Разработка авторской модели диагностики финансового состояния фирмы ООО 'ЛМК'

  • Вид работы:
    Дипломная (ВКР)
  • Предмет:
    Финансы, деньги, кредит
  • Язык:
    Русский
    ,
    Формат файла:
    MS Word
    303,88 Кб
  • Опубликовано:
    2012-04-19
Вы можете узнать стоимость помощи в написании студенческой работы.
Помощь в написании работы, которую точно примут!

Разработка авторской модели диагностики финансового состояния фирмы ООО 'ЛМК'

Оглавление

 

Введение

1. Теоретические и методологические основы диагностики финансового состояния фирмы

1.1 Содержание, формы, принципы диагностики финансового состояния фирмы

1.2 Особенности формирования диагностики финансового состояния фирмы

1.3 Выбор альтернативной методики диагностики финансового состояния фирмы

2. Экспресс-диагностика финансового состояния ООО "ЛМК"

2.1 Расчет показателей финансового состояния фирмы

2.2 Анализ тенденций финансового состояния фирмы

3. Разработка авторской модели диагностики финансового состояния фирмы ООО "ЛМК"

3.1 Концептуальные основы диагностики финансового состояния фирмы

3.2 Расчетная модель диагностики финансового состояния фирмы

Заключение

Список использованной литературы

Введение

Актуальность работы. В настоящее время, впервые за последние годы, в России наблюдается рост промышленного производства. Однако, несмотря на такую положительную тенденцию, большинство российских фирм находятся в сложном финансовом положении. Это обусловлено множеством причин, главными из которых являются ошибки в организации управления фирмой, неэффективная финансовая политика, нерациональное использование производственных ресурсов организации. Очень часто руководство фирмы не может самостоятельно преодолеть существующие трудности и поэтому вынуждено обращаться за помощью в консалтинговые фирмы, которые, применяя экономическую диагностику, способствуют повышению эффективности работы фирмы-клиента.

С помощью экономической диагностики можно определить диспропорции в процессе функционирования фирмы, выявить их влияние на финансово-хозяйственную деятельность фирмы, установить причины возникновения данных диспропорций и определить пути их устранения, тем самым, формируя необходимую для управления информацию о способах повышения эффективности функционирования организации.

Для управления на предприятии нужно иметь полную и правдивую информацию о текущей деятельности фирмы, ходе выполнения планов. Поэтому одной из функций управления является учет. Он обеспечивает постоянный сбор, систематизацию и обобщение данных, необходимых для управления и контроля за ходом выполнения планов и деятельностью фирмы.

Однако для управления предприятием нужно иметь представление не только о ходе выполнения плана, результатах хозяйственной деятельности, но и о тенденциях и характере происходящих изменений в экономике фирмы. Осмысление, понимание информации достигаются с помощью экономического анализа и как составной его части анализа финансового состояния фирмы. В процессе диагностики первичная информация проходит аналитическую обработку: проводится сравнение достигнутых результатов с данными за прошлые отрезки времени, с показателями других фирм, определяется влияние разных факторов на величину результативных показателей, выявляются недостатки, ошибки, неиспользованные возможности, перспективы и т.д. На основе результатов диагностики финансового состояния разрабатываются и обосновываются управленческие решения.

Объектом исследования дипломного проекта является финансовое состояние фирмы.

Предмет исследования - экономические отношения между хозяйствующими субъектами по поводу диагностики финансового состояния фирмы.

Целью дипломной работы является разработка модели диагностики финансового состояния фирмы ООО "ЛМК". Данная модель разрабатывалась с целью повышения эффективности финансовой деятельности данной фирмы. Основываясь на данных о прошлой деятельности фирмы, финансовая диагностика направлена на снижение неопределенности относительно его будущего состояния.

Для достижения поставленной цели необходимо решить ряд задач:

изучить сущность, формы и принципы диагностики финансового состояния фирмы;

выявить особенности диагностики финансового состояния фирмы;

выбрать альтернативный алгоритм диагностики финансового состояния фирмы;

на основе выбранного алгоритма произвести расчёт показателей диагностики финансового состояния фирмы;

проанализировать тенденции показателей диагностики финансового состояния фирмы;

выявить концептуальные основы диагностики финансового состояния фирмы;

разработать модель диагностики финансового состояния фирмы.

В теоретической части дипломного проекта раскрыты следующие положения: содержание, формы и принципы диагностики финансового состояния фирмы, особенности формирования диагностики финансового состояния фирмы. Проанализированы общие, частные и специфические особенности формирования диагностики финансового состояния фирмы. Выбран альтернативный алгоритм диагностики финансового состояния фирмы.

В практической части проведена диагностика финансового состояния фирмы по выбранному алгоритму диагностики финансового состояния фирмы, рассчитаны такие показатели как диагностика финансовой устойчивости, диагностика платежеспособности и диагностика оборачиваемости. Проанализированы тенденции финансового состояния за рассматриваемый период, выявлены проблемы. Разработана модель диагностики финансового состояния фирмы ООО "ЛМК", сделан прогноз финансового состояния на последующий год.

Предметом защиты является расчетная модель диагностики финансового состояния фирмы. Предложенная модель, разработана на основе концептуальных основ диагностики финансового состояния фирмы, включает комплекс антикризисных мер, направленных на поддерживание стабильного финансового состояния фирмы. На основе представленного алгоритма проведена прогнозная оценка финансового состояния фирмы, которая подтверждает эффективность предложенных мер.

В дипломном проекте использована теория и методология по проблеме: диагностики финансового состояния фирмы, изложенная в монографиях и статьях российских и зарубежных авторов, нормативных актах, источниках сети Internet, бухгалтерской отчетности фирмы.

1. Теоретические и методологические основы диагностики финансового состояния фирмы


1.1 Содержание, формы, принципы диагностики финансового состояния фирмы


Рассмотрим существующие в экономической литературе подходы к определению диагностики финансового состояния фирмы.

Содержание и основная целевая установка диагностики финансового состояния - это оценка финансового состояния и выявление возможности повышения эффективности функционирования хозяйствующего субъекта с помощью рациональной финансовой политики.

Ковалев В.В. дает следующее определение: диагностика финансового состояние хозяйствующего субъекта - это характеристика его финансовой конкурентоспособности (т.е. платежеспособности, кредитоспособности), использования финансовых ресурсов и капитала, выполнения обязательств перед государством и другими хозяйствующими субъектами. [18, стр.15]

Борисов А.Б. под диагностикой финансового состояния фирмы понимает: своевременный экономический анализ результатов деятельности фирмы, при котором комплексно оценивается ее соответствие целям и задачам, стоящим на данном этапе перед предприятием. Является необходимым элементом управления. Такой анализ направлен на выявление величины и изменения во времени экономических показателей, характеризующих производство, обращение, потребление продукции, товаров, услуг, эффективность использования ресурсов, качество производимого продукта. В ходе диагностики выявляются причины и возможные последствия наблюдаемых, изучаемых факторов. [6, стр.8]

Лисовский А.Г. под понятием финансовая диагностика подразумевает определение показателей, дающих картину финансового состояния фирмы, его прибылей и убытков, изменений в структуре активов и пассивов, в расчетах с дебиторами и кредиторами на основе имеющейся бухгалтерской документации. [21, стр. 20]

Райзберг Б.А. трактует данное определение: диагностика финансового состояния фирмы - это одна из ветвей экономического анализа, связанная с изучением производственной, финансовой, торговой деятельности фирм, фирм, домашних хозяйств. [28, стр.27]

Глазов М.М. трактует диагностику фирмы как учение о методах и принципах распознавания дисфункций и постановке диагноза. Он определяет диагностику фирмы как процесс постановки диагноза анализируемому объекту в целях повышения эффективности функционирования, повышения его жизнеспособности в условиях свободной конкуренции, свободного, нерегулируемого рынка. [12, с.13].

Буряковский В.В. понимает под определением диагностики финансового состояния фирмы следующее: это процесс исследования финансового состояния и основных результатов финансовой деятельности фирмы с целью выявления резервов дальнейшего повышения его рыночной стоимости. [8, стр.22]

На мой взгляд, все вышеперечисленные определения диагностики финансового состояния не отражают данное понятие в полной мере. В связи с этим дадим авторское определение диагностики финансового состояния фирмы: это процесс распознавания диспропорций и оценки особенностей функционирования фирмы, включающий целенаправленное исследование, анализ полученных результатов и их обобщение, а также нахождение путей устранения существующих диспропорций.

Существует несколько видов экономической диагностики:

Первый вид - это разделение по времени проведения:

а) предварительная диагностика. Предварительная диагностика проводится еще до заключения договора между консультационной фирмой и предприятием. Ее целью является выяснение проблем, выявление "узких мест" функционирования существующей финансовой системы и составление программы будущей работы.

б) текущая диагностика. Она проводится в течение всего времени исследования, направленного на разрешение той или иной проблемы.

Второй вид - это разделение по способам проведения:

а) с привлечением только сотрудников организации;

б) с привлечение внешних консультантов без участия работников фирмы; совместное участие внешних консультантов и работников фирмы.

Считается, что оптимальным является третий вариант проведения диагностического исследования. Это связано с тем, что в первом случае, сотрудники фирмы не обладают ни административной, ни финансовой, ни эмоциональной независимостью и поэтому не могут объективно определить проблему и найти оптимальные пути ее решения. Во втором варианте в процессе диагностики участвуют только внешние консультанты, и поэтому не происходит обучение сотрудников клиента методам исследования, применяемым консультантами. В связи с тем, что по нашему мнению, процесс обучения является одной из важных задач проведения исследования, этот вариант диагностики нельзя считать оптимальным. Поэтому мы считаем, что наиболее приемлемым является совместное сотрудничество консультанта и клиента.

Третий вид - это разделение по применяемым методам:

а) активная диагностика. В этом случае применяются активные методы, например, деловые игры, мозговая атака и др.

б) пассивная диагностика. При этом применяются такие методы как анкетирование, метод экспертных оценок, наблюдение и др.

Четвертый вид - это разделение по целям консультирования:

а) практическая диагностика. Она проводится для конкретного фирмы с целью нахождение путей повышения эффективности его функционирования.

б) учебная диагностика. Эта диагностика осуществляется для обучения консультантов и работников фирм.

в) исследовательская диагностика. Она имеет место в случае испытания новых приемов и методов диагностики.

Пятый вид - это разделение по широте охвата:

а) общая диагностика. Она охватывает все стороны деятельности фирмы.

б) специальная диагностика. Эта диагностика проводится только для определенного направления деятельности. Это может быть только анализ финансовых результатов, либо исследование только эффективности использования капитала и т.д.

Шестой вид - это разделение по времени действия:

а) краткосрочная диагностика:

б) долгосрочная диагностика.

В современной экономической литературе выделяют две формы диагностики финансового состояния фирмы, которые представлены на рисунке 1.

Рис.1. Формы диагностики

Остановимся на структуре диагностики. Начнем с диагностики результатов деятельности и состояния фирмы. Финансовый инструментарий данной части диагностики весьма обширен, он включает в себя большое количество финансовых показателей (коэффициентов), которые зачастую дублируют друг друга, и не всегда очевидна необходимость использования тех или иных коэффициентов. Представляется целесообразным следующее положение финансовой диагностики сформулировать в виде принципа разумной достаточности использования методов диагностики финансового анализа.

Суть принципа чрезвычайно проста - для целей диагностики следует использовать только те показатели, которые являются информационной основой для принятия управленческих решений.

Инструментарий диагностики финансового состояния представлен на рисунке 2

Рис.2. Инструментарии финансовой диагностики фирмы.

Непосредственное использование финансовой отчетности является первым, но не основным, шагом финансовой диагностики. Прежде всего, подчеркнем разницу между понятиями "информация" и "данные". Данные обычно представляют собой набор каких-либо сведений, главным образом, количественного характера, которые в той или иной манере характеризуют предприятие. Существенно то, что на основе этой слабо структурированной информации принципиально невозможно произвести эффективную диагностику. Термин "информация" предполагает некоторую степень организации данных, причем порядок упорядочивания информации служит целям ее использования.

Первый этап структурного упорядочивания финансовых данных как раз и состоит в составлении финансовой отчетности, когда финансовые данные организуются по специальным форматам, образующим:

а)       баланс;

б)      отчет о прибылях и убытках;

в)      отчет о движении денежных средств.

Исходя из этих документов можно получить обобщающие данные. Это, во-первых, сумму основных и оборотных средств фирмы, величину его задолженностей и собственного капитала. Далее отчет о прибыли предоставляет данные по величине операционной и чистой прибыли. И, наконец, результирующие денежные потоки от операционной, инвестиционной и финансовой деятельности из отчета о движении денежных средств.

Вертикальный и горизонтальный анализ финансовой отчетности является следующей стадией упорядочивания финансовой информации. Его содержание чрезвычайно просто. В горизонтальном анализе сопоставляются (в абсолютном и процентном соотношении) основные статьи баланса, отчета о прибыли и отчета о движении денежных средств. В вертикальном анализе все данные финансовых отчетов представляются в относительном (процентном) выражении.

Данный инструментарий финансовой диагностики иллюстрирует следующее положение финансовой диагностики, которое можно сформулировать как принцип сравнимости. Суть этого принципа состоит в том, что сами по себе финансовые показатели являются бесполезными для принятия решения, если менеджер не сопоставляет их с какими-то другими данными, имеющими отношение к объекту диагностики. Существует два вида показателей для сопоставления:

а) показатели данного фирмы за предшествующие периоды времени;

б) аналогичные показатели других фирм, принадлежащих той же отрасли (обычно фирм-конкурентов).

Третий инструментарий (см. рис.2) финансовой диагностики - это традиционный набор финансовых коэффициентов.

