфюм мужской», а именно сократили долю
элитного парфюма и увеличили долю среднего по цене парфюма.
Теперь разберёмся в составе такой
ассортиментной группы, как «Средства для умывания». Данная группа занимает 18%
в общем товарообороте предприятия ЧТУП «Виткрас». Она разделена на шесть
подгрупп, данные по которым представлены в таблице 2.6.
Таблица 2.6 - Объём проданной
продукции из ассортиментной группы «Средства для умывания»
|
Средства для умывания
|
Годы
|
Темп роста, %
|
|
2009
|
2010
|
|
|
тыс. руб.
|
%
|
тыс. руб.
|
%
|
тыс. руб.
|
%
|
|
Средства для мытья головы
|
210059,5
|
35,14
|
196048,88
|
33,00
|
14010,63
|
93,33
|
|
Гель для душа
|
89409,75
|
14,96
|
89236,5
|
15,02
|
-173,25
|
99,81
|
|
Мыло
|
90032
|
15,06
|
95320,4
|
16,05
|
5288,4
|
105,87
|
|
Скрабы
|
49853,41
|
8,34
|
51380,3
|
8,65
|
1526,89
|
103,06
|
|
Ополаскиватель / Кондиционер для волос
|
109189
|
18,26
|
112223,1
|
18,89
|
3034,1
|
102,78
|
|
Другие средства для умывания
|
49296,95
|
8,25
|
49794,9
|
8,38
|
497,95
|
101,01
|
|
Всего
|
597840,61
|
100
|
594004,08
|
100
|
-3836,54
|
99,36
|
По таблице 2.6 можно заметить общую
тенденцию снижения объёма продаж по данной товарной группе. Это связано со
снижением объёма выручки у товарной подгруппы «Средства для мытья головы».
Данная подгруппа занимает наибольший удельный вес в объёме продаж по группе, он
составляет 33,01% (196048,86 тысяч рублей). Однако, из-за роста закупочных цен,
выросла себестоимость товаров из данной подгруппы на 12%, что привело к
снижению выручки по данной подгруппе товаров на 12,3%. Снижение торговой
надбавки на 7%, не привело к необходимому росту объёма продаж, а в итоге
выручка по данной подгруппе снизилась на 6,67%, что в денежном выражении
составляет 14010,63 тысячи рублей. Для того чтобы увеличить рентабельность продаж
по данной подгруппе необходимо добиться скидок от поставщиков за счёт
увеличения объёма закупок, либо за счёт изменения условий оплаты товара.
Следующей ассортиментной группой,
которую мы рассмотрим, является группа товаров для бритья. Структура и динамика
продаж товаров из группы «Бритьё» представлены в таблице 2.7.
Таблица 2.7 - Объём проданной
продукции из ассортиментной группы «Бритьё»
|
Бритьё
|
Темп роста, %
|
|
2009
|
2010
|
|
|
тыс. руб.
|
%
|
тыс. руб.
|
%
|
тыс. руб.
|
%
|
|
Кассета для станка
|
23912,96
|
17,56
|
25992,35
|
19,26
|
2079,39
|
108,70
|
|
Средства после бритья
|
31284,90
|
22,97
|
29118,40
|
21,58
|
-2166,50
|
93,07
|
|
Станок одноразовый
|
18235,70
|
13,39
|
20108,30
|
14,90
|
1872,60
|
110,27
|
|
Станок для бритья
|
18927,20
|
13,90
|
17201,10
|
12,75
|
-1726,10
|
90,88
|
|
Средства для бритья
|
43818,54
|
32,18
|
42542,28
|
31,52
|
-1276,27
|
97,09
|
|
Всего
|
136179,31
|
100,00
|
134962,43
|
100,00
|
-1216,88
|
99,11
|
В данной товарной группе наибольший
удельный вес занимают товары из подгруппы «Средства для бритья» и «Средства
после бритья», 31,52% и 21,58% соответственно. Снижения объёма выручке по
данным подгруппам, а также по подгруппе «Станок для бритья» привелок общему
снижению показателя объёма продаж всей группы. Основываясь на том, что товары
из подгруппы «Станок одноразовый», а также «Станок для бритья» имеют наименьший
удельный вес, а также на том, выручка по товарам из подгруппы «Станок для
бритья» упала, можно сделать вывод о том, что данные подгруппы товаров вносят
незначительный вклад в общий товарооборот, но исключать их из товарооборота
также является нецелесообразным. Это связано с тем, что доля товаров «Станок
одноразовый» и «Станок для бритья» в составе оборотных средств невелика, а
также они не имеют срока годности, то будет целесообразным, оставить их в
структуре ассортимента, чтобы не страдала его полнота. Касаемо товаров из
подгруппы «Средства после бритья», то их исключение также негативно отразиться
на полноте товарного ассортимента, что, в свою очередь, может привести к
потерям от продаж среди других товарных групп.
