Проектирование холодильной установки овощехранилища

  • Вид работы:
    Курсовая работа (т)
  • Предмет:
    Другое
  • Язык:
    Русский
    ,
    Формат файла:
    MS Word
    245,91 Кб
  • Опубликовано:
    2012-04-16
Вы можете узнать стоимость помощи в написании студенческой работы.
Помощь в написании работы, которую точно примут!

Проектирование холодильной установки овощехранилища














Проектирование холодильной установки овощехранилища

Введение

холодильная установка тепловая изоляция расчет

Холодильная техника достигла современного уровня, пройдя длительный путь развития. В середине XVIII века У. Кулен создал первый лабораторный аппарат для получения искусственного холода, но только во второй половине XIX века машинное охлаждение приобретает промышленную основу и начинает применяться при заготовке и транспортировании скоропортящихся продуктов. Первая холодильная установка для замораживания мяса была построена в Сиднее в 1861 году. В1876 году впервые на судне-рефрежераторе с искусственным машинным охлаждением была осуществлена перевозка мяса. Первые стационарные холодильники были построены в Бостоне и Лондоне в 1881 году. В России впервые искусственный холод был применен в 1888 году на рыбных промыслах в Астрахани, и в том же году на Волге начала эксплуатироваться рефрижераторная баржа с воздушной холодильной машиной. В 1889 году были построены холодильные установки на пивоваренных заводах и кондитерских фабриках, а в 1895 году в Белгороде построен заготовительный яично-птичный холодильник вместимостью 250 т.

Над созданием холодильных машин, вообще-то, работали многие ученые. Английский физикохимик Бойль и немецкий физик Герике еще в конце XVII в. установили, что вода в разреженном пространстве испаряется при низких температурах. В 1777 г. Нернст открыл, что в условиях вакуума вода замерзает, если удалять образующиеся водяные пары (поглощение серной кислотой). Эти наблюдения помогли англичанину Лесли построить в 1810 г. первую ледоделку. Практическое применение холодильные машины нашли только тогда, когда вместо воды были найдены другие более эффективные рабочие вещества. В 1834 г. английский врач Перкинс построил холодильную машину, работавшую на этиловом эфире. Весь процесс в первых холодильных машинах протекал при давлении ниже атмосферного, так как Перкинс и его последователи не решались поднимать давление в системе выше. Эти машины, основанные на сжатии парообразных тел, их конденсации и последующем кипении в жидком состоянии, получили название компрессионных.

Впоследствии конструкторы создали новые компрессионные машины, работающие на других рабочих веществах, при давлении выше атмосферного. Так, в 1871 г. Телье построил машину, работающую на метиловом эфире, в 1872 г. Бойлю был выдан первый патент на аммиачную холодильную машину, 1874 г. швейцарский физик Пикте создал машину, работавшую на серном ангидриде, а немецкий физик-инженер Линде сконструировал аммиачную машину. В 1881 г. Линде, одновременно с Виндхаузеном, построил углекислотную машину, в которой давление доходило до нескольких десятков атмосфер.

В 1845 г. американец Горри изобрел воздушную холодильную машину, работа которой была основана на том, что при расширении предварительно сжатого воздуха температура его понижается. Несколько позже появились абсорбционные холодильные машины (Каре, 1862 г.). Работа абсорбционной машины основана на поглощении парообразного вещества, например аммиачных паров, слабым водоаммиачным раствором и последующем выпаривании аммиака из раствора различными теплоносителями (горячие газы, пар и др.).

Ведущая роль в развитии ледяного и льдосоляного охлаждения принадлежит российским ученым. Академик Крафт в 1733 г. определил физические и механические свойства льда. В 1860 г. на рыбных промыслах в Приазовье (в Мариуполе и Таганроге) было осуществлено замораживание рыбы с помощью смеси льда с солью. Холод, являющийся эффективным консервирующим средством, препятствующим развитию микроорганизмов, в настоящее время широко используют во всех отраслях пищевой промышленности. В мясной, птицеперерабатывающей, рыбной и плодоовощной промышленности охлаждают, замораживают и хранят продукты при низких температурах; в молочной промышленности холод используют при охлаждении и хранении молока, масла и молочных продуктов, а также при созревании сыра и его хранении, в кондитерском производстве охлаждают сырье, пасту и готовую продукцию. Чтобы сохранить качество продуктов на пути от производства к потребителю, во всех странах создана, и действует непрерывная холодильная цепь. Непрерывной она должна быть потому, что даже при одноразовом и кратковременном повышении температуры скоропортящегося продукта происходит снижение качества настолько, что в дальнейшем его восстановление становится невозможным. Непрерывная холодильная цепь - совокупность средств холодильной техники и технологии, обеспечивающих необходимый охлаждающий режим на всем пути движения скоропортящихся продуктов. Отдельными звеньями холодильной цепи могут являться в различном сочетании и последовательности стационарные холодильники, холодильный транспорт, торговое холодильное оборудование и бытовые холодильники. В непрерывной холодильной цепи важная роль принадлежит стационарным холодильникам, представляющим собой специальные капитальные сооружения, на которых осуществляется охлаждение, замораживание, хранение, холодильная обработка и отпуск пищевых продуктов.

До революции холодильное хозяйство развивалось крайне медленно. Кроме того, во время гражданской войны треть построенных ранее предприятий выбыла из строя, остальные находились в полуразрушенном состоянии. В 1925 году завершается восстановление и реконструкция старых предприятий. К 1941 году холодильная вместимость увеличилась в 6,5 раза.

Большой ущерб холодильному хозяйству нанесла Великая Отечественная война, которой был восстановлен к 1947 году. Предприятия торговли и общественного питания стали оснащаться мелкими холодильниками. Из года в год увеличивается выпуск бытовых холодильников. В 1950-1960 годах вагоны-ледники заменяются рефрижераторными поездами. Создается рефрижераторный рыбопромысловый флот, транспортные суда оснащаются автоматизированными холодильными установками, строятся рефрижераторы. В последние годы происходит техническое перевооружение холодильных предприятий, оснащение их полностью автоматизированными высокоэффективными холодильными установками. Искусственный холод получил широкое применение во всех отраслях народного хозяйства - пищевой и химической, торговле и общественном питании, при проходе шахт и тоннелей, кондиционировании воздуха, закалке стальных изделий, в медицине, шелководстве, цветоводстве, фармацевтической промышленности и др. Это стало возможным в результате развития комплексных научно-исследовательских работ в области хладотехники, достижений холодильного машиностроения, совершенствования и унификации оборудования.

Распределительные холодильники строят в городах и промышленных центрах и служат для круглогодового снабжения населения скоропортящимися продуктами. На распределительные холодильники грузы поступают с производственных холодильников. Грузы, отеплившиеся в пути, доохлаждаются и домораживаются в камерах распределительных холодильников.

Во всем мире быстрозамороженные продукты питания пользуются широкой популярностью у потребителей. Быстрое замораживание готовых мясных и рыбных продуктов и полуфабрикатов, овощей, фруктов, ягод обеспечивает их долговременное хранение и транспортировку без потери вкусовых и других потребительских свойств, что делает производство быстрозамороженных продуктов весьма выгодным. Поэтому в промышленно развитых странах скороморозильное оборудование достигло высокого технического уровня. В последние годы заметно возрос интерес к современной скороморозильной технике.

Охлаждением называется процесс отвода теплоты или отдачи работы, который сопровождается понижением температуры и протекает с участием двух тел: охлаждаемого и охлаждающего. В холодильной технике различают естественное и искусственное охлаждение.

