Система управления технологическим процессом выпаривания нитрата натрия

  • Вид работы:
    Курсовая работа (т)
  • Предмет:
    Другое
  • Язык:
    Русский
    ,
    Формат файла:
    MS Word
    440,36 Кб
  • Опубликовано:
    2012-07-19
Вы можете узнать стоимость помощи в написании студенческой работы.
Помощь в написании работы, которую точно примут!

Система управления технологическим процессом выпаривания нитрата натрия












Система управления технологическим процессом выпаривания нитрата натрия


Введение

выпаривание натрий технологический нитрат

Выпаривание - это процесс концентрирования растворов твердых нелетучих веществ путем частичного испарения растворителя при кипении жидкости.

Выпаривание применяют для концентрирования растворов нелетучих веществ, выделения из растворов чистого растворителя (дистилляция) и кристаллизации растворенных веществ, т.е. нелетучих веществ в твердом виде. При выпаривании обычно осуществляется частичное удаление растворителя из всего объема раствора при его температуре кипения. Поэтому выпаривание принципиально отличается от испарения, которое, как известно, происходит с поверхности раствора при любых температурах ниже температуры кипения. В ряде случаев выпаренный раствор подвергают последующей кристаллизации в выпарных аппаратах, специально приспособленных для этих целей.

Для нагревания выпариваемых растворов до кипения используют топочные газы, электрообогрев и высокотемпературные теплоносители, но наибольшее применение находит водяной пар, характеризующийся высокой удельной теплотой конденсации и высоким коэффициентом теплоотдачи.

Процесс выпаривания проводится в выпарных аппаратах. По принципу работы выпарные аппараты разделяются на периодические и непрерывно действующие.

Периодическое выпаривание применяется при малой производительности установки или для получения высоких концентраций. При этом подаваемый в аппарат раствор выпаривается до необходимой концентрации, сливается и аппарат загружается новой порцией исходного раствора.

В установках непрерывного действия исходный раствор непрерывно подается в аппарат, а упаренный раствор непрерывно выводится из него.

Известно, что непрерывно действующие выпарные установки отличаются большой производительностью, возможностью механизации и автоматизации технологического процесса. Однако пуск и остановка непрерывно действующих технологических линий значительно сложнее, чем периодически действующих, следовательно, остановка всей линии из-за выхода из строя одного аппарата недопустима. По этой причине трубопроводные коммуникации выпарной установки должны предусматривать возможность отключения отдельных аппаратов для периодических кратковременных чисток и ремонтов и возможность предотвращения попадания в них горячего раствора и пара при отключении. Все материальные потоки в этом случае направляются в обход отключенного аппарата в оставшиеся работающие аппараты. Возможность быстрого отключения отдельных аппаратов от работающей выпарной установки особенно важна при аварийных ситуациях, возникающих в работающих аппаратах (образование свищей в кипятильных трубках, нарушение герметичности уплотнений и т.д.). При проектировании трубопроводной обвязки необходимо обходиться минимальной протяженностью труб и минимумом арматуры. Несоблюдение этого правила может привести не только к значительному росту гидравлических сопротивлений, но и к увеличению стоимости всей установки.

В данном курсовом проекте для расчетов принята прямоточная трехкорпусная выпарная установка. Конструкция выпарного аппарата: с естественной циркуляцией и вынесенной греющей камерой. Выбор конструкции обусловлен малой вязкостью выпариваемого раствора, повышенной интенсивностью выпаривания не только за счет увеличения разности плотностей жидкости и парожидкостной смеси в циркуляционном контуре, но и за счет увеличения длины кипятильных труб.

Нитрат натрия (чилийская селитра) применяют как удобрение, в производстве солей Na и нитритов, как компонент закалочных ванн в металлообрабатывающей промышленности, теплоаккумулирующих составов, окислитель в ВВ, в ракетных топливах, пиротехнических составах, в производстве стекла, как компонент жидких солевых хладагентов (селитряной смеси), консервант пищевых продуктов.

