Расчёт и моделирование энергетических характеристик углеродных нанотрубок
ФЕДЕРАЛЬНОЕ
АГЕНСТВО ПО ОБРАЗОВАНИЕ
Государственное
образовательное учреждение высшего профессионального образования
Казанский
национальный исследовательский технический университет им А.Н. Туполева
Институт
радиоэлектроники и телекоммуникации
Кафедра конструирования
и производства микроэлектронной аппаратуры
Курсовая
работа
по курсу
"Информационные
технологии проектирования микро- и наносистем"
Тема
Расчёт и
моделирование энергетических характеристик УНТ
Выполнил: Сатдаров Т.Р.
Казань 2011
Содержание
углеродная нанотрубка программный энергетический
Теоретическая
часть
Цель курсовой
работы
Углеродные
нанотрубки
Классификация
нанотрубок
Молекулярные
и атомные орбитали
Секулярное
уравнение
Метод ЛПЦВ
Кулоновское и
обменное взаимодействие
Интегралы перекрывания
Матричные элементы
гамильтониана
Практические аспекты метода
Практическая часть
Расчет структуры УНТ
Программный расчет УНТ
Расчет УНТ типа Кресло
Расчет УНТ типа Зигзаг
Графики
Список литературы
Теоретическая часть
Цель курсовой работы
В курсовой работе будет проводиться расчёт энергетических характеристик
углеродных нанотрубок в среде Fortran PowerStation 4.0, а также выполняется
графическое представление результатов (в приложении Excel 2007).
Задачей данной работы является закрепление теоретических положений курса
проектирования микро и наносистем, углубление знаний при работе с литературными
источниками, приобретение навыков проектирования с применением ЭВМ.
В настоящее время для инженерных расчетов используются различные пакеты
программ, которые ориентированы на разные виды расчётов. В работе были
использованы следующие пакеты:
Microsoft Office 2007 - для выполнения пояснительной
записки, представления графических результатов.