Естественное охлаждение осуществляется вследствие самопроизвольной передачи теплоты окружающей среде (атмосферному воздуху, воде естественных водоемов и грунту), имеющей более низкую температуру, чем охлаждаемое тело. Температурный уровень окружающей среды в наземных условиях подвержен значительным колебаниям, как в течение суток, так и в течение года и не поддается регулированию, что не отвечает требованиям современного материального производства, жизни и быта людей. Поэтому с развитием научно-технического прогресса в последние десятилетия естественное охлаждение практически во всех сферах деятельности заменяют искусственным.

Искусственное охлаждение можно осуществлять двумя способами: с помощью другого вещества с более низкой температурой за счет отвода теплоты, чаще всего при изменении агрегатного состояния; с помощью охлаждающих устройств, холодильных установок и машин, которые составляют специализированную область техники, называемую холодильной техникой. Первый способ, относящийся к области ледяного и льдосоляного охлаждения, основан на том, что колебания температуры окружающей среды в природных условиях создают возможность сохранять или аккумулировать естественный холод в сравнительно ограниченном пространстве. Наиболее распространенным телом, сохраняющим естественный холод, является водный лед. Его заготавливают зимой, чтобы в теплое время года использовать для охлаждения.

Промышленные холодильные машины, работающие в области умеренного холода, можно подразделить на три основные группы: компрессорные, теплоиспользующие и термоэлектрические. В настоящее время преимущественно используют холодильные машины компрессорного типа. При наличии дешевых источников теплоты применяют теплоиспользующие машины. Термоэлектрические применяют в радиотехнике и в ряде специальных приборов.

Холодильная обработка - это процессы охлаждения, подмораживания, замораживания, домораживания и доохлаждения продуктов.

Для получения холода на рыбных базах используются различные схемы холодильных установок. Схема холодильной установки должна удовлетворять следующие требования:

автоматическое поддержание температурного и влажностного режима в камерах;

автоматизация работы холодильной установки;

- равномерная подача хладагента и хладоносителя в испарительную систему при высокой интенсивности теплопередачи;

минимальное влияние гидравлического столба жидкости (хладагента ) на работу приборов охлаждения;

малое заполнение системы хладагентом;

простота в обслуживании и безопасность в работе;

надежная защита компрессоров от гидроудара.

На рыбных базах используются схемы, как с непосредственным, так и с рассольным охлаждением.

Насосные схемы выполняют с верхней или с нижней подачей хладагента в приборы охлаждения. Безнасосные схемы выполняют только с нижней подачей хладагента. Безнасосные схемы применяют в холодильниках вместимостью до 1000 тонн.

Схемы рассольного охлаждения применяют в следующих случаях:

-    при расширении действующих, оборудованных рассольным охлаждением холодильников;

-        при большом удалении холодильника от компрессорного цеха, когда правила техники безопасности запрещает использовать непосредственное охлаждение или когда особенности технологического оборудования вызывают необходимость использования рассольных схем.

В качестве компрессоров применяются винтовые маслозаполненные компрессора. Они характеризуются широким пределом давления всасывания, что позволяет их широко применять в низкотемпературных установках.В небольших установках применяются поршневые компрессоры. В установках холодопроизводительностью более 130 кВт целесообразно применять винтовые компрессоры фирмы BITZER, работа которых в схеме с экономайзером позволяет существенно (до 30%) экономить потребляемую электроэнергию.

В данном курсовом проекте мне дан г. Верхнедвинск. Его характеристики оформляю в виде таблицы:

Таблица 1

Наименование города

Температура летняя, оС

Температура зимняя, оС

Относительная влажность, %

Полоцк

28

-24

62





2. Условия хранения пищевых продуктов

В камерах овощехранилища продукты хранятся от 150 до 285 дней. Продукты поступают в камеры хранения в основном с температурой 15 °С.

Нормы отступов (в метрах):

         от стен или пристенных батарей - 0,3м;

         от потолка или потолочных батарей - 0,2м;

         от воздушных каналов - 0,3м;

         Между отдельными партиями груза - 0,15м.

Все данные об условии хранения заношу в таблицу:

Таблица 2

Наименование продукта

tВ, оС

относительная влажность, %

tПОСТ, оС

Срок хранения, сут.

Капуста

0

90

15

180

Морковь

1

85

15

240

Свекла

1

85

15

200

 

3. Расчет строительных площадей камер хранения

Число камер и их площадь в основном определяется типом и величиной предприятия торговли и общественного питания. Примерно 30 % торгового зала магазина, реализующего пищевые продукты, отводится для торговли. скоропортящимися продуктами, которые требуют кратковременного холодильного хранения. Поэтому, для определения площади охлаждаемых камер в расчёт принимают 30 % площади торгового зала.

В проектных заданиях, разрабатываемых для магазинов, указывается число рабочих мест: мясной отдел - 4; гастрономический - 2; полуфабрикаты мясные - 2.

Число камер определяется количеством отделов, торгующих определённым видом скоропортящихся продуктов и возможностью совместного хранения продуктов.

На предприятиях общественного питания число и размеры камер определяются типом и назначением предприятия и тем, что используется для приготовления блюд - сырьё или полуфабрикаты, а также числом посадочных мест.

Если, в задании на проектирование указано число рабочих мест в отделах магазина, торгующих скоропортящимися продуктами, то площадь холодильных камер определяется по нормам на одно рабочее место:

F=n*f,         м2,                               [3] с.318

где f - площадь холодильных камер на 1 рабочее место, м2/место;

n - количество рабочих мест в отделе магазина, торгующими

скоропортящимися продуктами, мест.

Нормы площади на одно рабочее место отдела магазина:

камера хранения мяса                        -     5 м2;

камера хранения рыбы                      -     3 м2;

камера хранения гастрономии           -     4 м2;

камера хранения вина, пива, безалкогольных напитков -   2 м2;

молочно-жировая камера хранения  -     5 м2;

камера хранения овощей и фруктов  -     4 м2.

Данные расчетов:

F1=4*5=20 (м2)

F2=2*4=8 (м2)a

F3=2*5=10 (м2)

4. Разработка планировки камер

На предприятиях торговли и общественного питания холодильник представляет собой блок из нескольких холодильных камер, расположенных в группе складских помещений недалеко от торгового зала магазина или кухонного блока предприятия общественного питания. Холодильник предназначен для краткосрочного хранения запаса самых разнообразных продуктов. Состав и площадь складских помещений магазина, в том числе охлаждаемых камер, зависит от типа магазина, ассортимента, интенсивности товаропотоков и т.п. На предприятиях общественного питания (столовые, кафе, рестораны) число и размеры холодильных камер зависят от назначения предприятия, степени предварительной обработки продуктов для приготовления блюд (сырьё или полуфабрикаты) и количества мест в зале.

Стационарные холодильные камеры размещают рядом друг с другом одним или двумя блоками в подвале, полуподвале или на первом этаже здания. При их планировке учитывают удобство их загрузки и доставки продуктов из камер в торговый зал магазина или в цех предприятия общественного питания. Чаще всего камеры располагают у наружной стены здания. Камеру пищевых отходов выполняют с выходом наружу или в коридор предприятия через тамбур, только на первом этаже здания. Холодильные камеры нельзя размещать рядом с горячими цехами, санитарными узлами, душевыми, котельными и бойлерными. В камерах не должны проходить трубопроводы отопления, канализации, газа, водопровода, кабели, воздуховоды общей системы вентиляции.

