Проект технологической линии производства творога традиционным методом
Содержание
Введение
. Описание технологических процессов, осуществляемых в
оборудовании проектируемой линии
. Подбор технологического оборудования в линии
. Описание устройства и принципа действия аналогов
. Основные расчеты
. Описание конструкции и принципа действия разработанной
установки
. Правила эксплуатации проектируемого технологического
оборудования
Заключение
Список литературы
ВВЕДЕНИЕ
Молоко и молочные продукты относятся к незаменимым продуктам питания,
используемым человеком во все периоды его жизни. Особенно важное значение
молоко и молочные продукты имеют в питании детей, больных и пожилых людей,
беременных и кормящих женщин. Молоко и молочные продукты являются основными
продуктами диетического и лечебного питания, так как содержат необходимые
организму человека пищевые вещества в легкодоступной для усвоения форме.
В настоящее время проблема эффективного использования белковых веществ
молока является наиболее важной. Это обусловлено повсеместным дефицитом
полноценных пищевых белков. Для построения белков в организме человека
необходимо 20 различных аминокислот, которые должны присутствовать в
определённом соотношении.
Отличительной особенностью молочных белков является то, что при их
расщеплении образуются пептиды и другие компоненты, которые всасываются
непосредственно в кровь. Усвояемость молочных белков человеческим организмом
практически полная. Растительные белки таким свойством не обладают. По
аминокислотному составу белки молока равноценны белкам мяса, но в отличие от
них не содержат пуриновых оснований, избыток которых вредно влияет на обмен
веществ в организме. Поэтому потреблять молочные продукты можно в
неограниченном количестве.
Значительная часть современных людей работает с большими умственными и
нервными, но минимальными физическими нагрузками. Поэтому целесообразно
увеличить потребление полноценных белковых продуктов, содержащих в оптимальных
количествах витамины, макро - и микроэлементы и незначительное количество жира.
Наиболее полно этому требованию соответствуют молочные продукты, полученные из
обезжиренного молока.
Творог - это белковый кисломолочный продукт, изготовляемый сквашиванием
пастеризованного нормализованного молока. Значительное содержание в твороге
жира и особенно полноценных белков обуславливает его высокую пищевую и
биологическую ценность. Наличие содержащихся аминокислот - метионина и лизина,
холина позволяет использовать творог для профилактики и лечения некоторых
заболеваний печений, почек, атеросклероза. В твороге содержится значительное
количество минеральных веществ (кальция, фосфора, железа, магния и др.),
необходимых для нормальной жизнедеятельности сердца, центральной нервной
системы, мозга. Особенно важное значение имеют соли кальция и фосфора, которые
в твороге находятся в состоянии, наиболее удобном для усвоения. К творожным
изделиям относятся различные творожные массы и сырки, кремы и т.п. При этом к
творогу добавляются вкусовые и ароматические вещества (сахар, изюм, цукаты,
ванилин и другие).
1. ОПИСАНИЕ ТЕХНОЛОГИЧЕСКИХ ПРОЦЕССОВ, ОСУЩЕСТВЛЯЕМЫХ В ОБОРУДОВАНИИ
ПРОЕКТИРУЕМОЙ ЛИНИИ
Устройство и принцип действия линии. Молоко из емкости подается сначала в
балансировочный бачок 2, а затем насосом 3 в секцию рекуперации
пастеризационно-охладительной установки 5, где оно подогревается до температуры
35...40 °С и направляется на сепаратор-очиститель 4.
Нормализованное и очищенное молоко направляют на пастеризацию при 78...
80 °С с выдержкой 20...30 с. Температура пастеризации влияет на
физико-химические свойства сгустка, что, в свою очередь, отражается на качестве
и выходе готового продукта. Так, при низких температурах пастеризации сгусток
получается недостаточно плотным, та» как сывороточные белки практически
полностью отходят в сыворотку, и выход творога снижается. С повышением
температуры пастеризации увеличивается денатурация сывороточных белков, которые
участвуют в образовании сгустка, повышая его прочность и усиливая
влагоудерживающую способность. Это снижает интенсивность отделения сыворотки и
увеличивает выход продукта. Путем регулирования режимов пастеризации и
обработки сгустка, подбором штаммов заквасок можно получать сгустки с нужными
реологическими и влагоудерживающими свойствами. Пастеризованное молоко
охлаждают в секции рекуперации пластинчатой пастеризационно-охладительной
установки 5 до температуры сквашивания (в теплое время года до 28...30 °С, в