1. Анализ технологического процесса

В современных выпарных установках выпариваются очень большие количества воды. В однокорпусном аппарате на выпаривание 1 кг воды требуется более 1 кг греющего пара. Это привело бы к чрезмерно большим расходам его. Однако расход пара на выпаривание можно значительно снизить, если проводить процесс в многокорпусной выпарной установке. Как указывалось, принцип действия ее сводится к многократному использованию тепла греющего пара, поступающего в первый корпус установки, путем обогрева каждого последующего корпуса (кроме первого) вторичным паром из предыдущего корпуса.

Схема трехкорпусной вакуум-выпарной установки, работающей при прямоточном движении греющего пара и раствора, показана на рис. 1.1.

Рис. 1 - Трехкорпусная прямоточная вакуум-выпарная установка

На рисунке рис. 1.1 представлено: 1-3 - корпуса установки; 4 - подогреватель исходного раствора; 5 - барометрический конденсатор; 6 - ловушка; 7 - вакуум-насос.

Установка состоит из нескольких (в данном случае трех) корпусов. Исходный раствор, обычно предварительно нагретый до температуры кипения, поступает в первый корпус, обогреваемый свежим (первичным) паром. Вторичный пар из этого корпуса направляется в качестве греющего во второй корпус, где вследствие пониженного давления раствор кипит при более низкой температуре, чем в первом.

Ввиду более низкого давления во втором корпусе раствор, упаренный в первом корпусе, перемещается самотеком во второй корпус и здесь охлаждается до температуры кипения в этом корпусе. За счет выделяющегося при этом тепла образуется дополнительно некоторое количество вторичного пара. Такое явление, происходящее во всех корпусах установки, кроме первого, носит название самоиспарения раствора.

Аналогично упаренный раствор из второго корпуса перетекает самотеком в третий корпус, который обогревается вторичным паром из второго корпуса.

Предварительный нагрев исходного раствора до температуры кипения в первом корпусе производится в отдельном подогревателе 4, что позволяет избежать увеличения поверхности нагрева в первом корпусе.

Вторичный пар из последнего корпуса (в данном случае из третьего) отводится в барометрический конденсатор 5, в котором при конденсации пара создается требуемое разрежение. Воздух и неконденсирующиеся газы, попадающие в установку с паром и охлаждающей водой (в конденсаторе), а также через неплотности трубопроводов и резко ухудшающие теплопередачу, отсасываются через ловушку - брызгоулавливатель 6 вакуум-насосом 7.

С помощью вакуум-насоса поддерживается также устойчивый вакуум, так как остаточное давление в конденсаторе может изменяться с колебанием температуры воды, поступающей в конденсатор. Необходимым условием передачи тепла в каждом корпусе должно быть наличие некоторой полезной разности температур, определяемой разностью температур греющего пара и кипящего раствора.

Вместе с тем, давление вторичного пара в каждом предыдущем корпусе должно быть больше его давления в последующем. Эти разности давлений создаются при избыточном давлении в первом корпусе, или вакууме в последнем корпусе, или же при том и другом одновременно.

Недостаток схемы с прямоточным питанием заключается в том, что в последнем корпусе, где температура кипения самая низкая, выпаривается наиболее концентрированный раствор. Одновременное понижение температуры и повышение концентрации раствора приводит к повышению вязкости и снижению коэффициентов теплопередачи; поэтому в данной схеме коэффициенты теплопередачи уменьшаются от первого корпуса к последнему.

Применяемые схемы многокорпусных выпарных установок различаются по давлению вторичного пара в последнем корпусе. В соответствии с этим признаком установки делятся на работающие под разрежением и под избыточным давлением.

Полная технологическая схема многокорпусной установки представляет собой совокупность технологических узлов, объединенных в соответствии с целью производства получением упаренного раствора.

Выпарная установка снабжается водяной коммуникацией, которая используется для конденсации пара в барометрическом конденсаторе, подпитки водокольцевых вакуум-насосов, наполнения аппаратов после их чистки.

2. Разработка АСУ ТП технологического процесса

2.1 Задачи АСУ ТП

Основой разработки АСУ ТП является построение моделей производственных процессов, а также процессов сбора и обработки информации о ходе этих процессов. Общая цель моделирования подчинена цели любых естественно - научных исследований - прогнозировать результаты предстоящих экспериментов.