Двери охлаждаемых камер и тамбуров имеют тепловую изоляцию и открываются в сторону выхода из камер. Ширина дверей - 0,9 м; при использовании вилочных погрузчиков и поддонов для загрузки продуктов - не менее 1,5 м. Холодильные агрегаты располагают в машинном отделении,

расположенном рядом с камерами. Машинное отделение с децентрализованной системой охлаждения камер не проектируют. Площадь машинных отделений или помещения, где устанавливается агрегат, принимают, исходя из следующих норм (при высоте камер не менее 2,6 м):

6 м         - при суммарной площади камер 8-20 м2;

до 12 м2 - при площади камер 20-30 м2;

до 18 м2 - при площади камер 30 - 50 м2; свыше 18 м2 - при площади камер более 50 м2.

Холодильный агрегат защищают от механических повреждений металлическим сетчатым ограждением высотой 1,5 м с входной дверцей. Не допускается установка агрегатов в тамбурах камер.

Фундаменты воспринимают всю нагрузку от строительных конструкций, груза и оборудования и передают ее на грунт. Поэтому они должны быть прочными, долговечными, устойчивыми на опрокидывание и скольжение в плоскости подошвы; давление, оказываемое ими на грунт, не должно превышать расчетное.

При строительстве холодильников применяют ленточные, отдельно стоящие и сплошные плитные фундаменты.

Ленточный фундамент представляет собой прямоугольник, располагающийся непрерывно под всем периметром стен. Нагрузка от стен может передаваться на ленточные фундаменты и на фундаментные балки, опирающиеся на фундаменты колонн.

На одноэтажных холодильниках применяют колонны квадратного сечения 400 X 400 мм серии 1.420-4 или КЭ-01-49. Длину колонны подбирают в соответствии с расположением верха стакана фундамента на 250-300 мм ниже бетонной подготовки под изолированные полы, в которую укладывают стержни для электрообогрева.

Под колонны закладывают отдельно стоящие ступенчатые или пирамидальные фундаменты из железобетона. В фундаментах предусматривают гнезда - стаканы для установки сборных колонн. Под средние колонны принимают фундаменты квадратного сечения, а под пристенные - прямоугольного.

Наружные стены зданий холодильников следует выполнять из железобетонных панелей, кирпича или естественных камней.

До последнего времени наиболее распространенным материалом для наружных стен одноэтажных холодильников был обыкновенный полнотелый глиняный кирпич пластического прессования. Поскольку наружные стены холодильников самонесущие, толщина кирпичной кладки обычно составляет 380 мм (полтора кирпича). Стена отстоит от внешней грани наружного ряда колонн каркаса на 250-500 мм. Для устойчивости стены крепят к колоннам с помощью анкеров в средней части колонны и вверху (там, где устанавливается балка покрытия).

Принимаю, что стационарные холодильные камеры размещены в одноэтажном здании без подвала. Высоту камеры принимаю 2,6 м. Загрузка товара осуществляется через грузовую платформу. Так как система централизованная, то машинное отделение проектирую. При составлении камер принимаю ширину дверей 0,9м.

5.Определение ёмкости камер

Ёмкость холодильника предприятий торговли и общественного питания исчисляется в фактических тоннах и складывается из ёмкости отдельных камер хранения.

Ёмкость камер определяют по формуле:

Екам =Fстр -qF,      т/м3,                     [3] с.318

где Fcrp - строительная площадь камеры, м2 (определяется по составленной планировке камер); qF - норма загрузки 1 м2 строительной площади камер, т/м2.

Екам1=20*0,15=3 т/м;

Екам2=8*0,2=1,6 т/м;

Екам3=10*0,15=1,5 т/м.

6. Подбор и расчет тепловой изоляции ограждения камер хранения

Теплоизоляцию камер выполняют непрерывно по всему периметру стен, потолка и пола (без тепловых мостиков). При разности между расчетными температурами воздуха в охлаждаемых камерах 4°С и менее перегородки между камерами изготовляют без тепловой изоляции.

При расчётной температуре воздуха в камерах -2°С и выше полы на грунте допускается изготовлять без тепловой изоляции. При этом теплоизоляционный слой стен камеры или блока камер на 15 см ниже уровня пола. В располагаемых на пучинистых грунтах полах камер, расчётная температура в которых ниже - 2°С, делают устройства для подогрева грунта, предотвращающие деформацию полов и фундаментов.

Для полов, стен и потолков охлаждаемых камер используют несгораемые и невлагоёмкие изоляционные материалы.

Толщина слоя изоляции определяется по формуле:

R0тp = 1/К0тр;

где Ко - требуемый коэффициент теплопередачи ограждения, Вт/м2 °С;

Rиз, RB - термические сопротивление теплоотдаче со стороны наружной и внутренней стороны ограждения, м2 °С/Вт.

Если толщина изоляции недостаточна, то температура поверхности ограждения со стороны помещения с более высокой температурой может опуститься до температуры ниже точки росы и воздуха в этом помещении "tp" и на поверхности ограждения выпадет конденсат в виде росы или инея.

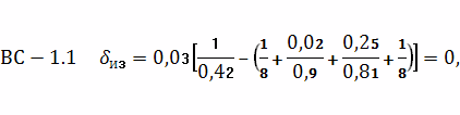
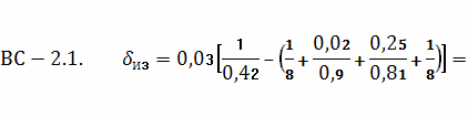
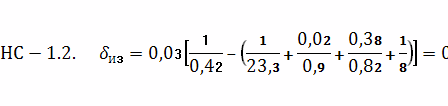
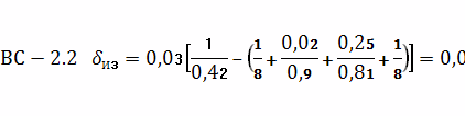
В качестве теплоизоляционного материала для стен и перегородок принимаю рипор. Он не сгораем в огне, что удовлетворяет условие при выборе теплоизоляционного материала. Расчетный коэффициент теплопроводности - 0,03 Вт/мК.

Для камер хранения принимаю присланные двери с изоляцией. С целью ликвидации «мостиков холода» слой тепловой изоляции выполняю непрерывным. Перед проведением расчета изоляционного слоя выбираю строительную изоляционную конструкцию наружных и внутренних стен и определяю суммарную термическое слоев. Полы распологаю на грунте, делаю его без терлоизоляции, так как температура в камере выше -2оС. Теплопритоки считаю, разбивая пол на зоны по 2 м, начиная от наружней стены.

Результаты расчета изоляции оформляю в виде таблицы

Таблица 3

Наименование и конструкция ограждения

№ слоя

Наименование и материал слоя

δi, м

λi, Вт/моС

Riii, м2/оС Вт

Наружная стена

1.

Штукатурка

0,02

0,9

0,02


2.

Кирпич

0,38

0,82

0,47


3.

Теплоизоляция (рипор)

-

0,03

-

Внутренняя стена

1.

Штукатурка

0,02

0,9

0,02


2.

Кирпич

0,25

0,81

0,29


3.

Теплоизоляция (рипор)

-

0,03

-

Наименование и конструкция ограждения

№ слоя

Наименование и материал слоя

δi, м

λi, Вт/моС

Riii, м2/оС Вт

Перекрытие

1.

Кровельный рулонный ковер, 5 слоев

0,012

0,3

0,04


2.

Армированная бетонная стяжка

0,04

1,4

0,028


3.

Теплоизоляция (рипор)

-

0,03

-


4.