Fortran
PowerStation 4.0 - для расчета характеристик УНТ.
Углеродные
нанотрубки
Углеродные
нанотрубки - протяжённые структуры, состоящие из свёрнутых гексагональных сеток
с атомами углерода в узлах, открытые в 1991 году японским исследователем
Иджимой. Первая нанотрубка была получена путём распыления графита в
электрической дуге. Измерения, выполненные с помощью электронного микроскопа,
показали, что диаметр таких нитей не превышает нескольких нанометров, а длина
от одного до нескольких микрон Разрезав нанотрубку вдоль продольной оси, было
обнаружено, что она состоит из одного или нескольких слоёв, каждый из которых
представляет гексагональную сетку графита, основу которой составляют
шестиугольники с расположенными в вершинах углов атомами углерода. Во всех
случаях расстояние между слоями равно 0,34 нм, то есть такое же, как и между
слоями в кристаллическом графите. Верхние концы трубочек закрыты
полусферическими крышечками, каждый слой которых составлен из шести- и
пятиугольников, напоминающих структуру половинки молекулы фуллерена.
Идеальная
нанотрубка - это цилиндр, полученный при свёртывании плоской гексагональной
сетки графита без швов. Взаимная ориентация гексагональной сетки графита и
продольной оси нанотрубки определяет очень важную структурную характеристику
нанотрубки - хиральность. Хиральность - это стереохимическое свойство,
означающее несовместимость объекта со своим зеркальным отображением.
Хиральность характеризуется 2 целыми числами (m, n), которые указывают
местонахождение того шестиугольника сетки, который в результате свёртывания
должен совпасть с шестиугольником, находящимся в начале координат. Хиральность
нанотрубки может быть также однозначно определена углом α, образованным направлением сворачивания нанотрубки и
направлением, в котором соседние шестиугольники имеют общую сторону. Имеется
очень много вариантов свёртывания нанотрубок, но среди них выделяются те, в
результате реализации которых не происходит искажения структуры гексагональной
сетки. Этим направлениям отвечают углы α=0 и α=300,
что соответствует хиральности (m, 0) и
(2n, n). Индексы хиральности однослойной нанотрубки определяют её диаметр D:
=
m2+n2-mn * 3do/¦Р
где
do=0,142 нм - расстояние между атомами углерода в гексагональной сетке графита.
Приведённое выше выражение позволяет по диаметру нанотрубки определить её
хиральность.
Среди
однослойных нанотрубок особый интерес представляют нанотрубки с хиральностью
(10, 10). Проведённые расчёты показали, что нанотрубки с подобной структурой
должны обладать металлическим типом проводимости, а также иметь повышенную
стабильность и устойчивость по сравнению с трубками других хиральностей.
Справедливость этих утверждений была экспериментально подтверждена в 1996 году,
когда впервые был осуществлён синтез нанотрубок с D=1,36 нм, что соответствует
хиральности (10, 10).
В
настоящее время наиболее распространённым является метод термического
распыления графитовых электродов в плазме дугового разряда. Процесс синтеза
осуществляется в камере, заполненной гелием под давлением около 500 торр (Торр
- внесистемная единица давления, равная EQ \f (1;760) части физической
(нормальной) атмосферы, то есть 101325:760 = 133,322 (н/м2, или паскаля)Названа
в честь Э. Торричелли. Обозначения: русское - торр, международное - Torr. В
научной литературе на русском языке чаще применяется равная ей единица -
миллиметр ртутного столба (мм рт. ст.). При горении плазмы происходит
интенсивное термическое испарение анода, при этом на торцевой поверхности
катода образуется осадок, в котором формируются нанотрубки углерода.
Максимальное количество нанотрубок образуется тогда, когда ток плазмы минимален
и его плотность около 100 А/см2. В экспериментальных установках напряжение
между электродами составляет около 15-25 В, ток разряда несколько десятков
ампер, расстояние между концами графитовых электродов 1-2 мм. В процессе
синтеза около 90% массы анода осаждается на катоде. Образующиеся многочисленные
нанотрубки имеют длину около 40 мкм. Они нарастают на катоде перпендикулярно
плоской поверхности его торца и собраны в цилиндрические пучки диаметром около
50 мкм. Пучки нанотрубок регулярно покрывают поверхность катода, образую
сотовую структуру.
Рис.1.
Выращенные на катоде нанотрубки
Содержание
нанотрубок в углеродном осадке около 60%
Для
разделения компонентов полученный осадок помещают в метанол и обрабатывают
ультразвуком. В результате получается суспензия, которая после добавления воды
подвергается разделению в центрифуге. Крупные частицы прилипают к стенкам
центрифуги, а нанотрубки остаются плавающими в суспензии. Затем нанотрубки
промывают в азотной кислоте и просушивают в газообразном потоке кислорода и
водорода в соотношении 1:4 при температуре 7500 C в течение 5 минут.В результате
такой обработки получается лёгкий пористый материал, состоящий из
многочисленных нанотрубок со средним диаметром 20 нм и длиной 10 мкм.
Классификация
нанотрубок
Для
получения нанотрубки (n, m) графитовую плоскость надо разрезать по направлениям
пунктирных линий и свернуть вдоль направления вектора R (рис.2) [2, с.15]
рис.
2. Графитовая плоскость.
Как
следует из определения, основная классификация нанотрубок проводится по способу
сворачивания графитовой плоскости. Этот способ сворачивания определяется двумя
числами n и m, задающими разложение направления сворачивания на вектора
трансляции графитовой решётки. По значению параметров (n, m) различают:
ü прямые (ахиральные) нанотрубки;
Ø «кресло» или «зубчатые» (armchair) n = m;
Ø зигзагообразные (zigzag) m = 0 или n = 0;
ü спиральные (хиральные) нанотрубки;
Нанотрубки бывают открытыми и закрытыми с одного или двух концов. В
закрытых нанотрубках концы трубочек заканчиваются полусферическими крышечками,
составленными из шестиугольников и пятиугольников, напоминающих структуру
половинки молекулы фуллерена. Наличие крышечек на концах нанотрубок позволяет
рассматривать нанотрубки как предельный случай молекул фуллеренов, длина
продольной оси которых значительно превышает диаметр.
Индексы хиральности нанотрубки (m, n) однозначным образом определяют ее
структуру, в частности, ее диаметр d. Эта связь очевидна и имеет следующий вид [2, c.16]:

,
где

= 0.142
нм - расстояние между соседними атомами углерода в графитовой плоскости. До
недавнего времени самой тонкой наблюдаемой была нанотрубка (4, 0). Такая трубка
получается внутри цилиндрических каналов кристаллов цеолитов. Но позже удалось
обнаружить нанотрубку (2, 0) внутри другой нанотрубки.
При
зеркальном отражении (n, m) нанотрубка переходит в (m, n) нанотрубку, поэтому,
трубка общего вида зеркально несимметрична. Прямые же нанотрубки либо переходят
в себя при зеркальном отражении (конфигурация «кресло»), либо переходят в себя
с точностью до поворота.
Молекулярные и атомные орбитали
Волновые
функции 
дают максимально
полную информацию об электронной системе молекулы при фиксированном положении
ядер, но рассчитать 
для
довольно сложных систем, например, нанотрубок, опираясь только на уравнение
Шредингера и не используя никаких физически правдоподобных предположений о
характере волновой функции многоэлектронной системы, невозможно. Одно из
важнейших приближений, используемых в теории строения многоэлектронных систем,
состоит в том, что многоэлектронную волновую функцию записывают в виде
детерминанта, построенного из одноэлектронных волновых функций [2, с. 129]:
Физический
смысл записи многоэлектронной волновой функции в виде антисимметризованного
произведения одноэлектронных волновых функций состоит в том, что каждому
электрону молекулы приписывается своя волновая функция 
,
называемая спин-орбиталью. Каждая спин-орбиталь является произведением функции 
,
зависящей только от пространственных координат электрона, на спиновую функцию.
Функция 
называется
орбиталью. Для атомов это будет атомная орбиталь (АО), для молекул -
молекулярная орбиталь (МО). В кристаллах или полимерах с трансляционной
симметрией функции 
называют
блоховскими функциями. Спиновая функция может принимать два значения,
отвечающие проекции спина на ось z, - 1/2 и -1/2. Представление волновой
функции Ψ
в виде определителя (7) обеспечивает
выполнение условия антисимметричности многоэлектронной волновой функции
относительно перестановок электронов; перестановке электронов соответствует
перестановка строк в определителе (7), при этом определитель умножается на -1.
Множитель

необходим
для нормировки многоэлектронной функции; орбитали считаются ортонормированными
[2, c. 130]:
Для
большинства соединений углерода (за исключением радикалов и ионов), в том числе
для углеродных нанотрубок, в основном состоянии все спин-орбитали разбиваются
на пары с одинаковой пространственной частью и противоположными спинами
электронов, то есть на каждой МО располагаются два электрона.
Орбитали

многоатомной
системы при заданном расположении ядер, вместе с соответствующими
одноэлектронными уровнями 
,
определяются из вариационного принципа: они должны быть выбраны таким образом,
чтобы полная энергия многоэлектронной системы была минимальна. Явный вид
орбитали 
находится
из одноэлектронного уравнения Шрёдингера [2, c. 130]:

Система
уравнений Хартри-Фока (9) решается с помощью метода последовательных
приближений, поскольку явный вид оператора Хартри-Фока (кулоновский и обменный
потенциалы) зависит от вида искомых волновых функций 
.
Сущность этого метода состоит в том, что для каждого электрона на первом этапе
подбирается пробная волновая функция, с помощью которой рассчитывается оператор
Хартри-Фока и решаются уравнения (9). Полученные более точные волновые функции
снова подставляют в систему уравнений (9) и заново ее решают.
Этот
процесс продолжают до тех пор, пока энергии 
и вид
орбиталей 
на
предыдущем и последующем шаге не перестанут различаться.
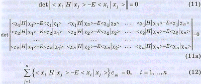
Секулярное уравнение
С
помощью быстродействующих ЭВМ уравнения Хартри-Фока в численной форме были
решены для всех основных атомов и ионов и в результате определен вид атомных
орбиталей (АО) и их энергии. Из-за более низкой симметрии многоатомных систем
расчет орбиталей в этом случае непосредственно из уравнений Хартри-Фока
оказывается существенно более трудоемкой задачей, чем расчет АО атомов. Поэтому
здесь используются дальнейшие приближения. Стандартный подход состоит в том,
что искомые орбитали разлагаются по базису 
[2, c.131]:
где