АСУ ТП процесса измельчения предназначена для выполнения следующих задач:

1.  Управления технологическим процессом выпаривания и классификации, раствор на различных стадиях;

2.       Непрерывного измерения, контроля и регулирования технологических параметров;

.        Диагностики и контроля состояния оборудования.

2.2 Режимы работы системы

В зависимости от условий работы и характера выполнения исполнительных команд система может реализовывать следующий режим работы:

-    Автоматический - управление с ЭВМ. В данной системе управления в БД хранятся указания на действия, выполняемые в определенных ситуациях.

-       Ручной - управление мастером на местном щите.

2.3 Функциональная структура проектируемой системы

Существующая система на предприятии должна иметь два уровня системы управления, так все данные фиксируются на местном щите мастера и на ЭВМ оператора.

Первый (нижний уровень) должен осуществлять контроль результатов измерений и непосредственное цифровое управление по датчикам, исполнительным механизмам, выполнение необходимых переключений по командам верхнего уровня, автоматическим переключениям.

Второй (верхний уровень) выполняет функции отображения данных о состоянии технологического процесса, архивировании полученных данных. Кроме того, на этом уровне нужно организовать сохранение всех изменений всех параметров, которые осуществил оператор, в базу данных, справочную систему и удобный интерфейс.

2.4 Концептуальная модель

Построение концептуальной (содержательной) модели конкретного объекта является первым этапом моделирования. Основным содержанием этого этапа является переход от словесного описания к его математической модели.

Цель управления выпарной установки состоит в получении раствора заданной концентрации Q y, а также в поддержании материального и теплового балансов.

Концентрация упаренного раствора завистит от расхода, концентрации и температуры исходного раствора, расхода и давления греющего пара, давления в выпарных аппаратах. В соответствии с целью управления схемой автоматизации предусматривают регулирование концентрации упаренного раствора.

Основной регулирующий параметр - концентрация упаренного раствора.

Структурная схема процесса выпаривания представлена на рисунке 2.

На рисунке 2 применены следующие обозначения: Расход исходного раствора - Fисх раств., Концентрация исходного раствора - Qисх., Давление греющего пара - Ргреющ.пара, Температура исходного раствора - Tисх., Давление в выпарном аппарате - Рвып. аппар., Концентрация упаренного раствора - Qyпар., Расход греющего пара - Fгреющ.пара.

исх раств.исх.исх.                                                                Qyпар.греющ.пара

Ргреющ.паравып. аппарат

Рис. 2 - Структурная схема процесса выпаривания

Управляющими воздействиями могут служить: расход исходного раствора; расход греющего пара.

2.5 Функциональная схема автоматизации процесса

Система автоматизации предусматривает автоматический контроль давления греющего пара в I корпусе трехкорпусной МВУ, уровня раствора в каждом корпусе, плотности готового продукта; блокировки от понижения уровня раствора в корпусах МВУ, разрежения в последнем корпусе.

Стабилизация давления греющего пара в I корпусе осуществляется следящей системой регулирования. Заданием регулятору давления является расход раствора на МВУ.

Схема стабилизации технологических величин выпарной установки представлена рисунке 3.

На рисунке 3 представлены следующие аппараты: 1 - выпарной аппарат; 2 - кипятильник; 3 - теплообменник; 4 - барометрический конденсатор.

Концентрация упаренного раствора зависит от расхода, концентрации и температуры исходного раствора, расхода и давления греющего пара, давления в выпарных аппаратах. В соответствии с целью управления схемой автоматизации предусматривают регулирование концентрации упаренного раствора (рис. 3).

Концентрацию  можно измерить кондуктометрическим методом, по плотности раствора, по показателю преломления света или по величине температурной депрессии раствора, т.е. по разности температур кипения ΔT раствора и растворителя. При этом первичный измерительный преобразователь температуры кипения раствора устанавливают на трубопроводе кипящего раствора после кипятильника, и измерительный преобразователь температуры кипения растворителя - на трубопроводе отвода паров растворителя.

