Проектирование состава бетона для трёх зон сооружения
1. Постановка задачи и исходные
данные
Необходимо спроектировать состав бетона для
каждой из трёх зон сооружения, исходя из заданных свойств бетона и бетонной
смеси, приведённых в таблице 1, см. табл.П.12, стр. 149 [1].
Таблица 1
|
№
п/п
|
Зона
сооружения
|
Вид
бетона
|
Класс
бетона по прочности
|
Марка
по водонепро- ницаемости
|
Марка
по морозо- стойкости
|
ОК,
см
|
|
I
|
Надземная
|
Обычный
|
B35
|
-
|
-
|
4
|
|
II
|
Подводная
|
Гидротехнический
|
B15
|
W12
|
-
|
3
|
|
III
|
Переменного
уровня воды
|
|
B20
|
W14
|
F200
|
1
|
Сооружение расположено в открытом водоеме.
Химический состав воды был выбран в соответствии с заданием на проектирование
по номеру варианта (№15) по таблицам П.13 «Варианты химического состава
воды-среды», стр.150 [1]. Химический состав воды приведен в табл. 2.
Температура окружающего воздуха text=17.7
°C, см. табл.П.12,
стр.149 [1].
Таблица 2 Химический состав воды-среды
|
Содержание
ионов, мг/л
|
Суммарное
содержание солей, мг/л
|
Временная
жесткость, мг-экв/л
|
Содержание
агрессивной СО2 , мг/л
|
рН
|
|
K++Na+
|
Mg2+
|
NH4+
|
SO42-
|
|
|
|
|
|
9540
|
2270
|
420
|
5750
|
22200
|
0.66
|
11
|
3.4
|
2. Выбор материала для бетона
В нашем случае для зоны I
следует использовать портландцемент марки 550. Здесь можно было бы использовать
более дешевый шлакопортландцемент, однако, его марка не превышает 500, что при
высокой требуемой прочности бетона (В50) менее рационально.
2.1 Оценка агрессивности воды-среды
Для зон II
и III выбор цемента
производим после оценки агрессивности воды-среды.
Оценку агрессивности воды-среды производят
согласно СНиП 2.03.11-85. Цемент для бетона из каждой зоны выбирают,
руководствуясь результатами оценки агрессивности воды-среды и рекомендациями,
приведёнными в приложении СНиП 2.03.11-85.
Таблица 3 Оценка агрессивности воды-среды
|
Вид
коррозии
|
Показатель
агрессивности
|
Бетон
зоны
|
Вид
цемента
|
Водонепроницаемость
бетона
|
Значение
показателя агрессивности
|
Вывод
об агрессивности воды
|
|
|
|
|
|
фактическое
|
допустимое
|
|
|
Выщелачивающая
|
Временная
жесткость, мг-экв/л
|
II
|
-
|
W12
|
0.66
|
Не
норм.
|
Не
агрессивна
|
|
|
III
|
-
|
W14
|
|
Не
норм.
|
Не
агрессивна
|
|
Общекислотная
|
Водородный
показатель рН
|
II
|
-
|
W12
|
3.4
|
>
3,5
|
Агрессивна
|
|
|
III
|
-
|
W14
|
|
>
3,5
|
Агрессивна
|
|
Углекислая
|
Содержание
агрессивной углекислоты, мг/л
|
II
|
-
|
W12
|
11
|
Не
норм.
|
Не
агрессивна
|
|
|
III
|
-
|
W14
|
|
Не
норм.
|
Не
агрессивна
|
|
Магнезиальная
|
Содержание
ионов Mg2+, мг/л
|
II
|
-
|
W12
|
2270
|
< 3000
|
Не
агрессивна
|
|
|
III
|
-
|
W14
|
|
< 3000
|
Не
агрессивна
|
|
Аммонийная
|
Содержание
ионов NH4+, мг/л
|
II
|
-
|
W12
|
420
|
< 800
|
Не
агрессивна
|
|
|
III
|
-
|
W14
|
|
< 800
|
Не
агрессивна
|
|
Щелочная
|
Содержание
ионов Na++K+, мг/л
|
II
|
-
|
W12
|
9540
|
<80000
|
Не
агрессивна
|
|
|
III
|
-
|
W14
|
|
<80000
|
Не
агрессивна
|
|
Общесолевая
|
Суммарное
содержание всех солей, мг/л
|
II
|
-
|
W12
|
22200
|
Нет
испаряющих поверхностей
|
Не
агрессивна
|
|
|
III
|
-
|
W14
|
|
<50000
|
Не
агрессивна
|
|
Сульфатная
|
Содержание
ионов SO42-, мг/л
|
II
|
пц
|
W12
|
5750
|
<425
|
Не
агрессивна
|
|
|
|
шпц
|
|
|
<2550
|
Не
агрессивна
|
|
|
|
сспц
|
|
|
<5100
|
Не
агрессивна
|
|
|
III
|
пц
|
W14
|
|
<425
|
Не
агрессивна
|
|
|
|
шпц
|
|
|
<2550
|
Не
агрессивна
|
|
|
|
сспц
|
|
|
<5100
|
Не
агрессивна
|
Вода агрессивна по общекислотной коррозии для
бетона II и III
зон при использовании шлакопортландцемента и портландцемента соответственно.
Процесс общекислотной коррозии описывается уравнением:
Ca(OH)2
+2HСl
= CaCl2 + 2H2O
Хлористый кальций хорошо растворим, и легко
вымывается из бетона. Это ведет к исчезновению из бетона кристаллического
сростка Ca(OH)2.
В качестве меры борьбы с данным видом коррозии
применим устройство гидроизоляции. В соответствии с классом бетона по прочности
(табл.) требуется цемент марок 400 и 500 для подводной зоны сооружения и зоны
переменного уровня воды соответственно. В силу вышесказанного в этих зонах
следует применять шлакопортландцемент и портландцемента соответственно с
использование полимерной окрасочной гидроизоляции: эпоксидно-дегтевая
гидроизоляция.
Эпоксидно-дегтевая - изоляция трещиностойких
сборно-монолитных и монолитных сооружений и частей зданий, эксплуатируемых в
зоне высокой агрессии грунтовых вод. Эпоксидно-дегтевая гидроизоляция (ЭДГ)
представляет собой водонепроницаемое и прочное покрытие толщиной 2-3 мм,
образующееся после отверждения эпоксидно-дегтевой мастики.