Далее рассмотрим ассортиментную
группу «Гигиена х/б». В общем товарообороте товары из этой группы занимают 13%.
В состав ассортиментной группы «Гигиена х/б» входит следующаяпродукция:
«Тампоны», «Прокладки», «Подгузники», «Туалетная бумага», «Салфетки», «Влажные
салфетки», «Ватные палочки», «Ватные диски». Ниже в таблице 2.8 отражены
показатели, характеризующие объём выручки по каждой подгруппе.
Таблица 2.8 - Объём проданной
продукции из ассортиментной группы «Гигиена х/б»
|
Гигиена х/б
|
Годы
|
Темп роста, %
|
|
2009
|
2010
|
|
|
тыс. руб.
|
%
|
тыс. руб.
|
%
|
тыс. руб.
|
%
|
|
Тампоны
|
33170,2
|
9,25
|
34382,5
|
9,54
|
1212,30
|
103,655
|
|
Прокладки
|
138012,3
|
38,50
|
138509,875
|
38,43
|
497,58
|
100,361
|
|
Подгузники
|
143007,25
|
39,89
|
142770,425
|
39,61
|
-236,83
|
99,8344
|
|
Туалетная бумага
|
11034,5
|
3,08
|
11283,4
|
3,13
|
248,90
|
102,256
|
|
Салфетки
|
8795,7
|
2,45
|
8951,6
|
2,48
|
155,90
|
101,772
|
|
Влажные салфетки
|
6420,7
|
1,79
|
6380,5
|
1,77
|
-40,20
|
99,3739
|
|
Ватные палочки
|
10135,7
|
2,83
|
10230,84
|
2,84
|
95,14
|
100,939
|
|
Ватные диски
|
7893,4
|
2,20
|
7892,1
|
2,19
|
-1,30
|
99,9835
|
|
Всего
|
358469,75
|
100
|
360401,24
|
100
|
1931,49
|
100,539
|
В данной группе товаров наибольшую
долю заняли подгруппы «Прокладки» и «Подгузники», удельный вес которых составил
38,43% и 39,61% соответственно. У подгруппы товаров «Подгузники» наблюдается
небольшое снижение в уровне продаж. Следующая по объёму продаж идёт подгруппа
«Тампоны» с 9,54%. Интересен тот факт, что товары из подгруппы «Прокладки» и
товары из подгруппы «Тампоны» имеют схожее применение, однако значительно
отличаются по удельному весу в группе. Остальные же подгруппы вносят
незначительный вклад в объём продаж по группе «Гигиена х/б», однако их
необходимость внесения в структуру ассортимента объясняется тем, что они
являются товарами-комплиментами к продукции из других товарных групп, а также
они дополняют общую картину ассортимента, исключение их ассортимента могло бы
привести к тому, что у покупателей может сложиться негативное отношение к
магазину, если из-за «мелочи» им придётся зайти ещё и в другой магазин.
Следующая ассортиментная группа
представленная в магазине «Азбука красоты» это «Уход за полостью рта». Она
состоит из трёх подгрупп. Показатели объёма выручки и его изменения отражены в
таблице 2.9.