Суть предлагаемого подхода состоит в том, что основным показателем результативности фирмы признан показатель прибыльности собственного капитала (обычно обозначается ROE). Таким образом, на первое место ставится интерес собственника. Данный показатель обеспечивается, главным образом, двумя факторами: прибыльностью продаж (этот показатель принадлежит к группе показателей операционной деятельности) и оборачиваемостью активов (группа показателей эффективности использования активов). На самом деле, каждый предприниматель понимает, что высокую отдачу от использования вложенных средств можно обеспечить высокой "маржей продаж" и/или высокой оборачиваемостью оборотных средств. Оценка показателей ликвидности является неотъемлемой частью диагностической процедуры. Их назначение состоит в том, чтобы предостеречь менеджмент фирмы от излишнего увеличения оборачиваемости. Наконец, отдачу от использования вложенных собственником средств можно увеличить за счет использования долгосрочных заемных ресурсов. Эту часть деятельности компании (она называется финансовой) характеризует группа показателей структуры капитала.

После определения структуры финансовых показателей возникает вопрос о временном аспекте диагностики, т.е. когда и в каком объеме производить диагностику фирмы. Данное положение может быть охарактеризовано с помощью принципа временной согласованности финансовой диагностики. Согласно этому принципу диагностика фирмы должна производиться согласно определенному временному регламенту. Наиболее привлекательным с практической точки зрения представляется регламент диагностики, при котором:

модель диагностика финансовое состояние

а)       один раз в году (в период подготовки годового отчета) производится фундаментальная диагностика, предполагающая использование всего диагностического инструментария, представленного на рисунке 2;

б)      ежемесячно производится оценка ограниченного количество показателей по результатам текущего месяца (обычно это делается в первых числах последующего месяца).

Последняя процедура носит название "мониторинга" деятельности фирмы. В процессе мониторинга осуществляется контроль показателей, которые характеризуют оперативные результаты деятельности. В частности, в состав показателей мониторинга не имеет смысла вводить показатель прибыльности активов или собственного капитала. Данный показатель является интегральным, он формируется в течение всего года. В то же время в состав показателей мониторинга следует обязательно включить показатель валовой прибыльности (отношение валовой прибыли к выручке). Эту характеристику следует мониторить как можно чаще, чтобы вовремя обнаружить негативную тенденцию ухудшения операционной эффективности фирмы.

В качестве последнего положения финансовой диагностики выступает принцип законченности, суть которого состоит в том, что когда рассчитаны все финансовые коэффициенты, сделан горизонтальный и вертикальный анализ финансовой отчетности и описаны ее особенности характерные для анализируемого периода, необходимо сделать выводы, ради которых, собственно, и были выполнены все указанные выше работы. Представление таких выводов должно быть лаконичным и конструктивным, т.е. направленным на поиск путей улучшения деятельности компании. В качестве такого представления может быть рекомендован формат так называемого SWOT-анализа. Все множество факторов деятельности компании группируется по четырем областям:(Strengths) - сильные стороны деятельности фирмы;(Weaknesses) - слабые стороны деятельности фирмы;(Opportunities) - возможности фирмы, позволяющие ему улучшить свое положение;(Threats) - угрозы (опасности), с которыми может столкнуться фирма на пути улучшения своей деятельности.

В рамках каждой группы необходимо сформулировать несколько (не более десяти) лаконичных утверждений - выводов по результатам диагностики. Эти утверждения должны быть связаны с какими-либо показателями или свойствами фирмы. Например, "за текущий период ухудшились показатели оборачиваемости, о чем свидетельствует увеличение длины финансового цикла", или "показатели маржинальной прибыли стабильны". Важно различать сферы ответственности отмеченных выше групп. Первые две буквы S и W "отвечают" за текущее состояние фирмы, в то время как две другие O и T связаны с прогнозом состояния фирмы на ближайшую перспективу.

Прагматическая целесообразность SWOT-анализа заключается в том, что он делает попытку конструктивного улучшения результативности деятельности фирмы. На основе этих основных позиций SWOT-анализа менеджмент фирмы должен сформулировать рекомендации по основным направлениям улучшения деятельности. Только тогда процесс диагностики можно считать законченным.

 

1.2 Особенности формирования диагностики финансового состояния фирмы


Важной составной частью механизма управления финансовой деятельностью фирмы являются системы и методы его анализа. Финансовый анализ представляет собой процесс исследования финансового состояния и основных результатов финансовой деятельности фирмы с целью выявления резервов повышения его рыночной стоимости и обеспечения эффективного развития. Своевременно выявлять и устранять недостатки в финансовой деятельности и находить резервы улучшения финансового состояния фирмы и его платежеспособности - главная цель диагностики финансового состояния фирмы.

Содержание диагностики составляют:

а) анализ результатов деятельности фирмы;

б) анализ основных бизнес-процессов фирмы.

Диагностика начинается с обзора основных показателей деятельности фирмы. В ходе этого обзора необходимо рассмотреть следующие вопросы:

имущественное положение фирмы на начало и конец отчетного периода;

условия работы фирмы в отчетном периоде;

результаты, достигнутые предприятием в отчетном периоде;

перспективы финансово-хозяйственной деятельности фирмы.

Имущественное положение фирмы на начало и конец отчетного периода характеризуются данными баланса. Сравнивая динамику итогов разделов актива баланса, можно выяснить тенденции изменения имущественного положения. Информация об изменении в организационной структуре управления, открытии новых видов деятельности фирмы, особенностях работы с контрагентами и др. обычно содержится в пояснительной записке к годовой бухгалтерской отчетности. Результативность и перспективность деятельности фирмы могут быть обобщенно оценены по данным анализа динамики прибыли, а также сравнительного анализа элементов роста средств фирмы, объемов его производственной деятельности и прибыли. Информация о недостатках в работе фирмы может непосредственно присутствовать в балансе в явном или завуалированном виде.

Устойчивость финансового положения фирмы в значительной степени зависит от целесообразности и правильности вложения финансовых ресурсов в активы.

В процессе функционирования фирмы величина активов, их структура претерпевают постоянные изменения. Наиболее общее представление об имевших место качественных изменениях в структуре средств и их источников, а также динамике этих изменений можно получить с помощью вертикальной и горизонтальной диагностики отчетности.

Вертикальный анализ показывает структуру средств фирмы и их источников. Вертикальный анализ позволяет перейти к относительным оценкам и проводить хозяйственные сравнения экономических показателей деятельности фирмы, различающихся по величине использованных ресурсов, сглаживать влияние инфляционных процессов, искажающих абсолютные показатели финансовой отчетности.

Горизонтальная диагностика отчетности заключается в построении одной или нескольких аналитических таблиц, в которых абсолютные показатели дополняются относительными темпами роста (снижения). Как правило, берутся базисные темпы роста за ряд лет (смежных периодов), что позволяет анализировать не только изменение отдельных показателей, но и прогнозировать их значения.

Горизонтальный и вертикальный анализы взаимодополняют друг друга. Поэтому на практике не редко строят аналитические таблицы, характеризующие как структуру бухгалтерской отчетности, так и динамику отдельных ее показателей. Оба этих вида диагностики особенно ценны при межхозяйственных сопоставлениях, так как позволяют сравнивать отчетность различных по виду деятельности и объемам производства фирм.

Финансовое положение фирмы можно оценивать с точки зрения краткосрочной и долгосрочной перспектив. В первом случае критерии оценки финансового положения - ликвидность и платежеспособность фирмы, т.е. способность своевременно и в полном объеме произвести расчеты по краткосрочным обязательствам.

Под ликвидностью какого-либо актива понимают способность его трансформироваться в денежные средства, а степень ликвидности определяется продолжительностью временного периода, в течение которого эта трансформация может быть осуществлена. Чем короче период, тем выше ликвидность данного вида активов. Говоря о ликвидности фирмы, имеют в виду наличие у него оборотных средств в размере, теоретически достаточном для погашения краткосрочных обязательств хотя бы и с нарушением сроков погашения, предусмотренных контрактами.

Платежеспособность означает наличие у фирмы денежных средств и их эквивалентов, достаточных для расчетов по кредиторской задолженности, требующей немедленного погашения. Таким образом, основными признаками платежеспособности являются:

а) наличие в достаточном объеме средств на расчетном счете;

б) отсутствие просроченной кредиторской задолженности.

Финансовые показатели должны анализироваться в комплексе с остальными "нефинансовыми" показателями.

Для целей диагностики следует использовать только те показатели, которые являются информационной основой для принятия управленческих решений.

Финансовые показатели являются бесполезными для принятия решения, если менеджер не сопоставляет их с какими-то другими данными, имеющими отношение к объекту диагностики.

Финансовая диагностика должна производиться в соответствии с конкретным временным регламентом, например, раз в году производится крупномасштабная диагностика, а раз в месяц осуществляется мониторинг выборочных финансовых показателей.

Диагностика должна оканчиваться лаконичным представлением основных выводов, например, в формате SWOT-анализа.

Сформулированные выше положения диагностики финансового состояния фирмы имеют отчетливый практический смысл. Этими положениями должен следовать любой финансовый аналитик. В противном случае результаты диагностики будут бесполезными с точки зрения последующих управленческих решений, направленных на улучшение деятельности компании.

Диагностика финансового состояния способствует раннему обнаружению кризисных ситуаций. Кризис фирмы вызывается несоответствием его финансово-хозяйственных параметров параметрам окружающей среды. В глубинных причинах разразившегося кризиса лежит много различных факторов. Данные факторы можно разделить на две основные группы: внешние (не зависящие от деятельности фирмы) и внутренние (зависящие от деятельности фирмы). Несмотря на многообразие факторов, которые могут привести к кризису на фирме, в большинстве случаев такими факторами являются недостатки управления.

В настоящее время большинство строительных фирм России находится в затруднительном финансовом состоянии. Взаимные неплатежи между хозяйствующими субъектами, высокие налоговые и банковские процентные ставки приводят к тому, что фирмы оказываются неплатежеспособными. Внешним признаком несостоятельности (банкротства) фирмы является приостановление его текущих платежей и неспособность удовлетворить требования кредиторов в течение трех месяцев со дня наступления сроков их исполнения.

В связи с этим особую актуальность приобретает диагностика финансового состояния как оценка структуры баланса, так как решения о несостоятельности фирмы принимаются по признании неудовлетворительности структуры баланса.

Диагностика структуры баланса фирмы проводятся на основе показателей: коэффициента текущей ликвидности; коэффициента обеспеченности собственными средствами.

Основанием для признания структуры баланса строительной фирмы неудовлетворительным, а строительную фирму - неплатежеспособной является одно из следующих условий:

коэффициент текущей ликвидности на конец отчетного периода имеет значение менее 2; (Ктл);

коэффициент обеспеченности собственными средствами на конец отчетного периода имеет значение менее 0,1. (Косс).

Диагностика финансового состояния российской компании по используемым видам и формам принципиально не отличается от аналогичных процедур в рамках традиционного (западного) подхода. В зависимости от конкретных задач диагностики финансового состояния фирмы может осуществляться в следующих видах:

Экспресс-диагностика (предназначен для получения за 1-2 дня общего представления о финансовом положении компании на базе форм внешней бухгалтерской отчетности);

Комплексная диагностика финансового состояния фирмы (предназначена для получения за 3-4 недели комплексной оценки финансового положении компании на базе форм внешней бухгалтерской отчетности, а также расшифровок статей отчетности, данных аналитического учета, результатов независимого аудита и др.);

Диагностика финансового состояния фирмы как часть общего исследования бизнес-процессов компании (предназначен для получения комплексной оценки всех аспектов деятельности компании - производства, финансов, снабжения, сбыта и маркетинга, менеджмента, персонала и др.);

Ориентированная диагностика финансового состояния фирмы (предназначена для решения приоритетной финансовой проблемы компании, например оптимизации дебиторской задолженности на базе как основных форм внешней бухгалтерской отчетности, так и расшифровок только тех статей отчетности, которые связаны с указанной проблемой);

Регулярная диагностика финансового состояния фирмы (предназначена для постановки эффективного управления финансами компании на базе представления в определенные сроки, ежеквартально или ежемесячно, специальным образом обработанных результатов комплексной диагностики финансового состояния фирмы).

В зависимости от заданных направлений диагностика финансового состояния фирмы может проводиться в следующих формах:

Ретроспективный анализ (предназначен для анализа сложившихся тенденций и проблем финансового состояния компании;

План-фактный анализ (требуется для оценки и выявления причин отклонений отчетных показателей от плановых);

Перспективный анализ (необходим для экспертизы финансовых планов, их обоснованности и достоверности с позиций текущего состояния и имеющегося потенциала).

Опыт проведения диагностики финансового состояния российских компаний в различных видах и изучение попыток выполнения классических аналитических процедур позволяют выделить основные проблемы "российской специфики" в этой области исследований.

Во-первых, во многих случаях на практике диагностика финансового состояния фирмы сводится к расчетам структурных соотношений, темпов изменения показателей, значений финансовых коэффициентов. Глубина исследования ограничивается, в лучшем случае, констатацией тенденции "улучшения" или "ухудшения". Сделать выводы и тем более рекомендации на основании исходного информационного массива - неразрешимая проблема для специалистов компаний, оснащенных специальными программными средствами, но не обладающих достаточной квалификацией, профессиональным опытом, творческим отношением к рутинным операциям расчета.

Во-вторых, зачастую результаты диагностики финансового состояния фирмы основываются на недостоверной информации, при этом она может быть искажена как по субъективным, так и по объективным причинам. С одной стороны, правилом "умелого" российского менеджера считается занижение или сокрытие любыми ухищрениями полученных доходов (прибыли), поэтому для оценки достоверности исходной информации и, как следствие, получения реальных результатов финансового анализа требуется предварительное проведение независимого аудита для обнаружения преднамеренных и непреднамеренных ошибок. С другой стороны, по российским правилам бухгалтерского учета денежные и неденежные формы расчетов не разведены в отчетности (исключение составляет только форма № 4 "Отчет о движении денежных средств", но она является годовой).

В результате бартерных расчетов создается и культивируется иллюзия о поступательном развитии рыночных отношений в России, при которых фирмы реализуют свою продукцию якобы по рыночным ценам (на самом деле завышенных в силу консенсуса интересов участников бартерных сделок), получают за нее якобы выручку и выплачивают из нее якобы фискальные обязательства в государственный бюджет.

