Расчёт и моделирование параметров системы защиты передвижной станции связи с космическими аппаратами от самонаводящихся ракет
Содержание
1. Техническое задание
. Расчет параметров для
моделирования
.1 Расчет радиусов поражения
.2 Расчет минимальной дальности
пуска ракеты
2.3
Характеристики передатчика СКС
.4
Расчет полосы пропускания приемного тракта ракеты
.5
Расчет максимальной дальности пуска ракеты
.
Моделирование пуска ракет
.1
Вариант первый: применение одной ложной цели
.2
Вариант второй: применение двух ложных целей
Выводы
Список
используемой литературы
1 Техническое задание
Исходные данные проектирования
Размер раскрыва антенны радиолокатора: la= 1,5
м
Рабочая частота: f= 5
ГГц
Средняя мощность передатчика Pср= 20
Вт
Размер сектора вероятных атак: 30ох30о
Масса ракеты: mр= 361
кг
Масса БЧ ракеты: mбч= 66
кг
Масса ВВ ракеты: mвв= 40
кг
Количество поражающих элементов: Nц= 10000
шт.
Максимальная дальность пуска: Rmax= 16000
м
Максимальная скорость ракеты: Vmax= 1000
м/с
Максимальная перегрузка: Wп
max=15g
СКО наведения ракеты на цель: СКО= 7
Постановка задачи.
В данном проекте рассматривается передвижная
станция связи с космическими аппаратами, которая обстреливается
самонаводящимися ракетами. В качестве антенны станции выступает ФАР. Будем
полагать, что пуск ракеты производится с ракурса вне главного лепестка диаграммы
направленности ФАР (на боковые и задние лепестки), при этом ракета наводится на
неосновное излучение станции.
Рассмотрим вариант защиты станции связи с
помощью одиночной ложной цели. Ложная цель создаёт имитационную помеху. Ширина
главного лепестка диаграммы направленности ложной цели должна перекрывать
ракурс возможных атак.
2. Расчет
параметров для моделирования
2.1 Расчет радиусов
поражения
ракета защита космический станция
Предположим, что система космической связи
содержит следующие ключевые узлы поражения:
· Антенна космической связи;
· Оператор;
· КУНГ с аппаратурой.
Система считается нерабочей, если хотя бы один
из перечисленных объектов будет выведен из строя. Рассчитаем для каждого
объекта площадь поражения и количество поражающих элементов:
|
Площадь
|
Пораж.
Элем.
|
|
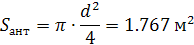
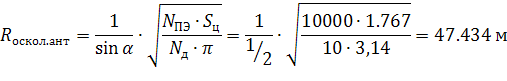
Антенна
|
1.767
м
|
10
|
|
Человек
|
0.64
м
|
1
|
|
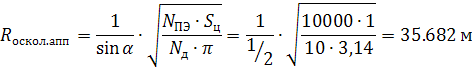
КУНГ
|
1
м
|
10
|
Допустим, что при подрыве осколочной боевой
части осколки разлетаются под углом 30 градусов, тогда радиус поражения для
каждого объекта, защищаемой цели:
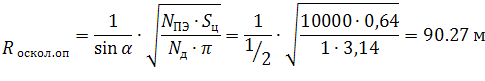
Для антенны РЭС:
Для оператора РЭС:
Для аппаратуры РЭС:
Радиус поражения фугасной боевой
части:
Радиус поражения оператора наибольший:
метра.
В самом наихудшем случае зададим, что система
выполнила свое предназначение, если ракета уничтожила ложную цель, защищаемая
цель при этом осталась работоспособной. Для этого необходимо чтобы ложная цель
была расположена на расстоянии в n=2 раза большем, чем максимальный радиус
поражения.
2.2 Расчет
минимальной дальности пуска ракеты
Минимальную дистанцию пуска ракеты противника
определим через максимальное поперечное ускорение ракеты, предположим, что оно
равно 15g.