Таблица 2.9 - Объём проданной
продукции из ассортиментной группы «Уход за полостью рта»
|
Уход за полостью рта
|
Годы
|
Темп роста, %
|
|
2009
|
2010
|
|
|
тыс. руб.
|
%
|
тыс. руб.
|
%
|
тыс. руб.
|
%
|
|
Зубная щётка
|
17405,10
|
18,14
|
17387,5
|
18,24
|
-17,60
|
99,89
|
|
Зубная паста
|
59318,40
|
61,84
|
62570,7
|
65,63
|
3252,30
|
105,48
|
|
Лосьоны для полоскания
|
19205,4
|
20,02
|
15380,48
|
16,13
|
-3824,92
|
80,08
|
|
Всего
|
95928,90
|
100
|
95338,68
|
100
|
-590,22
|
99,39
|
В данной ассортиментной группе
наблюдается снижение объёмов продаж по двум из трёх ассортиментным подгруппам:
«Зубная щётка» и «Лосьоны для полоскания». Первую подгруппу не стоит исключать
из общей структуры ассортимента, так как зубные щётки обязаны присутствовать в
магазине бытовой химии, её необходимо сократить до минимума. А вот касательно
такой подгруппы, как лосьоны для полоскания» здесь, скорее всего, будет
целесообразным полностью исключить её из ассортимента магазина «Азбука
Красоты». Подгруппа «Зубная паста» составляет большую часть от рассматриваемой
группы товаров. Её объём составляет 65,63%. Также по ней наблюдается прирост
продаж на 5%, однако на общем фоне данная цифра незначительна, хотя и имеет
положительное значение.
Товары из ассортиментной группы
«Другое» представлены четырьмя подгруппами. Их изменения в товарообороте
представлены ниже, в виде таблицы 2.10.
Таблица 2.10 - Объём проданной
продукции из ассортиментной группы «Другое»
|
Другое
|
Годы
|
|
2009
|
2010
|
|
тыс. руб.
|
%
|
тыс. руб.
|
%
|
|
Губки
|
17589,46
|
55,46
|
19118,98
|
57,98
|
|
Перчатки
|
6910,41
|
21,79
|
6519,25
|
19,77
|
|
Мочалки
|
5538,26
|
17,46
|
5709,55
|
17,31
|
|
Мусорные мешки
|
1678,36
|
5,29
|
1629,48
|
4,94
|
|
Всего
|
31716,48
|
100
|
32977,25
|
100
|
Несмотря на то, что данная
ассортиментная группа составляет 1% от общего товарооборота, продукция,
входящая в состав подгрупп, является важной для структуры ассортимента. Если
исключить товары данной группы, мы можем потерять часть своих клиентов. Ведь
людям не хочется, например, купив в магазине бытовой химии мыло, идти за
мочалкой в другой магазин. Либо, купив средство для мытья посуды, за губками
опять же отправляться в другой магазин.
Как показывает анализ, в группе
товаров «Другое» наибольшую долю занимают товары из подгруппы «Губки», они
составляют 50% от объёма продаж всей подгруппы. Сама же группа товаров «Другое»
занимает в общем обороте всего лишь 1%. Но несмотря на столь маленький процент,
исключать товары данной группы из оборота нецелесообразно, так они являются
сопутствующими ко многим другим ассортиментным единицам. Затраты на их доставку
и хранение незначительны, а исключив их из оборота вовсе, можно потерять на
продажах других товаров. Таким образом данная группа товаров должна постоянно
присутствовать, однако не стоит ей уделять особого внимания.
Для того чтобы подытожить общую
картину распределения выручки по ассортиментным группам, отобразим их доли на
диаграмме ниже (рисунок 2.1).
Рисунок 2.1 - Соотношение
укрупнённых ассортиментных групп в 2010 году
Исходя из данных, отражённых на
рисунке 2.1, можно сделать вывод о том, что наибольший вклад в выручку
предприятия ЧТУП «Виткрас» вносят товары из ассортиментной группы «Косметика».