В-третьих, стремление к детализации диагностики финансового состояния фирмы обусловило разработку, расчет и поверхностное использование явно избыточного количества финансовых коэффициентов, тем более что большинство из них находится в функциональной зависимости между собой. Предметом особой гордости разработчиков новых программных средств по диагностики финансового состояния фирмы является утверждение о том, что созданный инструмент дает возможность рассчитать 100 и более финансовых коэффициентов, хотя обычно бывает достаточно использовать не более 2-3 показателей по каждому аспекту финансовой деятельности.

В-четвертых, сравнительная диагностика финансового состояния фирмы российских компаний практически невозможен из-за отсутствия адекватной нормативной базы и доступных среднеотраслевых показателей.

В-пятых, достаточно отдаленный от российский практики вид имеют западные интегральные показатели, которые используются многими отечественными аналитиками для оценки вероятности банкротства компаний.

Наконец, исходная отчетность анализируемых компаний искажается из-за инфляционных процессов в российской экономике, которые главным образом влияют не на вертикальный (основные пропорции остаются неизменными), а на горизонтальный анализ.

В настоящее время в российском жилищно-финансовом секторе складывается весьма не простая и противоречивая ситуация, усугубленная разразившимся кризисом на международных финансовых рынках.

Под влиянием постоянно изменяющихся социальных условий и материальных возможностей людей, под воздействием развивающейся техники и научно-технического прогресса изменяются представления человека о своем жилище, оценка его с точки зрения комфортности, степени удовлетворенности тем или иным решением. Влияют на оценку жилья также образ жизни человека, его социальное положение, конкретное место жительства, природно-климатические условия, национально-бытовые традиции.

 

1.3 Выбор альтернативной методики диагностики финансового состояния фирмы


Для решения конкретных задач диагностики финансового состояния фирмы применяется целый ряд специальных методов, позволяющих получить количественную оценку отдельных аспектов деятельности фирмы. В финансовой практике в зависимости от используемых методов различают следующие системы диагностики финансового состояния фирмы, проводимого на предприятии: трендовая, структурная, сравнительная диагностика и анализ коэффициентов.

Трендовая (горизонтальная) диагностика финансового состояния базируется на изучении динамики отдельных финансовых показателей во времени. В процессе осуществления этого анализа рассчитываются темпы роста (прироста) отдельных показателей и определяются общие тенденции их изменения (или тренд). Наибольшее распространение получили следующие формы трендовой (горизонтальной) диагностики финансового состояния:

Сравнение финансовых показателей отчетного периода с показателями предшествующего периода (например, с показателями предшествующей декады, месяца, квартала);

Сравнение финансовых показателей отчетного периода с показателями аналогичного периода прошлого года (например, показателей второго квартала отчетного года с аналогичными показателями второго квартала предшествующего года). Эта форма анализа применяется на фирмых с ярко выраженными сезонными особенностями хозяйственной деятельности;

Сравнение финансовых показателей за ряд предшествующих периодов. Целью такого анализа является выявление тенденции изменения отдельных показателей, характеризующих результаты финансовой деятельности фирмы. Результаты такого анализа обычно оформляются графически в виде линейных графиков или столбиковой диаграммы изменения показателя в динамике.

а)       Структурная (вертикальная) диагностика финансового состояния базируется на структурном разложении отдельных показателей. В процессе осуществления этой диагностики рассчитываются удельный вес отдельных структурных составляющих финансовых показателей. Наибольшее распространение получили следующие формы структурной (вертикальной) диагностика финансового состояния: диагностика активов, капитала, денежных потоков.

Структурная диагностика активов. В процессе этой диагностики определяются соотношение (удельный вес) оборотных и внеоборотных активов, состав используемых оборотных активов, состав используемых внеоборотных активов, состав активов фирмы по степени их ликвидности, состав инвестиционного портфеля и другие;

Структурная диагностика капитала. В процессе этой диагностики определяются удельный вес собственного и заемного капиталов, состав используемого собственного капитала, состав используемого заемного капитала по видам, состав используемого заемного капитала по срочности обязательств (возврату) и другие;

Структурная диагностика денежных потоков. В процессе этой диагностики в составе общего денежного потока выделяют денежные потоки по оперативной (производственной) деятельности, по финансовой и по инвестиционной деятельности. Каждый из этих видов денежных потоков в свою очередь может быть глубоко структурирован по отдельным составляющим его элементам.

Результаты структурной (вертикальной) диагностики также могут быть оформлены графически в виде столбиковой или секторной диаграммы структуры показателей.

б)      Сравнительная диагностика финансового состояния базируется на сопоставлении значений отдельных групп аналогичных финансовых показателей между собой. В процессе осуществления этой диагностики рассчитываются размеры абсолютных и относительных отклонений сравниваемых показателей. Наибольшее распространение получили следующие формы сравнительной диагностики финансового состояния: диагностика финансовых показателей фирмы и среднеотраслевых показателей, диагностика финансовых показателей данного фирмы и фирм-конкурентов, диагностика финансовых показателей отдельных структурных единиц и подразделений данного фирмы, диагностика отчетных и плановых (нормативных) финансовых показателей:

Сравнительная диагностика финансовых показателей фирмы и среднеотраслевых показателей. В процессе этой диагностики выявляют степень отклонения основных результатов финансовой деятельности данного фирмы от среднеотраслевых в целях дальнейшего повышения ее эффективности;

Сравнительная диагностика финансовых показателей данного фирмы и фирм-конкурентов. В процессе этой диагностики выявляются слабые стороны деятельности фирмы с целью разработки мероприятий по повышению его конкурентной позиции;

Сравнительная диагностика финансовых показателей отдельных структурных единиц и подразделений данного фирмы. Такая диагностика проводится в разрезе сформированных на предприятии центров экономической ответственности с целью сравнительной оценки эффективности их финансовой деятельности;

Сравнительная диагностика отчетных и плановых (нормативных) финансовых показателей. В процессе этой диагностики выявляется степень отклонения отчетных показателей от плановых (нормативных), определяются причины этих отклонений и вносятся соответствующие коррективы в последующую финансовую деятельность.

в)      Диагностика финансовых коэффициентов базируется на расчете соотношения различных абсолютных показателей между собой. В процессе осуществления этой диагностики определяются различные относительные показатели, характеризующие различные аспекты финансовой деятельности. Наибольшее распространение получили следующие аспекты такой диагностики: финансовая устойчивость, платежеспособность, оборачиваемость активов и рентабельность, которые отображены на рисунке 3.

Диагностика финансовой устойчивости. В процессе этой диагностики выявляется уровень финансового риска, связанного со структурой источников формирования капитала фирмы, а соответственно и степень финансовой стабильности предстоящего развития фирмы. Для проведения такой диагностики используются следующие основные финансовые коэффициенты:

а) коэффициент автономии (КА). Он показывает, в какой степени используемые предприятием активы сформированы за счет собственного капитала. Расчет этого показателя осуществляется по формуле:

 (1.1)

где: ССК - сумма собственного капитала;

СА - сумма всех используемых активов.

Рис.3. Элементы диагностики финансовых коэффициентов.

б) коэффициент финансирования (КФ). Он показывает, возможность покрытия собственным капиталом заемных средств. Расчет этого показателя проводится по формуле:

КФ= СК/ЗК, (1.2)

где СК - собственный капитал;

ЗК - сумма используемых заемных средств (сумма заемного капитала);

в) коэффициент задолженности (КЗ).

Он показывает, какая сумма заемных средств приходится на единицу всего используемого капитала.

Этот показатель рассчитывается по формуле:

 (1.3)

где: СК - сумма всего используемого капитала;

г) коэффициент маневренности (Км). Этот показатель определяется по формуле:

Км = (ССК+СЗС) / СК (1.4)

Диагностика платежеспособности. В процессе этой диагностики выявляется возможность фирмы своевременно расплачиваться по своим обязательствам в зависимости от состояния ликвидности его активов. Проведение такой диагностики требует предварительной группировки активов фирмы по уровню ликвидности, а его обязательств - по срочности погашения.

Классификация статей актива и пассива баланса для диагностики платежеспособности приведена на рисунке 4.

Активы


Пассивы

 Быстро реализуемые активы (денежные средства + краткосрочные финансовые вложения)

 А1


Наиболее срочные обязательства (кредиторы)

 П1

 Средне реализуемые активы (дебиторская задолженность)

 А2


 Краткосрочные обязательства (статьи раздела ν баланса)

 П2

 Медленно реализуемые активы (группа статей "Запасы" раздел ıı)

 А3


 Долгосрочные обязательства (статьи раздела ıν баланса)

П3

 Трудно реализуемые активы (статьи раздела ı "Внеоборотные активы")

 А4


 Постоянно (фиксированные) пассивы (статьи раздела ııı "Капитал и резервы")

П4

Рис.4. Классификация статей актива и пассива баланса

Для осуществления диагностики платежеспособности используются следующие основные финансовые коэффициенты:

а) коэффициент абсолютной платежеспособности (КАП). Он показывает, в какой степени неотложные обязательства фирмы могут быть удовлетворены за счет имеющихся активов в ликвидной форме. Расчет этого показателя производится по формуле:

 (1.5)

где: ДА - денежные активы;

КФВ - краткосрочные финансовые вложения;

НО - неотложные обязательства;

б) коэффициент промежуточной платежеспособности (КПП). Он показывает, в какой мере все текущие обязательства (неотложные и краткосрочные) могут быть удовлетворены за счет активов в ликвидной форме и быстрореализуемых активов. Расчет этого показателя осуществляется по формуле:

, (1.6)

где: А1 - активы в ликвидной форме; А2 - быстрореализуемые активы;, O2 - все виды текущих обязательств;

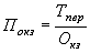
в) коэффициент текущей платежеспособности (КТП). Он показывает, в какой мере все текущие обязательства фирмы могут быть удовлетворены за счет всех его текущих (оборотных) активов. Расчет этого показателя осуществляется по формуле:

, (1.7)

где: Al, A2, A3 - все виды оборотных активов;, O2 - все виды текущих обязательств;

г) коэффициент абсолютной ликвидности показывает, какую часть кредиторской задолженности предприятие может погасить немедленно. Коэффициент абсолютной ликвидности рассчитывается по формуле

КАЛ = А1/1 + П2). (1.8)

Значение данного показателя не должно опускаться ниже 0,2.

д) общий показатель ликвидности. Для комплексной оценки ликвидности баланса в целом рекомендуется использовать общий показатель ликвидности баланса фирмы, который показывает отношение суммы всех ликвидных средств фирмы к сумме всех платежных обязательств (краткосрочных, долгосрочных, среднесрочных) при условии, что различные группы ликвидных средств и платежных обязательств входят в указанные суммы с определенными весовыми коэффициентами, учитывающими их значимость с точки зрения сроков поступления средств и погашения обязательств.

Общий показатель ликвидности баланса определяется по формуле

КОЛ = (А1 + 0,5А2 + 0,3А3) / (П1 + 0,5П2 + 0,3П3). (1.9)

Значение данного коэффициента должно быть больше или равно 1.

Диагностика рентабельности. В процессе этой диагностики устанавливается уровень прибыльности использования капитала в целом или отдельных его частей, а также уровень прибыли по отношению к другим показателям хозяйственной деятельности. Для проведения диагностики рентабельности используются следующие основные финансовые коэффициенты:

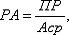
а) коэффициент рентабельности всех используемых активов или коэффициент финансовой рентабельности (РА). Он показывает уровень прибыльности всех используемых активов (или всего используемого капитала). Расчет этого показателя осуществляется по формуле:

 (1.10)

где: ПР - прибыль;

Аср - средняя сумма используемых активов;

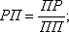
б) коэффициент рентабельности собственного капитала или коэффициент финансовой рентабельности (РК). Он показывает уровень прибыльности собственных средств фирмы. Расчет этого показателя производится по формуле:

 (1.11)

где ССКср - средняя сумма собственных средств фирмы;

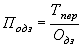
в) коэффициент рентабельности продажи продукции (РП). Его расчет осуществляется по формуле:

 (1.12)

где ПП - выручка от продаж

г) коэффициент рентабельности текущих затрат (РЗ). Для определения этого показателя используется формула:

 (1.13)

где: ВР - сумма валовых расходов производства и обращения.

Коэффициент рентабельности может быть рассчитан также и по отдельным видам активов (оборотным, внеоборотным).

Показатели рентабельности более полно, чем прибыль, характеризуют окончательные результаты хозяйствования, потому что их величина показывает соотношение эффекта с наличными или использованными ресурсами

Существуют различные подходы к проведению диагностики финансового состояния фирмы.

Методика проведения диагностики финансового состояния фирмы, предлагаемая А.Д. Шереметом предназначена для обеспечения управления финансовым состоянием фирмы и оценки финансовой устойчивости его деловых партнеров в условиях рыночной экономики. Она включает элементы, общие как для внешнего, так и для внутреннего анализа. Основы методики могут быть адаптированы к требованиям конкретного внешнего пользователя и поэтому имеют универсальный характер, вытекающий из универсальности рыночных отношений, объединяющих различные формы собственности и различные виды экономической деятельности.

Методика включает следующие блоки диагностики финансового состояния фирмы: общая оценка финансового состояния и его изменения за отчетный период; диагностика финансовой устойчивости фирмы; диагностика ликвидности баланса; диагностика деловой активности и платежеспособности фирмы.

Оценка финансового состояния и его изменений за отчетный период по сравнительному аналитическому балансу, а также диагностика показателей финансовой устойчивости составляют исходный пункт, из которого должен развиваться заключительный блок диагностики финансового состояния. Сравнительный аналитический баланс получается из исходного баланса путем дополнения его показателями структуры, динамики и структурной динамики вложений и источников средств фирмы за отчетный период. Обязательными показателями сравнительного аналитического баланса являются: абсолютные величины по статьям исходного отчетного баланса на начало и конец периода; удельные веса статей баланса в валюте баланса на начало и конец периода; изменения в абсолютных величинах; изменения в удельных весах; изменения в процентах к величинам на начало периода (темп прироста статьи баланса); изменения в процентах к изменениям валюты баланса (темп прироста структурных изменений - показатель динамики структурных изменений); цена одного процента роста валюты баланса и каждой статьи - отношение величины абсолютного изменения к проценту абсолютного изменения на начало периода. Сопоставляя структуры изменений в активе и пассиве, можно сделать вывод о том, через какие источники в основном был приток новых средств и в какие активы эти новые средства в основном вложены.