холодное - до 30...32 °С) и направляют в специальные ванны 6 на
заквашивание. Закваску для производства творога изготовляют на чистых культурах
мезофильных молочнокислых стрептококков и вносят в молоко в количестве от 1 до
5%.
При ускоренном способе сквашивания в молоко вносят 2,5% закваски,
приготовленной в заквасочнике 10 на культурах мезофильного стрептококка и на
2,5% термофильного молочнокислого стрептококка. Температура сквашивания при
ускоренном способе повышается в теплое время года до 35 °С, в холодное - до 38
°С. Продолжительность сквашивания молока при ускоренном способе 4,0...4,5 ч,
т.е. сокращается на 2,0...3,5 ч, при этом выделение сыворотки из сгустка
происходит более интенсивно. [1]
Для улучшения качества творога желательно применять беспересадочный
способ приготовления закваски на стерилизованном молоке, что позволяет снизить
дозу внесения закваски до 0,8... 1,0% при гарантированной ее чистоте.
При сычужно-кислотном способе производства творога после внесения
закваски добавляют 40%-ный раствор хлорида кальция (из расчета 400 г безводной
соли на 1 т молока), приготовленного на кипяченой и охлажденной до 40...45°С
воде. Хлорид кальция восстанавливает способность пастеризованного молока образовывать
под действием сычужного фермента плотный, хорошо отделяющий сыворотку сгусток.
Немедленно после этого в молоко в виде 1%-ого раствора вносят сычужный фермент
или пепсин из расчета 1 г на 1 т молока. Сычужный фермент растворяют в
кипяченой и охлажденной до 35°С воде. Раствор пепсина с целью повышения его
активности готовят на кислой осветленной сыворотке за 5... 8 ч до
использования. Для ускорения оборачиваемости творожных ванн 6 молоко сквашивают
до кислотности 32...35 °Т в резервуарах, а затем перекачивают в творожные ванны
и вносят хлорид кальция и фермент.
Окончание сквашивания и готовность сгустка определяют по его кислотности
(для жирного и полужирного творога должна быть 58...60 °Т, для нежирного
-66...70 °Т) и визуально - сгусток должен быть плотным, давать ровные гладкие
края на изломе с выделением прозрачной зеленоватой сыворотки. Сквашивание при
кислотном методе продолжается 6...8 ч, сычужно-кислотном - 4...6 ч, с
использованием активной кислотообразующей закваски - 3...4 ч.
Чтобы ускорить выделение сыворотки, готовый сгусток разрезают
специальными проволочными ножами на кубики с размером граней 2 см. При
кислотном методе разрезанный сгусток подогревают до 36...38 °С для
интенсификации выделения сыворотки и выдерживают 15...20 мин, после чего ее
удаляют. При сычужно-кислотном - разрезанный сгусток без подогрева оставляют в
покое на 40...60 мин для интенсивного выделения сыворотки.[1]
Для дальнейшего отделения сыворотки сгусток подвергают самопрессованию и
прессованию. Для этого его разливают в бязевые или лавсановые мешки по 7...9 кг
(на 70% вместимости мешка), их завязывают и помещают несколькими рядами в
пресс-тележку 7. Под воздействием собственной массы из сгустка выделяется
сыворотка. Самопрессование происходит в цехе при температуре не выше 16 °С и
продолжается не менее 1 ч. Окончание самопрессования определяется визуально по
поверхности сгустка, которая теряет блеск и становится матовой. Затем творог
под давлением прессуют до готовности. В процессе прессования мешочки с творогом
несколько раз встряхивают и перекладывают. Во избежание повышения кислотности
прессование необходимо проводить в помещениях с температурой воздуха 3...6 °С,
а по его окончании немедленно направлять творог на охлаждение до температуры не
выше 8 °С с использованием охладителей различных конструкций; наиболее
совершенным из них является двухцилиндровый охладитель 8.
. ПОДБОР ТЕХНОЛОГИЧЕСКОГО ОБОРУДОВАНИЯ В ЛИНИИ
На производство творога направляется 55 т принятого молока. Количество
сливок (Ксл, т) жирностью 35%, полученных при сепарировании молока,
определяем по формуле [7]:
Ксл=
, т,
(2.1)
где Км=55- количество цельного молока,
перерабатываемого в смену (по заданию); Жм = 3,4% - жирность цельного
молока;
Ж0 = 0,05% - жирность обезжиренного молока;
П
= 0,23 - нормативные потери при сепарировании 
Ксл=
=5,26 т.
Тогда количество молока обезжиренного, полученного при сепарировании [7]:
Ко=Км-Ксл, т, (2.2)
Ко =55-5,26 = 49,74 т.
Согласно нормам расхода для выработки 1 т обезжиренного творога требуется
7,603 т молока обезжиренного, тогда количество полученного творога равно [7]:
х=
=6,54 т.
Количество
принятого, переработанного и накапливаемого молока рассчитывается по формулам
[7]:
Мп=Gп
п, т, (2.3)
Мпер=Gпер
(
п-0,5), т, (2.4)