Её доля составляет 32% от всего товарооборота магазина. Следовательно, товары
данной группы играют очень важны для ассортиментной структуре исследуемого
предприятия. Такой показатель отчасти связан с тем, что спрос на часть данной
продукции является неэластичным, женская часть населения, которая и является
основным потребителем данной продукции, будет приобретать товары из группы
«Косметика» практически при любых изменениях в экономике.
Следующая по величине ассортиментная
группа это «Средства для умывания». В общем товарообороте товары, относящиеся к
данной группе, занимают 19%. Группа товаров «Бытовая химия» составляет 17% от
общей выручки по магазину за 2010 год. Наименьшую долю в товарообороте магазина
«Азбука красоты» занимают товары из ассортиментной группы «Другое». Они не
исключаются из ассортимента, так как являются неотъемлемой частью общего набора
товаров магазина, специализирующегося на продаже бытовой химии.
Таким образом, можно заметить, что
65% всей выручки достигается за счёт трёх ассортиментных групп. Далее
рассмотрим какие именно составляющие вносят наибольший вклад в товарооборот, на
какие следует направить усилия по увеличению объёма продаж, долю каких из
ассортиментных подгрупп следует увеличить, либо сократить, а также какие
возможно стоит и вовсе исключить из общей структуры ассортимента.
.3 АВС-анализ
ассортимента продукции
В современных рыночных условиях
потребители диктуют участникам рынка правила игры, и в том числе определяют те
продукты и услуги, которые обеспечат компании необходимый уровень
конкурентоспособности. Ассортиментная политика является одним из важнейших инструментов
и составляющих маркетинга в борьбе компании с конкурентами.
Оптимально подобранный
ассортиментный портфель организации прямо воздействует на сбытовую
деятельность, что позволяет управлять долей маржинального дохода и,
следовательно, долей чистой прибыли в выручке компании. При несбалансированной
структуре ассортимента происходит снижение уровня прибыли, потеря конкурентных
позиций на перспективных потребительских и товарных рынках и, как следствие
этого, наблюдается снижение экономической устойчивости предприятия.
Для проведения полноценного анализа
ассортимента ЧТУП «Виткрас» проведём АВСанализ. По результатам анализа
товарного портфеля магазина «Азбука Красоты» получим информацию о состоянии
ассортимента продукции исследуемой фирмы.
Параметр, по которому будет
проводиться анализ - выручка за 2010 год в млн. руб. Далее необходимо провести
сортировку ассортиментных групп в порядке убывания объема выручки, рассчитать
удельный вес выручки каждой ассортиментной группы в общем объеме выручки,
рассчитать удельный вес с накопительным итогом и присвоить каждой
ассортиментной группе своё значение - А, В или С. Данные для расчета
представлены в приложении А.
Для определения границ групп А, В и
С воспользуемся методом касательных. Для этого выполним следующие шаги:
1 шаг: строим кривую распределения частот с накоплением (рисунок 2.12).
Рисунок 2.2 - Кривая АВС-анализа
2 шаг: строим отрезок ОD, соединяющий конечные точки кривой
АВС (рисунок 2.13).
Рисунок 2.3 - Построение отрезка ОD
3 шаг: Затем строим касательную к кривой АВС, параллельную отрезку ОD. Точку касания обозначим буквой М
(рисунок 2.14).
Рисунок 2.4 - Построение касательной
к кривой АВС
4 шаг: соединяем точку касания М с точкой D. Затем строим вторую касательную к
кривой АВС, параллельную отрезку МD. Точку касания обозначим буквой K (рисунок 2.15).
Рисунок 2.5 - Построение второй
касательной к кривой АВС
шаг: Опускаем перпендикуляр из точек М и K на ось Х. Отрезок ОМ1 показывает
границы группы А, а отрезок М1K1 - границы группы В (рисунок 2.16).