Диагностика ликвидности баланса должен оценивать текущую платежеспособность и давать заключение о возможности сохранения финансового равновесия и платежеспособности в будущем. Сравнительный аналитический баланс и показатели финансовой устойчивости отражают сущность финансового состояния. Ликвидность баланса характеризует внешние проявления финансового состояния. Углубление анализа на основе данных учета приводит к задачам, относящимся преимущественно к внутреннему анализу. Так, исследование факторов финансовой устойчивости вызывает необходимость внутреннего анализа запасов и затрат, а уточнение оценки ликвидности баланса производится с помощью внутреннего анализа состояния дебиторской и кредиторской задолженности. В ходе анализа для характеристики различных аспектов финансового состояния применяются как абсолютные показатели, так и финансовые коэффициенты, перечисленные выше.

А.Д. Шеремет предлагает проводить в рамках диагностики финансового состояния фирм комплексную рейтинговую оценку фирм. Составными этапами методики комплексной сравнительной рейтинговой оценки финансового состояния фирмы являются:

а)       сбор и аналитическая обработка исходной информации за оцениваемый период времени;

б)      обоснование системы показателей, используемых для рейтинговой оценки финансового состояния, рентабельности и деловой активности фирмы, расчет итогового показателя рейтинговой оценки;

в)      классификация (ранжирование) фирм по рейтингу.

Исходные показатели для рейтинговой оценки объединены в 4 группы (убыточные фирмы в данной системе не рассматриваются).

В первую группу включены наиболее обобщенные и важные показатели оценки прибыльности (рентабельность) хозяйственной деятельности фирмы. В общем случае показатели рентабельности фирмы представляют собой отношение прибыли к тем или иным средствам (имуществу) фирмы, участвующим в получении прибыли. Здесь полагается, что наиболее важными для сравнительной оценки являются показатели рентабельности, исчисленные по отношению чистой прибыли ко всему имуществу или к величине собственных средств фирмы.

Во вторую группу включены показатели оценки эффективности управления предприятием. Эффективность определяется отношением прибыли ко всему обороту (всей реализации) фирмы или только к выручке от реализации продукции (работ, услуг) без налога на добавленную стоимость.

В третью группу включены показатели оценки деловой активности фирмы. К ним относятся: отдача всех активов фирмы, отдача основных фондов, оборачиваемость оборотных фондов, оборачиваемость запасов и затрат, оборачиваемость дебиторской задолженности, показатели оборачиваемости наиболее ликвидных активов и собственного капитала.

В четвертую группу включены показатели оценки ликвидности и рыночной устойчивости фирмы. К ним относятся: коэффициенты покрытия и ликвидности, индекс постоянного актива, коэффициент автономии, обеспеченность запасов и затрат собственными оборотными средствами.

Исходные показатели для рейтинговой оценки рассчитываются либо на конец года, либо к усредненным значениям статей баланса. После набора некоторой статистики для финансового анализа (бухгалтерских отчетов за ряд лет) целесообразно организовать и поддерживать автоматизированную базу данных исходных показателей для рейтинговой оценки, рассчитанных по данным баланса на конец каждого отчетного периода либо по усредненным данным за каждый период.

В основе расчета итогового показателя рейтинговой оценки лежит сравнение фирм по каждому показателю финансового состояния, рентабельности и деловой активности с условным эталонным предприятием, имеющим наилучшие результаты по всем сравниваемым показателям. Таким образом, базой отсчета для получения рейтинговой оценки состояния дел фирмы являются не субъективные предположения экспертов, а сложившиеся в реальной рыночной конкуренции наиболее высокие результаты из всей совокупности сравниваемых объектов. Эталоном сравнения является как бы самый удачливый конкурент, у которого все показатели лучшие. В большинстве случаев эталонное предприятие может формироваться из показателей работы объектов, принадлежащих различным отраслям деятельности. Это не является препятствием применению метода оценки, т.к. финансовые показатели сопоставимы для разнородных объектов хозяйствования.

Предлагаемая методика делает количественно измеримой оценку надежности делового партнера по результатам его текущей и предыдущей деятельности, однако ее применение ограничено в основном сферой материального производства. Ограничение связано с набором исходных показателей для рейтинговой оценки.

Диагностика финансового состояния фирмы по данным бухгалтерской отчетности может быть выполнен с различной степенью детализации.В. В. Ковалев подробно рассматривает основные принципы и последовательность методики анализа финансового состояния. Детализация процедурной стороны методики диагностики финансового состояния фирмы зависит от поставленных целей, а также различных факторов информационного, временного, методического обеспечения. Логика аналитической работы предлагает проведение анализа финансового состояния фирмы в виде экспресс - диагностики финансового состояния фирмы и детализированной диагностики финансового состояния фирмы.

Целью экспресс - диагностики финансового состояния фирмы является наглядная и простая оценка финансового благополучия и динамики развития хозяйствующего субъекта. Экспресс - диагностику целесообразно выполнять в три этапа: подготовительный этап, предварительный обзор бухгалтерской отчетности, экономическое чтение и анализ отчетности.

Цель первого этапа - принять решение о целесообразности финансовой отчетности и убедиться в ее готовности к чтению. Первая задача решается путем ознакомления с аудиторским заключением. Проверка готовности отчета к чтению носит технический характер

Цель второго этапа - ознакомление с пояснительной запиской к балансу. Это необходимо для того, чтобы оценить условия работы в отчетном периоде, определить тенденции основных показателей деятельности, а также качественные изменения в имущественном и финансовом положении хозяйствующего субъекта.

Третий этап - основной в экспресс - диагностике; его цель - обобщенная оценка результатов хозяйственной деятельности и финансового состояния объекта. В общем виде методикой экспресс - диагностике отчетности предусматривается анализ ресурсов и их структуры, результатов хозяйствования, эффективности использования собственных и заемных средств. Смысл экспресс - диагностики - отбор небольшого количества наиболее существенных показателей и постоянное отслеживание их динамики. Приведем один из вариантов совокупности аналитических показателей для экспресс - диагностики.

а) Оценка экономического потенциала субъекта хозяйствования:

Оценка имущественного положения: величина основных средств и их доля в общей сумме активов; коэффициент износа основных средств; общая сумма хозяйственных средств, находящихся в распоряжении фирмы.

Оценка финансового положения: величина собственных средств и их доля в общей сумме источников; коэффициент текущей ликвидности; доля собственных оборотных средств в общей их сумме; доля долгосрочных заемных средств в общей сумме источников; коэффициент покрытия запасов. - Наличие "больных статей в отчетности": убытки; ссуды и займы, не погашенные в срок; просроченная дебиторская и кредиторская задолженность.

б) Оценка результативности финансово - хозяйственной деятельности:

Оценка прибыльности: прибыль; рентабельность общая; рентабельность основной деятельности.

Оценка динамичности: сравнительные темпы роста выручки, прибыли и авансированного капитала; оборачиваемость активов; продолжительность операционного и финансового цикла; коэффициент погашаемости дебиторской задолженности.

Оценка эффективности использования экономического потенциала: рентабельность авансированного и собственного капитала.

Экспресс - диагностика может завершаться выводом о целесообразности или необходимости более углубленного и детального анализа финансовых результатов и финансового положения.

Цель проведения детализированной диагностики финансового состояния фирмы - более подробная характеристика имущественного и финансового положения хозяйствующего субъекта, результатов его деятельности в истекшем отчетном периоде, а также возможностей развития субъекта на перспективу. Он конкретизирует, дополняет и расширяет отдельные процедуры экспресс - анализа. Степень детализации зависит от желания аналитика.

В общем виде программа углубленной диагностики финансового состояния фирмы выглядит следующим образом:

а) Предварительный обзор экономического и финансового положения субъекта хозяйствования.

Характеристика общей направленности финансово - хозяйственной деятельности и выявление "больных" статей отчетности.

б) Оценка и анализ экономического потенциала субъекта хозяйствования:

Оценка имущественного положения: построение аналитического баланса - нетто, вертикального, горизонтального баланса, анализ качественных сдвигов в имущественном положении. Для оценки имущественного положения фирмы используются показатели: сумма хозяйственных средств, находящихся в распоряжении фирмы, коэффициенты износа, обновления и выбытия основных средств.

Оценка финансового положения включает в себя:

Оценку ликвидности и платежеспособности, т.е. способности фирмы своевременно и в полном объеме произвести расчеты по обязательствам. Для оценки ликвидности и платежеспособности используются показатели: величина собственных оборотных средств, маневренность функционирующего капитала, коэффициенты текущей, быстрой и абсолютной ликвидности, коэффициент покрытия запасов.

Оценку финансовой устойчивости. Для оценки финансовой устойчивости используются показатели: коэффициенты: концентрации собственного капитала, финансовой зависимости, маневренности собственного капитала, структуры долгосрочных вложений, соотношения собственных и привлеченных средств.

в) Оценка и анализ результативности финансово - хозяйственной деятельности субъекта хозяйствования:

Оценка производственной (основной) деятельности. Показатели этой группы характеризуют результаты и эффективность текущей основной производственной деятельности. Рассчитываются различные показатели, характеризующие эффективность использования материальных, трудовых и финансовых ресурсов. Основные из них - выработка, фондоотдача, оборачиваемость производственных запасов, продолжительность операционного цикла, оборачиваемость авансированного капитала и др.

Диагностика рентабельности. К основным показателям этого блока, используемым для характеристики рентабельности вложений в деятельность того или иного вида, относятся рентабельность авансированного капитала и рентабельность собственного капитала.

Д.А. Панков рекомендовал исследовать структуру и динамику финансового состояния фирмы при помощи сравнительного аналитического баланса. Сравнительный аналитический баланс получается из исходного баланса путем дополнения его показателями структуры, динамики и структурной динамики вложений и источников средств фирмы за отчетный период.

Обязательными показателями сравнительного аналитического баланса являются: абсолютные величины по статьям исходного отчетного баланса на начало и конец периода; удельные веса статей баланса в валюте баланса на начало и конец периода; изменения в абсолютных величинах; изменения в удельных весах; изменения в % к величинам на начало периода (темп прироста статьи баланса); изменения в % к изменениям валюты баланса (темп прироста структурных изменений - показатель динамики структурных изменений); цена 1% роста валюты баланса и каждой статьи - отношение величины абсолютного изменения к проценту абсолютного изменения на начало периода.

Для осмысления общей картины изменения финансового состояния весьма важны показатели структурной динамики баланса. Сопоставляя структуру изменений в активе и пассиве, можно сделать вывод о том, через какие источники в основном был приток новых средств и в какие активы эти новые средства в основном вложены.

Для общей оценки динамики финансового состояния фирмы следует сгруппировать статьи баланса в отдельные специфические группы по признаку ликвидности (статьи актива) и срочности обязательств (статьи пассива). На основе агрегированного баланса осуществляется анализ структуры имущества фирмы.

Чтение баланса по таким систематизированным группам ведется с использованием методов горизонтальной и вертикальной диагностики финансового состояния фирмы. Для детализации общей картины изменения финансового состояния может быть построена таблица для каждого раздела актива и пассива баланса.

Остановимся на основных достоинствах и недостатках описанных методик. В этой связи следует указать одно немаловажное отличие - анализ, предложенный Ковалевым, как мне кажется, представляет собой взгляд на предприятие из вне (как бы "снаружи"), то есть с точки зрения потенциальных кредиторов и инвесторов. Именно их будет интересовать, в первую очередь, соотношение собственных и заемных средств, величина собственного капитала - как гарантия отдачи возможных вложений, и как залог стабильности при инвестировании капитала. Диагностика предложенная Шереметом, представляет собой взгляд на предприятие "изнутри". Она помогает управляющему персоналу фирмы определить, такие источники пополнения оборотных средств, которые в наибольшей форме будут способствовать улучшению финансовой устойчивости.

Для проведения диагностики финансовой устойчивости по методике Ковалева вполне достаточно бухгалтерской отчетности (формы №1,2,3,4,5).

А.Д. Шеремет же, для проведения диагностики требует информацию, которая не содержится в бухгалтерской отчетности и, следовательно, для нахождения которой, необходимо поднимать первичную бухгалтерскую документацию. Система рассчитываемых показателей не может рассматриваться как универсальная для всех видов фирм, так как для них не существует каких-то единых нормативных критериев. Они зависят от множества факторов. Существуют фирмы, для которых коэффициенты не подходят либо полностью, либо частично (например, фирмы связи, торговли, транспорта, фирмы по производству единичных товаров и многие другие). Недостатки методики А.Д. Шеремета, могут быть сведены к следующему:

а)       сложность в нахождении данных необходимых для расчета. Под этим понимается тот факт, что невозможно на основании бухгалтерской отчетности найти источники, ослабляющие финансовую напряженность; кредиты, направленные на пополнение оборотных средств; норматив запаса собственных оборотных средств на один день; иммобилизация оборотных средств;

б)      методика рассчитана на узкий круг фирм, (а именно: существуют фирмы, которые в силу своих особенностей должны иметь большие запасы, или большую дебиторскую задолженность или наоборот не имеют их);

в)      "Парадокс кредиторской задолженности". Согласно методике А.Д. Шеремета для достижения высокой финансовой устойчивости предприятию достаточно иметь большой размер кредиторской задолженности (или по крайне мере такой, чтобы покрывать запасы). Однако известно, что излишнее привлечение заемных средств негативно влияет на финансовое положение фирмы, так как они не бесплатные и, рано или поздно, наступит срок их возврата, причем с процентами. Одновременно с повышенным вниманием к кредиторской задолженности Шеремет А.Д. упускает из виду величину дебиторской задолженности и наличие денежных средств на расчетном (валютном) счете и в кассе. Таким образом, мы видим, что идеальной методики не существует. Стоит задуматься над тем, что идеальной методики не может быть в принципе в силу колоссальных различий между фирмами различных отраслей и индивидуальности каждого фирмы.

Поскольку недостатков в методике В.В. Ковалева меньше, данная дипломная работа выполнена именно по этой методике.