Железобетонная плита

0,22

1,5

0,147




Все данные расчетов заношу в таблицу:

Таблица 4

Ограждения

tВ, оС

αН, Вт/мС

αВ, Вт/мС

RН, мС/Вт

RВ, мС/Вт

 мС/Вт

δиз, мм

К0, Вт/мС








δизУ

δизУ

К0ТР

К0Д

Камера 1











НС-1.1

0

23,3

8

0,043

0,125

0,49

0,052

0,052

0,42

0,42

НС-1.2

0

23,3

8

0,043

0,125

0,49

0,052

0,052

0,42

0,42

ВС-1.1

0

8

8

0,125

0,125

0,31

0,054

0,054

0,42

0,42

ВС-2.3

0

8

8

0,125

0,125

0,31

0,054

0,054

0,42

0,42

покрытие

0

23,3

8

0,043

0,125

0,215

0,072

0,072

0,37

0,37

Камера 2











ВС-2.2

0

8

8

0,125

0,125

0,31

0,054

0,054

0,42

0,42

ВС-1.2

0

8

8

0,125

0,125

0,31

0,054

0,054

0,42

0,42

ВС-2.4

0

8

8

0,125

0,125

0,31

0,054

0,054

0,42

0,42

покрытие

0

23,3

8

0,043

0,125

0,215

0,054

0,054

0,37

0,37

Камера 3











НС-2.1

0

23,3

8

0,043

0,125

0,49

0,052

0,052

0,42

0,42

ВС-2.1

0

8

8

0,125

0,125

0,31

0,054

0,054

0,42

0,42

ВС-2.5

0

8

8

0,125

0,125

0,31

0,054

0,054

0,42

0,42

покрытие

0

8

0,043

0,125

0,215

0,072

0,072

0,37

0,37


Расчет межкамерной перегородки.

Поскольку перегородка разделяет камеры с одинаково температурно-влажностными условиями и температура в камерах на превышает разности в 2оС, то перегородка изготовляется без тепловой изоляции.

В качестве строительного материала принимаю пенобетон, в один слой толщиной 250 мм.

7. Теплотехнический расчёт камер

Для поддержания заданной температуры воздуха в охлаждаемом помещении необходимо, чтобы все теплопритоки отводились камерным оборудованием. Теплотехническим расчётом определяют притоки тепла по отдельным камерам, и при централизованной системе охлаждения и по всему блоку (холодильнику) камер. Результаты теплотехнического расчёта являются основанием для расчёта и подбора холодильного оборудования. Сохранение высоких качеств продуктов питания может быть обеспечено только при стабильном оптимальном температурном режиме, который поддерживается в камерах холодильника. Для создания наиболее благоприятных режимов обработки и хранения продуктов необходимо правильно выбрать оборудование камер, компрессорного цеха как основное, так и вспомогательное.

Холодильное оборудование подбирают на основании теплового расчета, учитывающего все виды теплопритоков, которые могут повлиять на изменение температурного режима в камерах.

Поскольку оборудование подбирают для каждой камеры в отдельности, то и тепловой расчет выполняют для каждого охлаждаемого помещения. Целесообразно все расчеты сводить в таблицы произвольной формы, которые должны включать все необходимые величины:

-              приток тепла через ограждения камер (стены, перегородки, перекрытия и полы), Q1;

-              количества тепла от продуктов и тары при снижении их температуры (охлаждении), Q2;

-              приток тепла с наружным воздухом при вентиляции камер, Q3;

-              прочие теплопритоки (эксплуатационные), неизбежно появляющиеся при эксплуатации камер, Q4;

-              теплопритоки при "дыхании" плодов и овощей, Q5.

Общий теплоприток в холодильной камере равен сумме всех перечисленных притоков тепла, т.е.

Q = Q1+Q2+Q3+Q4 + Q5, Вт                       [3] c.415

Теплопритоки в камеры холодильников не являются постоянными. Они зависят от сезонности заготовки или поступления продуктов, времени года и других причин. На работе распределительных холодильников сезонность практически не сказывается. На производственно-заготовительных холодильниках, наоборот, она имеет явно выраженный характер.

Холодильное оборудование должно быть выбрано так, чтобы отвод тепла, проникающего в камеру, был обеспечен при самых неблагоприятных условиях. Основную долю теплопритоков составляют теплопритоки через ограждающие конструкции Q1 и от продуктов при холодильной обработке Q2.

.1 Теплопритоки через ограждения камер

Теплоприток через ограждающие конструкции определяется как сумма теплопритоков (через стены, перегородки, перекрытия или покрытия, через полы, заглубленные неизолированные стены подвальных помещений), вызванных наличием разности температур снаружи ограждения и внутри охлаждаемого помещения, а также теплопритоков за счет воздействия солнечной радиации через покрытия и наружные стены.

Q1=Q+Q1C,       Вт,                       [1]c.416

где Q- теплопритоки через изолированные ограждения камеры вследствие разности температур воздуха по обе стороны ограждения, Вт;

Q1C - теплопритоки через изолированные ограждения камеры вследствие облучения солнечными лучами (солнечная радиация), Вт.

Q= Код*F*(tн-tв), Вт,

Q1C= Код*F*Δtc, Вт        [1]c.416

Расчёт теплопритоков через ограждения камер производят для каждого ограждения отдельно, а иногда, когда к ограждению примыкают помещения с различной расчётной температурой - отдельно для каждого участка ограждения. Поверхность ограждений измеряют следующим образом:

-              длина наружных стен угловых камер от наружной поверхности стены до оси внутренней стены;

-              длина наружных стен неугловой камеры: между осями внутренних стен

-              длина внутренних стен или перегородок от внутренней поверхности наружных стен до оси внутренних стен или между осями внутренних стен (перегородок);

-              длина и ширина пола и потолка: как длина (ширина) внутренних стен;

-              высота стен (перегородок): от пола одного этажа до пола другого или плоской кровли, т.е. в размер высоты включается толщина перекрытия (кровли).

В случае если плоская кровля выполнена с уклоном, то высота стены принимается как высота трапеции.

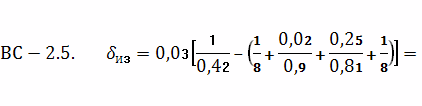
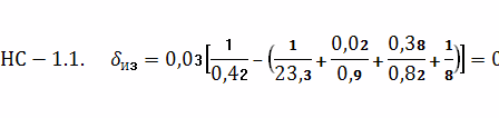
НС-1.1.

Q= 0.42*25.08*(28-0) =294.9 Вт,

Q= 0.42*14.82*7.2=75.54 Вт,

Q1= 294.9+75.54=370.74 Вт

Данные расчетов заношу в таблице

Таблица 5

Ограждения

КД, Вт/мС

Размеры ограждения

tН, оС

tВ, оС

tН- tВ, оС

Q, Вт

Δtc, оС

Q, Вт

Q1, Вт



l, м

в, м

h, м

F,м


















 

 

 