М=Мп-Мпер,
т, (2.5)
где

п - время приемки, час (
п=3ч);
Gп - производительность оборудования на участке приемки,
т/ч;
Gпер - производительность оборудования в аппаратном цехе,
т/ч;
Мп
- количество принятого молока за время приемки, т;
Мпер
- количество переработанного молока за время приемки, т.

М -
максимальное количество молока, накапливаемого в резервуарах, т.
Мпер=7
(3-0,5)=17,5
т.
Количество
молока, накапливаемого в резервуарах:

М=55-17,5=37,5
т.
Таблица
2.1 - Оптимальный вариант подбора технологического оборудования в линию
|
Наименование
технологической операции
|
Вид и марка оборудования
|
Количество единиц в линии
|
Производительность, т/ч
|
Габаритные размеры, м;
масса, кг
|
|
Резервирование молока
|
Резервуар В2-ОМГ-10
|
4
|
10
|
|
|
Тепловая и механическая
обработка молока
|
Пастеризационно-охладительная
установка ОПЛ-10
|
1
|
10
|
|
|
Сепаратор- молокоочиститель
А1-ОЦМ-10
|
1
|
10
|
|
|
Сквашивание
|
Ванна для твороженного
сгустка ВК-2,5
|
12
|
|
|
Пресс-тележка ВС-2,5
|
5
|
0,4
|
|
|
Охлаждение
|
Охладитель для творога
209-ОТД-1
|
1
|
0,6
|
|
|
Фасование
|
Расфасовочно-упаковочный
автомат
|
1
|
0,6
|
|
. ОПИСАНИЕ УСТРОЙСТВА И ПРИНЦИПА ДЕЙСТВИЯ АНАЛОГОВ
Технологическое назначение сепаратора и его место в технологической схеме
Сепаратор-осветлитель, предназначенный для очистки молока после удаления грубых
частиц.
Схема классификации современных сепараторов приведена на рисунке 3.1.
Принципы классификации следующие: - по общему технологическому назначению; - по
способу выгрузки осадка; - по типу центробежной выгрузки осадка; - по
конкретному технологическому назначению. По конструкции приемно-отводящего
устройства различают сепараторы открытого, полузакрытого и герметичного типа.
[2]
Современные способы очистки молока
Методы очистки молока
Способы очистки соков
Различают следующие виды очистки соков [1,2]:
а) грубое фильтрование, осуществляемое в различных фильтрах;
б) электросепарирование путем пропускания через сок постоянного
электрического тока. Ток, проходя через сок, вызывает электролиз небольшой
части воды, содержащейся в нем. В результате электрохимических реакций на
положительном электроде выделяется кислород, на отрицательном водород. Газовые
пузырьки, образующиеся на поверхности электродов, поднимаются вверх и, встречая
на своем пути взвешенные частицы, адсорбируются на них и поднимают их на
поверхность;
в) центрифугирование (сепарирование) применяется для удаления из соков
различных взвешенных частиц. Соки с мякотью центрифугируют для удаления
наиболее крупных частиц мякоти с целью придания продукту наиболее однородной
консистенции;
г) фильтрование применяют для получения кристально прозрачных соков, не
дающих осадка при хранении. В соковой промышленности применяют фильтрование с
кизельгуром или через фильтрокартон. Первое называют предварительной
фильтрацией и почти всегда проводят перед фильтрованием через фильтрокартон.
д) ультрафильтрация применяется при производстве осветленных
концентрированных соков. При этом она заменяет не только сепарирование,
кизелыуровый и пластинчатый фильтр-пресс, но и обработку осветляющими
веществами.
Рисунок 3.1 - Схема классификации современных молочных сепараторов
Современное оборудование для очистки и осветления соков
Грубую очистку сока от взвесей осуществляют сразу после отжима сока, так
как длительное нахождение частиц мякоти в соке способствует его окислению и
ухудшению вкуса и цвета. Для грубого фильтрования используют разные ситовые устройства,
различающиеся по конструкции и форме, и гидроциклоны. В Болгарии и других
странах для этой цели применяют щеточные ситовые фильтры непрерывного действия,
которые встраиваются в сокопровод.
Фильтры. Ситовый щеточный фильтр фирмы «Бухер» (Швейцария) представляет
собой цилиндрическое сито, заключенное в кожух, внутри которого расположен
ротор со щетками (рисунок 3.2).
Рисунок 3.2 - Ситовый щеточный фильтр фирмы «Бухер»:
1 -
привод, 2 - сальник, 3 - винт деаэратора, 4 -
цилиндрическое сито, 5 - конусообразный бункер для осадка, 6 - щетки, 7
- вал
Сок поступает через входной штуцер, расположенный на крышке, и попадает
внутрь цилиндрического сита. Здесь под действием центробежной силы, создаваемой
ротором, сок отбрасывается на стенки цилиндра и проходит через отверстия сита в
наружную камеру, откуда затем выводится из аппарата. Взвеси оседают на стенках
сита и сбрасываются щетками ротора в нижний конусообразный бункер, откуда
выводятся из аппарата. Сито дополнительно промывается ополаскивающим
устройством. Аппарат выпускается двух типов производительностью по воде 300 и
100 м /ч, имеет сменные сита с перфорацией (в мм): 0,9; 1,1; 1,6; 2,0.
Максимальное давление сока на входе 0,23 и 0,5 МПа, на выходе 0,15 МПа. Части, соприкасающиеся
с соком, изготовлены из нержавеющей стали, скребки - из резины или тефлона,
щетки - из синтетических материалов.[1]
В линию часто устанавливают последовательно два фильтра с перфорацией сит
1,6 и 0,9 мм.
Для очистки виноградного сусла от взвесей ВНИИВиПП «Магарач» и СКТБ
«Дезинтегратор» предложен метод механоимпульсной обработки. Метод основан на
том, что в результате такой обработки сока происходит разрыв гидрофильных
связей между жидкой фазой сусла и ее коллоидными частицами и появляется четкая
граница раздела фаз.
Для механоимпульсной обработки сусла разработчиками совместно с
