Электроснабжение туберкулезного отделения городской поликлиники №1 города Нефтеюганск
Электроснабжение
туберкулезного отделения городской поликлиники №1 города Нефтеюганск
поликлиника электроснабжение трансформатор
Введение
Развитие современного общества приводит к увеличению численности людей,
образованию множества крупных городов и постоянному росту плотности населения.
В зависимости от плотности населения увеличивается количество передачи
заболеваний воздушно-капельным путем. К одним из самых серьезных заболеваний
относится туберкулез. Множество вариантов этой болезни и особенности их лечения
привели к организации целого раздела здравоохранения, лечебных комплексов и
курсов лечения. Правильная организация лечебных комплексов способствует
снижению роста заболевания в обществе. Важно ограничить заражённых людей от
контакта с обществом, и провести соответствующие лечение.
В нашем городе Нефтеюганске 120 тысяч человек населения, и ежегодно
проводятся выявление и лечение зараженных людей. В «МУЗ НГБ» существует
отделение которое занимается выявлением это болезни на самых ранних стадиях и
проводится соответствующие лечение.
Туберкулезное отделение поликлиники №1 обеспеченно необходимым для
лечения оборудованием.
Основные требования к системе электроснабжения отделения:
1. Надёжность системы и бесперебойность электроснабжения
потребителей.
2. Качество электроэнергии на вводе к потребителю.
. Безопасность обслуживания элементов СЭС.
. Унификация (модульность, стандартизация).
. Экономичность, включает в себя такие понятия, как
энергоэффективность и энергосбережение.
. Экологичность.
. Эргономичность.
1. Исходные данные
1.1 Характеристика объекта с исходными данными на разработку
проекта
Туберкулезное отделение городской поликлиники №1 располагается в
промышленной зоне города Нефтеюганска. В отделении осуществляется осмотр, диагностика
и лечение больных легкими формами туберкулеза. В отделении работают
электроприемники преимущественно на однофазном токе (компьютеры,
водонагреватели, рециркуляторы).Мощность электроприёмников отделения составляет
от 0,015 до 15 кВт. Электроприемники отделения относятся к третьей категории по
требуемой степени надёжности электроснабжения.
1.2 Характеристика окружающей среды производственных
помещений
Окружающая среда в цехе нормальная. Относительная влажность
поддерживается в пределах 60...75%. Температура в помещении не превышает 30 °С.
Активной химической среды, пожаро и взрывоопасных веществ в помещении нет,
поэтому всё оборудование в цехе выполнено в нормальном исполнении.
Исходные данные электрооборудования установленного в туберкулезном отделении
представлены в таблице 1.
Таблица 1 - Технические параметры электроприемников.
|
Наименование оборудования
|
Кол-во
|
Pэп, кВт
|
Ки
|
Кс
|
cosφ
|
tgϕ
|
Примечание
|
|
Ультрафиолетовый бактерицидный облучатель-рециркулятор
|
6
|
0.015
|
0,4
|
0,7
|
0,5
|
1,73
|
|
|
Водонагреватель
|
3
|
3
|
0,9
|
0,7
|
0,7
|
1,02
|
|
|
Холодильник
|
2
|
1
|
0,6
|
0,6
|
0,7
|
1,02
|
|
|
Компьютеры
|
5
|
0.5
|
0,85
|
0,4
|
0,65
|
1,16
|
|
|
Система вентиляции воздуха
|
|
Приточный вентилятор
|
1
|
15
|
0,7
|
0,7
|
0,8
|
0,75
|
3х-фазный
|
|
Вытяжной вентилятор
|
1
|
15
|
0,7
|
0,7
|
0,8
|
1,73
|
3х-фазный
|
2. Расчетно-техническая часть
.1 Разработка схемы и конструкторского исполнения силовой
сети с выбором электрооборудования и комплектующих устройств
Электроснабжение отделения должно осуществляться по схеме которая сможет
обеспечить:
требуемое качество электроэнергии по уровню напряжения у
электроприемников
низкую стоимость сооружения электрической сети;
необходимый уровень надежности, соответствующий категории
электроприемников;
безопасность и удобство обслуживания электрооборудования сетей и
подстанций;
высокие технико-экономические показатели эксплуатации всех элементов
схемы;
При построении питающей сети напряжением 6/0.4 кВ необходимо соблюдать
требования ПУЭ.
