|
Сущность
|
Первичный ключ
|
Альтернативный ключ
|
|
clothes
|
clothes_id
|
nazvanie clothes_id
|
|
schet
|
schet_id
|
schet_id
pokupatel_id data_oforml
|
|
pokupatel
|
pocupatel_id
|
fio phone
|
|
vid
|
vid_id
|
nazvanie
|
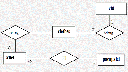
1.3 Построение логической модели базы данных «Only for you»
Логическое проектирование базы данных представляет собой процесс
конструирования модели информационной структуры организации, выполняемый на
основе конкретной модели данных, но без учета определенной СУБД и других
физических ограничений.
При построении логической модели будем использовать язык ER-диаграмм. В
них сущности изображаются помеченными прямоугольниками, ассоциации -
помеченными ромбами или шестиугольниками, атрибуты - помеченными овалами, а
связи между ними - ненаправленными ребрами, над которыми может проставляться
степень связи (1 или буква (символ), заменяющая слово "много") и
необходимое пояснение.
Логическая модель описывает понятия предметной области, их взаимосвязь, а
также ограничения на данные, налагаемые предметной областью. [1, стр. 59] Для
интернет магазина рынка женской одежды рассмотрена предметная область, выделены
сущности (вид одежды (vid), наименование одежды (clothes), покупатели (pokupatel), счёт (schet) и связи между ними),
для сущностей выделены атрибуты. Разработана логическая модель будущей базы
данных рынка игрушек. Так как реализация такой связи в СУБД реляционного типа
затруднительна, нужно ввести новую сущность, назовём её schetpok (счёт покупателя)
(рис. 1.2).

Теперь нужно построить логическую модель при использовании языка
ER-диаграмм. Логическая модель должна описывать понятия предметной области, их
взаимосвязь, а также ограничения на данные, налагаемые предметной областью.
ER-диаграмма логической модели базы данных приведена на рисунке 1.3
Рисунок 1.3 - ER-диаграмма
логической модели базы данных Интернет магазина женской одежды
После написания данной главы курсовой работы, могу сделать вывод о том,
что описание исследуемой предметной области и построение концептуальной и
логической модели базы данных является неотъемлемыми этапами проектирования
базы данных. Только выполнив эти этапы, можно приступать к построению
физической модели базы данных.
2.Реализация модели базы данных ЭМ «Only for you» в
интерактивной среде интернет
.1 Построение физической модели базы данных «Only for you» на
языке SQL средствами СУБД MySQL
Следует теперь приступить к физическому проектированию базы данных. Любая
база данных состоит из таблиц (отношений), поэтому теперь наша задача построить
таблицы, основываясь на логической модели базы данных. Правила перевода из
логической модели данных в физическую следующие:
- объекты становятся таблицами в физической базе данных
- атрибуты становятся колонками (полями) в физической базе
данных. Для каждого атрибута выбирается свой тип данных.
- уникальные идентификаторы становятся колонками, не допускающими
значение NULL. В физической базе данных они
называются первичными ключами (primary key). [3, стр.74]
Рис. 2.1 - Схема таблиц для базы данных Интернет-магазина женской одежды
Физическая модель данных строится на базе логической модели и описывает
данные уже средствами конкретной СУБД. Отношения, разработанные на стадии
логического моделирования, преобразуются в таблицы, атрибуты в столбцы, домены
в типы данных, принятых в выбранной конкретной СУБД.
Физическая модель содержит описание структур данных и организации
отдельных файлов, используемых для хранения данных в запоминающих устройствах.
На этом уровне осуществляется взаимодействие СУБД с методами доступа
операционной системы с целью размещения данных на запоминающих устройствах,
создания индексов, извлечения данных и т.д. На внутреннем уровне хранится
следующая информация: сведения о распределении дискового пространства для
хранения данных и индексов; описание подробностей сохранения записей (с
указанием реальных размеров сохраняемых элементов данных); сведения о
размещении записей; сведения о сжатии данных и выбранных методах их шифрования.
[1, стр. 63]
Переведем все таблицы в SQL (язык структурированных запросов). В общем
случае модели данных разрабатываются таким образом, чтобы не зависеть от
конкретной базы данных. Поэтому разработанную физическую модель данных можно
применить к любой СУБД. В нашем случае это будет MySQL. MySQL - компактный
многопоточный сервер баз данных. MySQL характеризуется большой скоростью,
устойчивостью и легкостью в использовании. В базе данных MySQL таблицы создаются с помощью
sql-запроса.