-
функции, вид которых, вообще говоря, не тривиален и в разных методах различен, n -
общее число включенных в базис функций, 
-
коэффициенты, определяющие вклад базисной функции 
в
собственную функцию 
.
Согласно
(10), задача определения орбиталей многоатомной системы сводится к расчету
коэффициентов 
. Будем
считать, что базисные функции 
всюду
непрерывны и дифференцируемы. Тогда, подставляя (9) в (10) и используя
вариационный принцип Релея-Ритца, получаем так называемое секулярное уравнение [2,
c.131]:
или
более подробно [2, c.132]
для
расчета 
и
энергии 
орбиталей.
Здесь 
-
матричные элементы оператора Хартри-Фока, а 
-
интегралы перекрывания [2, c.132]:
Метод ЛПЦВ
Метод ЛПЦВ представляет собой распространение на системы с цилиндрической
геометрией метода линейных присоединенных плоских волн (ЛППВ) - одного из
наиболее точных в теории зонной структуры объемных твердых тел и применимого, в
частности, к соединениям переходных металлов. Электронная структура чисто
углеродных нанотрубок первоначально была изучена в рамках метода МО ЛКАО в π-электронном приближении и приближении
функционала локальной плоскости. Однако метод ЛКАО не вполне пригоден для
расчетов электронной структуры нанотрубок, интеркалированных атомами тяжелых
элементов. Кроме того, из расчетов кристаллов известно, что метод ЛКАО хорошо
воспроизводит валентную зону, но не зону проводимости.
При
описании данного метода используются атомные единицы Ридберга, согласно которым
постоянная Планка h = 1, масса электрона m = 1/2 и заряд
электрона e = 
[2, c.
162-163].
Кулоновское и обменное взаимодействие
Для
расчета потенциала внутри МТ-сфер в численных расчетах нанотрубок строится
распределение р(r) полной электронной плотности системы в виде
суперпозиции электронных плотностей всех ее атомов. Внутри МТ-сфер берется его
сферически симметричная часть р(r). Из решения уравнения Пуассона определяется
электростатический потенциал 
,
создаваемый распределением р(r). Окончательно, кулоновский потенциал 
, внутри
МТ-области получается добавлением к функции 
,
электростатического потенциала 
,
создаваемого положительным зарядом ядра атома.
Распределение
электронной плотности р(r) используется также для расчета обменного
взаимодействия с помощью формулы Слэтера [2. c.166]:
Это
не самая общая форма для обменного потенциала: метод Хартри-Фока приводит к
нелокальному обменному взаимодействию. Однако обменно-корреляционный потенциал
(51) на протяжении многих десятилетий широко и с успехом применялся в расчетах
зонной структуры кристаллов.
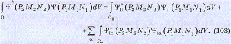
Интегралы перекрывания
Интеграл
от произведения 
и 
по
элементарной ячейке Щ равен интегралу от цилиндрических волн 
(68) по
межсферной области 
плюс
сумма интегралов по МТ-областям 
от
сферических частей базисных функций 
(70) [2, c.181]:
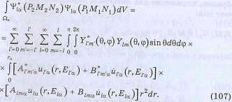
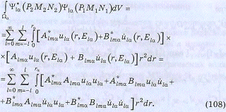
Интеграл
по сложной межсферной области от цилиндрических волн (первое слагаемое в правой
части (103)) равен интегралу по всей ячейке Ω за вычетом суммы интегралов по МТ-областям, причем интеграл по всей
ячейке, в силу ортонормированности цилиндрических волн, равен произведению δ-функций. Таким образом, выражение для интеграла
перекрывания (103) принимает вид [2, c.181]:
Для
расчета второго слагаемого в правой части (104) будем использовать
представление (81) цилиндрической волны в сферических координатах с началом в
центре сферы α.
Интегрирование по объему МТ-области в
сферической системе координат 
.
включает интегрирование по r в пределах от 0 до 
, по 
от 0 до π и по φ от 0 до
2π
[2, c.182]:
Здесь
введено обозначение [2, c.182]:
Теперь
следует определить второй интеграл в правой части (104) [2, c.182]:
Используем
условие ортогональности (73) сферических гармоник 
, тогда
[2, c.183]:
С
учетом условий нормировки волновых функций 
(75) и ортогональности
функций 
их
производным 
(76)
выражение (107) преобразуется к виду [2, c.183]:
где