Эпоксидно-дегтевую мастику приготовляют,
смешивая эпоксидные диановые смолы ЭД-20 (или ЭД-16) и продукт переработки
каменноугольного дегтя - пековый дистиллят - с введением наполнителя и без
него. Жизнеспособность состава с введенным отвердителем при 20° С составляет 60
мин, при 40° С - 40 мин.
Усадка ЭДГ составляет 3-4%. ЭДГ не смерзается со
льдом при обледенении сооружений. Гидроизоляцию стыков между сборными
элементами и деформационных швов па сооружениях с эпоксидно-дегтевым покрытием
можно выполнять тиоколовыми герметиками (У-30 МЭС-5, У-ЗОМ, УТ-34 и др.).
2.2 Материалы для бетона
Выбор крупного и мелкого заполнителя был
произведен в соответствии с заданием на проектирование по номеру варианта (№15)
по таблицам П.14 «Химический состав портландцемента и варианты заполнителей» и
П.15 «Виды заполнителей»,стр.152[1].
Выбор марки цемента и вида заполнителя (для
бетона I зоны) был
произведен по таблице П.2 «Рекомендации по выбору марки цемента и вида
заполнителей», стр.144 [1].
Окончательно принятые материалы для приготовления
бетона приведены в таблице 4.
Таблица 4 Материалы для бетона
|
Бетон
зоны
|
Вид
цемента
|
Марка
цемента
|
Мелкий
заполнитель
|
Крупный
заполнитель
|
|
|
|
|
Вид
|
Порода
|
Dнаиб мм
|
Число
фракций
|
|
I
|
ПЦ
|
550
|
Песок
из отсевов гранита
|
Промытый
Гравий
|
Доломит
|
20
|
2
|
|
|
|
|
Непромытый
гравий доломитовый
|
|
40
|
3
|
|
II
|
ШПЦ
|
400
|
|
|
|
|
|
|
III
|
ПЦ
|
500
|
|
|
|
|
|
3. Определение параметров
состава бетона I
зоны
.1 Определение водоцементного
отношения
.1.1 Аналитический способ
Используя выбранные материалы, описанные выше,
устанавливаем зависимость прочности бетона при сжатии от водоцементного
отношения R28=f(В/Ц). Согласно аналитическому способу R28 определяем по формуле
Боломея:
= А*Rц*(Ц/В
- 0,5), где
А - коэффициент, учитывающий вид и качество
заполнителей, А=0,6; Rц
- активность цемента, Rц=56
МПа.
Среднее значение прочности для заданного класса
бетона (В35) составляет
Rзад=35/0,78= 44,87
МПа.
Выражаем В/Ц из формулы Боломея:
В/Ц = А*Rц
/(R28+0.5* А*Rц) = 0.6*56МПа
/(44.87МПа+0.5* 0.6*56МПа) = 0.543
Результат округляем до сотых долей и получаем
В/Ц=0,54 .
По аналитическому способу водоцементное
соотношение, В/Ц=0,54. 3.1.2 Практический способ
Используя выбранные материалы, описанные выше,
устанавливаем зависимость прочности бетона при сжатии от водоцементного
отношения R28=f(В/Ц), для чего готовим несколько бетонных смесей с различным
В/Ц и постоянными Ц и r
(Ц=250 кг/м3 и r=0,35). Из
каждой бетонной смеси изготовляем образцы-кубы, которые храним в стандартных
условиях и испытываем на прочность при сжатии в возрасте 28 суток. Результаты
испытаний на сжатие бетона с различным водоцементым отношением и с постоянными
значениями расхода цемента и доли песка (Ц=250 кг/м3 и r=0,35)
приведены в таблице П.7, стр.147 [1]. Так как в виде крупного заполнителя
используется промытый гравий, то в соответствии с примечанием к табл. П.7,
прочность бетона увеличиваем на 9.1 %.
Пример вычислений:
Марка цемента для бетона I
зоны - 550.
В/Ц = 0.40
По таблице П.7, стр.147 [1], предел прочности
бетона при сжатии в возрасте 28 суток, R28= 54.2 МПа.
Так как в виде крупного заполнителя используется
промытый гравий:
’28 = 1.091*R28= 1.091*54.2 = 59.13 МПа.
Результаты испытаний сводим в табл. 6.
Таблица 6. Результаты испытаний бетона на сжатие
в возрасте 28 суток
|
В/Ц
|
0,40
|
0,43
|
0,44
|
0,46
|
0,47
|
0,48
|
0,49
|
0,50
|
0,51
|
0,52
|
|
R28,
МПа
|
59,13
|
53,24
|
51,28
|
47,35
|
46,26
|
44,95
|
43,2
|
42
|
40,37
|
38,51
|
По данным табл. 6 строим график (рис.2.) и
определяем искомое В/Ц. Среднее значение прочности для заданного класса бетона
(В35) составляет Rзад=35/0,78=
44,87 МПа. Результат округляем до сотых долей и получаем В/Ц=0,48.
R28, МПа
Рис.1 Практический способ определения В/Ц
3.2 Определение оптимальной доли
песка rопт
Из выбранных материалов готовим 7 бетонных
смесей с различным r (от 0,26 до 0,46). Остальные параметры сохраняем
постоянными: В/Ц=0,48 (найдено ранее); расход цемента принимаем произвольно
(пусть предварительно Ц=400 кг/м3). Устанавливаем зависимость ОК=f(r),
для чего определяем ОК каждой бетонной смеси. ОК бетонной смеси в зависимости
от r при Ц = const
(Ц=400 кг/м3)и В/Ц = const
(В/Ц=0,48) определяем по табл. П.8, стр.148 [1]. Так как в таблице нет нужного
нам водоцементоного отношения, то определим значение ОК путем интерполяции её
значений между В/Ц=0,46 и В/Ц=0,50.
Пример вычислений:
Ц=400 кг/м3.
В/Ц3 = 0.48
r = 0.26
По таблице П.8, стр.148 [1]:
) для В/Ц1 = 0.46, ОК1 = 4.5 см;
) для В/Ц2 = 0.50, ОК2 = 6 см.
Путем интерполяции определим ОК для В/Ц = 0.48:
Результаты определения заносим в
табл. 7.