Для СУБД MySQL запрос будет
выглядеть следующим образом:
CREATE TABLE odegda (_id INT(11) NOT NULL
auto_increment,varCHAR(100) NOT NULL,varCHAR(255) NOT NULL,varCHAR(50) NOT
NULL,INT(20) DEFAULT '0' NOT NULL,_id INT(11) DEFAULT '0' NOT NULL,varCHAR(20)
NOT NULL,KEY (odegda_id) );TABLE pokupatel (_id INT(11) NOT NULL
auto_increment,varCHAR(50) NOT NULL,varCHAR(100) NOT NULL,varCHAR(20) NOT
NULL,varCHAR(60) NOT NULL,KEY (pokupatel_id) );TABLE schet (_id INT(11) NOT
NULL auto_increment,_oforml DATE DEFAULT '0000-00-00' NOT NULL,_id INT(11)
DEFAULT '0' NOT NULL,KEY (schet_id));TABLE schetpok (_id INT(11) NOT NULL
auto_increment,_id INT(11) DEFAULT '0' NOT NULL,_id INT(11) DEFAULT '0' NOT
NULL,INT(11) DEFAULT '0' NOT NULL,KEY (schetpok_id) );TABLE vid (_id INT(11)
NOT NULL auto_increment,varCHAR(50) NOT NULL,KEY (vid_id));
В таблицы odegda и vid
необходимо вставить значения полей, которые будут храниться в БД. Вставка
значений в поля таблицы осуществляется с помощью команды INSERT INTO odegda VALUES и означает - вставить в
таблицу odegda значения. Значения указываются в том
порядке, в котором заданы поля.
Полный листинг таблиц, которые необходимо вставить в базу данных,
приведён в ПРИЛОЖЕНИИ 1 Shema.
.2 Разработка алгоритма работы ЭМ «Only for you» и его
практическая реализация с использованием Web-интерфейса, созданного на языке
программирования PHP
Кратко опишем взаимодействие web-страницы с базой данных. База данных
находится локально на нашем web-сервере. На web-странице размещается форма, в
которую пользователь вводит свой запрос или те данные, которые нужно передать.
После отправки данных из формы на сервер последний запускает написанную нами
программу с помощью РНР-языка, которая извлекает данные, переданные
пользователем. Далее программа формирует запрос на языке SQL для выборки или
изменения данных, а СУБД делает всё остальное. Обычно такие программы создаются
в виде CGI-сценариев. Возможно, также встраивание программы прямо в
HTML-страницу.
Основная задача РНР-языка - интерпретация сценариев (программ) для
генерации web-страниц, отсылаемых программе-клиенту (браузеру). Сценарий
(скрипт) может содержать как РНР-, так и HTML-код. HTML-код пересылается в
литеральном представлении, а РНР- код выполняется, и клиенту отсылается
результат его работы. Таким образом, пользователь никогда не видит РНР- кода.
Для полноценной работы с РНР необходимо кроме самого языка ещё и web-сервер. В
качестве web-сервера можно использовать Apache. Данный интернет-магазин
реализуем с использованием языка гипертекстовой разметки html, языка
программирования php и СУБД MySQL. Главная часть функционирования сайта -
работа с базой данных. Листинг базы данных пишется в Текстовом редакторе
Блокнот и сохраняется под именем SHEMA.
Для работы с базой данных через web-интерфейс необходимо выполнить следующую последовательность действий:
- Соединиться с сервером баз данных;
- Выбрать базу данных;
- Выполнить SQL-запрос;
- Вывести данные, полученные в результате запроса. [3, стр. 86]
Необходимо написать PHP- скрипты, встроенные в HTML - страницы и
сохранить их с расширением *.php. Сами скрипты, сформированные из ряда
инструкций, находятся на сервере и их содержимое посетителю Интернет магазина
просмотреть невозможно. При активизации PHP- скрипта серверная программа
выполняет команды php этого скрипта и результат возвращает программе-браузеру.
Таким образом, посетитель Интернет магазина видит только результат выполнения
программы. Соединение с сервером базой данных выполняется функцией
mysql_connect("localhost","root",""); где
localhost - имя узла (localhost), на котором размещается сервер MySQL, имя
пользователя (root), и пароль ("") - в данном случае без пароля. При
успешном соединении функция возвращает идентификатор связи с БД, а в случае
неудачи - значение false.