2.3 Характеристики
передатчика СКС
Коэффициент излучения по мощности по боковым
лепесткам:
Мощность бокового излучения:
Вт
2.4 Расчет полосы
пропускания приемного тракта ракеты
Зададим характеристики ракеты:

Полоса пропускания приемного тракта
согласованная с излучением передатчика системы космической связи. Предположим,
что передается сигнал подобный телевизионному, с шириной спектра 6 МГц, тогда
полоса пропускания приемного тракта ракеты:
,
где
, откуда
2.5 Расчет
максимальной дальности пуска ракеты
Предположим, что на входе приемного тракта
ракеты, стоит МШУ на туннельном диоде
.
Максимальную дистанцию пуска ракеты определим по
формуле:
3. Моделирование пуска ракет
Компьютерное моделирование основано на численном
решении дифференциальных уравнений, описывающих движение ракеты. Компьютерное
моделирование даёт возможность определить с заданной точностью эффективность
того или иного метода защиты без существенных материальных затрат.
3.1 Вариант первый: применение одной
ложной цели
Рассмотрим Модель с 2мя удалёнными на 200 метров
друг от друга целями. Пуск ракеты будем производить с 9 позиций: минимальной,
средней и максимальной дальностей с 3 различных ракурсов (Рис.1). На каждой
позиции ракета направлена на основную цель.
Рисунок 1
Для начала были проведены опыты на проверку
возможности поражения ракетой основной цели (СКС). Для этого амплитуда ложной
цели (ЛЦ) была задана равной нулю. Пуск производился с позиций 1,2,3. Все пуски
успешны, основная цель была поражена.
Вторым действием была задана амплитуда ЛЦ
превышающая амплитуду СКС в несколько раз. В первом приближении в 2,5 раза.
Постепенно уменьшая это значение можно найти такое пороговое значение амплитуды
ЛЦ, при котором вместо ЛЦ поражается СКС. Лучше всего это значение вычислить из
позиции 8, т.к. в таком случае получается ~ среднее значение порога.
Опытным путем было установлено, что пороговое
значение равно 2,3. Для моделирования выберем значение 2,5 для ЛЦ и 1 для СКС.
Произведем пуски с позиций:
Координаты позиций целей и ракеты рассчитывались
исходя из чертежа (рис 1).
Позиция 1:
|
Координаты
Ракеты:
|
Х:
|
17000
|
|
Y:
|
9000
|
Начальный угол полёта = -0,535рад (-30о).
|
Координаты
Целей:
|
|
1
|
2
|
|
Х:
|
21000
|
21000
|
|
Y:
|
7000
|
7200
|
Рисунок 2
Поражена ложная цель.
Позиция 2
|
Координаты
Ракеты:
|
Х:
|
17000
|
|
Y:
|
7000
|
начальный угол полёта = 0,0рад (0о).
|
Координаты
Целей:
|
|
1
|
2
|
|
Х:
|
21000
|
21000
|
|
Y:
|
7000
|
7200
|
Рисунок 3
Позиция 3:
|
Координаты
ракеты:
|
Х:
|
17000
|
|
Y:
|
5000
|
Начальный угол полёта = 0,535рад (30о).
|
Координаты
целей:
|
|
1
|
2
|
|
Х:
|
21000
|
21000
|
|
Y:
|
7000
|
7200
|
Рисунок 4
Поражена основная цель!
Позиция 4:
|
Координаты
Ракеты:
|
Х:
|
9000
|
|
Y:
|
12000
|
Начальный угол полёта = -0,535рад (-30о).
|
Координаты
Целей:
|
|
1
|
2
|
|
Х:
|
21000
|
21000
|
|
Y:
|
7000
|
7200
|
Рисунок 5
Промах, не поражена ни одна из целей. Ракета
прошла ближе к ложной цели.
Позиция 5:
|
Координаты
Ракеты:
|
Х:
|
9000
|
|
Y:
|
7000
|
начальный угол полёта = 0рад (0о).
|
Координаты
Целей:
|
|
1
|
2
|
|
Х:
|
21000
|
21000
|
|
Y:
|
7000
|
7200
|
Рисунок 6
Поражена ложная цель.
Позиция 6:
|
Координаты
Ракеты:
|
Х:
|
9000
|
|
Y:
|
3000
|
Начальный угол полёта=0,535рад (30о).
|
Координаты
Целей:
|
|
1
|
2
|
|
Х:
|
21000
|
|
Y:
|
7000
|
7200
|
Рисунок 7
Поражена ложная цель.