В рамках выбранной методики будет проведен расчет согласно следующему алгоритму:

Блок 1. Диагностика финансовой устойчивости как характеристика финансового состояния:

коэффициент автономии (КА =);

коэффициент финансирования (КФ=);

коэффициент задолженности (КЗ = );

коэффициент маневренности (Км= ).

Блок 2. Диагностика платежеспособности и ликвидности как характеристика финансового состояния:

коэффициент абсолютной платежеспособности (КАП =);

коэффициент промежуточной платежеспособности (КПП=);

коэффициент текущей платежеспособности (КТП = );

коэффициент абсолютной ликвидности (Кал= А1/ (О1+О2));

общи показатель ликвидности баланса фирмы

ОЛ = (А1 + 0,5А2 + 0,3А3) / (О1 + 0,5О2 + 0,3О3)).

Блок 3. Диагностика рентабельности как характеристика финансового состояния:

коэффициент финансовой рентабельности (РА= );

коэффициент рентабельности собственного капитала (К2 =);

коэффициент рентабельности продажи продукции (РП=);

коэффициент рентабельности текущих затрат (РЗ = ).

2. Экспресс-диагностика финансового состояния ООО "ЛМК"

 

2.1 Расчет показателей финансового состояния фирмы


Объектом исследования выступает общество с ограниченной ответственностью "ЛМК" (Ламинат, Мебель, Комплект).

Миссия ООО "ЛМК": Поставлять качественную и точно в указанные сроки продукцию, необходимую и востребованную на рынке и получать от этой деятельности доходы, согласно ожиданиям и требованиям директора компании и достаточные для дальнейшего развития бизнеса, основанного на осознании социальной ответственности перед обществом.

Действующая структура управления на предприятии относится к линейно-функциональной структуре управления, однако имеет много общего со структурой единого стратегического бизнеса, т.к. происходит концентрация в производственных структурах только линейных (производственных) управленческих подразделений, необходимых для обеспечения текущей производственной деятельности. Все обеспечивающие функции при этом концентрируются в общих подразделениях на уровне управленческих структур при генеральном директоре, где формируется заявка на обеспечение. Материально-техническое снабжение предприятия обеспечивается инженером по снабжению. Такое возможно, только при массовом производстве, опирающегося на поточный производственный процесс (выпуск ламинированного ДСП, декоративная обработка стекла), а при производстве мебели, из-за увеличивающегося количества поступающих на предприятие комплектующих, будет сформирован отдел материально-технического снабжения.

ООО "ЛМК", с момента своего существования, имела разные этапы функционирования - как упадки, так и подъемы. На рынке очень трудно продержаться и ещё труднее сделать так, чтоб быть самым сильным и перспективным среди конкурентов. Качество работ, выполняемых на рынке фирмой "ЛМК" очень высоко. И в подтверждении этого фирма прошла добровольную сертификацию качества продукции. Рассмотрим каково внутреннее состояние фирмы, для это проанализируем ее активы и пассивы по выбранной методике.

Баланс позволяет оценить эффективность размещения капитала фирмы, его достаточность для текущей и предстоящей хозяйственной деятельности, оценить размер и структуру заемных источников, а также эффективность их привлечения.

Произведем диагностику финансового состояния ООО "ЛМК" по выбранному алгоритму. Исходными данными финансовой диагностики являются формы годового отчета: №1 "Бухгалтерский баланс на 31 декабря 2008г", №2 Приложение к балансу "Отчет о прибылях и убытках" ООО "ЛМК" за период с 01.01.2008г. до 31.01.2008 за отчетный период и за аналогичный период 2007, 2006 года.

Диагностика финансового состояния ООО "ЛМК" представляет анализ таких характеристик как финансовая устойчивость, оборачиваемость активов, платежеспособность и рентабельность. Проведем процесс формирования имущественного комплекса фирмы ООО "ЛМК".

Проведем расчет согласно Блоку 1 - "Диагностика финансовой устойчивости как характеристика финансового состояния".

Рассчитаем коэффициент автономии:

КА2008 = (1919 +23+6) / 6203 = 0,3

КА 2007 = (394 +9+16) / 3943= 0,1

КА 2006 = (200 +7+14) / 4000 =0,05

Рассчитаем коэффициент финансирования:

КФ2008= (1919 +1418+6) / 1883 = 1,77

КФ2007= (394 +1090+16) / 2443 =0,46

КФ2006= (1000 +786+14) / 3000= 0,38

Рассчитаем коэффициент маневренности:

Км2008= (4320 - 1919) /4320 =0,7

Км2007= (1500 - 394) /1500=0,6

Км2006= (1000-200) /1000=0,08

Рассчитаем коэффициент задолженности:

КЗ2008== (1883) / 1919+23+6 =0,094

КЗ2007= (2443) / 394+9+16 =5,8

КЗ2006= (3000) / 200+14+9 = 13,4

Таблица 2.1.

Диагностика коэффициентов финансовой устойчивости

Коэффициент финансовой устойчивости

2006 г.

2007 г.

2008 год


Знач-е

%

Знач-е

В % к 2006 г.

Знач-е

В % к 2006 г.

Коэффициент автономии (КА)

0,05

100

0,1

200

0,3

Коэффициент финансирования (КФ)

0,38

100

0,46

121

1,77

466

Коэффициент задолженности (КЗ)

13,4

100

5,8

43

0,094

7

Коэффициент маневренности (Км)

0,08

100

0,6

750

0,7

875


Произведем необходимые вычисления перед расчетом показателей согласно Блоку 2 - "Диагностика платежеспособности и ликвидности как характеристика финансового состояния".

Классифицируем все активы и пассивы по группам за анализируемый период, и отобразим в таблице 2.2.

Таблица 2.2.

Классификация статей актива и пассива баланса.

Показатели

2006 г.

2007 г.

2008 год


тыс. руб.

%

тыс. руб.

В % к 2005 г.

тыс. руб.

В % к 2005 г.

А1 - Быстро реализуемые активы (денежные средства + краткосрочные финансовые вложения)

1000

100

1139

113,9

1380

138

А2 - Средне реализуемые активы (дебиторская задолженность)

1800

100

1698

94

1479

82

А3 - Медленно реализуемые активы (группа статей "Запасы" раздел ıı)

800

100

1090

136

1418

177

А4 - Трудно реализуемые активы (статьи раздела ı "Внеоборотные активы")

-

-

-

-

1919

100

П1 - Наиболее срочные обязательства (кредиторы)

3000

100

2443

81

1883

63

П2 - Краткосрочные обязательства (статьи раздела ν баланса)

-

-

-

-

-

-

П3 - Долгосрочные обязательства (статьи раздела ıν баланса)

-

-

-

-

-

-

П4 - Постоянно (фиксированные) пассивы (статьи раздела ııı "Капитал и резервы")

1000

100

1500

150

4320

432


Проведем расчет согласно Блоку 2 - "Диагностика платежеспособности и ликвидности как характеристика финансового состояния".

Рассчитаем коэффициент абсолютной платежеспособности:

КАП2008 =1380/1883 = 0,74

КАП2007 =1139 /2443=0,46

КАП2006 =1000 /3000= 0,3

Рассчитаем коэффициент промежуточной платежеспособности:

КПП2008 = (1380+ 1479) / (1183) =1,5

КПП2007 = (1139+ 1698) / (2443) =1,16

КПП2006 = (1000+ 1800) / (3000) =0,9

Рассчитаем коэффициент текущей платежеспособности:

КТП2008 = (1380+ 1479+1418) / (1183) = 2,3

КТП2007 = (1139+ 1698+1090) / (2443) =1,6

КТП2006 == (1000+ 1800+800) / (3000) =1,2

Рассчитаем коэффициент абсолютной ликвидности:

Кал2008 = 1380/1183=0,7

Кал2007 =1139/2443= 0,47

Кал2006 =1000/ 3000= 0,3

Рассчитаем общий показатель ликвидности баланса фирмы

Кол2008 = (1380+0,5*1479+ 0,3*1418) /1883=1,4

Кол2007 = (1139+0,5*1698+ 0,3*1090) /2443=0,95

Кол2006 = (1000+0,5*1800+ 0,3*800) /3000=0,7

Таблица 2.2.

Диагностика коэффициентов платежеспособности и ликвидности

Коэффициенты платёжеспособности и ликвидности

2006 г.

2007 г.

2008 год


Знач-е

%

Знач-е

В % к 2006 г.

Знач-е

В % к 2006 г.

Коэффициент абсолютной платежеспособности (КАП)

0,3

100

0,46

153

0,74

247

Коэффициент промежуточной платежеспособности (КПП)

0,9

100

1,16

129

1,5

167

Коэффициент текущей платежеспособности (КТП)

1,2

100

1,6

133

2,3

 192

Коэффициент абсолютной ликвидности (Кал)

0,3

100

0,47

157

0,7

234

Общий показатель ликвидности баланса фирмы (Кол)

0,7

100

0,95

136

1,4

200


Проведем расчет согласно Блоку 3 - "Диагностика рентабельности как характеристика финансового состояния".

Рассчитаем коэффициент финансовой рентабельности:

РА2008 = 1875/4413 =0,43

РА2007 = 3810/ 2901=0,35

РА2006 = 4876/6253=0,29

Рассчитаем коэффициент рентабельности собственного капитала:

РК2008 = 1875/959,5 =1,96,РК2007 = 3810/1030=1,8

РК2006 = 4876/1500=1,3

Рассчитаем коэффициент рентабельности продажи продукции:

РП2008 = 1875/20923=0,09

РП2007 = 3810/31908=0,03

РП2006 = 4876/40790=0,0098

Рассчитаем коэффициент рентабельности текущих затрат:

РЗ2008 = 1875/19048=0, 19

РЗ2007 = 3810/28098=0,11

РЗ2006 = 4876/43884=0,0098

Таблица 2.3.

Диагностика коэффициентов рентабельности

Коэффициент рентабельности

2006 г.

2007 г.

2008 год


Знач-е

%

Знач-е

В % к 2006 г.

Знач-е

В % к 2006 г.

Коэффициент финансовой рентабельности (РА)

0,29

100

0,35

120

0,43

148

Коэффициент рентабельности собственного капитала (К2)

1,3

100

1,8

138

1,96

151

Коэффициент рентабельности продажи продукции (РП)

0,01

100

0,03

300

0,09

900

Коэффициент рентабельности текущих затрат (РЗ)

0,01

100

0,11

1100

0, 19

1900

 

2.2 Анализ тенденций финансового состояния фирмы


На основе полученных данных проведем анализ тенденций изменения финансового состояния ООО "ЛМК".

Для более точного анализа изменения финансового состояния проведем анализ тенденций показателей, непосредственно влияющих на оценку финансового состояния фирмы.

Изменения коэффициент автономии представлены на рисунке 5.

Рис.5. Изменение коэффициента автономии

Коэффициент автономии - характеристика устойчивости финансового состояния фирмы, характеризующая степень его финансовой независимости. В 2006г данный коэффициент составлял 0,05 а к 2008г он увеличился на 0,25 и стал равным 0,3. Рост коэффициента свидетельствует об увеличении финансовой независимости фирмы, снижение риска финансовых затруднений в бедующие периоды, повышает гарантии погашения предприятием своих обязательств. Показывает степень независимости фирмы от кредиторов, или какая часть деятельности финансируется за счет собственных средств, а какая за счет заемных средств. В 2006г состояние фирмы считается не устойчивым, но к 2008г. состояние значительно переходит к категории устойчивого состояния.

Изменения коэффициент финансирования представлены на рисунке 6.

Рис.6. Изменения коэффициента финансирования.

Коэффициент финансирования (КФ) составил в 2006г составлял 0,38 а к 2008г он увеличился в 4,5 раза и стал равным 1,77. Произошло существенное увеличение суммы заемных средств, привлеченных предприятием в расчете на единицу собственного капитала. Только в 2008 году предприятие может покрыть собственным капиталом заемные средства, а более ранних годах полностью покрыть заемные средства предприятие было не в состоянии.

Изменения коэффициента задолженности представлены на рисунке 7.

Рис.7. Изменения коэффициента задолженности

Коэффициент задолженности показывает отношение общей задолженности по краткосрочным и долгосрочным обязательствам к собственному капиталу. В 2006 г коэффициент составлял 13,4 - это превышение нормы по данному коэффициенту во много раза. Это говорит о том, что в 2007г предприятие находилось в рискованной ситуации. А в 2008г данный коэффициент составляет 0,094. Предприятие успешно справилась с данной трудностью в своей деятельности.

Изменения коэффициента маневренности представлено на рисунке 8.

Рассмотрим коэффициент маневренности, который в 2006г составлял 0,08 а к 2008г он уменьшился в 8 раз и стал равным 0,7. Высокое значение коэффициента положительно характеризует финансовое состояние фирмы. Чем выше показатель, тем больше у фирмы финансовых возможностей для маневра.

Рис.8. Изменение коэффициента маневренности.

Изменения коэффициента платежеспособности представлены на рисунке 9.

Рис.9. Изменение коэффициента абсолютной платежеспособности

Коэффициент абсолютной платежеспособности показывает, в какой степени неотложные обязательства фирмы могут быть удовлетворены за счет имеющихся активов в ликвидной форме. Данный коэффициент в 2006г составлял 0,3 а к 2008г он увеличился на 0,44 и стал равным 0,74. Изменения произошли, но не значительно.

Изменения коэффициента промежуточной платежеспособности представлены на рисунке 10.

Рис.10. Изменения коэффициента промежуточной платежеспособности.

Коэффициент промежуточной платежеспособности показывает, в какой степени все текущие обязательства фирмы могут быть удовлетворены за счет имеющихся активов в ликвидной форме и быстрореализуемых активов. Данный коэффициент в 2006г составлял 0,9 а к 2008г он увеличился на 0,6 и стал равным 1,5.

Изменения коэффициента текущей платежеспособности представлены на рисунке 11.

Рис.11. Изменения коэффициента текущей платежеспособности

Коэффициент текущей платежеспособности показывает, в какой степени текущие обязательства фирмы могут быть удовлетворены за счет имеющихся всех его текущих (оборотных) активов. Данный коэффициент в 2006г составлял 1,2 а к 2008г он увеличился на 1,1 и стал равным 2,3.

