Управление оборотным капиталом организации
Содержание
Введение
1. Управление оборотным капиталом организации
1.1 Политика организации в области оборотного капитала
1.2 Методика управления запасами, дебиторской задолженностью и
денежными средствами
1.2.1 Управление вложениями в производственные запасы
1.2.2 Управление дебиторской задолженностью
1.2.3 Управление денежными средствами и их эквивалентами
1.3 Оценка эффективности использования оборотного капитала
2. Финансовое планирование производственно-финансовой деятельности
организации
2.1 Оценка и прогноз финансового состояния организации
2.1.1 Оценка стоимости организации
2.1.2 Оценка ликвидности и платежеспособности организации
2.1.3 Оценка финансовой устойчивости организации
2.1.4 Оценка рентабельности организации
2.1.5 Рейтинговая оценка финансового состояния организации
2.2 Оценка вероятности банкротства организации
2.2 Прогноз агрегированной бухгалтерской отчетности организации
2.3 Факторный анализ изменения рентабельности собственного капитала
организации
2.4 Прогноз основных финансовых показателей организации
3. Прогноз основных финансовых показателей компании
3.1 Определение оптимального объема закупки продукции дочерней
компании
3.2 Прогнозирование порога рентабельности и запаса финансовой
прочности дочерней компании
3.3 Прогнозирование операционного риска организации
3.4 Формирование политики управления денежной наличностью
организации
3.5 Формирование политики управления запасами материнской
организации
3.6 Формирование оптимальной инвестиционной программы организации
3.7 Управление структурой источников организации
Заключение
Список использованных источников
Приложение
Введение
Актуальность управления оборотным капиталом организации
заключается в том, что любому хозяйствующему субъекту для успешной работы
необходимо рационально использовать оборотные средства таким образом, чтобы
после покрытия всех издержек компания имела положительный результат.
Основные направления оборотного капитала на предприятии
требует специфических подходов к управлению им. Эффективное управление
оборотным капиталом предприятия, и заемными средствами позволяет решать задачи
технического и технологического обновления производства и повышению
конкурентоспособности предприятия, рентабельности его деятельности.
Процессы становления рыночных отношений в России существенно
изменили характеристики и условия управления оборотным капиталом предприятия,
что обусловило необходимость применения новых методов и подходов к управлению.
Цели курсовой работы: в выполнении теоретической части по
теме "Управление оборотным капиталом" и практической части,
посвященной финансовому планированию производственно-финансовой деятельности
предприятия.
Задачи курсовой работы:
. Изучить литературу по дисциплине "Финансовый
менеджмент".
. Выполнить теоретическую часть по теме "Управление
оборотным капиталом организации".
. На материалах организации выполнить расчеты финансового
планирования
Структура курсовой работы состоит из введения, теоретической
части, практической части, заключения, приложения. В ведении обосновывается
проблема по теме, цели и задачи и структура курсовой работы. В теоретической
части приводится сущность, история и значение выбранной темы; практическая
часть включает в себя финансовое планирование производственно-финансовой
деятельности организации. В заключении проводятся итоги проделанной работы,
даются общие выводы и рекомендации. В приложении приводится баланс, отчет о
прибылях и убытках и дополнительные данные.
1.
Управление оборотным капиталом организации
1.1
Политика организации в области оборотного капитала
Оборотные средства (Current Assets) - это активы
предприятия, возобновляемые с определенной регулярностью для обеспечения
текущей деятельности, вложения которые как минимум однократно оборачиваются в
течение года или одного производственного цикла, если последний превышает 12
месяцев. Оборотные активы представлены в балансе отдельным разделом.
Это понятие пришло в финансовую науку из трудов американского
ученого Юджина Бигхема. Он привел в пример действия мелкого торговца, который
нагружал свою повозку товарами, приобретенными в долг, затем ездил по городам и
селам, продавая их. Эти товары и стали называться оборотным капиталом. Торговец
превращал их в деньги, часть которых использовал для погашения ссуды, а на
другую приобретал новые товары, приносящие ему прибыль [10, c.319].
Оборотные средства и политика в отношении в управлении этими
активами важны, прежде всего, с позиции обеспечения непрерывности и
эффективности текущей деятельности предприятия. Поскольку во многих случаях
изменение оборотных активов сопровождается изменением краткосрочных
обязательств (пассивов), оба объекта учета рассматриваются, как правило,
совместно в рамках политики управления чистым оборотным капиталом, величина
которого рассчитывается как разность оборотного капитала (СА) и краткосрочных обязательств
(CL).
Управление чистым оборотным капиталом подразумеваем
оптимизацию его величины, а также соотношения и значений отдельных факторов его
изменения. Что касается общей величины чистого оборотного капитала, то обычно
разумный рост ее рассматривается как положительная тенденция. С позиции
факторного анализа принято выделить такие факторные компоненты чистого
оборотного капитала как производственные запасы (Inv), дебиторская
задолженность (AR), денежные средства (CE), краткосрочные пассивы. Анализ основывается на
следующей модели:
Одной из основных составляющих оборотного капитала являются
производственные запасы предприятия, которые в свою очередь включают сырье и
материалы, незавершенное производство, готовую продукцию и прочие запасы.
Дебиторская задолженность - это один важный компонент
оборотного капитала. Когда одно предприятие продает товары другому, это вовсе
не означает, что товары будут оплачены немедленно; как результат - образование
задолженности покупателей перед данным предприятием. Эти неоплаченные счета на
поставленную продукцию составляют большую часть дебиторской задолженности.
Специфический элемент дебиторской задолженности - векселя к получению,
являющиеся ценными бумагами. Одной из задач финансового менеджера по управлению
дебиторской задолженностью является определение риска неплатежеспособности
покупателей, расчет прогнозного значения резерва по сомнительным долгам, а
также предоставление рекомендаций по работе с фактически или потенциально неплатежеспособными
покупателями.
Денежные средства и их эквиваленты - наиболее ликвидная часть
оборотного капитала. К денежным средствам относятся деньги в кассе, на
расчетных и депозитных счетах. К эквивалентам денежных средств относятся
ликвидные краткосрочные финансовые вложения: ценные бумаги других предприятий,
государственные казначейские билеты, государственные облигации и ценные бумаги,
выпущенные местными органами власти.
Краткосрочные обязательства (пассивы) - это обязательства
предприятия перед своими поставщиками, работниками, банками; государством и
др., планируемые к погашению в течение ближайших 12 месяцев.
Оборотные средства могут быть охарактеризованы с разных
позиций, однако основными характеристиками являются их объем, структура и
ликвидность.
В процессе производства происходит постоянная трансформация
отдельных элементов оборотных средств. Предприятие покупает сырье и материалы,
производит продукцию, затем продает ее, в результате чего образуется
дебиторская задолженность, которая через некоторый промежуток времени
превращается в денежные средства. Этот кругооборот средств показан на рисунке
1.1.1.
Циркуляционная природа оборотных активов имеет ключевое
значение в управлении чистым оборотным капиталом. Объем и структура оборотных
средств в значительной степени определяются отраслевой принадлежностью. Прямой
связи между оборотными средствами и кредиторской задолженностью нет, однако
считается, что у нормально функционирующего предприятия должно быть превышение
оборотных активов над краткосрочными обязательствами.
Рисунок 1.1.1 - Кругооборот вложений в оборотные активы
управление оборотный капитал планирование
Величина оборотных средств определяется не только
потребностями производственного процесса, но и случайными факторами. Поэтому
принято подразделять оборотный капитал на постоянный и переменный.
Риск потери ликвидности или снижения эффективности
обусловленный изменениями в оборотных активах называют левосторонним, поскольку
эти активы размещены в левой части баланса. Подобный риск, обусловленный
изменениям в обязательствах, по аналогии называют правосторонним. Увеличение
оборотных активов в надлежащей структуре при прочих средств, снижает риск от
возможных сбоев в поставках сырья и полуфабрикатов, в погашение дебиторской
задолженности и др. с другой стороны, повышает риск потерь от омертвления
средств в излишних запасах. Точно также при прочих равных условиях увеличение
краткосрочных пассивов (обязательств), с одной стороны, способствует получению
дополнительных источников финансирования, то есть может рассматриваться как
благотворный фактор для осуществления текущей деятельности; с другой стороны,
уменьшает чистый оборотный капитал, повышает риск текущей неплатежеспособности.
Таким образом, краткосрочные активы и обязательства должны управляться не по
отдельности, а в комплексе и должна быть найдена "золотая середина" в
уровнях этих объектов управления.
Явления, несущие в себе левосторонний риск:
. Недостаточность денежных средств. Предприятие должно иметь
денежные средства для ведения текущей деятельности, на случай непредвиденных
расходов и на случай вероятных эффективных капиталовложений. Нехватка денежных
средств в нужный момент связана с риском прерывания производственного процесса
возможным невыполнением обязательств либо с потерей возможной прибыли.
. Недостаточность собственных кредитных возможностей. Этот
риск связан с тем, что при продаже собственной продукции отсрочкой платежа или
в кредит покупатели могут оплатить их в течении нескольких дней или месяцев, в
результате чего на предприятии образуется дебиторская задолженность.
. Недостаточность производственных запасов. Предприятие
должно располагать достаточным количеством сырья и материалов для производства;
готовой продукции должно хватать для выполнения всех заказов и т.д. неоптимальный
объем запасов связан с риском дополнительных издержек или остановки
производства.
. Излишний объем оборотных активов. Поскольку величина
активов напрямую связана с издержками финансирования, то поддержание излишних
активов сокращает доходы. Например, неходовые и залежалые товары.
Явления, несущие в себе правосторонний риск:
. Высокий уровень кредиторской задолженности. Когда
предприятие приобретает производственно-материальные запасы с отсрочкой
платежа, образуется кредиторская задолженность с определенным риском погашения.
. Неоптимальное сочетание между краткосрочными и
долгосрочными источниками заемных средств.
. Высокая доля долгосрочного заемного капитала. В стабильно
функционирующей экономики этот источник средств является дорогим.
Разработаны разные варианты воздействия на риск.
. Минимизация текущей кредиторской задолженности
сокращает возможность потери ликвидности.
. Минимизация совокупных издержек финансирования. В
этом случае ставка делается на преимущественно использование краткосрочной кредиторской
задолженности как источника покрытия оборотных активов.
3. Минимизация совокупной рыночной стоимости фирмы
включает управление оборотным капиталом в финансовую стратегию фирмы. Любые
решения в области управления оборотным капиталом, способствующие повышению
стоимости предприятия, следует принять целесообразным [5, c.667].
1.2
Методика управления запасами, дебиторской задолженностью и денежными средствами
1.2.1
Управление вложениями в производственные запасы
К производственным запасам относятся сырье и материалы,
включая малоценные и быстро изнашивающиеся предметы, незавершенное
производство, готовая продукция и товары для перепродажи.
Управление запасами имеет особое значение как в
технологическом, так в финансовом аспектах. Запасы - это иммобилизованные
средства, то есть средства, отвлеченные из оборота.
Все запасы финансируются только за счет собственных средств
(отсутствует кредиторская задолженность по товарным операциям); финансирование
осуществляется исключительно за счет кредиторов.
Алгоритмизация управления величиной запасов включает
следующее: оптимизация управления величиной запасов, оптимальный объем
заказываемой партии, оптимальное время для очередной партии заказов [8,
с.165.].
Оба компонента общих затрат, связанных с поддержание запасов,
изменяются обратно пропорционально друг другу, поэтому можно найти такую
величину среднего запаса, которой соответствует минимальный уровень этих
затрат. Представим в виде графика оптимальный уровень партии заказа
(рис.1.2.4).
Рисунок 1.2.4 - Модель оптимальной партии заказа
Одно из возможных представлений модели управления запасами.
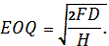
Обозначения: q
- размер заказываемой партии запасов, ед.; D - годовая потребность в
запасах, ед.; F
- затраты по размещению и выполнению одного заказа, руб.; H - затраты по хранению
единицы производственных запасов, руб.; Сс - затраты по хранению,
руб.; Со - затраты по размещению и выполнению заказа, руб.; Ct - общие затраты, руб.
Пусть предприятие придерживается следующей политики: по мере
исчерпания запасов поступает очередная партия сырья и материалов размером в q. В этих условиях средний
размер будет равен q/2, количество заказанных и полученных партий сырья и материалов
за год составит D/q,
а суммарные затраты по поддержанию запасов могут быть найдены по формуле:
График функции общих затрат имеет вид параболы; поэтому
дифференцируя по q и приравнивая к нулю первую производную, можно найти такое
значение q,
при котором функция достигает своего минимума, то есть суммарные затраты по
управлению запасами минимизируются. Соответствующая величина запаса носит
название оптимальной партии заказа, а формула расчета имеет вид:
В рамках этой теории разработаны схемы управления заказами,
позволяющие с помощью ряда параметров формализовать процедуру обновления
запасов; в частности, определить уровень запасов, при котором необходимо делать
очередной заказ. Одна из таких схем выражается следующей системой моделей:
где - средняя дневная потребность в сырье, ед.; 
- средняя продолжительность выполнения заказа, дн.; 
- наиболее вероятный минимальный уровень запасов (страховой
запас), ед.; 
- максимальный уровень запасов, ед.; 
- уровень запасов, при котором делается заказ, ед.; 
- минимальная дневная потребность в сырье, ед.; 
- максимальная дневная потребность в сырье, ед.; 
- максимальное число дней выполнения заказа; 
- минимальное число дней выполнения заказа.
Чем ниже оборачиваемость запасов, чем дольше денежные средства
омертвлены в запасах, чем меньше они дают отдачу.
При анализе недостач и потерь от порчи товарно-материальных
ценностей, не списанных с баланса в установленном порядке, необходимо изучить
их состав и причины образования, постараться установить конкретных виновников
для взыскания с них причиненного ущерба. Требуется также проверить условия
хранения ценностей, обеспечение их сохранности по количеству и качеству,
квалификацию материально ответственных лиц, запущен ли учет материально -
товарных ценности, соблюдаются ли правила проведения инвентаризации и выявления
их результатов.
1.2.2
Управление дебиторской задолженностью
В процессе финансово-хозяйственной деятельности у предприятия
постоянно возникает потребность в проведении расчетов со своими контрагентами,
бюджетом налоговыми органами. Отгружая продукцию или оказывая услуги,
предприятие, как правило, не получает деньги в оплату немедленно. Поэтому в
течении периода от момента отгрузки продукции до момента поступления платежа
средства предприятия омертвлены в виде дебиторской задолженности. Ее уровень
определяется многими факторами: видом продукции, емкостью рынка, степенью
насыщения рынком данной продукцией, условиями договора, принятой на предприятии
системой расчетов и др.
Управление дебиторской задолженностью предполагает, прежде
всего, контроль за оборачиваемость средств в расчетах. Ускорение оборачиваемости
в динамике рассматривается как положительная тенденция. Большое значение имеет
отбор потенциальных покупателей и определение условия оплаты товаров,
предусматриваемых в контрактах.
Оплата товаров постоянными клиентами проводится в кредит,
условия которого зависят от множества факторов. Выбирая политику кредитования
покупателей своей продукции, предприятие должно определиться по следующим
ключевым вопросам.
. Срок предоставления кредита. Применяются
стандартизированные по условиям оплаты, в том числе продолжительности
кредитования, договоры, тем не менее, возможны отклонения от данной политики.
Определяя договором максимально допустимый срок оплаты поставленной продукции.
. Стандарты кредитоспособности. Заключая договор на поставку
продукции и определяя в нем условия оплаты, предприятие может придерживаться
установленных им критериев финансовой устойчивости в отношении покупателей. В
зависимости от того, насколько кредитоспособен и надежен покупатель, условия
договора, в том числе предоставляемой скидки, размера партии продукции, форм
оплаты и др. могут меняться.