Камера 1













НС-1.1

0,42

6,6

-

3,8

25,08

28

0

28

294,9

7,2

75,8

370,74

НС-1.2

0,42

3,9

-

3,8

14,82

28

0

28

174,3

-

-

174,3

ВС-1.1

0,42

3,7

-

3,8

14,06

18

0

18

106,3

-

-

106,3

ВС-2.3

0,42

6,4

-

3,8

24,32

14

0

14

143

-

-

143

покрытие

0,37

4,4

3,7

-

22

28

0

28

227,9

17,7

144,8

371,9

пол













зона 1

0,47

10,1

4

-

20,2

28

0

28

265,8

-

-

265,8

зона 2

0,23

4,4

1,7

-

7,48

28

0

28

48,17

-

-

48,17

ИТОГО












1480,27

Камера 2













ВС-2.2

0,42

2,7

-

3,8

10,26

14

0

14

60,32

-

-

60,32

ВС-1.2

0,42

3

-

3,8

11,4

18

0

18

86,18

-

-

86,18

ВС-2.4

0,42

2,7

-

3,8

10,26

18

0

18

77,57

-

-

77,57

покрытие

0,37

3

2,7

-

8,1

28

0

28

83,9

17,7

53,05

136,95

пол







0






зона 1

0,47

2,7

2

-

5,4

28

0

28

71,06

-

-

71,06

зона 2

0,23

2,7

1

-

2,7

28

0

28

17,39

-

-

17,39

ИТОГО












449,47

Камера 3













НС-2.1

0,42

3

-

3,8

11,4

28

0

28

134,1

-

-

134,06

ВС-2.1

0,42

3,3

-

3,8

12,54

14

0

14

73,73

-

-

73,73

ВС-2.5

0,42

3,3

-

3,8

12,54

18

0

18

94,8

-

-

94,8

покрытие

0,37

3,3

3

-

10

28

0

28

103,6

17,7

65,49

169,09

пол













зона 1

0,47

3

2

-

6

28

0

28

79

-

-

79

зона 2

0,23

3

1,3

-

3,9

28

0

28

25,1

-

-

25,1

ИТОГО












575,78


Общий итог


2505,78


7.2 Теплопритоки от продуктов и тары

Продукты, поступающие в камеры хранения, как правило, находятся в таре и имеют, обычно, температуру более высокую, чем температура воздуха в камере; при этом происходит снижения их температуры, т.е. охлаждение.

Q2 = Q+Q,     Вт,                                [1] c.423

где Q- теплопритоки при охлаждении продуктов, Вт;

Q- теплопритоки при снижении температуры (охлаждении) тары, Вт.

Теплопритоки от продуктов:

Q = Мп* Сп *(tH - tK) / (24 * 3600),         Вт,              [1] c.532

где Мп - суточное поступление продуктов в камеру, кг/сут. Количество продуктов поступающих в сутки, зависит от продолжительности их хранения. При сроке хранения:

-2 суток - М„ = ЕКШ, (100%);

tН; tK - температура продукта в начале и конце охлаждения, °С. Температуру продуктов, предварительно не охлаждённых, принимают на 5- 8°С ниже расчётной температуры наружного воздуха, а охлаждённых и доставленных холодильным транспортом +6+8°С, а замороженных -6°С.

Теплопритоки от тары:

Q = МТ* СT*( tH - tK)/(24 • 3600),Вт,                           [1] c.532

где Мт - суточное поступление тары, в которой находится продукт, кг/сут.; Ст- теплоёмкость продукта, кДж/кг°К. Суточное поступление деревянной и металлической тары принимают - 20% от суточного поступления продуктов; картонной - 10%; стеклянной - 100%.

Удельная теплоёмкость тары в среднем: деревянной 2500, металлической 460, картонной 1460 и стеклянной 835 Дж/ кг°С.

Результаты расчета теплопритоков от продуктов и тары оформляю в виде таблицы:

Таблица 6

№ ка-ме-ры

tВ, оС

tПОСТ, оС

Е, кг

Z, сут.

МП

МТ

Сп, Дж/ кгоС

СТ, Дж/ кгоС

Q2П, Вт

Вт Q2Т,






%

кг/сут

%

кг/сут






1

0

5

3000

1-2

100

3000

-

-

3440

-

597,2

-

597,2

2

0

6

1600

1-2

100

1600

10

160

3350

1460

372,2

16,2

388,4

3

0

5

1500

1-2

100

1500

10

150

2940

1460

255,2

12,7

267,9

Итого


1253,5


.3 Теплопритоки при вентиляции камер

На холодильниках (камерах) предприятий торговли и общественного питания вентилируют камеры хранения фруктов и овощей, а также камеры отходов, оборудованных системой вытяжной вентиляции.

7.4 Эксплуатационные теплопритоки

Эксплуатационные теплопритоки возникают вследствие освещения камер, пребывания в них людей, работы электродвигателей и от инфильтрации воздуха во время открывания дверей, т.е.

4 = q1 + q2 + q3+q4,       Вт,                       [4] c.60

Теплопритоки от освещения:

q1 = А • F, Вт,      Вт,                                         [4] c.60

где F - площадь камеры, м2;

А - количество тепла, выделяемое освещением в единицу времени на 1 м2 площади пола, Вт/м . Количество тепла, выделяемого на 1 м2 площади пола, с учётом коэффициента одновременности включения светильников для складских помещений (камер хранения) применяют 1,2 В/м2

q1.1. = 1,2*22=26,4 Вт

q1.2. = 1,2*8,1=9,7 Вт

q1.3. = 1,2*10=12 Вт

Теплопритоки от пребывания людей:

2=n*q*τ/24,          Bт,                                          [1] c.538

где n - число людей в камере, чел., (1-2чел);

q - Тепловыделение от одного человека, Вт/чел; (0,4-5) ч;

τ - продолжительность пребывания людей в камере, ч.

В зависимости от температуры воздуха в камере один человек выделяет следующее количество теплоты.

2.1. =2*270*4/24=90 Вт2.2. =2*270*3/24=67,5 Вт2.3. =2*270*3/24=67,5 Вт

Теплопритоки от электродвигателей

Теплопритоки (q3) возникают при работе электродвигателей воздухоохладителей (при их наличии), а также вентиляторов, в камерах хранения плодов и овощей, в камере отходов.

Теплопритоки от инфильтрации при открывании дверей.

Данный вид теплопритоков определяется так же, как и теплопритоки от вентиляции камер, но во всех камерах (вентилируемых и невентилируемых), по той же формуле:

q4 = KF*10-3,       Вт,              [4] c.538

q4.1. =12*22=264 Вт

q4.2. = 12*8= 96 Вт

q4.3. =12*10=120 Вт

Данные эксплуатационных теплопритоков заношу в таблицу:

Таблица 7

№ камеры

наименование камеры

q1, Вт

q2, Вт

q3, Вт

q4, Вт

Q4, Вт








1

Мясо

26,4

90

-

264

380,4

2

Гастрономия

9,7

67,5

-

96

173,32

3

Полуфабрикаты мясные

12

67,5

-

120

199,9

Итого


753,5

 


Суммарные теплопритоки во всех камерах:

Таблица 8

№ камеры

Q1, Вт

Q2, Вт

Q3, Вт

Q4, Вт

Q5, Вт

Q, Вт

1

1480,27

597,2

-

380,4

-

2457,87

2

449,47

388,4

-

173,2

-

1011,07

3

575,78

267,9

-

199,0

-

1043,58

Итого

2505,52

1253,5

-

753,5

-

4512,52


8. Описание схемы холодильной установки

На предприятии торговли - магазина «Мясо» применяю централизованную систему с воздушным охлаждением конденсатора. В качестве холодильного агента использую фреон R-22. В состав холодильной машины входят: компресорно-конденсаторный агрегат с воздушным охлаждением конденсатора; теплообменник; фильтр; щиты управления; испаритель; терморегулирующие вентили; камерное оборудование в виде настенных батарей. Отдельные элементы холодильной машины соединены красномедными трубами.