Туберкулезное отделение относится к третьей категории надежности
электроснабжения. Поэтому для электроснабжения потребителей третьей категории
используется радиальная схема. Используем понижающий трансформатор 6/0,4 кВ. Он
расположен на расстоянии 25 метров от отделения, поэтому вводной щит и
трансформатор соединяются кабельной линией. Подключается к разным секциям шин вводного
щита. Между электроприемниками электрическая энергия распределяется кабельными
линиями различного сечения. Защита осуществляется автоматическими
выключателями.
Для электроснабжения туберкулезного отделения взято два трансформатора
которые подключены к секционированной системе шин вводного распределительного
устройства. К секциям шин подключено два силовых щита и щит освещения.
.2 Расчёт электрических нагрузок по группам электроприёмников
электроэнергии и по узлу в целом
- средний коэффициент использования группы электроприемников.
(1)
где
- суммы активных мощностей за смену и номинальных в группе
электроприемников, кВт;
- коэффициент максимума;
, (2)
(3)
средняя активная мощность за наиболее нагруженную смену, кВт
где
коэффициент использования электроприемников;
номинальная активная групповая мощность, приведенная к
длительному режиму, без учета резервных электроприемников, кВт;
(4)
(5)
средняя реактивная мощность за наиболее загруженную смену,
кВар;
(6)
максимальная полная нагрузка, кВ*А
(7)
максимальнаяреактивная нагрузка, квар;
, (8)
максимальная полная нагрузка, кВ*А;
Максимальные расчетные токи для 3-х фазных потребителей:
(9)
Для однофазных потребителей:
(10)
Потери мощности при передаче
(11)
(12)
Ультрафиолетовый бактерицидный облучатель-рециркулятор (Pн=0,015 кВт, количество 6 шт.)
кВт
кВт
кВар
кВА
кВА
кВт
кВар
Водонагреватель (Рн=3
кВт, количество 3 шт.)
= 2,7 кВт
кВт
кВар
кВА
кВА
А
кВт
кВар
Холодильник (Рн=1 кВт, Количество 1 шт.)
кВт
кВт
кВар
кВА
кВА
кВА
кВар
Компьютеры (Рн=0,5 кВт, количество 5 шт.)
кВт
кВт
кВар
кВА
кВт
кВар
Приточный вентилятор(Рн=15 кВт, количество 1 шт.)
кВт
кВт
кВар
кВА
кВт
кВар
Вытяжной вентилятор (Рн=15 кВт, количество 1 шт.)
кВт
кВт
кВар
кВА
кВт
кВар
Результаты расчетов сводим в таблицу 2.
Таблица 2 - Расчётные нагрузки
|
Наименование электрооборудования
|
Нагрузка установленная
|
Нагрузка максимальная за смену
|
Нагрузка максимальная
|
|
|
Кол-во
|
|
|
cosφ
|
tgφ
|
|
, кВар
|
, кВ*а
|
|
|
|
, кВт
|
, кВар
|
, кВ*А
|
|
|
Ультрафиолетовый бактерицидный облучатель-рециркулятор
|
0.015
|
6
|
0,4
|
0,7
|
0,5
|
1,73
|
0,006
|
0,01
|
0,011
|
6
|
1,74
|
1,1
|
0,62
|
0,011
|
0,62
|
2,7
|
|
Водонагреватель
|
3
|
3
|
0,9
|
0,7
|
0,7
|
1,02
|
2,7
|
2,75
|
3,8
|
3
|
1,28
|
1,1
|
10,36
|
2,75
|
10,79
|
49
|
|
Холодильник
|
1
|
2
|
0,6
|
0,6
|
0,7
|
1,02
|
0,6
|
0,61
|
0,85
|
2
|
1,85
|
1,1
|
|
3,02
|
2,31
|
10
|
|
Компьютеры
|
0,5
|
5
|
0,85
|
0,4
|
0,65
|
1,16
|
0,42
|
0,48
|
0,63
|
5
|
1,28
|
1,1
|
|
0,52
|
2,72
|
10
|
|
Приточный вентилятор
|
15
|
1
|
0,7
|
0,7
|
0,8
|
0,75
|
10,5
|
7,87
|
13,12
|
1
|
1,96
|
1,1
|
|
8,65
|
|
30
|
|
Вытяжной вентилятор
|
15
|
1
|
0,7
|
0,7
|
0,8
|
0,75
|
10,5
|
7,87
|
13,12
|
1
|
1,96
|
1,1
|
|
8,65
|
|
30
|
|
Итого
|
|
|
|
|
|
|
|
|
|
|
|
|
36,88
|
23,601
|
43,64
|
131,7
|
3.Расчёт сетей освещения
.1 Расчет освещения туберкулезного отделения осуществляется
методом удельной мощности
(13)
Pуд -
- удельная мощность светильника
=
*S (14)
- установленная мощность
S -
площадь помещения,
Рсв - мощность светильника
(15)
- количество светильников
(16)
- количество ламп в ряду
Nр -
количество рядов
Ен - нормативная освещенность, Лк.