Эти приборы комплектуют передающим преобразователем, сигнал на выходе которого пропорционален разности температур ΔТ. Регулятор концентрации  воздействует на клапан, установленный на линии отвода упаренного раствора из последнего выпарного аппарата. При возрастании, например, текущей концентрации относительно заданного значения регулятор увеличивает расход упаренного раствора, что уменьшает время пребывания его в аппарате и вызывает понижение концентрации раствора до заданного значения.

При отводе упаренного раствора из последнего аппарата по его концентрации материальный баланс установки поддерживают, сохраняя равенство между количеством растворенного вещества, уходящим из установки, и количеством вещества, поступающего с исходным раствором.

Это обеспечивается поддержанием постоянства уровня раствора в выпарных аппаратах путем воздействия на клапаны, установленные на трубопроводах подачи раствора в соответствующий аппарат. При возрастании расхода упаренного раствора уровень в аппарате понижается, что вызывает увеличение подачи раствора в аппарат.

Тепловой баланс процесса выпаривания при небольших колебаниях расхода исходного раствора обеспечивают регулятором расхода на трубопроводе подачи греющего пара в кипятильник 2 первого корпуса установки.

Нормальный тепловой режим работы выпарной установки возможен только при подаче исходного раствора с постоянной температурой ТК, близкой к температуре кипения раствора. Для достижения этого устанавливают регулятор температуры исходного раствора, выходной сигнал которого воздействует на клапан, изменяющий подачу греющего пара в теплообменник - подогреватель исходного раствора 3.

Если весь вторичный пар из предыдущего корпуса направляют в кипятильник 2 последующего, то давление (разрежение) стабилизируют только в последнем корпусе, изменяя с помощью регулятора количество отводимых из него паров растворителя. Последнее обычно достигают путем изменения подачи охлаждающей воды в барометрический конденсатор 4.

При такой схеме регулирования в корпусах устанавливаются все меньшие давления по ходу раствора и обеспечивается разность температур между вторичным паром из предыдущего корпуса и раствором, кипящим в последующем корпусе, т.е. обеспечивается движущая сила процесса выпаривания.

Упаренный раствор из последнего корпуса в этом случае отводят по команде регулятора по уровню.

Если расход исходного раствора зависит от работы предшествующих технологических установок, но колебания его незначительны, то концентрацию упаренного раствора можно регулировать изменением подачи греющего пара на установку. При этом с помощью регуляторов уровня в выпарных аппаратах изменяют количество отводимого из них раствора.

Полная функциональная схема автоматизации представлена на рис. 4.

В таблице 1 приведены основные технические средства автоматизации, используемые в системе.

Таблица 1 - ТСА, используемые в системе

1. Прибор, регистрирующий расход (РП 160-28)

2. Прибор, осуществляющий регистрацию и регулирование уровня жидкости (гидростатический уровнемер) (КСД2)

3. Прибор, осуществляющий регистрацию и регулирование расхода жидкости (T-MASS-28-1)

4. Прибор, осуществляющий регистрацию и регулирование температуры (Технограф 160М)

5. Прибор, осуществляющий регистрацию и регулирование температуры

6. Прибор, осуществляющий регистрацию и регулирование давления (КСД2)

7. Преобразователь датчика РП 160-28 (преобразует естественный электрический сигнал в унифицированный токовый сигнал (Е/Е)), расположенный по месту

8. Преобразователь датчика КСД2 (преобразует естественный электрический сигнал в унифицированный токовый сигнал (Е/Е)), расположенный по месту

9. Вторичный прибор Диск-250 М показывающий, записывающий, расположенный на местном щите

10. Вторичный прибор Диск-250 М показывающий, записывающий, расположенный на местном щите

11. Преобразователь датчика T-MASS-28-1 (преобразует естественный электрический сигнал в унифицированный токовый сигнал (Е/Е)), расположенный по месту

12. Вторичный прибор Диск-250 М показывающий, записывающий, расположенный на местном щите

13. Прибор, регулирующий расход (РП 160-28)

14. Прибор, регулирующий расход (РП 160-28)


2.6 Описание режимов функционирования объекта

В общем случае все режимы функционирования технологического процесса управления процессом выпаривания можно разделить на следующие группы:

1.       Режим нормальной эксплуатации;

2.       Предаварийные режимы эксплуатации;

.        Аварийные режимы эксплуатации.