Таллиннским СКТБ изготовлен механоимпульсный реактор производительностью 5500
л/ч.
Неосветленное сусло поступает в центр рабочей камеры реактора, где
взвеси, ударяясь о пальцы особой конструкции, подвергаются механоимпульсному
диспергированию Одновременно в жидкости, интенсивно перемешиваемой ротором,
образуются круговые потоки, которые способствуют засасыванию атмосферного
воздуха через специальный ввод и образованию пузырьков газа. Взвеси сорбируются
на пузырьках газа и легко, и быстро флотируются из дезинтегратора в виде
мелкодисперсной пены. Наиболее эффективно механоимпульсный реактор работает в
течение первого часа после запуска.
Объем осадков снижается на 17-20%, а их влажность- на 1,6-2,2% Хорошие
результаты получены при сочетании способа механоимпульсной обработки с
осветлением ферментами.
Гидроциклоны. По устройству гидроциклон несложен. Он состоит из
цилиндрического корпуса диаметром от 20 до 150 мм с коническим днищем,
выполненным под углом 15-20° к вертикали Сок подводится к цилиндрической части
корпуса тангенциально через патрубок под углом около 4° к горизонтали При
вращении сока под действием центробежной силы более крупные частицы
отбрасываются к стенкам устройства и, двигаясь по спирали, отводятся через
патрубок в нижней части циклона в виде сконцентрированной массы взвесей.
Осветленный сок с уменьшенным содержанием взвешенных частиц выводится через
патрубок в верхней части устройства. [2]
В Венгрии гидроциклоны устанавливают в линии производства соков с мякотью
для удаления более крупных взвесей и попавших в сок частиц песка.
Фирма «Нивоба» (Нидерланды) выпускает разные модели гидроциклонов,
которые используются в пищевой и фармацевтической промышленности Они пригодны
для отделения взвешенных частиц размером от 5 до 1000 мкм.
В производстве соков с мякотью применение гидроциклона обеспечивает
наличие частиц одного размера в готовом продукте, поскольку более крупные
частицы удаляются. Для повышения эффективности очистки целесообразно
устанавливать последовательно несколько гидроциклонов.
В группе гидроциклонов «Нивоба» имеются микро-гидроциклоны, объединенные
в многоступенчатую систему, которые обеспечивают удаление мелких взвесей.
Для ускорения очистки соков применяют центрифугирование.
Фильтрующая центрифуга ФВИл-701к-04. Предназначена для извлечения сока в
линии комплексной переработки яблок. Индекс марки центрифуги означает:
Ф-фильтрующая, В - вертикальная, И - с инерционной выгрузкой осадка, л -
лопастная.
Техническая характеристика центрифуги ФВИл-701к-04 Производительность по
исходному продукту, т/ч до 10
Фактор разделения 1250-1550
Внутренний диаметр корпуса ротора, мм 700
Частота вращения ротора, мин"1 1800-2000
Число лопастей 24
Ширина щели сит, мм 0,15; 0,25, 0,4, 1,1,5, 2,6
Площадь фильтрующей поверхности, м2 1
Масса, кг 1820
Центрифуга ФВИл-701к-04 состоит из ротора 6, корпуса 2, привода 5,
клиноременной передачи 4 и электродвигателя 3. Ротор представляет собой корпус
с установленными на нем фильтрующими лопастями и стаканом. На стакане крепится
терочный диск Трубки отвода сока выведены через дно ротора Фильтрующий ротор
закрыт крышкой.
Яблоки, загружаемые в центрифугу через бункер 7, попадают на терку Через
кольцевые зазоры между теркой и диском измельченная масса поступает на сетки
фильтрующих лопастей Профиль лопасти обеспечивает непрерывное перемещение
продукта с момента поступления его до схода под действием сил, возникающих при
вращении ротора Непрерывное разделение сока и твердой фракции достигается за
счет того, что на лопасти происходят одновременно и непрерывно два процесса-
основной: разделение плодоовощной мезги на твердую и жидкую фракции,
вспомогательный: перемещение мезги по фильтрующей перегородке.
Сок, проходя через отверстие сетки, поступает в корпус лопасти, а затем
по трубкам отвода сока попадает в сокосборник, а из него в циклон 7. Последний
служит для выделения воздуха из сока.
Мезга, отделенная от сока, выгружается под действием центробежной силы
через окна в корпусе ротора, попадает через кольцевое пространство между
стенкой корпуса центрифуги и сокосборником в бункер или на транспортер.
Новым типом центрифуг являются декантеры (рисунок 1.4). Они представляют
собой горизонтально расположенные шнековые центрифуги с конусным барабаном,
предназначенные для непрерывного осветления жидкостей с высоким содержанием
взвесей.
Декантеры выпускают фирмы «Альфа-Лаваль» (Швеция), «Вестфалия» (ФРГ) и
др. Производительность декантеров NX фирмы «Альфа-Лаваль» 18 ООО л/ч, фирмы «Вестфалия» - от 8000 до 20 000
л/ч при частоте вращения барабана 5500-4000 мин-1, ротора 3000 мин-1.
Производительность декантеров зависит от вязкости жидкой фазы, характера
разделяемых компонентов, желаемой степени осветления и влажности удаляемой
твердой фазы (выжимок).
Сепараторы.
В значительной степени сок осветляется на сепараторах, (рисунок 3.3).
Поскольку величина частиц взвесей мала и их плотность незначительно отличается
от плотности сока, при конструировании сепараторов для соковой промышленности
основное внимание обращают на повышение частоты вращения ротора. В современных
сепараторах барабан вращается с частотой 6500 - 7000 мин-1.
В зависимости от конструкции сепаратора его можно применять как для
выделения твердых взвешенных частиц из сока, так и для разделения смеси