. Система создания резервов по сомнительным долгам. При
заключении договоров предприятие, рассчитывает на своевременное поступление
платежей. Однако не исключены варианты с появлением просроченной дебиторской
задолженности и полной неспособности покупателя рассчитываться по своим
обязательствам. Возникают понятия сомнительного и безнадежного долга.
Взаимоотношения кредитора и должника, в том числе в отношении
срока исполнения обязательства, определяются в законодательстве статьей 314 ГК
РФ где указано, что обязательство должно быть исполнено в пределах
предусмотренного договором периода времени либо в разумный срок если этот
период не оговорен.
Под сомнительным долгом понимается любая задолженность перед
налогоплательщиком, которая не погашена в сроки, установленные договором, и не
имеет соответствующего обеспечения (залог, поручительство, банковская
гарантия). Исходя из принципа осмотрительности (осторожности), для подобной
задолженности создают резерв за счет прибыли до налогообложения и в балансе
показывают дебиторскую задолженность за вычетом резерва [5, с.683.].
Согласно ст.266 Налогового кодекса РФ формирование резерва по
сомнительным долгам выполняются по данным инвентаризации, приведенной на последний
день отчетного (налогового) периода, при этом создаваемый резерв включаются:
. Сомнительная задолженность со сроком возникновения от 45 до
90 дней - в размере 50%;
. Сравнительная задолженность со сроком возникновения до 45
дней - не увеличивает сумму создаваемого резерва.
Общая сумма резерва по сомнительным долгам не может превышать
10% выручки отчетного (налогового) периода.
Безнадежный долг - это долг нереальный к взысканию, то есть
долг перед налогоплательщиком, по которому истек установленный срок исковой
давности, а также долг, по которому обязательство прекращено вследствие
невозможности его исполнения, на основании акта государственного органа или
ликвидации организации.
. Система сбора платежей. Этот раздел работы с дебиторами
предполагает разработку процедуры взаимодействия с ними в случае нарушения
условий оплаты; критериальных значений показателей, свидетельствующих о
существенности нарушений; системы наказаний недобросовестных контрагентов.
. Система предоставляемых скидок. Предоставление скидки
выгодно как покупателю, так и продавцу. Первый имеет прямую выгоду от снижения
затрат на покупку товаров, второй получает косвенную выгоду связи с ускорением
оборачиваемости средств, вложенных в дебиторскую задолженность, которая
представляет собой иммобилизацию денежных средств.
. Система управления дебиторской задолженностью требует
постоянного контроля по ряду параметров. К ним относятся время обращения
средств, вложенных в дебиторскую задолженность; структура дебиторов по
различным признакам, применяемые схемы расчетов с покупателями и возможность их
унификации, схема контроля за исполнением дебиторами своих обязательств, схема
контроля и принципы резервирования сомнительных долгов, схема принятия мер к
недобросовестным или неисполнительным покупателям и др. процедуры принятия
решений носят, неформальный характер и нарабатываются по мере становления
компании.
Контроль за дебиторской задолженности включает ранжирование
дебиторской задолженности по срокам ее возникновения. Наиболее распространенная
классификация предусматривает следующую группировку (в днях): 0-30, 31-60,
61-90, 90-120, свыше 120. Возможно иные группировки. Кроме того необходимый
контроль безнадежных долгов с целью образования необходимого резерва.
Наиболее употребительными способами воздействия на дебиторов
с целью погашения задолженности являются направление писем, телефонные звонки,
персональные визиты, продажа задолженности специальным организациям.
В зависимости от размера дебиторской задолженности,
количество расчетных документов и дебиторов анализ его уровня можно проводить
как сплошным, так и выборочным методом. Общая схема контроля и анализа, как
правило, включает несколько этапов.
. Задают критический уровень дебиторской задолженности
превышающей критический уровень подвергают проверки в обязательном порядке.
. На оставшихся расчетных документов делают
контрольную выборку. Для этого применяют разные способы. Одним из простейших
являются n-процентный
тест. Существуют и более сложные статистические методы отбора, основанные на задании
критических значений уровня значимости, ошибки выборки, допустимого отклонения
между отраженным в отчетности и исчисленным по выборочным данным размером
дебиторской задолженности и т.п. в этом случае определяют интервал выработки, а
каждый расчетный документ, на который падает граница очередного интервала,
отбирают для контроля и анализа.
3. Проверяют реальность сумм дебиторской задолженности
в отобранных расчетных документах. В частности, могут отправляться письма к
контрагентам с просьбой подтвердить реальность проставленной в документе или
проходящей в учете суммы.
. Оценивают существенность выявленных ошибок. При этом
может использоваться разные критерии.
Для того чтобы повысить эффективность работы с дебиторами,
многие крупные компании создают самостоятельные подразделения или дочерни
компании. Узкая специализация этих подразделений позволяет им не только
пользоваться традиционными приемами работы с дебиторами, но и применять
современные методы.
1.2.3
Управление денежными средствами и их эквивалентами
Управление денежными средствами является одним из важнейших
направлений деятельности финансового менеджера и включает расчет времени
обращения денежных средств (финансовый цикл), анализ денежного патока, его
прогнозирование, определение оптимального уровня денежных средств, составление
бюджетов денежных средств и т.п. значимость такого вида активов, как денежные
средства, по мнению Дж. Кейнса определяют основные причины: рутинность;
денежные средства используются для выполнения текущих операций; поскольку между
входящими и исходящими денежными патоками всегда имеется временный лаг,
предприятие вынужденно постоянно держать свободные денежные средства на
расчетном счете; предосторожность деятельность предприятия не носит жестко
предопределенного характера, поэтому денежные средства необходимы для
выполнения непредвиденных платежей; спекулятивность; денежные средства
необходимы по спекулятивным соображениям, поскольку постоянно существует
нулевая вероятность того, что неожиданно представиться возможность выгодного
инвестирования.
Вместе с тем омертвление финансовых ресурсов в виде денежных
средств связанно с определенными потерями; с некоторой доли условности их
величину можно оценить размером упущенной выгоды от участия в каком-либо
доступном инвестиционном проекте. Наличие у предприятия денежных средств
нередко связывается с тем, является ли его деятельность прибыльной. Можно быть
прибыльным (по данным бухгалтерского учета) и одновременно и испытывать
значительные затруднения в оборотных средствах, которые могут вызвать не только
социально-экономическую напряженность во взаимоотношениях с контрагентами,
финансовыми органами, но и привести к банкротству.
Расчет операционного и финансового циклов
В числе важнейших характеристик эффективности текущей
деятельности - показатели продолжительности операционного и финансового циклов.
Операционный цикл - это условное название периода - типового повторяющего
элемента производственно-коммерческого процесса, в течение которого денежные
средства омертвлены в запасах и расчетах (дебиторах). Аналитический показатель,
характеризующий среднее время омертвления денежных средств в этих активах,
носит название продолжительности операционного цикла. Начало операционного
цикла - появление нематериальных запасов на балансе фирмы как сигнал о начале
трансформационной цепочки "сырье - продукция - расчеты - денежные
средства", а его окончание появление на балансе выручки от реализации
произведенной и обязательства оплатить приобретенные производственные запасы,
то есть с момента формального вложения денежных средств в запасы, и
заканчиваются моментом возврата денежных средств на счета фирмы в виде выручки
(рис.1.2.5). Алгоритм расчета имеет вид:
где 
- оборачиваемость запасов (в днях);

- оборачиваемость средств в расчетах (в днях).
Из формулы видно, что приведенный индикатор показывает, сколько
дней омертвлены денежные средства в неденежных оборотных активах. Снижение
показателя в динамике - благоприятная тенденция. Среднеотраслевые значения
этого показателя, а также частных показателей оборачиваемости могут
использоваться при оценке базовых параметров планируемого к внедрению нового
проекта как ориентиры для расчета суммы средств, которую необходимо
зарезервировать. Финансовый цикл есть условное название периода как типового
повторяющего элемента торгово-технологического процесса, в начале которого
денежные средства фактически уходят в оплату поставщикам за купленные у них
сырье и материалы и в конце которого возвращаются в виде выручки. Показатель,
характеризующий среднее время между фактическим оттоком денежных средств в
связи с осуществлением текущей производственной деятельности и их фактическим
притоком, как результатом производственно-финансовой деятельности, называется
продолжительностью финансового цикла.
Эффективность финансовой деятельности фирмы в части расчетов с
контрагентами, характеризуется не только современностью востребования
дебиторской задолженности, но и рациональной политикой в отношении кредиторов.
Кредиторской задолженностью можно управлять, откладывая или приближая срок ее
погашения. Дебиторская и кредиторская задолженности взаимно уравновешивают друг
друга, а их совместное влияние на эффективность циркулирования денежных средств
выражается через показатель продолжительности финансового цикла Dcc, рассчитываемый по формуле
где 
- оборачиваемость средств, омертвленных в производственных
запасах;

- оборачиваемость средств, омертвленных в дебиторской
задолженности;

- период погашения кредиторской задолженности.
Как видно из приведенных формул финансовый и операционный циклы
связанны между собой через период погашения кредиторской задолженности. Операционный
цикл характеризует общее время, в течении которого денежные средства отвлечены
из оборота, то есть финансовый цикл, меньше на среднее время обращения
кредиторской задолженности. Сокращение операционного и финансового циклов в
динамике рассматривается как положительная тенденция. Если сокращение
операционного цикла может быть сделано за счет ускорения производственного
процесса и оборачиваемости дебиторской задолженности, то финансовый цикл может
быть сокращен за счет, как данных факторов, так и некоторого некритического
замедления оборачиваемости кредиторской задолженности.
Анализ движения денежных средств
С позиции текущей деятельности денежные средства играют важнейшую
роль, поскольку они служат своеобразной универсальной заплатой, которую можно
использовать для ликвидации любых пробелов и сбоев в финансовом и
производственном процессах. С позиции контроля и оценки эффективности
функционирования предприятия весьма важно представлять, какие виды деятельности
генерируют основной объем денежных поступлений и оттоков.
Результатом анализа является построение для денежного патока
обычного балансового уравнения
где 
- остаток средств на начало отчетного периода;

- поступило денежных средств в течение отчетного периода;

- выбыло денежных средств в течение отчетного периода;

- остаток на конец отчетного периода.
В отчетной форме показатели притока и оттока денежных средств
приводятся в разбивке по направлениям деятельности (текущая, инвестиционная,
финансовая). Анализ движения денежных средств проводится по данным отчетного
периода.
Анализ движения денежных средств позволяет объяснить расхождение
между величиной денежного патока, имевшего места на предприятии в отчетном
периоде, и подученной за этот период прибылью.
Выделим все операции, затрагивающие движение денежных средств. В
международной учетно-аналитической практике разработаны два метода прямой и
косвенный.
Прямой метод основан на исчислении притока денежных средств
(выручки от реализации продукции, работ и услуг, авансов полученных и др.) и их
оттока (оплаты счетов, поставщиков, возврата полученных ссуд и займов и др.),
то есть исходным элементом является собственно движение средств, выявляемое по
данным счетов бухгалтерского учета. Прямой метод предполагает идентификацию
всех проводок, затрагивающих дебет денежных счетов (приток денежных средств) и
кредит денежных счетов (отток денежных средств). Последовательный просмотр всех
проводок обеспечивает группировку оттоков и притоков денежных средств.
Поскольку при реализации прямого метода расчета делают, исходя из счетов,
формальный анализ денежного патока можно выполнять на любую дату. Данный метод
трудоемок при оформлении в ручную, однако при автоматизированном ведении
бухгалтерского учета отчет о движении денежных средств построчно можно
составлять автоматически. Окончательная полная автоматизация при составлении
отчета сложно осуществима на практике, поскольку разбиение на текущий,
инвестиционный и финансовый виды деятельности, носит условный характер и не
всегда определяется конкретными бухгалтерскими корреспонденциями. Некоторые
строки отчета вообще не разбираются по видам деятельности (например, выплаты по
заработной плате и выплаты социального характера).
Косвенный метод предлагает корректировку полученной предприятием
чистой прибыли и носит теоретический характер. Он основан на идентификации
операций, влияющих на величину прибыли, но не затрагивающих движения денежных
средств, но не влияющих на величину прибыли. Все подобные операции
последовательно идентифицируются, а соответствующие суммы корректируют значение
чистой прибыли.
Разные виды оборотных активов обладают разной ликвидностью, то
есть продолжительность периода, необходимо для конвертации данного актива в
денежные средства; неодинаковы и расходы по обеспечению этой конвертации.
Только денежным средствам присуща абсолютная ликвидность. Для того чтобы
вовремя оплачивать счета поставщиков, предприятие должно обладать определенным
уровнем абсолютной ликвидности. Его поддержание связано с некоторыми расходами,
точный расчет которых невозможен. Поэтому принято в качестве цены за
поддержание необходимого уровня ликвидности принимать возможный доход от
инвестирования среднего остатка денежных средств в государственные ценные бумаги.
Государственные ценные бумаги являются без рисковыми. Таким образом, деньги и
подобные ценные бумаги относятся к классу активов с одинаковой степенью риска;
следовательно, доходы (издержки) по ним сопоставимы.
Типовая политика в отношении денежных средств такова, что компания
должна поддерживать определенный уровень свободных денежных средств, который
для страховки дополняется некоторой суммой средств, вложенных в ликвидные
ценные бумаги, то есть в активы, близкие к абсолютно ликвидным. При необходимости
или с некоторой периодичностью ценные бумаги конвертируются в денежные
средства. При накоплении излишних сумм денежные средства либо инвестируются на
долгосрочной основе или в краткосрочные ценные бумаги, либо изымаются в виде
дивидендов.
С позиции инвестирования денежные средства представляют собой один
из частных случаев инвестирования в товарно-материальные ценности.
Процедуры управления денежными средствами проработаны в
теоретическом плане, но не очевидны с позиции практика. Поэтому при определении
оптимального уровня денежных средств в большей степени руководствуются
статистикой и неформализованными методами обоснования финансовых решений [9,
с.104.].
1.3
Оценка эффективности использования оборотного капитала
Рациональное и эффективное использование оборотных средств
способствует повышению финансовой устойчивости предприятия и его
платежеспособности. В этих условиях предприятие своевременно и полностью
выполняет свои расчетно-платежные обязательства, что позволяет успешно
осуществлять коммерческую деятельность.
Эффективность использования оборотных средств характеризуется
системой экономических показателей, одним из которых является соотношение их
величины в сфере производства и в сфере обращения. Чем больше оборотных средств
обслуживают сферу производства, а внутри последней - цикл производства, тем
более рационально они используются.
О степени использования оборотных средств можно судить по
показателям отдачи оборотных средств, который определяется, как отношение
прибыли от реализации к остаткам оборотных средств является скорость их
оборачиваемости.
Важнейшим показателем интенсивности использования оборотных
средств является скорость из оборачиваемости.
Оборачиваемость оборотных средств - это длительность одного
полного кругооборота средств, начиная с первой и кончая с третьей фазой. Чем
быстрее оборотные средства переходят эти фазы, чем больше продукции предприятие
может произвести с одной и той же суммой оборотных средств. В разных
хозяйствующих субъектах оборачиваемость оборотных средств различна, так как
зависит от специфики производства и условий сбыта продукции, от особенностей в
структуре оборотных средств, платежеспособности предприятия и других факторов.
Скорость оборачиваемости оборотных средств исчисляется с
помощью трех взаимосвязанных показателей: длительности одного оборота в днях,
количество оборотов за год, а также величины оборотных средств, приходящихся на
единицу реализованной продукции.