Допустимость тех или иных режимов работы определяется характеристиками и возможностями оборудования. В соответствии с общими принципами установка считается безопасной, если при длительной ее эксплуатации во всех режимах, включая аварийные, будет исключено серьезное повреждение потенциально опасных узлов, а также обеспечена соответствующая зашита персонала установки.

Режимы нормальной эксплуатации включают в себя основные фазы производственного процесса:

-       непосредственно сам технологический процесс;

-       подготовку к пуску технологического комплекса (ТК);

-       запуск ТК;

-       останов ТК.

Предаварийные режимы работы соответствуют следующим случаям:

-       параметры регулирования системы находятся в допустимых, но близких к критическим значениям;

-       К числу аварийных режимов работы ТК следует отнести:

-       отключение электрического питания;

-       прекращение подачи исходного раствора;

-       режим работы при выходе за определенные границы различных параметров регулирования;

-       при выходе из строя различных контролирующих устройств (датчиков);

-       при обрыве связи с объектом.

3. Алгоритмическое обеспечение АСУ ТП

Блок-схема - это графическое отображение процесса, которое четко показывает, как протекает процесс. Блок-схема показывает систематическую последовательность этапов выполнения работы и то, какие группы вовлечены в процесс. Это упрощает понимание его структуры и дает возможность оптимизировать алгоритм на взгляд. Существенным плюсом блок-схем является то, что, разрабатывая алгоритм, вы не привязаны к синтаксису определенного языка.

Обеспечение нормального функционирования системы включает в себя функции, ориентированные на решение задач управления, документального обоснования (оценки и обработки данных о технологических параметрах и аварийных ситуациях), контроля, направленного на предотвращение и устранение аварийных режимов работы модуля, анализ причин отклонения.

Анализ процесса включает в себя непосредственно диагностику процесса, осуществляемую с применением средств автоматизации с известной степенью достоверности, фиксацию выхода контролируемого параметра за допустимые границы и анализ возникновения причин аварийных и предаварийных ситуаций.

Функционирование объекта можно представить алгоритмом, который отображает работу системы. Каждый блок представляет собой отдельную подпрограмму-алгоритм.

Блок-схема алгоритма работы необходима для систематизации и уменьшения объема данных о процессе. Наиболее важным является описание аварийных ситуаций и процесса регулирования заданного параметра - концентрации упаренного раствора.

4. Расчет САР

4.1 Характеристика системы

4.1.1 Классификация системы управления

По характеру алгоритма функционирования рассматриваемая система является системой стабилизации, т.к. эта система поддерживает управляемую величину на заданном уровне, т.е. управление расходом исходного раствора продолжается до тех пор, пока не будет достигнуто заданное значение. По характеру управления во времени рассматриваемая система является прерывистой релейной системой управления, т.к. присутствует управляющее устройство.

4.1.2 Определение и обоснование принципа управления, заложенного в схеме

Рассматриваемая система управления является стабилизирующей системой, которая осуществляет принцип управления по возмущению.

В этом управлении по возмущению происходит накопление ошибки регулирования.

4.1.3 Определение закона регулирования управляемой величины

Управляемой величиной является расход исходного раствора. Контроль концентрации осуществляется изменением расхода исходного раствора. Если показания датчиков не соответствуют заданному значению, то регулируется расход исходного раствора. Поэтому рассматриваемая система автоматического управления осуществляет пропорциональный закон управления, т.е. значение сигнала на выходе регулятора всегда строго пропорционально значению его входной величины.

4.1.4 Характеристика объекта управления

Объектом управления является управление концентрацией упаренного раствора. Контролируемым параметром здесь является открытие шибера с помощью привода, который регулирует подачу исходного раствора. Так как все процессы, происходящие в объекте управления, описывается дифференциальными уравнениями, то объект является астатическим, т.е. управляемая величина здесь по окончании переходного процесса равна заданному значению. Возможна ошибка управления, свойственная реальным системам автоматики, обусловлена несовершенством её элементов.