9. Расчет и подбор холодильного оборудования

Хладоновые холодильные машины поставляются только комплектно; компрессор, конденсатор, батареи или воздухоохладители, приборы автоматики. Поэтому при проектировании достаточно рассчитать и подобрать компрессор нужной производительности, а затем из таблиц или каталогов выписать технические характеристики всех аппаратов, входящих в комплект холодильной машины, поставляемой с выбранным компрессором. Однако в учебных проектах производят проверочный расчёт оборудования, входящего в состав холодильной машины (конденсаторов, испарителей или воздухоохладителей). Комплексно поставляемые холодильные машины выполнены по определённой заводской схеме. В схемах этих машин предусмотрен регенеративный теплообменник, в котором происходят перегрев всасываемых паров и переохлаждение жидкого хладона. Это следует учитывать при построении холодильного цикла. Теплообменные аппараты выбираю по значению площади поверхности или выбирают из таблиц, каталогов.

.1 Выбор расчётного режима работы холодильной машины

Для теплового расчёта одноступенчатого компрессора необходимо определить температурный режим работы, т.е. t0 - температуру кипения, °С; tBC - температуру всасывания, °С; tп - температуру переохлаждения,°С; tK - температуру конденсации, °С.

Температура переохлаждения для холодильных машин с регенеративным теплообменником определяется по энтальпии переохлаждённого жидкого хладагента, согласно уравнению теплового баланса теплообменника.

Температуру кипения в хладоновых установках с непосредственным охлаждением принимают на 14+16°С ниже температуры воздуха в камере, т.е.

t0 = tB-(14-16), °С                                      [4] c.71

Температура конденсации зависит от температуры и количества подаваемой воды или воздуха.

Температура конденсации для установок с водяным охлаждением конденсатора принимают на 2+4 °С выше температуры воды, уходящей из конденсатора:

tk = tнр+ (10-12), оС                                             [4] c.71

Температуру всасываемых паров в холодильных установках с регенеративным теплообменником принимают на (15+20) °С выше температуры кипения, т.е.:

tВС = to + (15-20), оС                                  [4] c.72

Уравнение теплового баланса теплообменника:

i3 = i3- (i1-i1),       кДж/кг                          [4] c.72

По значению i3 из таблиц для данного хладагента определятся t3 = tn и заносится в таблицу параметров узловых точек цикла.

9.2 Тепловой расчёт одноступенчатой холодильной машины

Задачами теплового расчёта холодильной машины является: определение требуемой объёмной производительности компрессора; подбор компрессора; определение потребляемой мощности, определение тепловой нагрузки на конденсатор машины. Тепловая нагрузка на компрессор принимается с учётом потерь холода в трубопроводах и аппаратах:

Qст = К*∑Qкм                                                                          [4] c.62

Все расчетные данные цикла заношу в таблицу:

Таблица 9

Параметры

Узловые точки цикла


1/

1

2

2/

3/

3

4

to, оС

-14

2

79

38

38

34

-14

Р, МПа

0,306

0,306

1,46

1,46

1,46

1,46

0,306

V, м3/кг

0,075

0,082

0,019

0,016

0,00087

0,00086

0,021

i, кДж/кг

599

605

651

615

417

441

441


Расчёт производится в следующем порядке:

1.       Удельная массовая холодопроизводительностью 1 кг холодильного агента:

q0 = i1-i4,    кДж/кг,0 =599-441=158 кДж/кг

2.       Удельная работа сжатия в компрессоре:

lт = i2-i1, кДж/кг,т =651-605=46 кДж/кг

Удельная тепловая нагрузка на конденсатор:

qк= i2-i3, кДж/кг,к = 651-447=204 кДж/кг

3.       Требуемая холодопроизводительность компрессора:

Qот= K*∑Qкм, кДж/кг,

Qот = 1,5*4512,52= 6768,8 Вт = 6,7688 кВт

4.       Требуемый массовый расход холодильного агента:

Мт = Qот/q0, кг/с,

Мт = 6,7688/158=0,04 кг/с

5.       Требуемая теоретическая объёмная производительность компрессора:

VT=MT*V1/λ,      м3/с,

значение λ принимается из графика для Рк/ Р0 =4,77,

λ=0,72

VT= 0,04*0,075/0,72=0,0042 м3

6.       По найденному значению "VT" выбирают один или несколько холодильных агрегатов (машин) с теоретической объёмной производительностью компрессора (компрессоров) "VKM" на 20 - 40 % больше требуемого, что обеспечивает работу компрессоров с коэффициентом рабочего времени в = 0,8:0,6.

Выбираю компрессорный агрегат марки 5ПБ 7-2-24 в количество 1 шт.

Технические данные компрессора:

Таблица 10

Марка компрессора

Количество цилиндров, шт.

Объем, всасываемый поршнями, мм.

Частота вращения вала, с-1

Диаметр трубопроводов, мм.

Габаритные размеры, мм

Масса (нетто), кг





всасывающего

нагнетающего



5ПБ 7-2-24

2

20,6

16,7

25

25

615х370х455

135


7.       Коэффициент рабочего времени:

в = VT /Vкм,

в= 0,0042/0,0057=0,74

8.       Действительный массовый расход холодильного агента:

Мкм = λ • VKM /V1,        кг/с,

Мкм= 0,72•0,0057/0,082 = 0,05 кг/с

9.       Действительная холодопроизводительность компрессора:

= Мкм • q0, кВт;

Q = 0,05 • 158 = 7,9 кВт

11.     Мощность привода компрессоров:

11.1    Теоретическая (адиабатная):

NT = Мкм • lт,       кВт,

NT = 0,05 • 46 = 2,3 кВт

.2. Индикаторная:

Ni =N/ηi,      кВт,

Ni = 2,3/0,8=2,875 кВт

.3. Эффективная (механическая):

Nе= Nie,   кВт

Nе = 2,875/0,85 =3,38 кВт

.4. Электрическая:

Nэл = Nе/ ηэл,        кВт,

Nэл = 3,38/0,86=3,93 кВт

12.     Тепловая нагрузка на конденсатор

12.1. Теоретическая:

Qк =Mкм*qк,         кВт,

Qк =0,05*204=10,5 кВт

.2. Действительная:

Qк = Q + Ni,      кВт,

Qк =7,9+2,875 = 10,775 кВт

13.     Теплота переохлаждения:

Qn = Mкм(i3́ - i3),            кВт,n =0,05(447 - 441) =0,3 кВт

.3 Расчет и подбор камерного оборудования

Требуемую площадь теплопередающей поверхности испарителей (батарей) и воздухоохладителей рассчитывают по формуле:

F = Qобор /K*θm, м2,                                 [4] c.99

где Qобор - тепловая нагрузка на камерное оборудование, Вт;

К - коэффициент теплопередачи, Вт/м2 оС;

θm - расчётная разность температур между воздухом в камере и кипящим хладагентом или рассолом в приборах охлаждения, °С.

При проектировании холодильных установок с непосредственным охлаждением хладоновыми холодильными машинами, которые

поставляются комплектно, из каталога или таблицы для выбранной на основании расчётов холодильной машины выписывают количество испарителей (батарей или воздухоохладителей), входящих в комплект поставки, и площадь их теплопередающей поверхности.

Затем распределяют испарители по камерам в соответствии с произведёнными расчётами теплопередающих поверхностей камерного оборудования. При распределении комплекта испарителей (воздухоохладителей по камерам) могут возникнуть трудности из-за несоответствия расчётной площади поверхности фактической. Если холодильник состоит из одной камеры, весь комплект поставляемых испарителей размещают в этой камере. Значительно чаще один холодильный агрегат используют для охлаждения двух, а иногда и больше камер. Поэтому возможно несколько вариантов размещения испарителей в камерах. Во всех случаях в какой-то камере площадь испарителей превышает требуемую, а в какой-то её не хватает. В этом случае необходимо определить температуру кипения при каждом варианте и выбрать тот вариант, при котором общая температура кипения хладагента (определяется по камере с наиболее низкой температурой) наиболее высокая.