Позиция 7:
|
Координаты
Ракеты:
|
Х:
|
0
|
|
Y:
|
15000
|
Начальный угол полёта = -0,535рад (-30о).
|
Координаты
Целей:
|
|
1
|
2
|
|
Х:
|
21000
|
21000
|
|
Y:
|
7000
|
7200
|
Рисунок 8
Промах, не поражена ни одна из целей. Ракета
прошла ближе к ложной цели.
Позиция 8:
|
Координаты
Ракеты:
|
Х:
|
0
|
|
Y:
|
7000
|
Начальный угол полёта = 0 рад (0о).
|
Координаты
Целей:
|
|
1
|
2
|
|
Х:
|
21000
|
21000
|
|
Y:
|
7000
|
7200
|
Рисунок 9
Поражена ложная цель.
Позиция 9:
|
Координаты
Ракеты:
|
Х:
|
0
|
|
Y:
|
500
|
Начальный угол полёта=0,535рад (30о).
|
Координаты
Целей:
|
|
1
|
2
|
|
Х:
|
21000
|
21000
|
|
Y:
|
7000
|
7200
|
Рисунок 10
Поражена ложная цель.
По результатам первого этапа моделирования можно
сказать, что в целом ложная цель справляется со своей задачей. Однако в случае
пуска ракеты с минимальной дистанции, с ракурсов по отдалению от ложной цели
(т.е. поз.2 и поз.3), за счет достаточно мощных боевых характеристик ракеты,
защитить основную цель не удается.
Рассмотрим случай с добавлением второй ложной
цели. Пуск ракеты будем производить с критических позиций: 1,2,3. Поведение ракеты
при пусках с других позиций при добавлении 2-ой ЛЦ аналогична вышерассмотренным
примерам - основная цель не повреждена.
3.2 Вариант второй:
применение двух ложных целей
Позиция 1:
Рисунок 11
Позиция 2:
Рисунок 12
Поражена основная цель!
Позиция 3:
Рисунок 13
Поражена 2-ая ложная цель.
Итак, как видно из графиков, пуск с позиции 2
вновь привел к попаданию ракеты в основную цель. В такой ситуации можно
поступить следующим образом:
проверить другое положение ЛЦ, например,
на пути полета ракеты (Рис.14);
рассчитать минимальное расстояние до
основной цели, необходимое для того, чтобы ракета промахнулась (Рис.15)
Рисунок 14
Поражена ложная цель находящаяся раньше основной
цели на пути следования ракеты.
Рисунок 15
Минимальное расстояние между пуском ракеты и
целью получено опытным путем и равно 1116м, что на 8 метров отличается от
рассчитанной минимальной дальности пуска. Можно сослаться на погрешности
расчетов.
Выводы
В ходе курсового проекта были рассчитаны
параметры системы защиты РЭС от ракет с ПГСН, необходимые для проверки сценария
нападения в программе моделирования. По результатам моделирования можно
сказать, что рассматриваемая система защиты справляется с задачей в рамках
текущего ТЗ и может быть направлена на проектирование, однако необходимо
отметить следующее:
- В случае использования одной ложной
цели, мощность ее передатчика должна превышать мощность основной цели минимум в
2, 3 раза, а в случае использования нескольких ложных целей - мощность
передатчика требуется существенно меньшая.
Защита СКС одной ложной целью возможна
в случае маломасштабного нападения - один, максимум два направленных пуска
ракеты противника.
Для полномасштабного нападения
необходимое количество ЛЦ вычислить достаточно сложно. Примерное соотношение:
1ЛЦ на 2 Ракеты.
Приняв во внимание вышесказанное можно сделать
заключение, что хотя увеличение количества ЛЦ естественным образом приводит к
удорожанию системы, целесообразнее всего взять 2, 3 ЛЦ для всего защитного
комплекса, тем самым обеспечив оптимальную защиту в случае масштабных боевых
действий, общее энергосбережение системы, повышенную вероятность промаха ракет
противника по целям.
Список используемой литературы
1. В.А. Савинов, Лекции МАИ 2011г.