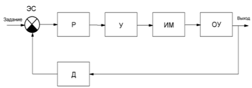
Функциональная схема управления представлена на рисунке 6.

Рисунок 6 - Функциональная схема управления температурой воды по разомкнутому циклу

На рисунке 5 представлены следующие элементы: ЭС - элемент сравнения; У - управление; ИМ - исполнительный механизм; ОУ - объект управление; Р - регулятор.

Усовершенствование системы управления на основе сочетания двух принципов управления применяется для улучшения качества регулирования. Кроме принципа управления по возмущению можно предусмотреть и принцип управления по отклонению.

Функциональная схема САУ при этом примет вид, как на рисунке 7.


Рисунок 7 - Усовершенствование системы управления на основе сочетания двух принципов управления по возмущению и по отклонению

Конфигурация структурной схемы соответствует функциональной (рис. 6). Но вместо пояснения внутри каждого звена указываются соответствующие передаточные функции (рис. 8).

Рисунок 8 - Структурная схема управления концентрацией раствора

4.2 Определение динамических характеристик объекта регулирования

В настоящее время при расчете настроек регуляторов локальных систем широко используются простые динамические модели промышленных объектов управления. В частности, использование моделей инерционных звеньев первого или второго порядка с запаздыванием для расчета настроек регуляторов обеспечивает в большинстве случает качественную работу реальной системы управления.

В зависимости от вида переходной характеристики (кривой разгона) зададимся видом передаточной функции объекта управления. Кривая разгона будет соответствовать передаточной функции инерционного звена первого порядка:


где K, T, τ - коэффициент усиления, постоянная времени и запаздывание, которые должны быть определены в окрестности номинального режима работы объекта.

Вид кривой разгона представлен на рисунке 9.

Рисунок 9 - Кривая разгона инерционного звена первого порядка

Определим по кривой разгона постоянную времени и время запаздывания объекта.=0.58;

τ=0;=0.5.

4.3 Исследование системы. Выбор регулятора

Задача состоит в выборе такого типа регулятора, который при минимальной стоимости и максимальной надежности обеспечивал бы заданное качество регулирования.

Выбор по величине отношения запаздывания к постоянной времени объекта  не получается, так как отношение равняется нулю. Тип регулятора выберем из таблицы 6 с минимальным значением.

Система требует достаточного качества регулирования, используем ПИ - регулятор.

ПИ-регулятор обладает следующими достоинствами:

. Обеспечивает нулевую статическую ошибку регулирования;

. Достаточно прост в настройке, т.к. настраиваются только два параметра, а именно коэффициент усиления и постоянная интегрирования  В таком регуляторе имеется возможность оптимизации , что обеспечивает управление с минимально возможной среднеквадратичной ошибкой регулирования;

. Малая чувствительность к шумам в канале измерения (в отличии от ПИД-регулятора).

Перемещение заслонки происходит практически мгновенно поэтому регулирующий орган, как правило, звено безынерционное. Реальная передаточная функция регулирующего органа в оперативной форме записывается:

;

Второе звено - усилитель, описывается безинерционными звеном, т.к. его постоянной времени можно пренебречь:


Исполнительный механизм (электропривод), описывается апериодическим звеном первого порядка и имеет коэффициент передачи, отличающийся от единицы и достаточно большую постоянную времени.


Объект управления - концентрация упаренного раствора является звеном первого порядка, т.к. все процессы, протекающие в нём, описываются обыкновенными дифференциальными уравнениями первого порядка:


Руководствуясь данными таблицы из источника [1] выбираем параметры для передаточной функции.

Подставим числовые величины в выражения передаточных функций:

;

;

;.

Определим передаточную функцию системы автоматического управления по каналу вход-выход исполнительного механизма, система имеет отрицательную обратную связь с коэффициентом передачи .



Раскроем скобки знаменателя:

;

Моделирование переходного процесса производим с применением пакета MATLAB (Simulink). Модель объекта представлена на рисунке 10.

