Расчёт горизонтального пароводяного, секционного водо-водяного и вертикального пароводяного подогревателя графоаналитическим методом
Расчёт
горизонтального пароводяного, секционного водо-водяного и вертикального
пароводяного подогревателя графоаналитическим методом
пароводяной подогреватель секционный графоаналитический
Введение
Целью курсовой работы является углубление и
закрепление знаний по изучаемому курсу, а также приобретение практических
навыков применения теоретических знаний при решении производственных задач.
Курсовая работа выполняется по следующим
разделам:
) Тепловой конструктивный расчёт
горизонтального пароводяного подогревателя.
) Тепловой конструктивный расчёт
секционного водо-водяного подогревателя.
) Тепловой конструктивный расчёт
вертикального пароводяного подогревателя графоаналитическим методом.
Подогреватель пароводяной представляет собою
кожухотрубный теплообменник горизонтального типа. Они служат для нагрева паром
сетевой воды для того, чтобы использовать эту воду в системах горячего
водоснабжения и в отопительных системах зданий различного предназначения.
Пароводяные подогреватели изготовляются для нагрева воды в тепловых системах
горячего водоснабжения и отопления насыщенным паром от паропроводов низкого
давления или паровых котлов.
Водо-водяной подогреватель (ВВП) применяется в
системах горячего водоснабжения и отопления общественных, коммунально-бытовых и
различных других зданий. В таких системах горячая вода, которую получают от
тепловых или промышленных магистралей ТЭЦ, является теплоносителем.
Водо-водяной подогреватель можно использовать и в других системах, где
необходимо охлаждение жидкости, которую используют как охладитель конденсата
при работе пароводяных подогревателей.
Пароводяной подогреватель вертикального и
горизонтального типов применяют на ТЭЦ для подогрева теплофикационной воды,
циркулирующей в системе теплоснабжения. Пар поступает в турбины из
энергетических котлов, одну часть своей теплоты отдает для выработки
электроэнергии, а другую (низкого потенциала) - нагреваемой воде.
Тепловой и конструктивный расчёт
горизонтального пароводяного подогревателя
Данный расчёт состоит в определении поверхности
теплообмена рекуперативного теплообменника, в котором греющим теплоносителем
является пар, а нагревательным - вода. Пар поступает в межтрубное пространство,
а вода движется по трубкам теплообменника.
Исходные данные
Производительность 
[2, c. 16]
Температура нагревателя воды при
входе в подогреватель 
[2, c. 16]
Температура нагревателя воды при выходе
в подогреватель 
[2, c. 16]
Абсолютное давление сухого
насыщенного пара 
[2, c. 16]
Температура конденсатора 
, равна температуре насыщения 
[2, c. 20]
Число ходов воды 
[2, c. 4]
Диаметры поверхности нагрева 
[2, c. 4]
Скорость движения воды в трубках 
[2, c. 16]
1.1 Методика расчёта
Расход воды массовый
и объёмный 
, определяется по формулам:
где 
- удельная теплоёмкость воды; 
где 
- плотность воды; 
Число трубок в одном ходе:
Число трубок в корпусе (всего):
Принимая шаг трубок, мм:
Внутренний диаметр корпуса:
где 
- коэффициент заполнения трубной
решётки; η=0.7
Приведенное число в вертикальном
ряду:
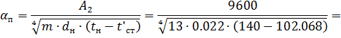
Температурный напор:
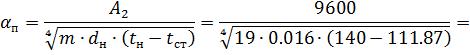
Теплоотдача от пара стенке:
Средние температуры воды и стенки:
Длина трубки, определяется по
формуле:
где 
- температурный множитель,
определяемый по 
(м
К)-1 [2, c. 17]
Т.к. 
(для горизонтальных труб), то режим
течения пленки конденсата ламинарный и тогда для этого режима коэффициент
теплоотдачи пара 
, определяется по формуле Д.А.
Лабунцова:
где 
- коэффициент, определяемый по 
[2, c. 17]
Теплоотдача от стенки воде:
Режим течения воды в трубках
является турбулентным, если 
:
где 
-кинематическая вязкость воды ,
м2/с [2, c. 20]
Т.к. условие выполняется, то
коэффициент теплоотдачи при движении воды 
, определяется по формуле:
Уточняем значение температуры стенки
трубок подогревателя:
Т.к. 
отличается от принятого ранее
значения 
более 5 %, то требуется произвести
перерасчёт 
, задавая в качестве температуры
стенки 
:
Расчётный коэффициент теплопередачи 
, определяется по формуле:
где 
- толщина стенки латунных трубок; 

- коэффициент теплопроводности для
латунных трубок; 
Расчёт поверхности нагрева:

Таблица 1 - Технические
характеристики ПНГ-25
|
Площадь
поверхности нагрева  ,  Количество трубок nДлина
трубок l,
ммПриведенное число трубок в вертикальном ряду m
|
|
|
|
|
25
|
164
|
2280
|
13
|
Далее уточняем скорость течения воды

, в трубках выбранного
подогревателя:
и значение критерия Re:
Уточняем коэффициент теплоотдачи при
движении воды в трубках:
и коэффициент теплоотдачи пара:
Уточняем значение температуры стенки
трубок подогревателя:
Т.к. полученное уточненное значение 
не отличается от 
на 5%, то для дальнейших расчётов
оставляем 
Уточняем коэффициент теплопередачи:
Уточняем поверхность нагрева:
Т.к. 
, то пароводяной подогреватель
ПНГ-25 выбран верно.
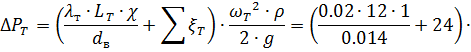
Длина хода волны 
:
Потеря давления в подогревателе 
:
где 
- дополнительных потерь от
шероховатости; 
(для новых латунных трубок)

- потери от местных сопротивлений:

- входная камера; 
[2, c. 18]

- поворот на 180° в U-образной
трубе; 
[2, c. 18]

- выходная камера; 
[2, c. 18]
g - ускорение
свободного падения; g=9.8 м/с2

- плотность воды; 
Тепловой конструктивный расчёт
секционного водо-водяного подогревателя
Расчёт секционного водо-водяного подогревателя
заключается в определении общей площади поверхности теплообменника и
необходимого количества секций. Греющим и нагревающим теплоносителями является
вода. Причём. Греющий теплоноситель движется по трубам теплообменника, а
нагреваемая вода - в межтрубном пространстве.
Исходные данные:
Производительность 
[2, c. 16]
Температура нагревателя воды при
входе в подогреватель 
Температура нагревателя воды при
выходе в подогреватель 
Температура греющей воды при входе в
подогреватель 
Температура греющей воды при выходе
из подогревателя 
Диаметры поверхности нагрева 
[2, c. 8]
Коэффициент теплопередачи 
[2, c. 8]
Скорость движения воды в трубках 
[2, c. 16]
Методика расчёта
Расход сетевой воды массовый
и объёмный 
, определяется по формулам:
Площадь проходного сечения трубок:
По площади 
по каталогу выбирается секционный
водо-водяной подогреватель, его технические характеристики:
Таблица 2 - Технические
характеристики z38ОСТ34-588-68
|
Внутренний
диаметр корпуса Двн, мм
|
Количество
трубок n
|
Площадь
проходного сечения трубок  , м2Площадь проходного сечения
межтрубного пространства  , м2
|
|
|
259
|
109
|
0.01679
|
0.03077
|
Далее уточняем скорость движения воды в трубках
и межтрубном пространстве:
Эквивалентный диаметр для межтрубного
пространства:
где P-
периметр межтрубного пространства:

Средняя температура воды в трубках и
в межтрубном пространстве:
По температуре 
выбирается температурный множитель 
, а по температуре 
- температурный множитель 
Далее определяется режим течения
воды в трубках и межтрубном пространстве. Режим течения является турбулентным
при значениях критерия 
:
Т.к режим течения воды в трубках
турбулентный, то коэффициент теплоотдачи, при движении воды в трубках и
межтрубном пространстве определяется по формуле:
Коэффициент теплоотдачи,
определяется как для плоской стенки:
Средний температурный напор и
расчётная поверхность нагрева подогревателя определяются по следующим формулам:
где 



Для дальнейших расчётов требуется
рассчитать количество секций z и уточненную поверхность нагрева 
, зная площадь поверхности нагрева
одной секции 
и длину трубок 
выбранного подогревателя, получим:
Условие 
выполняется.
Длина хода воды в трубках и
межтрубном пространстве определяются по следующим формулам:
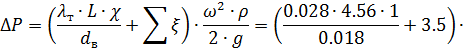
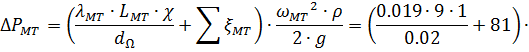
Гидравлические потери в
подогревателе:
где 
-коэффициент гидравлического
трения; 

- сумма коэффициентов местного
сопротивления; Для одной секции:

- потери от местных сопротивлений:

- поворот на 180° из одной секции в
другую через колено; 
[2, c. 18]

- поворот на 180° в U-образной
трубе; 
[2, c. 18]

- входная камера; 
[2, c. 18]
где
- потери местных сопротивлений; 