Нормированная освещенность всех комнат туберкулезного отделения Eн=200 Лк. Все светильники в туберкулезном отделении
оборудованылюминесцентными лампами ЛХБ40 мощностью 40 Вт.
Комната 1. Люминесцентная лампа 40 Вт.
Вт
Вт
Вт
Вт
шт
шт

Комната 2 и 3. Люминесцентная лампа 40 Вт.
Вт
В
Вт
Вт
шт
шт
Комната 4. Люминесцентная лампа 40 Вт.
Вт
В
Вт
Вт
Вт
шт
шт
шт
шт
Комната 5. Люминесцентная лампа 40 Вт.
Вт
В
Вт
Вт
шт
шт
Комната 6. Люминесцентная лампа 40 Вт.
Вт
В
Вт
Вт
шт
шт
Комната 7.Люминесцентная лампа 40 Вт.
Вт
В
Вт
Вт
шт
шт
Комната 8. Люминесцентная лампа 40 Вт.
Вт
В
Вт
Вт
шт
шт
Комната 9. Люминесцентная лампа 40 Вт.
Вт
В
Вт
Вт
шт
шт
Комната 10.Люминесцентная лампа 40 Вт.
Вт
В
Вт
Вт
шт
шт
Комната 11. Люминесцентная лампа 40 Вт.
Вт
В
Вт
Вт
шт
шт
Комната 12. Люминесцентная лампа 40 Вт.
Вт
В
Вт
Вт
шт
шт
Комната 13.Люминесцентная лампа 40 Вт.
Вт
В
Вт
Вт
шт
шт
Комната 14. Люминесцентная лампа 40 Вт.
Вт
В
Вт
Вт
шт
шт
Комната 15. Люминесцентная лампа 40 Вт.
Вт
В
Вт
Вт
шт
шт
Комната 16.Люминесцентная лампа 40 Вт.
Вт
В
Вт
Вт
Вт
шт
шт
шт
шт
Комната 17. Люминесцентная лампа 40 Вт.
Вт
В
Вт
Вт
шт
шт
Комната 18 и 22.Люминесцентная лампа 40 Вт.
Вт
В
Вт
Вт
шт
шт
Комната 19. Люминесцентная лампа 40 Вт.
Вт
В
Вт
Вт
шт
шт
Комната 20.Люминесцентная лампа 40 Вт.
Вт
В
Вт
Вт
шт
шт
Комната 21. Люминесцентная лампа 40 Вт.
Вт
В
Вт
Вт
шт
шт
Комната 23. Люминесцентная лампа 40 Вт.
Вт
В
Вт
Вт
шт
шт
Комната 24 и 25.Люминесцентная лампа 40 Вт.
Вт
В
Вт
Вт
шт
шт
Комната 26. Люминесцентная лампа 40 Вт.
Вт
В
Вт
Вт
шт
шт
Комната 27.Люминесцентная лампа 40 Вт.
Вт
В
Вт
Вт
шт
шт
Комната 28. Люминесцентная лампа 40 Вт.
Вт
В
Вт
Вт
шт
шт
Комната 29. Люминесцентная лампа 40 Вт.
Вт
В
Вт
Вт
шт
шт
Комната 30.Люминесцентная лампа 40 Вт.