-
интеграл (77).
Подставим
теперь в (109) выражение для коэффициентов 
[2, c.183]:
где
[2, c.184]
Подставляя
в (104) значения интегралов (105) и (110) и меняя порядок суммирования по l и m в
(110), получим окончательную формулу для интегралов перекрывания [2, c.184]:
где
[2, c.184]
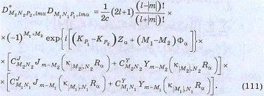
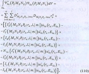
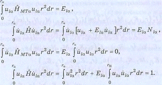
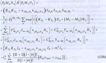
Матричные элементы гамильтониана
При
определении матричных элементов гамильтониана 
будем пользоваться
тем же приемом интегрирования базисной волновой функции Ψ по элементарной ячейке Ω, а именно - интеграл по элементарной ячейке Ω представим как сумму интегралов по межсферной области 
от
цилиндрических волн 
и
интегралов по внутренним областям МТ-сфер 
от
сферических частей базисных функций 
[2, c.185]:
Примем
за начало отсчета энергии значение постоянного потенциала в межсферной области.
Тогда в этой области электронный гамильтониан совпадает с оператором
кинетической энергии: 
.
Интеграл по межсферной области от цилиндрических волн 
равен
интегралу по всей ячейке за вычетом суммы интегралов по МТ-сферам [2, c,185]:
Цилиндрические
волны являются собственными функциями оператора кинетической энергии электронов
в пустом цилиндре, поэтому [2, c.185]
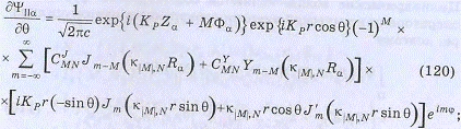
Представим
интегралы по внутренним областям МТ-сфер в (113) и (114) в виде [2, c,186]:
В
локальной сферической системе координат 
[2, c.186]:
где

-
ортонормированные единичные векторы. Тогда [2, c.186]:
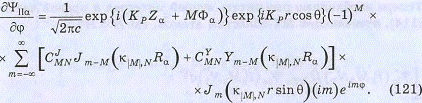
Вид

(89) уже
получен. Производные 
по
координатам и и ц равны [2, c.186]:
Зная
производные (88), (120) и (121), можно рассчитать правую часть (119) [2, c.187]:
где
интеграл 
определяется
уравнением (106). Интеграл 
аналогичен

, но в
нем вместо функций Бесселя J стоят их первые производные [2, c.187]:
Наконец,
интеграл 
имеет
вид [2, c.187]:
Теперь
необходимо рассчитать второй интеграл в правой части (114), отвечающий
МТ-областям атомов, где 
[2, c.188]:
Учитывая,
что сферические гармоники ортонормированны, находим [2, c.188]:
Из
уравнений для волновых функций 
и 
следует
[2, c.189]:
Теперь
(126) можно записать в виде [2, c.189]:
Используя
соотношения (114, 122, 127) и выражения для коэффициентов 
и 
получаем
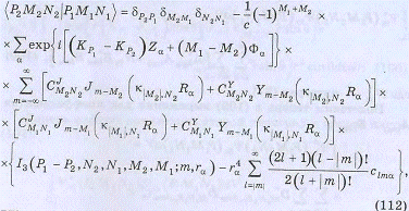
окончательное выражение для матричных элементов гамильтониана [2, c.189]:
Здесь
[2, c.190]
(Для
обеспечения эрмитовой сопряженности матрицы, как и в методе ЛППВ, при расчете 
сделана
замена 
на 
)
Наконец,
используя полученные выражения для интегралов перекрывания 
и
матричных элементов гамильтониана 
, из
секулярного уравнения [2, c.190]
можно
определить законы дисперсии электронов 
нанотрубки.
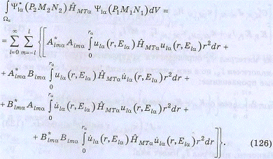
Практические аспекты метода
Развитый метод реализован в виде программы на языке ФОРТРАН.
Для
цилиндрических функций Бесселя первого рода 
и
второго рода 
и их
производных справедливы рекуррентные формулы [2, c. 193]:
Для
расчета 
используется
предложенная Миллером процедура, основанная на убывании этой функции с ростом n.
Пусть требуется вычислить 
. На
первом этапе полагаем 
, 
для
достаточно большого N>n, используя рекуррентную формулу (142) в направлении
убывания N, получаем последовательность 
Если N было достаточно
большим, каждый член этой последовательности пропорционален соответствующему
члену в последовательности 

.
Множитель пропорциональности р получается с использованием формулы [2, c.
193]
Вычисляя
находим