Выбор базы данных выполняется функцией mysql_select_db("odegda_mag"); и означает «выбрать базу данных odegda_mag»; для выполнения запроса к БД используется функция:
$query1="select*from vid"; - означает «выбрать из таблицы vid». Далее
выполнить запрос: $res1=mysql_query($query1); т.е. функции передаётся запрос,
который необходимо выполнить, при успешном выполнении функция возвращает
идентификатор результата. Идентификатор результата - это ключ доступа к
возвращённым запросом строкам, которых может быть ноль, одна и более:
$num_vid=mysql_num_rows($res1); - сообщает количество строк, возвращённых
запросом. Рассмотрим сценарий, отображающий главную страницу index.php.
Рисунок 2.2 - Внешний вид главной страницы index.php
Коды html и php-коды сценариев пишутся в Текстовом редакторе Блокнот,
php-коды сценариев встраиваются в html-страницы и сохраняются с расширением*
php. Рассмотрим сценарий, отображающий главную страницу index.php, на которой
производим выборку видов товаров:
<?php
mysql_connect("localhost","root",""); //Открытие соединения с MySQL, где localhost - имя компьютера, root- имя пользователя, ""-без
пароля
mysql_select_db("odegda_mag "); //Выбрать базу данных odegda_mag
print"<fontface=Arial size=2
color=black><b><h2> <center>Модели одежды</center></h2></b></font><br>";
$query1="select * from vid";//Выбрать
все записи из таблицы vid
$res1=mysql_query($query1);//Получить результат на запрос1
$num_vid=mysql_num_rows($res1);//Обработка
до тех пор, пока переменная $i не достигнет значений всех строк $res1
$i=0;//Переменной $i присваивается
значение 0
while($i<$num_vid){//Присваивание
переменной i значения, равное значению номера из таблицы vid
$vid_id=mysql_result($res1,$i,"vid_id");//Присваивание переменным значений (номер) из таблицы
vid_id
$name=mysql_result($res1,$i,"nazvanie");//Присваивание переменным значений (название) из таблицы vid_id
print"
<a href=\"vid.php?vid=$vid_id\">$name</a><br>";//
Идентификатор вида передается через адресную строку; вывести на печать значения
из таблицы vid полей vid_id и nazvanie, в браузере появятся названия моделей
одежды и соответствующий номер модели поля vid_id; ссылка на страницу vid.php
<a href="vid.php?vid=1">Джинсы/брюки</a><br>
<a href="vid.php?vid=2">Платья</a>
<a href="vid.php?vid=3"> Костюмы</a> <a
href="vid.php?vid=4">Трикотаж</a>//Где номера поля vid
соответствуют названиям поля nazvanie
$i++;//Увеличение шага переменной $i на
+1
}
?>
<! Конец PHP-скрипта !>
При нажатии, например, на ссылку Брюки/джинсы, пользователь попадает на
следующую РНР страницу vid.php. Рассмотрим сценарий, отображающий внешний вид
каталога одежды, который показан на рисунке 2.3 выполняется запрос2.
Рисунок 2.3 - Внешний вид каталога одежды (страница vid.php)
Рассмотрим сценарий, отображающий страницу vid.php.
<?
# Создаём запрос 2 к базе данных (выбор всех товаров из выбранного ранее
класса) #
$query2="select * from odegda where vid_id =
'$vid'";
#Делаем запрос 2 #
$res2=mysql_query($query2);
#Получаем результат запроса 2 #
$num_row2=mysql_num_rows($res2);
#задаём счётчик цикла #
$i=0;
#Цикл выполняется до тех пор, пока не достигнет значения всех строк
while($i<$num_row2){
$odegda_id = mysql_result($res2,$i,"odegda_id"); Переменной $odegda_id присваивается соответствующий идентификационный
номер поля odegda_id.
$nazvanie = mysql_result($res2,$i,"nazvanie");");//Переменной $nazvanie присваивается соответствующее
название модели из поля nazvanie
$opisanie = mysql_result($res2,$i,"opisanie"); //Переменной $opisanie присваивается соответствующее описание модели из поля opisanie.
$strana = mysql_result($res2,$i,"strana");
//Переменной $strana присваивается соответствующая страна
пошива модели из поля strana.