Вт
В
Вт
Вт
шт
шт
Комната 31. Люминесцентная лампа 40 Вт.
Вт
В
Вт
Вт
шт
шт
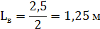
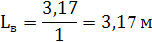
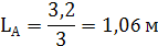
.2 Расчет силовой питающей сети и распределительных сетей
.2.1 Расчет сечения магистрального провода по потере
напряжения сети освещения
Максимальная мощность ОУ определяется формулой
, (17)
КСО- коэффициент спроса осветительной сети, равный 1,0;
, (18)
M-момент
нагрузки сети;
(19)
С - коэффициент осветительной сети;
1)
Выбираем кабель ВВГ сечением 3х6+1х4
2)
Выбираем кабель ВВГ сечением 3х6+1х4
3)
Выбираем кабель ВВГ сечением 3х6+1х4
4)
Выбираем кабель ВВГ сечением 3х6+1х4
5)
Выбираем кабель ВВГ сечением 3х10+1х6
3.2.2 Расчет силовой нагрузки на щиты
Силовую нагрузку распределяем на 2 силовых щита.
Таблица 3 - Распределение нагрузки на щиты.
|
ЩС1
|
ЩС2
|
ЩО
|
|
Оборудование
|
Нагрузка , кВА
|
Оборудование
|
Нагрузка , кВА
|
Оборудование
|
Нагрузка , кВА
|
|
Ультрафиолетовый бактерицидный облучатель-рециркулятор
|
0,62
|
Водонагреватель
|
10,79
|
Лампы люмен. 40 Вт
|
3,162
|
|
Холодильник
|
2,31
|
Вытяжной вентилятор
|
|
|
|
|
Компьютеры
|
2,72
|
|
|
|
|
Приточный вентилятор
|
|
|
|
|
Суммарная нагрузка на каждый щит составит:
ЩС1 - 19,25кВА
ЩС2 -24,39 кВАd
ЩО - 3,16 кВА
Определяем расчетные токи
Условие выбора сечения проводника по допустимому нагреву
, А
Сечение кабелей по допустимому нагреву:
Si =I/j, (22)
Определяем сечение кабелей по допустимой плотности тока
Si -
допустимая плотность тока
Выбираем стандартное сечение:
Трехжильный кабель сечением 16 мм2
Выбираем стандартное сечение:
Трехжильный кабель сечением 25мм2
Выбираем стандартное сечение:
Трехжильный кабель сечением 1,5 мм2
Осуществляем выбор сечения питающих кабелей.
Таблица 4- Сечение сечения питающих кабелей.
|
Расчетный ток, А
|
|
|
Марка кабеля
|
|
ЩС1
|
87,5
|
3х16+1х10
|
3х16+1х10
|
ВВГ 3х16+1х10
|
|
ЩС2
|
110,86
|
3х25+1х16
|
3х25+1х16
|
ВВГ 3х25+1х16
|
|
ЩО
|
14,3
|
3х1,5+1х11,5
|
3х1,5+1х1,5
|
ВВГ 3х1,5+1х1,5
|
Расчет токов уставки автоматов:
(23)
- ток уставки
Выбираем для защиты автоматы марки EKF ВА 47-100
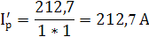
Расчет питающего кабеля ВРУ.
L= 25
м.
Общая нагрузка составляет: S=46,8кВА
Определяем расчетные токи
Условие выбора сечения проводника по допустимому нагреву
Сечение кабелей по допустимому нагреву:
Выбираем стандартное сечение:
Четырёхжильный кабель ВВГ сечением 95мм2.
Осуществляем выбор сечения питающего кабеля.
Таблица 5- Сечение сечения питающих кабелей ВРУ.