Расчет:

Камера 1.

F = 2457.87/4.6*15 = 35.6 м2

Камера 2.

F = 1011,07/4,4*13 = 17,6 м2

Камера 3.

F = 1043,58/ 4,2*14 = 17,7 м2

По данным расчетов подбираю следующие оборудование:

Таблица 11

№ камеры

Наименование оборудования

Марка

Количество, шт.

1

Ребристые пристенные батареи 4-х трубные

ИРСН 18

2

2

Ребристые пристенные батареи 4-х трубные

ИРСН 18

1

3

Ребристые пристенные батареи 4-х трубные

ИРСН 18

1


9.4 Проверочный расчет оборудования и трубопроводов холодильной машины

Требуемую площадь теплопередающей поверхности конденсатора рассчитывают но формуле:

F = Qобор /K*θm, м2,                                          [4] c.85

где Qобор - тепловая нагрузка на камерное оборудование, Вт;

К - коэффициент теплопередачи данного типа конденсатора, кВт/м2 оС;

θm - среднелогарифмическое значение температурного напора, °С.

Расчет:

F = 10775/20*9 = 59,8 м2

По полученным данным выбираю следующую марку конденсатора:

Таблица 12

Модель конденсатора

Тепловая нагрузка, кВт

Площадь наружной теплообменной поверхности, м2

Максимальное рабочее давление, МПа

Потребляемая мощность, кВт

Масса, кг

Габаритные размеры, мм

КВГ-40

10,3

38,5

2,0

0,47

55

830х698х1040

 

Расчет теплообменника.

Требуемую площадь теплопередающей поверхности теплообменника конденсатора рассчитывают но формуле:

F = Qобор /K*θm, м2,                                 [4] c.85

где Qобор - тепловая нагрузка на камерное оборудование, Вт;

К - коэффициент теплопередачи данного типа конденсатора, кВт/м2 оС;

θm - среднелогарифмическое значение температурного напора, °С.

θm =0,5(θб + θм),    оС,

θб =tk - to,

θм = tn - tвс

Расчет:

θб =38-(-14) = 52 оС

θм = 34-2 = 32 оС

θm =0,5 (52+32) = 42 оС

F = 300/120*42 = 0,06 м2


Таблица 13

Тип регенеративного теплообменника

Площадь теплопередающей поверхности, м2

Условные проходные сечения патрубков, мм

Масса, кг

Габаритные размеры, мм



жидкост-ного

парового



ТФ-20М

0,1

10

20

6,5

600х140х484


Расчет трубопроводов

Диаметр трубопроводов определяется по формуле:

[4] c.151

где V - объемный расход среды, м3/с,

W - расчетная скорость среды, м/с

V = M*v,

где М - массовый расход среды, кг/c,

v - удельный оъем среды при данных параметрах, м3/кг

Результаты расчетов оформляю в виде таблицы:

Таблица14

Наименование трубопровода

М, кг/с

v, м3/кг

V, м3

W, м/с

dвн. р., мм

dвн.д., мм (ГОСТ)

Всасывающий

0,05

0,082

0,0041

10

22,8

25

Нагнетательный

0,05

0,015

0,0008

10

10

10

Жидкостной

0,05

0,00086

0,000043

1

7

8


Системы автоматического регулирования

Автоматизация холодильной установки включает автоматизацию процессов защиты, регулирования, сигнализации, оттайки, мониторинга системы.

Система автоматической защиты (САЗ) устраняет возможность аварий при внезапном изменении режима работы агрегата, защищает электродвигатели от перегрузки и короткого замыкания.

При достижении контролируемым параметром опасного значения предельный автоматический регулятор через регулирующий орган выключает агрегат, либо ограничивает рост параметра, защищая механизмы и аппараты от разрушения. Так, при падении давления смазочного масла, охлаждающей воды, повышении давления и температуры нагнетания эксплуатация компрессора холодильной установки должна быть прекращена с подачей предупредительного или аварийного сигнала.

Система автоматической сигнализации (САС) в зависимости от назначения делится на аварийно-предупредительную сигнализацию и сигнализацию работающих механизмов.

Аварийно-предупредительная сигнализация при достижении контролируемым параметром аварийного значения выдает световой или звуковой сигнал, после чего обслуживающий персонал изменяет опасный режим работы механизма с помощью регулирующего органа.

Сигнализация работающих механизмов дает световую индикацию на пульте управления о включении в работу наиболее важных механизмов.

Система автоматического регулирования (САР) поддерживает заданное значение регулируемого параметра.

Использование приборов автоматики позволяет решить главную задачу - поддержание заданной температуры охлаждаемого объекта. К задачам автоматизации процессов установки относят также поддержание определенного уровня жидкого хладагента в аппаратах и постоянного давления конденсации; обеспечение защиты от гидравлического удара, перегрева отдельных частей установки, взрыва аппаратов, замерзания хладоносителя, перебоев в работе насоса.

Холодильная установка создает и поддерживает в охлаждаемых помещениях температурный режим, необходимый для хранения скоропортящихся продуктов, так как продолжительность хранения и качество продуктов во многом зависят от этого режима. Неоправданно низкая температура кипения хладагента, отводящего теплоту от охлаждаемого объекта, нарушает технологию хранения груза, ведет к потере его массы из-за значительной усушки, снижает экономичность работы холодильной установки.

Теплота, отводимая холодильной машиной от охлаждаемых объектов, воспринимается кипящим жидким хладагентом в испарителях. Для эффективной работы испарителей необходимо поддерживать максимально возможную степень их заполнения жидким хладагентом, не допуская переполнения, которое приводит к влажному ходу компрессора.

Регулирование - это процесс поддержания значения параметра (температуры, давления и т.п.), называемого регулируемым, постоянным либо в заданных пределах. Процесс поддержания постоянной температуры в охлаждаемом помещении называют регулированием температуры. Соответственно сама температура будет регулируемым параметром.

САР включает в себя объект регулирования, автоматический регулятор, регулирующий орган, а также связи между ними. Объект регулирования - это помещение, емкость, система или механизм, в котором регулируется протекающий процесс, т.е. поддерживается постоянное значение

регулируемого параметра. Так, при регулировании температуры в охлаждаемом помещении объектом регулирования будет само помещение. Автоматический регулятор контролирует заданный процесс в объекте регулирования и управляет работой регулирующего органа в соответствии с задачей регулирования.

Регулирующий орган (клапан, механизм) служит для изменения расхода вещества (хладагента, воздуха, рассола), подводимого к объекту регулирования.

Система автоматического регулирования работает следующим образом. Автоматический регулятор постоянно замеряет регулируемый параметр и сравнивает его с заданным значением. При отклонении от заданного значения автоматический регулятор через регулирующий орган изменяет расход подводимого вещества таким образом, чтобы регулируемый параметр вернулся в исходное состояние. Например, увеличение тепловой нагрузки в охлаждаемом помещении вызовет в нем рост температуры. Автоматический регулятор, определив значение и знак отклонения регулируемой температуры от заданной величины, даст управляющий сигнал на регулирующий орган, который увеличит отвод теплоты из помещения, вследствие чего температура вернется к заданному значению.