.
Значения
функций Бесселя второго рода вычисляются с использованием той же рекуррентной формулы
(142) в направлении возрастания и сравнения 
,
вычисленным по формуле [2, c. 194]:
где
постоянная
Эйлера.
Зная
величины функций Бесселя, с помощью (145) находим их производные.
Присоединенные
полиномы Лежандра 
, которые
определяются уравнением [2, c. 194]:
рассчитываются
следующим образом. Так как значения m в 
не могут
превышать l, полагая на первом этапе m = l в
(146), 
рассчитывается
по формуле [2, c. 194]
Далее,
применяя формулу
И
рекуррентное соотношение [2, c. 194]
(
) раз,
получаются окончательные значения 
. Для
нахождения радиальной волновой функции 
и ее
производных использовался стандартный, метод численного интегрирования
радиального уравнения Шрёдингера.
Практическая часть
Предварительный расчет
Исходные данные УНТ типа (14, 0), (14, 14). Количество
элементарных ячеек по оси трубки 4.
Радиус
нанотрубки 
равен
половине ее диаметра, который мы ранее определили выражением:

, где 
= 0.142
нм.
Для
УНТ типа зигзаг и кресло с индексами хиральности (14, 0) и (14, 14) получаем:

, тогда

(
10.4 а.е.);

, тогда

(
17.9 а.е.).
При
энергии обрезания 50 эВ Ван-дер-ваальсов радиус углерода 
для
расчета радиусов внешнего и внутреннего потенциального барьеров 
возьмем
равным 1.21 
(
Тогда:


Структура расчета УНТ
Расчет электронной структуры нанотрубок будем проводить с помощью пакета
программ, написанных на языке ФОРТРАН.
Расчет включает 4 этапа:
. Решение атомной задачи, т. е. нахождение электронных энергий и волновых
функций изолированных атомов. Эта задача решается с помощью программы atom.exe.
. Выбор набора базисных функций осуществляется с помощью программы
strcy.exe. В данном пакете максимальное число базисных функций равно 800.
. Третий этап - основной, и работа осуществляется с помощью программы
over55.exe. Здесь проводятся собственно квантовомеханические расчеты
электронной структуры многоатомной системы: вычисляются матричные элементы
гамильтониана и перекрывания и решается секулярное уравнение.
. После завершения квантовомеханического расчета программа over55.exe
запускается еще раз всего лишь для того, чтобы результаты расчетов зонной
структуры и плотностей электронных состояний представить в текстовом формате.
Расчет УНТ типа (14, 14)
Программа atom.exe
Для ее работы необходим вводной файл inatom, в котором перечисляются
атомы, из которых построена элементарная ячейка рассчитываемой системы, и
указывается их электронная конфигурация. В случае чистой УНТ структура файла
следующая: CALCULATION FOR ATOM NO 1 Carbon //порядковый номер и название
элемента
CURRENT ENERGY UNIT - ELECTRONVOLT //единицы измерения энергии (эВ) OUTPUT INFORMATION - STANDART //стандарт .RADIUS WAVE FUNCTION - 60.0 //волновая функция
рассчитывается при R от нуля до 60 ат. ед. (стандарт)
STEP IN LOGARIFM. GRID(1/STEP) 21.0 //
логарифмический шаг при интегрировании радиального уравнения (стандарт)
MUFFIN-TIN SPHARE - 1.3400 //радиус МТ-сферы (ат. ед.) COEFFICIENT - 0.0
//стандарт .NUMBER OF ITERATION - 50 //максимальное число циклов процедуры
самосогласования (стандарт) OF EQUATION - DIRAC; //параметр принимает значения
DIRAC или SHRED и определяет выбор волнового уравнения PARAMETER - STANDART
//стандарт WEIGT(FOR NUCLEAR RAD) 00.0 //в расчетах многоатомных систем используется
только нулевое значение (стандарт)
LATTER CORRECTION - NO; //стандарт EXCHANGE (X-A) - 0.0
ATOMIC NUMBER - 6.0 //номер элемента в Периодической системе
GENERATE NEW START DENS - YES // (GENERATE-<YES>, READ
-<NO> (стандарт) OUTPUT DENSITY(FILE18) -
NO // (<NO>-FILE 04 FOR STR CREATE (стандарт)
<CORE> SHELLS - STANDART //начиная с этой строки, описывается
электронная конфигурация атома. Стандартный остов отвечает конфигурации
инертного атома (в данном случае Не)
<SEMICORE> SHELLS - NO //параметр принимает значения NO или YES, в
случае атома
С полуостов отсутствует
<VALENT> SHELLS - YES
S1/2 2.0 //указывает на наличие двух электронов с n = 2, l = 0 j = 1/2
P1/2 2.0 END //указывает на наличие двух электронов с n = 2, l = 1 j =1/2
13 и окончание описания электронной конфигурации атома CALCULATION FOR ATOM NO
0 //manganese ноль в этой строке указывает на окончание ввод
В результате работы программы создаются два файла: outatm.see и
outatm.str, первый из которых используется для контроля правильности работы
программы. Файл outatm.see начинается с описания рассчитанной системы. Здесь же
приводятся энергии валентных электронных уровней (в эВ) для орбиталей, значения
которых мы используем в дальнейшем в качестве Elα.
------------------------------------------------------------
-----------------------------------------------------------
USED ENERGY UNITS ARE ELECTRONVOLTS and CORRELATION by Barth-Hedin N L J
ELECTRONS EIGENVALUE DELTA OF EIGENV.
S1/2 2.0 .0 .5 2.00 -14.087 .346D-07
P1/2 2.0 1.0 .5 2.00 -5.8626 .114D-06 CHARGE = 6.000000 OF CHARGE DENSITY = 6.000000
В файле outatm.str записывается атомная электронная плотность, потенциал
и другая информация, необходимая в дальнейших модулях, начиная с strcy.exe.
Для работы этого модуля требуются результаты атомного расчета outatm.str,
а также вводной файл inlacw. Для углеродной нанотрубки типа кресло (18, 18)
структура файла следующая:
[Project] =arm_14x14_MT=51 //число рассчитываемых зон (должно быть больше числа пар
валентных электронов в ячейке) =5.D-4 //погрешность расчета интегралов
(стандарт) =1.D-4 //точность задания координат (стандарт) =5 //для 5 значений 0
≤ l ≤ 4 ниже будут приведены Elα (стандарт) =8 //Elα
с 5 ≤ l ≤ 8
полагаются равными E4α (стандарт) =1 //указание на способ сохранения
интегралов (стандарт) =0 //параметр может принимать значения 0 или -PI/C. При
этом дисперсионные кривые рассчитываются для 0 ≤ k ≤
π/c или -π/c
≤ k ≤
π/c
CalcIntervalsTotal=50 //будет взято 50 равноотстоящих точек внутри зоны
Бриллюэна для расчета дисперсионных кривых =51 //всегда на единицу больше, чем
CalcIntervalsTotal [Project/Graphs] =0.0 // нижняя граница поиска собственных
значений (эВ) = 60.0 // верхняя граница поиска собственных значений (эВ) =.05
//гауссова полуширина линий при построении плотностей состояний (эВ) =15
//плотность точек 1/эВ в файлах плотности состояний (стандарт)=.02 //гауссова