Исчисление оборачиваемости оборотных средств может
производиться как по плану, так и фактически. Плановая оборачиваемость, может
быть, рассчитана только по нормируемым оборотным средствам, а фактическая - по
всем оборотным средствам, включая ненормируемые. Сопоставление плановой и
фактической оборачиваемости отражает ускорение или замедление оборачиваемости
нормируемых оборотных средств. При ускорении оборачиваемости происходит
высвобождение оборотных средств из оборота, при замедлении возникает
необходимость в дополнительном вовлечении средств в оборот.
Оборачиваемость может быть определена как общая, так и
частная.
Общая оборачиваемость характеризует интенсивность
использования оборотных средств в целом по всем фазам кругооборота, не отражая
особенностей кругооборота отдельных элементов или групп оборотных средств. В
показателе общей оборачиваемости как бы нивелируя процесс улучшения или
замедления оборачиваемости средств в отдельны фазах. Ускорение оборачиваемости
средств на одной стадии может быть сведено до минимума замедлением
оборачиваемости на другой стадии и наоборот.
Для выявления конкретных причин изменения общей
оборачиваемости исчисляется показатель частной оборачиваемости оборотных
средств.
Частная оборачиваемость отражает степень использования
оборотных средств в каждой отдельной фазе кругооборота, в каждой группе, а
также по отдельным элементам оборотных средств.
Такой детальный анализ использования оборотных средств
приобретает особенно важное значение с развитием рыночных отношений и свободы
предпринимательства [18, с.141].
В результате ускорения оборачиваемости определенная сумма
оборотных средств высвобождается. Высвобождение может быть абсолютным и
относительным.
Абсолютное высвобождение оборотных средств имеет место тогда,
когда фактические остатки оборотных средств меньше норматива или остатков
оборотных средств за базовый период при сохранении или увеличении объема
реализации за этот период. Ранее при централизованной системе управления
высвободившиеся из оборота средства передавались вышестоящей организации. С
проведением приватизации и акционирования абсолютно высвободившиеся оборотные
средства могут быть направлены самим предприятием на дольней шее расширение
производства, освоение новых видов изделий, улучшение системы снабжения и сбыта
и другие меры по совершенствованию предпринимательской деятельности.
Относительное высвобождение оборотных средств имеет место в
тех случаях, когда ускорение оборачиваемости оборотных средств происходит
одновременно с ростом объема производства на предприятии.
Высвобожденные при этом средства не могут быть изъяты из
оборота, так как находятся в запасах товарно-материальных ценностей,
обеспечивающих рост производства. Относительное и абсолютное высвобождение
оборотных средств имеет единую экономическую основу и значение, ибо означает
для хозяйствующего субъекта дополнительную экономию средств.
Ускорение оборачиваемости оборотных средств и высвобождение в
результате этого оборотных средств в любой форме позволяет предприятию
направлять их по своему усмотрению на развитие предпринимательской деятельности
и обойтись без привлечения дополнительных финансовых ресурсов.
2.
Финансовое планирование производственно-финансовой деятельности организации
2.1
Оценка и прогноз финансового состояния организации
Проведем оценку финансового состояния организации, используя
в качестве исходной информации данные агрегированной бухгалтерской отчетности
за отчетный (Приложение 3 Методических указаний) и на прогнозный
периоды.
2.1.1
Оценка стоимости организации
Рассчитаем два вида стоимости организации: ликвидационную (Vl) и текущую рыночную (Vf) и сравним их между
собой.
Ликвидационная стоимость организации (Vl) определяется по формуле
Д. Уилкокса, которая принята в практике развитых западных стран. Под
ликвидационной стоимостью в данном случае понимают стоимость активов,
оставшихся после удовлетворения требований кредиторов по балансу. Формула
расчета ликвидационной стоимости следующая:
Vl =ф.1 стр. (260 + 250 + (210 - 216) + 230 + 240 +
0,7 × 216 + 0,5 × (300 -
+ 250 + (210 - 216) + 230 + 240 + 0,7 × 216) - 590 - 690), (1)
Vl факт. = 200+300 (4001 - 5)
+419+0,7*5+0,5* (20898-200+300+ (4001-5) +419+0,7*5) - 14592= 6634 ден. ед.
Vl прогн. = 211+816+ (4231-5)
+442+0.7*5+0.5* (29653-211+816+ (4231-5) +442+0.7*5) - 16115 = 6548 ден. ед.
где Vl - ликвидационная стоимость организации, ден.
ед.
Формула расчета текущей рыночной стоимости (Vf) выглядит следующим
образом:
Vf = POI / WACC, (2)
Vfфак. = 1363/24 *100 = 5679 ден. ед.,
Vfпрог = 1407/34*100 = 4138 ден. ед.
где Vf - текущая рыночная стоимость организации, ден.
ед.,
POI - операционная прибыль организации без налога на
прибыль и других обязательных вычетов, ден. ед.,
WACC - стоимость капитала, проц.
Стоимость капитала (синоним: средневзвешенная стоимость
капитала) (WACC) - это общая сумма средств, которую приходится
"платить" за использование определенного объема финансовых ресурсов,
выраженная в процентах (или в долях) к этому объему. Показатель рассчитывается
по формуле средней арифметической взвешенной, исходя из структуры капитала
(источников) и стоимости каждого источника.
WACC =
kj× dj, (3)
где WACC - стоимость капитала организации, проц.,
kj - стоимость j-го источника средств, проц.,
dj - удельный вес j-го источника средств в их общей сумме, доли.
Стоимость источника - это "плата" организации за то, что
она использует данный источник.
Для расчета средневзвешенной стоимости капитала (WACC) рассмотрим, каким образом определяются
стоимости основных источников капитала.
1. Стоимость источника "Банковский кредит":
kd = i × (100 - npr), (4), kd = 20* (100-20) /100 =
20%.
где kd - стоимость источника
"Банковский кредит", проц.,
i - годовая процентная
ставка по кредиту, проц.,
npr - ставка налога на
прибыль организаций, проц.
. Стоимость источника "Обыкновенные
акции":
kcs =
+ g, (5)
kcs = (2,5/10+0,055) *100 = 30%.
где kcs - стоимость источника "Обыкновенные
акции", коэфф.,
Dcs - годовой дивиденд на обыкновенную акцию,
ден. ед.,
Рcs - рыночная стоимость обыкновенной акции, ден. ед.,
g - темп роста дивиденда, коэфф. (Приложение 3 Методических
указаний).
. Стоимость источника "Нераспределенная (накопленная)
прибыль":
kр = kcs× (1 - nd), (6)
kр = 30*
(1-0,09) = 27%.
где kр - стоимость источника "Нераспределенная прибыль",
проц.,
пd - ставка налога на доходы физических лиц, применяемая к
доходам в виде дивидендов (в настоящее время в РФ - 9%), коэфф.
Результаты расчетов заносим в табл.1 в графу "kj". В графу
"Балансовая стоимость" данные записываются из Приложения 3
Методических указаний и Приложения. Доли источников капитала (графа "dj") рассчитываем
исходя из того, что общая сумма капитала приравнивается к 1.
Таблица 1 - Стоимость источников
финансирования организации
|
Источники
|
Отчетный период
|
Прогнозный
период
|
|
Балансовая
стоимость, тыс. ден. ед.
|
dj, доли
|
kj,%
|
Балансовая
стоимость, тыс. ден. ед.
|
dj, доли
|
kj,%
|
|
Акционерный
капитал (стр.410)
|
19
|
0,001
|
30
|
19
|
0.001
|
30
|
|
Накопленная
прибыль (стр.490-410)
|
13471
|
0,9
|
27
|
13519
|
0.9
|
27
|
|
Банковский
кредит (стр.610)
|
16
|
0,001
|
20
|
721
|
0.05
|
20
|
|
Всего
|
13506
|
1
|
24
|
14259
|
1
|
34
|
На основании данных табл.1 с использованием формулы (3)
рассчитываем стоимость капитала организации (WACC).
WACCфакт. = 30*0,001+27*0,9+20*0,001=24%,
WACCпрог. = 30*0,001+27*0,9+20*0,5= 34%.
Для определения текущей рыночной стоимости организации (Vf) примем операционную
прибыль без налога на прибыль и других обязательных вычетов (POI) равной операционной
прибыли (прибыли до выплаты процентов и налогов) (Pit), представленной в Приложении
3 Методических указаний.
Полученные данные занесем в табл.2
Таблица 2 - Оценка стоимости организации
|
Показатель
|
Величина
показателя, ден. ед.
|
|
Отчетный период
|
Прогнозный
период
|
|
Ликвидационная
стоимость
|
6634
|
6548
|
|
Текущая
рыночная стоимость
|
5679
|
4138
|
Вывод: В данной организации ликвидационная стоимость больше
текущей рыночной стоимости. Финансовое состояние этой компании не
удовлетворительно, так как рыночная стоимость компании должна превышать
ликвидационную стоимость. Это говорит о том, что у компании есть угроза
банкротства
2.1.2
Оценка ликвидности и платежеспособности организации
Осуществим оценку ликвидности и платежеспособности
организации за отчетный и на прогнозный периоды.
Для комплексной оценки ликвидности и платежеспособности
исследуемой организации необходимо рассчитать показатели ликвидности и платежеспособности,
представленные в табл.3.
Все показатели рассчитываются по данным ф. № 1
"Бухгалтерский баланс".
Показатель "Рабочий капитал" (WC) (синоним:
собственные оборотные средства) является абсолютным. Он характеризует ту часть
собственного капитала организации, которая является источником покрытия текущих
активов. При прочих равных условиях рост этого показателя - положительная
тенденция. В некотором смысле, этот показатель характеризует свободу маневра и
финансовой устойчивости организации.
Табл.3 необходимо заполнить, используя для расчетов данные
Приложения 3 Методического пособия и Приложения.
Таблица 3 - Показатели оценки ликвидности и
платежеспособности организации на конец года
|
Показатель
|
Формула расчета
|
Рекомендуемое
значение
|
Отчетный период
|
Прогнозный
период
|
|
1
|
2
|
3
|
4
|
5
|
|
Рабочий капитал
(WC), ден. ед.
|
Стр.
(490+590+640+650-190)
|
-
|
-8432
|
-14590
|
|
Коэффициент
текущей ликвидности (k1)
|
Текущие активы
/ Текущие обязательства = Стр. (290-216-220) / (690-640-650)
|
1-2
|
0,33
|
0,32
|
|
Коэффициент
критической ликвидности (k2)
|
(Текущие
активы - Производственные запасы) / Текущие обязательства = Стр.
(230+240+250+260) / (690-640-650)
|
0,7-0,8
|
0,06
|
0,06
|
|
Коэффициент
абсолютной ликвидности (k3)
|
Денежные
средства / Текущие обязательства = Стр. (250+260) / (690-640-650)
|
0,05-0,1
|
0,03
|
0,06
|
|
Коэффициент
обеспеченности текущей деятельности рабочим капиталом (kWC)
|
Рабочий капитал
/ Оборотные активы = Стр. (490+590+640+650-190) /290
|
0,1
|
-1,3
|
-2,2
|
|
Коэффициент
маневренности рабочего капитала (kмWC)
|
Денежные
средства / Рабочий капитал = Стр.260/ (490+590+640+650-190)
|
-
|
-0,02
|
-0,01
|
|
Доля рабочего
капитала в покрытии запасов (WCs)
|
Рабочий капитал
/ Запасы + НДС по приобр. ценностям = Стр. (490+590+640+650-190) / (210+220)
|
-
|
-1,6
|
-2,6
|
|
Коэффициент покрытия
запасов (kGSC)
|
Обоснованные
источники покрытия запасов / Запасы + НДС по приобретенным ценностям = Стр.
(490+590+640+650-190+590+610+621) / (210+220)
|
-
|
-0,18
|
-1
|
Вывод: В отчетном и прогнозном периоде отрицательный рабочий
капитал, который свидетельствует о том, что организация не имеет возможности,
не формирует оборотные активы за счет собственного капитала, о наличии
неблагоприятной тенденции.
) Коэффициент текущей ликвидности, как в отчетном так и в
прогнозном периоде не соответствуют рекомендуемому значению, намного ниже
особенно в прогнозном, так как там появляется большая кредиторская
задолженность, доля текущих обязательств не может быть погашена в короткие
сроки за счет ликвидных оборотных активов. Денежные средства и предстоящие
поступления от текущей деятельности покрывают краткосрочные обязательства на
33% в отчетном периоде и на 32% в прогнозном.
) Коэффициент критической ликвидности ниже рекомендуемого
значения, в отчетном периоде предприятие может погасить 6% краткосрочных
обязательств в ближайшее время при полном погашении дебиторской задолженности,
а в прогнозном 6%.
) Коэффициент абсолютной ликвидности в отчетном периоде
показатель равен 0,03, что означает, что предприятие за счет денежных средств
за один день может погасить только 3% краткосрочных обязательств, а в
прогнозном всего 6%.
На основании выше изложенного можно сделать вывод, что
предприятие имеет низкую платежеспособность, особенно в прогнозном периоде.
2.1.3
Оценка финансовой устойчивости организации
Финансовая устойчивость организации предполагает сочетание
четырех благоприятных характеристик ее финансово-хозяйственного положения:
. Высокой платежеспособности, т.е. способности исправно
расплачиваться по своим обязательствам.
. Высокой ликвидности баланса, т.е. достаточной степени
покрытия пассивов предприятия активами, соответствующими по срокам
оборачиваемости в денежные средства срокам погашения обязательств.
. Высокой кредитоспособности, т.е. способности возмещения
кредитов с процентами и другими финансовыми издержками.
. Высокой рентабельности, т.е. значительной прибыльности,
обеспечивающей необходимое развитие организации, хороший уровень дивидендов и
поддержание курса акций.
Заполним Таб.4, используя для расчетов данные Приложения 3
Методических указаний и прогнозного агрегированного бухгалтерского баланса
организации Приложение.
Таблица 4 - Показатели финансовой устойчивости организации на
конец года
|
Показатель
|
Формула расчета
|
Отчетный период
|
Прогнозный
период
|
|
1
|
2
|
3
|
4
|
|
Коэффициент
концентрации собственного капитала (keg)
|
Собственный
капитал / Капитал = Стр. (490+640+650) / 700
|
0,48
|
0,45
|
|
Коэффициент
финансовой зависимости (FD)
|
Капитал /
Собственный капитал = Стр.700/ (490+640+650)
|
2,08
|
2, 19
|
|
Коэффициент
соотношения привлеченных и собственных средств (ktde)
|
Заемный капитал
/ Собственный капитал = Стр. (590+690-640-650) / (490+640+650)
|
1,08
|
1,1
|
|
Коэффициент
маневренности собственного капитала (kme)
|
Рабочий капитал
/ Собственный капитал =Стр. (490+590+640+650-190) / (490+640+650)
|
-0,62
|
-1,07
|
|
Плечо
финансового рычага (FL1)
|
0,66
|
1, 19
|
Вывод:
) Коэффициент концентрации собственного капитала в отчетном
периоде выше, чем в прогнозном, что является предприятие более устойчива,
стабильна и независима от внешних кредиторов организации.
) Коэффициент финансовой зависимости в отчетном периоде равен
2,08, что означает собственники полностью финансируют свою организацию, в
прогнозном периоде наблюдается повышение этого коэффициента.
) Коэффициент соотношения привлеченных и собственных средств
в отчетном периоде на каждый рубль собственного капитала, вложенного в активы
организации, приходиться 1рубль 8 копеек заемного капитала, а в прогнозном
периоде наблюдается уменьшение 1,1 рублей.
) Коэффициент маневренности собственного капитала в отчетном
и прогнозном периоде отрицательный, финансирования текущей деятельности из
собственного капитала нет.