|
Расчетный ток, А
|
|
|
Марка кабеля
|
|
212.7
|
3х95+1х70
|
4х95+1х70
|
ВВГ 4х95+1х70
|
Расчет токов уставки автоматов:
Выбираем для защиты автоматы марки EKF ВА 47-100
.3 Компенсация реактивной мощности
Формула для расчета компенсирующего устройства:
Qк.р=Pм*(tg
-tg
)
к.р. - расчетная мощность компенсирующего устройства, кВар;
Pм -
максимальная активная мощность, кВт;
tg
, tg
- коэффициенты реактивной мощности
до и после компенсации;
) Ультрафиолетовый бактерицидный облучатель-рециркулятор
Pм=0,62кВт
cos
=0,5 cos
’=0,95
=60
’=18,19=1,7 tg’=0,33
кВар
Водонагреватель
Pм=10,36кВт
cos
=0,7 cos
’=0,95
=45,57
’=18,19=1,02 tg’=0,33
кВар
Холодильник
Pм=2,22кВт
cos
=0,7 cos
’=0,95
=45,57
’=18,19=1,02 tg’=0,33
кВар
Компьютеры
Pм=2,68кВт
cos
=0,65 cos
’=0,95
=49,45
’=18,19=1,16 tg’=0,33
кВар
Приточный вентилятор
Pм=10,5кВт
=0,8 cos
’=0,95
=36,86
’=18,19=0,75 tg’=1
кВар
Вытяжной вентилятор
Pм=10,5кВт
cos
=0,8 cos
’=0,95
=36,86
’=18,19
tg=0,75 tg’=1
кВар
кВар
Выбираем комплексную конденсаторную установку, для компенсации реактивной
мощности маркой УКМ 58-04-30-10 УЗ,
кВар
3.4 Выбор числа и мощности трансформаторов подстанции
Активная мощность силового оборудования определятся по формуле:
, (25)
суммарная максимальная и суммарная установочная мощность, Вт
кВт
Реактивная мощность освещения определяется по формуле:
, (26)
уст-активная установочная мощность освещения.
Суммарная реактивная мощность оборудования и освещения:
Суммарная реактивная мощность оборудования и освещения:
Вар
Полная мощность:
кВА
Расчет активной потери мощности в трансформаторе:
кВА
Расчет реактивной потери мощности в трансформаторе:
кВА
Расчет полной потери мощности в трансформаторе:
кВА
Значение мощности трансформатора с учетом потерь:
кВА
Потребляемая мощность:
кВА
Таблица 6 - Выбор трансформатора.
|
Марка
|
Мощность, кВ*А
|
Напряжение первичное, кВ
|
Напряжение вторичное, кВ
|
Напряжение короткого замыкания, %
|
Мощность потерь, кВт
|
Ток Холостого хода, %
|
|
|
|
|
|
х/х
|
К.з.
|
|
|
ТМ-40/10
|
40
|
10;6
|
0,4; 0,69
|
4,5
|
0,19
|
0,88
|
3
|
Трансформатор расположен на расстоянии 25 метров от вводного щита.
3.5 Обоснование выбора типа подстанции
Предпочтение при монтаже отдается индустриальным методам сборки, поэтому
преимущество имеет, то оборудование, которое поступает в готовом виде с
завода-изготовителя.
Комплектные трансформаторные подстанции внутренней (КТП) и наружной
(КТПН) установки состоят из блока ввода высокого напряжения 6 (10) кВ, силового
трансформатора и комплектного распределительного устройства низкого напряжения
(0,4 кВ) с предусмотренной проектом защитно-коммутационной аппаратурой,
приборами измерения, сигнализации и учета электроэнергии.
· Полная заводская готовность;
· Быстрый монтаж и ввод в эксплуатацию;
· Компактность и совместимость с городской архитектурой;
· Упрощение процедуры землеотвода;
· Возможность расширения однотрансформаторной подстанции до
двухтрансформаторной ) и более путем добавления дополнительных модулей;
Большой срок службы.
3.6 Расчет токов короткого замыкания
Рисунок 1 Трансформатор ТМ-40/10кВА
кВА
кВ
кВ
кВА
кВА
кВА
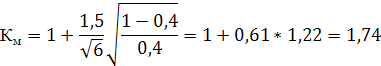
(27)
- напряжение короткого замыкания, %
, (28)
Z-полное
сопротивление трансформатора, мОм
, (29)
: для меди - 140, для алюминия - 90;
- время срабатывания автомата, с
; (30)
- ток короткого замыкания, А
мОм
А
3.7 Проверка сечения токоведущих частей на действие токов
короткого замыкания
, (31)
- минимальная площадь сечения проводника по термической
устойчивости, мм2;
- ток короткого замыкания, А
- приведенное время короткого замыкания,
- термический коэффициент,
мм2
Сечение питающего кабеля -3,39 мм2<95 мм2. Термическая
устойчивость удовлетворяет потребность, значит сечение выбрано верно.