Рисунок 2.6 - Определение границ
групп А, В и С
По данным, изображённым на рисунке
2.6, можно сделать следующие выводы: группа товаров А приносит 58,76% выручки,
при этом занимает 31,53% в ассортименте в долевом выражении. Группы товаровА и
В приносят 97,44% процента выручки и занимают при этом 88,41%. Остальные товары
относятся к группе С, они занимают 11,59% в ассортименте и приносят 4,46%
выручки. Для более детального выяснения причин попадания такого количества товаров
в группу С проанализируем ассортимент с помощью других методов.
Однако нельзя представить себе
эффективно работающую организацию без учета выручки и прибыли. Поэтому можно
использовать АВСанализ, что бы понять, какой из товаров (группа, категория,
позиция) приносит нам больше и в обороте, и в прибыли.
Проведя АВСанализ по двум
параметрам: по прибыли и по выручке, можно составить на основе сочетания этих
данных. Для этого проведём ABCанализ по прибыли, относительно доли каждого товара в общем
ассортименте. Чтобы получить искомый результат, произведём те же действия, что
и в предыдущем анализе. В результате мы получим следующие границы групп А, В и
С (рисунок 2.7).
Рисунок 2.7 - Определение границ
групп А, В и С
Далее совместим результаты двух ABC-анализов в общую
матрицу (таблица 2.11).
Таблица 2.11 - Матрица ABC-анализа по двум
факторам
|
Выручка Прибыль
|
А
|
В
|
С
|
|
А
|
Средства для стирки, крема для кожи, прокладки, дезодорант
женский, Ополаскиватель/кондиционер для волос, Тени,
|
|
|
|
В
|
Подгузники, тушь, гель для душа, парфюм муж. средства для мытья
головы, тени, губная помада, гель для душа, лак, дезодорант муж., пудра,
|
мыло, парфюм женский, средства для укладки волос, дезодорант
мужской, пудра, румяна, лак для ногтей, средства для мытья посуды, карандаш
для губ, карандаш для глаз, скрабы, средства для бритья, тональные крема,
моющие средства, ополаскиватель для белья, для мытья окон, для мытья унитаза,
тампоны,
|
|
|
B
|
Зубная паста
|
освежитель, средства после бритья, кассета для станка, для
посудомоечных машин, станок одноразовый, детская косметика
|
Средства для (после) загара, зубная щётка, станок для бритья,
лосьоны для полоскания, губки, туалетная бумага, ватные палочки, салфетки,
|
|
C
|
|
|
ватные диски, перчатки, влажные салфетки, мочалки
|
|
|
|
|
|
По результатам проведенного анализа,
можно сделать выводы о том, что наиболее ценными для ЧТУП «Виткрас» является
товары, которые попали в группу АА и группу АВ. Эти группы приносят предприятию
больше всего прибыли, следовательно, необходимо постоянно контролировать
наличие этих товаров в торговом зале магазина, а также не лишним будет иметь
дополнительный страховой запас.
Группа АС представлена только одним
видом товаров, неё входят товары из ассортиментной подгруппы «Зубная паста».
Данная группа характеризуется высоким вкладом в выручку, однако, низким вкладом
в прибыль. Это объясняется тем, что торговая наценку на данную подгруппу
товаров составляет в среднем 15%, относительно низкая цена в среднем по рынку
на данный вид продукции не позволяет сделать ей выше. А увеличение объёма
продаж, чтобы получить большую рентабельность с единицы товара не приведёт к
значительному росту прибыли. Однако, как уже отмечалось, товары из данной
подгруппы необходимы для полноты ассортимента.
Группа ВВ состоит из двадцати
ассортиментных подгрупп. Товары, входящие в данную группу, можно отнести к
устойчивым «середнякам». Они играют также важную роль в структуре
ассортиментарозничного магазина. Именно благодаря данным группам и происходит
основное наполнение по широте и глубине, пусть даже в ущерб выручке, однако это
даёт для посетителей более широкий выбор продукции, что в свою очередь
оказывает положительное влияние на формирование мнения о магазине в целом.