Изменения коэффициента абсолютной ликвидности представлены на рисунке 12.

Рис.12. Изменения коэффициента абсолютной ликвидности

Коэффициент абсолютной ликвидности показывает, какую часть краткосрочной задолженности предприятие может погасить в ближайшее время. Данный коэффициент в 2006г составлял 0,3 а к 2008г он увеличился на 0,4 и стал равным 0,7.

Изменения коэффициента ликвидности баланса представлены на рисунке 13.

Рис.13. Изменения коэффициента ликвидности баланса

Общий показатель ликвидности баланса фирмы показывает, платежные возможности фирмы при условии своевременного проведения расчетов с дебиторами. Данный коэффициент в 2006г составлял 0,7 а к 2008г он увеличился в 2 раза и стал равным 1,4.

Изменения коэффициента финансовой рентабельности представлены на рисунке 14.

Рис.14. Изменения коэффициента финансовой рентабельности

Коэффициент финансовой рентабельность характеризует эффективность использования капитала и показывает, сколько предприятие имеет чистой прибыли с рубля авансированного в капитал. Данный коэффициент в 2006г составлял 0,29 а к 2008г он увеличился на 0,14 и стал равным 0,43. Увеличение данного коэффициента свидетельствует о повышении спроса на услуги фирмы.

Изменения коэффициента рентабельности собственного капитала представлены на рисунке 15.

Рис.15. Изменения коэффициента рентабельности собственного капитала

Коэффициент рентабельности собственного капитала характеризует эффективность использования собственного капитала. Динамика коэффициента оказывает влияние на уровень котировки акции фирмы. Данный коэффициент в 2006г составлял 1,3 а к 2008г он увеличился на 0,66 и стал равным 1,96.

Изменения коэффициента рентабельности продажи продукции представлены на рисунке 16.

Рис.16. Изменения коэффициента рентабельности продажи продукции

Коэффициент рентабельности продажи продукции показывает, сколько прибыли приходится на рубль товарной продукции. Данный коэффициент в 2006г составлял 0,01 а к 2008г он увеличился на 0,08 и стал равным 0,09. Увеличение данного коэффициента свидетельствует о повышении спроса на продукцию фирмы.

Изменения коэффициента рентабельности текущих затрат представлены на рисунке 17

Коэффициент рентабельности текущих затрат характеризует окупаемость издержек производства и показывает, сколько предприятие имеет прибыли с каждого рубля, затраченного на производство и реализацию продукции. Данный коэффициент в 2006г составлял 0,02 а к 2008г он увеличился на 0,17 и стал равным 0, 19.

Рис.17. Изменение коэффициента рентабельности текущих затрат

Таким образом, стоит отметить, что ООО "ЛМК" имеет положительную динамику всех показателей, по всем заметна тенденция на увеличение. Финансовое состояние фирмы в 2008 заметно улучшено по сравнению с анализируемыми годами.

По выбранному алгоритму диагностики финансового состояния расчет показателей не выявил каких либо явных недостатков. В ряде случаев показатели дублируют друг друга и не структурированы в разрезе укрепленных блоков финансового состояния. В выбранном алгоритме используются коэффициенты для всех фирм в целом, то есть, нет специфики строительной фирмы.

3. Разработка авторской модели диагностики финансового состояния фирмы ООО "ЛМК"


3.1 Концептуальные основы диагностики финансового состояния фирмы


Диагностирование финансового состояния фирмы осуществляется задолго до проявления его явных негативных признаков. Такая оценка и прогнозирование развития кризисных симптомов финансовой деятельности фирмы является предметом диагностики финансового кризиса.

Диагностика финансового состояния характеризует систему регулярной оценки кризисных параметров финансового развития фирмы, осуществляемой на базе данных его финансового учета по стандартным алгоритмам диагностики. Рассмотрим план диагностики финансового состояния фирмы разработанной мной, который отображен на рисунке 18.

Рис.18. Этапы диагностики финансового состояния, разработанные автором диплома.

Теперь более детально рассмотрим вышеизложенные этапы авторской модели диагностики финансового состояния фирмы.

Этап: Внешние факторы возникновения кризиса можно в свою очередь подразделить на: социально-экономические факторы общего развития страны (рост инфляции, нестабильность налоговой системы, нестабильность регулирующего законодательства, снижение уровня реальных доходов населения, рост безработицы); рыночные факторы (снижение емкости внутреннего рынка, усиление монополизма на рынке строительства, нестабильность валютного рынка, рост предложения товаров-субститутов) и прочие внешние факторы (политическая нестабильность, стихийные бедствия, ухудшение криминогенной ситуации).

Этап: Внутренние факторы возникновения кризиса: управленческие (высокий уровень коммерческого риска, недостаточное знание конъюнктуры рынка, неэффективный финансовый менеджмент, плохое управление издержками производства, отсутствие гибкости в управлении, недостаточно качественная система бухгалтерского учета и отчетности); производственные (необеспеченность единства фирмы как имущественного комплекса, устаревшие и изношенные основные фонды, низкая производительность труда, высокие энергозатраты, перегруженность объектами социальной сферы); рыночные (низкая конкурентоспособность продукции, зависимость от ограниченного круга поставщиков и покупателей).

Этап: Рассмотрим детально показатели, с точки зрения автора, от которых зависит финансовая устойчивость фирмы:

а) Фирма считается платежеспособной, если соблюдается следующее условие:

ОА>КО, (3.1)

где: OA - оборотные активы (раздел II баланса);

КО - краткосрочные обязательства (раздел V баланса).

Более частный случай платежеспособности: если собственные оборотные средства покрывают наиболее срочные обязательства (кредиторскую задолженность)

COC > СО, (3.2)

где COC - собственные оборотные средства (OA - КО);

СО - наиболее срочные обязательства (статьи из раздела V баланса).

На практике платежеспособность фирмы выражается через ликвидность его баланса.

Анализ ликвидности баланса заключается в сравнении средств по активу, сгруппированных по степени их ликвидности и расположенных в порядке убывания ликвидности, с обязательствами по пассиву, сгруппированным по срокам их погашения и расположенных в порядке возрастания сроков погашения.

Степень ликвидности баланса характеризует следующие соотношения:

. Абсолютная ликвидность:

≥ П1; А2 ≥ П2; А3 ≥ П3; П4 ≥ А4. (3.3)

. Текущая ликвидность (достаточная для рыночных условий):

А1+А2 ≥ П1+П2; П4 ≥А4. (3.4)

. Перспективная ликвидность:

А1+А2 < П1+П2; А3 ≥ П3; П4 ≥ А4. (3.5)

. Недостаточный уровень перспективной ликвидности:

А1 + А2 < П1+П2; А3 < П3; П4 ≥ А4. (3.6)

. Баланс организации неликвиден

П4 < А4. (3.7)

б) Диагностика финансовой устойчивости

По состоянию источников формирования материальных запасов определяют внутреннюю финансовую устойчивость.

Различают четыре типа внутренней финансовой устойчивости:

а) Абсолютная устойчивость

СОС - МЗ > 0, (3.8)

где СОС - собственные оборотные средства,

МЗ - материальные запасы

б) Нормальная финансовая устойчивость

СОС - МЗ <0, но КФ - МЗ >0, (3.9)

где КФ - функционирующий капитал,

КФ = СОС + Долгосрочные кредиты и займы

в) Недостаточный уровень внутренней финансовой устойчивости

СОС - МЗ < 0; КФ - МЗ < 0; И - МЗ > 0, (3.10)

где И - общая сумма источников формирования материальных запасов И = КФ + кредиты банков и займы используемые для покрытия запасов + расчеты с кредиторами по товарным операциям

г) Кризисная внутренняя финансовая устойчивость И - МЗ < 0 (3.11)

Идея расчета показателя финансовой устойчивости (или финансового левериджа) фирмы состоит в том, чтобы оценить риски, связанные с финансированием его деятельности с помощью привлеченных источников средств.

Финансовая устойчивость фирмы или степень его зависимости от привлеченных источников финансирования определяется через сопоставление объема собственных источников средств с объемом привлеченных источников средств.

(3.12)

где Л - леверидж, СС - собственные источники средств = уставной капитал + добавочный капитал + резервный капитал + нераспределенная прибыль + доходы будущих периодов.

КЗ - кредиторская задолженность = долгосрочные и краткосрочные кредиты и займы + кредиторская задолженность

Коэффициент финансовой независимости (КфН):

КфН = СК / ВБ, (3.13)

где СК - собственный капитал;

ВБ - валюта баланса

Значения коэффициента:

,5 - 0,6 и более - высокое положительное состояние;

,5 - 0,4 - соотношение среднего уровня;

,4 - 0,3 - неустойчивое состояние;

< 0,3 - высокая степень риска.

Коэффициент обеспеченности собственными оборотными средствами (К0)

К0 = СОС / ОА (3.14)

где СОС - собственные оборотные средства;

О А - оборотные активы

Рекомендуемое значение показателя ≥ 0,1 (или 10%). Чем выше показатель, тем больше возможностей у фирмы в проведении независимой финансовой политики

в) Диагностика деловой активности.

Финансовое положение фирмы находится в непосредственной зависимости от того, насколько быстро средства, вложенные в активы, превращаются в реальные деньги. Ускорение оборачиваемости оборотных средств позволяет либо при том же объеме продаж высвободить из оборота часть оборотных средств, либо при той же величине оборотных средств - увеличить объем продаж.

Оборачиваемость дебиторской задолженности рассчитывается по формуле:

, (3.15)

где ДЗнп, ДЗкп - дебиторская задолженность на начало и конец периода.

Период оборота дебиторской задолженности рассчитывается по формуле:

. (3.16)

Период оборота дебиторской задолженности характеризует среднюю продолжительность отсрочки платежей, предоставляемых покупателям.

Оборачиваемость кредиторской задолженности рассчитывается по формуле:

, (3.17)

где КЗнп - кредиторская задолженность на начало периода,

КЗкп - кредиторская задолженность конец периода.

Период оборота кредиторской задолженности рассчитывается по формуле:

 (3.18)

Период оборота кредиторской задолженности характеризует среднюю продолжительность отсрочки платежей, предоставляемой предприятию поставщиками.

Чем он больше, тем активнее предприятие финансирует текущую производственную деятельность за счет непосредственных участников производственного процесса (за счет использования отсрочки оплаты по счетам, нормативной отсрочки по уплате налогов и т д.).


 (3.19)

где ВР - выручка от реализации,

Оснг - основные средства на начало года,

Оскг - основные средства на конец года.

Рост данного показателя свидетельствует о повышении эффективности использования основных средств.

г) Диагностика рентабельности.

Расчет данных показателей выполнен в главе 2.1.

Фирма находится в центре рыночной экономики и является частью этой большой системы. Поэтому при диагностики финансового состояния фирмы необходимо учитывать ее взаимодействие и поведение на рынке совместно с фирмами конкурентами.

В настоящее время в российской экономической науке сформировался подход к оценке конкурентоспособности строительных организаций. Некоторые исследователи (Е.А. Яичников, X.М. Гумба и др.) предлагают использовать для этого коэффициент конкурентоспособности, определяемый количеством и объемом выигранных тендеров по отношению к общему количеству конкурентных случаев (тендеров, в которых принимает участие фирма). Нетрудно заметить, что наивысший показатель конкурентоспособности в данном случае может иметь фирма, принявшая участие в одном тендере и выигравшая его. Таким образом, несмотря на простоту и удобство использования данный подход имеет существенные недостатки и в связи с этим ограниченный характер применения.

В то же время большинство исследователей сходятся во мнении, что конкурентоспособность строительной фирмы определяется ее способностью получать заказы в условиях конкурентной борьбы с другими участниками рынка. Таким образом, строительная фирмы, чтобы объективно оценить конкурентоспособность производимой ею строительной продукции, должна в первую очередь использовать те же критерии, которыми оперирует потребитель, т.е. заказчик. Следовательно, необходимо определить перечень параметров, существенных с точки зрения покупателей строительной продукции. Чтобы товар представлял интерес для покупателя, он должен обладать определенными технико-эксплуатационными и экономическими параметрами. Условием приобретения товара является соответствие этих параметров основным характеристикам неудовлетворенной потребности покупателя. В процессе покупки потребитель выбирает товар, устанавливает отличительные признаки, характеризующие конкурентное превосходство данного товара над аналогичными по значению товарами конкурентов, находящимися на рынке.

Специфика строительной продукции как инвестиционного товара, как известно, состоит в закрепленности, неподвижности, капиталоемкости, материалоемкости, длительности создания и эксплуатации и др. Она предопределяет характер взаимоотношений участников инвестиционного процесса, особенности обращения строительной продукции как товара. В следствие неразрывности фаз производства и реализации товар инвестиционного комплекса, как правило, не выходит на рынок в поисках покупателя, а создается по заказу в соответствии с заранее выбранной моделью (проектом) и в строго заданном месте, будучи предназначенным для определенного заказчика (инвестора).

Следует обратить внимание на временной фактор, который играет огромную роль в строительной отрасли. Скорость строительства определяет сроки ввода объекта в эксплуатацию. Подрядные контракты могут выполняться досрочно или с превышением договорных сроков. В первом случае заказчик строительной продукции согласно условиям договора может выплачивать вознаграждение за сокращение срока строительства или выполнения подрядного контракта, а во втором - взыскивать штраф.

Однако практика премирования и штрафных санкций применяется в настоящее время очень редко, при том, что досрочный ввод дает возможность заказчику (инвестору) получить дополнительную прибыль. Если по предмету торгов заказчик в своих требованиях для производственных зданий и сооружений выставляет условия по ускорению их ввода в эксплуатацию и повышению рентабельности проектируемого или сооружаемого объекта, то выбор победителя торгов может осуществляться по критерию минимума затрат, определенных стоимостью строительства, дополнительной прибылью, которую предполагается получить за период сокращения срока строительства, а также дополнительной прибылью от снижения текущих затрат за расчетный период эксплуатации объекта.

Отобразим всё вышеизложенное на рисунке 19.