жидкостей на два компонента.
Для очистки осветленных и неосветленных соков с содержанием взвесей до
10% применяют осветляющие сепараторы тарельчатого типа саморазгружающиеся.
Наибольшее распространение в соковой промышленности получили сепараторы фирм «Альфа-Лаваль»
(Швеция), «Вестфалия» (ФРГ), производства государственного предприятия Германии
и др. В России выпускают аналогичные сепараторы марок Г9-КОВ, А1-ВСЗ
производительностью 10 т/ч и др.
Рисунок 3.3 - Сепаратор для молока
-станина, 2 - электродвигатель, 3 - корпус, 4 -
питательно-разгрузочная камера; 5 - крышка, 6 - второй диск, 7 -
неподвижная крыльчатка; 5 - цилиндры, 9 - барабан, 10 - первый диск
Сепаратор Г9-КОВ (рисунок 3.4) полузакрытого типа с пульсирующим
центробежным выходом осадка. В барабане сепаратора расположен тарелкодержатель
с пакетом тарелок, в средней части основания имеется 12 диаметрально
расположенных разгрузочных щелей, перекрываемых верхней кромкой поршня перед
подачей продукта в барабан. Производительность сепаратора до 10 м3/ч,
диаметр барабана 0,6 м, зазор между тарелками 0,5 мм, частота вращения ротора
5000 мин-1, мощность электродвигателя 13 кВт.
В саморазгружающихся тарельчатых сепараторах молоко входит в сепаратор
через отверстие вблизи нижнего конца диска и под действием перепада давлений
течет в каналы, образованные между тарелками, наклонно снизу вверх к
внутреннему краю тарелки. Тарелки (40-150 шт.) с тонкими стенками (0,35-0,75
мм) выполнены в виде боковой поверхности конуса (угол наклона 35-45°) и
отделены одна от другой ребрами высотой 0,4-2 мм. Под действием центробежной
силы взвешенные частицы, имеющие большую плотность, чем сок, прижимаются к
коническим тарелкам и непрерывно соскальзывают с нижней части тарелок в сборник
осадка, а очищенный сок выходит из верхней части канала между тарелками. В
саморазгружающихся тарельчатых сепараторах, работающих периодически, взвешенные
частицы собираются в камеру для осадка с двойным конусом и через определенные
промежутки времени без остановки сепаратора автоматически выбрасываются.
Рисунок 3.4 - Сепаратор Г9-КОВ:
-станина; 2-горизонтальный вал; 3-плавающая опора; 4-гидроузел;
5-приемник шлама; 6-барабан; 7-приемно-выводное устройство; 8-крышка; 9-ванна;
10-вертикальный вал
Существуют различные конструкции фильтров, работающих периодически и
непрерывно. В пищевой промышленности используются в основном фильтры
периодического действия. Наиболее распространен в пищевой промышленности
фильтр-пресс, который используется для окончательной очистки при производстве
осветленных соков.
Фильтр-пресс (рисунок 3.5) смонтирован на передвижной станине 1, на
которой расположены задняя упорная плита 5, передняя нажимная плита 9 и 95 плит
6, 8, своими приливами установленные на два горизонтальных стальных стержня 7.
Для облегчения конструкции плиты изготовляют из алюминия.
Рисунок 3.5 - Фильтр-пресс:
Насос 2, нагнетающий суспензию в канал 4, приводится в движение
электродвигателем 3. Нажимная плита 9 перемещается винтом 10 при помощи
штурвала 11. Уплотнение плит 8 производится винтом 10 с помощью рычага 12 или
механическим приводом. Собранные в пакет плиты с размещенными между ними
фильтрующими пластинами (асбестовыми или асбестоцеллюлозно-диатомитовыми) плотно
сжимаются. При этом фильтрующие пластины делят зазор между двумя плитами на две
части, что достигается благодаря ребристой поверхности плит. Поэтому различают
четные и нечетные отсеки. Если исходная суспензия поступает в четный отсек,
осветленный сок будет выходить из нечетного отсека.
При работе фильтра фильтруемая суспензия нагнетается в каналы четных
плит, затем через отверстия в них поступает в отсеки для исходной суспензии и
под давлением проходит через фильтрующие пластины, при этом частицы взвесей задерживаются,
а осветленный сок попадает в отсеки для конечного осветленного сока, затем по
двум каналам нечетных пластин выходит из фильтра в сборник для осветленного
молока.
. ОСНОВНЫЕ РАСЧЕТЫ
творог сепаратор очистка молоко
1 Технологический расчет
Расчет размеров пакета тарелок
Принимаем для проектируемого сепаратора следующие параметры [1]:
Rб=0,22 м - максимальный радиус по
образующей тарелки, м;
Rм=0,12 м - - минимальный радиус по
образующей тарелки, м;
n=109,1
- частота вращения барабана, об/с;
α=50°- угол наклона образующей тарелки.
Производительность сепаратора-молокоочистителя
определяется по формуле [1]:
М=12·1010·n2·z·tgα·(Rзб-Rзм)·d2ч·t,
л/ч, (4.1)
где n -
число оборотов барабана сепаратора, об/с.;
z - количество тарелок, шт.;
RM и R6 - минимальный и максимальный радиусы образующей тарелки, м;
α - угол наклона образующей тарелки,
град.;
dч - диаметр расчетной частицы загрязнений, м (dч =1,3-1,8 мкм);
t - температура сепарирования (35-40°С), °С.
Из этой формулы определяем количество тарелок в пакете
для проектируемого сепаратора:
z=
=8,73
Принимаем число тарелок 9 шт., толщина тарелки hm = 0,0015 м, межтарелочный зазор h = 1,5 мм.
Определяем высоту пакета тарелок по формуле:
Hn=z·hm+(z-1) ·h, м, (4.2)
где Нп - высота пакета тарелок, м.
Нп = 9·0,0015 + (9-1)·0,0015 =0,0255
м.
Определение размеров барабана.
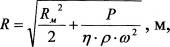
Определяем предельное значение наружного диаметра, D, [2]:
D=
+
, м,
(4.3)
где
d0 = 0,055
- диаметр открытой поверхности вращающейся жидкости, м;
m=0,3 -
коэффициент Пуассона для стали;