Товарами попавшими в группу ВС
являются: освежитель, средства после бритья, кассета для станка, для
посудомоечных машин, станок одноразовый, детская косметика. Группа товаров ВС
характеризуется тем, что прибыльность этих товаров мала и её необходимо
увеличивать, а также не допустить попадания данных подгрупп товаров в группу
СС.
Также после АВС анализа по двум
параметрам были выявленв подгруппы товаров, которые попали в группу СС. Они
отличаются от остальных тем, что принося мало выручки и, соответственно, играют
низкую роль в формировании прибыли. К товарам из данной группы следует
отнестись с большим вниманием, так как они являются «балластом» для магазина.
Они увеличивают оборачиваемость вложенных в них средств, а также способны
приводить к росту кредиторской задолженности. Однако однозначное решение об
исключении этих товаров полностью из структуры ассортимента является не совсем
верным, так часть из них носит роль товаров - комплиментов для других товарных
групп.
2.4 XYZ-анализ ассортимента
продукции
Далее проведём XYZ-анализ продукции ЧТУП
«Виткрас» по объёму выручки за 2010 год.
ОбъектомXYZ-анализа являются также
перечисленные ранее ассортиментные группы товаров ЧТУП «Виткрас». Параметр, по
которому будет проводиться анализ - выручка млн. руб. Далее необходимо
определить период и количество периодов, по которым будет проводиться анализ. В
данном случае проведем анализ за 2010 год, т.е. количество периодов - 12
месяцев. После этого необходимо определить коэффициент вариации для каждой
ассортиментной группы изделий по следующей формуле:

, (3.1)
где:
- среднеквадратическое
отклонение;

- значение параметра по
оцениваемому объекту за i-тый
период;

- среднее значение
параметра по оцениваемому объекту анализа;

- число периодов.
После этого необходимо
отсортировать ассортиментные группы товаров по возрастанию значения
коэффициента вариации и определить группы X, Y
иZ. К группе X относятся объекты анализа с коэффициентами вариации
значение по которым не превышает10%. К группе Y
- объекты, коэффициент вариации по которым составляет10% - 25%. К группе Z - объекты, коэффициент вариации по которым превышает25%. По
результатам проведенного анализа, в группуZ
(в которую по определению входят группы товаров с нерегулярным потреблением,
отсутствием каких-либо тенденций, с невысокой точностью прогнозирования) вошла
только одна подгруппа товаров: «Средства для (после) загара». Колебания в
уровне продаж по данной подгруппе вызваны ярко выраженной сезонностью спроса.
Это обуславливается климатическими условиями географии ведения деятельности
ЧТУП «Виткрас».
В группу Y не вошли товары не из одной из рассмотренных ассортиментных
групп. Это объясняется тем, что у товаров исследуемого торгового предприятия
практически отсутствует сезонность спроса, либо она компенсируется в сумме за
год. Например, тональные крема на основе масел пользуются в повышенным спросом
в зимний период, а в летний период повышенным спросом пользуются тональные
крема на водной основе. Такой характер спроса компенсирует колебания продаж на
протяжении года.
Группу X составляют все
оставшиеся товары. Единственная товарная подгруппа, которая проявила хоть
какой-то значимый уровень в колебаниях продаж, это «Средства после бритья».
Коэффициент вариации у данной подгруппы равен 8,39%. По данной подгруппе
товаров наблюдается снижение выручки в летний период года. Возможно такая
ситуация связана с тем, что зимой из-за мороза кожа после бритья более чувствительна
к раздражениям. Так как данная подгруппа входит группу ВС, то возможно,
выровняв кривую продаж за год, товары «Средства после бритья» перейдут в группу
ВВ. однако по ней также наблюдается снижение в объёме продаж за 2010 год на 7%,
поэтому в данном случае следует не только выравнивать кривую спроса, но
провести оптимизацию по товарам, входящим в данную подгруппу.
Колебания по выручке на
данную подгруппу представлены на графике, который отображает объём продаж по
месяцам в 2010 году. Объём продаж за каждый месяц отображён с помощью графика
уровня продаж на следующей странице (рисунок 2.8).