Система мониторинга (СМ) - это автоматическая регистрация и визуальное отображение температур в холодильных витринах, камерах хранения продуктов супермаркетов и системных значений параметров компрессорных отделений. Она охватывает автоматическую регистрацию системных событий, случаев подачи сигналов аварии и способствует правильной обработке этих сигналов. СМ облегчает диагностику сигналов аварии - позволяет выделить те сигналы, которые могут привести к потере продуктов или перерыву в работе магазина. СМ является превосходным инструментом управления.

В связи с повышением требований общественности к пищевой промышленности супермаркеты должны осуществлять строгий контроль качества пищевых продуктов; должны вести документацию, подтверждающую факт хранения пищевых продуктов при необходимой температуре, на всем пути следования от производителя до потребителя. Регистрация температуры хранения должна осуществляться с регулярными интервалами и результаты должны отслеживаться в течение года.

Экономичность эксплуатации холодильной установки повышается главным образом за счет уменьшения затрат труда на обслуживание холодильной установки и повышения производительности труда персонала.

Задачей обслуживающего персонала является грамотное техническое обслуживание приборов, входящих в состав схемы, и периодическая проверка их исправности: защитных реле уровня -- 1 раз в 10 дней; других приборов автоматики - 1 раз в месяц. регуляторы уровня с исполнительными механизмами, терморегулирующие вентили, реле протока и расхода. Настройка этих приборов, как правило, производится при пусконаладочных работах.

Подавляющее большинство используемых в торговле хладоновых холодильных машин с непосредственной системой охлаждения полностью автоматизированы, поэтому отпадает необходимость в постоянном контроле за работой установки, и обслуживающий персонал осуществляет лишь периодическое наблюдение, проверяя исправность оборудования и устраняя возникшие технические неполадки.

Применение средств автоматизации делает работу холодильных машин более производительной, экономически выгодной и безопасной.

10. Автоматизация холодильной установки

Описание автоматизации холодильной установки оформляю в виде таблицы:

Таблица 15

Наименование

Марка

Место установки

Краткая техническая характеристика

Терморегулирующий вентиль

22Е1

Устанавливается после регулирующей станции перед испарителем

Регулирование заполнение испарителя холодильным агентом по перегреву

Реле давления

ДЕМ 202

Установка производится на всасывающем, нагнетающем патрубках компрессора

При повышении или понижении заданных параметров происходит выключение компрессора

Фильтр-осушитель

DCL 032.5

Устанавливается на жидкостном патрубке перед распределительной станцией

Удаление из холодильного агента капель воды

Соленоидные вентили

EVR 6

Устанавливается на жидкостных патрубках перед подачей в приборы охлаждения

Регулирование температуры в камере

Реле температуры

ТАМ-103

Устанавливается в холодильных камерах

Подача сигнала соленоидному вентилю при повышении или понижении температуры в камерах


11. Охрана труда, противопожарная техника, охрана окружающей среды, промсанитария

При эксплуатации холодильного оборудования необходимо руководствоваться действующими правилами техники безопасности. Соблюдение их предотвращает несчастные случаи и способствует надежной и безотказной работе оборудования.

По существующему положению для работников торговли и общественного питания не реже одного раза в шесть месяцев проводят инструктаж на рабочем месте по правилам техники безопасности, порядку оказания первой помощи пострадавшим при несчастном случае, а также по правилам работы и электробезопасности при эксплуатации холодильных установок. В журнале учета инструктажа делают соответствующие записи.

Помещения, в которых находятся холодильные агрегаты или охлаждаемое оборудование, должны иметь хорошее освещение и вентиляцию, проходы должны быть достаточно свободными, а полы находиться в исправном состоянии.

Машинное отделение оборудуют приточно-вытяжной принуди тельной вентиляцией с трехкратным воздухообменом в час. Пары хладагентов тяжелее воздуха и могут накапливаться внизу, поэтому всасывающие отверстия вентиляции должны располагаться у пола.

Хладоны и продукты их разложения бесцветны. При работе запрещается курение и применение открытого пламени без специ альных мер предосторожностей из-за возможности образования сильнодействующих отравляющих веществ при разложении паром хладонов. Поэтому рабочие места должны хорошо проветриваться.

При атмосферном давлении и температурах свыше 30 °С R22 представляет собой бесцветный газ со слабым запахом хлороформа.

Предельно допустимая концентрация в воздухе 3 ООО мг/м3 при длительности воздействия 1 ч. Плотность насыщенных паров R22 при атмосферном давлении равна 4,65 кг/м3, плотность жидкого R22 - 1,4 кг/дм3, температура кипения - 40,75 "С.

При попадании жидких хладагентов на незащищенные участки кожи возможно обморожение.

При температурах выше 330 °С R22 разлагается с образованием фтористого водорода, хлористого водорода и небольшого количества фтор- фосгена. Чистый и осушенный R22 инертен по отношению к металлам. Но в присутствии воды R22 способен разлагаться с образованием соляной и плавиковой кислот, которые вызывают сильную коррозию. R22 не взрывается и не является пожароопасным веществом.

В машинном отделении разрешается хранить не более одного баллона с хладоном. Наполненные баллоны перевозят на рессорном транспорте или на автокарах в горизонтальном положении с укладкой всех баллонов вентилями в одну сторону. Между баллонами размещают прокладки в виде деревянных брусков с гнездами под баллоны либо надевают на баллоны по два резиновых кольца, предохраняющих баллоны от ударов друг о друга.

В конструкции машин должны быть предусмотрены меры по уменьшению шума на рабочих местах в пределах установленных норм. Система управления машинами должна иметь минимальное количество рукояток и кнопок, быстро останавливать движение рабочих органов машины, находящихся в любом положении, исключать самопроизвольный или случайный пуск механизмов, предусматривать возможность включения и выключения машины с рабочего места. Рукоятки, рычаги, ручки, маховики, кнопки должны иметь удобный доступ. Кнопки «пуск» должны быть заметны и утоплены на 3 - 5 мм от уровня крышки коробки.

В случае технических неисправностей или возникновения аварийного

состояния агрегат следует немедленно отключить и вызвать механика. При -обнаружении утечек хладагента необходимо открыть двери и окна для проветривания помещения или включить вентиляцию.

Обслуживающий персонал при вскрытии различных элементов установки, а также баллонов с хладагентом обязан находиться в защитных очках; при этом давление в системе должно быть снижено до атмосферного.

Запрещается: размещать посторонние предметы на ограждениях агрегата и вокруг него; хранить продукты непосредственно на испарителях и поддонах торгового холодильного оборудования; использовать скребки, ножи и другие предметы для удаления снеговой шубы с испарителей.

Вблизи холодильного оборудования должны быть вывешены инструкции по эксплуатации холодильных установок, схемы установки и трубопроводов, правила техники безопасности и правила оказания помощи пострадавшим.

Литература

1. Зеликовский И.Х., Каплан Л.Г. Малые холодильные машины и установки: Справочник. М.: ВО «Агропромиздат», 1989.

2. Кондрашова II.Г., Лагиутина Н.Г. Холодильно-компрессорные машины и установки. М.: «Высшая школа», 1984.

3. Мальгина ВВ., Мальгин Ю.В.,Суедое Ю.В. Холодильные машины и установки. М.: «Пищевая промышленность», 1980.

4. Явнель Б.К. Курсовое и дипломное проектирование холодильных установок и систем кондиционирования воздуха. М.: ВО «Агропромиздат», 1989.

5.       Правила техники безопасности на фреоновых холодильных установках. М., 1983.

6. Журнал "Холодильная техника". М.; 2000 - 2003 гг.

Похожие работы на - Проектирование холодильной установки овощехранилища

 

Не нашли материал для своей работы?
Поможем написать уникальную работу
Без плагиата!
Без нейросетей!