3.8 Конструктивное исполнение сети заземления и расчет
заземляющего устройства
Тип грунта -Супесь
Климатическая зона -I
Вертикальный - 3
Горизонтальный - 18
Глубина - 0,8
Круглая сталь
L=6 м.
(32)
- сопротивление одиночного уголкового заземлителя
,(33)
допустимое но нормам сопротивление заземляющего
устройства
, (34)
(35)
- сопротивление растеканию горизонтальных полос,
, (36)
- проводимость искусственных заземлителей,
2,62 Ом < 10 Ом, удовлетворяется условие в соответствии с ПУЭ, так как
расчет ввелся напряжением до 1 кВ.
4. Ведомость проектируемого оборудования и материалов
4.1 Ведомость проектируемого оборудования и материалов.
Таблица 7- Оборудование и материалы
|
Кол-во
|
Цена
|
Стоимость
|
Примечание
|
|
Кабель ВВГ 3х95+1х70
|
25 м.
|
1814,8руб/м
|
45370
|
|
|
Кабель ВВГ 3х16+1х10
|
7 м.
|
333 руб/м
|
2331
|
|
|
Кабель ВВГ 3х25+1х16
|
7 м.
|
376 руб/м
|
2632
|
|
|
Кабель ВВГ 3х1,5+1х1,5
|
7 м.
|
50 руб/м
|
350
|
|
|
Кабель ВВГ 3х6+1х4
|
60 м.
|
330 руб/м
|
6600
|
|
|
Кабель ВВГ 3х10+1х4
|
20 м
|
130 руб/м
|
2600
|
|
|
Автоматы марки EKF ВА 47-100
|
15 шт.
|
400 руб/шт
|
6000
|
|
|
Трансформатор ТМ 40/10
|
1 шт.
|
50000 руб/шт
|
50000
|
|
|
Конденсаторная установка УКМ 58-04-30-10 УЗ
|
1 шт.
|
41000 Руб/шт
|
41000
|
|
|
Люминесцентные светильники
|
83 шт
|
700 руб/шт
|
58100
|
|
|
Затраты на сеть заземления
|
1 шт
|
5000 руб/шт
|
5000
|
|
|
Итого
|
219983 руб
|
Кабель ВВГ - схема электроснабжения туберкулезного отделения
разрабатывалась с использованием данного кабеля. Токопроводящая жила - медная,
однопроволочная или многопроволочная, круглой формы, 1 или 2 класса по ГОСТ
22483. Изоляция - из поливинилхлоридного пластиката (ПВХ). Изолированные жилы
многожильных кабелей имеют отличительную расцветку. Изоляция нулевых жил
выполняется голубого цвета. Скрутка - трех-, и четырехжильные имеют одну жилу
меньшего сечения (жилу заземления или нулевую), остальные жилы одинаковые.
Оболочка - из ПВХ пластиката.
Конденсаторная установка УКМ 58 предназначена для компенсации реактивной
мощности в электросети. Установка УКМ 58 включает/отключает необходимое
количество конденсаторов в зависимости от заданного и действующего в сети
косинуса фи. Кроме того УКМ 58 служит для повышения коэффициента мощности
электрооборудования промышленных предприятий и распределительных сетей на
напряжение 0,4 кВ частоты 50 Гц путем автоматического регулирования реактивной
мощности.
Применяемый электронный регулятор управляемый микропроцессором,
обеспечивает соблюдение требуемого коэффициента мощности с большой точностью и
в широком диапазоне компенсируемой реактивной мощности. Установки оснащены
экологически безвредными конденсаторами современной конструкции.
Автоматические выключатели EKF 47-100-современное поколение
коммутационных аппаратов, предназначены для оперативного управления участками
электрических цепей, а также от перегрузок и коротких замыканий в
административных, промышленных и жилых зданиях. Возможно использование
выключателя для оперативного включения и выключения сети.
Преимущества:
. Наличие индикаторного окошка состояния контактов. 2. Скругленные клеммы
с насечками для надежного соединения с проводниками. 3. Сечение подключаемого
провода до 35 мм2. 4. Автоматическая доводка рукоятки управления (эффект
подпружинивания). 5. Гарантийные обязательства составляют 5 лет.