Таблица 7 Результаты определения
подвижности бетонной смеси в зависимости от r
|
r
|
0,26
|
0,28
|
0,3
|
0,32
|
0,36
|
0,41
|
0,46
|
|
ОК,
см
|
5,25
|
6,75
|
7,85
|
8
|
5,5
|
4,5
|
3,5
|
По данным табл. 7 строим график зависимости
ОК=f(r) (рис.3), по
которому определяем rопт, как
значение, соответствующее наибольшей осадке конуса. Результат округляем до
сотых долей и получаем rопт=0,32.
Данное значение является предварительным и должно быть уточнено при фактическом
расходе цемента.
r
Рис. 3 ОК в бетонной смеси в зависимости от r
при Ц=const
и
В/Ц = const
Из графика видно, что для наибольшей осадке
конуса, ОК =8 см, соответствует rопт
= 0,32. 3.3 Определение количества цемента
Опыт состоит в затворении 4-5 бетонных смесей,
отличающихся расходом цемента. Смеси должны иметь одинаковые В/Ц и r,
найденные выше. Определяют ОК каждой смеси и по данным опыта строят график ОК =
f(Ц). По ОК = 4 см
находим необходимый расход цемента. Результаты экспериментального определения
осадки конуса бетонной смеси в зависимости от расхода цемента определяем по табл.
П.6, стр.146 [1].
Водоцементное отношение: В/Ц = 0,48;
Доля песка: rопт
= 0,32;
Результаты экспериментального определения осадки
конуса бетонной смеси в зависимости от расхода цемента
Таблица 8
|
ОК
|
0,5
|
1,5
|
2,5
|
4,5
|
7
|
10
|
12,5
|
15
|
17
|
|
Ц
|
120
|
170
|
220
|
270
|
320
|
370
|
420
|
470
|
520
|
По данным табл. 8 строим график зависимости
ОК=f(Ц) (рис.4), по которому определяем Ц, как значение, соответствующее осадке
конуса ОК = 4 см.
Рис.4 Ц, кг/ м3
Из графика видно, что при ОК = 4 см, Ц = 250
кг/м3.
3.4 Уточнение параметров оптимальной
доли песка и цемента
При определении rопт
был предварительно принят Ц=400 кг/м3 , однако, фактически получено 250 кг/м3.
Для уточнения rопт повторяем
испытания бетонных смесей с Ц= 250 кг/м3.
Интерполируя значения В/Ц из табл. П8, стр.148
[1], выпишем соответствующие значения ОК. Значения r,
отвечающие данным ОК получим интерполяцией строк для Ц=200 и Ц=300 кг/м3 (табл.9).
Результаты определения заносим в табл. 7.
Уточненные результаты определения подвижности
бетонной смеси в зависимости от r
Таблица 9
|
r
|
0,3
|
0,32
|
0,34
|
0,36
|
0,38
|
0,42
|
0,47
|
|
ОК,
см
|
-
|
-
|
2
|
3
|
3,38
|
2,34
|
0,63
|

Из графика видно, что для наибольшей осадке
конуса, ОК =3.4 см, соответствует rопт
= 0,38.
Учитываем теперь значение Ц при rопт
= 0,38. Для этого готовим и испытываем на подвижность несколько бетонных смесей
с уточненным значением rопт,
прежним В/Ц = 0,48 и различным расходом цемента.
Результаты экспериментального определения осадки
конуса бетонной смеси в зависимости от расхода цемента определяем по табл. П.6,
стр.146 [1].
Водоцементное отношение: В/Ц = 0.48;
Доля песка: rопт
= 0.38; Результаты заносим в табл.10.
Уточненные результаты экспериментального
определения осадки конуса бетонной смеси в зависимости от расхода цемента
Таблица 10
|
ОК
|
0,5
|
1,5
|
2,5
|
4,5
|
7,0
|
10,0
|
12,5
|
15,0
|
17,0
|
|
Ц
|
80
|
130
|
180
|
230
|
280
|
330
|
380
|
430
|
480
|
По данным табл. 10 строим график зависимости
ОК=f(Ц) (рис.6), по которому определяем Ц, как значение, соответствующее осадке
конуса ОК = 4 см.
Рис.6 Ц, кг/м3
Из графика видно, что при ОК = 4 см, Ц = 220
кг/м3
3.5 Запроектированный состав бетона I
зоны методом абсолютных объемов
Запроектированный состав бетона характеризуется
следующими параметрами: Расход цемента Ц = 220 кг/м3; Доля песка в смеси
заполнителя rопт = 0.38;
Водоцементное отношение В/Ц = 0.48.
Подсчитаем расход материалов на 1 м3 бетона
методом абсолютных объёмов при γц=3,15
г/см3, γп=2,68
г/см3,
γкр=2,85г/см3.
Принимаем объём тщательно уплотнённой смеси равным сумме абсолютных объёмов
составляющих её материалов.
Решаем систему:
В = В/Ц*Ц = 0,48*220 = 105,6 кг/м3
П + Кр =872+1423= 2091 кг
Т.о. для приготовления 1 м3 бетона
необходимо взять:
Цемент - 220 кг; Вода - 105,6 кг;
Песок - 872 кг;
Крупный заполнитель - 1423 кг.
Итого: 220 + 105.6 + 872 + 1423 =
2620,6 кг.
4. Определение состава бетона II
и III
зоны
.1 Определение оптимального
зернового состава заполнителей
Заполнители рассеиваем на
четыре фракции: 0-5; 5-10; 10-20; 20-40 мм. Зерновой состав заполнителей
определяем по кривой просеивания. Нам дан непромытый доломитовый гравий,
фракционированный с Dнаиб = 40
мм. Данные для построения оптимальной кривой просеивания берем из таблицы П.11,
стр.149 [1].
Таблица 11 Данные для построения оптимальной
кривой просеивания
|
Вид
заполнителя
|
Dнаиб, мм
|
Проходы,
%, на ситах с отверстием, мм
|
|
|
1,25
|
2,5
|
5
|
10
|
20
|
40
|
|
Гравий
|
40
|
22
|
30
|
40
|
54
|
73
|
100
|
Строим оптимальную кривую
просеивания (см. рис. 7) и по ней определяем содержание каждой фракции, %: %
Рис.7 D, мм
0 - 5 мм - 40%
- 10 мм - 14%
- 20 мм - 19%
- 40 мм - 27%
Итого: 100%
Из графика видно, что доля песка r
= 0,40.
4.2 Определение водопотребности
бетонной смеси
Зная ЗСопт можно использовать следующий прием.