$cena = mysql_result($res2,$i,"cena");
//Переменной $cena присваивается соответствующая цена модели поля cena.
$vid_id= mysql_result($res2,$i,"vid_id"); //Переменной vid_id присваивается соответствующий
идентификационный номер модели поля vid_id.
echo
"Модель:<b>$odegda_id</b><br>"; //Вывести в браузер для
просмотра слово Модель и соответствующий ему номер поля odegda_id.
echo
"Название:<b>$nazvanie</b><br>";
//Вывести в браузер слово Название и соответствующее ему название модели поля
nazvanie.
echo
"Описание:<b>$opisanie</b><br>";
//Вывести в браузер слово Описание и соответствующее ему описание модели поля opisanie.
echo
"Страна происхождения:<b>$strana</b><br>";
//Вывести в браузер выражение Страна происхождения и соответствующую ему страну
происхождения модели поля strana.
echo
"Цена:<b>$cena руб.</b><br>";
//Вывести в браузер слово Цена и соответствующую ему цену модели поля cena.
echo
"Номер вида:<b>$vid</b>"; //Вывести в браузер выражение Номер вида и
соответствующий ему номер модели поля vid.
echo
"<img src=$images.jpg> "; // Вывести в браузер картинку из поля image,
src - указывает имя графического файла с расширением*.jpg, картинки находятся в
той же директории.
# Ссылка за форму заказа с передачей id товара #
echo" <ahref=\"zakaz.php?odegda=$odegda_id\">Заказать</a><br><hr size=1 color=#00099>";//Идентификатор
модели передаётся через адресную строку, при нажатии на ссылку Купить
пользователь попадает на страницу zakaz.php, где может оформить заказ, заполнив
поля формы.
$i++;
}
?>
Рассмотрим сценарий, отображающий форму заказа одежды, который записан на
странице zakaz.php.
<! Создаём форму заказа со ссылкой на файл обработки заказа !>
<h2>Для оформления заказа заполните
форму</h2>
<form action=zakaz1.php method=post><!--Открывающий тег формы,
form action определяет, где находится обработчик формы: zakaz1.php, и каким
образом данные формы будут отправляться обработчику: методом post-->
<center><h2>Заказываемая модель
одежды:</h2></center><!-- Заказываемая вещь, выравнивание по
левому краю, шрифт h2-->
<font face=Arial size=2 color=blue><b><h3> <b>
Платье "Элегантность" </h3></b></font><!--Название модели платья;
шрифт Arial, размер 2, цвет шрифта синий,
жирный-->
<input type=hidden name= odegda_id value="5"><!--input - для внесения информации
пользователем, hidden name= odegda_id
равен номеру 5 поля odegda_id -
определяет скрытый элемент данных, не виден пользователем и передаётся
обработчику без изменения-->
<p><h3>Заказываемая модель:<input type=text name=kolvo
size=1><!--Ввод строки артикула заказываемой модели -->
<p><h3>ФИО:<input type=text name=fio><br><!--Ввод строки
Фамилия-имя-отчество заказчика одежды -->
<h3>Адрес:<textarea name=address cols=25
rows=2></textarea><!--Окно ввода адреса заказчика для доставки
одежды -->
<h3>Телефон:<input type=text name=phone><!--Ввод строки
контактного номера телефона заказчика одежды -->
<h3>Электронный адрес:<input type=text name=email><!--Ввод
строки электронного адреса заказчика одежды -->
<input type=submit value="Заказать"><!--Кнопка
"Заказать", при нажатии на которую запускается процесс передачи
информации из формы обработчику-->
<input type=reset value="Очистить"><!--Кнопка
"Очистить", при нажатии на которую очищаются поля формы-->
</form><!--Закрывающий тег формы-->
Для оформления заказа покупателю необходимо нажать кнопку Заказать,
после чего открывается форма для оформления заказа, показанная на рисунке 2.4.
При этом информация записывается в базу данных с помощью sql-оператора INSERT.
Рисунок 2.4 - Сценарий, реализующий форму заказа одежды (страница
zakaz.php)
Рассмотрим сценарий, который показывает пользователю, что его заказ
внесён в базу данных, который представлен на странице zakaz1.php.
Таблицы pokupatel, schet, schetpok записаны в том порядке, в котором
они между собой связаны внешними ключами, поэтому функцией last_insert значение
поля одной таблицы вставляется в соответствующее поле (внешний ключ) другой
таблицы.