=1023 -
плотность молока, кг/м3;

с=7860- плотность стали, кг/м3;
D=
+0,3532=0,42
м.
Определяем
критическую и оптимальную толщины стенки барабана сепаратора:

=
, м,
(4.4)

=
=0,033 м.

опт=(0,4÷0,5)
, м, (4.5)

опт=(0,4÷0,5)
=(0,013÷0,017) м.
Принимаем
толщину стенки барабана 
ст =0,016 м.
Толщину стенки крышки барабана принимаем равной толщине стенки барабана.
Толщину днища определяем из соотношения:

дн=(1,2÷1,5)

ст, м,

дн=(1,2÷1,5)

м=(0,0192÷0,024), м.
Принимаем
0,024 м.
Проверка
барабана из условия прочности.
Допустимая
максимальная частота вращения барабана соответствует условию равенства
действительных напряжений в материале барабана максимально допустимым [2]:
nmax=
, c-1, (4.6)
где

= 250 -
допускаемое напряжение, МПа;
DH
- наружный диаметр барабана, м.
nmax=
=120,9 c-1.
nmax > n, следовательно, рассчитанные размеры барабана и принятая
частота вращения удовлетворяет условию прочности.
Расчет соединительного кольца.
Определяем радиус соединительного кольца по формуле:
R1≥
, м, (4.7)
где
R1 -
наружный радиус кольца, м;
h - глубина
нарезки резьбы, м;
Q-
сила, действующая на крышку в осевом направлении, Н;
K=
- сила
упругости резиновой прокладки, Н,
где Rн - наружный радиус барабана, м;
α = 0°40’ - угол подъема винтовой нарезки;

= 5°43’
- угол трения;
Р=400 - усилие, которое рабочий
прикладывает к рукоятке ключа, Н;
В=0,40 - длина ключа, м.
K=
=7914 Н.
Определяем
силу Q по формуле [2]:
Q=31
1023
109,12
0,1764=362191
Н.
K+Q = 7914 + 362191
=370105 Н.
Принимаем
глубину нарезки резьбы 7 мм.
Определяем
радиус кольца по формуле (5.9):
R1≥
м.
Проверяем
напряжение в кольце от центробежной силы по формуле [2]:

, МПа,
(4.8)

=91,5
МПа,
что
удовлетворяет условию прочности 
≤
, т.к. 
=100 МПа.
Расчет напорного диска
Наружный радиус напорного диска определяют по формуле [2]:
где Р = 0,25 МПа - давление молока на выходе из
сепаратора;