) Плечо финансового рычага в отчетном периоде 0,66 в
прогнозном 1, 19, свидетельствует о том, что в отчетном периоде организацию
можно назвать с низким уровнем финансового риска, в прогнозном большим.
2.1.4
Оценка рентабельности организации
Используя коэффициентный анализ, осуществим оценку
рентабельности организации за отчетный и на прогнозный периоды.
Рассчитаем следующие показатели рентабельности.
Показатели рентабельности инвестиций. В качестве базисного
показателя (знаменателя формулы) берется какой-либо вид ресурсов:
если оценка осуществляется с позиции организации, то в
качестве обобщающего показателя ресурсов, используется, например, средняя
стоимость активов;
если оценка осуществляется с позиции собственников
организации или лендеров (физических и юридических лиц, предоставляющих
капитал) используются данных об источниках средств, например, средняя величина
совокупного капитала.
Рентабельность средств в активах (ROA) позволяет дать оценку
экономической эффективности использования совокупных ресурсов, вложенных в
активы организации.
Рентабельность собственного капитала (ROE) показывает
эффективность работы средств собственников организации, он позволяет судить,
какую прибыль приносит каждый рубль инвестированного собственниками капитала.
Показатели рентабельности продаж. В качестве базисного
показателя используются выручка от реализации или себестоимость продукции.
Чистая рентабельность продаж (NPM) позволяет оценить
размер чистой прибыли, приходящейся на рубль реализованной продукции.
Показатель можно рассчитывать, используя в числителе прибыль от продаж.
Рентабельность основной деятельности (RB) (рентабельность
хозяйственной деятельности) показывает размер чистой прибыли, приходящейся на
рубль понесенных затрат.
Производственный (операционный) леверидж включает в себя
показатели: плечо операционного рычага и силу воздействия операционного рычага.
Формулы их расчета:
плечо производственного (операционного) рычага:
BL1 = Cconst / Cvar, (8)
BL1отч =241/5855 = 0,04
BL1пр =241/6177 = 0,03
где BL1 - плечо производственного (операционного)
рычага, коэфф.,
Cconst - постоянные затраты, ден. ед.,
Cvar - полные переменные затраты, ден. ед.;
сила воздействия производственного (операционного) рычага:
BL2 = Pmar / Pit, (9)
BL2отч =1204/1363 = 0,88
BL2пр =1270/1451 = 0,87
где BL2 - сила воздействия произв. (операционного) рычага,
коэфф.,
Pmar - маржинальная прибыль, ден. ед.,
Pit - опр. прибыль (прибыль до вычета процентов и
налогов), ден. ед.
Маржинальная прибыль рассчитывается по формуле:
Pmar= S - Cvar, (10)marотч =7059-5855 =
1204 ден. ед.,marпр =7447 - 6177 = 1270 ден.
ед.,
где Pmar - маржинальная прибыль,
ден. ед.,
S - выручка, ден. ед.
Операционная прибыль рассчитывается по формуле:
Pit = S - Cvar - Cconst
(11)itотч =7059-5855-241 = 963 ден. ед.,itпр = 7447-6177-241 = 1029
ден. ед.,
Заполним табл.5, используя для расчетов данные Приложения
3 Методических указаний и Приложение.
Таблица 5 - Показатели рентабельности организации
|
Показатель
|
Формула расчета
|
Отчетный период
|
Прогнозный
период
|
|
Рентабельность
средств в активах (ROA), %
|
(Операционная
прибыль / Активы) · 100 = (Pit /
Ф.1стр.300) · 100
|
4,8
|
4,9
|
|
Рентабельность
собственного капитала (ROE), %
|
(Чистая
прибыль / Собственный капитал) ·100 = (Pn / Ф.1стр. (490+640+650)) · 100
|
7,1
|
6,2
|
|
Сила
воздействия операционного рычага (BL2)
|
(Выручка -
Переменные затраты) / Операционная прибыль = ( (S - Cvar) / Pit)
|
0,88
|
0,9
|
|
Чистая
рентабельность продаж (NPM), %
|
(Чистая
прибыль / Выручка) · 100 = (Pn / S) · 100
|
13,5
|
11,3
|
|
Рентабельность
основной деятельности (RB), %
|
(Чистая
прибыль / Себестоимость) · 100 = (Pn / Себестоимость) · 100
|
16
|
13,1
|
|
Коэффициент
экономического роста организации (kg), %
|
Темп роста
выручки
|
13,5
|
11,3
|
Рентабельность средств в активах возросла в прогнозном году
по сравнению с отчётным от уровня 4,8% до уровня 4,9, что является
благоприятной тенденцией. Рентабельность собственного капитала увеличилась, это
связано с наличием в прогнозном периоде большой доли заёмных источников
финансирования в структуре капитала. Сила воздействия операционного рычага
снизилась, что является положительным фактом. Отрицательной тенденцией
наблюдается у чистой рентабельности продаж, она снизилась на 2,2%. Коэффициент
экономического роста равен 11,3, что положительно влияет на организацию.
2.1.5
Рейтинговая оценка финансового состояния организации
Используя предложенную в Методическом пособии модель
рейтинговой оценки, оценим финансовое состояние организации за отчетный и на
прогнозный периоды.
Для рейтинговой оценки исследуемой организации необходимо
рассчитать показатели, представленные в табл.6.
Поясним расчет первого показателя - относительного запаса
финансовой прочности (К1). В экономической литературе представлены
два вида показателя "Запас финансовой прочности":
абсолютный запас финансовой прочности. Он показывает,
насколько организация преодолела точку безубыточности (объем выручки,
обеспечивающий безубыточную деятельность) и рассчитывается по следующей
формуле:
Fа = Sfakt - Srent, (12)
Fаотч=7059-1417= 5642 ден. ед.,
Fапр= 7447-1417 = 6030ден. ед.,
где Fа - абсолютный запас финансовой прочности, ден. ед.,
Sfakt - объем выручки в отчетном
периоде, ден. ед.,
Srent - объем выручки,
обеспечивающий без-ую деятельность, ден. ед.
Srent находится по формуле:
Srent = Cconst / kmar, (13)
Srentотч=241/0,17 = 1417 ден.
ед.,
Srentпр= 241/0,17 = 1417 ден.
ед.,
где kmar = Pmar / Sfakt, (14)
kmarотч = 1204/7059 = 0,17,kmarпр=1270/7447 = 0,17,
относительный запас финансовой прочности показывает, сколько
процентов занимает абсолютный запас финансовой прочности в фактическом объем
выручки. Находится по формуле:
Fo = (Fа / Sfakt) × 100 (15)
Foотч=5642/7059*100=80,Foпр=6030/7447*100=81,
Таблица 6 - Исходные данные для рейтинговой оценки
организации
|
Показатель
|
Формула расчета
|
Отчетный период
|
Прогнозный
период
|
|
Относительный
запас финансовой прочности (К1)
|
Абсолютный
запас финансовой прочности / Фактический объем выручки
|
80
|
81
|
|
Соотношение
срочной и спокойной краткосрочной задолженности (К2)
|
Ф.1стр.
(610+622+623+624) / (690 - (610+622+623+624))
|
0,005
|
0,5
|
|
Коэффициент
текущей ликвидности (К3)
|
Был рассчитан
выше (см. табл.3)
|
0,33
|
0,32
|
|
Соотношение
темпов изменения выручки (Тs) и
совокупного капитала (Tw) (К4)
|
Тs > Tw, где Тs - темп
изменения выручки, Tw - темп
изменения совокупного капитала
|
1
|
1
|
|
Коэффициент
реагирования затрат (К5)
|
mc / mS, где mc - темп прироста затрат; mS - темп прироста выручки
|
1
|
1
|
Фактическое значение каждого показателя необходимо
"переведем" в баллы, используя данные табл.7, и заполним табл.8. При
этом необходимо помнить, что для показателей К1 и К3
увеличение фактических значений - положительная динамика, а для показателя К2
- отрицательная. Соотношение темпов изменения выручки и совокупного капитала а
также коэффициент реагирования затрат в отчетном периоде считать равными 1.
Таблица 7 - Группировка организаций по критериям оценки
финансовой устойчивости
|
Показатель
|
К Л А С С Ы
|
|
I (лучший)
|
II
|
III
|
IV
|
V
|
|
К1
|
0,5 = 28 балов
|
За каждые 0,05
пункта ухудшения показателя снимать 3,5 балла
|
|
К2
|
0,2 = 24 балла
|
За каждые 0,1
пункта ухудшения показателя снимать 3 балла
|
|
К3
|
1,5 = 20 балла
|
За каждые 0,1
пункта ухудшения показателя снимать 2 балла
|
|
К4
|
16 баллов
|
Твыр. меньше
Тсов. кап. = 0 балов
|
|
К5
|
12 бал.
|
Больше 1 = 0
балов
|
|
Итого
|
68 - 100
|
53 - 68
|
34 - 53
|
17 - 34
|
0 - 17
|
Таблица 8 - Рейтинговая оценка организации
|
Показатель
|
Отчетный период
|
Прогнозный
период
|
|
Значение
показателя
|
Баллы
|
Значение показателя
|
Баллы
|
|
Относительный
запас финансовой прочности (К1)
|
0,8
|
2,8
|
0,81
|
22
|
|
Соотношение
срочной и спокойной краткосрочной задолженности (К2)
|
0,005
|
24
|
0,05
|
24
|
|
Коэффициент
текущей ликвидности (К3)
|
0,33
|
0
|
0,32
|
5,4
|
|
Соотношение
темпов изменения выручки (Тs) и
совокупного капитала (Tw) (К4)
|
1
|
16
|
1
|
16
|
|
Коэффициент
реагирования затрат (К5)
|
1
|
12
|
1
|
0
|
|
Всего
|
-
|
54,8
|
|
67,4
|
К1отч= (0,5-0,8) /0,05*3,5= - 21 балл надо добавить
К1отч=28- (21) = 49 балла
К1пр = (0,5-0,81) /0,05 = - 6,2 баллов надо добавить
К1пр =28 - (-6,2) = 34балла
К2отч = (0,2-0,05) /0,1*2 = 3,9 баллов надо снять
К2отч =24-3,9 = 20,1 баллов
К2пр = (0,2-0,05) /0,1= 1,5 балла надо снять
К2пр =24 - 1,5 = 22,5 балла
К3отч = (1,5-0,33) /0,1*2 = 23,4
К3отч = 20-23,4 = - 3,4 балла
К3отч = (1,5-0,32) /0,1= 1,18 баллов
Таким образом, в отчетном и прогнозном периоде организации
присваивается II класс.класс - организации высшего класса, реализующие услуги с
высоким уровнем рентабельности, являющиеся лидерами в своей отрасли, способные
противостоять влиянию внешней среды, имеющие низкие операционные риски,
способные к стабильному развитию;
II класс - хорошие организации, сходные с
представителями I класса, но имеющие меньшую деловую активность (меньшее
соотношение выручки и активов), уязвимые к перепадам характеристик внешней
среды, имеющие элементы, способные ослабить компанию в будущем;
III класс - организации среднего качества, имеющие
факторы внутри и вне, способные их ослабить;
IV класс - организации, качество которых ниже
среднего, имеющие нестабильное финансовое состояние. При ухудшении внешних и
внутренних факторов может произойти резкое их ослабление;
V класс - организации нестабильного развития с плохими
перспективами, испытывающие серьезные финансовые трудности, без перспективы
погашения долга.
При этом наблюдается положительная динамика по показателю К1
и отрицательная динамика по показателям К2 и К3.
2.2
Оценка вероятности банкротства организации
Осуществим оценку вероятности банкротства, используя
комплексный индикатор финансовой устойчивости (N), разработанный
Ковалевым В.В., включающий в себя комбинацию коэффициентов:
N = 25R1+ 25R2 + 20R3 + 20R4 + 10R5, (16)
Nотч=25*0.56+25*0.21+20*0.92+20*0.13+10*0.95=49.75
Nпр =25*0.56+25*0.2+20*0.84+20*0.13+10*0.9= 47.4
где N - комплексный индикатор финансовой устойчивости,
, 25, 20, 10 - удельные веса влияния каждого фактора.
R1, R2…R5 находим по формуле:
Ri= Ni / Nnorm, (17)
где Ri - частное, демонстрирующее долю фактического
значения показателя в нормативном, коэфф.,
Ni - полученное расчетным путем фактическое
значение показателя;
Nnorm - нормативное значение
показателя (см. табл.9).
Для расчета показателей табл.9 используются данные Приложения
3 Методического пособия и Приложение.
Таблица 9 - Оценка вероятности банкротства организации по
методике Ковалева В.В.
|
Показатель
|
Формула расчета
|
Nnorm
|
Отчетный период
|
Прогнозный
период
|
|
|
|
Ni
|
Ri
|
Ni
|
Ri
|
|
Коэффициент
оборачиваемости запасов (N1)
|
Выручка от
продаж / Стоимость запасов (S/210)
(средняя)
|
3
|
1,7
|
0.56
|
1,7
|
0.56
|
|
Коэффициент
текущей ликвидности (N2)
|
Оборотные
активы / Краткосрочные пассивы (290/690)
|
2
|
0,42
|
0.21
|
0.40
|
0.2
|
|
Коэффициент
структуры капитала (финансовый леверидж) (N3)
|
Собственный
капитал / Заемный капитал 490/690
|
1
|
0,92
|
0.92
|
0.84
|
0.84
|
|
Коэффициент
рентабельности активов (N4)
|
Прибыль до налогообложения
/ Активы Pi/700
|
0,3
|
0,04
|
0.13
|
0.04
|
0.13
|
|
Коэффициент
эффективности (N5)
|
Прибыль до
налогообложения / Выручка от продаж
|
0,2
|
0, 19
|
0.95
|
0,18
|
0.9
|
|
Всего
|
-
|
-
|
|
2.77
|
|
1.73
|
Вывод: Рассчитав комплексный индикатор финансовой
устойчивости в отчетном и прогнозном периоде, следуя рекомендациям Ковалева
В.В., (N)
менее 100 значит финансовое состояние организации не устойчивым.
2.2
Прогноз агрегированной бухгалтерской отчетности организации
Осуществим прогноз агрегированной бухгалтерской отчетности
организации. Например, для расчета прогнозного значения стр.210 ф.1
"Запасы" необходимо по формуле (18) рассчитать фактическое значение
коэффициента оборачиваемости запасов (для расчета используются данные
Приложения 3 Методического пособия:
kfakt = Sfakt / msfakt, (18)
где kfakt - величина коэффициента оборачиваемости
запасов в отчетном периоде, коэфф., Sfakt - величина выручки в
отчетном периоде, ден. ед., msfakt - величина запасов в
отчетном периоде, ден. ед. В том случае, если мы решаем, что полученное
значение коэффициента (kfakt) нас устраивает, мы используем его для
нахождения прогнозной величины запасов по формуле:
msprog = Sprog / kfakt,, (19)
где msprog - величина запасов в прогнозном периоде,
ден. ед.,
Sprog - величина выручки в
прогнозном периоде (табл.10), ден. ед.