<! Начало PHP-скрипта
!><?
$query2="insert into pokupatel values ('','$fio','$address','$phone','$email')";//
Запрос2=вставить в таблицу pokupatel значения: '' - идентификационный номер модели ; '$fio' - в переменную $fio вставить
Фамилию-имя-отчество покупателя одежды; '$address' - в переменную $address
вставить адрес покупателя одежды; '$phone' - в переменную $phone вставить номер
телефона; '$email' - в переменную $email вставить адрес электронной почты.
$res2=mysql_query($query2);// Запрос, который необходимо выполнить
$last_insert=mysql_insert_id();//Определяем последний присвоенный id
$data_oforml=date("y-m-d");//Дата
оформления заказа заносится в переменную $data_oforml и записывается в порядке
("y-m-d"), где "y"(год) 4 символа, "m"(месяц) 2
символа, "d"(день) 2 символа, например, 2010.08.06
$query3="insert into schet values ('','$data_oforml','$last_insert')";//Запрос3=вставить
в таблицу schet значения: ''- номер счёта; '$data_oforml'- в переменную
$data_oforml вставить дату оформления заказа модель одежды; '$last_insert' -
соответствует полю pokupatel_id (является внешним ключом) и означает: вставить
номер покупателя из таблицы pokupatel.
$res3 = mysql_query($query3);// Запрос, который необходимо выполнить
$last_insert = mysql_insert_id();//Определяем последний присвоенный id
$query4="insert into schetpok values ('','$last_insert','$odegda_id','$kolvo')";// Запрос4=вставить в
таблицу schetpok значения: '' - номер счёта
покупателя; '$last_insert' - соответствует полю schet_id (является внешним
ключом) и означает: вставить номер счёта из таблицы schet; $odegda_id - в переменную $odegda_id вставить идентификационный номер
заказанной модели; '$kolvo' - в переменную $kolvo вставить количество
заказанных моделей одежды.
$res4 = mysql_query($query4);//Делаем запрос 4
?>
<! Конец PHP-скрипта !>
Таким образом, на практике физическая модель базы данных была реализована
с помощью средств СУБД MySQL, а так же PHP. Это позволило создать динамический
сайт рынка женской одежды с возможностью обработки данных хранящихся в базе
данных.
3.
Обоснование и расчеты экономической эффективности разработки и внедрения
интернет-магазина женской одежды ЭМ «Only for you»
»
Для расчета экономической эффективности необходимо осуществить:
- расчет капитальных затрат;
- расчет эксплуатационных (текущих) затрат;
- расчет экономического эффекта.
3.1 Расчет капитальных затрат
Единовременные затраты на создание электронного магазина включают
следующие статьи затрат:
- затраты на первоначальный анализ и планирование;
- затраты на приобретение технических средств;
- затраты на приобретение программных средств;
- затраты на установку и монтаж оборудования;
- затраты на разработку и создание Web-страниц;
- прочие затраты. [4, стр. 213]
Затраты на первоначальный анализ и планирование составят: 500 тыс.руб.
(заработная плата специалисту за проведенный анализ и планирование)
Таблица 3.1 - Затраты на приобретение технических средств
|
Показатель
|
Количество,шт.
|
Цена, тыс. руб.
|
Стоимость, тыс. руб.
|
|
Компьютер офисный с
монитором на базе процессора AMD Athlon X2 2300: - Процессор (CPU): AMD
Athlon X2 2300 - Оперативная память (RAM): 1GB DDR3 (1024MB) - Жесткий диск
(HDD): 500GB - Оптический привод: DVD-RW - Корпус (Case): Блок питания 350W -
Монитор: 19"(дюймов) - Клавиатура - Мышь + Коврик
|
1
|
1343,3
|
1343,3
|
|
Устройство:
принтер/сканер/копир/факс
|
1
|
1220,9
|
|
Колонки Genius SP-M120 Black-Grey
|
1
|
39,7
|
39,7
|
|
Сетевой фильтр Defender ЕS,
5 м
|
1
|
30,6
|
30,6
|
|
Итого
|
|
|
2634,5
|
Затраты на покупку программных средств отражены в таблице 3.2.