= 0,4 -
гидравлический к.п.д.
Для
молока :
R=
=0,0084
м.
Принимаем
R = 0,008 м.
Расчет мощности привода сепаратора.
Потребную мощность привода сепаратора определяем по
формуле:
N=k
Hб
n3
R4, кВт,
(4.9)
где
к = 0,006 - поправочный коэффициент;
Нб
- высота барабана, м; - максимальный радиус барабана, м.
Определим
высоту барабана сепаратора, используя размеры аналога:
Hб=H+
дн+(Rб-Rм)tgα+Hнд, м.
(4.10)
Hб=0,175+
+(0,22-0,12)tg50о+0,09=0,408,
м.
Принимаем
Hб=0,4 м.
N=0,006
0,4
109,13
0,19154=4,19
кВт.
Выбираем электродвигатель 4А112М4УЗ ГОСТ 19523-74 с
частотой вращения 1500 об/мин. и мощностью 5,5 кВт [2].
2 Кинематический расчет
Кинематическая схема привода сепаратора приведена на рисунке 4.2.
Рисунок 4.2 - Кинематическая схема привода сепаратора:
- электродвигатель; 2 - фрикционная центробежная муфта; 3 - тормоз; 4 -
колесо винтовой передачи; 5 - опора; 6 - барабан; 7 - упругая горловая опора; 8
- винтовая шестерня; 9 - нижняя опора (самоустанавливающаяся)
Рассчитываем общее передаточное число винтовой пары:

=
, (4.11)

=
=0,23
3. Расчет винтовой передачи.
Крутящий момент на валу электродвигателя:
М=9549,3
, Н
мм.
(4.12)
М=9549,3
=6,1 Н
мм.
Принимаем
число зубьев шестерни z2 =17.
Тогда число зубьев колеса равно:
z1=
, (4.13)
z1=
=73.
Приведенное
число зубьев колеса:
z1
=
=
=100.
Рассчитываем
модуль зацепления:
m=2400
, м,
(4.14)
где

=
-
коэффициент;

=
-
коэффициент, учитывающий скорость скольжения,
где

-
скорость скольжения, м/с.
Принимаем
скорость скольжения равной 20 м/с.

=
=0,139.

=
=29,1.
m=2400
=1,94 мм.
Принимаем
модуль 2,0 мм.
Тогда
делительный диаметр колеса равен:
D1=mz1ν, мм. (4.15)
D1=1,94
100=194
мм.
Тогда
действительная скорость скольжения равна:

д=
, м/с.
(4.16)