Таблица 10 - Алгоритм прогнозирования отчета о прибылях и
убытках организации
|
Показатели
отчета
|
Отчетный период
|
Прогнозный
период
|
|
1. Выручка от
продаж (S)
|
7059
|
Исходные
данные, увеличенные на kg 7447
|
|
2. Затраты
переменные (Cvar)
|
5855
|
Исходные
данные, увеличенные на kg 6177
|
|
3. Маржинальная
прибыль (Pmar)
|
п.1 - п.2 1204
|
п.1 - п.2 1270
|
|
4. Затраты
постоянные (Сconst)
|
241
|
Исходные данные
за предыдущий период без изменения 241
|
|
5. Прибыль от
продаж (Pgs)
|
п.1 - п.2 - п.4
963
|
п.1 - п.2 - п.4
1029
|
|
6. Сальдо
прочих доходов и расходов
|
п.5 - п.7 400
|
увеличения
сальдо за предыдущий период на kg 378
|
|
7. Операционная
прибыль (Pit)
|
1363
|
п.5 - п.6 1407
|
|
8. Налоги и
обязательные платежи, в т. ч. банковские проценты
|
п.7 - п.9 403
|
Определяем как
0,4 от операционной прибыли, ориентируясь на ставку налога на прибыль и на
банковский процент по 20% 1407*0,4=562
|
|
9. Прибыль
чистая
|
960
|
п.7 - п.8 845
|
Прогнозный агрегированный бухгалтерский баланс составляется
после прогноза отчета о прибылях и убытках. Заметим, что при формировании
прогнознозного бухгалтерского баланса возможно имеющуюся нераспределенную в
отчетном периоде прибыль реинвестировать в капитал организации (иначе:
капитализировать), например, увеличить р. III "Капитал и
резервы" путем формирования резервного капитала, нераспределенной прибыли.
При составлении прогнозного бухгалтерского баланса в соответствии с заданием из
чистой прибыли отчетного года необходимо сформировать резервный фонд (5% от
чистой прибыли для всех вариантов), а в качестве балансирующей строки
необходимо использовать стр.610 "Займы и кредиты".
Таблица 11 - Алгоритм прогнозирования агрегированного
бухгалтерского баланса организации
|
Актив
|
Пассив
|
|
Строка
|
Прогноз
|
Строка
|
Прогноз
|
|
190
|
Исходные
данные, увеличенные на kg 28128
|
410
|
Без изменения 19
|
|
|
430
|
5 % от чистой
прибыли 13519
|
|
210
|
Рассчитывается
на основании базовой оборачиваемости 4231
|
490
|
410 +430 13538
|
|
|
610
|
Используется
как балансирующая, рассчитывается после расчета стр.690: 690 - 620 - 630 -
640 - 650 721
|
|
216
|
Рассчитывается
на основании базовой оборачиваемости 5
|
620
|
Рассчитывается
на основании базовой оборачиваемости 14894
|
|
|
621
|
Рассчитывается
на основании базовой оборачиваемости 8274
|
|
220
|
Исходные
данные, увеличенные на kg
1325
|
624
|
Рассчитывается
на основании базовой оборачиваемости 70
|
|
230
|
Рассчитывается
на основании базовой оборачиваемости-
|
625
|
Рассчитывается
на основании базовой оборачиваемости 1871
|
|
240
|
Исходные
данные, увеличенные на kg
442
|
630
|
Остается без
изменения 500
|
|
250
|
Исходные
данные, увеличенные на kg
316
|
640
|
Исходные
данные, увеличенные на kg
|
|
260
|
Исходные
данные, увеличенные на kg 211
|
650
|
Исходные
данные, увеличенные на kg
|
|
290
|
Стр. (210 +220
+ 230 +240 +250 +260) 6525
|
690
|
Стр.700 - 490 16115
|
|
300
|
700
|
Стр.300 29653
|
|
|
|
|
|
2.3
Факторный анализ изменения рентабельности собственного капитала организации
С помощью Приложения 3 Методического пособия, Приложения, при
помощи факторного анализа оценим изменение рентабельности собственного капитала
организации в прогнозируемом периоде по сравнению с отчетным периодом.
Осуществим факторный анализ рентабельности собственного капитала организации с
помощью системы показателей (на основе модели фирмы "DuPont"), в которой
коэффициент рентабельности собственного капитала организации (RОЕ) представлен в виде
взаимосвязи трех факторов:
ROE = NPM × ТАТ × FD, (20)
ROEотч=0, 1930*0,2512*2,0828 = 0,0102,ROEпр=0,1889*0,2511*2,
1903=0,1038.
где ROE - рентабельность собственного капитала, коэфф.,
NPM - чистая рентабельность продаж, коэфф.,
ТАТ - ресурсоотдача или оборачиваемость средств в активах,
обороты,
FD - коэффициент финансовой зависимости организации
(табл.6).
Значение факторов для двух периодов (отчетного и прогнозного)
находится по следующим формулам:
NPM = Pn / S, (21)отч=1363/7059=0,
1930,NPMпр=1407/7447=0,1889.
где Pn - чистая прибыль организации, ден. ед.
TAT = S / A, (22)
TATотч=7059/28098=0,2512,TATпр=7447/29653=0,2511,
где А - средняя величина активов, ден. ед.
FD = А / Е, (23)
FDотч=28098/13490=2,0828,FDпр=29653/13538 = 2, 1903.
где Е - средняя величина собственного капитала, ден. ед.
Выявим величину влияния каждого из перечисленных факторов (NPM, ТАТ, FD) на результирующий
показатель (ROE) можно при помощи метода абсолютных разниц:
ΔROE = ROE1 - ROE0, (24)
ΔROE=0,1038-0,0102= 0,0936
ΔROENPM = ΔNPM × ТАТ0 × FD0, (25)
ΔROENPM=-0,0041*0,2512*2,0828=-0,002
ΔROEТАТ = NPM1 × ΔТАТ × FD0, (26)
ΔROEТАТ=0,1889* (-0,0001)
*2,0828=0,00004
ΔROEFD = NPM1 × ТАТ1 × ΔFD, (27)
ΔROEFD=0,1889*0,2511*0,1075=0,005,ΔROE = ΔROENPM + ΔROEТАТ + ΔROEFD. (28)
ΔROE=-0,002+0,00004+0,005=0,003
Результаты расчетов предоставим в табл.12. Заметим, что
расчет показателей, используемых в модели, необходимо осуществлять с точностью
- до 4-х знаков после запятой, в противном случае возможна большая погрешность.
Таблица 12 - Факторный анализ рентабельности собственного
капитала организации
|
Показатель
|
Значение
показателя
|
|
Отчетный период
|
Прогнозный
период
|
Отклонение за
счет факторов
|
|
Рентабельность
собственного капитала (ROE)
|
0,0102
|
0,1038
|
-0,0936
|
|
Чистая
рентабельность продаж (NPM)
|
0, 1930
|
0,1889
|
0,0041
|
|
Ресурсоотдача (ТАТ)
|
0,2512
|
0,2511
|
0,0001
|
|
Коэффициент
финансовой зависимости (FD)
|
2,0828
|
2, 1903
|
-0,1075
|
Вывод: Таким образом рентабельность собственного капитала
снизилась на 0,0936 обусловлен очень маленьким приростом чистой прибыли и
высоким повышением коэффициента финансовой зависимости.
2.4
Прогноз основных финансовых показателей организации
Создается новое малое предприятие (дочерняя организация),
которое будет реализовывать продукцию для туристов, производимую материнской
организацией. Спрогнозируем основные финансовые показатели материнской и
дочерней организаций.
3.
Прогноз основных финансовых показателей компании
3.1
Определение оптимального объема закупки продукции дочерней компании
С использованием теории игр необходимо определить объем
закупок дочерней организацией двух видов продукции: А и В, максимизируя среднюю
величину прибыли от реализации закупленной продукции, не смотря на капризы
погоды.
Решим задачу, условия которой представлены в Приложении 4
(таблица П.4.1 приложения) Методического пособия. Решим задачу,
используя данные для девятого варианта.
Таблица 13 - Объемы закупаемой и реализуемой продукции
организации, нат. ед.
|
Вариант
|
X
|
Y
|
Z
|
W
|
|
22
|
124
|
623
|
423
|
143
|
Условие задачи. Дочерняя организация будет реализовывать два
вида продукции А и В, причем реализация зависит от состояния погоды. Закупочная
цена единицы продукции А - 3,5 ден. ед., цена реализации - 5 ден. ед.;
закупочная цена единицы продукции В - 6 ден. ед., а отпускная цена - 9 ден. ед.
На реализацию расходуется 100 ден. ед. В хорошую погоду реализуется 124 (X) единиц продукции А и
623 (Y)
единиц продукции В, в плохую погоду - 423 (Z) единиц продукции А и
143 (W)
единиц продукции В.
Задача заключается в максимизации средней величины прибыли от
реализации выпущенной продукции, учитывая капризы погоды.
Решение. Рассматривая организацию и природу как двух игроков
(в дальнейшем первого игрока будем называть Организация, а второго - Природа)
можно оценить прибыль организации при совпадении и несовпадении стратегий
игроков.
Чистые стратегии Организации:
S1 - расчет на хорошую погоду;
S2 - расчет на плохую погоду.
Чистые стратегии Природы:
S3 - хорошая погода;
S4 - плохая погода.
Цена игры - прибыль, которая рассчитывается по формуле:
Р = S - С, (29)
где Р - прибыль, ден. ед.,- выручка, ден. ед.,
С - затраты на закупку и реализацию продукции, ден. ед.
Рассмотрим возможные сочетания стратегий игроков.
. Организация - S1, природа - S3.
В расчете на хорошую погоду Организация закупит 101 единиц
продукции А и 600 единиц продукции В и реализует всю эту продукцию, т.к. погода
действительно окажется хорошей.
С1 = 124*3,5+623*6,0+100=4272 ден. ед.
S1 = 124*5+623*9=6245 ден. ед.
Р1 = 6245-4272=1973 ден. ед.
. Организация - S1, природа - S4.
В расчете на хорошую погоду Организация закупит 124 единиц
продукции А и 623 единиц продукции В, но реализует только 124 единиц продукции
А и 143 единиц продукции В, т.к. погода окажется плохой.
С2 = 124*3,5+623*6+100=4272 ден. ед.
S2 = 124*5+143*9=1907,0 ден. ед.
Р2 = 1907-4272=-2365 ден. ед. (убыток)
. Организация - S2, природа - S3.
В расчете на плохую погоду Организация закупит 423 единиц
продукции А и 143 единиц продукции В, но реализует только 101 единиц продукции
А и 120 единиц продукции В, т.к. погода окажется хорошей.
С3 = 423*3,5+143*6+100=2438,5 ден. ед.
S3 = 124*5+143*9=1907 ден. ед.
Р3 = 1907-2438,5=-531,5 ден. ед. (убыток)
. Организация - S2, природа - S4.
В расчете на плохую погоду Организация закупит 423 единиц
продукции А и 143 единиц продукции В и реализует всю закупленную продукцию,
т.к. погода действительно окажется плохой.
С4 = 423*3,5+143*6+100=2438,5 ден. ед.
S4 = 423*5+143*9=3402 ден. ед.
Р4 = 3402-2438,5=963,5 ден. ед.
Подобного рода рассуждения позволяют сформировать так
называемую платежную матрицу игры, в ячейках которой на пересечении стратегий
игроков указывается выигрыш игрока (в нашем случае прибыль):
Таблица 14 - Платежная матрица игры, ден. ед.
|
Игроки
|
Погода
|
|
Организация
|
|
S3
|
S4
|
|
S1
|
1973
|
-2365
|
|
S2
|
-531,5
|
963,5
|
Из платежной матрицы видно, что игрок Организация получит
наибольшую прибыль, если будет применять смешанную стратегию.
Оптимизация смешанной стратегии позволит Организации всегда
получать среднее значение выигрыша независимо от стратегии Природы. Основываясь
на этом заключении, составим уравнение, в котором:
X - частота применения Организацией стратегии S1; (30)
(1 - X) - частота применения Организацией стратегии S2. (31)
Если игрок Организация применяет оптимальную смешанную стратегию,
то при стратегиях S3 и S4 второго игрока - Природы - она должна получить одинаковый средний
доход:
Х-531,5 (1-Х) =-2365Х+963,5 (1-Х)
Решим составленное уравнение для X:
Х-531,5+531,5Х=-2365Х+963,5-963,5Х
Х+531,5Х+2365Х+963,5Х=531,5+963,5
Х=1495, X = 0,25, тогда 1 - X = 0,75
Иначе говоря, игрок Организация, применяя чистые стратегии S1 и S2 в соотношении 0,25:
0,75, будет иметь оптимальную смешанную стратегию:
(124А+623В) *0,25+ (423А+143В)
*0,75=31А+156В+317А+107В=348А+263В.
Таким образом, закупая ежедневно 348 единиц продукции А и 263
единицы продукции В, Организация при любой погоде будет иметь среднюю прибыль в
размере:
(348*5+263*9) - (348*3,5+263*6+100) =1211 ден. ед.
3.2
Прогнозирование порога рентабельности и запаса финансовой прочности дочерней
компании
Выявим зависимость между изменениями структуры затрат и
величиной точки безубыточности. Формула будет иметь следующий вид:
Qrent = Cconst / (S* - C*var), (33)
где Qrent - объем реализации продукции,
обеспечивающий безубыточную деятельность, нат. ед.,
S* - цена реализации единицы продукции, ден. ед.;*var - удельные переменные
затраты (на единицу продукции), ден. ед.
Таблица 15 - Объемы выручки и затрат дочерней организации,
ден. ед.
|
Вариант
|
S*
|
C*var
|
Сconst
|
|
22
|
5,6
|
4,2
|
920
|
Условие задачи. Планируем продажу одного из изделий по 4,3
ден. ед. за штуку, можем приобретать их у оптовика по 2,9 ден. ед. за штуку.
Аренда палатки обойдется в 780 ден. ед. в неделю.
Определить:
каков порог рентабельности;
каким станет порог рентабельности, если арендная плата
повысится на 50%;
каким будет порог рентабельности, если удастся увеличить цену
реализации на 10%;
каким будет порог рентабельности, если закупочная цена
увеличится на 13,3%;
сколько изделий должно быть продано для получения прибыли в
сумме 490 ден. ед. в неделю;
какой запас финансовой прочности будет иметь организация при
сумме прибыли 490 ден. ед. в неделю?
Решение:
. Определим порог рентабельности. По формуле (33):
Qrent = Cconst / (S*
- C*var) = 920/ (5,6-4,2) =657 шт.
Так как цена единицы продукции - 5,6 ден. ед., то объем
выручки в точке безубыточности составит:
Srent = 5,6*657=3679,2 ден. ед.
. Пусть арендная плата повысится на 50%. Определим
новый порог рентабельности по той же формуле, рассчитав прежде новую величину
постоянных затрат.
Cconst = 920*1,5=1380 ден. ед.
Qrent = 1380/ (5,6-4,2) =985 шт.
Srent = 5,6*985=5520 ден. ед.
Расчет показал, что рост постоянных затрат на 50% привел к
такому же увеличению порога рентабельности.
. Пусть цена реализации увеличится на 10%. Рассчитаем
новый порог рентабельности (формула (33)), начав с расчета новой цены единицы
продукции.
S* = 5,6*1,1=6,16 ден. ед.
Qrent = 920/ (6,16-4,2) =4,69 шт.
Srent = 6,16*469=2889,04 ден. ед.
Увеличение цены реализации на 10% привело к снижению порога
рентабельности на 26%.
. Пусть закупочная цена увеличится на 13,3%.
Рассчитаем новый порог рентабельности (формула (33)), определив новую величину
удельных переменных затрат.
В нашей задаче закупочная цена - это удельные переменные
затраты (иначе: переменные затраты на единицу продукции).
C*var = 4,2*1,133=4,75 ден.
ед.
Qrent = 920/ (5,6-4,75) =1082 шт.
Srent = 5,6*1082=6059,2 ден. ед.
Увеличение удельных переменных затрат на 13,3% привело к
росту порога рентабельности на 38%.
. Для получения прибыли 490 ден. ед. при имеющемся
уровне затрат необходимо увеличить объем реализации до:
Qprog = (920+490) / (5,6-4,2)
=1007 шт.