Диаметры патрубков 
и колен 
, соединяющих секции подогревателя,
определяется по формуле:
Тепловой конструктивный расчёт
вертикального пароводяного подогревателя
Исходные данные:
Число ходов 
[2, c. 12]
Производительность 
[2, c. 16]
Давление 
[2, c. 16]
Энтальпия 
[2, c. 22]
Температура 
[2, c. 16]
Температура насыщенного пара 
[2, c. 20]
Энтальпия конденсата на выходе из
теплообменника 
[2, c. 22]
Температура нагреваемой воды при
входе в подогреватель 
[2, c. 16]
Температура нагреваемой воды при выходе
из подогревателя 
[2, c. 16]
Диаметры поверхности нагрева 
[2, c. 12]
Высота трубок в одном ходе 
[2, c. 12]
Толщина накипи 
[2, c. 12]
Коэффициент теплопроводности накипи 
[2, c. 12]
Методика расчёта
Расход пара 
и объёмный расход воды 
, определяются по формулам:
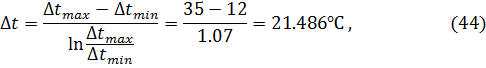
Средняя логарифмическая разность
температур теплоносителей в подогревателе:
где 
Далее применяется методика
упрощенного графоаналитического метода расчёта удельного теплового потока 
. Для этого предварительно для
различных участков процесса теплопередачи находится теплозависимость между
удельным тепловым напряжением 
и перепадом температур 
на данном участке:
а) Рассмотрим процесс теплоотдачи от пара
стенке. Коэффициент теплоотдачи пара, определяется по формуле Нуссельта:
где 
Обозначим 
. Имеем теплозависимость вида 
. Задаваясь рядом значений 
, вычисляем соответствующие им
величины 
. Строим зависимость 
б) Рассмотрим процесс теплопроводности
через стенку. Теплозависимость имеет следующий вид:
где 

Т.е. зависимость между 
и 
изображается прямой линией.
Задаваясь рядом значений 
, вычисляем соответствующие им
величины 
.
в) Рассмотрим процесс теплопроводности
через слой накипи. Теплозависимость имеет следующий вид:
Т.е. зависимость между 
и 
также изображается прямой линией.
Задаваясь рядом значений 
, вычисляем соответствующие им
величины 
.
г) Теплоотдача от стенки воде.
Т.к. скорость движения 
, то движение воды - турбулентное,
поэтому воспользуемся упрощённой формулой:
где 
- температурный режим; 
Имеем теплозависимость вида 
. Задаваясь рядом значений 
, вычисляем соответствующие им
величины 
. Строим зависимость 
Складывая ординаты четырёх
зависимостей, строим теплозависимость 
(рис. 1). Из точки на оси ординат,
соответствующей 
, проводим прямую, параллельную оси
абсцисс, до пересечения её с суммарной зависимостью. Из точки пересечения
опускаем перпендикуляр на ось абсцисс и находим удельное значение теплового
потока 
.
Рисунок 1 - Тепловое напряжение поверхности
нагрева
Коэффициент теплопередачи, рассчитывается по
следующей формуле:
Площадь поверхности нагрева теплообменника:
По расчётной площади нагрева
и диаметру трубок по каталогу
выбирается вертикальный пароводяной подогреватель, его технические
характеристики:
Таблица 3 - Технические
характеристики ПСВ-300-14-23
|
Площадь
поверхности нагрева  Количество трубок  Высота трубок в одном ходе  Максимальное рабочее давление в
трубной системе/корпусе, МПа
|
|
|
|
|
311
|
1217
|
4.550
|
2.26/1.37
|
Далее уточняем скорость течения воды

, в трубках выбранного
подогревателя:
Уточняем коэффициент теплоотдачи при
движении воды в трубках:
Уточняем коэффициент теплоотдачи
пара:
где 
Уточняем коэффициент теплопередачи:
Уточняем необходимую площадь поверхности
нагрева:
Т.к. 
, то пароводяной подогреватель
ПСВ-300-14-23 выбран верно.
Заключение
В данной работе был произведён
расчёт 3-х подогревателей различными методами.
В первой части расчёт сводиться к
нахождению расчётной поверхности нагрева 
и диаметру трубок, затем все
значения уточняются для проверки правильности выбора подогревателя.
Во второй части расчёт сводиться к
нахождению площади проходного сечения трубок 
, затем все значения уточняются для
проверки правильности выбора подогревателя.
В третьей части расчёт сводиться к
нахождению расчётной поверхности
нагрева 
и диаметру трубок, затем все
значения уточняются для проверки правильности выбора подогревателя.
Графоаналитический метод со всеми
результатами приведен в приложении.
Список использованной литературы
.Каталог
подогревателей ПСВ типа./ ОАО «САРЭНЕРГОМАШ»/ - 36 с.
.Термодинамика
и теплоустановки: Практическоеруководствок курсовой работе по одноимённому
курсу. /Авторы: Овсянник А.В., танцурин А. Б., Дробышевский Д.А./ 2004. -29 с.