Рисунок 10 - Модель схемы регулирования в среде MATLAB

Переходной процесс изображен на рисунке 11.


Рисунок 11 - График переходного процесса

Запишем характеристическое уравнение системы автоматического управления по каналу вход-выход исполнительного механизма:

;

Найдем корни квадратного уравнения. Дискриминант определим по формуле:

D = b2 - 4 ас,

где: а = 1.706; b = 15.91; с = 161.03; D = -845.7.

Дискриминант отрицательный, поэтому получим два комплексно сопряженных мнимых корня.

.

p1=-4.663-8.523j,2=-4.663+8.523j.

Нанесем корни на координатную плоскость.

Корни характеристического уравнения представлены на рисунке 12.

Так как корни лежат слева от мнимой оси, то система устойчива.

Произведем проверку устойчивости по алгебраическому критерию Гурвица.

Запишем коэффициенты характеристического уравнения САУ

Рисунок 12 - Корни характеристического уравнения

а0:= 1.706;

а1:= 15.91;

Составим определитель Гурвица:

, .

Найдем диагональные определители:

Так как диагональные определители имеют одинаковые знаки, то система устойчива.

Произведем проверку устойчивости по частотному критерию Михайлова:

В характеристическом уравнении заменим оператор Лапласа  на произведение :

;

Отделяем вещественную часть от мнимой:

;

;

Зададимся рядом значений ω и определим U(ω) и V(ω). Например,

при ω = 0:

;

;

 

Таблица 2 - Результаты расчетов

ω

0

1

2

5

10

20

30

50

100

U(ω)

161

159.3

157.6

152.5

144

127

110

76

-9

V(ω)

0

15.9

31.8

79.5

159

318

477

795

1590


По данным таблицы построим годограф (рис. 13).

Рисунок 13 - Годограф Михайлова

Полученный годограф проходит квадранты последовательно, поэтому, система устойчива.

Исследуем систему на устойчивость по логарифмическому частотному критерию. С помощью программного продукта Matlab построим ЛАЧХ и ФЧХ, Графики представлены на рисунке 12.

По рис. 14 определяем, что при достижении ФЧХ величины -1800 ЛАЧХ имеет отрицательное значение, а следовательно система устойчива.

Запас устойчивости по амплитуде равен: ΔL=40.

Проверим систему на устойчивость с помощью диаграммы Найквиста (рис. 15).

По критерию Найквиста система устойчива, т.к. годограф не захватывает точку (-1; 0j).


Рисунок 14 - Полученные ЛАЧХ и ФЧХ

Рисунок 15 - Диаграмма Найквиста системы


Заключение

Выпаривание - это процесс концентрирования растворов твердых нелетучих веществ путем частичного испарения растворителя при кипении жидкости.

В курсовой работ         е проведен критический анализ существующей выпарной установки. Изучены недостатки существующей выпарной установки, и ее системы управления концентрацией упаренного раствора. На основании проведенного анализа намечены пути устранения существующих недостатков.

Разработанная автоматизированная система регулирования концентрации упаренного раствора путем создания АСУ, которая содержит в себе современную контрольно-измерительные аппаратуру, исполнительные механизмы и позволяет устанавливать необходимую технологическим процессом концентрацию на выходе из системы.

Перечень ссылок

1.   Субботин О.В., Методические указания к выполнению курсовой работы, Краматорск 2011 г.

2.   Курко В.И. Методы исследования процесса выпаривания химических растворов. - М.: Химическая промышленность, 1977. - 191 с.

3.       Попов Н.П. Выпарные аппараты в производстве минеральных удобрений. - Калининград: КГТУ, 1974. - 538 с.

.        Сергеев Ю.А. Методическое пособие по расчету трехкорпусной выпарной установки по курсу «Процессы и аппараты пищевых производств», «Процессы и аппараты химических технологий», Вып. 3. - М., 2006. - 54 с.

Похожие работы на - Система управления технологическим процессом выпаривания нитрата натрия

 

Не нашли материал для своей работы?
Поможем написать уникальную работу
Без плагиата!
Без нейросетей!