Рисунок 2.8 - Объём
продаж по подгруппе «Средства после бритья» по месяцам за 2010 год
2.5 БКГ - анализ
ассортимента продукции
Еще одним эффективным методом
анализа ассортимента продукции предприятия является анализ при помощи матрицы BCG. Матрица бостонской
консалтинговой группы является классическим универсальным инструментом для
анализа ассортиментного портфеля организации. Часто бывает невозможно построить
классическую матрицу BCG, по причине отсутствия необходимых данных и возникновения
сложностей в определении доли рынка конкурентов и т.д. Адаптированная матрица
строится на основании внутренней информации компании и позволяет сделать
полноценный анализ и выводы.
Проведем анализ ассортимента
продукцииЧТУП «Виткрас» при помощи матрицы BCG (таблица 2.12).
Таблица 2.12 - Анализ ассортимента
ЧТУП «Виткрас» при помощи матрицы BCG
|
Объём реализации продукции
|
Годы
|
Темп роста, %
|
|
2009
|
2010
|
|
|
тыс. руб.
|
%
|
тыс. руб.
|
%
|
|
|
Парфюмерия
|
377,10
|
12,08
|
417,18
|
12,75
|
110,63
|
|
Бытовая химия
|
531,67
|
17,04
|
552,87
|
16,90
|
103,99
|
|
Косметика
|
1000,25
|
32,06
|
1010,13
|
30,88
|
100,99
|
|
Средства для умывания
|
598,97
|
19,20
|
594,00
|
18,16
|
99,17
|
|
Бритьё
|
135,18
|
4,33
|
134,96
|
4,13
|
99,84
|
|
Гигиена х/б
|
358,47
|
11,49
|
360,40
|
11,02
|
100,54
|
|
Уход за полостью рта
|
93,93
|
3,01
|
97,34
|
2,98
|
103,63
|
|
Другое
|
24,82
|
0,80
|
25,14
|
0,77
|
101,27
|
|
Всего
|
3120,39
|
100
|
3271,2
|
100,00
|
104,83
|
По данным таблицы 2.12 построим
адаптированную матрицу БКГ и определим группы ассортимента, относящиеся к
«дойным коровам», «звездам», «трудным детям» и «собакам».
Рисунок 2.9 - Анализ ассортимента
продукции ЧТУП «Виткрас» при помощи матрицы БКГ
Таким образом, по результатам построения
матрицы БКГ можно сделать выводы о том, что наиболее выгодными для предприятия
группами товаров являются «Косметика» и товары из группы «Средства для
умывания», так как они попали в группу «Дойные коровы». К группе Звёзды»
относятся товары из группы «Бытовая химия», а также из группы «Парфюмерия».
Товары из группы «Гигиена х/б» находятся на границе выпадения из квадранта
«Дойные коровы». Это связано с тем, что в данную ассортиментную группу входят
товары с низким объёмом выручки. Это товары из подгрупп «Туалетная бумага»,
«Салфетки», «Влажные салфетки», «Ватные диски», «Ватные палочки». Их внесение в
данную группу связано с тем. Они формируют малую часть выручки, однако
выступают в роли товаров-комплиментов для других товарных подгрупп. Попадание группы
товаров «Бытовая химия» в квадрант «Звёзд» связано с тем, что прирост выручки
по товарам из подгруппы «Средства для стирки» составил 104,78%, а исходя из
того, что данная подгруппа по показателю выручки занимает 50% от всей группы
«Бытовая химия» это привело к росту по показателю выручки данной товарной
группы. В квадранте «Собаки» находятся три товарные группы: «Средства для
бритья», «Уход за полостью рта» и товары из группы «Другое». Указанные группы
формируют малую долю выручки, а также не проявляют тенденции к увеличению в
доле выручки. Соответственно встаёт вопрос об их сокращении, либо о полном
выводе из структуры ассортимента.
Вывод по разделу.