Определяем водопотребность бетонной смеси Вп, т.е. количество воды, необходимое
для получения заданной ОК. Зависимость ОК=f(В) получаем из опытных данных,
учитывая то, что В=(В/Ц)·Ц. Берем В/Ц и Ц, соответствующие выбранному значению
ОК и перемножаем их. Значения Ц берем из строки, отвечающей нашему r.
Результаты экспериментального определения осадки конуса бетонной смеси в
зависимости от расхода цемента при постоянных r
= 0,40 и В/Ц берем из табл. П.6, стр.146 [1].
Пример вычислений:
Ц=210 кг/м3 ; В/Ц = 0.40
r = 0.4
По таблице П.6, стр.146 [1]:
) для Ц=210 кг/м3
ОК = 1.5 см;
Результаты заносим в табл.12.
Таблица 12 Подвижность бетонной смеси в
зависимости от расхода воды
|
В,
кг/м3
|
24
|
44
|
64
|
84
|
104
|
124
|
144
|
164
|
|
ОК,
см
|
0
|
0
|
0.5
|
1.5
|
3
|
5
|
7,5
|
10
|
По данным табл. 12 строим график зависимости
ОК=f(В) (рис.8), по которому определяем водопотребность бетонных смесей II
и III зон, согласно
заданным ОК:
ОКII
= 3 см; ОК III = 1 см.
Рис.8 В, кг/м3
Вывод: водопотребность ВпII=104
кг/м3; ВпIII=76 кг/м3
4.3 Определение водоцементного
отношения
Принятое В/Ц должно обеспечить одновременно
прочность, водонепроницаемость и морозостойкость бетона не ниже заданных
значений. Зависимости этих свойств от В/Ц удобно получить при В=Вп=const
(и при ЗС=const). В этом
случае все бетонные смеси будут иметь заданную осадку конуса. Для получения
этих зависимостей из бетонных смесей готовим 3 серии образцов: кубы на прочность,
цилиндры на водонепроницаемость и кубы на морозостойкость и испытываем их в
соответствующем возрасте.
Результаты испытаний на сжатие бетона с
различным водоцементым отношением и с постоянными значениями расхода цемента и
доли песка (Ц=250 кг/м3 и r=0,35)
приведены в таблице П.7, стр.147 [1]. Пример вычислений по табл.13:
Марка цемента:
) для бетона II зоны, 400;
) для бетона III зоны, 500. В/Ц = 0.51
По таблице П.7, стр.147 [1]:
) для бетона II зоны, R180 = 1.4* R28 = 1.4*
25.6 = 35.84 МПа;
) для бетона III
зоны, R180 = 1.4* R28 = 1.4* 32.7 = 45.78 МПа;
Результаты определения заносим в табл. 13.
Таблица 13 Предел прочности бетона II
и III зоны на сжатие в
возрасте 180 суток
|
В/Ц
|
0,51
|
0,52
|
0,54
|
0,56
|
0,59
|
0,6
|
0,62
|
0,64
|
0,65
|
|
R180,
МПа
|
II
|
35,84
|
34,86
|
32,9
|
30,38
|
27,58
|
26,88
|
24,64
|
23,38
|
22,54
|
|
III
|
45,78
|
44,94
|
41,3
|
39,48
|
35,84
|
34,72
|
32,9
|
30,38
|
29,54
|
По данным табл. 13 строим график зависимости
предела прочности бетона II
и III зон на сжатие от R180
в возрасте 180 суток от водоцементного отношения R180=f(В/Ц)
(рис.9 и рис.10 для бетона II
и III зон
соответственно).
Для бетона II
зоны:
)класс бетона по прочности В15
При экспериментальном определении зависимостей,
связывающих прочность бетона с величиной водоцементного отношения, необходимо
приготовить несколько образцов - кубов из бетонной смеси с разными значениями
водоцементного отношения, но постоянными Ц и r.
Их выдерживают 180 дней, испытывают на сжатие и строят график зависимости R180
от В/Ц.
Марка ШПЦ 400.
Прочность бетона: R180
= (В/0,78)*1,4 = (15/0,78)*1,4 = 26,9 МПа. R180,
МПа
Рис.9 Зависимость
предела прочности бетона II
зоны на сжатие от R180 в
возрасте 180 суток от водоцементного отношения
Для бетона III
зоны:
)класс бетона по прочности В20.
При экспериментальном определении зависимостей, связывающих
прочность бетона с величиной водоцементного отношения, необходимо приготовить
несколько образцов - кубы из бетонной смеси с разными значениями водоцементного
отношения, но постоянными Ц и r.
Их выдерживают 180 дней, испытывают на сжатие и строят график зависимости R180
от В/Ц.
Марка ПЦ 500;
Прочность бетона: R180
= (В/0,78)*1,4 = (20/0,78)*1,4 = 35,9 МПа. R180,
МПа
Рис.10 Зависимость
предела прочности бетона III
зоны на сжатие от R180 в
возрасте 180 суток
По графику на рис.10 по прочности, В/Ц = 0,588.
Водонепроницаемость бетона на портландцементе в
зависимости от В/Ц принимаем по табл. П.9, стр.148 [1]. Так как для бетона II
зоны используем шлакопортландцемент, то в соответствии с примечанием к
вышеуказанной таблице водонепроницаемость бетона на ШПЦ принимаем на 15% ниже,
чем бетона на портландцементе.
Пример вычислений по табл.14:
Водопотребность бетонной смеси:
) II зоны, 104 кг/м3;
) III зоны, 76 кг/м3. В/Ц = 0.50
Для бетона II зоны по таблице П.9, стр.148 [1]:
Так как в таблице нет нужной нам
водопотребности (Вп3 =104 кг/м3), то определим значение водонепроницаемости
путем интерполяции её значений между Вп1=100 кг/м3 и Вп2=150 кг/м3 (
= 2.22 МПа и
= 3,21 МПа)
Путем интерполяции определим W3 для Вп3
=104 кг/м3:
Так как для бетона II зоны
используем шлакопортландцемент, то в соответствии с примечанием к таблице П.9,
стр.148 [1] водонепроницаемость бетона на ШПЦ принимаем на 15% ниже, чем бетона
на портландцементе.
Тогда,
Результаты определения заносим в
табл. 14.