д=
=22,4
м/с.
Действительная
скорость скольжения больше принятой. Рассчитываем диаметры начальных
окружностей колеса и шестерни:
D1H=
и D2H=
(4.17)
D1H=
=265,26
мм;
D2H=
=48,36
мм.
Межосевое
расстояние равно:
A=
, мм,
(4.18)
A=
=289,44
мм.
Ширина зубчатого венца колеса и шестерни:
b1=
=28,46
мм, b2=
=26,58
мм.
4.
Технико-экономический расчет
Технико-экономический расчет проводится с целью
оптимизации маслообразователя. Определяются суммарные затраты на
маслообразователь.
Стоимость электроэнергии определяется по формуле:
(4.20)
где
=250 - количество смен в году;
=3 -
количество рабочих часов в смену;
=3,1
руб./кВт ч - стоимость электроэнергии.
СN=4,19·250·3·3,1=9741,75
руб./год.
5. ОПИСАНИЕ КОНСТРУКЦИИ И ПРИНЦИПА ДЕЙСТВИЯ РАЗРАБОТАННОЙ УСТАНОВКИ
Предназначен для очистки молока. Входит в состав
пастеризационно-охладительных установок производительностью 10 м3/ч.
Осветлитель, полузакрытого типа, с частичной центробежной пульсирующей
выгрузкой осадка.
1 2 3 4 5 6 7
Рисунок 5.1 - Барабан сепаратора:
- накидная гайка; 2, 4, 10, 14, 15, 16, 17, 18 - уплотнения; 3
-горловина; 5- тарелкодержатель; 6 -тарелки; 7 - корпус; 8 - основание ротора;
9 - кольцо; 11-приемник; 12 - основание барабана; 13 - выход
Очищенное молоко по наружным каналам тарелкодержателя поднимается вверх и
через отверстия в крышке барабана поступает в напорную камеру, из которой
выводится напорным диском по закрытым трубопроводам в производственные
коммуникации. Грязевое пространство периодически очищается во время работы. В
зависимости от степени загрязненности молока время между разгрузками колеблется
в пределах 40...85 мин, а продолжительность разгрузки - 0,3...0,7 с.
Рисунок 5.2 - Сепаратор-молокоочиститель
- привод барабана; 2 - барабан; 3 - чаша для сбора осадка; 4 - корпус
. ПРАВИЛА ЭКСПЛУАТАЦИИ ПРОЕКТИРУЕМОГО ТЕХНОЛОГИЧЕСКОГО ОБОРУДОВАНИЯ
Сепараторы - центробежные машины с высокой скоростью вращения. Поэтому во
время их эксплуатации необходимо очень строго выполнять правила техники
безопасности и рекомендации инструкции, прилагаемой к каждой машине.
Сепараторы, электродвигатели и пусковая аппаратура должны быть тщательно
заземлены. Систематически следует проверять исправность заземляющих устройств.
Работа на сепараторе с неудовлетворительно отбалансированным барабаном
или с нарушенной балансировкой его категорически запрещается.
При замене тарелок и посуды барабана необходимо произвести балансировку
барабана заново.
Разбирать сепаратор можно только после остановки барабана. Работать на
сепараторе при снятых ограждениях и защитных кожухах воспрещается. Барабан
после отключения электродвигателя не рекомендуется тормозить.
Категорически запрещается пользоваться во время сборки и разборки
сепаратора случайными инструментами.
Работать на сепараторе со скоростью вращения барабана выше указано в
паспорте запрещается.
Обслуживать сепаратор может только специалист, изучивший машину, принцип
ее работы и инструкцию по эксплуатации, а также сдавший техминимум.
Перед пуском машины необходимо вывести стопорные винты из пазов барабана
и поставить тормоза в нерабочее положение. Обязательно надо проверить уровень
масла в ванне.
Барабан сепаратора должен вращаться по часовой стрелке, если смотреть
сверху.
После работы барабан, не останавливая, надо промыть, пропустив вначале
небольшое количество обезжиренного молока или воды (для сбора оставшегося в
барабане жира), затем холодную воду для охлаждения барабана. Далее, остановив
барабан, разбирают машину, тщательно чистят и моют все детали, а затем
просушивают.
В сепараторах для получения высокожирных сливок для удаления остатков
жира пропускают через барабан вначале пахту, а затем воду.
Сепарирование надо начинать только после набора барабаном рабочей
скорости.
Резиновое уплотнительное кольцо барабана надо мыть в теплой воде. Кольцо
надо просушивать в горизонтальном положении, не подвешивая его, во избежание
растяжения.
Станину и другие окрашенные детали сепаратора после работы надо тщательно
протереть вначале влажной, а затем чистой сухой тканью.
Перед началом работы сепаратор необходимо смазать. Смазка основных частей
механизма сепаратора производится разбрызгиванием масла вращающейся в масляной
ванне шестерней горизонтального вала.
Масло заливают в станину через отверстие в крышке ее до уровня черты
маслоуказателя.
Масло, применяемое для смазки сепаратора, должно быть чистым,
бескислотным, не должно содержать воды и твердых частиц. За смазкой сепаратора
следует следить постоянно. Перед работой нужно обязательно проверить,
достаточно ли смазочного масла и не загрязнилось ли оно.
Во время сепарирования смазочное масло не должно попадать в молоко.
В сепараторе, пущенном в эксплуатацию после монтажа, смазочное масло
необходимо заменять часто: вначале - после 5 дней работы сепаратора, далее
через каждые 10 дней в течение 2 месяцев. Каждый раз после остановки необходимо
слить 1/10 часть масла, предварительно дать маслу отстояться и добавить масло
до требуемого уровня. В последующем масло заменяют через 600-800 ч работы
машины.
При смене масла внутреннюю часть станины и приводной механизм,
находящийся в станине, необходимо тщательно промыть. Не смазанный или плохо
смазанный сепаратор имеет тяжелый ход, шумит и быстро изнашивается.
Регулярно, не реже 2 раз в месяц, нужно чистить накладки фрикционных
колодок муфты и ее рабочие места.
ЗАКЛЮЧЕНИЕ
В процессе выполнения курсового проекта была спроектирована
технологическая линия производства творога традиционным методом. Для этого было
подобрано оборудование, соответствующее объемам перерабатываемого сырья,
составлен график загрузки.
Так же были изучены конструкции и принципы действия различных аппаратов
для выработки творога, их технические характеристики.
Помимо технологической линии, был разработан сепаратор-молокоочиститель.
Для этого были произведены расчеты: технологический, кинематический, расчет
винтовой передачи, технико-экономический. Описана конструкция и принцип
действия разработанного аппарата. Так же приведены рекомендации по эффективной
эксплуатации сепаратора.
СПИСОК ЛИТЕРАТУРЫ
1. Технологическое оборудование
предприятий молочной промышленности./Сурков Д.В., Липатов Н.Н., Барановский
Н.В. - 1970.
2. Крусь Г.Н., Тиняков В.Г., Фофанов
Ю.В. Технология молока и оборудование предприятий молочной промышленности. -
М.: Агропромиздат. - 1986.
3. Томбаев Н.И., Справочник по
оборудованию предприятий молочной промышленности. - М.: Пищ. пром-ть. -1972.
4. Маслов A.M. Аппараты для
термообработки высоковязких жидкостей. - Л: Машиностроение, 1980.
5. Стабников В.Н., Лысянский В.М., Попов
В.Д. Процессы и аппараты пищевых производств. - М.: Агропромиздат, 1985.
6. Павлов К.Ф., Романков П.Г., Носков
А.А. Примеры и задачи по курсу процессов и аппаратов химической технологии. -
Л.: Химия, 1981
7.
Handbook
of Food Science, Technology, and Engineering - 4 Volume Set./ Y. H. Hui; Frank
Sherkat. - 2005