полуширина линий, используемая для расчета плотности состояний на уровне
Ферми(эВ) =0 //кодирует способ записи файлов с зонной структурой (стандарт)
[Structure] =20.223282488 //радиус внешнего цилиндрического барьера (ат.
ед.) =15.65012718 //радиус внутреннего цилиндрического барьера (ат. ед.)
=18.5675846568 //размер ячейки в направлении оси трансляций (ат. ед.) =1
//параметр может принимать значения 0 или 1 и вместе с энергией обрезания
регулирует выбор числа базисных функций (1 соответствует более полному базису,
чем 0) EnergyCutOff=50//энергия обрезания, определяющая число базисных функций
[Structure/AtomTypes/1] //соответствует атому 1 в inatom
@=Carbon =6 =4
=-14.087 -5.8626 10.000 20.000 30.000 //значения Elα
[Exchange] =SL //указывает на использование слейтеровского обменного
потенциала =0.66666 //значение параметра альфа в обменном потенциале
[FullPotential] =0 //ноль в этой строке указывает на расчет в маффинтин
приближении и окончание ввода
В результате работы программы создается читаемый файл: strcyout.log, в
котором наиболее существенна информация о выбранном базисе:
@=Carbon : 100 atoms; NuclearCharge = 6; ValentElectrons =
4(Rho,Phi,Z): 10 10 10Name: "arm_14x14_MT"clone: Tubular LACW:
Cylinder with internal hole = 20.2233 a.u.= 15.6501 a.u.= 18.5676 a.u.= -1.0000
a.u.: 40.000000000000000 eV
***** Basis has 678 function(s). *****M N P Energy, eV.
1 0 1 0 6.410
1 1 0 6.453
-1 1 0
2 1 0 6.580
.........................................
-12 1 5 51.473
12 1 5
13 1 5 52.531
-13 1 5
-14 1 5 53.672
14 1 5
<<< Complete
>>>
Программа over55.exe
При первом запуске программы over55.exe, т. е. на стадии составления и
решения секулярного уравнения метода ЛПЦВ, для ее работы требуются три
подготовленных ранее файла: вводной файл inlacw, результат работы программы
atom.exe файл outatm.str, а также генерируемый программой strcy.exe файл
outstrcy.dat.
Результатом первого запуска over55.exe является, во-первых, формирование
читаемых файлов see_0.dat и lacw.log, которые можно использовать для
промежуточного контроля хода вычислений, и в которых приведены матричные
элементы перекрывания и гамильтониана для центра зоны Бриллюэна и собственные
значения для этой точки. Кроме того, на выходе появляется файл _intgrls.dat, в
который записаны все промежуточные данные, которые потребовалось сохранить в
процессе вычислений. Собственно результаты расчетов содержится в файле bnd.str,
в котором записана информация о зонной структуре и парциальных и плотностях
электронных состояний.
При повторном запуске программы over55.exe она еще раз читает inlacw и
преобразует файл bnd.str в файлы bnd.dat с зонной структурой, dos.dat, с полной
плотностью состояний, формирует файлы dos1s.dat, dos1p.dat, …, dos2s.dat, …,
отвечающие парциальным плотностям валентных электронов атома типа 1, 2 и т. д.
Наконец, в файле ef.dat приводится энергия верхнего заполненного уровня, т. е.
уровень Ферми металлов или положение потолка валентной зоны диэлектриков.
Расчет УНТ Типа (14, 0)
Программа strcy.exe
Для данной нанотрубки файл inlacw содержит:
[Project]=zig_zag_14_MT=104=5.D-4 =1.D-4=5=8=1 =0=50=50=51
[Project/Graphs]=-10.0= 50.0=.05=15=.025=0
[Structure]=12.6423594=8.06920335=32.16=1=50
[Structure/AtomTypes/1]
@=Carbon=6=4
OrbitalFlags= s[*] p[*] d[*] f g=-14.087 -5.8626 10.000
20.000 30.000
[Exchange]=SL=0.66666
[FullPotential]=0
Выбранный базис, согласно файлу strcyout.log:
@=Carbon : 100 atoms; NuclearCharge = 6; ValentElectrons =
4(Rho,Phi,Z): 10 10 10Name: "zig_zag_14_MT"clone: Tubular LACW:
Cylinder with internal hole = 12.6424 a.u.= 8.0692 a.u.= 32.1600 a.u.= -1.0000
a.u.: 45.000000000000000 eV
***** Basis has 772 function(s). *****
Расчетные графики зонная структура УНТ
(в расчете на одну эл. ячейку)
кресло (14, 14), Еф = 30.110 эВ E(cut) = 50 эВ
Зигзаг (14, 0) Еф = 28.340 эВ E(cut) = 50 эВ
Зигзаг (14, 0) Вблизи уровня Ферми E(cut) = 50 эВ
Кресло (14, 14) Вблизи уровня Ферми E(cut) = 50 эВ
Плотность электронных состояний УНТ
(В расчете на 1 эл. ячейку)
Зигзаг (14, 0) полная плотность состояния
Кресло (14,14) полня плотность состояния
Кресло (14, 14) Вблизи уровня Ферми Еф = 30.110 эВ Зигзаг (14, 0) Вблизи
уровня Ферми Еф = 28.340 эВ
Зонная структура УНТ
(В расчете на 4 эл. ячейки)
Зигзаг (14, 0) Еф = 19.361 эВ E(cut) = 45 эВ
Кресло (14, 14) Еф = 19.933 эВ E(cut) = 40 эВ

Кресло (14, 14) Вблизи уровня Ферми Еф = 19.933 эВ Зигзаг (14, 0) Вблизи
уровня Ферми Еф = 19.361 эВ
Плотность Электронных состояний УНТ
(В расчете на 4 эл. ячейки)
Зигзаг (14, 0) Полная плотность состояний

Зигзаг (14, 0) Вблизи уровня Ферми Еф = 19.361 эВ Кресло (14, 14) Вблизи
уровня Ферми Еф = 19.933 эВ
Список литературы
1.
http://nanotrubki.narod.ru/
. Углеродные
нанотрубки. Материалы для компьютеров XXI века.П.Н. Дьячков// Природа. 2000.
№11
.
http://www.portalnano.ru/read/prop/pro/part2/c-nanotubes
. Дьячков
П.Н. Углеродные нанотрубки: строение, свойства, применения. Москва: БИНОМ.
Лаборатория знаний, 2006. - 293 с.