Таблица 3.2 - Затраты на приобретение программных средств
|
Показатель
|
Количество, шт.
|
Цена, тыс. руб.
|
Стоимость, тыс. руб.
|
|
Windows Server
CAL 2003 Russian 1pk DSP OEI 5 Clt User CAL (R18-01072)
|
1
|
645,6
|
645,6
|
|
Office Home and
Business 2010 Russian CEE PC Attach Key PKC Microcase (T5D-00704)
|
1
|
774,1
|
774,1
|
|
Итого
|
|
|
1419,7
|
В сумме затраты на приобретение технических и программных средств
составят 2634,5 + 1419,7 = 4054,2 тыс.руб.
Затраты на установку и монтаж определяется по общепринятым нормативам, в
процентах от стоимости технических средств. Норматив затрат = 3%.
Км = 0,03 * 2634,5 = 79,04 тыс. руб.
Затраты на разработку и создание Web-страниц подразделяются по следующим статьям:
- затраты на потребляемую электроэнергию;
- расходы на оплату труда (основная и дополнительная заработная
плата);
- начисления на заработную плату.
В табл. 3.3 приведены исходные данные, необходимые для расчета затрат на
разработку и создание Web-страниц.
Таблица 3.3 - Данные для расчета затрат на разработку Web-страниц
|
Показатель
|
Обозначение
|
Ед. изм.
|
Значение
|
|
Стоимость 1 кВт
электроэнергии
|
Ц
|
тыс. руб.
|
0,443
|
|
Потребляемая мощность ПЭВМ
|
М
|
кВт
|
0,3
|
|
Время работы одной ПЭВМ в
день
|
t
|
ч
|
8
|
|
Продолжительность
разработки
|
Тр
|
месяц
|
2
|
|
Продолжительность
разработки
|
Фэ
|
дни
|
45
|
|
Заработная плата одного
работника
|
з/п
|
тыс. руб.
|
750
|
|
Норматив дополнительной з/п
|
Нд
|
%
|
30
|
|
Численность работников
|
Ч
|
1
|
Затраты на потребляемую электроэнергию определим по формуле:
Зэл = Ц * М * Тр * t, (3.1)
где Ц - стоимость 1 кВт электроэнергии;
М - потребляемая мощность одной ПЭВМ;
t -
время работы одной ПЭВМ в день;
Тр - продолжительность разработки.
Разработка будет осуществляться в ноябре и декабре.
Фэ = Дм - Дв, (3.2)
где Дм - количество дней в ноябре и декабре;
Дв - количество выходных и праздничных дней.
Фэ = 61 - 16= 45.
Тогда, затраты на потребляемую электроэнергию будут равны:
Зэл = 45 * 8 * 0,3 * 0,443 = 47,84 тыс. руб.
Затраты по оплате труда определяем по формуле:
Зот = (з/п + з/п * Нд) * Тр * Ч. (3.3)
Зот = (750 + 750 * 0,3) * 2 * 1 = 1950 тыс. руб.
Отчислениями с заработной платы являются:
- отчисления в фонд социальной защиты населения (34 %);
1950 * 0,34 = 663 тыс. руб.
- отчисления на соцстрах (0,9%);
1950 * 0,009 = 17,55 тыс. руб.
Сумма начислений на заработную плату составляет:
+ 17,55 = 680,55 тыс. руб.
Всего затраты на разработку и создание Web-страниц составят:
,84 + 1950 + 680,55 = 2678,39 тыс. руб.
В прочие затраты включаем затраты на подключение к сети Internet. Интернет-провайдер «byfly» предоставляет бесплатное
подключение, а также предоставляет модем в аренду бесплатно на весь срок
пользования их услугами. Использован тарифный план - Домосед XXL (круглосуточный
нелимитируемый доступ на скорости от сети к абоненту до 3072 Кбит/с, от
абонента к сети - 512 Кбит/с). Размер абонентской платы - 100 тыс. руб. в
месяц.
Итого, прочие затраты будут составлять:
* 2 = 200 тыс. руб.
Общая сумма капитальных затрат приведена в таблице 3.4.