Рис. 19. Авторская модель диагностики.

3.2 Расчетная модель диагностики финансового состояния фирмы


ООО "ЛМК" начала свою деятельность в 1993г. За годы работы фирма накопила опыт выполнения строительно-монтажных работ. В настоящее время в составе ООО ЖФС "ЛМК" работают высококвалифицированные специалисты с большим стажем работы. Руководство фирмой осуществляет сплоченный коллектив инженерно - технических работников с высшим и среднетехническим образованием. "ЛМК" имеет надежных поставщиков строительных материалов, как в челябинской области, так и за ее пределами. Фирма располагает своим парком землеройной техники и автотранспортом. Располагает отработанной методикой заключения договоров, учитывая интересы заказчика, фирма окажет помощь в строительстве и реконструкции объектов фирмы. Открытость в работе и взаимное доверие является важнейшими стратегическими приоритетами данной фирмы.

Можно условно выявить задачи, реализация которых приводит к достижению цели.

качественное выполнение работ;

пополнение ассортимента предоставляемых услуг;

ежегодно все работники проходят аттестационную комиссию, с целью выявления их профпригодности.

Фирма - одно из главных действующих лиц экономической жизни; это обособленный технико-экономический и социальный комплекс, предназначенный для производства полезных для общества благ. Процесс деятельности фирмы не возможен без взаимосвязи с рынком, она подчиняется его законам, принципам. С рынка берется информация о спросах и предпочтениях потребителей, данные о конкурентах, деньгах, об объемах продаж и т.д. в целом это замкнутая, постоянно функционирующая система.

На деятельность фирмы влияет внешняя и внутренняя среда. К внешней среде относится:

-       Покупатели с их демографическими характеристиками;

-       Конкуренты;

-       Посредники - транспортные фирмы;

-       Действующие и готовящиеся законы;

-       Экономическая ситуация в стране;

-       Культурные традиции;

-       Политический климат страны;

-       Достижения НТР и т.д.

То есть внешняя среда складывается из понятий:

-       Факторы макросреды;

-       Факторы окружения фирмы.

Влияние макросреды: Здесь можно выделить ряд аспектов: экономическое и политическое состояние страны, социальное и культурное окружение и НТР.

Изучение экономического состояния страны дает возможность понять действующие законы - нормы налогообложения, темпы инфляции и т.д. можно увидеть возможности использования природных и человеческих ресурсов, уровень безработицы. Политическая составляющая макроокружения должна изучаться в первую очередь для того, чтобы иметь ясное представление о намерениях органов государственной власти в отношении развития общества и о средствах, с помощью которых государство намерено проводить в жизнь свою политику. Изучение политической компоненты должно концентрироваться на выяснении того, какие программы пытаются провести в жизнь различные партийные структуры, какие изменения в законодательстве и правовом регулировании возможны в результате принятия новых законов и новых норм, регулирующих экономические процессы.

Ближайшее окружение фирмы.

Конкуренты фирмы "ЛМК":

а)       ЗАО "Фабрика мебели Майя";

б)      ЗАО "Альтернатива";

в)      ООО "Промстрой";

г)       ООО "Кедр".

Но не одна из перечисленных фирм не обладает теми характеристиками, которые присущи ООО "ЛМК". Главные отличия от конкурентов:

а)       увеличение сроков гарантийной эксплуатации объектов до 5 лет (обычно 2 года);

б)      минимальные сроки выполнения работ;

в)      контроль качества материалов на месте с привлечением строительных лаборатории.

г)       контроль качества работ на месте;

д)      снижение стоимости строительных работ;

е)       использование новых строительных материалов и технологий;

ж)      большой стаж работы на рынке труда;

з)       наличие сертификата качества (у единственных в области).

Признаками хорошего баланса являются:

а)       Оборотные активы превышают краткосрочные обязательства.

б)      Обеспеченность собственным оборотным капиталом не менее 20-30% от оборотных активов.

в)      Собственным капитал должен составлять не менее 50% ко всему капиталу.

г)       Коэффициенты ликвидности должны быть равны или превышать нормативы.

д)      Дебиторская задолженность должна находится в равновесии с кредиторской.

е)       Производственные запасы не должны превышать нормальный источник финансирования.

ж)      Отсутствии резких изменений в балансе.

з)       В балансе отсутствуют или минимальны такие статьи как:

-       убытки;

-       непроизводственные расходы;

-       неликвидные активы;

-       просроченная задолженность.

Таблица 3.1.

Отчет о прибылях и убытках

Наименование

Код стр.

Абсолютное значение



2006

2007

2008

Выручка от реализации услуг

10

16644

20923

31908

Себестоимость проданных услуг

20

15208

19048

28098

Валовая прибыль

29

1436

1875

3810

прибыль от продаж

50

1436

1875

3810

Прибыль (Убыток) до налогообложения

140

1567

1861

3790

Налог на прибыль

150

315

448

910

Чистая прибыль

190

856

1413

2870


Тенденция к увеличению на 2008г. наблюдается:

а)       выручка от реализации услуг увеличилась на 15264 тыс. руб.,

б)      себестоимость проданных услуг на 12890 тыс. руб.,

в)      валовая прибыль на 2374 тыс. руб.,

г)       прибыли от продаж на 2374 тыс. руб.

Для более удобного расчета показателей, отражающих финансовое состояние фирмы, структурируем баланс по группам.

Улучшение платежеспособности фирмы неразрывно связано с политикой управления оборотными активами и текущими пассивами. Такая политика предполагает оптимизацию оборотных средств и минимизацию краткосрочных обязательств.

Для увеличения прибыли и нейтрализации выявленных негативных сторон финансового состояния ООО СЖФ "ЛМК", были предложены меры: сокращение затрат; увеличение поступления денежных средств в фирму; проведение реструктуризации кредиторской и дебиторской задолженности.

Рассчитаем показатели влияющие на финансовое состояния фирмы:

Сравним оборотные активы и краткосрочные обязательства, тем самым выявим платежеспособность анализируемой фирмы.

Формирование имущественного комплекса фирмы на 2008.


Формирование имущественного комплекса фирмы на 2007.



Формирование имущественного комплекса фирмы на 2006.


В течении анализируемого периода оборотные активы превышают краткосрочные обязательства. Фирма считается платежеспособной. Это свидетельствует о том, что в случае прекращения дальнейшее деятельности фирмы она в состоянии рассчитаться с своими долгами.

Производим сравнение активов и пассивов анализируемого фирмы, основываясь на расчет произведенный в Глава 2.1 Сравнение отобразим в таблице:

Таблица 3.1.

Анализ ликвидности фирмы сравнением активов и пассивов

2006 г

2007 г

2008 г

А1<П1 А2>П2 А3>П3 А4<П4

А1<П1 А2>П2 А3>П3 А4<П4

А1<П1 А2>П2 А3>П3 А4<П4

A1+A2 <П1+П2,А4<П4

A1+A2> П1+П2,А4<П4

A1+A2 >П1+П2,А4<П4

Перспективная ликвидность

Текущая ликвидность (достаточна для рыночных условий)

Текущая ликвидность (достаточна для рыночных условий)


Таким образом, можно сказать, что ликвидность фирмы не абсолютна, но наличие трех из четырех плюсов говорит о достаточно устойчивом состоянии фирмы. Такая ликвидность считается текущей, то есть достаточной для рыночных условий. В 2006 г. ликвидность была перспективной, и последующие года уровень ликвидности увеличился.

Диагностика внутренней финансовой устойчивости показала, что в 2006-2007 г. анализируемая фирма обладала недостаточным уровнем внутренней финансовой устойчивости, но в 2008г. фирмы значительно повысила данный показатель до состояния абсолютной внутренней финансовой устойчивости.

Диагностика коэффициента финансовой независимости показал, что в 2006г. было неустойчивое состояние, в 2007г. соотношение среднего уровня, а в 2008г. высокое положительное состояние.

Диагностика изменения коэффициента обеспеченности собственными оборотными средствами показала, что с каждым анализируемым годом у фирмы появляется больше возможностей в проведении независимой финансовой политики.

Диагностика оборачиваемости дебиторской задолженности свидетельствует о том, что уровень дебиторской задолженности значительно повысился. В 2006г составил 0,08%, в 2007г.0,12% а в 2008г.0,22%. Произошел резкий скачек в 2008г, это связано с экономической ситуацией в стране, многие фирмы не в состоянии по срокам оплачивать свои долги. Соответственно увеличился период оборота дебиторской задолженностью. Значительное превышение дебиторской задолженности создает угрозу финансовой устойчивости организации и делает необходимым привлечение дополнительных источников финансирования.

Диагностика оборачиваемости кредиторской задолженности свидетельствует о том, что уровень кредиторской задолженности повысился. В 2006г составил 0,06%, в 2007г.0,09% а в 2008г.0,17%.

Если дебиторская задолженность больше кредиторской, это является возможным фактором обеспечения высокого уровня коэффициента общей ликвидности. Одновременно это может свидетельствовать о более быстрой оборачиваемости кредиторской задолженности по сравнению с оборачиваемостью дебиторской задолженности. В таком случае в течение определенного периода долги дебиторов превращаются в денежные средства, через более длительные временные интервалы, чем интервалы, когда предприятию необходимы денежные средства для своевременной уплаты долгов кредиторам. Соответственно возникает недостаток денежных средств в обороте, сопровождающийся необходимостью привлечения дополнительных источников финансирования. Последние могут принимать форму либо просроченной кредиторской задолженности, либо банковских кредитов.

Таблица 3.3.

Формула Альтмана применительно к российской специфики.


Таким образом, оценка влияния балансовых остатков дебиторской и кредиторской задолженности на финансовое состояние фирмы должна осуществляться с учетом уровня платежеспособности (коэффициента общей ликвидности) и соответствия периодичности превращения дебиторской задолженности в денежные средства периодичности погашения кредиторской задолженности.

ООО "ЛМК" является пример успешного функционирования строительной фирмы. Рассмотрим, есть ли угроза банкротства фирмы. Воспользуемся формулой Альтмана, она построена на фирмах, которые стали банкротами, адаптированной к российской терминологии

Формула Э. Альтмана построенная по данным успешно действовавших, но обанкротившихся промышленных фирм, адаптированная к российской специфики:

= 1,2 К1 + 1,2 К2+ 3,3 К3 + 0,6 К4 + К5, (3.20)

где К1 - доля чистого оборотного капитала в активах;

К2 - отношение накопленной прибыли к активам;

К3 - экономическая рентабельность активов;

К4 - отношение стоимости эмитированных акций к заемным средствам фирмы;

К5 - Оборачиваемость активов (деловая активность).

По формуле Э. Альтмана получили, что Z = 6, 607

Для оценки вероятности наступления банкротства в течение двух лет используется алгоритм:

Z < 1,81

1,81 < Z < 2,675

Z = 2,675

2,675 < Z < 2,99

Z > 2,99

Вероятность банкротства очень велика

Вероятность банкротства средняя

Вероятность банкротства равна 0,5

Вероятность банкротства невелика

Вероятность банкротства незначительна


Вывод: Вероятность банкротства фирмы в течение ближайших двух лет незначительна.

В текущий момент финансовое состояние ООО "ЛМК" находится в устойчивом положительном состоянии. Наблюдаются тенденции на увеличение показателей, это говорит о хорошем функционировании деятельности фирмы.

После проведения диагностики ООО "ЛМК" не выявлено кризисных факторов финансового состояния.

В связи с текущим экономическим положением в стране, многие фирмы не могу в установленные сроки погасить свои долги, поэтому у фирмы "ЛМК" большая дебиторская задолженность и соответственно растет кредиторская задолженность. Необходимо применить ряд мер на ее устранение и придерживаться оптимального соотношения дебиторской и кредиторской задолженностью.

Отобразим в таблице 3.4 возможные аспекты изменений, которые влияют на повышение финансового состояния.

Таблица 3.4.

Аспекты изменений необходимых для улучшения финансового состояния

Аспекты изменений

Способы проведения изменений

Результат

Уменьшение дебиторской задолженности

 - Увеличение оборачиваемости дебиторской задолженности, Воздействие на фирму должника по возврату суммы в денежном эквиваленте, Бартер.

При возврате задолженности в денежном эквиваленте, денежные потоки переходят в следующую стадию существования. Это отражается на ликвидности и платежеспособности фирмы. Данные показатели значительно увеличиваются. При возврате задолженности бартером, фирма может пополнить свои основные не производственные фонды, либо сократить затраты на покупку сырья и стройматериалов.

Уменьшение кредиторской задолженности

 - Сдача в аренду активов фирмы, Продажа менее используемых активов фирмы, Изменение кредитной политики.

Чем больше денежных средств находится в распоряжении фирмы, тем больше и шире появляются возможности для совершенствования деятельности фирмы. Это существенно отражается на финансовой независимости фирмы.

Максимализация прибыли

 - Сокращение затрат Удешевление сырья Хорошие рекламные акции и реклама Оптимизация продаж


Расширение спектра услуг

-Повышение уровня квалификации сотрудников, Приобщение к новейшим технологиям.

Привлечение новых заказчиков увеличивает спрос на услуги, тем самым, увеличивается общая прибыль.


Фирма "ЛМК" преследует цель своей деятельности - максимализацию прибыли. Можно попробовать изменить данную цель на максимально захватить большую часть рынка. Для этого нужно будет усовершенствовать спектр услуг и расширять свои возможности. Для того чтобы увеличить прибыльность, необходимо в тоже самое время увеличить и заработок, (при этм стараясь не увеличивать затраты), или одновременно увеличивать заработок и уменьшать затраты. Ниже приведены три альтернативы для увеличения прибыльности, которые необходимо детально разобрать и которые являются весьма актуальными:

Первая, увеличение цен при сохранившемся значении издержек. Заработок может быть увеличен несколькими путями:

Поднятием цен на продукт;

Поднятием уровня продаж;

Увеличением разности между ценой и себестоимостью товара.