Sprog = 5,6*1007=5639,2 ден. ед.
Для того, что бы получить прибыль в размере 490 ден. ед.
необходимо увеличить объем реализации до 907 шт.
. Рассчитаем запас финансовой прочности при условии
получения организацией прибыли в размере 490 ден. ед.
Запас финансовой прочности рассчитывается как в абсолютном
выражении, так и в относительном.
Абсолютный запас финансовой прочности показывает насколько отстоит
фактический размер выручки (в нашей задаче прогнозный) от выручки в точке
безубыточности.
Воспользуемся экономическим содержанием формулы (12) и
выразим абсолютный запас финансовой прочности через объем выпускаемой
продукции, тогда:
Fа = Qfakt - Qrent (34)
Fа = 1007-657=350 шт. или Fа = 5,6*350=1960 ден. ед.
То же самое осуществим с формулой (15), тогда относительный
запас финансовой прочности, выраженный через объем выпускаемой продукции, будет
рассчитываться следующим образом:
Fo = ( (Qfakt - Qrent) / Qfakt) × 100%, (35)
Fo = 350/1007*100=35% или Fo = (1960/56392) *100=35%
В том случае, если организация достигнет уровня реализации
продукции - 1007шт. она будет иметь абсолютный запас финансовой прочности в
размере - 350 шт. и относительный запас финансовой прочности - 35%.
Общий вывод по задаче. Проведенный анализ показал, что порог
рентабельности наиболее чувствителен к изменению цены реализации (ее рост на
10% привел к снижению порога рентабельности на 26%), а также удельных
переменных затрат (их рост на 13,3% привел к росту точки безубыточности на
38%). Наименее слабое влияние на изменение порога рентабельности оказало
изменение постоянных расходов (их рост на 50% привел к такому же увеличению
порога рентабельности).
3.3
Прогнозирование операционного риска организации
С использованием инструментов маржинального анализа выявим
влияние операционного рычага на вариабельность прибыли.
Решим задачу.
Таблица 16 - Объемы выручки и затрат дочерней организации,
ден. ед.
|
Вариант
|
S
|
Cvar
|
Cconst
|
|
22
|
2550
|
1575
|
510
|
Условие задачи. На основании представленных в табл.16
исходных данных об объеме выручки и затрат организации определить: сколько
процентов прибыли дает изменение выручки от продажи на 1%; сколько процентов
прибыли удастся сохранить организации, если выручка от продажи сократится на
25%; процент снижения выручки, при котором организация полностью лишается
прибыли и вновь встает на порог рентабельности; на сколько процентов необходимо
снизить постоянные издержки, чтобы при сокращении выручки на 25% и при прежнем
значении силы воздействия операционного рычага организация сохранила 75%
ожидаемой прибыли.
Решение.
. Для ответа на первый вопрос рассчитаем по формуле
(9) силу воздействия производственного (операционного) рычага. Для расчета
числителя (маржинальной прибыли) и знаменателя (операционной прибыли) были
использованы формулы (10) и (11).
BL2 = Pmar / Pit
= S - Cvar / S - Cvar - Cconst = = (2550-1575)
/ (2550-1575-510) =2,1%
При изменении выручки от продажи на 1% операционная прибыль
изменится на 2,1%.
. Для определения размера оставшейся прибыли (в %), которую
удастся сохранить организации, если выручка от продажи сократится на 25%, будем
исходить из рассчитанной ранее силы воздействия производственного рычага 3.
Выручка сократится на 25%, следовательно, прибыль сократится
на 25 × 2,1 = 52%, т.е. удастся сохранить только 48% (100 - 60) ожидаемой
прибыли.
. Для определения процента снижения выручки, при котором
организация полностью лишается прибыли и вновь встает на порог рентабельности,
приравняем операционную прибыль (Рit) к нулю.
Иначе говоря, у организации прибыль сократилась на 100%.
При данном размере силы воздействия производственного рычага
3 выручка должна снизиться на:
/2,1 = 47,6%.
. Для определения того, на сколько процентов необходимо
снизить постоянные издержки, чтобы при сокращении выручки на 25% и при прежнем
значении силы воздействия производственного рычага организация сохранила 75%
ожидаемой операционной прибыли, найдем математическую связь между операционной
прибылью и постоянными издержками.
Эта связь устанавливается через формулу:
Рit = Pmar - Сconst (36)
Из этой формулы:
mar = Рit + Cconst (37)
В формуле (9) заменим Pmar выражением (37):
BL2 = Pmar / Рit= (Рit + Cconst) / Рit (38)
Найдем из этой формулы Cconst:
Рit + Cconst = BL2 × Рit (39)const
= BL2 × Рit - Рit (40)
или
Cconst = Рit × (BL2 - 1) (41)
По формуле (11) находим фактическое значение операционной
прибыли:
Pit = S - Cvar - Cconst
= 2550-1575-510=465 ден. ед.
Найдем ожидаемую операционную прибыль исходя из условия
задачи (организации необходимо сохранить 75% ожидаемой операционной прибыли):
Рit = 465*0,52=241 ден. ед.
По формуле (41) рассчитаем величину постоянных издержек,
необходимую для получения такого объема операционной прибыли:
Cconst = Рit. (BL2
- 1) = 241* (2,1-1) =265,1 ден. ед.
Таким образом, чтобы при сокращении выручки на 25% и при
прежнем значении силы воздействия операционного рычага 3 организация сохранила
75% ожидаемой прибыли нужно снизить постоянные расходы на 114,9ден. ед. (380 -
265,1) или на 20% ( (114,9/370) × 100).
3.4
Формирование политики управления денежной наличностью организации
Формулы, необходимые для решения задачи:
По модели Баумоля:
Copt= √ (2F · Td) / k, (42)
где Copt - оптимальный объем
пополнения наличности за одну операцию, ден. ед.,
F - постоянные затраты по купле-продаже ценных бумаг или
обслуживанию полученной ссуды (расходы по конвертации денежных средств в ценные
бумаги), иначе: стоимость одной операции, ден. ед.,
Тd - прогнозируемая потребность в денежных
средствах в периоде, ден. ед.,
k - относительная величина альтернативных затрат (приемлемый
или возможный для организации процентный доход по краткосрочным финансовым
вложениям, например, в государственные ценные бумаги), коэфф.
n = Td / Copt, (43)
где n - общее количество операций (сделок) по конвертации ценных
бумаг в денежные средства;
ТС = (Сopt / 2) · k + (Td / Copt)
· F, (44)
где ТС - общие расходы организации по реализации политики
управления денежными средствами, ден. ед.,
Сopt / 2 - средний остаток средств на расчетном
счете, ден. ед.
По модели Миллера-Орра:
Z = (3F · σ2/4kdd) 1/3+ Lo, (45)
где Z - размах вариации остатка денежных средств на расчетном
счете (целевой остаток), ден. ед.,
σ - вариация (отклонение)
ежедневного поступления средств на расчетный счет, ден. ед.,
kdd - относительная величина альтернативных затрат в
расчете на день,
Lo - нижний предел остатка денежных средств на
расчетном счете, ден. ед.
Н = 3Z - 2Lo, (46)
где Н - верхний предел остатка средств на расчетном счете, ден.
ед.
Zm = (4Z - Lo) / 3, (47)
где Zm - средний остаток средств на счете (точка
возврата), ден. ед.
Решим задачу.
Таблица 17 - Информация для формирования политики управления
денежной наличностью организации
|
Вариант
|
Т, ден. ед.
|
k, %
|
F, ден. ед.
|
kdd
|
|
22
|
7,3
|
15
|
110
|
0,00032
|
Условие задачи. Материнской организации требуется Т = 7,3 млн
ден. ед. наличности на 1 месяц. Существует возможность получить дополнительный
доход в связи с вложением свободных денежных средств по процентной ставке k = 15%, стоимость каждой
операции по конвертации денежной наличности F = 110 ден. ед.
Имеются следующие данные для оптимизации остатка денежных
средств дочерней организации:
постоянные затраты по купле-продаже ценных бумаг или
обслуживанию полученной ссуды F = 110 ден. ед.,
относительная величина альтернативных затрат в расчете на
день kdd = 0,00032,стандартное отклонение сальдо дневного денежного
потока σ = 1000 ден. ед.
Нижний предел остатка денежных средств для всех вариантов (Lo) равен 0 ден. ед., т.к.
организация в состоянии осуществлять продажу ценных бумаг, или получить ссуду в
короткое время.
Для формирования политики управления денежной наличностью
материнской организации необходимо по модели Баумоля определить оптимальный
объем пополнения наличности на одну операцию (Copt), количество операций (n) и общие расходы
компании по реализации данной политики управления денежной наличностью (TC).
С помощью модели Миллера-Орра определить: целевой остаток (Z), верхний предел (H) и средний остаток
средств на счете (Zm).
Решение. В соответствии с моделью Баумоля затраты организации
на реализацию ценных бумаг в случае хранения части денежных средств в
высоколиквидных бумагах сопоставляются с упущенной выгодой, которую будет иметь
организация в том случае, если откажется от хранения средств в ценных бумагах,
а следовательно, не будет иметь процентов и дивидендов по ним. Модель позволяет
рассчитать такую величину денежных средств, которая минимизировала бы и затраты
по транзакциям, и упущенную выгоду.
Рассчитаем основные параметры модели, используя формулы (42 -
44):
. Оптимальный объем пополнения наличности за одну
операцию:
Copt= √ (2F · T) / k = √2*110*7300000/0,15=103473
ден. ед.
. Общее количество операций (сделок) по конвертации ценных
бумаг в денежные средства:
n = T/ Copt = 7300000/103473=70.
. Общие расходы по реализации политики управления
денежными средствами:
ТС = (Сopt / 2) · k + (T / Copt) · F =
51736*0,15+70*110=15460 ден. ед.
Таким образом, политика организации по управлению денежными
средствами и их эквивалентами такова: как только средства на расчетном счете
истощаются, организация должна продать часть своих ликвидных ценных бумаг
приблизительно на сумму 120000 ден. ед. Такая операция будет выполняется 70 раз
(50 транзакция).
Максимальный размер денежных средств на расчетном счете
составит 103473 ден. ед., средний - 51736 ден. ед. Общие расходы организации по
реализации данной политики управления денежной наличностью минимальны и
составляют 15460 ден. ед.
В том случае, когда невозможно определить объем необходимого
на период размера денежных средств, а остаток денежных средств изменяется
случайным образом, для определения оптимального размера денежных средств
применяется модель Миллера-Орра.
Рассчитаем основные параметры модели, используя формулы (45 -
47).
. Рассчитаем размах вариации остатка денежных средств на
расчетном счете (целевой остаток):
Z = (3F · σ2/4kdd) 1/3+ L =
(3*110*1000000/4*0,00032) 1/3 + 0 = 6309 ден. ед.
. Рассчитаем верхний предел (границу) денежных средств на
расчетном счете, при превышении которого необходимо часть денежных средств
конвертировать в краткосрочные ценные бумаги.
Н = 3Z - 2Lo = 3*6309-2*0=18927 ден. ед.
. Рассчитаем точку возврата - величину среднего остатка
средств на счете, к которой необходимо вернуться в случае, если фактический
остаток выходит за границы интервала (нижний предел; верхний предел).
Zm = (4Z - Lo) / 3= (4*6309-0) /3=8412
ден. ед.
Итак, согласно модели Миллера-Орра, то есть, в том случае,
если остаток денежных средств на расчетном счете изменяется случайным образом,
он должен варьировать (изменяться) в интервале [0; 18927]; при выходе за его
пределы необходимо восстанавливать средства на расчетном счете до суммы
среднего остатка - 8412 ден. ед.
3.5
Формирование политики управления запасами материнской организации
Сформируем политику управления запасами организации.
Суммарные производственные затраты по поддержанию запасов
можно найти по формуле:
Ct = h · EOQ / 2 + f · D
/ EOQ, (48)
где Ct - суммарные про-ые затраты по поддержанию
запасов, ден. ед.,
h - затраты по хранению единицы запасов, ден. ед.,
EOQ - размер оптимальной партии заказа, нат. ед.,
f - затраты по размещению и выполнению одного заказа, ден.
ед.,
D - годовая потребность в запасах, нат. ед.
Так как функция затрат имеет вид параболы, то можно найти
значение ее минимума. Формула расчета размера оптимальной партии заказа будет
иметь следующий вид:
EOQ= √2f · D / H (49)
В процессе формирования политики управления запасами
применяются и другие схемы управления заказами, позволяющие определить следующие
параметры:
. Уровень запасов, при котором делается запас:
RP = MU · MD, (50)
где RP - уровень запасов, при котором делается заказ,
нат. ед.,
MU - максимальная дневная потребность в сырье, нат.
ед.,
MD - максимальное число дней выполнения заказа, дн.
. Наиболее вероятный минимальный уровень запасов:
= RP - AU · AD, (51)
где SS - наиболее вероятный минимальный уровень запасов, нат.
ед.;- средняя дневная потребность в сырье, нат. ед.,
AD - средняя продолжительность выполнения заказа
(от момента размещения до момента получения сырья), дн.
. Максимальный уровень запасов:
MS = RP + EOQ - LU · LD, (52)
где MS - максимальный уровень запасов
LU - минимальная дневная потребность в сырье, нат. ед.,
LD - минимальное число дней выполнения заказа, дн.
Решим задачу.
Таблица 18 - Информация для формирования политики управления
запасами организации
|
Вариант
|
D, м3
|
h, ден. ед.
|
f, ден. ед.
|
|
22
|
3710
|
6,1
|
110
|
Условие задачи.
Имеются следующие данные для формирования политики управления
запасами организации:
ежегодное использование древесины D = 3710 м3,затраты
по хранению единицы запасов h = 6,1 ден. ед.,
затраты по размещению и выполнению одного заказа f = 110 ден. ед.,
Для всех вариантов:
цена единицы запасов p = 2000 ден. ед.,
минимальная дневная потребность в древесине LU = 8 м3,максимальная
дневная потребность в древесине MU = 12 м3,средняя дневная потребность в
древесине AU = 10 м3,минимальное число дней выполнения заказа (от
момента размещения до момента получения древесины) - LD = 4 дня,
максимальное число дней выполнения заказа MD = 7 дней,
среднее число дней выполнения заказа AD = 5,5 дней.
Для формирования политики управления производственными
запасами организации определить:
размер оптимальной партии заказа (EOQ),
средний размер запасов в натуральном и стоимостном выражении
(EOQ/2),
стоимость каждой закупки при неизменных ценах,
суммарные затраты на поддержание запасов (Ct),
уровень запасов, при котором делается заказ (RP)
наиболее вероятный мин. уровень запасов (cтраховой запас) (SS),
максимальный уровень запасов (MS).
Решение.
. Размер оптимальной партии заказа найдем по формуле (49):
EOQ= √2 · f · D / h = √2*110*3710/601=366
м3
. Средний размер запасов в натуральном выражении находим,
разделив размер оптимальной партии заказа на 2:
EOQ / 2 = 366/2=183 м3
. Средний размер запасов в стоимостном выражении находим,
умножив средний размер запасов в натуральном выражении на заданную цену единицы
запасов p = 2000 ден. ед.:
(EOQ/2) · p = 183*2000=366000 ден. ед.
. Стоимость каждой закупки при неизменных ценах находим так
же, как и стоимость среднего размера запасов:
EOQ · p = 366*2000=732000 ден. ед.
. Суммарные затраты на поддержание запасов находим по формуле
(48):
Ct = h · EOQ / 2 + f · D / EOQ =
6,1*183+110*3710/366=1118 ден. ед.