Таблица 3.4 - Капитальные затраты
|
Статьи затрат
|
Обозначение
|
Величина, тыс. руб.
|
|
Затраты на первоначальный
анализ и планирование
|
Кпл
|
500
|
|
Затраты на приобретение
технических и программных средств
|
Кпт
|
4054,2
|
|
Затраты на установку и монтаж
оборудования
|
Км
|
79,04
|
|
Затраты на разработку и
создание Web-страниц
|
Kw
|
2678,39
|
|
Прочие затраты
|
Кпр
|
200
|
|
Затраты на приобретение
автомобиля
|
Кам
|
32000
|
|
Итого
|
К
|
25511,63
|
Общая сумма капитальных затрат на создание интернет магазина женской
одежды составит 25511,63 тыс. руб.
3.2 Расчет текущих затрат
Эксплуатационные затраты представляют собой сумму затрат связанных с
эксплуатацией электронного магазина. Они включают следующие статьи затрат:
- амортизационные отчисления;
- затраты на потребляемую электроэнергию;
- затраты на послегарантийный ремонт оборудования.
- затраты на оплату труда;
- начисления на заработную плату;
- затраты на хостинг и абонентскую плату за доступ к сети Internet;
- расходы на проведение рекламной кампании;
- расходы по доставке товара покупателю;
- затраты на покупку товаров. [5, стр. 116]
Расчет амортизационных отчислений производится по формуле:
За = Кп * На, (3.4)
где За - сумма амортизационных отчислений;
На - норма амортизации.
Норма амортизации определяется по формуле:
На = 1 / Т * 100%, (3.5)
где Т - срок полезного использования оборудования.
При Т = 8 лет норма амортизации равна:
На = 1 /8 * 100% = 12,5%.
Сумма амортизационных отчислений составит:
За = 2634,5 * 0,125 = 329,31 тыс. руб.
Затраты на потребляемую электроэнергию определим по формуле:
Зэл = Ц * М * t * Фэ, (3.6)
где Ц - стоимость 1 кВт электроэнергии (0,443 тыс. руб.),
М - потребляемая мощность ПЭВМ (0,3 кВт),
t -
время работы в день (8 ч),
Фэ - годовой фонд времени (257 дней).
Зэл = 0,443 * 0,3 * 8 * 257 = 273,24 тыс. руб.
Норматив затрат на послегарантийный ремонт оборудования составит 5% от
стоимости оборудования:
Зр = 2634,5 * 0,05 = 131,73 тыс. руб.
Затраты на оплату труда (менеджер и водитель-курьер) определим по
формуле, используя данные таблицы 3.5:
Зот = ( з/п + з/п * Нд) * 12 * Ч. (3.7)
Таблица 3.5 - Исходные данные для расчета затрат на оплату труда
|
Показатель
|
Обозначение
|
Единица измерения
|
Значение
|
|
Количество работников
|
Ч
|
Чел.
|
2
|
|
З/п одного работника (менеджер)
|
з/п
|
тыс. руб.
|
750
|
|
З/п одного работника
(водитель-курьер)
|
з/п
|
тыс. руб.
|
600
|
|
Норма доплаты к з/п
|
Нд
|
%
|
30
|
Итого затраты на оплату труда составляют:
Зот1 = (750 + 750 * 0,3) * 12 * 1 = 11700 тыс. руб.
Зот2 = (600 + 600 * 0,3) * 12 * 1 = 9360 тыс. руб.
Итого Зот = 11700 + 9360 = 21060 тыс. руб.
Определим начисления на заработную плату:
отчисления в фонд социальной защиты населения (34 %)
* 0,34= 7160,4 тыс. руб.;
отчисления на соцстрах (0,9%)
* 0,009 = 189,54 тыс. руб.
Итого начисления на заработную плату составят:
,4 + 189,54 = 7349,94 тыс. руб.
Будем использовать хостинг предоставляемый компанией ООО «ТаймВэб».
Абонентская плата за хостинг по тарифу «Century» составит 247,73 тыс. руб. в
год (2400 рос. руб. по курсу НБ РБ на 20.02.2011г.).
Для доступа к сети Internet используются услуги интернет-провайдера «byfly». Абонентская плата по тарифному плану - Домосед XXL
(круглосуточный нелимитируемый доступ на скорости от сети к абоненту до 3072
Кбит/с, от абонента к сети - 512 Кбит/с) составит 100 тыс. руб. в месяц .
Итого затраты на хостинг и абонентскую плату за доступ к сети Internet составят:
,73 + 100 * 12 = 1447,74 тыс. руб.
Рассчитаем расходы на проводимую рекламную кампанию.
Создание баннера дизайн студией «ПЕРАМОГА» - 60 тыс. руб.;