Трансформатор масляный ТМ 40/10 с естественным воздушным охлаждением
предназначен для преобразования электрической энергии одного напряжения в
электрическую энергию другого напряжения в трехфазных сетях энергосистем и
потребителей электроэнергии в составе электроустановок наружного или
внутреннего размещения в условиях умеренного (от -45°С до +40°С) климата для
исполнения У1 или холодного (от -60°С до +40°С) климата для исполнения УХЛ1.
В трансформаторах типа ТМ температурные изменения объема масла
компенсируются за счет маслорасширительного бака, расположенного на верхней
крышке трансформатора.
Для предотвращения попадания в трансформатор влаги и промышленных
загрязнений при колебаниях уровня масла расширительный бак снабжен встроенным
воздухоочистителем.
Гофрированный бак трансформатора также обеспечивает необходимую
поверхность для естественного охлаждения без применения съемных охладителей,
что значительно увеличивает надежность трансформатора.
Перед запуском в серийное производство гофрированные баки подвергаются
механическим испытаниям на цикличность (10000 циклов на воздействие
максимального и минимального давлений) для подтверждения их ресурса работы на
весь срок службы трансформатора, составляющий 25 лет.
Трансформаторы ТМ-40/10 и ТМГ-40/6 (10) заполнены трансформаторным маслом
гидрокрекинга марки ГК (ГОСТ 10121-76) с пробивным напряжением в стандартном
разряднике не менее 40 кВ. Допускается при заливке смешивать не бывшие в
эксплуатации сорта масла в любых соотношениях.
Для системы заземления используются стержни диаметром 12 мм и длинной 6 метров.
Стержни изготовлены из нержавеющей стали что увеличит строк эксплуатации частей
заземлителей, уменьшив их износ.
Заключение
В результате разработки проекта электроснабжения туберкулезного отделения
поликлиники №1были разработаны схема и конструктивное исполнение силовой сети.
Была выбрана радиальная схема электроснабжения с трансформатором ТМ - 40/10,
выполнен расчет питающего кабеля ВРУ и выбор автомата для него. Осуществлены
расчеты питающих кабелей и автоматов для щита освещения и двух силовых щитов,
выполнен расчет электрических нагрузок по группам электроприемников, выбрана
конденсаторная установка для компенсации реактивной. От щита освещения питаются
пять магистралей которые были выбраны по длине, сечению и максимальной
нагрузке. Освещение выполнено светильниками мощностью 80 Ватт, с установленными
в них люминесцентными лампами белого, холодного свечения, мощностью 40 Ватт
каждая. Силовая сеть туберкулезного отделения осуществлена медным кабелем марки
ВВГ. Все электрооборудование подключено через автоматические выключатели EKF, которые обеспечат надежную работу.
Произведен расчет токов короткого замыкания, чтобы удостоверится в правильности
расчета сети, а так же ее надежности. Так же рассчитали заземление, чтобы
обеспечить надежность схемы.
Итогом работы был подсчет количество и стоимость электрооборудования и
устройств которые разрабатывались в процессе работы.
поликлиника электроснабжение
трансформатор
Список литературы
1. Алиев И.
И. Справочник по электротехнике и электрооборудованию. - Ростов-на-Дону:
Феникс, 2004.
. Березкина
Т. Ф. Задачник по общей электротехнике с основами электроники. - М.: Высшая
школа,2003.
. Гольтстрем
В. А. Справочник энергетика промышленных предприятий. - Киев: Техника, 2003.
. Липкин Б.
Ю. Электроснабжение промышленных предприятий и установок.- М.: Высшая школа,
2003.
. Сибикин Ю.
Д. Электроснабжение промышленных предприятий и установок. - М.: Академия, 2001.
. Сибикин Ю.
Д. Электроснабжение промышленных и гражданских зданий. - М.: Академия, 2001.
. Щеховцов В.
П. Расчет и проектирование схем электроснабжения. - М.:ФОРУМ-ИНФРА-М, 2010.
. Интернет
ресурсы. Википедия: свободная электронная. http://ru.wikipedia.org/wiki/
осадный
дело древний грек