. Уровень запасов, при котором делается заказ - по формуле
(50):
RP = MU · MD = 12 · 7 = 84 м3
= RP - AU · AD = 84 - 10 · 5,5 = 29 м3
. Максимальный уровень запасов - по формуле (52):
MS = RP + EOQ - LU · LD = 84 + 366-8*4=418
м3.
Таким образом, оптимальные (минимальные) затраты на складское
хранение и организационные затраты на заказ производственных запасов в сумме
1118 ден. ед. достигаются при оптимальном размере партии закупаемых запасов 366
м3. При этом средний размер запасов в натуральном выражении
составляет 183 м3 или в стоимостном выражении - 366000 ден. ед.,
уровень запасов, при котором делается заказ, составляет 84 м3.
Наиболее вероятный минимальный уровень запасов при данных параметрах работы склада
составит 29 м3, а максимальный - 418м3.
3.6
Формирование оптимальной инвестиционной программы организации
Сформируем оптимальную инвестиционную программу материнской
организации.
Инвестирование представляет собой один из наиболее важных
аспектов деятельности любой динамично развивающейся коммерческой организации.
Нередко решения должны приниматься в условиях, когда имеется
ряд альтернативных проектов, т.е. возникает необходимость сделать выбор одного
или нескольких проектов, основываясь на каких-то формализованных критериях.
Принятие решений инвестиционного характера, как и любой др.
вид управленческой деятельности, основывается на использовании различных
формализованных и неформализованных методов и критериев. Степень их сочетания
определяется разными обстоятельствами. Какого-то универсального метода нет.
Критерии, используемые для оценки проектов при их выборе,
различны.
Рассмотрим наиболее используемые из критериев.
. Срок окупаемости. Этот критерий является самым
простым подходом, используемым для оценки проекта. Этот подход предполагает
расчет времени, за которое возвращается первоначальный капитал, вложенный в
проект. Среди проектов предпочтительнее оказывается тот, который имеет
наименьший срок окупаемости.
Основные недостатки - он не учитывает изменение стоимости
денег, не учитываются те потоки, которые будут получены по завершении срока
окупаемости.
В связи с этим подход не используется при окончательном
выборе, его используют на этапе предварительной оценки для того, что бы
исключить заведомо неудачные проекты.
. Чистая приведенная стоимость (Net present value, NPV).
Этот критерий рассчитывается является наиболее значимым из
всех подходов.
Чистая приведенная стоимость проекта - это результат
сопоставления инвестиций и суммы текущей стоимости всех денежных потоков по
проекту. В качестве приближенной ставки дисконтирования используется стоимость
капитала, который требуется для финансирования проекта. Она выражается
уравнением:
NPV =
- I0, (53)
где NPV - чистая приведенная стоимость проекта,
ден. ед.,
CFi - чистый денежный поток, ден. ед.,
rd - ставка дисконтирования (возможно WACC), проц.,
I0 - объем
инвестиций, ден. ед.
. Внутренняя норма рентабельности проекта (Internal rate of return, IRR).
Внутренняя норма рентабельности (синонимы: внутренняя норма
доходности, внутренняя норма окупаемости, внутренняя норма прибыли инвестиций)
- это такое значение ставки дисконтирования, при котором чистая приведенная
стоимость проекта (NPV) равна нулю. Для расчета используется следующее
уравнение:
=
. (54)
Смысл расчета внутренней нормы рентабельности при анализе
эффективности планируемых инвестиций, как правило, заключается в следующем: IRR показывает ожидаемую доходность проекта,
и, следовательно, максимально допустимый относительный уровень расходов.
Например, если проект полностью финансируется за счет банковского кредита, то
значение IRR показывает верхнюю границу допустимого
уровня банковской процентной ставки, превышение которого делает проект
убыточным. Таким образом, инвестиционный проект будет эффективным, если его
внутренняя норма рентабельности (IRR) будет
больше, чем стоимость инвестируемого капитала (WACC).
Решим задачу.
Таблица 19 - Инвестиционные проекты, предложенные для реализации
|
Вариант
|
Проект А
|
Проект В
|
Проект С
|
Проект D
|
Проект Е
|
|
IRR,%
|
J, тыс. ден. ед.
|
IRR,%
|
J, тыс. ден. ед.
|
IRR,%
|
J, тыс. ден. ед.
|
IRR,%
|
J, тыс. ден. ед.
|
IRR,%
|
J, тыс. ден. ед.
|
|
22
|
23,1
|
540
|
22,1
|
540
|
21,1
|
703
|
20,1
|
230
|
19,1
|
630
|
Таблица 20 - Источники финансирования инвестиций
|
Вариант
|
Кредит
|
Дополнительный
кредит
|
Нераспред.
приб. тыс. ден. ед.
|
Эмиссия
привилегированных акций
|
Эмиссия
обыкновенных акций
|
|
|
тыс. ден. ед.
|
%
|
тыс. ден. ед.
|
%
|
|
Dpp, ден. ед.
|
рpp, ден. ед.
|
Dcs, ден. ед.
|
g,%
|
рcs, ден. ед.
|
|
22
|
690
|
15,3
|
202
|
18,1
|
690
|
201
|
1100
|
240
|
4,5
|
1500
|
Условие задачи. Организация проводит процесс формирования
оптимальной инвестиционной программы, рассматривая ряд инвестиционных проектов.
При этом известны следующие параметры проектов (табл. 19):
проект А: внутренняя норма доходности (IRR) составляет 23,1%;
инвестиционные затраты (J) - 540 тыс. ден. ед.;
проект В: внутренняя норма доходности (IRR) составляет 22,1%;
инвестиционные затраты (J) - 540 тыс. ден. ед.;
проект С: внутренняя норма доходности (IRR) составляет 21,1%;
инвестиционные затраты (J) - 703 тыс. ден. ед.;
проект D: внутренняя норма доходности (IRR) составляет 20,1%;
инвестиционные затраты (J) - 230 тыс. ден. ед.;
проект E: внутренняя норма доходности (IRR) составляет 19,1 %;
инвестиционные затраты (J) - 630 тыс. ден. ед.
Возможные источники финансирования инвестиций (табл. 20):
кредит на 690 тыс. ден. ед. под 15,3% годовых;
дополнительный кредит на 202 тыс. ден. ед. под 18,1% годовых;
нераспределенная прибыль - 690 тыс. ден. ед.;
эмиссия привилегированных акций со следующими параметрами:
годовой дивиденд (Dpp) 201 ден. ед., цена привилегированной акции (ppp) равна 1100 ден. ед.;
эмиссия обыкновенных акций со следующими параметрами: годовой
дивиденд (Dcs) 240 ден. ед., годовой прирост дивиденда (g) 4,5%, цена обыкновенной
акции (pcs) составляет 1500 ден. ед.
Эмиссия привилегированных акций составляет 10% от необходимой
суммы финансирования проектов, эмиссия обыкновенных акций осуществляется в
необходимом объеме (для всех вариантов). Решение.
Решение задачи формирования оптимальной инвестиционной
программы организации осуществляется в несколько этапов.
. Определим стоимость различных источников
финансирования:
источника "Банковский кредит" по формуле (4):
kd = i × (100 - npr) = 15,3* (100-20) =12,24
%;
источника "Дополнительный кредит" по этой же
формуле (4):
kd = i × (100 - npr) = 18,1* (100-20) =14,48
годовых;
источника "Привилегированные акции" по формуле (5):
kpp = Dpp / ppp = 201/1100 = 0,18 или 18
% годовых;
источника "Обыкновенные акции" по формуле (6):
kcs =
+ g = 245/1500+0,045=0, 208 или 20,8 %
годовых;
источника "Нераспределенная прибыль" по формуле (7):
kр = kcs· (1 - n) = 0, 208* (1-0,09) =0,1892 или 18,92% годовых.
2. На втором этапе рассчитаем средневзвешенную
стоимость капитала.
Результаты ранжирования инвестиционных проектов по IRR и определение источников
их финансирования представлены в табл.21.
Таблица 21 - Инвестиционная программа организации
|
Проекты
|
IRR %
|
J, тыс. ден. ед.
|
Кредит
|
Дополнительный
кредит
|
Обыкновенные
акции
|
Привилегированные
акции
|
Нераспределенная
прибыль
|
WACC %
|
|
|
|
kd,
%
|
Сip, тыс. ден. ед.
|
kd,
%
|
Сip, тыс. ден. ед.
|
kcs
|
Сip, тыс. ден. ед.
|
kpp
|
Сip, тыс. ден. ед.
|
kp
|
Сip, тыс. ден. ед.
|
|
|
А
|
23,1
|
540
|
|
|
|
|
20,8
|
540
|
|
|
|
|
20,8
|
|
В
|
22,1
|
540
|
|
|
14,48
|
50
|
20,8
|
390
|
|
|
18,92
|
100
|
54,29
|
|
С
|
21,1
|
703
|
|
|
14,48
|
201
|
|
|
|
|
18,92
|
502
|
33,34
|
|
Д
|
20,1
|
230
|
12,24
|
230
|
|
|
|
|
|
|
|
|
12,24
|
|
Е
|
19,1
|
630
|
|
|
|
|
|
|
12,05
|
630
|
|
|
12,05
|
|
Итого
|
|
2643
|
|
230
|
|
251
|
|
980
|
|
630
|
|
|
26,5
|
После того, как все проекты сформированы, можно рассчитать
средневзвешенную стоимость каждого проекта и занести результат расчета в
последнюю колонку табл.21.
Расчет средневзвешенной стоимости проектов осуществляется по
формуле (3):
по проекту Е:
WACC =
kj · dj =
12,05 · 1 = 12,05%;
по проекту Д:
WACC =
kj · dj =
12,24*1 =12,24%;
по проекту С:
WACC =
kj · dj =
(14,48*201+18,92*502) /703=17,6%;
по проекту В:
WACC =
kj · dj =
(14,48*50+20,08*390+1892*100) /540=19,3%;
по проекту А:
WACC =
kj · dj =
20,08*1=20,08%.
Расчет показал, что по всем проектам IRR > WACC, следовательно, проекты сформированы по
источникам инвестиций правильно.
Осуществим расчет средневзвешенной стоимости капитала и внутренней
нормы доходности по портфелю инвестиционных проектов в целом (по формуле
средневзвешенной арифметической):
WACC = (20,8*540+19,3*540+17,6*703+12,24*230+12,05*630)
/2643=16,8
IRR = (23,1*540+22,1*540+21,1*703+20,1*230+19,1*630) 2643= 21,14%.
Итак, для реализации инвестиционного портфеля организации требуется
в целом 2643 тыс. ден. ед. капитальных вложений, при этом структура источников
финансирования такова, что для каждого из предлагаемых инвестиционных проектов
можно подобрать такие источники финансирования, чтобы соблюдалось условие: IRR
> WACC. При этом средняя внутренняя норма доходности инвестиционного
портфеля организации составляет 21,14%, что выше, чем средневзвешенная
стоимость капитала (16,8%). Следовательно, инвестиционная программа является
приемлемой и подлежит реализации.
3.7
Управление структурой источников организации
Оценим влияние структуры капитала на его эффективность и
стоимость организации.
Обратимся к задаче, условия которой представлены в Приложении
7 (табл.1 и 2 приложения) Методического пособия. Решим задачу,
используя данные. Условие задачи.
. По данным Приложения 7 (таблица 1 Приложения)
выбрать оптимальный вариант структуры источников финансирования одного из
инвестиционных проектов, оценив соотношение "рентабельность - финансовый
риск" и срок окупаемости для каждого варианта.
. По данным Приложения 7 (таблица 2 Приложения)
определить текущую рыночную стоимость (Vf) организации по формуле
(2), выявить влияние изменения структуры капитала на стоимость организации.
. По данным Приложения 7 (таблица 2 Приложения)
оценить влияние финансового левериджа на эффективность управления капиталом
организации.
Решение.
1. Выбор оптимального варианта структуры
источников финансирования.
Задача выбора оптимального варианта структуры источников
финансирования одного из инвестиционных проектов заключается в оценке
целесообразности привлечения заемного капитала для финансирования проекта.
Можно говорить о двух крайностях финансирования: максимально консервативным
вариантом является финансирование проекта только за счет собственного капитала
(Е), в этом случае заемный капитал отсутствует вообще (L = 0 %, Е = 100 %); а
максимально агрессивным вариантом финансирования проекта - финансирование
только за счет заемного капитала (L = 100 %, Е = 0 %).
Решать задачу будем в табличной форме - см. табл.21. Строки с
1 по 5 таблицы заполняются на основании исходных данных (табл.1 Приложения 7).
Дальше для каждой из предлагаемых структур финансирования проекта (0/100;
20/80; 40/60 и т.д., см. табл.1 Приложения 7) необходимо рассчитать и записать
в таблицу: величину собственного капитала исходя из заданной структуры
финансирования (строка 6); величину заемного капитала исходя из заданной
структуры финансирования (строка 7); рентабельность собственного капитала
(строка 8) по формуле:
ROE = ( (Ppr -
r · L) · (1 - tax)) / E, (55)
где ROE - рентабельность
собственного капитала, коэфф.,
Рpr - годовая величина
проектной прибыли до выплаты процентов и налогов, ден. ед.,- процентная ставка
по займам, коэфф.;- ставка налога и прочих отчислений от прибыли, коэфф.;
уровень финансового риска (строка 9) по
формуле:
= (r - rf) · L / (E +
L), (56)
где FR - уровень финансового риска,
коэфф.,f - безрисковая ставка рентабельности на финансовом рынке,
коэфф.,
соотношение
"рентабельность-финансовый риск" (строка 10) по формуле:
λ = ROE / FR, (57)
срок окупаемости инвестиционного проекта,
лет, (строка 11) по формуле:
T = J / (P - 1 · L) · (1 - tax), (58)
где J - инвестиционная потребность в
капитале из всех источников финансирования.
Таблица 22 - Показатели инвестиционного проекта организации
|
Показатели
|
Структура
капитала, % (L/E)
|
|
0/100
|
20/80
|
40/60
|
50/50
|
60/40
|
80/20
|
100/0
|
|
1. Потребность
в капитале из всех источников (J), тыс. ден.
ед.
|
8750
|
8750
|
8750
|
8750
|
8750
|
8750
|
8750
|
|
2. Безрисковая
ставка рентабельности на финансовом рынке (rf), коэффициент
|
0,25
|
0,25
|
0,25
|
0,25
|
0,25
|
0,25
|
0,25
|
|
3. Процентная
ставка по займам (r), коэффициент
|
0,45
|
0,45
|
0,45
|
0,45
|
0,40
|
0,40
|
0,40
|
|
4. Ставка
налога и проч. отчислений от прибыли (tax), коэффициент
|
0,35
|
0,35
|
0,35
|
0,35
|
0,35
|
0,35
|
0,35
|
|
5. Годовая величина
проектной прибыли до выплаты процентов и налогов (Рpp), тыс. ден. ед.
|
6400
|
6400
|
6400
|
6400
|
6400
|
6400
|
6400
|
|
6. Величина
собственного капитала (Е), тыс. ден. ед.
|
8750
|
7000
|
5250
|
4375
|
3500
|
1750
|
-
|
|
7. Величина
заемного капитала (L), тыс. ден.
ед.
|
-
|
1750
|
3500
|
4375
|
5250
|
7000
|
8750
|
|
8.