Для бетона III зоны по таблице П.9,
стр.148 [1]:
Так как в таблице нет нужной нам
водопотребности (Вп3 =76 кг/м3), то определим значение водонепроницаемости
путем интерполяции её значений между Вп1=50 кг/м3 и Вп2=100 кг/м3 (
= 1.6 МПа и
= 2.22 МПа)
Путем интерполяции определим W3 для Вп3
=76 кг/м3:
Результаты определения заносим в
табл. 14.
Результаты испытаний бетона II и III зоны на
водонепроницаемость
Таблица 14
|
В/Ц
|
0,50
|
0,55
|
0,60
|
0,65
|
0,70
|
0,75
|
0,80
|
0,90
|
|
W, МПа
|
II
|
1,96
|
1,35
|
0,94
|
0,68
|
0,51
|
0,41
|
0,33
|
0,27
|
|
III
|
1,92
|
1,29
|
0,88
|
0,62
|
0,45
|
0,36
|
0,28
|
0,22
|
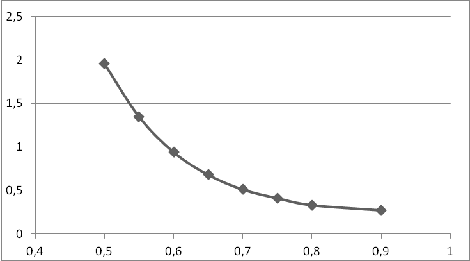
По данным табл. 14 строим график зависимости
водонепроницаемости бетона II
и III зон от
водоцементного отношения W=f(В/Ц)
(рис.11 и рис.12 для бетона II
и III зон соответственно).
Для бетона II
зоны:
)Класс бетона по водонепроницаемости W12.
Число в марке обозначает наибольшее давление
воды (в кгс/см2), которое выдерживают бетонные образцы. Следовательно,
водонепроницаемость бетона II зоны будет составлять, W
= 1.2 МПа.
При экспериментальном определении зависимостей,
связывающих водонепроницаемость бетона с величиной водоцементного отношения,
готовят несколько бетонных цилиндров с разными значениями водоцементного
отношения, но с постоянными Ц и r.
Далее их выдерживают в стандартных условиях (при температуре 20оС) в течении
180 дней, испытывают на водонепроницаемости и строят график зависимости W
от В/Ц.
Рис.11 Зависимость
водонепроницаемости бетона II
зоны от В/Ц
По графику на рис.11 по водонепроницаемости, В/Ц
= 0,57.
Для бетона III
зоны:
)класс бетона по водонепроницаемости W14.
Число в марке обозначает наибольшее давление
воды (в кгс/см2), которое выдерживают бетонные образцы. Следовательно,
водонепроницаемость бетона II зоны будет составлять, W
= 1.4 МПа.
При экспериментальном определении зависимостей,
связывающих водонепроницаемость бетона с величиной водоцементного отношения,
готовят несколько бетонных цилиндров с разными значениями водоцементного
отношения, но с постоянными Ц и r.
Далее их выдерживают в стандартных условиях (при температуре 20оС) в течении
180 дней, испытывают на водонепроницаемости и строят график зависимости W
от В/Ц.
Рис.12 Зависимость
водонепроницаемости бетона III
зоны от В/Ц
бетон гидроизоляция заполнитель
материал
По графику на рис.12 по водонепроницаемости, В/Ц
= 0,54
Результаты испытаний бетона III
зоны на морозостойкость в зависимости от водоцементного соотношения берем из
табл. П.10, стр.149 [1]. Для бетона III
зоны используем портландцемент (см. табл.15).
Таблица 15 Результаты испытаний бетона III
зоны на морозостойкость
|
В/Ц
|
0,40
|
0,50
|
0,55
|
0,60
|
0,65
|
0,70
|
0,75
|
0,80
|
0,90
|
|
F, циклы
|
675
|
390
|
285
|
220
|
170
|
145
|
120
|
105
|
90
|
По данным табл. 15 строим график зависимости морозостойкости
бетона III зоны от
водоцементного отношения F=f(В/Ц)
(см. рис.13).
Для бетона III
зоны:
) класс бетона по морозостойкости F200
При экспериментальном определении зависимостей,
связывающих морозостойкость бетона с величиной водоцементного отношения готовят
образцы - кубы с разными значениям В/Ц, но постоянными Ц и r.
Их выдерживают 28 или 180 дней, а затем испытывают на морозостойкость. По
данным испытаний строят график зависимости F
от В/Ц. F, циклы
Рис.13 Зависимость
морозостойкости бетона III
зоны от В/Ц
По графику на рис.13 по морозостойкости, В/Ц =
0.62.
Для бетонов II
и III зоны мы должны
выбрать наименьшее В/Ц из полученных В/Ц, определенных в зависимости от класса
бетона по прочности, по водонепроницаемости и по морозостойкости.
Результаты определения В/Ц для бетонов II
и III зоны представлены
в таблице 16
Таблица16 Результаты определения В/Ц для бетона II
и III зоны
|
Заданные
классы или марки бетона
|
В/Ц
для бетона зоны
|
|
II
|
III
|
|
По
прочности
|
0,60
|
0,588
|
|
По
водонепроницаемости
|
0,57
|
0,54
|
|
По
морозостойкости
|
-
|
0,62
|
|
Окончательно
принимаем
|
0,57
|
0,54
|
4.4 Расчет состава бетона II и III
зоны
Подсчитаем расход материалов на 1 м3 бетона II
зоны методом, когда известна объёмная масса бетона γб=2400кг/м3.
Ц = 182,5 кг/м3
В = В/Ц*Ц = 104кг/м3.
Т = 182,5+104 = 286,5 кг/м3
З = γб
- Т = 2400 - 286,5 = 2113,5 кг/м3
П = r*З
= 0,4*2113,5 = 845,4 кг/м3
Кр = (1-r)*З
= 0,6*2113,5 = 1268,1кг/м3
Подсчитаем расход материалов на 1 м3 бетона III
зоны методом, когда известна объёмная масса бетона γб=2400кг/м3.
Ц = 141 кг/м3
В = В/Ц*Ц = 76кг/м3.