Итак, для рассмотрения работы
предприятия в динамике были использованы различные инструменты и методы оценочного
анализа. Для этого были рассмотрены следующие показатели: общий размер выручки
и прибыли за год, размер выручки и прибыли по месяцам, вклад каждой группы, а
также подгруппы товаров в общий размер выручки и прибыли как по месяцам, так и
за год, количество постоянных покупателей, количество неудовлетворенных
покупателей, предпочтения целевого рынка, средняя цена покупки по чеку и др.
Результаты такого анализа позволяют определить необходимость увеличения,
сокращения или прекращения закупок отдельных видов продукции, а также позволяют
разрабатывать различные маркетинговые мероприятияпо оптимизации как структуры
ассортимента по отдельным позициям, так и по общему объёму.
снижение уровня выручки и прибыли по
некоторым ассортиментным подгруппам;
наличие большого числа товаров из
группы СС в ассортименте;
увеличение кредиторской
задолженности по продукции из-за изъянов в структуре ассортимента;
наличие широкого ряда товаров в
квадранте «собаки» в матрице БКГ;
неоптимальная структура закупок по
некоторым товарным подгруппам;
Решения по некоторым из них будут
предложены в третьем разделе моей дипломной работы.
3. Разработка
мероприятий по совершенствованию ассортиментной политики ЧТУП «Виткрас»
.1 Формирование
ассортимента для нового целевого сегмента - салонов красоты
По результатам анализа во второй
главе дипломной работы было выявлено снижение в объёмах продаж продукции из
подгрупп «Средства для мытья головы» и «Средства для укладки».
Исходя из данных, полученных в
результате ABC-анализа по выручке и по прибыли, товары из подгруппы «Средства
для укладки» и подгруппы «Средства для мытья головы» входят в группу товаров
АВ. Так как группы АА и АВ оказывают наибольший вклад в формирование выручки, а
соответственно и прибыли предприятия, необходимо постоянно уделять внимание
товарам из данной группы, следить за уровнем их продаж, наличием на складе и в
торговом зале. А в случае необходимости принимать меры по решению возникающих
проблем. Данные по рассматриваемым торным подгруппам представлены в таблице
3.1.
Таблица 3.1 - Объём продаж товаров
из подгрупп «Средства для мытья головы» и «Средства для укладки волос»
|
Наименование
|
Объём продаж, тыс. руб.
|
|
2009
|
2010
|
отклонение, %
|
|
Средства для укладки волос
|
92405,04
|
84338,4
|
8,73
|
|
Средства для мытья головы
|
210059,5
|
196049
|
6,67
|
По результатам представленным в
таблице 3.1 наблюдается снижение объёма продаж по данным подгруппам связано с
тем, что у всех поставщиков увеличились цены в среднем на 10%. Такая ситуация
привела к снижению выручки по «Средствам для мытья головы» на 6,67% в 2010
году, в денежном выражении это составило 8066,62 тысяч рублей. Схожая картина
наблюдается у товаров из подгруппы «Средства для укладки волос». За 2010 год
объём продаж товаров данной подгруппы снизился на 14010,625 тысячи рублей за
2010 год, то есть на 8,73%.
Выявленная тенденция по снижению
объёма продаж может привести к попаданию этих товаров впоследствии в группу ВС,
что негативно отразится на общем объёме товарооборота и прибыли ЧТУП «Виткрас».
Так как группы АА и АВ оказывают наибольший вклад в формирование выручки, а
соответственно и прибыли предприятия, необходимо постоянно уделять внимание
товарам из данной группы, и в случае необходимости принимать меры по решению
возникающих проблем.
Для того чтобы получить
дополнительную скидку с объёма закупок у поставщиков, а также поднять уровень
продаж рассматриваемых товаров предлагается следующее - заключить договора на
поставку данной продукции для парикмахерских и салонов красоты. При этом в
условия сделки необходимо добавить договорённость о размещении POS-материалов ЧТУП
«Виткрас», таких как, плакаты на зеркалах перед клиентами, печатную продукцию в
помещениях для ожидания в интересующих нас салонах красоты и парикмахерских, а
также на поставляемой продукции (необходимо разместить на флаконах и бутылках
логотип магазина).