Установленные цены могут пересматриваться один или два раза в год, но увеличивать цену на товар необходимо в условиях сохранения конкурентоспособности. Другим важным критерием, который необходимо учитывать перед повышением цен, является тип продукта или продаваемой услуги. Существуют такие категории, к которым покупатели относятся лояльно и готовы заплатить чуть больше за них, лишь бы качество и вкус товара оставались на высоте. Вторая альтернатива, это снижение издержек или себестоимости при сохранившемся значении заработка. Второй альтернативой является снижение суммы общих затрат. Это может быть достигнуто уменьшением себестоимости товара. Введение в эксплуатацию продукции высоких технологий. Другим важным инструментом в понижении общих затрат является внедрение новых методов управления, таких как совместная деятельность.

Третье, это одновременное увеличение цен и уменьшение себестоимости. Это может быть достигнуто путем массового строительства. Принцип экономики, обусловленный ростом масштаба строительства, может привести к желаемой цели.

Заключение


В условиях развития рыночной экономики диагностика финансового состояния приобретает все большее значение. Это обусловлено множеством причин, главными из которых являются ошибки в организации управления фирмой, неэффективная финансовая политика, нерациональное использование производственных ресурсов фирмы. В связи с этим фирме необходима информация о диспропорциях в процессе функционирования фирмы и причинах их возникновения для принятия своевременных и оправданных решений. Данная информация выявляется с помощью диагностики финансового состояния фирмы, которая является неотъемлемым элементом управления на фирме.

На основе проведенного исследования теории и методологии по проблеме диагностики финансового состояния можно сделать следующие выводы:

Под диагностикой финансового состояния предлагается понимать процесс распознавания диспропорций и оценки особенностей функционирования фирмы, включающий целенаправленное исследование, анализ полученных результатов и их обобщение, а также нахождение путей устранения существующих диспропорций.

В современной экономической литературе выделяют две формы диагностики финансового состояния фирмы: диагностика результатов деятельности и состояния фирмы и диагностика управления фирмой.

В зависимости от формы и вида диагностики используется свой инструментарий. Это: непосредственное использование данных финансовой отчетности, горизонтальный и вертикальный финансовый анализ и использование финансовых коэффициентов. Для определённых целей диагностики следует использовать только те показатели, которые являются информационной основой для принятия управленческих решений.

Выделяют несколько принципов, на которых должна базироваться диагностика финансового состояния при ее результативности. Это принцип законности и достоверности анализируемой информации. А также важный принцип - принцип временной согласованности. Согласно этому принципу диагностика фирмы должна производиться согласно определенному временному регламенту. Наиболее привлекательным с практической точки зрения представляется регламент диагностики, при котором:

а) один раз в году (в период подготовки годового отчета) производится фундаментальная диагностика, предполагающая использование всего диагностического инструментария, представленного на рисунке 2;

б) ежемесячно производится оценка ограниченного количество показателей по результатам текущего месяца (обычно это делается в первых числах последующего месяца).

Диагностика финансового состояния способствует раннему обнаружению кризисных ситуаций. Кризис фирмы вызывается несоответствием его финансово-хозяйственных параметров параметрам окружающей среды. В глубинных причинах разразившегося кризиса лежит много различных факторов. Данные факторы можно разделить на две основные группы: внешние (не зависящие от деятельности фирмы) и внутренние (зависящие от деятельности фирмы). Несмотря на многообразие факторов, которые могут привести к кризису на фирме, в большинстве случаев такими факторами являются недостатки управления.

В настоящее время большинство строительных фирм России находится в затруднительном финансовом состоянии. Взаимные неплатежи между хозяйствующими субъектами, высокие налоговые и банковские процентные ставки приводят к тому, что фирмы оказываются неплатежеспособными. Внешним признаком несостоятельности (банкротства) фирмы является приостановление его текущих платежей и неспособность удовлетворить требования кредиторов в течение трех месяцев со дня наступления сроков их исполнения.

В связи с этим особую актуальность приобретает диагностика финансового состояния как оценка структуры баланса, так как решения о несостоятельности фирмы принимаются по признании неудовлетворительности структуры баланса.

Для решения конкретных задач диагностики финансового состояния фирмы применяется целый ряд специальных методов, позволяющих получить количественную оценку отдельных аспектов деятельности фирмы. В финансовой практике в зависимости от используемых методов различают следующие системы диагностики финансового состояния фирмы, проводимого на предприятии: трендовая, структурная, сравнительная диагностика и анализ коэффициентов.

Анализ существующих методик диагностики финансового состояния фирмы показал, что в расчет в дипломном проекте следует производить по методике Ковалева, поскольку недостатков в данной методике меньше.

В дипломном проекте для диагностики финансового состояния выбрана строительная фирма ООО "ЛМК", которая начала свою деятельность в 1993г.

В результате проведенного расчета были получены значения коэффициентов, непосредственно отражающих финансовое состояния фирмы. Таким образом, стоит отметить, что ООО "ЛМК" имеет положительную динамику всех показателей, по всем заметна тенденция на увеличение. Финансовое состояние фирмы в 2008 заметно улучшено по сравнению с анализируемыми годами.

По выбранному алгоритму диагностики финансового состояния расчет показателей не выявил каких либо явных недостатков. В ряде случаев показатели дублируют друг друга и не структурированы в разрезе укрепленных блоков финансового состояния. В выбранном алгоритме используются коэффициенты для всех фирм в целом, то есть, нет специфики строительной фирмы.

Для более специализированного анализа финансового состояния автором предлагается собственная модель диагностики финансового состояния фирмы. В текущий момент финансовое состояние ООО "ЛМК" находится в устойчивом положительном состоянии. Наблюдаются тенденции на увеличение показателей, это говорит о хорошем функционировании деятельности фирмы.

После проведения диагностики ООО "ЛМК" не выявлено кризисных факторов финансового состояния. В связи с текущим экономическим положением в стране, многие фирмы не могу в установленные сроки погасить свои долги, поэтому у фирмы большая дебиторская задолженность и соответственно растет кредиторская задолженность. Необходимо применить ряд мер на ее устранение и придерживаться оптимального соотношения дебиторской и кредиторской задолженностью.

Для увеличения прибыли и нейтрализации выявленных негативных сторон финансового состояния ООО "ЛМК", были предложены меры: сокращение затрат; увеличение поступления денежных средств в фирму; проведение реструктуризации кредиторской и дебиторской задолженности.

Фирма "Старт" преследует цель своей деятельности - максимализацию прибыли. Можно попробовать изменить данную цель на максимально захватить большую часть рынка. Для этого нужно будет усовершенствовать спектр услуг и расширять свои возможности.

Для того чтобы увеличить прибыльность, необходимо в тоже самое время увеличить и заработок, (при этом стараясь не увеличивать затраты), или одновременно увеличивать заработок и уменьшать затраты.

Список использованной литературы


1.       Абрютина М.С., Грачев А.В. Анализ финансово-экономической деятельности предприятия. − М.: Дело и Сервис, 2001. − 180.

2.       Анализ хозяйственной деятельности бюджетных организаций: учебное пособие / под общ. ред. Д.А. Панкова, Е.А. Головковой. − 2-е изд., испр. − М.: Новое знание, 2003. − 409.

3.       Артеменко, В.Г., Беллендир, М.В. Финансовый анализ: учебное пособие - 4-е изд., перераб. и доп. - М.: Дело и Сервис, 2006. - 160.

.        Банк В.Р., Банк С.В., Тараскина А.В. Финансовый анализ: учебное пособие. − М.: ТК Велби, Изд-во Проспект, 2006. − 344.

.        Беляев А. Комментарий к приказу Минфина РФ от 13.11.2008 N 128н "Об утверждении Инструкции о порядке составления и представления годовой, квартальной и месячной отчетности об исполнении бюджетов бюджетной системы Российской Федерации" // Бюджетные учреждения образования: бухгалтерский учет и налогообложение. - 2009. - №1, 2.

.        Беляков С.А., Беляков Н.С., Клячко Т.Л. Анализ и оценка экономической устойчивости вузов. − М.: МАКС Пресс, 2008. − 191.

.        Бланк И.А. Основы финансового менеджмента. Том 2. − 2-е изд., перераб. и доп. − К.: Эльга, Ника-Центр, 2004. − 624.

.        Большой экономический словарь / под ред.А.Н. Азрилияна. - 5-е изд. доп. и перераб. - М.: Институт новой экономики, 2002. - 1280.

.        Бочаров В.В. Комплексный финансовый анализ. - СПб.: Издательство "Питер", 2005. - 432.

.        Бухонова С.М. Комплексная методика анализа финансовой устойчивости предприятия / С.М. Бухонова, Ю.А. Дорошенко, О.Б. Бендерская // Экономический анализ: теория и практика. - 2004. - №7.

.        Вифлеемский А. Платные дополнительные образовательные услуги // Бюджетные учреждения образования: бухгалтерский учет и налогообложение", 2008. - №11.

.        Гаврилова А.Н. Финансы организаций (предприятий): учебник. − 3-е изд., перераб. и доп. − М.: КНОРУС, 2007. − 608.

.        Гиляровская Л.Т., Вехорева А.А. Анализ и оценка финансовой устойчивости коммерческого предприятия. − СПб.: Питер, 2003. − 256.

.        Грачев А.В. Анализ и управление финансовой устойчивостью предприятия: учебно-практическое пособие. - М.: Издательство "Финпресс", 2002. - 208.

.        Гринь А.М., Баитов А.С. Анализ финансовой устойчивости государственного вуза // Сибирская финансовая школа. - 2005. - №2.

.        Дронов Р.И., Резник А.И., Бунина Е.М. Оценка финансового состояния предприятия. // Финансы. - 2001. - № 4.

.        Ефимова О.В. Финансовый анализ. - 4-е изд., перераб. и доп. - М.: Изд-во "Бухгалтерский учет", 2002. - 528.

.        Канке А.А., Кошевая И.П. Анализ финансово-хозяйственной деятельности предприятия: учебное пособие. − 2-е изд., испр. и доп. − М.: ИД "ФОРУМ": ИНФРА-М, 2007. − 288.

.        Капустин С.Н. Организация мониторинга финансовой устойчивости банков // Финансы и кредит. - 2006. - № 3.

.        Киперман Г. Оценка финансовой устойчивости коммерческой организации // Финансовая газета. Региональный выпуск. - 2005. - №7.

.        Ковалев А.И. Анализ финансового состояния предприятия. - М.: - Издательство: Центр экономики и маркетинга, 2004. - 250.

.        Ковалев В.В. Финансовый анализ: методы и процедуры. − М.: Финансы и статистика, 2002. − 560.

.        Ковалев В.В. Финансовый менеджмент: теория и практика. − 2-е изд., перераб. и доп. − М.: ТК Велби, Изд-во Проспект, 2007. − 1024.

.        Кондраков Н.П., Кондраков И.Н. Бухгалтерский учет в бюджетных организациях. - 6-е изд., перераб. и доп. - М.: ТК Велби, Изд-во Проспект, 2007. − 335.

.        Крейнина М.Н. Анализ финансового состояния и инвестиционной привлекательности акционерных обществ в промышленности, строительстве и торговле. - М.: АО "ДИС", МВ-Центр, 2004. - 412.

.        Лиференко Г.Н. Финансовый анализ предприятия: учебное пособие. − М.: Издательство "Экзамен", 2005. − 160.

.        Матанцева О.Ю., Матанцева И.В. Финансовая устойчивость организации и оценка ее стоимости // Аудиторские ведомости. - 2004. - №9.

.        Парфенов И.В., Крипак Е.М., Дивеева И.С. Внедрение системы бюджетирования и бизнес-планирования для принятия решений о развитии обособленных структурных подразделений в составе бюджетных учреждений // Бухгалтерский учет в бюджетных и некоммерческих организациях. - 2008. - №3.

.        Пястолов С.М. Анализ финансово-хозяйственной деятельности предприятия: учебник. − 3-изд., стер. − М.: Издательский центр "Академия", 2004. − 336.

.        Родионова В.М., Федотова М.А. Финансовая устойчивость предприятия в условиях инфляции. - М.: 2002.

.        Савицкая А.В. Анализ активов предприятия // Анализ хозяйственной деятельности предприятия. - 1999 - с.438-441.

.        Савицкая Г.В. Анализ хозяйственной деятельности предприятия. − М.: ИНФРА-М, 2007. − 512.

.        Седова Е.И., Погорелова К.А. Подготовка к балансовой комиссии. Анализ бухгалтерской (финансовой) отчетности с использованием финансовых коэффициентов // Консультант бухгалтера. - 2007. - №4.

.        Сергеева И.В., Сергеев Е.А. Предпринимательская деятельность бюджетных учреждений. − М.: ООО "Статус-Кво 97", 2006. − 388.

.        Солнцева А. Отчитываемся по новым формам // Бюджетные учреждения образования: бухгалтерский учет и налогообложение. - 2008. - №1.

.        Станиславчик Е. Финансовая устойчивость и финансовый леверидж // Финансовая газета. - 2004. - №28.

.        Философский энциклопедический словарь / под ред. Л.Ф. Ильичева. - М.: Советская энциклопедия, 1983. - 836.

.        Финансовое управление фирмой / под ред.В.И. Терехина. − М.: Экономика, 2001. − 98.

.        Чуев И.Н., Чуева Л.Н. Комплексный экономический анализ хозяйственной деятельности: учебник для вузов. − М.: Издательско-торговая корпорация "Дашков и Ко", 2006. − 368.

.        Шеремет А.Д., Сайфулин Р.С., Негашев Е.В. Методика финансового анализа. − М.: ИНФРА-М, 2000. − 208.

.        Экономика предприятий: учебное пособие для вузов эк. спец. / под ред. Сергеева В.Н. - М.: Финансы и статистика. - 2003. - 574.

.        Экономическая безопасность: учебное пособие / под ред. д. э. н., профессора В.И. Бархатова - Челябинск: ЧелГУ, 2007. - 194.

.        Экономический анализ: учебник для вузов / под ред.Л.Т. Гиляровской. − М.: ЮНИТИ-ДАНА, 2004. − 615.

Похожие работы на - Разработка авторской модели диагностики финансового состояния фирмы ООО 'ЛМК'

 

Не нашли материал для своей работы?
Поможем написать уникальную работу
Без плагиата!
Без нейросетей!