Т = 141+76 = 217 кг/м3
З = γб
- Т = 2400 - 217 = 2183 кг/м3
П = r*З
= 0,4*2183= 873,2 кг/м3
Кр = (1-r)*З
= 0,6*2183= 1309,8 кг/м3
Расходы фракций заполнителя (табл.18) вычисляем
исходя из содержания фракций заполнителя (табл.17) следующим образом:
)для бетона II
зоны:
З = 2113,5 кг/м3
Расходы фракций заполнителя, Р:
-5 мм, Р = 0.4*2113.5 = 845.4 кг;
-10 мм, Р = 0.14*2113.5 = 295.9 кг;
-20 мм, Р=0.19*2113.5=401.55 кг;
-40 мм, Р =0.27*2113.5=570.65 кг;
)для бетона III
зоны:
З = 2183 кг/м3
Расходы фракций заполнителя, Р:
-5 мм, Р = 0.4*2183 = 873.2 кг;
-10 мм, Р = 0.14*2183 = 305.62 кг;
-20 мм, Р=0.19*2183 = 414.77 кг;
-40 мм, Р=0.27*2183 = 589.41 кг;
Таким образом, запроектированные составы бетона
характеризуются следующими параметрами (табл. 17).
Таблица17 Результаты проектирования составов
бетонов II и III
зон
|
Параметры
состава бетона
|
Номер
зоны
|
|
II
|
III
|
|
Расход
цемента Ц, кг/м3
|
182,5
|
141
|
|
Водоцементное
отношение В/Ц
|
0,57
|
0,54
|
|
Содержание
фракций заполнителя, %
|
|
|
0-5
мм
|
40
|
|
5-10
мм
|
14
|
|
10-20
мм
|
19
|
|
20-40
мм
|
27
|
Расходы материалов рассчитываем по объемной
массе бетона, принимая gб=2400 кг/м3 (табл. 18)
Таблица18 Расходы материалов в бетонах II
и III зон
|
Показатели
состава бетона
|
Номер
зоны
|
|
II
|
III
|
|
Расход
цемента Ц, кг/м3
|
182,5
|
141
|
|
Расход
воды Ц, кг/м3
|
104
|
76
|
|
Расходы
фракций заполнителя, кг
|
|
|
|
0-5
мм
|
845,4
|
873,2
|
|
5-10
мм
|
295,9
|
305,62
|
|
10-20
мм
|
401,55
|
414,77
|
|
20-40
мм
|
589,41
|
|
Всего
|
2400
|
2400
|
|
|
|
|
5. Расчет
тепловыделения и термической трещиностойкости бетона I
зоны
Дано: 1. Состав бетона: Ц=220 кг/м3; В=105,6
кг/м3; П=872 кг/м3; Кр=1423 кг/м3.
. Вид цемента: портландцемент марки 550.
Химический состав:
|
Окислы,
|
SiO2
|
Al2O3
|
Fe2O3
|
CaO
|
MgO
|
SO3
|
Проч.
|
|
Содержание,
%
|
21,3
|
4,9
|
5,3
|
64,9
|
0
|
2,1
|
1,5
|
3. Вид заполнителей: песок из
отсева гранита; промытый гравий доломитовый.
. Температура наружного
воздуха: text=17,7 °С.
Принимаем: Начальные условия -
начальная температура бетона равна температуре наружного воздуха (to=
text=17,7 °С).
Граничные условия - температура
поверхности бетона постоянна и равна температуре наружного воздуха (tn=
text=17,7 °С).
Определить: 1. Тепловыделение
бетона. 2. Температурную деформацию. 3. Термическую трещиностойкость бетона.
Решение: 1. Минералогический
состав портландцемента:
Исходя из химического состава
портландцемента, вычисляем его минералогический состав, пользуясь расчетными
формулами, согласно которым процентное содержание минералов равно:
а) трехкальциевого силиката
C3S=4,07C+7,6S-6,72A-1,42F
= 61,81%;
б) двухкальциевого силиката
C2S=8,6S+5,07A+l,07F-3,07C
= 14,45%;
в) трехкальциевого алюмината
С3А=2,65(А-0,64F)
= 4,0%;
г) четырехкальциевого
алюмоферрита
C4AF=3,04F
= 16,11%;
д) сульфата кальция
CaSO4=1,7SO3
= 3,57%;
е) периклаза
MgO=MgO
= 0,0%
Итого: 99,94 %
. По найденному
минералогическому составу определяем удельное тепловыделение портландцемента в
изотермическом режиме при 20 °С, используя формулу:
q = а∙C3S
+ b∙C2S + с∙С3А
+ d∙C4AF,
где C3S, C2S, C3A, C4AF -
процентное содержание в цементе клинкерных минералов. Коэффициенты а, b, с и d
выражают количество теплоты в кДж, выделяемой в одном кг цемента каждым из
минералов в расчете на 1 % минерала. Значения этих коэффициентов для температуры
изотермического твердения портландцемента 20° С указаны в табл. 19.
Таблица 19 Данные для расчета
удельного тепловыделения портландцемента при 20 °С
|
Продолжительность
твердения, сут
|
Доля
минералов в тепловыделении, кДж/(кг∙%)
|
|
а
|
b
|
с
|
d
|
|
3
|
3,89
|
0,67
|
6,35
|
-0,50
|
|
7
|
4,58
|
0,97
|
8,66
|
-1,73
|
|
28
|
4,78
|
0,64
|
9,63
|
0,59
|
|
90
|
4,95
|
0,97
|
10,29
|
1,39
|
|
180
|
5,11
|
1,86
|
10,29
|
1,60
|
|
360
|
5,31
|
2,23
|
10,57
|
1,68
|
Удельное тепловыделение
шлакопортландцемента можно принять на 15 % меньше, чем портландцемента.
Значения q вычисляем для всех сроков твердения, указанных в табл. 19.
Результаты вычислений удельного тепловыделения портландцемента q
и тепловыделения бетона Q
в изотермическом режиме при 20 °С, повышения температуры tад-to
и сроков τад выделения
данного количества тепла в адиабатическом режиме приведены в табл. 20 Находим
тепловыделение бетона Q=qЦ
при температуре 20 °С для каждого срока твердения.
В реальных блоках бетонирования
температура не остается постоянной, она повышается при твердении бетона,
особенно внутри крупных блоков, для которых более подходит адиабатический режим
твердения (без теплообмена с окружающей средой). Переход к тепловыделению в
адиабатическом режиме осуществляется путем расчета новых сроков τад
для данных значений тепловыделения Q.
Поскольку температура в адиабатическом режиме постоянно растет, то те же
значения тепловыделения достигаются в более короткие сроки (τад<τ).