Рентабельность собственного капитала (ROE), коэффициент
|
0,475
|
0,521
|
0,597
|
0,658
|
0,799
|
1,337
|
-
|
|
9. Уровень
финансового риска (FR),
коэффициент
|
-
|
0,04
|
0,08
|
0,1
|
0,09
|
0,12
|
0,15
|
|
10. Соотношение
"рентабельность-финансовый риск" (λ)
|
-
|
13,03
|
7,46
|
6,58
|
8,88
|
11,14
|
-
|
|
11. Срок
окупаемости (Т), лет
|
2,1
|
2,4
|
2,8
|
3,0
|
3,1
|
3,7
|
4,6
|
Прежде чем сделать вывод по этой части
задачи напомним, что оптимальным является тот вариант структуры капитала,
который имеет:
наибольшее значение показателя "рентабельности
собственного капитала";
наибольшее значение соотношение
"рентабельность - финансовый риск";
наименьшее значение показателя "срок
окупаемости" (при приемлемом соотношении "рентабельность - финансовый
риск").
Таким образом, выбор оптимальной структуры
капитала для финансирования инвестиционного проекта зависит от предпочтений
инвестора в зависимости от значимости для него следующих критериев:
если для инвестора наиболее важным
критерием является максимизация рентабельности собственного капитала в расчете
по чистой прибыли, то оптимальным вариантом финансирования будет соотношение:
80% заемного капитала к 20% собственного капитала, т.к. эта структура имеет
наибольшее ROE (133,7%). Данный вариант также характеризуется достаточно
высоким значением соотношения "рентабельность-финансовый риск"
(11,14), но имеет длительный срок окупаемости проекта (3,7 года);
если инвестор придает наибольшую
значимость максимизации соотношения "рентабельность-финансовый риск",
то оптимальным вариантом финансирования будет соотношение 20% заемного капитала
к 80% собственного капитала, т.к. эта структура имеет максимальное значение
соотношения "рентабельность-финансовый риск" - 13,03. Данный вариант
характеризуется относительно невысоким значением ROE (52,1%), но имеет один из
наиболее низких сроков окупаемости проекта (2,4 года);
если для инвестора наиболее важным
критерием является минимизация срока окупаемости проекта, то оптимальным
вариантом финансирования будет соотношение 0% заемного капитала к 100%
собственного капитала (срок окупаемости - 2,1 года). Правда, данный вариант
характеризуется наиболее низким значением ROE (47,5%), финансовые риски при
этом, естественно, отсутствуют.
В целом, на наш взгляд, наиболее важным
критерием для инвестора является рентабельность собственного капитала. В этом
случае он предпочтет инвестиционный проект, имеющий структуру капитала: 80%
заемного капитала и 20% собственного капитала.
. Определение влияния изменения структуры
капитала на стоимость организации (табл.22).
Решение задачи осуществим в табл.22. На
основании исходной информации, представленной в табл.2 Приложения 7, заполним
строки с 1 по 5 таблицы 22. Остальные строки заполним самостоятельно (см.
порядок расчета в табл.22). Напоминаем, что порядок расчета стоимости
организации и стоимости капитала был подробно рассмотрен при описании методики
оценки финансового состояния организации (формулы (2) и (3)).
Таблица 23 - Финансовые показатели
организации
|
Показатели
|
Порядок расчета
|
А
|
В
|
С
|
|
1. Собственный
капитал, тыс. руб.
|
Исх. данные
|
1000
|
800
|
500
|
|
2. Заемный
капитал, тыс. руб.
|
Исх. данные
|
-
|
200
|
500
|
|
3. Операционная
прибыль, тыс. руб.
|
Исх. данные
|
400
|
400
|
400
|
|
4. Годовая
ставка процентов по кредиту, %
|
Исх. данные
|
12
|
12
|
12
|
|
5. Стоимость
собственного капитала, %
|
Исх. данные
|
25
|
21
|
20
|
|
6. Выплата
процентов за кредит, тыс. руб.
|
0,12
|
24
|
60
|
|
7. Прибыль до
налогообложения, тыс. руб.
|
П.3 - п.6
|
399
|
376
|
340
|
|
8. Налог на
прибыль, тыс. руб.
|
0,2 · п.7
|
79,8
|
75,2
|
68
|
|
9. Операционная
прибыль, уменьшенная на сумму налогообложения (POI), тыс. руб.
|
П.3 - п.8
|
320,2
|
324,8
|
332
|
|
10. Стоимость
капитала (WACC), %
|
WACC = Σ ki · di
|
25
|
19,2
|
16
|
|
11. Тек. Рын-ая
стоимость орг. (Vf), тыс. руб.
|
Vf = POI / WACC
|
1280,8
|
1691,6
|
2075
|
Таким образом, анализ трех вариантов
структуры капитала показал, что наименьшую текущую рыночную стоимость (Vf)
имеет организация с наибольшей стоимостью капитала (WACC), которая сложилась
из-за отсутствия в структуре ее капитала заемных источников.
Увеличение в структуре капитала
организации доли заемного капитала приводит к увеличению ее текущей рыночной
стоимости и снижению стоимости капитала.
На наш взгляд, из трех вариантов
инвестирования наиболее удачным является вариант С, имеющий структуру капитала:
50% собственного капитала и 50% заемного капитала.
Данная структура характеризуется
наименьшей стоимостью капитала (15,5%) и наибольшей стоимостью организации
(1161,1 тыс. ден. ед.).
3. Определение влияния финансового левериджа на
эффективность управления капиталом организации.
Эффект финансового рычага характеризует
такое использование организацией заемных средств, которое влияет на изменение
коэффициента рентабельности собственного капитала. Эффект финансового рычага
определяется по формуле:
FL2 = (ROA - i) · FL1 · (1 - прr), (59)
|
Показатели
|
Порядок расчета
|
А
|
В
|
С
|
|
1. Активы, тыс.
ден. ед.
|
П.2 + п.3
|
1000
|
1000
|
1000
|
|
2. Собственный
капитал, тыс. ден. ед.
|
Из табл.22
|
1000
|
800
|
500
|
|
3. Заемный
капитал, тыс. ден. ед.
|
Из табл.22
|
-
|
200
|
500
|
|
4. Операционная
прибыль, тыс. ден. ед.
|
Из табл.22
|
400
|
400
|
400
|
|
5. Рентабельность
активов (ROA), %
|
(П.4/п.1) ·
100
|
40
|
40
|
40
|
|
6. Годовая
ставка процентов по кредиту, %
|
Из табл.22
|
12
|
12
|
12
|
|
7. Выплата
процентов за кредит, тыс. ден. ед.
|
Из табл.22
|
0,12
|
24
|
60
|
|
8. Прибыль до
налогообложения, тыс. ден. ед.
|
Из табл.22
|
399
|
376
|
340
|
|
9. Налог на
прибыль, тыс. руб.
|
Из табл.22
|
79,8
|
75,2
|
68
|
|
10. Чистая
прибыль (Pn), тыс. ден. ед.
|
П.8 - п.9
|
519,2
|
300,8
|
272
|
|
11.
Рентабельность собственного капитала (ROE),
%
|
(П.10/п.2) ·
100
|
51,9
|
37,6
|
54,4
|
|
12. Эффект
финансового рычага, %
|
Формула (59)
|
-
|
5,32
|
21,2
|
|
13. Сила
воздействия финансового рычага
|
Формула (61)
|
1
|
1,06
|
1,17
|
Плечо финансового рычага (FL1) в соответствии с
формулой табл.4 данного пособия:
FL1 = L / E (60)
Соотношение представляет собой коэффициент
и показывает сумму заемного капитала в расчете на 1 ден. ед. собственного
капитала.
Сила воздействия финансового рычага (FL3):
FL3= Рit / (Рit - In), (61)
где In - сумма процентов за
кредит, ден. ед.
Решение представим в табл.22.
Таблица 22 - Оценка финансового риска и
расчет показателей финансового левериджа организаций с различной структурой
финансирования
Так как эффект финансового рычага
показывает, на сколько процентов изменяется рентабельность собственного
капитала за счет привлечения заемных ресурсов в оборот организации, то
относительно меньшее абсолютное значение финансового рычага свидетельствует о
более низком уровне финансового риска.
Анализ данных табл.22 показывает, что
максимальный эффект финансового рычага и максимальную силу воздействия
финансового рычага имеет инвестиционный проект со структурой капитала: 50%
собственного капитала и 50% заемного капитала: соответственно 21,2% и 1,17.
Данный проект имеет максимальную рентабельность собственного капитала. Но при
этом он имеет самый высокий финансовый риск.
Заключение
В экономической науке оборотные средства - одна их самых
важных и вместе с тем сложных экономических категорий.
Одной из основных составляющих оборотного капитала являются
производственные запасы предприятия, задача финансового менеджера - выявить
результат и затраты связанные с хранением запасов и провести разумный баланс.
Дебиторская задолженность - еще один важный компонент
оборотного капитала. Одной из задач финансового менеджера по управлению
дебиторской задолженностью является определение риска неплатежеспособности
покупателей.
Денежные средства и их эквиваленты - наиболее ликвидная часть
оборотного капитала. Выбирая между наличными средствами и ценными бумагами,
финансовый менеджер решает задачу, которую решает менеджер по производству.
Краткосрочные обязательства (пассивы) - это обязательства
предприятия перед своими поставщиками, банками государством и т.д., планируемые
к погашению в течении ближайших 12 мес. Одни предприятия могут решать свои
проблемы краткосрочного финансирования путем залога имеющихся активов, другие -
за счет частичной их распродажи.
Финансовое планирование производственно-финансовой
деятельности организации неотъемлемая часть для каждой организации. Оценка
финансового состояния организации является первым этапом финансового
планирования, так как она дает заключение о возможности ликвидации организации
на основе сравнения ликвидационной стоимости организации и текущей рыночной
стоимости организации. Прогноз агрегированной бухгалтерской отчетности
проводится на основе дополнительных данных отчета о прибылях и убытках и
бухгалтерского баланса.
Список
использованных источников
1. Бланк,
И.А. Основы финансового менеджмента: учебное пособие / И.А. Бланк. - 2-е изд.,
перераб и доп. - К.: Эльга, Ника - Центр, 2004. - 624 с.
2. Васильева,
Л.С. Финансовый анализ: учебник/ Л.С. Васильева, М.В. Петровская. - 2-е изд.,
перераб. и доп. - М.: КНОРУС, 2007. - 816 с.
. Ионова,
А.Ф., Селезнева, Н. И Финансовый менеджмент: учебное пособие / А.Ф. Ионова,
Н.И. Селезнева. - М.: Проспект, 2010. - 592 с.
. Ионова,
А.Ф., Селезнева, Н.Н. Финансовый анализ: учебник / А.Ф. Ионова, Н.Н. Селезнева.
- М.: ТК Велби, Изд-во Проспект, 2006. - 624
. Ковалев,
В. В Финансовый менеджмент: теория и практика: учебное пособие / В.В. Ковалев.
- М.: ТК Велби, Изд-во "Проспект", 2006. - 1016 с.
. Ковалев,
В.В. Курс финансового менеджмента: учебное пособие / В.В. Ковалев. - 2-е изд.,
перераб. и доп. - М.: Проспект, 2009. - 480 с.
. Ковалев,
В.В., Волкова, О.Н. Анализ хозяйственной деятельности предприятия: учебник/
В.В. Ковалев, О.Н. Волкова. - М.: Велби, 2004. - 424 с.
. Ковалева,
А.М. Финансы фирмы: учебник / А.М. Ковалева, М.Г. Лапуста, Л.Г. Скамай. - 4-е
изд. - М.: ИНФРА-М, 2007. - 522 с.
. Кокин,
А.С. Финансовый менеджмент: учебное пособие / А.С. Кокин, В.Н. Ясенев. - 2-е
изд., перераб. и доп. - М.: ЮНИТИ - ДАНА, 2009. - 511 с.
. Кольчина,
Н.В. Финансовый менеджмент: учебное пособие / Н.В. Кольчина, О.В. Португалова,
Е. Ю Макеева; под ред. Н.В. Кольчиной. - М.: ЮНИТИ-ДАНА, 2008. - 464 с.
. Крейнина,
М.Н. Финансовый менеджмент: учебное пособие / М.Н. Крейнина. - 2-е изд. - М.:
Издательство: Дело и Сервис, 2001. - 400 с.
. Кузнецов,
Б.Т. Финансовый менеджмент: учебное пособие / Б.Т. Кузнецов. - М.: ЮНИТИ-ДАНА,
2005. - 415 с.
. Маркарьян,
Э.А. Финансовый анализ: учебное пособие/ Э.А. Маркарьян. - М.: КНОРУС, 2006. -
224 с.
. Незамайкин,
В.Н., Юрзинова, Л.Л. Финансы организаций: менеджмент и анализ: учебное пособие/
В.Н. Незамайкин, Л.Л. Юрзинова. - М.: Изд-во Эксимо, 2004. - 448 с.
. Никитина,
Н.В. Финансовый менеджмент: учебное пособие / Н.В. Никитина. - М.: КРОНУС,
2009. - 336 с.
. Ромашева,
И.Б. Финансовый менеджмент. Деловые игры: учебное пособие / И.Б. Ромашева. -
М.: КНОРУС, 2006. - 336 с.
. Селезнева,
Н. Н, Ионова, А.Ф. Управление финансами. Задачи, ситуации, тесты, схемы:
учебное пособие для вузов / Н. Н Селезнева, А.Ф. Ионова. - М.: Изд-во
"Проспект", 2006. - 176 с.
. Сироткин,
С.А. Финансовый менеджмент на предприятии: учебное пособие / А.С. Сироткин,
Н.Р. Кельчевская. - 2-е изд., перераб. и доп. - М.: ЮНИТИ - ДАНА, 2009. - 351 с.
. Соснаускене,
О.И. Финансовый анализ организации по данным бухгалтерской (финансовой)
отчетности: практическое пособие / О.И. Соснаускене, Н.В. Дрогункина. - М.:
Изд-во "Экзамен", 2008. - 224 с.
. Финансовый
менеджмент: теория и практика: учебник / под ред.Е.С. Стояновой. - 6-е изд. -
М.: Изд-во "Перспектива", 2006. - 656 с.
Приложение
Данные бухгалтерской отчетности организации
|
Код
|
Вариант 22
|
|
бухгалтерский
баланс, тыс. ден. ед.
|
Агрегированный
|
Прогнозный
|
|
190
|
21922
|
28128
|
|
210
|
4001
|
4231
|
|
216
|
5
|
5
|
|
220
|
1256
|
1325
|
|
240
|
419
|
442
|
|
250
|
300
|
316
|
|
260
|
200
|
211
|
|
290
|
6176
|
6525
|
|
300
|
28098
|
29653
|
|
410
|
19
|
19
|
|
430
|
-
|
13519
|
|
490
|
13490
|
13538
|
|
610
|
16
|
721
|
|
620
|
14092
|
14894
|
|
621
|
7449
|
8274
|
|
624
|
67
|
70
|
|
625
|
1773
|
1871
|
|
630
|
500
|
500
|
|
640
|
-
|
-
|
|
650
|
-
|
-
|
|
690
|
14592
|
16115
|
|
700
|
28098
|
29653
|
|
Отчет о
прибылях и убытках, тыс. ден. ед.
|
Агрегированный
|
Прогнозный
|
|
S
|
7059
|
7447
|
|
Cvar
|
5855
|
6177
|
|
Cconst
|
241
|
241
|
|
Pit
|
1363
|
1407
|
|
Pn
|
960
|
845
|
|
Дополнительные
данные, ден. ед.
|
|
pcs
|
10
|
|
Dcs
|
2,5
|
|
kg, %
|
5,5
|
pcs - рыночная цена
обыкновенных акций; Dcs - дивиденд на одну акцию; kg - экономический рост
компании; S - выручка от продаж; Cvar - прямые (переменные)
издержки; Cconst - условно-постоянные издержки; Pit - операционная прибыль
(прибыль до выплаты процентов и налогов); Pn - чистая прибыль.
Замечание: в разделе "Капитал и резервы" кроме
Уставного капитала показана "Нераспределенная прибыль".