По полученным выше значениям Q
вычислим Qmax и
коэффициент темпа At
при t=20 °С, который
обозначим A20.
Порядок реакции т для
портландцемента составляет 2,0-2,3. Примем т=2. Для нахождения Qmax
и A20 можно составить
систему двух уравнений, подставив в уравнение И.Д.Запорожца сопряженные
значения τ и Q
для любых двух сроков твердения. При т=2 уравнение И.Д.Запорожца приводится к
линейному виду τ/Q=aτ+b,
где a=1/Qmax
и b=1/(QmaxA20).
Пример вычисления,
q
= 3,89∙6,81 + 0,67∙14,45 + 6,35∙4 - 0,5∙16,11 = 267,5
кДж/кг;
τ/q
= 3/267,5 = 0,0112;
τ2 = 32 = 9;
(τ/q)
τ = 9/267,5 = 0,03364;
Q=qЦ
= 267,5*220 = 58850 кДж/м3
Таблица 20 Результаты расчета
изометрического тепловыделения цемента
|
τ,
сут.
|
q, кДж/кг
|
τ/q
|
(τ/q) τ
|
τ2
|
а
|
b
|
qmax, кДж/кг
|
А20
|
|
3 7 28 90 180 360
|
267,5
303,9 352,7 383,5 409,7 429,8
|
0,0112
0,02303 0,0794 0,2347 0,4393 0,8376
|
0,03364
0,16124 2,2229 21,1213 79,0823 301,5356
|
9
49 784 8100 32400 129600
|
|
|
|
|
|
Сумма
668
|
-
|
Сумма
1,62523
|
Сумма
705,6926
|
Сумма
170942
|
0,00227
|
0,00266
|
440
|
0,853
|
. При адиабатическом
тепловыделении Qmax
является тем же, что и при любом другом режиме тепловыделения, а At
становится функцией температуры. Для нахождения At
воспользуемся температурной функцией ft,
равной отношению скоростей тепловыделения (или коэффициентов А1 и А2) или
сроков изотермического твердения бетона τ2 и
τ1, взятых в моменты
равных тепловыделений (Q1=Q2)
при двух различных температурах t1>t2:
ft=А1/А2=τ2/τ1.
Это отношение остается постоянным на протяжении всего процесса твердения
бетона.
At=A20∙ft=
A20∙2(t-20)/ε.
То количество выделяемой
теплоты, которое в изотермическом режиме полностью рассеивается в среду, в
адиабатическом режиме идет на повышение температуры бетона:
Δtад=
tад-to=Q/cγб,
где tад
- текущая температура бетона в адиабатическом процессе; tо
- начальная температура бетона; с и γб
- удельная теплоемкость и объемная масса бетона. Удельную теплоемкость бетона с
можно рассчитать по правилу аддитивности:
с=(сцЦ+свВ+спП+скрКр)/γб,
где сц, св, сп, скр - удельные
теплоемкости, соответственно, цемента, воды, песка и крупного заполнителя; Ц,
В, П, Кр - расходы материалов в кг/м3. Такое же количество теплоты, что и в
изотермическом процессе, в адиабатическом режиме будет выделено за более
короткие сроки, которые можно рассчитать как
τад=χ/[(1-χ)At],
где χ
=
Q/Qmax.
Повышение температуры бетона в
адиабатическом режиме Δtад,
температурную функцию ft,
коэффициент темпа тепловыделения At
вычисляем для каждого срока твердения.
С = (сцЦ+свВ+спП+скрКр)/γб
С =
(0,81*220+4,18*105,6+0,73*872+0,84*1423)/2400=1,0215кДж/м3 0С
Δtад=
tад-to=Q/cγб=58850/2451,5=24,0°С;
ε=kt+l=0,13*(24+17,7)+8=13,421°С=A20∙ft=0,853*3,07=2,62
χ
= Q/Qmax=267,5/440=0,608
τад=χ/[(1-χ)At]=0,608/[(1-0,608)2,62]=0,59
сут.
Таблица 21 Результаты расчета
адиабатического тепловыделения бетона
|
Изотермический
режим при 20 °С
|
Адиабатический
режим
|
|
τ,
сут.
|
q, кДж/кг
|
qmax, кДж/кг
|
А20
|
Q, кДж/м3
|
tад-to, °С
|
ft
|
Аt
|
τад, сут.
|
Q, кДж/м3
|
|
3
|
267,5
|
|
|
58850
|
24,0
|
3,07
|
2,62
|
0,59
|
58850
|
|
7
|
303,9
|
|
|
66858
|
27,3
|
3,49
|
2,98
|
0,75
|
66858
|
|
28
|
352,7
|
440
|
0,853
|
77594
|
31,7
|
4,11
|
3,5
|
1,15
|
77594
|
|
90
|
383,5
|
|
|
84370
|
34,4
|
4,51
|
3,85
|
1,76
|
84370
|
|
180
|
409,7
|
|
|
90134
|
36,8
|
4,88
|
4,16
|
3,24
|
90134
|
|
360
|
429,8
|
|
|
94556
|
38,6
|
5,17
|
4,41
|
9,56
|
94556
|
. Рассчитаем бетонный массив в
виде свободно стоящей стенки толщиной δ=5, высотой
h=10 и длиной l=25
м.
. Для прямоугольных тел
характеристика формы рассчитывается по формуле:
где S - площадь
поверхности теплообмена; V - объем остывающего массива; P - суммарная
длина ребер внутри поверхности теплообмена. При определении Ф учитываются
только те грани и ребра, через которые происходит теплообмен бетонного блока с
окружающей средой.
Для параллепипедного блока,
опирающегося одной гранью на бетонное основание, в теплообмене с воздухом
участвуют 5 граней и 8 ребер.
Характеристика формы массива
составляет Ф=0,0441 м-2.
. Расчет температурного поля в
бетонном массиве с учетом теплопотерь в окружающую среду производим в следующей
последовательности:
) задаемся размерами бетонного
массива;
) вычисляем характеристику формы по
формуле :
) вычисляем функцию остывания по
формуле:
где k=λ/cγб -
коэффициент температуропроводности
Для каждого из сроков твердения τад и для
ряда точек по толщине стенки (по оси x), принимая
для x значения:
0,125δ,
0, 25δ, 0,375δ и
0,5δ.
С
учетом того, что при x=0 и x=δ функция
остывания u=0, а также
того, что в силу симметрии граничных условий u одинакова
для пар значений x, составляющих 0,125δ и 0,875δ,
0,25δ и
0,75δ,
0,375δ и
0,625δ,
будем
иметь 9 расчетных точек для построения графика θ=f(x) (рис. 15);
) λ, коэффициент
внутренней теплопроводности бетона принимаем в расчетах равным 1,5 Вт/(м·°С);
) температуру поверхности бетона tn (при x=0 и x=δ), как и
начальную температуру to, принимаем равной
температуре наружного воздуха: tn=to=text;
) перепад температуры внутри бетонного
блока θ=t-tn получаем из
формулы u=Δt/Δtад с учетом
того, что tn=to. Пример
расчета,
θ = 0,3775*24,0 = 9,06 °С
Результаты расчета функции остывания
u и
температурного перепада θ
в
зависимости от времени τ
и
координаты x приведены в
табл. 22.
Таблица 22 Результаты расчета
температурного перепада в массиве с Ф=0,0441 м-2
|
τад, сут
|
Функция
остывания u в точках
с координатой x/δ
|
Температурный
перепад θ,
°С,
при значениях x/δ
|
|
0,125
|
0,25
|
0,375
|
0,5
|
0,125
|
0,25
|
0,375
|
0,5
|
|
0,59
|
0,377523327
|
0,697572
|
0,911422
|
0,986516
|
9,06056
|
16,74173161
|
21,87413
|
23,67638
|
|
0,75
|
0,376136009
|
0,695009
|
0,908073
|
0,982891
|
10,26851
|
18,97373807
|
24,79038
|
26,83292
|
|
1,15
|
0,372689977
|
0,688641
|
0,899753
|
0,973886
|
11,81427
|
21,8299287
|
28,52218
|
30,87218
|
|
1,76
|
0,367495465
|
0,679043
|
0,887213
|
0,960312
|
12,64184
|
23,35908189
|
30,52011
|
33,03473
|
|
3,24
|
0,355191324
|
0,656308
|
0,857508
|
0,92816
|
13,07104
|
24,15213397
|
31,55628
|
34,15628
|
|
9,56
|
0,307118943
|
0,567482
|
0,741451
|
0,80254
|
11,85479
|
21,90479793
|
28,62
|
30,97806
|
. Зависимости температурного
перепада θ от времени и
координат по данным табл. 22, показаны на рис. 14 и 15. Из приведенных графиков
видно, что наибольшие значения θ наблюдаются
при τ=9,56
сут. (кривая 5 на рис. 15).
. Средняя по толщине
температура в момент времени τ=3.24 сут.
составляет:
tср=0,125(9.06+16.74+21.87+23.68+21.87+16.74+9.06)=21.46
°С.
. Температурная деформация в
вертикальном направлении в среднем равна
εt=βtср=1,2∙10-5∙20.48=25.75∙10-5.
. Рассчитаем
предельно-допустимую деформацию εпред,
для нашего бетона класса В35, для которого можно принять εпл+εпз=3∙10-5,
Е=32,6 ГПа, а предел прочности при растяжении получить как Rр=(1/17)·35/0,78=2,64
МПа.
Тогда,
εпред=2,64/32600+3∙10-5=11,1∙10-5.
Рис.14 Изменение температурного
перепада Ө в точках с координатой x/δ:
1 - 0,125; 2 - 0,25; 3 - 0,375;
4 - 0,5.
Рис.15 Распределение
температурного перепада Ө по толщине стенки в моменты времени: 1 - 0,59;
2 - 0,75; 3 - 1,15; 4 - 1,76; 5 - 3,24; 6 - 9,56.
. Поскольку εt>εпред
необходимо бетонирование стенки вести блоками небольших размеров. Разрезаем
стенку по длине на 20 секций по 1,25 м. Бетонирование секций производим слоями
толщиной не более 2,5 м. Таким образом, размеры блоков бетонирования составляют
δ=1,25
м,
h=2,5 м и l=5
м.
Характеристика формы блока
составляет:
. Результаты повторного расчета
приведены в табл. 23
Таблица 23 Температурный
перепад в блоках бетонирования с Ф=0.72 м-2
|
τад, сут
|
Функция
остывания u в точках
с координатой x/δ
|
Температурный
перепад θ,
°С,
при значениях x/δ
|
|
0,125
|
0,25
|
0,375
|
0,5
|
0,125
|
0,25
|
0,375
|
0,5
|
|
0,59
|
0,306605953
|
0,566534
|
0,740212
|
0,8012
|
7,358543
|
13,59681431
|
17,76509
|
19,2288
|
|
0,75
|
0,288719706
|
0,533484
|
0,697031
|
0,754461
|
7,882048
|
14,56412559
|
19,02895
|
20,59678
|
|
1,15
|
0,248436862
|
0,459051
|
0,59978
|
0,649197
|
7,875449
|
14,55193141
|
19,01301
|
20,57954
|
|
1,76
|
0,197557689
|
0,365039
|
0,476946
|
0,516243
|
6,795985
|
12,557342
|
16,40696
|
17,75876
|
|
3,24
|
0,209351
|
0,273531
|
0,296068
|
4,169446
|
7,704130849
|
10,06593
|
10,89529
|
|
9,56
|
0,010546693
|
0,019488
|
0,025462
|
0,02756
|
0,407102
|
0,75222706
|
0,982832
|
1,06381
|
12. Зависимости температурного
перепада θ от времени и
координат по данным табл. 23, показаны на рис. 16 и 17. Из приведенных графиков
видно, что наибольшие значения θ наблюдаются
при τ=0.75
сут.
(кривая 2 на рис. 17).
Рис.16 Изменение температурного
перепада Ө в точках с координатой x/δ:
1 - 0,125; 2 - 0,25; 3 - 0,375;
4 - 0,5.
Рис.17 Распределение
температурного перепада Ө по толщине стенки в моменты времени: 1 - 0,59;
2 - 0,75; 3 - 1,15; 4 - 1,76; 5 - 3,24; 6 - 9,56.
. Средняя по толщине
температура в момент времени τ=0.75
сут. составляет:
tср=0,125(7,88+14,56+19,03+20,6+19.03+14.56+7.88)=6.45
°С.
. Температурная деформация в
вертикальном направлении в среднем равна
εt=βtср=1,2∙10-5∙10,6=7.74∙10-5